EJERCICIOS DE LA FISICA PARA INGENIEROS: RUSSELL HIBBELER VOL. 12
ESTATICA: PRODUCTO PUNT0
Msc. Widmar Aguilar
Febrero 2024
⃗ 6 9 3
⃗ = i -2j+ 2 k (m)
⃗. ⃗
⃗. ⃗ 6 1 9 2 3 2
⃗. ⃗ 18
6 9 3 11.225
1 2 2 3
!
" . ##
0.5345
122.31&
→ ( 180 180 122.31 57.69*
-----------//
EJERCICIOS DE LA FISICA PARA INGENIEROS: RUSSELL HIBBELER VOL. 12
ESTATICA: PRODUCTO PUNT0
Msc. Widmar Aguilar
Febrero 2024
A= (0,3,0) , B=(0,0,4) ; C= (4,0,0)
+
⃗ 3 , 4 -
.
⃗/0
/0
⃗
/0
1 2 "3
145 " 4
0.8 6 0.6 ,
⃗ 300 ∗ .
⃗/0 240 6 180 ,
.
⃗/8
/8
⃗
/8
" 3519
" 45 1 4
0.6 , 0.8 -
De: .
⃗/8. .
⃗/0 1 1 (
( 0.8 0 06 0.6 0
( 0.36
( 68.9*
----------//
EJERCICIOS DE LA FISICA PARA INGENIEROS: RUSSELL HIBBELER VOL. 12
ESTATICA: PRODUCTO PUNT0
Msc. Widmar Aguilar
Febrero 2024
.
⃗:/ 6 ;< ,
"
6
#
"
,
⃗ 650 ,
.
⃗:/
=
⃗
=
>4
>?
25
@
>?
3
/ " 45 #/ " 4 "
6
#
"
,
.
⃗:/. .
⃗= 1 1 (
( B "
C 9 ∗ 0
#
"
∗ 1
#
"
( 67.38*
--------------------------//
C
D ⃗. .
⃗:/
.
⃗:/ "
6
#
"
, 6 ;< ,
⃗ 650 ,
D 650 ,. B "
6
#
"
,C
EJERCICIOS DE LA FISICA PARA INGENIEROS: RUSSELL HIBBELER VOL. 12
ESTATICA: PRODUCTO PUNT0
Msc. Widmar Aguilar
Febrero 2024
D 650 ∗
#
"
250 (N) -----------//
O= (0,0,0) ; A= (0,4,6) ; B=(4,5,0)
.
⃗/:
⃗ 4, 6-
4 6
0.5547, 0.832 -
.
⃗/8
+
⃗
+
46 , 6-
4 16 6
0.5496 0.137, .824 -
⃗ 400 .
⃗/8 219.6 6 54.8 , 329.6 -
D ⃗. .
⃗/: 219.6 6 54.8 , 329.6 - . 0.5547,
0.832-
D 54.8 0.5547 329.69 0.824
EJERCICIOS DE LA FISICA PARA INGENIEROS: RUSSELL HIBBELER VOL. 12
ESTATICA: PRODUCTO PUNT0
Msc. Widmar Aguilar
Febrero 2024
D 243.9 (N) --------------------------------//
O = (0,0,o); A= (-4,4, 2) ;
EJERCICIOS DE LA FISICA PARA INGENIEROS: RUSSELL HIBBELER VOL. 12
ESTATICA: PRODUCTO PUNT0
Msc. Widmar Aguilar
Febrero 2024
EF 60 600 60 300 GHI
J 600 ∗ ;< 60 519.62 GHI
Dela figura: cos 30 =
=K
=LK
; F EF 30
F 300 ∗ 30 259.8 GHI
E 300 ∗ ;<30 150 GHI
⃗J 150 6 259.8 , 519.62 - GHI
Se tiene:
⃗ 46 4, 2 - IN
.
⃗:/
⃗ 4 6 4, 2-
4 4 2
0.667 6 0.667, 0.33 -
OPQPR
⃗. .
⃗:/
⃗. .
⃗:/ 150 6 259.8 , 519.62 - . 0.667 6
0.667, 0.33 -)
⃗. .
⃗:/ 150 0.667 259.8 0.667
0.333 519.62
⃗. .
⃗:/ 446.04 GHI --------------//
Como: F2
= Fperp
2
+ Fparal
2
Fperp
2
= F2
- Fparal
2
OSQOSTU 600 446.04
OSQOSTU 400.9 GHI --------------//
EJERCICIOS DE LA FISICA PARA INGENIEROS: RUSSELL HIBBELER VOL. 12
ESTATICA: PRODUCTO PUNT0
Msc. Widmar Aguilar
Febrero 2024
Sea el triángulo:
V+
⃗ W
⃗X (" V+
⃗X ( ⌈W⌉ ( ----(a)
Como el producto punto se define como:
⃗. +
⃗ V ⃗XV+
⃗X (
Se multiplica la expresión (a) por A:
V ⃗X V+
⃗ W
⃗X (" V ⃗X V+
⃗X ( V ⃗XVW
⃗X (
Por lo tanto:
⃗. +
⃗ W
⃗ ⃗. +
⃗ ⃗. W
⃗---------------------------//
También se puede demostrar usando el principio de proyecciones,
EJERCICIOS DE LA FISICA PARA INGENIEROS: RUSSELL HIBBELER VOL. 12
ESTATICA: PRODUCTO PUNT0
Msc. Widmar Aguilar
Febrero 2024
.
⃗/ [; NG  .<6]6 ;< ^6; 6ó< ^;
+
⃗ W
⃗ OQ*FS `a
+
⃗ W
⃗ OQ*FS ` a
+
⃗ W
⃗ OQ*FS. .
⃗/ ` .
⃗/ a.
⃗/
(+
⃗ W
⃗ . .
⃗/b +
⃗ .
⃗/ W
⃗ .
⃗/
Multiplicando por A:
A{ (+
⃗ W
⃗ . .
⃗/ c +
⃗ .
⃗/ W
⃗ .
⃗/
(+
⃗ W
⃗ . .
⃗/ = +
⃗ .
⃗/ W
⃗ .
⃗/
(+
⃗ W
⃗ . ⃗ = +
⃗ ⃗ W
⃗ ⃗
. +
⃗ W
⃗ = ⃗ . +
⃗ ⃗. W
⃗ ------//
EJERCICIOS DE LA FISICA PARA INGENIEROS: RUSSELL HIBBELER VOL. 12
ESTATICA: PRODUCTO PUNT0
Msc. Widmar Aguilar
Febrero 2024
D
⃗ d ⃗. .
⃗/0c.
⃗/0
A = (0,3,0) , B= (-1.5, 0, 1) , C= (1.5,0,3)
+
⃗ 1.5 6 3, -
e
⃗ 1.5 6 3, 3-
.
⃗/8
+
⃗
+
1.5 6 3, -
1.5 3 1
1.5 6 3, -
3.5
3
7
6
6
7
,
2
7
-
⃗/8= 560 .
⃗/8 2406 480, 160 -
EJERCICIOS DE LA FISICA PARA INGENIEROS: RUSSELL HIBBELER VOL. 12
ESTATICA: PRODUCTO PUNT0
Msc. Widmar Aguilar
Febrero 2024
.
