Index
1- Preface...........................................................................................................................................................
2- Introduction to Bioelectricity........................................................................................................................
3- Electrocardiography
4- Forward and Reverse problems definition
5- Simulation models of the human heart
6- Introduction to Neural Networks
7- Application of NN simulators in ECG
8- References
Preface
Throughout the history of our universe, various aspects and fields of science merged to give birth to a new
understanding and a special appreciation to each and every bit of that universe we live in
And in such a marvelous marriage between the fields of biology , chemistry , physics and mathematics ... a miraculous
new field of biomedical engineering was born , a field that revolutionized our understanding of the human body and its
wonderful mechanics and electrical characteristics and dynamics
And in that human body .. the human heart stood out as one of the most fascinating mechanisms ... on the levels of
engineering and biology , an organ ... that throughout the history was a source for magic , poems , and life itself
And as engineers see the magical world through poems of math , and tend to study its aspects through simple models
yet complicated analysis
We , a team of engineers have put our minds to the task of studying the various electrical characteristics of the human
heart , as ambitious our agile minds was ... as wise as the mind of our supervisor to guide us through that magical world
of the mathematics ... of the human heart
Here we provide a journey through the various efforts done by a lot of researchers in that field , and adopt a special
technique to model the human heart in its natural habitat ... the thorax
And through refining of the results through a set of ANN – artificial neural networks – simulators ... we offer an
ambitious approach toward solving the problem of ECG –electrocardiography-
A problem which if solved accurately can and will revolutionize the field of cardiac medicine and cardiac surgery , and
give birth to a new set of ideas that pave the road toward a new understanding of ECG
We thank all those who helped us in our journey through the findings of this book and that project
We specially thank those who made it possible for us to reach our findings through their work in the fields of
mathematics , computer software and biology
And finally , we offer our utmost respect and our sincerest thanks to our supervisor dr/abd elreheem khalifa , who was a
mentor to each and every one of us through this project and gave us what we needed to work on his own models and
findings in the field of ECG
The Bio eleven
supervised by
DR/ Abd Al-Reheem Khalifa
The project team
- Eslam Saeed Abo eliel seat # 64
- Eslam Osama Al-Sayed Al-Gwaily seat # 63
- Sally Mohammed Abd Al-mun’em Arafa seat # 171
- Asmaa ashraf othman el-desouky seat # 68
- Radwa Nasr Aldeen Ebraheem Hussein seat # 147
- Radwa Hussam Hassan Al-hady seat # 145
- Mohammed ebraheem Mohammed Salama seat # 263
- Mohammed Aly Hassan Mostafa seat # 295
- Mostafa Ahmed Mohammed Oda seat # 347
- Nader Mahmoud Mohammed Khaleel seat # 377
- Mostafa Mohammed Fahmy Abd-Elreheem seat # 349
Introduction to Bioelectricity
Bioelectricity is fundamental to all of life’s processes. Indeed, placing electrodes on the human body,
or on any living thing, and connecting them to a sensitive voltmeter will show an assortment of both
steady and time-varying electric potentials depending on where the electrodes are placed. These
biopotentials result from complex biochemical processes, and their study is known as electrophysiology.
We can derive much information about the function, health, and well-being of living things by the
study of these potentials. To do this effectively, we need to understand how bioelectricity is generated,
propagated, and optimally measured.
In an electrical sense, living things can be modeled as a bag of water
having various dissolved salts.
These salts ionize in solution and create an electrolyte where the
positive and negative ionic charges
are available to carry electricity. Positive electric charge is carried
primarily by sodium and potassium
ions, and negative charges often are carried by chloride and hydroxyl.
On a larger scale, the total
numbers of positive and negative charges in biological fluids are equal,
as illustrated in Fig. 20.1.
This, in turn, maintains net electroneutrality of living things with respect to
their environment.
Biochemical processes at the cell molecular level are intimately associated
with the transfer of
electric charge. From the standpoint of bioelectricity, living things are
analogous to an electrolyte
container filled with millions of small chemical batteries. Most of these
batteries are located at cell
membranes and help define things such as cell osmotic pressure and
selectivity to substances that cross the membrane. These fields can vary
transiently in time and thus carry information and so
underlie the function of the brain and nervous system.
The most fundamental bioelectric processes of life occur at the level of membranes. In living
things, there are many processes that create segregation of charge and so produce electric fields with-
in cells and tissues. Bioelectric events start when cells expend metabolic energy to actively transport
sodium outside the cell and potassium inside the cell. The movement of sodium, potassium, chloride,
and, to a lesser extent, calcium and magnesium ions occurs through the functionality of molecular
pumps and selective channels within the cell membrane.
Membrane ion pumps consist of assemblies of large macromolecules that span the thickness of
the phospholipid cell membrane, as illustrated in Fig. 20.2. The pumps for sodium and potassium ions
are coupled and appear to be a single structure that acts somewhat like a turnstile. Their physical con-
struction transports sodium and potassium in opposite directions in a 3:2 atomic ratio, respectively.
As shown in Fig. 20.3, the unbalance of actively
transported charge causes a low intracellular sodium ion
concentration and relatively higher potassium concen-
tration than the extracellular environment. Chloride is
not actively transported. The unbalance in ionic charge
creates a negative potential in the cell interior relative to
the exterior and gives rise to the resting transmembrane
potential (TMP). This electric field, appearing across an
approxi-
mately 70-Å-thick cell membrane, is very large by
standards of the macro physical world. For example,
a cellular TMP of − 70 mV creates an electric field of
10 7 V/m across the membrane. In air, electric breakdown would occur and would produce lightning-
bolt-sized discharges over meter-order distances. Electric breakdown is resisted in the microcel-
lular environment by the high dielectric qualities of the cell membrane. Even so, the intensity of
these fields produces large forces on ions and other charged molecules and is a major factor in
ionic transfer across the cell membrane. When a cell is weakened or dies by lack of oxygen, its transmembrane field also
declines or vanishes. It both regulates and results from the life and func-
tion of the cell.
In addition to ion pumps, the membrane has ion channels. These are partially constructed of helical-
shaped proteins that longitudinally align to form tubes that cross the cell membrane. These proteins
are oriented such that parts of their charged structure are aligned along the inside of the channels.
Due to this alignment and the specific diameter of the formed channel lumen, there results selectivity
for specific ionic species. For example, negatively charged protein carboxylic acid groups lining the
channel wall will admit positively charged ions of a certain radius, such as sodium, and exclude
negatively charged ions, such as chloride.
Some membrane ionic channels respond to changes in the surrounding membrane electric field
by modulating their ionic selectivity and conductance. These are known as voltage-gated ion chan-
nels. Their behavior is important in excitable cells, such as nerve and muscle, where the membrane
permeability and its electric potential transiently change in response to a stimulus. This change
accompanies physiological events such as the contraction of muscle cells and the transmission of
information along nerve cells.
Bioelectric Currents
Electric fields can arise from a static distribution of charge, whereas electric currents are charges in
motion. Since current flow in a volume of fluid is not confined to a linear path as in a wire, currents
can flow in many directions. When describing bioelectric currents, we often use a derivation of
Ohm’s law:
Thus, within the conductivity of living tissue, electric current flows are driven by electric field
differences.
Electric currents in a wire always move from a source to a sink. Ionic currents in an electrolyte
flow in a similar way. Charged ions, such as sodium, move from some origin to a destination,
thereby producing an electric current flow. The magnitude of these currents is directly proportional
to the number of ions flowing. This idea is shown in Fig. 20.4.
Thus, given the charge of 1.6
10
− 23 C, approximately 10 23 sodium ions, for example,
moving in
one direction each second will produce an electric
current of 1 A. Such large numbers of ions do not
ordinarily flow in one direction over a second in
biologic organisms. Currents in the milliampere
region, however, are associated with physiologic
processes such as muscular contraction and the
beating of the heart.
Biological tissues are generally considered to be
electric volume conductors. This means that the
large numbers of free ions in tissue bulk can support
the conduction of currents. Even bones, to
some extent, will transport charged ions through their
fluid phase. On a macroscopic scale, there are
few places within the body that are electrically isolated from the whole. This is reflected in the fact
that electric resistance from one place inside the body to almost any other will show a finite value,
usually in the range of 500 to 1000 Ω . 1 Likewise, a current generator within the body, such as the
beating heart, will create electric field gradients that can be detected from most parts of the body,
as illustrated in Fig. 20.5.
Electrocardiography
Introduction:
The heart is consist of four chamber (right atrium , right ventricle , left atrium , left
ventricle ) each chamber has certain function .
the function of the right side of the heart is to collect de-oxygenated blood, in the right
atrium, from the body (via superior and inferior vena cavae) and pump it, through the
tricuspid valve, via the right ventricle, into the lungs so that carbon dioxide can be
dropped off and oxygen picked up This happens through the passive process of
diffusion. The left side (collects oxygenated blood from the lungs into the left atrium.
From the left atrium the blood moves to the left ventricle, through the bicuspid valve
(mitral valve), which pumps it out to the body (via the aorta). On both sides, the lower
ventricles are thicker and stronger than the upper atria. The muscle wall surrounding
the left ventricle is thicker than the wall surrounding the right ventricle due to the higher
force needed to pump the blood through the systemic circulation.
Starting in the right atrium, the blood flows through the tricuspid valve to the right
ventricle. Here, it is pumped out the pulmonary semilunar valve and travels through the
pulmonary artery to the lungs. From there, oxygenated blood flows back through the
pulmonary vein to the left atrium. It then travels through the mitral valve to the left
ventricle, from where it is pumped through the aortic semilunar valve to the aorta. The
aorta forks and the blood is divided between major arteries which supply the upper and
lower body. The blood travels in the arteries to the smaller arterioles and then, finally,
to the tiny capillaries which feed each cell. The (relatively) deoxygenated blood then
travels to the venules, which coalesce into veins, then to the inferior and superior
venae cavae and finally back to the right atrium where the process began.
The heart is effectively a syncytium, a meshwork of cardiac muscle cells
interconnected by contiguous cytoplasmic bridges. This relates to electrical stimulation
of one cell spreading to neighboring cells.
Some cardiac cells are self-excitable, contracting without any signal from the nervous
system, even if removed from the heart and placed in culture. Each of these cells have
their own intrinsic contraction rhythm. A region of the human heart called the sinoatrial
(SA) node, or pacemaker, sets the rate and timing at which all cardiac muscle cells
contract. The SA node generates electrical impulses, much like those produced by
nerve cells. Because cardiac muscle cells are electrically coupled by inter-calated
disks between adjacent cells, impulses from the SA node spread rapidly through the
walls of the artria, causing both artria to contract in unison. The impulses also pass to
another region of specialized cardiac muscle tissue, a relay point called the
atrioventricular node, located in the wall between the right atrium and the right
ventricle. Here, the impulses are delayed for about 0.1s before spreading to the walls
of the ventricle. The delay ensures that the artria empty completely before the
ventricles contract. Specialized muscle fibers called Purkinje fibers then conduct the
signals to the apex of the heart along and throughout the ventricular walls. The
Purkinje fibres form conducting pathways called bundle branches. This entire cycle, a
single heart beat, lasts about 0.8 seconds. The impulses generated during the heart
cycle produce electrical currents, which are conducted through body fluids to the skin,
where they can be detected by electrodes and recorded as an electrocardiogram (ECG
or EKG). The events related to the flow or blood pressure that occurs from the
beginning of one heartbeat to the beginning of the next can be referred to a cardiac
cycle.
The SA node is found in all amniotes but not in more primitive vertebrates. In these
animals, the muscles of the heart are relatively continuous and the sinus venosus
coordinates the beat which passes in a wave through the remaining chambers. Indeed,
since the sinus venosus is incorporated into the right atrium in amniotes, it is likely
homologous with the SA node. In teleosts, with their vestigial sinus venosus, the main
centre of coordination is, instead, in the atrium. The rate of heartbeat varies
enormously between different species, ranging from around 20 beats per minute in
codfish to around 600 in hummingbirds.
Cardiac arrest is the sudden cessation of normal heart rhythm which can include a
number of pathologies such as tachycardia, an extremely rapid heart beat which
prevents the heart from effectively pumping blood, which is an irregular and ineffective
heart rhythm, and asystole, which is the cessation of heart rhythm entirely.
Cardiac tamponade is
a condition in which the
fibrous sac surrounding
the heart fills with
excess fluid or blood,
suppressing the heart's
ability to beat properly.
Tamponade is treated
by pericardiocentesis,
the gentle insertion of
the needle of a syringe
into the pericardial sac
(avoiding the heart
itself) on an angle,
usually from just below
the sternum, and
gently withdrawing the
tamponading fluids.
