Embed presentation
Download to read offline

































































































































































































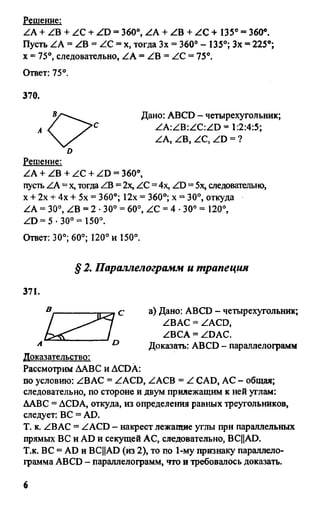
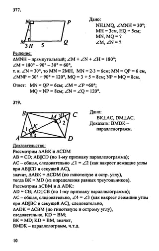
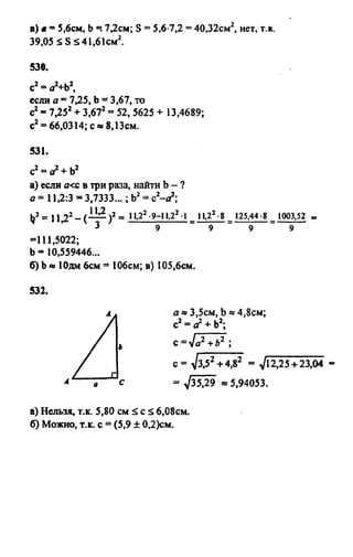
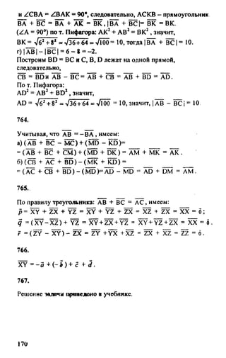
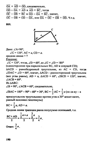
The document discusses the history and development of artificial intelligence over several decades. Early research focused on symbolic approaches using rules and logic but progress was slow. More recently, machine learning techniques such as deep learning have achieved significant successes in areas like computer vision and natural language processing by using neural networks trained on large datasets. These new approaches represent an important shift in how AI is developed.
































































































































































