⃗/0
e
⃗
e
1.5 6 3, 3-
1.5 3 3
1.5 6 3, 3-
4.5
1
3
6
2
3
,
2
3
-
De: D
⃗ d ⃗. .
⃗/0c.
⃗/0
D
⃗ d 240 B"
C 480 B "
C 160
"
c. .
⃗/0
D
⃗ 346.67 .
⃗/0 -- p = 346.67 (N)----//
D
⃗ 115.55 6 231.11 , 231.11 - ---//
EJERCICIOS DE LA FISICA PARA INGENIEROS: RUSSELL HIBBELER VOL. 12
ESTATICA: PRODUCTO PUNT0
Msc. Widmar Aguilar
Febrero 2024
A= (-1.5,3,1) ; D= (0,0,2)
Se tiene:
⃗ 1.56 3, - IN
.
⃗/:
⃗ 1.5 6 3, -
1.5 3 1
1.5 6 3, -
3.5
.
⃗/:
3
7
6
6
7
,
2
7
-
W
⃗ 1.56 3, - IN
.
⃗/f
W
⃗
W
1.5 6 3, -
1.5 3 1
1.5 6 3, -
3.5
.
⃗/f
3
7
6
6
7
,
2
7
-
⃗ 56.
⃗/f 24 6 48 , 16 -
OPQPR
⃗. .
⃗/:
⃗. .
⃗/: 24 6 48 , 16 - .
"
g
6
h
g
,
g
-)
⃗OPQPR
g
g
!!
g
"
g
" !
g
⃗OPQPR 46.86 --------------//
Como: F2
= Fperp
2
+ Fparal
2
Fperp
2
= F2
- Fparal
2
OSQOSTU 56 46.86
OSQOSTU 30.67 --------------//
EJERCICIOS DE LA FISICA PARA INGENIEROS: RUSSELL HIBBELER VOL. 12
ESTATICA: PRODUCTO PUNT0
Msc. Widmar Aguilar
Febrero 2024
A= (0,1,1) ; B= (0,3,4) ; C=(3,5,0)

⃗80 36 2, 4-

⃗/0 36 4, -

⃗/8 0 6 2, 3-
⌈
⃗80⌉ √3 2 4 5.385 j //
Verificando con la ley de los cosenos:
EJERCICIOS DE LA FISICA PARA INGENIEROS: RUSSELL HIBBELER VOL. 12
ESTATICA: PRODUCTO PUNT0
Msc. Widmar Aguilar
Febrero 2024
De: 
⃗/8 . 
⃗/0 ⌈
⃗/8⌉⌈
⃗/0⌉ (
⌈
⃗/8⌉ √2 3 √13 j
⌈
⃗/0⌉ 3 4 1 √26
(
Q
⃗kl .Q
⃗km
√ " √ h
! "
√ " √ h
( 74.219*
Por tanto:
⌈
⃗80⌉ ⌈
⃗/8⌉ ⌈
⃗/0⌉ 2 ⌈
⃗/8⌉⌈
⃗/0⌉c (
⌈
⃗80⌉ 13 26 2 ∗ √13 ∗ 26 74.219
⌈
⃗80⌉ 29
⌈
⃗80⌉ √29 5.385 j //
B= (0,2,0) ; E=(4,5,-2) ; D= (4,2,-2)
EJERCICIOS DE LA FISICA PARA INGENIEROS: RUSSELL HIBBELER VOL. 12
ESTATICA: PRODUCTO PUNT0
Msc. Widmar Aguilar
Febrero 2024
.
⃗n8
`+
⃗
`+
4 6 3, 2-
4 3 2
4 6 3, 2-
√29
.
⃗n8 0.743 6 0.557, 0.3714 -
⃗ 600.
⃗n8 445.8 6 334.2 , 222.84
.
⃗nf
`W
⃗
`W
0 6 3, 0-
0 3 0
3,
√9
,
OPQPR D ⃗. .
⃗nf
D 334.2 1 334.2 ----//
De: F2
= Fperp
2
+ Fparal
2
Fperp
2
= F2
- Fparal
2
OSQOSTU 600 334.2
OSQOSTU 498.03 --------------//
EJERCICIOS DE LA FISICA PARA INGENIEROS: RUSSELL HIBBELER VOL. 12
ESTATICA: PRODUCTO PUNT0
Msc. Widmar Aguilar
Febrero 2024
⃗ 120 6 90 , 80 -
120 90 80 170
⃗ 6 o, p -
⃗ 600 120 6 600 60, 600 45 -
⃗ 300 6 300 , 424.264 -
300 300 424.264 600
De;
⃗ . ⃗ = q ⃗ qq ⃗ q (
⃗ . ⃗ 120 300 90 300 80 424.264
⃗ . ⃗ = -42941.12
(
1 r1 .
g&∗h&&
0.42108
( 114.9*
---------//
Las proyecciones sobre el eje ´y´son:
Uy = j
D=
⃗ . .F 300 ∗ 1 300 -----//
EJERCICIOS DE LA FISICA PARA INGENIEROS: RUSSELL HIBBELER VOL. 12
ESTATICA: PRODUCTO PUNT0
Msc. Widmar Aguilar
Febrero 2024
D=
⃗ . .F 90 ∗ 1 90 --------//
La proyección de F2 sobre F1 es;
D=
⃗ . .
⃗=
.
⃗= .<6N]6 ] G G]s ^; 1
.
⃗= 6 o, p -
.
⃗= 120 6 60, cos 45 -
.
⃗= 0.5 6 0.5 , 0.707 -
D=
⃗ . .
⃗= 120 6 90 , 80 - . 0.5 6 0.5 , 0.707 -
D= 120 0.5 90 0.5 80 0.707
D= 60 45 56.569
D= 71.569 71. 569 -----------//
EJERCICIOS DE LA FISICA PARA INGENIEROS: RUSSELL HIBBELER VOL. 12
ESTATICA: PRODUCTO PUNT0
Msc. Widmar Aguilar
Febrero 2024
D ⃗. .
⃗=0
D
⃗ d ⃗. .
⃗=0c.
⃗=0 [; N 
D=( 2,0,1.5) ; F=(2,2,0) , C= (4,0,0)
EJERCICIOS DE LA FISICA PARA INGENIEROS: RUSSELL HIBBELER VOL. 12
ESTATICA: PRODUCTO PUNT0
Msc. Widmar Aguilar
Febrero 2024
.
⃗=f
W
⃗
W
0 6 2, 1.5-
0 2 1.5
2, 1.5 -
2.5
.
⃗=f 0.8 , 0.6 -
⃗ 80 .
⃗=f 64 , 48 -
.
⃗=0
e
⃗
e
2 6 2,
2 2
26 2,-
2√2
.
⃗=w 0.707 , 0.707 ,
D 64 , 48 - . .707 , 0.707j)
D 64 0.707 45.254 <
De: D
⃗ d ⃗. .
⃗=0c.
⃗=0
D
⃗ 45.254 0.707 , 0.707 ,
D
⃗ 31.99 6 31.99 , --------------//
EJERCICIOS DE LA FISICA PARA INGENIEROS: RUSSELL HIBBELER VOL. 12
ESTATICA: PRODUCTO PUNT0
Msc. Widmar Aguilar
Febrero 2024
A= (20, 40, 40) (mm)
⃗ 500 -
.