Muscle Cells:
At resting state any cell have three type of ions such as positive ion sodium, positive
ion potassium and negative ion chlorine this mean that there are potential differences
across membrane. In the heart it is typically 70mv for atrial cell and 90mv for ventricular
cell.
The positive and negative charge difference across each part of the membrane causes
a dipole moment pointing across the membrane from inside to outside cell but each
these dipole moments are exactly cancelled by dipole moment across the membrane
on the otherside of cell. Thus total dipole moment of cell is zero.
Repolarization and depolarization
depolarization is a change in a cell's membrane potential, making it more positive, or
less negative. In neurons and some other cells, a large enough depolarization may
result in an action potential. repolarization is the opposite of depolarization the process
of depolarization and repolarization together called action potential
As mentioned earlier, stimulation of the neuron causes Na+
gates open allowing Na+
to
rush in. This results in depolarization of the membrane in the area where the
stimulation occurred. If the depolarization is sufficient, it will depolarize adjacent areas
of membrane causing more Na+
gates to open, thus spreading the depolarization.
Immediately after depolarization, Na+
channels close and K+
channels open causing K+
to flow out. This process returns positive charge to the area just outside the
membrane, thus restoring the resting polarity.
The depolarization and repolarization events described above are called an action
potential. During an action potential, the depolarization spreads to neighboring areas
of the neuron, regenerating the action potential. Depolarization continues to spread all
the way to the action terminal where the axon joins another cell.
Action potentials are "all or nothing." The intensity of an action potentials does not
diminish as depolarization spreads along an axon.
Action potentials are initiated when depolarization reaches a threshold level. In typical
mammalian neurons, a depolarization to -55 mV produces an action potential
The sodium-potassium pump operates continuously to restore the ionic gradient.
In the diagram below, depolarization caused by the influx of sodium can be seen
spreading to the right.
What is an ECG?
ECG (electrocardiogram) is a test that measures the electrical activity of the heart. The
heart is a muscular organ that beats in rhythm to pump the blood through the body.
The signals that make the heart's muscle fibres contract come from the sinoatrial node
(SA node), which is the natural pacemaker of the heart.
In an ECG test, the electrical impulses made while the heart is beating are recorded
and usually shown on a piece of paper.
this is known as an electrocardiogram, and records any problems with the heart's
rhythm, and the conduction of the heart beat through the heart which may be affected
by underlying heart disease.
The leads & Einthoven's triangle
The electrodes are typically twelve in number. The stretch between two limb (arm or
leg) electrodes is called a lead. Einthoven named the leads between the three limb
electrodes "standard lead I, II and III" referring to the two arm electrodes and the left
leg electrode. He studied the relationship between these electrodes, forming a triangle
where the heart electrically constitutes the null point. The relationship between the
standard leads is called Einthoven's triangle. Einthoven's triangle is used when
determining the electrical axis of the heart.
ECG records the heart tracing in12 leads: Six limb leads (I, II, III, AVR, AVL, AVF) and six
chest leads (V1-V6).
Lead I: is between the right arm and left arm electrodes, the left arm being positive.
Lead II: is between the right arm and left leg electrodes, the left leg being positive.
Lead III: is between the left arm and left leg electrodes, the left leg again being positive
Chest electrode placement:
V1: Fourth intercostal space to the right of the sternum.
V2: Fourth intercostal space to the Left of the sternum.
V3: Directly between leads V2 and V4.
V4: Fifth intercostal space at midclavicular line.
V5: Level with V4 at left anterior axillary line.
V6: Level with V5 at left midaxillary line. (Directly under the midpoint of the armpit)
where RA = right arm, LA = left arm, and LL = left leg.
Summary of waves:
 P wave: the sequential activation (depolarization) of the right and left atria
 QRS complex: right and left ventricular depolarization (normally the ventricles are
activated simultaneously)
 ST-T wave: ventricular repolarization
 PR interval: time interval from onset of atrial depolarization (P wave) to onset of
ventricular depolarization (QRS complex)
 QRS duration: duration of ventricular muscle depolarization
 QT interval: duration of ventricular depolarization and repolarization
 RR interval: duration of ventricular cardiac cycle (an indicator of ventricular rate)
 PP interval: duration of atrial cycle (an indicator of atrial rate)
Introduction to Ecg system:
The ECG system comprises four stages, each stage is as following:
(1) The first stage is a transducer— AgCl electrode, which convert ECG into electrical
voltage. The voltage is in the range of 1 mV ~ 5 mV.
(2) The second stage is an instrumentation amplifier which has a very high gain (1000),
with power supply +9V and -9V.
(3) We use an op to-coupler to isolate the In-Amp and output.
(4) After the op to-coupler is a band pass filter of 0.04 Hz to 150 Hz filter. It’s
implemented by cascading a low-pass filter and a high pass filter.
ECG USES:
ECG is a device used to record on graph paper the electrical activity of the heart. The
picture is drawn by a computer from information supplied by the electrodes.
Doctor uses the ECG to:
 assess your heart rhythm
 diagnose poor blood flow to the heart muscle (ischemia)
 diagnose a heart attack
 diagnose abnormalities of your heart, such as heart chamber enlargement and
abnormal electrical conduction
Forward and Reverse problems definition
Introduction to Inverse problem
An inverse problem is a general framework that is used to convert
observed measurements into information about a physical object
or system that we are interested in.
** For example, if we have measurements of the Earth's gravity
field, then we might ask the question: "given the data that we
have available, what can we say about the density distribution of
the Earth in that area?"
The solution to this problem (i.e. the density distribution that best
matches the data) is useful because it generally tells us something
about a physical parameter that we cannot directly observe.
Thinking backwards
**Most people, if you describe a train of events to them will tell
you what the result will be. There are few people however that if
you told them a result, would be able to evolve from their own
inner consciousness what the steps were that led to that result.
** This power is what I mean when I talk of reasoning backward.
Application of this approach to the ECG problem
Forward and Inverse Problems of
Electrocardiography
the main objective of electrocardiography
is to relate the potentials recorded at the body surface with the
ones generated
on the heart surface as a result of the electrical activity of the
heart.
Two different approaches - in other words, problems — are used
in electrocardiography to establish this relation.
The first approach is called the forward
problem which entails the calculation of the body-surface
potentials, starting
usually from either pre-decided electrical representation of the
heart activity
(equivalent current dipoles) or from known potentials on the
heart’s surface
(the epicardium) [20].
The other approach is the inverse problem, which involves the
calculation of the potentials and prediction of the electrical
activity
of the heart starting from the potential distribution on the body
surface, on
the contrary to forward problem (Figure 2.6).
The general objective of the forward
and inverse problem of the electrocardiography is a better
qualitative and quantitative understanding of the heart’s electrical
activity.
Figure 2.6: Schematic representation of the forward and inverse problem.
We have already stated that the current generated on the heart
surface propagates through other conducting compartments
(lungs, sternum, spines, skeletal muscle layer, and fat layer) of the
torso so that the potential distribution measured
on the body surface is directly affected by the geometrical and
electrical
properties of the torso compartments.
Each of these compartments has different geometrical and
electrical properties (conductivities).
In the forward and inverse problem computations all these
properties are taken into account in order to have a precise
solution at the end
Although forward and inverse problems differ by definition, these
two problems are closely related with each other, since the
complexity of the physiological torso model used must be tested
through the forward solution and the inverse solution must be
developed from the forward solution.
For a specific solution to the forward or inverse solution of ECG, a
three dimensional geometric description of a volume conductor
(Figure 2.7) is required. The geometric description of
the volume conductor can take several forms, depending on the
specific method
of mathematical solution [9.]
When considering a realistic torso as in Figure 2.7, we have
several regions
which are physically different and have different electrical
conductivities.
This means that the volume conductor is inhomogeneous.
Sometimes, in order to simplify the calculations, the conducting
medium between the heart and body surface, inside of the torso,
is assumed to be similar in geometry and have the same
conductivity values.
In that case, the torso is described as homogeneous.
Figure 2.7: Geometric description of the volume conductor.
Moreover, if the conductivity value in a region changes with the
direction then the region is defined to be anisotropic, otherwise, if
the conductivity is constant ver the region then the region is
isotropic.
One of the key differences between the forward and inverse
problems is that the forward solutions are generally unique; on
the other hand, the inverse
solutions are generally not unique [9].
Being not unique arises from the reason
that the primary cardiac sources cannot be uniquely determined
as long as the active cardiac region containing these sources is
inaccessible for potential easurements.
This is because the electric field that these sources generate
outside any closed surface completely enclosing them may be
duplicated by
equivalent single-layer (monopole) or double-layer (dipole)
current sources on he closed surface itself.
Many equivalent sources and, hence, inverse solutions,are thus
possible. However, once an equivalent source (and associated
volume
conductor) is selected, its parameters can usually be determined
uniquely from
the body-surface potentials [20.]
One drawback of the inverse problems is that, computationally,
inverse problems frequently involve complex numerical
algorithms and large systems of equations.
In addition, inverse problems are also typically ill-posed, that is,
small changes in the input data can lead to deviations in the
solutions.
Often, the ajor challenge of an inverse problem lies in
incorporating a priori information
into the solution by regularizations and improvements [25].
The SCI Institute has developed a number of efficient and realistic
ways to solve a wide variety
of inverse problems in functional imaging - including
reconstruction of electrical
sources within the heart or brain and extraction of molecular
diffusion
information from magnetic resonance images [31.]
The content of this study does not include the inverse problem,
but the
forward problem of ECG.
The above information has been given to make clear the two
problems of ECG and relations, however, one can find a discussion
on
inverse problems in A.5
Forward Simulation
In the present study the left ventricle is subdivided into 17
segments (see Fig. 3b and 3c) according
to the recommendation from the American Heart Association (see
Fig. 3a) [Cerqueira MD et al., 2002;
Keller DUJ et al., 2006.]
Figure 3. The nomenclature of 17 AHA segments in left ventricle
[Cerqueira MD et al., 2002] (a) and the
subdivision of the left ventricular model according to the AHA suggestion
shown in two aspects (b) (c)
In each segment 3 types of ischemia are simulated, i.e.,
subendocardial, transmural and
subepicardial ischemia. For each type, 3 different sizes are
considered, i.e., 10mm, 20mm and 30mm
for the radius of ischemic area.
Thus, in total 153 different myocardial ischemic areas are
simulated
throughout the entire left ventricle and septum. As examples, 6
simulated ischemic areas with various
sizes and in different segments are shown in Fig. 4
Figure 4. Simulated apex ischemia (segment 17) with radii of 10mm (a), 20mm (b) and 30mm (c); simulated
subendocardial (d), transmural (e) and subepicardial (f) ischemia with a radius of 20mm in the apical
lateral segment (segment 16). The distribution of transmembrane voltages during ST-interval is shown
in a cross-section of heart
By solving the forward problem the corresponding 153 BSPMs are
obtained.
For the further investigation ST-integral maps are calculated. 6
ST-integral maps related to the 6 ischemic areas shown in Fig. 4
are presented in Fig. 5.
Figure 5. The ST-integral maps corresponding to the simulated apex ischemia (segment 17) with radii of 10mm
(a), 20mm (b) and 30mm (c); The ST-integral maps corresponding to the simulated subendocardial (d),
transmural (e) and subepicardial (f) ischemia with a radius of 20mm in the apical lateral segment
(segment 16)
Optimization of Electrode Positions :
Due to the detailed computer model, it is very time costly to
involve all the nodes on the body
surface in the singular vector analysis.
Therefore, 663 nodes distributed evenly on the torso surface are
selected for the analysis.
The first 5 left singular vectors are taken into account. In order to
provide a clear overview of the analysis results, the singular
vectors are normalized after taking absolute value see Fig. 6a to
6e) and then summed up (see Fig. 6f.)
Figure 6. The first 5 left singular vectors of the 153 simulated ST-integral maps
after taking absolute value and
normalization (a) (b) (c) (d) (e); the sum of the first 5 normalized left singular
vectors after taking
absolute value (f).
In this work the electrode positions of a 64-channel ECG
measurement system is optimized. The
original electrode configuration is shown in Fig. 7a. It consists of 7
strips of electrodes.
4 strips (48 electrodes) are located bilateral symmetrically on the
front side of thorax and 3 strips (16 electrodes)
are placed on the left lateral side of thorax. In the optimized
configuration (see Fig. 7b) 52 electrodes
are located on the front side of thorax, 4 electrodes on the back
and 8 electrodes on the left shoulder.
The electrodes cover the regions where the strongest signals
show in Fig. 6f.
Figure 7. The original electrode configuration (a) and the optimized electrode configuration of 64-channel ECG
system.
Inverse Problem:
In the present study transmembrane voltages are chosen as
source model. 4502 nodes in the
ventricular model are selected. Transfer matrix is then
constructed describing the relation between 64
ECG measurements on the body surface and 4502 unknown
sources in the heart.
