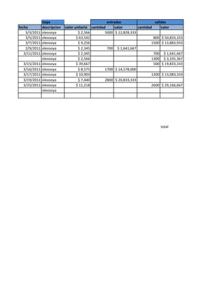
Peps                                             entradas                   salidas
fecha       descripcion         valor unitario      cantidad     valor        cantidad
    3/3/2011oleosoya                        $ 2,566         5000 $ 12,828,333
    3/5/2011oleosoya                       $ 63,542                                    800
    3/7/2011oleosoya                        $ 9,256                                   1500
    3/9/2011oleosoya                        $ 2,345          700 $ 1,641,667
   3/11/2011oleosoya                        $ 7,308                                   2000
   3/15/2011oleosoya                       $ 39,667                                    500
   3/16/2011oleosoya                        $ 8,575         1700 $ 14,578,000
   3/17/2003oleosoya                        $ 2,566                                    200
            oleosoya                        $ 2,345                                    700
            oleosoya                        $ 8,575                                    300
  3/19/2011 oleosoya                        $ 7,440         2800 $ 20,833,333
  3/25/2011 oleosoya                        $ 8,575                                   1400
                                            $ 7,440                                   1200


nombres:       Astrid Prieto
               Angela Puentes
salidas                      saldo                                   1.2
    valor          cantidad     valor           pedido/lote     valor con iva    valor sin iva
                           5000 $ 12,828,333    n°1             $ 15,394,000    $ 12,828,333
    $ 50,833,333           4200 $ 10,775,800                    $ 61,000,000    $ 50,833,333
    $ 13,883,933           2700 $ 6,927,300                     $ 16,660,720    $ 13,883,933
                            700 $ 1,641,667     n°2             $ 1,970,000     $ 1,641,667
    $ 14,616,667            700 $ 1,795,967     n°1             $ 17,540,000    $ 14,616,667
    $ 19,833,333            200     $ 513,133   n°1             $ 23,800,000    $ 19,833,333
                           1700 $ 14,578,000    n°3             $ 17,493,600    $ 14,578,000
       $ 513,133              0             0   n°1             $ 15,700,000    $ 13,083,333
     $ 1,641,667              0             0   n°2             $ 25,000,000    $ 20,833,333
     $ 2,572,588           1400 $ 12,005,412    n°3             $ 35,000,000    $ 29,166,667
                           2800 $ 20,833,333    n°4
    $ 12,005,412              0             0   n°3
     $ 8,928,571           1600 $ 11,904,762    n°4


                                total                    1600
valor sin iva
$ 12,828,333
$ 50,833,333
$ 13,883,933
$ 1,641,667
$ 14,616,667
$ 19,833,333
$ 14,578,000
$ 13,083,333
$ 20,833,333
$ 29,166,667
Ueps                                  entradas                   salidas
fecha          descripcion   valor unitario cantidad     valor        cantidad      valor
    3/3/2011   oleosoya              $ 2,566        5000 $ 12,828,333
    3/5/2011   oleosoya             $ 63,542                                   800 $ 50,833,333
    3/7/2011   oleosoya              $ 9,256                                  1500 $ 13,883,933
    2/9/2011   oleosoya              $ 2,345         700 $ 1,641,667
   3/11/2011   oleosoya              $ 2,345                                   700 $ 1,641,667
               oleosoya              $ 2,566                                  1300 $ 3,335,367
  3/15/2011    oleosoya             $ 39,667                                   500 $ 19,833,333
  3/16/2011    oleosoya              $ 8,575        1700 $ 14,578,000
  3/17/2011    oleosoya             $ 10,903                                  1200 $ 13,083,333
  3/19/2011    oleosoya              $ 7,440        2800 $ 20,833,333
  3/25/2011    oleosoya             $ 11,218                                  2600 $ 29,166,667
               oleosoya




                                                                                  total
saldo                                1.2
cantidad     valor          pedido/lote   valor con iva    valor sin iva
        5000 $ 12,828,333   n°1           $ 15,394,000    $ 12,828,333
        4200 $ 10,775,800                 $ 61,000,000    $ 50,833,333
        2700 $ 6,927,300                  $ 16,660,720    $ 13,883,933
         700 $ 1,641,667    n°2           $ 1,970,000     $ 1,641,667
           0           $0   n°2           $ 17,540,000    $ 14,616,667
        1400 $ 3,591,933    n°1           $ 23,800,000    $ 19,833,333
         900 $ 2,309,100    n°1           $ 17,493,600    $ 14,578,000
        1700 $ 14,578,000   n°3           $ 15,700,000    $ 13,083,333
         500 $ 4,287,647    n°3           $ 25,000,000    $ 20,833,333
        2800 $ 20,833,333   n°4           $ 35,000,000    $ 29,166,667
         200 $ 1,488,095    n°4




