Embed presentation
Download as PDF, PPTX


















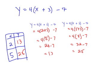
The document discusses functions in mathematics and provides examples of evaluating different functions based on input-output tables: 1) It introduces functions in real life and mathematics, and provides the example function y=x+3, showing how to fill out an input-output table for it. 2) More examples of functions are given as practice problems for the reader to fill out tables for, including y=x-4 and y=-3x. 3) An input-output table is shown for the function y=2x+3 to evaluate. 4) A more difficult function is presented as y=x/-3, with an empty table for the reader to solve. 5)
