Two transfer matrices are calculated, i.e., one for the original
electrode configuration and one for the optimized electrode
configuration. The condition number and singular values of these
two transfer matrices are computed in order to evaluate the
electrode configurations with the respect to the null-space
theory.
The condition number of transfer matrix calculated from the
original electrode configuration is 6.25e+06
and the optimized configuration reaches a condition number of
2.26e+06. The singular values of two configurations are shown in
Fig. 8
The ST-integrals of simulated ECGs, which are forward calculated
from the 153 simulated
ischemic areas, are taken as the input of the inverse problem.
The inverse problem is solved with the
original and optimized electrode configurations, separately.
The output of the inverse problem is then the ST-integral of
transmembrane voltages, in which the ischemic area can be
identified at its
minimum.
To evaluate the quality of the inverse problem the inverse
solutions are compared with the
simulated references. The criterion is that the more similar the
solution and the reference are, the better
the inverse solution
The Tikhonov 2nd-order regularization is used at first. The optimal
regularization parameter is
determined using the “L-curve” method.
The correlation coefficients between the simulated references
and the reconstructions obtained with Tikhonov 2nd-order
regularization using the original and optimized electrode
configurations for all 153 ischemic areas are plotted in Fig. 9. The
reconstructed ischemic areas of two cases, i.e., the basal
inferoseptal transmural ischemia (segment 3) with a radius of
30mm and the mid anterolateral transmural ischemia (segment
12) with a radius of 20mm, are shown in Fig. 10
The second method utilized in this study is the MAP-based
regularization. The simulated 153
ischemic areas in the left ventricular wall and the septum provide
a comprehensive stochastical basis
for the MAP-based regularization.
The statistical description of sources, i.e., the covariance matrix Cx
in Eq. 7, is extracted from the 153 simulations. The correlation
coefficients between the simulated references and the
reconstructions obtained with the MAP-based regularization using
the original and
optimized electrode configurations for all 153 ischemic areas are
plotted in Fig. 11. The reconstructed ischemic areas of two cases,
i.e., the basal inferior transmural ischemia (segment 4) with a
radius of
30mm and the mid inferoseptal ischemia (segment 9) with a
radius of 30mm, are shown in Fig. 12.
Figure 9. The correlation between simulated references and the
reconstructions with the Tikhonov 2nd-order
regularization using the original electrode configuration (Conf. 1) and the
optimized electrode
configuration (Conf. 2).
Figure 10. The reconstructed myocardial ischemic areas with the
Tikhonov 2nd-order regularization using the original electrode
configuration (Conf. 1) and the optimized electrode configuration (Conf.
2). The
simulations as reference are shown in the first column. The basal
inferoseptal transmural ischemia
(segment 3) with a radius of 30mm (upper) and the mid anterolateral
transmural ischemia (segment
12) with a radius of 20mm (bottom) are shown.
Figure 11. The correlation between simulated references and the reconstructions with the
MAP-based
regularization using the original electrode configuration (Conf. 1) and the optimized
electrode
configuration (Conf. 2).
Figure 12. The reconstructed myocardial ischemic areas with the MAP-based regularization using the original
electrode configuration (Conf. 1) and the optimized electrode configuration (Conf. 2). The simulations
as reference are shown in the first column. The basal inferior transmural ischemia (segment 4) with a
radius of 30mm (upper) and the mid inferoseptal ischemia (segment 9) with a radius of 30mm (bottom)
are shown
Simulation models of the human heart
Modeling Cardiac Bioelectricity in Realistic Volumes
Introduction
Since before the time of Einthoven biophysicists and physicians have sought to understand the relationship between
cardiac sources of bioelectricity and the resulting body surface potentials, a relationship expressed most generally as
forward problems in electrocardiography. As a physician with a strong interest in physics, Einthoven tapped both
sources of motivation to make first measuring and then understanding the ECG the center point of his career.
The past century has seen remarkable progress and also great diversity in the approaches available to study and
understand electrocardiographic forward problems. Models of the cardiac sources have evolved from the single dipoles
of Einthoven’s time to anatomically realistic, anisotropic bidomain models of the heart driven by dynamic cellular
currents first described in the middle of the century by fellow Nobel Prize winners, Hodgkin and Huxley. From the crude
approximations of the body volume conductor as an infinite homogeneous region have evolved into high resolution,
patient specific geometric models consisting of millions of points joined into surface or volume elements. To replace the
qualitative descriptions of electric potentials generated by simple sources, there exist now highly quantitative
approximations based on solutions of partial differential equations from Maxwell. And finally, to solve and display the
measurements and predictions of the ECG, photographic images from string galvanometers have given way to modern
computers, numerical mathematics, and scientific visualization.
The essential elements of a forward solution, however, have remained the same as in Einthoven’s time, dictated as
they are by the physics of the problem rather than the technology. One must first determine a suitable estimate of the
electrical behavior of the heart that captures the important features and yet remains mathematically and
computationally tractable. One must then place this source within a volume conductor that describes the passive
electrical characteristics of the human body, again with as much detail as necessary but in a way that remains amenable
to calculation.
The third component of a forward solution are the physical equations that describe the relationships between electrical
sources and volume potentials and currents, together with robust and accurate means of estimating them in the
discrete geometric models of the body. Finally, one must have a means of capturing all this information in a framework
that allows numerical solution of the equations and display and manipulation of the results, ideally coupled with
measurements that server to validate the assumptions built into all stages of the solution.
Once developed and tested, an accurate solution to the electrocardiographic forward problem has a number of uses.
It can serve as a means of testing the effect of variations of all components of the sources and geometric model on the
resulting ECG. A typical goal would be to differentiate between pathological changes in the heart and a range of other
variations that can effect body surface potentials. A forward solution can also serve as the bridge between a simulation
model of cardiac activity (described elsewhere in this volume) and the resulting ECG and thus help determine whether
the predictions of the source model are compatible with measured body surface signals. Forward solutions are also
invariably a required element in any inverse problem formulation, the problem of determining cardiac activity from
(noninvasive) body-surface measurements, also
described in this volume.
The goal of this document is to describe briefly some of the more recent advances in the creation and application of
electrocardiographic forward solutions. For more comprehensive reviews, see, for example, Gulrajani. We will begin
with an overview of the elements of a contemporary forward solution and the research findings that describe them. We
will then highlight some of the integrated solutions formulations and the software available to compute them and then
describe our own initial results using these tools to describe forward solution results in a novel and hopefully useful way.
We conclude with what we feel is a novel approach to representing the forward solution
and a few of the many intriguing questions left to resolve in the study of forward problems in electrocardiography.
Source Formulations
Every stage of a simulation model requires approximations of reality that reflect the goals, desired level of detail, and
the imagination of its creator. In the electrocardiographic forward problem, it is arguably the formulation of the
bioelectric source component that best characterizes the perspective of a particular model. Einthoven first described the
electric behavior of the entire heart (and torso) as a single dipole that changes orientation and amplitude over the
course of each heart beat and this conceptual approach remains dominant in the teaching and clinical application of
electrocardiography in medicine.
In subsequent years have followed a series of modification and refinements of the dipole source model, notable
among them the experimental and modeling evaluation by Burger and van Milaan of the concept of a lead field to
describe the relationship between dipolar sources and the resulting body surface potentials. Further refinements of this
basic concept include the use of moving dipole, multiple dipoles, multipole, and dipole layers
Figure 1: Source model configurations for electrocardiographic forward problems.
The inadequacies in the basic approximation of the heart as single dipole that arose fairly soon after its description led
not just to refinements of this basic idea but also to fundamentally different source models of the heart, as summarized
schematically in Figure 1. Crucial among them was the use of the epicardial potential distribution as an equivalent
source of cardiac bioelectricity, an approach still in very common use today (and illustrated in Panel B of Figure 1).
Another source model that has gained considerable attention in recent years is based on a uniform dipole layer (UDL)
representation of cardiac activation (illustrated in Panel C of Figure 1). Starting from this source and assuming the
resulting electrocardiographic fields to be represented by the solid angle subtended by the UDL, one can describe the
field from the entire activation sequence of the heart as that originating from the epicardial and endocardial surfaces.
Given some further assumption about the voltage source of the activation wavefront, it is then possible to formulate a
quantitative expression for body surface potential as a function of activation time on the heart surface.
All of these formulations require in one form or another a description of the electrical activity of the heart.
Measurements from cardiac mapping provide one source of this information, as we shall describe below. It is also
possible, as reported elsewhere in this volume, to simulate the cardiac bioelectricity by means of a model of excitable
cells and myocardial tissue. In the time since Einthoven there have been an impressive sequence of such models,
starting most notably with the Nobel prize winning results of Hodgkin and Huxley on the dynamics of excitable
membranes. This fundamental description of the time and voltage dependence of ionic currents provided the basic
source for ever more complex models of myocytes, myocardium, and now entire hearts. of special importance in the
context of forward solutions have been models using networks of excitable cells, cellular automata, and especially the
bidomain approach.
Volume Conductor Models
Linking the cardiac sources with the body surface potentials is the thorax, an electrically passive volume conductor,
geometric models of which have grown substantially in sophistication and detail since the time of Einthoven. Einthoven
considered the volume conductor to be an infinite homogeneous region, and described the relationship between the
heart dipole and limb lead potentials in terms of an equilateral triangle with the heart dipole in the center. Burger and
van Milaan investigated the effect of a finite homogeneous volume conductor on the ECG and especially the
assumptions of the equilateral triangle. The proposed a skewed triangular shape and a set of ECG lead locations to
compensate for the effects of the finite volume conductor on the lead field.
Realistic geometric models of the human torso appeared in the latter part of the century and have formed the basis
of forward problem volume conductors ever since. The model by Hor´aˇcek included a body surface based on
mechanical measurements of a human as well as lung and epicardial surfaces from X-ray images. He and other
investigators have subsequently used this same model for studies of electrocardiographic forward problems. We have
developed the Utah torso, which was based on magnetic resonance imaging of a human subject and contains not only
inhomogeneous but also anisotropic regions. Computed tomography also provides images of very high spatial
resolution, which have been the source of very detailed models of the thorax. Many recent studies are based on the
results of the Visible Human Project, which sought to create a set of medical image data at the highest possible
resolution from the cadaver of one man and one woman. Perhaps most contemporary are approaches that seek to
customize a geometric model to the patient, either by fitting the measured data using basis functions, or using
supplementary imaging data to adjust a standard model.
only anatomical information but also a description of the electrical properties of the tissues. This requires that
investigators assign estimates of local conductivity, typically based on values in the literature or, in rare cases, their own
measurements. The questions of just how accurately the values of conductivity must be known or even which
inhomogeneous regions a model must include are still unresolved despite considerable study. Recent results suggest
that geometric accuracy of the volume conductor may play a larger role than that of the conductivities assigned to the
model. Our own studies based on measurements using a human shaped torso tank revealed modest changes in
potential amplitudes of both the epicardial and torso surface potentials in the presence of localized inhomogeneous
regions within the tank. Figure 2 shows an example of such changes following insertion of two balloons to represent
lungs in the torso tank. These results support earlier simulations using simplified concentric sphere geometries by Rudy
et al.
Figure 2: Effect of placing insulating balloon into the torso tank on epicardial potentials (top row) and torso tank
potentials (bottom row) for equivalent instants in time during three separate beats. The maps of electric potential in
left-hand column come from a beat before insertion of balloons, those in the middle column come from a beat with the
balloons in place, and those in the right-hand column are from a beat after removing the balloons. The contours are
linearly spaced with constant scaling across maps in each of the two surfaces, with contour values indicated by the
scaling bars.
Perhaps the most important finding of these studies is that changing the characteristics of
the volume conductor results in changes not just in torso surface potentials but also those on the epicardial surface. As a
consequence, studies of conductivity effects based solely on simulation may not capture the true complexity of the
response to changes in volume conductor characteristics. Moreover, it may be possible to carry out the definitive study
of the role of the volume conductor only through a combination of simulation and experimental studies. To place these
findings in a clinical context, the changes in potential than can arise from changes in torso geometry, as well as from
physiologically reasonable changes in heart position, are large enough to exceed common thresholds for indicating
pathological ECGs.
Numerical Approximations
The ultimate biophysical basis of an electrocardiographic forward problem are Maxwell’s equations, from which one can
derive a wide variety of specific applications. The generalized quantitative implementation of Einthoven’s heart vector
approach is the lead field, which describes the relationship between heart vector and torso potentials by the equation
where (φBi) is the body surface potential difference between a particular pair of electrodes (a lead), (p) is the dipole
vector, and (Li) is the lead field vector for that particular lead. The lead vector encapsulates all the geometric and
conductivity information of the volume conductor for the specific lead. Using reciprocity, one can, in principle, measure
the lead field for any set of leads, however, in the modern era, one typically approximates the lead field through a series
of calculations for a discrete number of dipole locations and body-surface leads.