        200
        900
        500
       1600
pp                                       entradas                   salidas
fecha          descripcion   valor unitario    cantidad     valor        cantidad      valor
    3/3/2011   oleosoya                $ 2,566         5000 $ 12,828,333
    3/5/2011   oleosoya               $ 63,542                                    800 $ 50,833,333
    3/7/2011   oleosoya                $ 9,256                                   1500 $ 13,883,933
    3/9/2011   oleosoya                $ 2,345          700 $ 1,641,667
   3/11/2011   oleosoya                $ 7,308                                   2000 $ 14,616,667
   3/15/2011   oleosoya               $ 39,667                                    500 $ 19,833,333
   3/16/2011   oleosoya                $ 5,515         1700 $ 14,578,000
   3/17/2011   oleosoya                                                          1200 $ 13,083,333
   3/19/2011   oleosoya                $ 6,478         2800 $ 20,833,333
   3/25/2011   oleosoya               $ 11,218                                   2600 $ 29,166,667
               oleosoya
               oleosoya




                                      $ 4,911      $ 2,455
                                                   $ 8,575
                                                   $ 5,515
saldo                                1.2
cantidad     valor        pedido/lote     valor con iva    valor sin iva
        5000 $ 12,828,333                 $ 15,394,000    $ 12,828,333
        4200 $ 10,775,800             1   $ 61,000,000    $ 50,833,333
        2700 $ 6,927,300                  $ 16,660,720    $ 13,883,933
        3400 $ 8,348,538                  $ 1,970,000     $ 1,641,667
        1400 $ 3,437,633              2   $ 17,540,000    $ 14,616,667
         900 $ 2,209,907                  $ 23,800,000    $ 19,833,333
        2600 $ 22,295,000                 $ 17,493,600    $ 14,578,000
        1400 $ 7,721,000              3   $ 15,700,000    $ 13,083,333
        4200 $ 27,206,500                 $ 25,000,000    $ 20,833,333
        1600 $ 10,364,381             4   $ 35,000,000    $ 29,166,667