⃗/:
W
⃗
W
20 6 40, 40-
20 40 40
206 40, 40 -
60
.
⃗=f "
6
"
,
"
-
D ⃗. .
⃗=f
D
⃗ ⃗ d ⃗. .
⃗=fc.
⃗=f [; N 
F1 = (- 500 k). (
"
6
"
,
"
- 333.33 <
De: F2
= Fperp
2
+ F1
2
Fperp
2
= F2
– F1l
2
OSQOSTU 500 333.33
OSQOSTU 372.68 --------------//
EJERCICIOS DE LA FISICA PARA INGENIEROS: RUSSELL HIBBELER VOL. 12
ESTATICA: PRODUCTO PUNT0
Msc. Widmar Aguilar
Febrero 2024
Se tiene que;
A = (0,0,36) ; B= (18,-12,0)
.
⃗/8
+
⃗
+
18 6 12, 36-
18 12 36
186 12, 36 -
42
.
⃗=f
"
g
6
g
,
h
g
-
⃗/8 /8.
⃗=f 700 B
"
g
6
g
,
h
g
-C
⃗/8 300 6 200, 600 - GHI -----------//
La proyección de FAB sobre el eje z es:
D ⃗/8. .
⃗x ( 300 6 200, 600 - . -
D 600 ∗ 1 600 600 GHI -----//
EJERCICIOS DE LA FISICA PARA INGENIEROS: RUSSELL HIBBELER VOL. 12
ESTATICA: PRODUCTO PUNT0
Msc. Widmar Aguilar
Febrero 2024
;
C= (0,4,3)
;<45
=y
=
; 45
=LK
=
EF 400 45 282.843
30
=K
=LK
- F 282.843 ∗ 30 244.95
De: ;<45
=y
=
→ J 400 ;<45 282.843
;<30
=L
=LK
- E 282.843 ∗ ;<30 141.42
EJERCICIOS DE LA FISICA PARA INGENIEROS: RUSSELL HIBBELER VOL. 12
ESTATICA: PRODUCTO PUNT0
Msc. Widmar Aguilar
Febrero 2024
⃗ 141.42 6 244.95 , 282.843 -
La proyección de F sobre el eje AC es:
D
⃗ ⃗. .
⃗/0 .
⃗/0
.
⃗/0
e
⃗
e
0 6 4, 3-
0 4 3
4, 3 -
5
.
⃗/0
1
#
,
"
#
-
⃗. .
⃗/0 141.42 6 244.95 , 282.843 - .(
1
#
,
"
#
-
⃗. .
⃗/0 244.95 B
1
#
C 282.843 B
"
#
C
⃗. .
⃗/0 365.67
D
⃗ ⃗. .
⃗/0 .
⃗/0
D
⃗ 365.67
1
#
,
"
#
-
D
⃗ 292.53 6 219.4 , ---------//
EJERCICIOS DE LA FISICA PARA INGENIEROS: RUSSELL HIBBELER VOL. 12
ESTATICA: PRODUCTO PUNT0
Msc. Widmar Aguilar
Febrero 2024
Del problema anterior: B=(0,0,3) ; C= (0,4,3)
⃗ 141.42 6 244.95 , 282.843 -
La proyección de F sobre el eje BC es:
D ⃗. .
⃗80
.
⃗80
+e
⃗
+e
0 6 4, 0-
0 4 0
4,
4
,
.
⃗80 ,
D 141.42 6 244.95 , 282.843 - . ,
D 244.95 ------//
Finalmente:
F2
= Fperp
2
+ Fp2
Fperp
2
= F2
– p2
OSQOSTU 400 244.95
OSQOSTU 316.23 --------------//
EJERCICIOS DE LA FISICA PARA INGENIEROS: RUSSELL HIBBELER VOL. 12
ESTATICA: PRODUCTO PUNT0
Msc. Widmar Aguilar
Febrero 2024
La fuerza que actúa sobre el poste es AO, pero se pueden formar los
vectores siguientes: OA y OC para determinar de forma más fácil el
ángulo solicitado, así:
⃗ , e
⃗
O= (0,0,0) ; C= (4,0,0); A= ( 4,8,-8)
⃗ 4 6 8, 8 - - q ⃗q 4 8 8 12
EJERCICIOS DE LA FISICA PARA INGENIEROS: RUSSELL HIBBELER VOL. 12
ESTATICA: PRODUCTO PUNT0
Msc. Widmar Aguilar
Febrero 2024
e
⃗ 46 - q e
⃗q 4
⃗. e
⃗ q ⃗qq e
⃗q cos(
4 ∗ 4 12 ∗ 4 ( --- ( 70.53*
//
De:
⃗ 4 6 8, 8 - - q ⃗q 4 8 8 12
.
⃗:/
1 25!3 ! 9
"
6
"
,
"
-
.
⃗:f ;<30 6 30, = - 0.5 i + 0.866 j
.
⃗:f. .
⃗:/ |.
⃗:f||.
⃗:/| cos ∅
cos ∅
}
⃗~•.}
⃗~k
|}
⃗~•||}
⃗~k|
B
>
?
C∗&.#5B
4
?
C∗&.!hh
cos ∅ 0.41068
EJERCICIOS DE LA FISICA PARA INGENIEROS: RUSSELL HIBBELER VOL. 12
ESTATICA: PRODUCTO PUNT0
Msc. Widmar Aguilar
Febrero 2024
∅ 65.75*
//
⃗ 400 45 6 400 60 , 400 120-
⃗ 282.843 6 200 , 200 -
.
⃗= 45 6 60 , 120-
.
⃗= 0.707 6 0.5 , 0.5 -
EJERCICIOS DE LA FISICA PARA INGENIEROS: RUSSELL HIBBELER VOL. 12
ESTATICA: PRODUCTO PUNT0
Msc. Widmar Aguilar
Febrero 2024
20
=L
=LK
; 35
=y
1&&
→ J 327.66
;<35
=LK
=>
→ EF 400 ∗ ;<35 229.43
Se tiene:
E 229.43 ∗ 20 215.59
F 229.43 ∗ ;<20 78.47
El vector F1 es:
⃗ 215.59 6 78.47 , 327.66 -
La proyección de F1 sobre la línea de acción de F2 es:
D € ⃗ . .
⃗= •
D 215.59 6 78.47 , 327.66 - . 0.707 6 0.5 , 0.5 -)
D 152.422 39.235 163.83
D 50.64 ------//
Del ´problema anterior:
EJERCICIOS DE LA FISICA PARA INGENIEROS: RUSSELL HIBBELER VOL. 12
ESTATICA: PRODUCTO PUNT0
Msc. Widmar Aguilar
Febrero 2024
⃗ 215.59 6 78.47 , 327.66 -
⃗ 400 45 6 400 60 , 400 120-
⃗ 282.843 6 200 , 200 -
De: ⃗ . ⃗ q ⃗ qq ⃗ q (
(
=
⃗>.=
⃗4
q=
⃗>qq=
⃗4q
q ⃗ q 215.59 78.49 327.66 400
q ⃗ q 400
⃗ . ⃗ 215.59 282.843 78.47 200 327.66 200
⃗ . ⃗ 20247.877
(
& 1g.!gg
h&&&&
0.12655
( 97.27*
--------//
EJERCICIOS DE LA FISICA PARA INGENIEROS: RUSSELL HIBBELER VOL. 12
ESTATICA: PRODUCTO PUNT0
Msc. Widmar Aguilar
Febrero 2024
A= (0,500,300) , B= (0,0,300)
+
⃗ 500, → .