Another approximation approach, which described the electrocardiographic source in terms of epicardial potentials,
is by means of a Green’s theorem applied to the potentials in the torso. First described by Barr et al., this method begins
with an equation for the potential (φ) anywhere in the volume conductor as
and then writes a pair of specific equations for the potential on the heart and body surfaces, making use of Laplace’s
equation, which governs the region of the volume conductor that contains no sources. The result is a set of integral
equations for which one find numerical approximations by means of the boundary element method (BEM) and then,
finally, a compact representation of the forward solution as
with (ΦH) a vector of epicardial potentials, (ΦB), the associated body surface potentials, and (ZBH)the forward coefficient
transform matrix defined in terms of solutions to the various terms of the integral equation.
One can also formulate a solution based on a specific solution to Laplace’s equation as
anywhere in the volume conductor between the heart and body surfaces. Assuming we have known potentials on the
heart surface, ΦH and that the normal component of current at the body surface is zero, one can then write a
minimization equation that supplies the conditions for a finite element method solution of the problem.
There exists another source formulation based on the activation time over the entire epicardial and endocardial
surfaces, which also leads to an integral equation
where ΦB(y) is the potential on the body surface site y, H is the Heaviside step function,
τ (x) is the time at which each portion of the epi/endocardium (SH ) becomes depolarized (the activation time) and T (y,
x) is a transfer function that weights the contribution of
each point of the cardiac surface x to each point on the torso surface y. This equation also leads to a boundary element
approached, based as it is on data limited to the heart and body surfaces.
Forward solution in terms of currents
We present here an approach to manipulating and viewing the results of the forward solutions that seeks to reveal new
features not previously directly accessible. The basic formulation of the forward problem is conventional, based on
epicardial potentials located on the inner surface of a geometric model of the thorax. The novel aspect is that we solve
the problem not just in terms of torso surface potentials, but first the potentials throughout the volume and then from
them, the current density everywhere in the thorax. From this, we are able to integrate along the paths of current
density and thus trace the pathways of current starting from seed points that we set interactively
The specific example included here is from potentials measured in a human-shaped torso tank in which we
suspended an isolated, perfused dog heart. The tank also had electrodes located within the volume, which provided
confirmation of the forward solution results at those locations— a subset of the full finite element model. The goal of
the project was to understand more fully the patterns of torso potentials that result from the stimulation from one or
more locations on the epicardial surface, ectopic beats as might arise in conjunction with ventricular tachycardia.
We used a range of software tools, including SCIRun/BioPSE, to create the geometric model and compute and then
display the potentials and current density fields. Critical for this purpose was the ability to manually set seed point
location and density in the volume and quickly visualize the resulting current lines, capabilities uniquely available within
the SCIRun/BioPSE environment. We also used also a custom visualization program map3d for visualizing sequences of
surface potential distributions interactively.
Among the findings that emerged from this study was a clear picture of the flow of current between and among multiple
sites of simulation. Close to the heart, each current source/sink connects to unique lines of current flow, sometimes
slitting or merging close to the source to link to one or more sites of opposite polarity. Slightly further from the heart,
however, the current lines from multiple sources and sinks tended to converge and lose their distinct patterns so that
Figure 3: Electric fields at 16 ms after simultaneous pacing from two sites on the ventricular surface. All four panels have
the same perspective view from the front of the body. Panel A: epicardial potentials; Panel B: current flow near the
heart; Panel C: body surface potentials; and Panel D: torso volume currents and potentials. Streamlines depict current
pathways, and the dark green surface within the volume is the iso-potential surface at 0 mV. The light green surface
shows the posterior chest wall. Contour lines are equally spaced between -6.2 mV and 0.85 mV on the epicardial surface
and between -1.6 mV and 0.38 mV on the tank surface. Values in mV marked on both epicardial and tank surfaces (Panel
A and C) are maxima and minima or potential. The iso-potential surfaces in Panel C were at -0.5 mV.
individual sources or sinks were no longer separate, as reflected in the resulting potential mapson the torso tank
surface. Thus is was possible to investigate in great detail the nature of the smoothing that occurs between cardiac
sources and the resulting body surface potentials.
