Embed presentation
Download to read offline




































































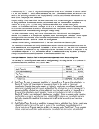
The document announces the annual meeting of shareholders of Integrys Energy Group, Inc. to be held on May 17, 2007. Shareholders will vote on five items: 1) Electing five directors to three-year terms, 2) Approving the Integrys Energy Group 2007 Omnibus Incentive Compensation Plan which authorizes 3.5 million shares for future grants, 3) Approving an amendment to the Integrys Energy Group Deferred Compensation Plan to authorize an additional 700,000 shares under the plan, 4) Ratifying the selection of Deloitte & Touche LLP as the independent registered public accounting firm, and 5) Any other business properly brought before the meeting. Share



































