⃗/8 ,
;<30
=y
=
→ J 80 ∗ ;<30 40
30
=LK
=
→ EF 80 ∗ 30 69.282
;<45
=L
=LK
→ E 69.282 ∗ ;<45 48.99
45
=K
=LK
→ F 69.282 ∗ 45 48.99
⃗ 48.99 6 48.99 , 40 -
F = 80
De: ⃗. .
⃗/8 ∗ ./8 (
(
=
⃗. }
⃗kl
=∗}kl
1!.rr∗
!&
0.6124
( 127.76*
//
EJERCICIOS DE LA FISICA PARA INGENIEROS: RUSSELL HIBBELER VOL. 12
ESTATICA: PRODUCTO PUNT0
Msc. Widmar Aguilar
Febrero 2024
De la gráfica:
A= (15,0,0) ; B=(0,3,8) ; C=(0,-8,12)
+
⃗ 156 3, 8-
e
⃗ 156 8, 12-
+
⃗. e
⃗ q +
⃗qq e
⃗q (
(
/8
⃗./0
⃗
q/8
⃗qq/0
⃗q
q +
⃗q 15 3 8 √298
q e
⃗q 15 8 12 √433
(
# # 5" ! 5 ∗!
√ r!∗ √1""
rg
"#r. "
0.8268075
( 34.23*
//
EJERCICIOS DE LA FISICA PARA INGENIEROS: RUSSELL HIBBELER VOL. 12
ESTATICA: PRODUCTO PUNT0
Msc. Widmar Aguilar
Febrero 2024
Del ejercicio anterior:
A= (15,0,0) ; B=(0,3,8) ; C=(0,-8,12)
+
⃗ 156 3, 8-
.
⃗/8
/8
⃗
q/8
⃗q
#25"35!9
√ r!
= -0.8689 i+ 0.1738 j + 0.4634 k
⃗ 55 .
⃗/8 47.79 6 9.56 , 25.49 - GHI
.
⃗E 6
DS3SE
⃗. .
⃗E 47.79 1
DS3SE 47.79 GHI ------------//
Se sabe además que: e
⃗ 156 8, 12-
.
⃗/0
/0
⃗
q/0
⃗q
#2 !35 9
√1""
0.72096 0.3845, 0.577 -
DS3S /0
⃗. .
⃗/0 47.79 0.7209 9.56 0.3845
25.49 0.577
EJERCICIOS DE LA FISICA PARA INGENIEROS: RUSSELL HIBBELER VOL. 12
ESTATICA: PRODUCTO PUNT0
Msc. Widmar Aguilar
Febrero 2024
DS3S /0 45.48 GHI //
´ 300 ;<30 150
Fx = ƒ
;<30 150 ∗ 0.5 75
F 30 150√3 259.808
De; Fz = ƒ
300 ;<30 30 129.904
⃗ 75 6 259.808 , 129.904 -
EJERCICIOS DE LA FISICA PARA INGENIEROS: RUSSELL HIBBELER VOL. 12
ESTATICA: PRODUCTO PUNT0
Msc. Widmar Aguilar
Febrero 2024
De los conceptos de proyección:
D ⃗. .
⃗E 75 6 259.808 , 129.904 - . 6
DE 75 ∗ 1 75 -----//
Sobre el eje y:
D ⃗. .
⃗F 75 6 259.808 , 129.904 - . ,
DE 259.808 ∗ 1 259.808 ------//
EJERCICIOS DE LA FISICA PARA INGENIEROS: RUSSELL HIBBELER VOL. 12
ESTATICA: PRODUCTO PUNT0
Msc. Widmar Aguilar
Febrero 2024
Se tiene que:
W; G] sáI6 ]: 30
J
"&&
→ † 259.808 jj
;<30
E´
"&&
→ ‡´ 150 jj
A = (-300-150, 300, 259.808 ) (mm)
.
⃗:/
:/
⃗
|:/|
1#&25"&&35 #r.!&!
h&&
0.756 0.5, 0.433 -
Además: ´ 300 ;<30 150
Fx = ƒ
;<30 150 ∗ 0.5 75
F 30 150√3 259.808
De; Fz = ƒ
300 ;<30 30 129.904
⃗ 75 6 259.808 , 129.904 -
De los conceptos de proyección:
D ⃗. .
⃗:/
D 75 6 259.808 , 129.904 - . 0.756 0.5, 0.433 -
D 75 0.75 259.808 0.5 129.904 0.433
D 242.4 --------------------------//
EJERCICIOS DE LA FISICA PARA INGENIEROS: RUSSELL HIBBELER VOL. 12
ESTATICA: PRODUCTO PUNT0
Msc. Widmar Aguilar
Febrero 2024
;<30
=y
=>
→ J 30 ∗ ;<60 15 GHI
30
EF
→ EF 30 30 25.98 GHI
Además: ;<30
=>L
=>LK
→ E 25.98 ;<30 13 GHI
30
=>K
=>LK
→ F 25.98 30 22.5 GHI
⃗ 13 6 22.5 , 15 - GHI
De: o p 01
EJERCICIOS DE LA FISICA PARA INGENIEROS: RUSSELL HIBBELER VOL. 12
ESTATICA: PRODUCTO PUNT0
Msc. Widmar Aguilar
Febrero 2024
1 60 60
90 45 135
⃗ 25 cos 135 6 25 60 , 25 60 -
⃗ 17.678 6 12.5 , 12.5 - GHI
.
⃗= cos 135 6 60 , 60 -
.
⃗= 0.707 6 0.5 , 0.5 -
Se tiene: D ⃗ . .
⃗=
D 13 6 22.5 , 15 - . 0.707 6 0.5 , 0.5 -
D 13 ∗ 0.707 22.5 0.5 15 0.5
D 5.44 GHI → D 55.4 GHI -----//
Del problema anterior:
EJERCICIOS DE LA FISICA PARA INGENIEROS: RUSSELL HIBBELER VOL. 12
ESTATICA: PRODUCTO PUNT0
Msc. Widmar Aguilar
Febrero 2024
⃗ 13 6 22.5 , 15 - GHI
⃗ 17.678 6 12.5 , 12.5 - GHI
De: ⃗ . ⃗ q ⃗ qq ⃗ q (
(
=
⃗>.=
⃗4
q=
⃗>qq=
⃗4q
⃗ . ⃗ 13 17.678 22.5 ∗ 12.5 12.5 15
⃗ . ⃗ 136.064
(
"h.&h1
"&∗ #
0.181418
( 100.45*
//

EJERCICIOS_PRODUCTOPUNTO_ESTATICA_HIBBERLER.pdf

  • 1.