the models we developed in our approach are
- concentric 2d multiple dipole model
- eccentric 2d multiple dipole model
which were discussed in further details in the next chapter
Concentric model
Body here is considered as disk conductor.
General form :
𝑉1=𝐴°+ 𝐴 𝑛 𝑟 𝑛 cos(𝑛𝜃)∞
1
𝑉2= (C 𝑛 𝑟 𝑛 + D 𝑛 𝑟−𝑛) cos(𝑛𝜃)∞
1
Using boundary conditions :
𝜕 𝑉2
𝜕𝑟
|R = 0
𝜕𝑉1
𝜕𝑟
|𝑟° =
𝜕𝑉2
𝜕𝑟
|𝑟°
m(𝜽) = 𝑽 𝟐 − 𝑽 𝟏|𝒓°
m(𝜽)=
𝑴𝜽°
𝟐𝝅
+
𝑴𝜽°
𝟐
𝒔𝒊𝒏(
𝒏𝜽
𝟐
)
(
𝒏𝜽
𝟐
)
𝒄𝒐𝒔(𝒏𝜽) ⁡∞
𝒏=𝟏
𝑽 𝒔(𝜽)=V2(R, 𝜽)=
𝑴𝜽°
𝟐 𝝅
⁡∞
𝒏=𝟏
𝒔𝒊𝒏(
𝒏𝜽
𝟐
)
(
𝒏𝜽
𝟐
)
(
𝒓
𝑹
) 𝒏
𝒄𝒐𝒔(𝒏𝜽)
Forward problem:
Matlab code for m(theta) :
%(((((((((( consentric condition)))))))))))
%----------------------------------------------------------
%forward problem of the source
thetan1=pi/3;
theta1=[(-pi):(pi/300):(pi)];
%equation of the source m(theta)
s=0;
for n=1:100;
m1=(1/6)*cos(n*theta1)*(sin(n*(pi/6)))/(n*pi/6);
s=s+m1;
end
m1=s+(1/6);
figure
plot(theta1,m1)
title('thetan1=pi/3 & m(theta) & n=1:100')
Output figure for m(theta) :
Matlab code for m(f) :
thetan1=pi/3;
theta1=[(-pi/6):(pi/300):(pi/6)];
%equation of the source m(theta)
s=0;
for n=1:100;
m1=(1/6)*cos(n*theta1)*(sin(n*(pi/6)))/(n*pi/6);
s=s+m1;
end
m1=s+(1/6);
mf=-fftshift(m1);
owmega=linspace(-10,10,length(mf));
figure
plot(owmega,mf)
title('owmega & m(f)')
Output figure for m(f) :
Matlab code for v(theta) :
%equation to get volt on the source
%theta2=[-pi:.001:pi];
thetan2=pi/3;
theta2 = linspace((-pi),(pi),length(theta1));
M=1;
N=100; % index of summation
k=(M*thetan2)/(2*pi);
rR1=0.6;
% loop to get surface voltage as a function of theta
%-----------------------------------------------------------
for l=1:length(theta2)
for n=1:N
k_n=((M*thetan2)/(2*pi))*(rR1^n)*(sin(n*(thetan2/2))/(n*(thetan2/2)));
segma(n)=k_n*cos(n*theta2(l));
end
segma=sum(segma);
v_source1(l)=k*segma;
end
figure
plot(theta2,v_source1)
title('thetan2=pi/3 & v(theta) & n=1:100')
Output figure for v(theta) :
Inverse problem:
Matlab code for v(f) : thetan2=pi/3;
theta2 = linspace((-pi/6),(pi/6),length(theta1)); M=1;
N=100; k=(M*thetan2)/(2*pi);rR1=0.6;
for l=1:length(theta2)
for n=1:N
k_n=((M*thetan2)/(2*pi))*(rR1^n)*(sin(n*(thetan2/2))/(n*(thetan2/2)));
segma(n)=k_n*cos(n*theta2(l));
end
segma=sum(segma);
v_source1(l)=k*segma;
end
vf1=fftshift(fft(v_source1));
owmegav=linspace(-10,10,length(vf1));
figure
plot(owmegav,vf1)
title('owmega & v(f)& rR=0.6 ')
Output figure for v(f) :
How to get m(theta) from v(f) ???
Matlab code:
vf11=vf1.*(1/0.6).^owmegav;
mtheta1=-ifftshift(vf11);
theta1=linspace(-pi,pi,length(mtheta1));
figure
plot(theta1,mtheta1);
title('theta & m(theta) & rR=0.3 ')
Output figure for m(theta) :
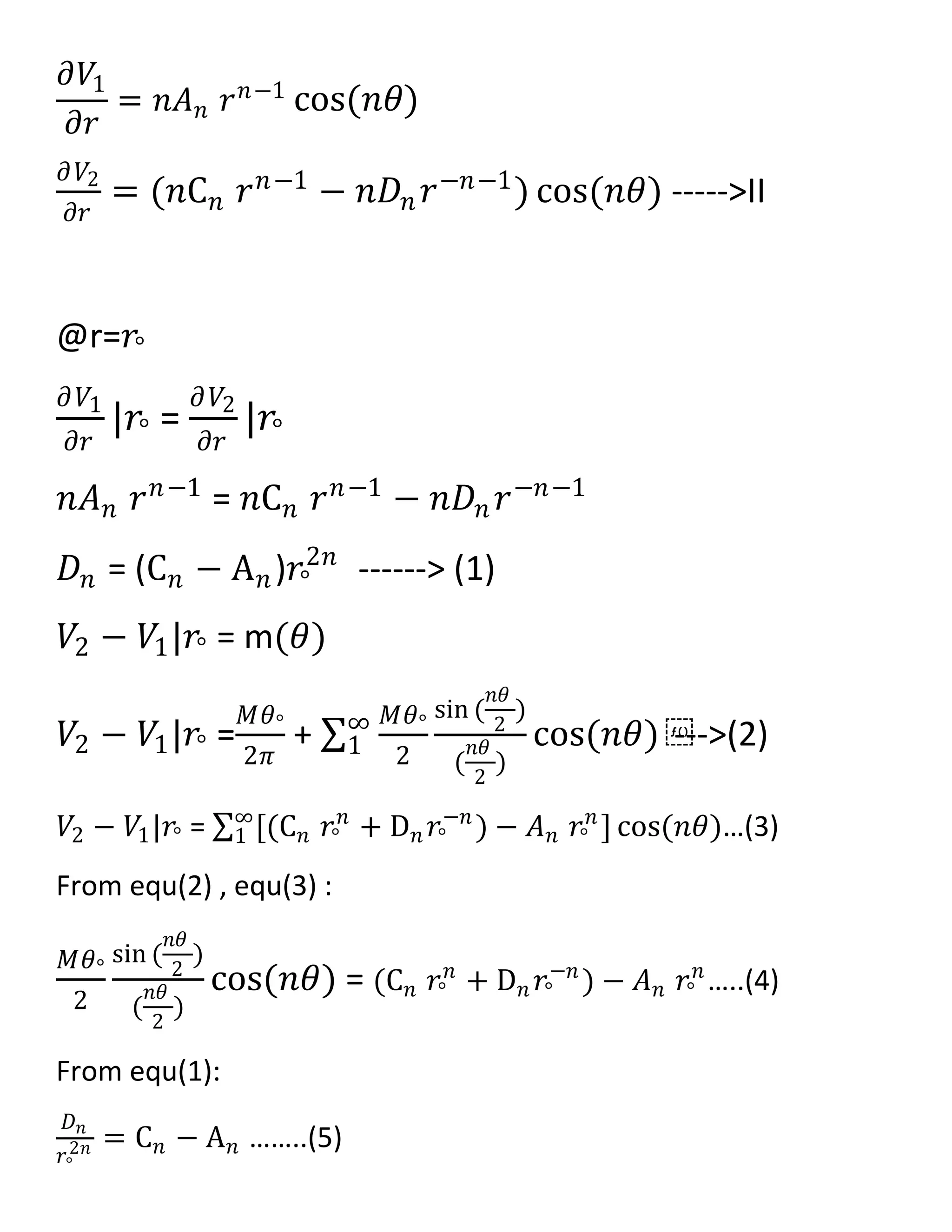
Extrinsic model(Reality)
General form :
𝑉1= 𝐴 𝑛 𝑟 𝑛
cos(𝑛𝜃)∞
1
𝑉2= (C 𝑛 𝑟 𝑛 + D 𝑛 𝑟−𝑛) cos(𝑛𝜃)∞
1 ------> I
Using boundary conditions :
𝜕𝑉1
𝜕𝑟
= 𝑛𝐴 𝑛 𝑟 𝑛−1
cos(𝑛𝜃)
𝜕𝑉2
𝜕𝑟
= (𝑛C 𝑛 𝑟 𝑛−1 − 𝑛𝐷𝑛 𝑟−𝑛−1) cos(𝑛𝜃) ----->II
@r=𝑟°
𝜕𝑉1
𝜕𝑟
|𝑟° =
𝜕𝑉2
𝜕𝑟
|𝑟°
𝑛𝐴 𝑛 𝑟 𝑛−1 = 𝑛C 𝑛 𝑟 𝑛−1 − 𝑛𝐷𝑛 𝑟−𝑛−1
𝐷𝑛 = (C 𝑛 − A 𝑛)𝑟°
2𝑛
------> (1)
𝑉2 − 𝑉1|𝑟° = m(𝜃)
𝑉2 − 𝑉1|𝑟° =
𝑀𝜃°
2𝜋
+
𝑀𝜃°
2
sin (
𝑛𝜃
2
)
(
𝑛𝜃
2
)
cos(𝑛𝜃) ⁡∞
1 --->(2)
𝑉2 − 𝑉1|𝑟° = [(C 𝑛 𝑟°
𝑛
+ D 𝑛 𝑟°
−𝑛
) − 𝐴 𝑛 𝑟°
𝑛
] cos(𝑛𝜃)∞
1 …(3)
From equ(2) , equ(3) :
𝑀𝜃°
2
sin (
𝑛𝜃
2
)
(
𝑛𝜃
2
)
cos(𝑛𝜃) = (C 𝑛 𝑟°
𝑛
+ D 𝑛 𝑟°
−𝑛
) − 𝐴 𝑛 𝑟°
𝑛
…..(4)
From equ(1):
𝐷 𝑛
𝑟°
2𝑛 = C 𝑛 − A 𝑛 ……..(5)
𝑀𝜃°
2
sin (
𝑛𝜃
2
)
(
𝑛𝜃
2
)
cos(𝑛𝜃) = (C 𝑛 − A 𝑛) 𝑟°
𝑛
+ D 𝑛 𝑟°
−𝑛
From equ(5):
𝑀𝜃°
2
sin (
𝑛𝜃
2
)
(
𝑛𝜃
2
)
cos(𝑛𝜃) = 𝐷 𝑛
𝑟°
𝑛 +
𝐷 𝑛
𝑟°
𝑛
𝐷 𝑛=
𝑟°
𝑛
2
𝑀𝜃°
2
sin( 𝑛𝜃
2
)
( 𝑛𝜃
2
)
From sketch:
𝑟′
sin(𝜃 ′
) = rsin(𝜃) + 𝑦°
𝑟′
cos(𝜃 ′
) = rcos(𝜃) + 𝑥°
sin(𝜃 ′
) =
r
𝑟′ sin(𝜃) +
𝑦°
𝑟′
……….(6)
cos(𝜃 ′
) =
r
𝑟′ cos(𝜃) +
𝑥°
𝑟′
𝜑 = (90-𝜃 ′
) – (90- 𝜃)
𝜑 =( 𝜃 − 𝜃 ′
)
cos(𝜑 ) = cos(𝜃) cos(𝜃 ′
) + sin(𝜃) sin(𝜃 ′
)
………(7)
sin(𝜑 ) = sin(𝜃) cos(𝜃 ′
) - cos(𝜃) sin(𝜃 ′
)
𝜕 𝑉2
𝜕𝑟′ |R = 0
𝜕𝑉2
𝜕𝑟′ =
𝜕𝑉2
𝜕𝑟′ cos(𝜑 ) +
𝜕𝑉2
𝑟′ 𝜕𝜃
sin(𝜑 ) = 0
cos(𝜑 ) = cos(𝜃).(
r
𝑟′ cos(𝜃) +
𝑥°
𝑟′ ) + sin(𝜃)(
r
𝑟′ sin(𝜃) +
𝑦°
𝑟′ )
………(8)
sin(𝜑 ) = sin 𝜃 (
r
𝑟′ cos(𝜃) +
𝑥°
𝑟′ ) - cos(𝜃)(
r
𝑟′ sin(𝜃) +
𝑦°
𝑟′ )
>
𝜕𝑉2
𝜕𝑟′ =
𝜕𝑉2
𝜕𝑟′ cos(𝜑) +
𝜕𝑉2
𝑟′ 𝜕𝜃
sin(𝜑) = 0
from equ(I) , equ(II) , equ(8):
𝑉2= (C 𝑛 𝑟′ 𝑛 + D 𝑛 𝑟′ −𝑛) cos(𝑛𝜃)∞
1
𝜕𝑉2
𝑟′ 𝜕𝜃
= -(C 𝑛 𝑟′ 𝑛 + D 𝑛 𝑟′ −𝑛) sin(𝑛 𝜃)
𝑛
𝑟′
𝜕 𝑉2
𝜕𝑟′ = (𝑛C 𝑛 𝑟′ 𝑛−1
− 𝑛𝐷𝑛 𝑟′ −𝑛−1
) cos 𝑛𝜃 [ cos(𝜃).(
r
𝑟′
cos(𝜃) +
𝑥°
𝑟′
) + sin(𝜃)(
r
𝑟′
sin(𝜃) +
𝑦°
𝑟′
) ]
- (C 𝑛 𝑟′ 𝑛
+ D 𝑛 𝑟′ −𝑛
)[ sin 𝑛𝜃 (sin(𝜃) (
r
𝑟′
cos(𝜃) +
𝑥°
𝑟′
) - cos(𝜃)(
r
𝑟′
sin(𝜃) +
𝑦°
𝑟′
) ]
𝜕 𝑉2
𝜕𝑟′ = 𝑛C 𝑛 𝑟′ 𝑛−1
cos 𝑛𝜃 [ cos(𝜃).(
r
𝑟′
cos(𝜃) +
𝑥°
𝑟′
) + sin(𝜃)(
r
𝑟′
sin(𝜃) +
𝑦°
𝑟′
) ]
−𝑛𝐷𝑛 𝑟′ −𝑛−1
cos 𝑛𝜃 [ cos(𝜃).(
r
𝑟′
cos(𝜃) +
𝑥°
𝑟′
) + sin(𝜃)(
r
𝑟′
sin(𝜃) +
𝑦°
𝑟′
) ]
−𝑛C 𝑛 𝑟′ 𝑛−1
sin(𝑛𝜃)[
𝑥°
𝑟′
sin(𝜃) −
𝑦°
𝑟′
cos(𝜃) ]
−𝑛𝐷𝑛 𝑟′ −𝑛−1
sin(𝑛𝜃)[
𝑥°
𝑟′
sin(𝜃) −
𝑦°
𝑟′
cos(𝜃) ]
𝜕 𝑉2
𝜕𝑟′ = 𝑛C 𝑛 𝑟′ 𝑛−1
[ cos 𝑛𝜃 (
r
𝑟′
𝑐𝑜𝑠2
(𝜃) +
𝑥°
𝑟′
cos(𝜃) +
r
𝑟′
𝑠𝑖𝑛2
(𝜃) +
𝑦°
𝑟′
sin(𝜃) )− sin(𝑛𝜃)(
𝑥°
𝑟′
sin(𝜃) −
𝑦°
𝑟′
cos(𝜃) ) ]
−𝑛𝐷𝑛 𝑟′ −𝑛−1
[ cos 𝑛𝜃 (
r
𝑟′
𝑐𝑜𝑠2
(𝜃) +
𝑥°
𝑟′
cos(𝜃) +
r
𝑟′
𝑠𝑖𝑛2
(𝜃) +
𝑦°
𝑟′
sin(𝜃) )+ sin(𝑛𝜃)(
𝑥°
𝑟′
sin(𝜃) −
𝑦°
𝑟′
cos(𝜃) ) ]
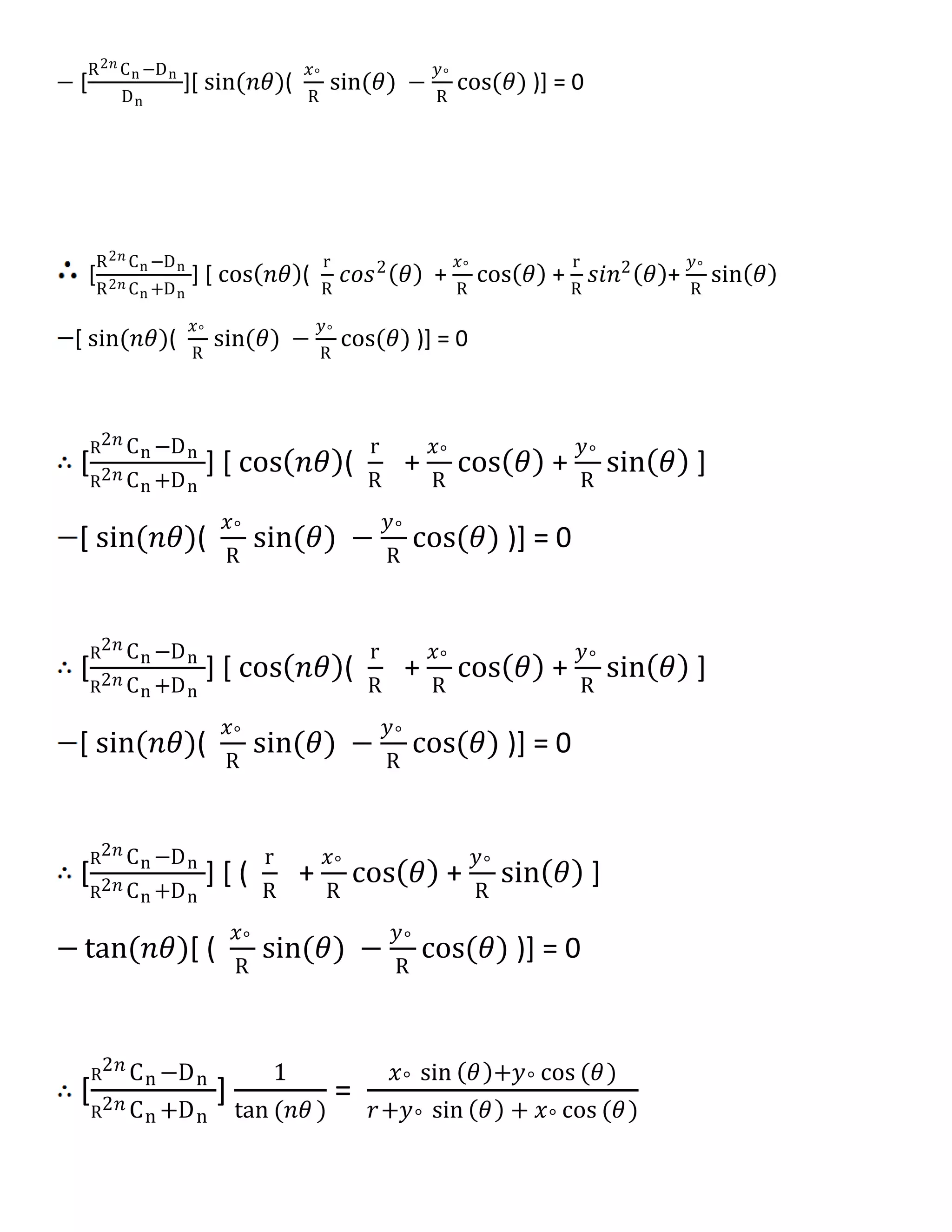
@
𝜕 𝑉2
𝜕𝑟′ |R = 0
[
R2𝑛 Cn −Dn
Dn
][ cos 𝑛𝜃 (
r
R
𝑐𝑜𝑠2
𝜃 +
𝑥°
R
cos 𝜃 +
r
R
𝑠𝑖𝑛2
𝜃 +
𝑦°
R
sin 𝜃
− [
R2𝑛 Cn −Dn
Dn
][ sin(𝑛𝜃)(
𝑥°
R
sin(𝜃) −
𝑦°
R
cos(𝜃) )] = 0
[
R2𝑛 Cn −Dn
R2𝑛 Cn +Dn
] [ cos 𝑛𝜃 (
r
R
𝑐𝑜𝑠2
𝜃 +
𝑥°
R
cos 𝜃 +
r
R
𝑠𝑖𝑛2
𝜃 +
𝑦°
R
sin 𝜃
[ sin(𝑛𝜃)(
𝑥°
R
sin(𝜃) −
𝑦°
R
cos(𝜃) )] = 0
[
R2𝑛 Cn −Dn
R2𝑛 Cn +Dn
] [ cos 𝑛𝜃 (
r
R
+
𝑥°
R
cos 𝜃 +
𝑦°
R
sin 𝜃 ]
[ sin(𝑛𝜃)(
𝑥°
R
sin(𝜃) −
𝑦°
R
cos(𝜃) )] = 0
[