     $ 7,440
       5515
     $ 6,478

Inventarios

  • 1.
    Peps entradas salidas fecha descripcion valor unitario cantidad valor cantidad 3/3/2011oleosoya $ 2,566 5000 $ 12,828,333 3/5/2011oleosoya $ 63,542 800 3/7/2011oleosoya $ 9,256 1500 3/9/2011oleosoya $ 2,345 700 $ 1,641,667 3/11/2011oleosoya $ 7,308 2000 3/15/2011oleosoya $ 39,667 500 3/16/2011oleosoya $ 8,575 1700 $ 14,578,000 3/17/2003oleosoya $ 2,566 200 oleosoya $ 2,345 700 oleosoya $ 8,575 300 3/19/2011 oleosoya $ 7,440 2800 $ 20,833,333 3/25/2011 oleosoya $ 8,575 1400 $ 7,440 1200 nombres: Astrid Prieto Angela Puentes
  • 2.
    salidas saldo 1.2 valor cantidad valor pedido/lote valor con iva valor sin iva 5000 $ 12,828,333 n°1 $ 15,394,000 $ 12,828,333 $ 50,833,333 4200 $ 10,775,800 $ 61,000,000 $ 50,833,333 $ 13,883,933 2700 $ 6,927,300 $ 16,660,720 $ 13,883,933 700 $ 1,641,667 n°2 $ 1,970,000 $ 1,641,667 $ 14,616,667 700 $ 1,795,967 n°1 $ 17,540,000 $ 14,616,667 $ 19,833,333 200 $ 513,133 n°1 $ 23,800,000 $ 19,833,333 1700 $ 14,578,000 n°3 $ 17,493,600 $ 14,578,000 $ 513,133 0 0 n°1 $ 15,700,000 $ 13,083,333 $ 1,641,667 0 0 n°2 $ 25,000,000 $ 20,833,333 $ 2,572,588 1400 $ 12,005,412 n°3 $ 35,000,000 $ 29,166,667 2800 $ 20,833,333 n°4 $ 12,005,412 0 0 n°3 $ 8,928,571 1600 $ 11,904,762 n°4 total 1600
  • 3.
    valor sin iva $12,828,333 $ 50,833,333 $ 13,883,933 $ 1,641,667 $ 14,616,667 $ 19,833,333 $ 14,578,000 $ 13,083,333 $ 20,833,333 $ 29,166,667
  • 4.
    Ueps entradas salidas fecha descripcion valor unitario cantidad valor cantidad valor 3/3/2011 oleosoya $ 2,566 5000 $ 12,828,333 3/5/2011 oleosoya $ 63,542 800 $ 50,833,333 3/7/2011 oleosoya $ 9,256 1500 $ 13,883,933 2/9/2011 oleosoya $ 2,345 700 $ 1,641,667 3/11/2011 oleosoya $ 2,345 700 $ 1,641,667 oleosoya $ 2,566 1300 $ 3,335,367 3/15/2011 oleosoya $ 39,667 500 $ 19,833,333 3/16/2011 oleosoya $ 8,575 1700 $ 14,578,000 3/17/2011 oleosoya $ 10,903 1200 $ 13,083,333 3/19/2011 oleosoya $ 7,440 2800 $ 20,833,333 3/25/2011 oleosoya $ 11,218 2600 $ 29,166,667 oleosoya total
  • 5.
    saldo 1.2 cantidad valor pedido/lote valor con iva valor sin iva 5000 $ 12,828,333 n°1 $ 15,394,000 $ 12,828,333 4200 $ 10,775,800 $ 61,000,000 $ 50,833,333 2700 $ 6,927,300 $ 16,660,720 $ 13,883,933 700 $ 1,641,667 n°2 $ 1,970,000 $ 1,641,667 0 $0 n°2 $ 17,540,000 $ 14,616,667 1400 $ 3,591,933 n°1 $ 23,800,000 $ 19,833,333 900 $ 2,309,100 n°1 $ 17,493,600 $ 14,578,000 1700 $ 14,578,000 n°3 $ 15,700,000 $ 13,083,333 500 $ 4,287,647 n°3 $ 25,000,000 $ 20,833,333 2800 $ 20,833,333 n°4 $ 35,000,000 $ 29,166,667 200 $ 1,488,095 n°4 200 900 500 1600
  • 6.
    pp entradas salidas fecha descripcion valor unitario cantidad valor cantidad valor 3/3/2011 oleosoya $ 2,566 5000 $ 12,828,333 3/5/2011 oleosoya $ 63,542 800 $ 50,833,333 3/7/2011 oleosoya $ 9,256 1500 $ 13,883,933 3/9/2011 oleosoya $ 2,345 700 $ 1,641,667 3/11/2011 oleosoya $ 7,308 2000 $ 14,616,667 3/15/2011 oleosoya $ 39,667 500 $ 19,833,333 3/16/2011 oleosoya $ 5,515 1700 $ 14,578,000 3/17/2011 oleosoya 1200 $ 13,083,333 3/19/2011 oleosoya $ 6,478 2800 $ 20,833,333 3/25/2011 oleosoya $ 11,218 2600 $ 29,166,667 oleosoya oleosoya $ 4,911 $ 2,455 $ 8,575 $ 5,515
  • 7.
    saldo 1.2 cantidad valor pedido/lote valor con iva valor sin iva 5000 $ 12,828,333 $ 15,394,000 $ 12,828,333 4200 $ 10,775,800 1 $ 61,000,000 $ 50,833,333 2700 $ 6,927,300 $ 16,660,720 $ 13,883,933 3400 $ 8,348,538 $ 1,970,000 $ 1,641,667 1400 $ 3,437,633 2 $ 17,540,000 $ 14,616,667 900 $ 2,209,907 $ 23,800,000 $ 19,833,333 2600 $ 22,295,000 $ 17,493,600 $ 14,578,000 1400 $ 7,721,000 3 $ 15,700,000 $ 13,083,333 4200 $ 27,206,500 $ 25,000,000 $ 20,833,333 1600 $ 10,364,381 4 $ 35,000,000 $ 29,166,667 $ 7,440 5515 $ 6,478