    EJERCICIOS DE LAFISICA PARA INGENIEROS: RUSSELL HIBBELER VOL. 12 ESTATICA: PRODUCTO PUNT0 Msc. Widmar Aguilar Febrero 2024 ⃗ 6 9 3 ⃗ = i -2j+ 2 k (m) ⃗. ⃗ ⃗. ⃗ 6 1 9 2 3 2 ⃗. ⃗ 18 6 9 3 11.225 1 2 2 3 ! " . ## 0.5345 122.31& → ( 180 180 122.31 57.69* -----------//
  • 2.
    EJERCICIOS DE LAFISICA PARA INGENIEROS: RUSSELL HIBBELER VOL. 12 ESTATICA: PRODUCTO PUNT0 Msc. Widmar Aguilar Febrero 2024 A= (0,3,0) , B=(0,0,4) ; C= (4,0,0) + ⃗ 3 , 4 - . ⃗/0 /0 ⃗ /0 1 2 "3 145 " 4 0.8 6 0.6 , ⃗ 300 ∗ . ⃗/0 240 6 180 , . ⃗/8 /8 ⃗ /8 " 3519 " 45 1 4 0.6 , 0.8 - De: . ⃗/8. . ⃗/0 1 1 ( ( 0.8 0 06 0.6 0 ( 0.36 ( 68.9* ----------//
  • 3.
    EJERCICIOS DE LAFISICA PARA INGENIEROS: RUSSELL HIBBELER VOL. 12 ESTATICA: PRODUCTO PUNT0 Msc. Widmar Aguilar Febrero 2024 . ⃗:/ 6 ;< , " 6 # " , ⃗ 650 , . ⃗:/ = ⃗ = >4 >? 25 @ >? 3 / " 45 #/ " 4 " 6 # " , . ⃗:/. . ⃗= 1 1 ( ( B " C 9 ∗ 0 # " ∗ 1 # " ( 67.38* --------------------------// C D ⃗. . ⃗:/ . ⃗:/ " 6 # " , 6 ;< , ⃗ 650 , D 650 ,. B " 6 # " ,C
  • 4.
    EJERCICIOS DE LAFISICA PARA INGENIEROS: RUSSELL HIBBELER VOL. 12 ESTATICA: PRODUCTO PUNT0 Msc. Widmar Aguilar Febrero 2024 D 650 ∗ # " 250 (N) -----------// O= (0,0,0) ; A= (0,4,6) ; B=(4,5,0) . ⃗/: ⃗ 4, 6- 4 6 0.5547, 0.832 - . ⃗/8 + ⃗ + 46 , 6- 4 16 6 0.5496 0.137, .824 - ⃗ 400 . ⃗/8 219.6 6 54.8 , 329.6 - D ⃗. . ⃗/: 219.6 6 54.8 , 329.6 - . 0.5547, 0.832- D 54.8 0.5547 329.69 0.824
  • 5.
    EJERCICIOS DE LAFISICA PARA INGENIEROS: RUSSELL HIBBELER VOL. 12 ESTATICA: PRODUCTO PUNT0 Msc. Widmar Aguilar Febrero 2024 D 243.9 (N) --------------------------------// O = (0,0,o); A= (-4,4, 2) ;
  • 6.
    EJERCICIOS DE LAFISICA PARA INGENIEROS: RUSSELL HIBBELER VOL. 12 ESTATICA: PRODUCTO PUNT0 Msc. Widmar Aguilar Febrero 2024 EF 60 600 60 300 GHI J 600 ∗ ;< 60 519.62 GHI Dela figura: cos 30 = =K =LK ; F EF 30 F 300 ∗ 30 259.8 GHI E 300 ∗ ;<30 150 GHI ⃗J 150 6 259.8 , 519.62 - GHI Se tiene: ⃗ 46 4, 2 - IN . ⃗:/ ⃗ 4 6 4, 2- 4 4 2 0.667 6 0.667, 0.33 - OPQPR ⃗. . ⃗:/ ⃗. . ⃗:/ 150 6 259.8 , 519.62 - . 0.667 6 0.667, 0.33 -) ⃗. . ⃗:/ 150 0.667 259.8 0.667 0.333 519.62 ⃗. . ⃗:/ 446.04 GHI --------------// Como: F2 = Fperp 2 + Fparal 2 Fperp 2 = F2 - Fparal 2 OSQOSTU 600 446.04 OSQOSTU 400.9 GHI --------------//
  • 7.
    EJERCICIOS DE LAFISICA PARA INGENIEROS: RUSSELL HIBBELER VOL. 12 ESTATICA: PRODUCTO PUNT0 Msc. Widmar Aguilar Febrero 2024 Sea el triángulo: V+ ⃗ W ⃗X (" V+ ⃗X ( ⌈W⌉ ( ----(a) Como el producto punto se define como: ⃗. + ⃗ V ⃗XV+ ⃗X ( Se multiplica la expresión (a) por A: V ⃗X V+ ⃗ W ⃗X (" V ⃗X V+ ⃗X ( V ⃗XVW ⃗X ( Por lo tanto: ⃗. + ⃗ W ⃗ ⃗. + ⃗ ⃗. W ⃗---------------------------// También se puede demostrar usando el principio de proyecciones,
  • 8.
    EJERCICIOS DE LAFISICA PARA INGENIEROS: RUSSELL HIBBELER VOL. 12 ESTATICA: PRODUCTO PUNT0 Msc. Widmar Aguilar Febrero 2024 . ⃗/ [; NG .<6]6 ;< ^6; 6ó< ^; + ⃗ W ⃗ OQ*FS `a + ⃗ W ⃗ OQ*FS ` a + ⃗ W ⃗ OQ*FS. . ⃗/ ` . ⃗/ a. ⃗/ (+ ⃗ W ⃗ . . ⃗/b + ⃗ . ⃗/ W ⃗ . ⃗/ Multiplicando por A: A{ (+ ⃗ W ⃗ . . ⃗/ c + ⃗ . ⃗/ W ⃗ . ⃗/ (+ ⃗ W ⃗ . . ⃗/ = + ⃗ . ⃗/ W ⃗ . ⃗/ (+ ⃗ W ⃗ . ⃗ = + ⃗ ⃗ W ⃗ ⃗ . + ⃗ W ⃗ = ⃗ . + ⃗ ⃗. W ⃗ ------//
  • 9.
    EJERCICIOS DE LAFISICA PARA INGENIEROS: RUSSELL HIBBELER VOL. 12 ESTATICA: PRODUCTO PUNT0 Msc. Widmar Aguilar Febrero 2024 D ⃗ d ⃗. . ⃗/0c. ⃗/0 A = (0,3,0) , B= (-1.5, 0, 1) , C= (1.5,0,3) + ⃗ 1.5 6 3, - e ⃗ 1.5 6 3, 3- . ⃗/8 + ⃗ + 1.5 6 3, - 1.5 3 1 1.5 6 3, - 3.5 3 7 6 6 7 , 2 7 - ⃗/8= 560 . ⃗/8 2406 480, 160 -
  • 10.
    EJERCICIOS DE LAFISICA PARA INGENIEROS: RUSSELL HIBBELER VOL. 12 ESTATICA: PRODUCTO PUNT0 Msc. Widmar Aguilar Febrero 2024 . ⃗/0 e ⃗ e 1.5 6 3, 3- 1.5 3 3 1.5 6 3, 3- 4.5 1 3 6 2 3 , 2 3 - De: D ⃗ d ⃗. . ⃗/0c. ⃗/0 D ⃗ d 240 B" C 480 B " C 160 " c. . ⃗/0 D ⃗ 346.67 . ⃗/0 -- p = 346.67 (N)----// D ⃗ 115.55 6 231.11 , 231.11 - ---//
  • 11.