R2𝑛 Cn −Dn
R2𝑛 Cn +Dn
] [ cos 𝑛𝜃 (
r
R
+
𝑥°
R
cos 𝜃 +
𝑦°
R
sin 𝜃 ]
[ sin(𝑛𝜃)(
𝑥°
R
sin(𝜃) −
𝑦°
R
cos(𝜃) )] = 0
[
R2𝑛 Cn −Dn
R2𝑛 Cn +Dn
] [ (
r
R
+
𝑥°
R
cos 𝜃 +
𝑦°
R
sin 𝜃 ]
− tan(𝑛𝜃)[ (
𝑥°
R
sin(𝜃) −
𝑦°
R
cos(𝜃) )] = 0
[
R
2𝑛 Cn −Dn
R2𝑛 Cn +Dn
]
1
tan (𝑛𝜃 )
=
𝑥° sin 𝜃 +𝑦° cos (𝜃)
𝑟+𝑦° sin 𝜃 + 𝑥° cos (𝜃)
[
R
2𝑛 Cn −Dn
R2𝑛 Cn +Dn
] =
tan 𝑛𝜃 ( 𝑥° sin 𝜃 +𝑦° cos 𝜃 )
𝑟+𝑥° sin 𝜃 +𝑦° cos (𝜃)
R2𝑛
Cn[𝑟 + 𝑦° sin 𝜃 + 𝑥° cos(𝜃)] - Dn[𝑟 + 𝑦° sin 𝜃 + 𝑥° cos(𝜃)] =
R2𝑛
Cn tan 𝑛𝜃 [ 𝑥° sin 𝜃 + 𝑦° cos 𝜃 ] + Dn tan 𝑛𝜃 [ 𝑥° sin 𝜃 + 𝑦° cos 𝜃 ]
R2𝑛
Cn[ 𝑟 + 𝑦° sin 𝜃 + 𝑥° cos 𝜃 − tan 𝑛𝜃 ( 𝑥° sin 𝜃 + 𝑦° cos 𝜃 )]
= Dn[( 𝑟 + 𝑦° sin 𝜃 + 𝑥° cos 𝜃 ) + tan 𝑛𝜃 ( 𝑥° sin 𝜃 + 𝑦° cos 𝜃 )]
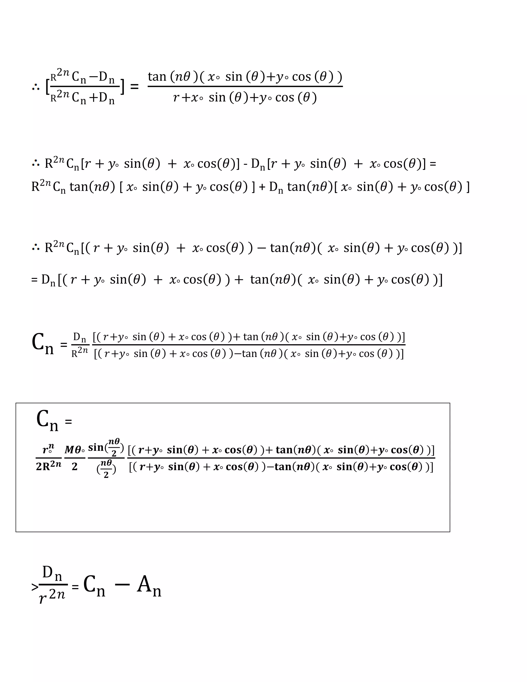
Cn =
Dn
R2𝑛
[( 𝑟+𝑦° sin 𝜃 + 𝑥° cos 𝜃 )+ tan 𝑛𝜃 ( 𝑥° sin 𝜃 +𝑦° cos 𝜃 )]
[ 𝑟+𝑦° sin 𝜃 + 𝑥° cos 𝜃 −tan 𝑛𝜃 ( 𝑥° sin 𝜃 +𝑦° cos 𝜃 )]
Cn =
𝒓°
𝒏
𝟐𝐑 𝟐𝒏
𝑴𝜽°
𝟐
𝐬𝐢𝐧(
𝒏𝜽
𝟐
)
(
𝒏𝜽
𝟐
)
[( 𝒓+𝒚° 𝐬𝐢𝐧 𝜽 + 𝒙° 𝐜𝐨𝐬 𝜽 )+ 𝐭𝐚𝐧 𝒏𝜽 ( 𝒙° 𝐬𝐢𝐧 𝜽 +𝒚° 𝐜𝐨𝐬 𝜽 )]
[ 𝒓+𝒚° 𝐬𝐢𝐧 𝜽 + 𝒙° 𝐜𝐨𝐬 𝜽 −𝐭𝐚𝐧 𝒏𝜽 ( 𝒙° 𝐬𝐢𝐧 𝜽 +𝒚° 𝐜𝐨𝐬 𝜽 )]
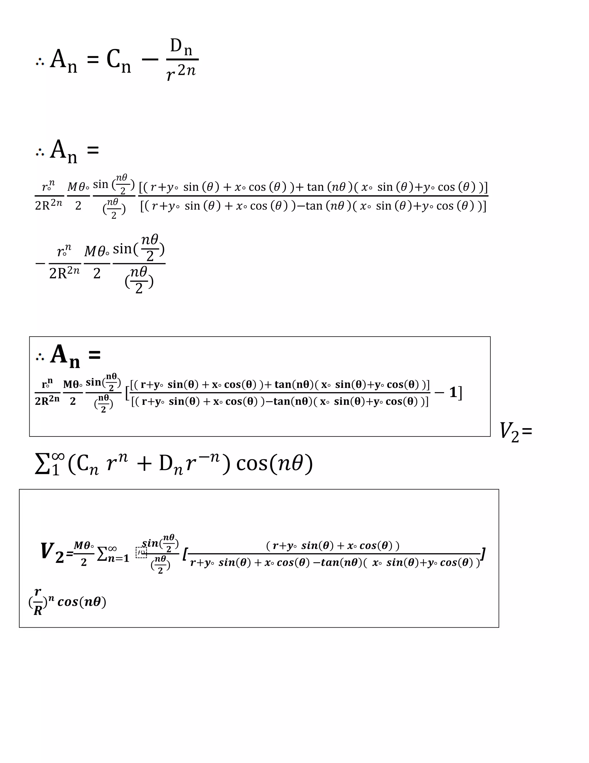
>
Dn
𝑟2𝑛 = Cn − An
An = Cn −
Dn
𝑟2𝑛
An =
𝑟°
𝑛
2R2𝑛
𝑀𝜃°
2
sin (
𝑛𝜃
2
)
(
𝑛𝜃
2
)
[( 𝑟+𝑦° sin 𝜃 + 𝑥° cos 𝜃 )+ tan 𝑛𝜃 ( 𝑥° sin 𝜃 +𝑦° cos 𝜃 )]
[ 𝑟+𝑦° sin 𝜃 + 𝑥° cos 𝜃 −tan 𝑛𝜃 ( 𝑥° sin 𝜃 +𝑦° cos 𝜃 )]
−
𝑟°
𝑛
2R2𝑛
𝑀𝜃°
2
sin(
𝑛𝜃
2
)
(
𝑛𝜃
2
)
𝑉2=
(C 𝑛 𝑟 𝑛 + D 𝑛 𝑟−𝑛) cos(𝑛𝜃)∞
1
𝑽 𝟐=
𝑴𝜽°
𝟐
⁡∞
𝒏=𝟏
𝒔𝒊𝒏(
𝒏𝜽
𝟐
)
(
𝒏𝜽
𝟐
)
[
( 𝒓+𝒚° 𝒔𝒊𝒏 𝜽 + 𝒙° 𝒄𝒐𝒔 𝜽 )
𝒓+𝒚° 𝒔𝒊𝒏 𝜽 + 𝒙° 𝒄𝒐𝒔 𝜽 −𝒕𝒂𝒏 𝒏𝜽 ( 𝒙° 𝒔𝒊𝒏 𝜽 +𝒚° 𝒄𝒐𝒔 𝜽 )
]
(
𝒓
𝑹
) 𝒏
𝒄𝒐𝒔(𝒏𝜽)
𝐀 𝐧 =
𝐫°
𝐧
𝟐𝐑 𝟐𝐧
𝐌𝛉°
𝟐
𝐬𝐢𝐧(
𝐧𝛉
𝟐
)
(
𝐧𝛉
𝟐
)
[
[( 𝐫+𝐲° 𝐬𝐢𝐧 𝛉 + 𝐱° 𝐜𝐨𝐬 𝛉 )+ 𝐭𝐚𝐧 𝐧𝛉 ( 𝐱° 𝐬𝐢𝐧 𝛉 +𝐲° 𝐜𝐨𝐬 𝛉 )]
𝐫+𝐲° 𝐬𝐢𝐧 𝛉 + 𝐱° 𝐜𝐨𝐬 𝛉 −𝐭𝐚𝐧 𝐧𝛉 ( 𝐱° 𝐬𝐢𝐧 𝛉 +𝐲° 𝐜𝐨𝐬 𝛉 )
− 𝟏]
m(𝜽) = 𝑽 𝟐 − 𝑽 𝟏|𝒓° =
𝑴𝜽°
𝟐
𝒔𝒊𝒏(
𝒏𝜽
𝟐
)
(
𝒏𝜽
𝟐
)
𝒄𝒐𝒔(𝒏𝜽) ⁡∞
𝒏=𝟏
Matlab code for m(theta) :
%extrinsic condition
%----------------------------------------
thetan=2*pi/3;
theta1=[(-pi):(0.21):(pi)];
s=0;
for n=1:100;
m1=(2*pi/6)*cos(n*theta1)*(sin(n*(2*pi/6)))/(n*(2*pi/6));
s=s+m1;
end
m1=s;
figure
plot(theta1,m1)
title('thetan=pi/3 & m(theta) & n=1:100')
Output figure for m(theta) :
Matlab code for v(theta) :
theta = linspace((-pi),(pi),length(theta1));
M=10;
N=100;
k=(2*M*thetan)/(2);
for l=1:length(theta)
for n=1:N
rR=0.6;
xn=0.1;
yn=0.1;
A=(rR+(xn*cos(theta(l)))+(yn*sin(theta(l))));
B=tan(n*theta(l));
C=((xn*sin(theta(l)))+(yn*cos(theta(l))));
D=sin(n*thetan/2)/(n*thetan/2);
k_n=(D*((2*A)/(A-B*C))*(rR^n));
segma(n)=k_n*cos(n*theta(l));
end
segma=sum(segma);
v_source1(l)=k*segma;
end
v_source1([ 9 22]) = 0;
v_source1([4 5 ]) = -13.7;
figure
plot(theta,v_source1)
title('thetan=pi/3 & v(theta) & n=1:100')
Output figure for v(theta) :
Neural networks background
The term neural network was traditionally used to refer to a network or circuit of biological neurons.
[1]
The modern usage of the term often refers
to artificial neural networks, which are composed of artificial neurons or nodes. Thus the term has two distinct usages
1. Biological neural networks are made up of real biological neurons that are connected or functionally related in a nervous system. In the field
of neuroscience, they are often identified as groups of neurons that perform a specific physiological function in laboratory analysis.
2. Artificial neural networks are composed of interconnecting artificial neurons (programming constructs that mimic the properties of biological
neurons). Artificial neural networks may either be used to gain an understanding of biological neural networks, or for solving artificial
intelligence problems without necessarily creating a model of a real biological system. The real, biological nervous system is highly complex:
artificial neural network algorithms attempt to abstract this complexity and focus on what may hypothetically matter most from an information
processing point of view. Good performance (e.g. as measured by good predictive ability, low generalization error), or performance mimicking
animal or human error patterns, can then be used as one source of evidence towards supporting the hypothesis that the abstraction really
captured something important from the point of view of information processing in the brain. Another incentive for these abstractions is to
reduce the amount of computation required to simulate artificial neural networks, so as to allow one to experiment with larger networks and
train them on larger data sets.
- An artificial neural network involves a network of simple processing elements (artificial neurons) which can exhibit complex global behavior,
determined by the connections between the processing elements and element parameters. Artificial neurons were first proposed in 1943
by Warren McCulloch, a neurophysiologist, and Walter Pitts, a logician, who first collaborated at the University of Chicago
Applications of natural and of artificial neural networks
The utility of artificial neural network models lies in the fact that they can be
used to infer a function from observations and also to use it. Unsupervised
neural networks can also be used to learn representations of the input that
capture the salient characteristics of the input distribution, e.g., see the
Boltzmann machine (1983), and more recently, deep learning algorithms, which
can implicitly learn the distribution function of the observed data. Learning in
neural networks is particularly useful in applications where the complexity of the
data or task makes the design of such functions by hand impractical.