    EJERCICIOS DE LAFISICA PARA INGENIEROS: RUSSELL HIBBELER VOL. 12 ESTATICA: PRODUCTO PUNT0 Msc. Widmar Aguilar Febrero 2024 A= (-1.5,3,1) ; D= (0,0,2) Se tiene: ⃗ 1.56 3, - IN . ⃗/: ⃗ 1.5 6 3, - 1.5 3 1 1.5 6 3, - 3.5 . ⃗/: 3 7 6 6 7 , 2 7 - W ⃗ 1.56 3, - IN . ⃗/f W ⃗ W 1.5 6 3, - 1.5 3 1 1.5 6 3, - 3.5 . ⃗/f 3 7 6 6 7 , 2 7 - ⃗ 56. ⃗/f 24 6 48 , 16 - OPQPR ⃗. . ⃗/: ⃗. . ⃗/: 24 6 48 , 16 - . " g 6 h g , g -) ⃗OPQPR g g !! g " g " ! g ⃗OPQPR 46.86 --------------// Como: F2 = Fperp 2 + Fparal 2 Fperp 2 = F2 - Fparal 2 OSQOSTU 56 46.86 OSQOSTU 30.67 --------------//
  • 12.
    EJERCICIOS DE LAFISICA PARA INGENIEROS: RUSSELL HIBBELER VOL. 12 ESTATICA: PRODUCTO PUNT0 Msc. Widmar Aguilar Febrero 2024 A= (0,1,1) ; B= (0,3,4) ; C=(3,5,0) ⃗80 36 2, 4- ⃗/0 36 4, - ⃗/8 0 6 2, 3- ⌈ ⃗80⌉ √3 2 4 5.385 j // Verificando con la ley de los cosenos:
  • 13.
    EJERCICIOS DE LAFISICA PARA INGENIEROS: RUSSELL HIBBELER VOL. 12 ESTATICA: PRODUCTO PUNT0 Msc. Widmar Aguilar Febrero 2024 De: ⃗/8 . ⃗/0 ⌈ ⃗/8⌉⌈ ⃗/0⌉ ( ⌈ ⃗/8⌉ √2 3 √13 j ⌈ ⃗/0⌉ 3 4 1 √26 ( Q ⃗kl .Q ⃗km √ " √ h ! " √ " √ h ( 74.219* Por tanto: ⌈ ⃗80⌉ ⌈ ⃗/8⌉ ⌈ ⃗/0⌉ 2 ⌈ ⃗/8⌉⌈ ⃗/0⌉c ( ⌈ ⃗80⌉ 13 26 2 ∗ √13 ∗ 26 74.219 ⌈ ⃗80⌉ 29 ⌈ ⃗80⌉ √29 5.385 j // B= (0,2,0) ; E=(4,5,-2) ; D= (4,2,-2)
  • 14.
    EJERCICIOS DE LAFISICA PARA INGENIEROS: RUSSELL HIBBELER VOL. 12 ESTATICA: PRODUCTO PUNT0 Msc. Widmar Aguilar Febrero 2024 . ⃗n8 `+ ⃗ `+ 4 6 3, 2- 4 3 2 4 6 3, 2- √29 . ⃗n8 0.743 6 0.557, 0.3714 - ⃗ 600. ⃗n8 445.8 6 334.2 , 222.84 . ⃗nf `W ⃗ `W 0 6 3, 0- 0 3 0 3, √9 , OPQPR D ⃗. . ⃗nf D 334.2 1 334.2 ----// De: F2 = Fperp 2 + Fparal 2 Fperp 2 = F2 - Fparal 2 OSQOSTU 600 334.2 OSQOSTU 498.03 --------------//
  • 15.
    EJERCICIOS DE LAFISICA PARA INGENIEROS: RUSSELL HIBBELER VOL. 12 ESTATICA: PRODUCTO PUNT0 Msc. Widmar Aguilar Febrero 2024 ⃗ 120 6 90 , 80 - 120 90 80 170 ⃗ 6 o, p - ⃗ 600 120 6 600 60, 600 45 - ⃗ 300 6 300 , 424.264 - 300 300 424.264 600 De; ⃗ . ⃗ = q ⃗ qq ⃗ q ( ⃗ . ⃗ 120 300 90 300 80 424.264 ⃗ . ⃗ = -42941.12 ( 1 r1 . g&∗h&& 0.42108 ( 114.9* ---------// Las proyecciones sobre el eje ´y´son: Uy = j D= ⃗ . .F 300 ∗ 1 300 -----//
  • 16.
    EJERCICIOS DE LAFISICA PARA INGENIEROS: RUSSELL HIBBELER VOL. 12 ESTATICA: PRODUCTO PUNT0 Msc. Widmar Aguilar Febrero 2024 D= ⃗ . .F 90 ∗ 1 90 --------// La proyección de F2 sobre F1 es; D= ⃗ . . ⃗= . ⃗= .<6N]6 ] G G]s ^; 1 . ⃗= 6 o, p - . ⃗= 120 6 60, cos 45 - . ⃗= 0.5 6 0.5 , 0.707 - D= ⃗ . . ⃗= 120 6 90 , 80 - . 0.5 6 0.5 , 0.707 - D= 120 0.5 90 0.5 80 0.707 D= 60 45 56.569 D= 71.569 71. 569 -----------//
  • 17.
    EJERCICIOS DE LAFISICA PARA INGENIEROS: RUSSELL HIBBELER VOL. 12 ESTATICA: PRODUCTO PUNT0 Msc. Widmar Aguilar Febrero 2024 D ⃗. . ⃗=0 D ⃗ d ⃗. . ⃗=0c. ⃗=0 [; N D=( 2,0,1.5) ; F=(2,2,0) , C= (4,0,0)
  • 18.
    EJERCICIOS DE LAFISICA PARA INGENIEROS: RUSSELL HIBBELER VOL. 12 ESTATICA: PRODUCTO PUNT0 Msc. Widmar Aguilar Febrero 2024 . ⃗=f W ⃗ W 0 6 2, 1.5- 0 2 1.5 2, 1.5 - 2.5 . ⃗=f 0.8 , 0.6 - ⃗ 80 . ⃗=f 64 , 48 - . ⃗=0 e ⃗ e 2 6 2, 2 2 26 2,- 2√2 . ⃗=w 0.707 , 0.707 , D 64 , 48 - . .707 , 0.707j) D 64 0.707 45.254 < De: D ⃗ d ⃗. . ⃗=0c. ⃗=0 D ⃗ 45.254 0.707 , 0.707 , D ⃗ 31.99 6 31.99 , --------------//
  • 19.