The tasks to which artificial neural networks are applied tend to fall within the
following broad categories:
- Function approximation, or regression analysis, including time series prediction and modeling.
- Classification, including pattern and sequence recognition, novelty detection and sequential decision making.
- Data processing, including filtering, clustering, blind signal separation and compression.
Application areas of ANNs include system identification and control (vehicle control, process control), game-playing and
decision making (backgammon, chess, racing), pattern recognition (radar systems, face identification, object
recognition), sequence recognition (gesture, speech, handwritten text recognition), medical diagnosis, financial
applications, data mining (or knowledge discovery in databases, "KDD"), visualization and e-mail spam filtering.
Models
Neural network models in artificial intelligence are usually referred to as artificial neural networks (ANNs); these are essentially simple mathematical
models defining a function or a distribution over or both and , but sometimes models are also intimately associated with a particular
learning algorithm or learning rule. A common use of the phrase ANN model really means the definition of a class of such functions (where members of
the class are obtained by varying parameters, connection weights, or specifics of the architecture such as the number of neurons or their connectivity).
- Network function
The word network in the term 'artificial neural network' refers to the inter–connections between the neurons in the different layers of each
system. An example system has three layers. The first layer has input neurons, which send data via synapses to the second layer of neurons,
and then via more synapses to the third layer of output neurons. More complex systems will have more layers of neurons with some having
increased layers of input neurons and output neurons. The synapses store
parameters called "weights" that manipulate the data in the calculations.
An ANN is typically defined by three types of parameters:
1. The interconnection pattern between different layers of neurons
2. The learning process for updating the weights of the interconnections
3. The activation function that converts a neuron's weighted input to its
output activation.
Mathematically, a neuron's network function is defined as a
composition of other functions , which can further be defined as a
composition of other functions. This can be conveniently represented as a
network structure, with arrows depicting the dependencies between
variables. A widely used type of composition is the nonlinear weighted
sum, where , where (commonly referred
to as the activation function
[1]
) is some predefined function, such as
the hyperbolic tangent. It will be convenient for the following to refer to a
collection of functions as simply a vector .
This figure depicts such a decomposition of , with dependencies
between variables indicated by arrows. These can be interpreted in two
ways.
. The first view is the functional view: the input is transformed into a 3-
dimensional vector , which is then transformed into a 2-dimensional
vector , which is finally transformed into . This view is most commonly encountered in the context of optimization.
. The second view is the probabilistic view: the random variable depends upon the random variable , which depends
upon , which depends upon the random variable . This view is most commonly encountered in the context of graphical models.
The two views are largely equivalent. In either case, for this particular network architecture, the components of individual layers are
independent of each other (e.g., the components of are independent of each other given their input ). This naturally enables a degree of
parallelism in the implementation.
Networks such as the previous one are commonly called feedforward, because their graph is a directed acyclic graph. Networks
with cycles are commonly called recurrent. Such networks are commonly depicted in the manner shown at the top of the figure, where is
shown as being dependent upon itself. However, an implied temporal dependence is not shown.
- Learning
What has attracted the most interest in neural networks is the possibility of learning. Given a specific task to solve, and a class of functions
, learning means using a set of observations to find which solves the task in some optimal sense.
This entails defining a cost function such that, for the optimal solution , - i.e., no solution has a cost
less than the cost of the optimal solution
The cost function is an important concept in learning, as it is a measure of how far away a particular solution is from an optimal solution to the
problem to be solved. Learning algorithms search through the solution space to find a function that has the smallest possible cost.
For applications where the solution is dependent on some data, the cost must necessarily be a function of the observations, otherwise we would not be
modelling anything related to the data. It is frequently defined as a statistic to which only approximations can be made. As a simple example, consider
the problem of finding the model , which minimizes , for data pairs drawn from some distribution . In practical
situations we would only have samples from and thus, for the above example, we would only minimize . Thus,
the cost is minimized over a sample of the data rather than the entire data set.
When some form of online machine learning must be used, where the cost is partially minimized as each new example is seen. While online
machine learning is often used when is fixed, it is most useful in the case where the distribution changes slowly over time. In neural network
methods, some form of online machine learning is frequently used for finite datasets.
- Learning paradigms
Supervised learning
Unsupervised learning
Reinforcement learning
- Learning algorithms
Training a neural network model essentially means selecting one model from the set of allowed models (or, in a Bayesian framework,
determining a distribution over the set of allowed models) that minimizes the cost criterion. There are numerous algorithms available for
training neural network models; most of them can be viewed as a straightforward application of optimization theory and statistical estimation.
Most of the algorithms used in training artificial neural networks employ some form of gradient descent. This is done by simply taking the
derivative of the cost function with respect to the network parameters and then changing those parameters in a gradient-related direction.
Evolutionary methods, simulated annealing, expectation-maximization, non-parametric methods and particle swarm optimization are some
commonly used methods for training neural networks.
Employing artificial neural networks
Perhaps the greatest advantage of ANNs is their ability to be used as an arbitrary function approximation mechanism that 'learns' from observed data.
However, using them is not so straightforward and a relatively good understanding of the underlying theory is essential.
 Choice of model: This will depend on the data representation and the application. Overly complex models tend to lead to problems with learning.
 Learning algorithm: There are numerous trade-offs between learning algorithms. Almost any algorithm will work well with
the correct hyperparameters for training on a particular fixed data set. However selecting and tuning an algorithm for training on unseen data
requires a significant amount of experimentation.
 Robustness: If the model, cost function and learning algorithm are selected appropriately the resulting ANN can be extremely robust.
With the correct implementation, ANNs can be used naturally in online learning and large data set applications. Their simple implementation and the
existence of mostly local dependencies exhibited in the structure allows for fast, parallel implementations in hardware.
In the task at hand we used a NN simulator Inserting a data set based on the equation :
v=[(sin(n*thetan/2))/(n*thetan/2)]*(rR^n)*cos(n*theta)
References
Boulakia, M., M. A. Ferna´ndez, J.-F. Gerbeau, and N. Zemzemi. Direct and inverse problems in electrocardi-
ography. AIP Conf. Proc. 1048(1):113–117, 2008.
Boulakia, M., M. A. Ferna´ndez, J.-F. Gerbeau, and N. Zemzemi. A coupled system of PDEs and ODEs arising in electrocardiograms modelling. Appl. Math. Res. Exp.
2008(abn002):28, 2008.
Buist, M., and A. Pullan. Torso coupling techniques for the forward problem of electrocardiography. Ann. Biomed.
Eng. 30(10):1299–1312, 2002.
Clements, J., J. Nenonen, P. K. J. Li, and B. M. Horacek.Activation dynamics in anisotropic cardiac tissue via decoupling. Ann. Biomed. Eng. 32(7):984–990, 2004.10
Colli Franzone, P., and L. F. Pavarino. A parallel solver for reaction-diffusion systems in computational electro-cardiology. Math. Models Methods Appl. Sci. 14(6):883–
911, 2004.
Colli Franzone, P., L. F. Pavarino, S. Scacchi, and B. Taccardi. Effects of anisotropy and transmural hetero-geneity on the T-wave polarity of simulated electrograms.
In: Functional Imaging and Modeling of the Heart,Vol. 5528 of Lecture Notes in Computer Science, edited by N. Ayache, H. Delingette, and M. Sermesant. Springer-
Verlag, 2009, pp. 513–523.
Colli Franzone, P., L. F. Pavarino, and B. Taccardi. Sim-ulating patterns of excitation, repolarization and action potential duration with cardiac bidomain and monodo-
main models. Math. Biosci. 197(1):35–66, 2005.
www.wikipedia.com
www.ncbi.com
Abdulrhman Elbuni, Salah Kanoun, Mohamed Elbuni, Nasser Ali ,” ECG Parameter Extraction Algorithm using
(DWTAE) Algorithm,” 978-1-4244-5844-8/09, 2009 IEEE
Adamec, J., Adamec, R.: ECG Holter. Springer Science+Business Media, LLC, New York (2008)
ECG Library, http://www.ecglibrary.com/ecghist.html
Adam Szczepa´ nski, Khalid Saeed, Alois Ferscha: ANewMethodforECGSignal Feature Extraction, Springer-
Verlag Berlin Heidelberg 2010
Andr´as Hartmann “Reconstruction of Missing Cardiovascular Signals using Adaptive Filtering” Computing
in Cardiology 2010;37:321−324.
D. Rumelhart, et al. ,”learning representations by back
propagation errors,” Cognitive modeling, p. 213 , 2002.
Jung-Wook Park, R. G. Harley, G. K. Venayagamoorthy, “Comparison of MLP and RBF Neural Networks Using Deviation Signals for On-Line Identification of
a Synchronous Generator”, 0-7803-7322-7/02, 2002 IEEE
Wan Mohd Fahmi, Wan Mamat, Ashidi Mat Isa, Kamal
Zuhairi Zamli, “Hybrid Version of MLP Neural Network for
Transformer Fault Diagnosis System”, 978-1-4244-2328-
6/08/, 2008 IEEE
ECG graduation project

ECG graduation project

  • 2.
    Index 1- Preface........................................................................................................................................................... 2- Introductionto Bioelectricity........................................................................................................................ 3- Electrocardiography 4- Forward and Reverse problems definition 5- Simulation models of the human heart 6- Introduction to Neural Networks 7- Application of NN simulators in ECG 8- References
  • 3.
    Preface Throughout the historyof our universe, various aspects and fields of science merged to give birth to a new understanding and a special appreciation to each and every bit of that universe we live in And in such a marvelous marriage between the fields of biology , chemistry , physics and mathematics ... a miraculous new field of biomedical engineering was born , a field that revolutionized our understanding of the human body and its wonderful mechanics and electrical characteristics and dynamics And in that human body .. the human heart stood out as one of the most fascinating mechanisms ... on the levels of engineering and biology , an organ ... that throughout the history was a source for magic , poems , and life itself And as engineers see the magical world through poems of math , and tend to study its aspects through simple models yet complicated analysis We , a team of engineers have put our minds to the task of studying the various electrical characteristics of the human heart , as ambitious our agile minds was ... as wise as the mind of our supervisor to guide us through that magical world of the mathematics ... of the human heart Here we provide a journey through the various efforts done by a lot of researchers in that field , and adopt a special technique to model the human heart in its natural habitat ... the thorax And through refining of the results through a set of ANN – artificial neural networks – simulators ... we offer an ambitious approach toward solving the problem of ECG –electrocardiography- A problem which if solved accurately can and will revolutionize the field of cardiac medicine and cardiac surgery , and give birth to a new set of ideas that pave the road toward a new understanding of ECG We thank all those who helped us in our journey through the findings of this book and that project We specially thank those who made it possible for us to reach our findings through their work in the fields of mathematics , computer software and biology And finally , we offer our utmost respect and our sincerest thanks to our supervisor dr/abd elreheem khalifa , who was a mentor to each and every one of us through this project and gave us what we needed to work on his own models and findings in the field of ECG The Bio eleven supervised by DR/ Abd Al-Reheem Khalifa
  • 4.
    The project team -Eslam Saeed Abo eliel seat # 64 - Eslam Osama Al-Sayed Al-Gwaily seat # 63 - Sally Mohammed Abd Al-mun’em Arafa seat # 171 - Asmaa ashraf othman el-desouky seat # 68 - Radwa Nasr Aldeen Ebraheem Hussein seat # 147 - Radwa Hussam Hassan Al-hady seat # 145 - Mohammed ebraheem Mohammed Salama seat # 263 - Mohammed Aly Hassan Mostafa seat # 295 - Mostafa Ahmed Mohammed Oda seat # 347 - Nader Mahmoud Mohammed Khaleel seat # 377 - Mostafa Mohammed Fahmy Abd-Elreheem seat # 349
  • 5.