    EJERCICIOS DE LAFISICA PARA INGENIEROS: RUSSELL HIBBELER VOL. 12 ESTATICA: PRODUCTO PUNT0 Msc. Widmar Aguilar Febrero 2024 A= (20, 40, 40) (mm) ⃗ 500 - . ⃗/: W ⃗ W 20 6 40, 40- 20 40 40 206 40, 40 - 60 . ⃗=f " 6 " , " - D ⃗. . ⃗=f D ⃗ ⃗ d ⃗. . ⃗=fc. ⃗=f [; N F1 = (- 500 k). ( " 6 " , " - 333.33 < De: F2 = Fperp 2 + F1 2 Fperp 2 = F2 – F1l 2 OSQOSTU 500 333.33 OSQOSTU 372.68 --------------//
  • 20.
    EJERCICIOS DE LAFISICA PARA INGENIEROS: RUSSELL HIBBELER VOL. 12 ESTATICA: PRODUCTO PUNT0 Msc. Widmar Aguilar Febrero 2024 Se tiene que; A = (0,0,36) ; B= (18,-12,0) . ⃗/8 + ⃗ + 18 6 12, 36- 18 12 36 186 12, 36 - 42 . ⃗=f " g 6 g , h g - ⃗/8 /8. ⃗=f 700 B " g 6 g , h g -C ⃗/8 300 6 200, 600 - GHI -----------// La proyección de FAB sobre el eje z es: D ⃗/8. . ⃗x ( 300 6 200, 600 - . - D 600 ∗ 1 600 600 GHI -----//
  • 21.
    EJERCICIOS DE LAFISICA PARA INGENIEROS: RUSSELL HIBBELER VOL. 12 ESTATICA: PRODUCTO PUNT0 Msc. Widmar Aguilar Febrero 2024 ; C= (0,4,3) ;<45 =y = ; 45 =LK = EF 400 45 282.843 30 =K =LK - F 282.843 ∗ 30 244.95 De: ;<45 =y = → J 400 ;<45 282.843 ;<30 =L =LK - E 282.843 ∗ ;<30 141.42
  • 22.
    EJERCICIOS DE LAFISICA PARA INGENIEROS: RUSSELL HIBBELER VOL. 12 ESTATICA: PRODUCTO PUNT0 Msc. Widmar Aguilar Febrero 2024 ⃗ 141.42 6 244.95 , 282.843 - La proyección de F sobre el eje AC es: D ⃗ ⃗. . ⃗/0 . ⃗/0 . ⃗/0 e ⃗ e 0 6 4, 3- 0 4 3 4, 3 - 5 . ⃗/0 1 # , " # - ⃗. . ⃗/0 141.42 6 244.95 , 282.843 - .( 1 # , " # - ⃗. . ⃗/0 244.95 B 1 # C 282.843 B " # C ⃗. . ⃗/0 365.67 D ⃗ ⃗. . ⃗/0 . ⃗/0 D ⃗ 365.67 1 # , " # - D ⃗ 292.53 6 219.4 , ---------//
  • 23.
    EJERCICIOS DE LAFISICA PARA INGENIEROS: RUSSELL HIBBELER VOL. 12 ESTATICA: PRODUCTO PUNT0 Msc. Widmar Aguilar Febrero 2024 Del problema anterior: B=(0,0,3) ; C= (0,4,3) ⃗ 141.42 6 244.95 , 282.843 - La proyección de F sobre el eje BC es: D ⃗. . ⃗80 . ⃗80 +e ⃗ +e 0 6 4, 0- 0 4 0 4, 4 , . ⃗80 , D 141.42 6 244.95 , 282.843 - . , D 244.95 ------// Finalmente: F2 = Fperp 2 + Fp2 Fperp 2 = F2 – p2 OSQOSTU 400 244.95 OSQOSTU 316.23 --------------//
  • 24.
    EJERCICIOS DE LAFISICA PARA INGENIEROS: RUSSELL HIBBELER VOL. 12 ESTATICA: PRODUCTO PUNT0 Msc. Widmar Aguilar Febrero 2024 La fuerza que actúa sobre el poste es AO, pero se pueden formar los vectores siguientes: OA y OC para determinar de forma más fácil el ángulo solicitado, así: ⃗ , e ⃗ O= (0,0,0) ; C= (4,0,0); A= ( 4,8,-8) ⃗ 4 6 8, 8 - - q ⃗q 4 8 8 12
  • 25.
    EJERCICIOS DE LAFISICA PARA INGENIEROS: RUSSELL HIBBELER VOL. 12 ESTATICA: PRODUCTO PUNT0 Msc. Widmar Aguilar Febrero 2024 e ⃗ 46 - q e ⃗q 4 ⃗. e ⃗ q ⃗qq e ⃗q cos( 4 ∗ 4 12 ∗ 4 ( --- ( 70.53* // De: ⃗ 4 6 8, 8 - - q ⃗q 4 8 8 12 . ⃗:/ 1 25!3 ! 9 " 6 " , " - . ⃗:f ;<30 6 30, = - 0.5 i + 0.866 j . ⃗:f. . ⃗:/ |. ⃗:f||. ⃗:/| cos ∅ cos ∅ } ⃗~•.} ⃗~k |} ⃗~•||} ⃗~k| B > ? C∗&.#5B 4 ? C∗&.!hh cos ∅ 0.41068
  • 26.
    EJERCICIOS DE LAFISICA PARA INGENIEROS: RUSSELL HIBBELER VOL. 12 ESTATICA: PRODUCTO PUNT0 Msc. Widmar Aguilar Febrero 2024 ∅ 65.75* // ⃗ 400 45 6 400 60 , 400 120- ⃗ 282.843 6 200 , 200 - . ⃗= 45 6 60 , 120- . ⃗= 0.707 6 0.5 , 0.5 -
  • 27.
    EJERCICIOS DE LAFISICA PARA INGENIEROS: RUSSELL HIBBELER VOL. 12 ESTATICA: PRODUCTO PUNT0 Msc. Widmar Aguilar Febrero 2024 20 =L =LK ; 35 =y 1&& → J 327.66 ;<35 =LK => → EF 400 ∗ ;<35 229.43 Se tiene: E 229.43 ∗ 20 215.59 F 229.43 ∗ ;<20 78.47 El vector F1 es: ⃗ 215.59 6 78.47 , 327.66 - La proyección de F1 sobre la línea de acción de F2 es: D € ⃗ . . ⃗= • D 215.59 6 78.47 , 327.66 - . 0.707 6 0.5 , 0.5 -) D 152.422 39.235 163.83 D 50.64 ------// Del ´problema anterior:
  • 28.
    EJERCICIOS DE LAFISICA PARA INGENIEROS: RUSSELL HIBBELER VOL. 12 ESTATICA: PRODUCTO PUNT0 Msc. Widmar Aguilar Febrero 2024 ⃗ 215.59 6 78.47 , 327.66 - ⃗ 400 45 6 400 60 , 400 120- ⃗ 282.843 6 200 , 200 - De: ⃗ . ⃗ q ⃗ qq ⃗ q ( ( = ⃗>.= ⃗4 q= ⃗>qq= ⃗4q q ⃗ q 215.59 78.49 327.66 400 q ⃗ q 400 ⃗ . ⃗ 215.59 282.843 78.47 200 327.66 200 ⃗ . ⃗ 20247.877 ( & 1g.!gg h&&&& 0.12655 ( 97.27* --------//
  • 29.
    EJERCICIOS DE LAFISICA PARA INGENIEROS: RUSSELL HIBBELER VOL. 12 ESTATICA: PRODUCTO PUNT0 Msc. Widmar Aguilar Febrero 2024 A= (0,500,300) , B= (0,0,300) + ⃗ 500, → . ⃗/8 , ;<30 =y = → J 80 ∗ ;<30 40 30 =LK = → EF 80 ∗ 30 69.282 ;<45 =L =LK → E 69.282 ∗ ;<45 48.99 45 =K =LK → F 69.282 ∗ 45 48.99 ⃗ 48.99 6 48.99 , 40 - F = 80 De: ⃗. . ⃗/8 ∗ ./8 ( ( = ⃗. } ⃗kl =∗}kl 1!.rr∗ !& 0.6124 ( 127.76* //
  • 30.
    EJERCICIOS DE LAFISICA PARA INGENIEROS: RUSSELL HIBBELER VOL. 12 ESTATICA: PRODUCTO PUNT0 Msc. Widmar Aguilar Febrero 2024 De la gráfica: A= (15,0,0) ; B=(0,3,8) ; C=(0,-8,12) + ⃗ 156 3, 8- e ⃗ 156 8, 12- + ⃗. e ⃗ q + ⃗qq e ⃗q ( ( /8 ⃗./0 ⃗ q/8 ⃗qq/0 ⃗q q + ⃗q 15 3 8 √298 q e ⃗q 15 8 12 √433 ( # # 5" ! 5 ∗! √ r!∗ √1"" rg "#r. " 0.8268075 ( 34.23* //
  • 31.
    EJERCICIOS DE LAFISICA PARA INGENIEROS: RUSSELL HIBBELER VOL. 12 ESTATICA: PRODUCTO PUNT0 Msc. Widmar Aguilar Febrero 2024 Del ejercicio anterior: A= (15,0,0) ; B=(0,3,8) ; C=(0,-8,12) + ⃗ 156 3, 8- . ⃗/8 /8 ⃗ q/8 ⃗q #25"35!9 √ r! = -0.8689 i+ 0.1738 j + 0.4634 k ⃗ 55 . ⃗/8 47.79 6 9.56 , 25.49 - GHI . ⃗E 6 DS3SE ⃗. . ⃗E 47.79 1 DS3SE 47.79 GHI ------------// Se sabe además que: e ⃗ 156 8, 12- . ⃗/0 /0 ⃗ q/0 ⃗q #2 !35 9 √1"" 0.72096 0.3845, 0.577 - DS3S /0 ⃗. . ⃗/0 47.79 0.7209 9.56 0.3845 25.49 0.577
  • 32.
    EJERCICIOS DE LAFISICA PARA INGENIEROS: RUSSELL HIBBELER VOL. 12 ESTATICA: PRODUCTO PUNT0 Msc. Widmar Aguilar Febrero 2024 DS3S /0 45.48 GHI // ´ 300 ;<30 150 Fx = ƒ ;<30 150 ∗ 0.5 75 F 30 150√3 259.808 De; Fz = ƒ 300 ;<30 30 129.904 ⃗ 75 6 259.808 , 129.904 -
  • 33.
    EJERCICIOS DE LAFISICA PARA INGENIEROS: RUSSELL HIBBELER VOL. 12 ESTATICA: PRODUCTO PUNT0 Msc. Widmar Aguilar Febrero 2024 De los conceptos de proyección: D ⃗. . ⃗E 75 6 259.808 , 129.904 - . 6 DE 75 ∗ 1 75 -----// Sobre el eje y: D ⃗. . ⃗F 75 6 259.808 , 129.904 - . , DE 259.808 ∗ 1 259.808 ------//
  • 34.
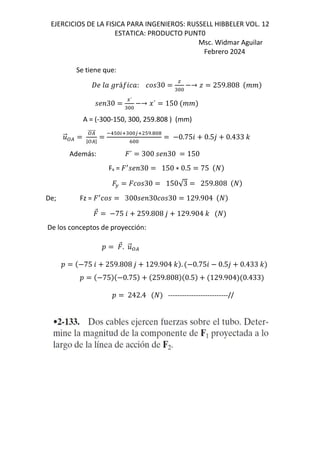
    EJERCICIOS DE LAFISICA PARA INGENIEROS: RUSSELL HIBBELER VOL. 12 ESTATICA: PRODUCTO PUNT0 Msc. Widmar Aguilar Febrero 2024 Se tiene que: W; G] sáI6 ]: 30 J "&& → † 259.808 jj ;<30 E´ "&& → ‡´ 150 jj A = (-300-150, 300, 259.808 ) (mm) . ⃗:/ :/ ⃗ |:/| 1#&25"&&35 #r.!&! h&& 0.756 0.5, 0.433 - Además: ´ 300 ;<30 150 Fx = ƒ ;<30 150 ∗ 0.5 75 F 30 150√3 259.808 De; Fz = ƒ 300 ;<30 30 129.904 ⃗ 75 6 259.808 , 129.904 - De los conceptos de proyección: D ⃗. . ⃗:/ D 75 6 259.808 , 129.904 - . 0.756 0.5, 0.433 - D 75 0.75 259.808 0.5 129.904 0.433 D 242.4 --------------------------//
  • 35.
    EJERCICIOS DE LAFISICA PARA INGENIEROS: RUSSELL HIBBELER VOL. 12 ESTATICA: PRODUCTO PUNT0 Msc. Widmar Aguilar Febrero 2024 ;<30 =y => → J 30 ∗ ;<60 15 GHI 30 EF → EF 30 30 25.98 GHI Además: ;<30 =>L =>LK → E 25.98 ;<30 13 GHI 30 =>K =>LK → F 25.98 30 22.5 GHI ⃗ 13 6 22.5 , 15 - GHI De: o p 01
  • 36.
    EJERCICIOS DE LAFISICA PARA INGENIEROS: RUSSELL HIBBELER VOL. 12 ESTATICA: PRODUCTO PUNT0 Msc. Widmar Aguilar Febrero 2024 1 60 60 90 45 135 ⃗ 25 cos 135 6 25 60 , 25 60 - ⃗ 17.678 6 12.5 , 12.5 - GHI . ⃗= cos 135 6 60 , 60 - . ⃗= 0.707 6 0.5 , 0.5 - Se tiene: D ⃗ . . ⃗= D 13 6 22.5 , 15 - . 0.707 6 0.5 , 0.5 - D 13 ∗ 0.707 22.5 0.5 15 0.5 D 5.44 GHI → D 55.4 GHI -----// Del problema anterior:
  • 37.
    EJERCICIOS DE LAFISICA PARA INGENIEROS: RUSSELL HIBBELER VOL. 12 ESTATICA: PRODUCTO PUNT0 Msc. Widmar Aguilar Febrero 2024 ⃗ 13 6 22.5 , 15 - GHI ⃗ 17.678 6 12.5 , 12.5 - GHI De: ⃗ . ⃗ q ⃗ qq ⃗ q ( ( = ⃗>.= ⃗4 q= ⃗>qq= ⃗4q ⃗ . ⃗ 13 17.678 22.5 ∗ 12.5 12.5 15 ⃗ . ⃗ 136.064 ( "h.&h1 "&∗ # 0.181418 ( 100.45* //