    Introduction to Bioelectricity Bioelectricityis fundamental to all of life’s processes. Indeed, placing electrodes on the human body, or on any living thing, and connecting them to a sensitive voltmeter will show an assortment of both steady and time-varying electric potentials depending on where the electrodes are placed. These biopotentials result from complex biochemical processes, and their study is known as electrophysiology. We can derive much information about the function, health, and well-being of living things by the study of these potentials. To do this effectively, we need to understand how bioelectricity is generated, propagated, and optimally measured. In an electrical sense, living things can be modeled as a bag of water having various dissolved salts. These salts ionize in solution and create an electrolyte where the positive and negative ionic charges are available to carry electricity. Positive electric charge is carried primarily by sodium and potassium ions, and negative charges often are carried by chloride and hydroxyl. On a larger scale, the total numbers of positive and negative charges in biological fluids are equal, as illustrated in Fig. 20.1. This, in turn, maintains net electroneutrality of living things with respect to their environment. Biochemical processes at the cell molecular level are intimately associated with the transfer of electric charge. From the standpoint of bioelectricity, living things are analogous to an electrolyte container filled with millions of small chemical batteries. Most of these batteries are located at cell membranes and help define things such as cell osmotic pressure and selectivity to substances that cross the membrane. These fields can vary transiently in time and thus carry information and so underlie the function of the brain and nervous system. The most fundamental bioelectric processes of life occur at the level of membranes. In living things, there are many processes that create segregation of charge and so produce electric fields with- in cells and tissues. Bioelectric events start when cells expend metabolic energy to actively transport sodium outside the cell and potassium inside the cell. The movement of sodium, potassium, chloride, and, to a lesser extent, calcium and magnesium ions occurs through the functionality of molecular
  • 6.
    pumps and selectivechannels within the cell membrane. Membrane ion pumps consist of assemblies of large macromolecules that span the thickness of the phospholipid cell membrane, as illustrated in Fig. 20.2. The pumps for sodium and potassium ions are coupled and appear to be a single structure that acts somewhat like a turnstile. Their physical con- struction transports sodium and potassium in opposite directions in a 3:2 atomic ratio, respectively. As shown in Fig. 20.3, the unbalance of actively transported charge causes a low intracellular sodium ion concentration and relatively higher potassium concen- tration than the extracellular environment. Chloride is not actively transported. The unbalance in ionic charge creates a negative potential in the cell interior relative to the exterior and gives rise to the resting transmembrane potential (TMP). This electric field, appearing across an approxi- mately 70-Å-thick cell membrane, is very large by standards of the macro physical world. For example, a cellular TMP of − 70 mV creates an electric field of 10 7 V/m across the membrane. In air, electric breakdown would occur and would produce lightning- bolt-sized discharges over meter-order distances. Electric breakdown is resisted in the microcel- lular environment by the high dielectric qualities of the cell membrane. Even so, the intensity of these fields produces large forces on ions and other charged molecules and is a major factor in ionic transfer across the cell membrane. When a cell is weakened or dies by lack of oxygen, its transmembrane field also declines or vanishes. It both regulates and results from the life and func- tion of the cell. In addition to ion pumps, the membrane has ion channels. These are partially constructed of helical- shaped proteins that longitudinally align to form tubes that cross the cell membrane. These proteins are oriented such that parts of their charged structure are aligned along the inside of the channels. Due to this alignment and the specific diameter of the formed channel lumen, there results selectivity for specific ionic species. For example, negatively charged protein carboxylic acid groups lining the
  • 7.
    channel wall willadmit positively charged ions of a certain radius, such as sodium, and exclude negatively charged ions, such as chloride. Some membrane ionic channels respond to changes in the surrounding membrane electric field by modulating their ionic selectivity and conductance. These are known as voltage-gated ion chan- nels. Their behavior is important in excitable cells, such as nerve and muscle, where the membrane permeability and its electric potential transiently change in response to a stimulus. This change accompanies physiological events such as the contraction of muscle cells and the transmission of information along nerve cells. Bioelectric Currents Electric fields can arise from a static distribution of charge, whereas electric currents are charges in motion. Since current flow in a volume of fluid is not confined to a linear path as in a wire, currents can flow in many directions. When describing bioelectric currents, we often use a derivation of Ohm’s law: Thus, within the conductivity of living tissue, electric current flows are driven by electric field differences. Electric currents in a wire always move from a source to a sink. Ionic currents in an electrolyte flow in a similar way. Charged ions, such as sodium, move from some origin to a destination, thereby producing an electric current flow. The magnitude of these currents is directly proportional to the number of ions flowing. This idea is shown in Fig. 20.4.
  • 8.
    Thus, given thecharge of 1.6 10 − 23 C, approximately 10 23 sodium ions, for example, moving in one direction each second will produce an electric current of 1 A. Such large numbers of ions do not ordinarily flow in one direction over a second in biologic organisms. Currents in the milliampere region, however, are associated with physiologic processes such as muscular contraction and the beating of the heart. Biological tissues are generally considered to be electric volume conductors. This means that the large numbers of free ions in tissue bulk can support the conduction of currents. Even bones, to some extent, will transport charged ions through their fluid phase. On a macroscopic scale, there are few places within the body that are electrically isolated from the whole. This is reflected in the fact that electric resistance from one place inside the body to almost any other will show a finite value, usually in the range of 500 to 1000 Ω . 1 Likewise, a current generator within the body, such as the beating heart, will create electric field gradients that can be detected from most parts of the body, as illustrated in Fig. 20.5. Electrocardiography
  • 9.
    Introduction: The heart isconsist of four chamber (right atrium , right ventricle , left atrium , left ventricle ) each chamber has certain function . the function of the right side of the heart is to collect de-oxygenated blood, in the right atrium, from the body (via superior and inferior vena cavae) and pump it, through the tricuspid valve, via the right ventricle, into the lungs so that carbon dioxide can be dropped off and oxygen picked up This happens through the passive process of diffusion. The left side (collects oxygenated blood from the lungs into the left atrium. From the left atrium the blood moves to the left ventricle, through the bicuspid valve (mitral valve), which pumps it out to the body (via the aorta). On both sides, the lower ventricles are thicker and stronger than the upper atria. The muscle wall surrounding the left ventricle is thicker than the wall surrounding the right ventricle due to the higher force needed to pump the blood through the systemic circulation. Starting in the right atrium, the blood flows through the tricuspid valve to the right ventricle. Here, it is pumped out the pulmonary semilunar valve and travels through the pulmonary artery to the lungs. From there, oxygenated blood flows back through the pulmonary vein to the left atrium. It then travels through the mitral valve to the left ventricle, from where it is pumped through the aortic semilunar valve to the aorta. The aorta forks and the blood is divided between major arteries which supply the upper and lower body. The blood travels in the arteries to the smaller arterioles and then, finally, to the tiny capillaries which feed each cell. The (relatively) deoxygenated blood then travels to the venules, which coalesce into veins, then to the inferior and superior venae cavae and finally back to the right atrium where the process began. The heart is effectively a syncytium, a meshwork of cardiac muscle cells interconnected by contiguous cytoplasmic bridges. This relates to electrical stimulation of one cell spreading to neighboring cells. Some cardiac cells are self-excitable, contracting without any signal from the nervous system, even if removed from the heart and placed in culture. Each of these cells have their own intrinsic contraction rhythm. A region of the human heart called the sinoatrial (SA) node, or pacemaker, sets the rate and timing at which all cardiac muscle cells contract. The SA node generates electrical impulses, much like those produced by nerve cells. Because cardiac muscle cells are electrically coupled by inter-calated disks between adjacent cells, impulses from the SA node spread rapidly through the walls of the artria, causing both artria to contract in unison. The impulses also pass to another region of specialized cardiac muscle tissue, a relay point called the atrioventricular node, located in the wall between the right atrium and the right
  • 10.
    ventricle. Here, theimpulses are delayed for about 0.1s before spreading to the walls of the ventricle. The delay ensures that the artria empty completely before the ventricles contract. Specialized muscle fibers called Purkinje fibers then conduct the signals to the apex of the heart along and throughout the ventricular walls. The Purkinje fibres form conducting pathways called bundle branches. This entire cycle, a single heart beat, lasts about 0.8 seconds. The impulses generated during the heart cycle produce electrical currents, which are conducted through body fluids to the skin, where they can be detected by electrodes and recorded as an electrocardiogram (ECG or EKG). The events related to the flow or blood pressure that occurs from the beginning of one heartbeat to the beginning of the next can be referred to a cardiac cycle. The SA node is found in all amniotes but not in more primitive vertebrates. In these animals, the muscles of the heart are relatively continuous and the sinus venosus coordinates the beat which passes in a wave through the remaining chambers. Indeed, since the sinus venosus is incorporated into the right atrium in amniotes, it is likely homologous with the SA node. In teleosts, with their vestigial sinus venosus, the main centre of coordination is, instead, in the atrium. The rate of heartbeat varies enormously between different species, ranging from around 20 beats per minute in codfish to around 600 in hummingbirds. Cardiac arrest is the sudden cessation of normal heart rhythm which can include a number of pathologies such as tachycardia, an extremely rapid heart beat which prevents the heart from effectively pumping blood, which is an irregular and ineffective heart rhythm, and asystole, which is the cessation of heart rhythm entirely. Cardiac tamponade is a condition in which the fibrous sac surrounding the heart fills with excess fluid or blood, suppressing the heart's ability to beat properly. Tamponade is treated by pericardiocentesis, the gentle insertion of the needle of a syringe into the pericardial sac (avoiding the heart itself) on an angle, usually from just below the sternum, and gently withdrawing the tamponading fluids.
  • 11.
    Muscle Cells: At restingstate any cell have three type of ions such as positive ion sodium, positive ion potassium and negative ion chlorine this mean that there are potential differences across membrane. In the heart it is typically 70mv for atrial cell and 90mv for ventricular cell. The positive and negative charge difference across each part of the membrane causes a dipole moment pointing across the membrane from inside to outside cell but each these dipole moments are exactly cancelled by dipole moment across the membrane on the otherside of cell. Thus total dipole moment of cell is zero. Repolarization and depolarization depolarization is a change in a cell's membrane potential, making it more positive, or less negative. In neurons and some other cells, a large enough depolarization may result in an action potential. repolarization is the opposite of depolarization the process of depolarization and repolarization together called action potential As mentioned earlier, stimulation of the neuron causes Na+ gates open allowing Na+ to rush in. This results in depolarization of the membrane in the area where the stimulation occurred. If the depolarization is sufficient, it will depolarize adjacent areas of membrane causing more Na+ gates to open, thus spreading the depolarization.
  • 12.
    Immediately after depolarization,Na+ channels close and K+ channels open causing K+ to flow out. This process returns positive charge to the area just outside the membrane, thus restoring the resting polarity. The depolarization and repolarization events described above are called an action potential. During an action potential, the depolarization spreads to neighboring areas of the neuron, regenerating the action potential. Depolarization continues to spread all the way to the action terminal where the axon joins another cell. Action potentials are "all or nothing." The intensity of an action potentials does not diminish as depolarization spreads along an axon. Action potentials are initiated when depolarization reaches a threshold level. In typical mammalian neurons, a depolarization to -55 mV produces an action potential The sodium-potassium pump operates continuously to restore the ionic gradient. In the diagram below, depolarization caused by the influx of sodium can be seen spreading to the right.
  • 14.
    What is anECG? ECG (electrocardiogram) is a test that measures the electrical activity of the heart. The heart is a muscular organ that beats in rhythm to pump the blood through the body. The signals that make the heart's muscle fibres contract come from the sinoatrial node (SA node), which is the natural pacemaker of the heart. In an ECG test, the electrical impulses made while the heart is beating are recorded and usually shown on a piece of paper. this is known as an electrocardiogram, and records any problems with the heart's rhythm, and the conduction of the heart beat through the heart which may be affected by underlying heart disease. The leads & Einthoven's triangle The electrodes are typically twelve in number. The stretch between two limb (arm or leg) electrodes is called a lead. Einthoven named the leads between the three limb electrodes "standard lead I, II and III" referring to the two arm electrodes and the left leg electrode. He studied the relationship between these electrodes, forming a triangle where the heart electrically constitutes the null point. The relationship between the standard leads is called Einthoven's triangle. Einthoven's triangle is used when determining the electrical axis of the heart.
  • 15.
    ECG records theheart tracing in12 leads: Six limb leads (I, II, III, AVR, AVL, AVF) and six chest leads (V1-V6). Lead I: is between the right arm and left arm electrodes, the left arm being positive. Lead II: is between the right arm and left leg electrodes, the left leg being positive. Lead III: is between the left arm and left leg electrodes, the left leg again being positive Chest electrode placement: V1: Fourth intercostal space to the right of the sternum. V2: Fourth intercostal space to the Left of the sternum. V3: Directly between leads V2 and V4. V4: Fifth intercostal space at midclavicular line. V5: Level with V4 at left anterior axillary line. V6: Level with V5 at left midaxillary line. (Directly under the midpoint of the armpit)
  • 16.
    where RA =right arm, LA = left arm, and LL = left leg.
  • 17.
    Summary of waves: P wave: the sequential activation (depolarization) of the right and left atria  QRS complex: right and left ventricular depolarization (normally the ventricles are activated simultaneously)  ST-T wave: ventricular repolarization  PR interval: time interval from onset of atrial depolarization (P wave) to onset of ventricular depolarization (QRS complex)  QRS duration: duration of ventricular muscle depolarization  QT interval: duration of ventricular depolarization and repolarization  RR interval: duration of ventricular cardiac cycle (an indicator of ventricular rate)  PP interval: duration of atrial cycle (an indicator of atrial rate) Introduction to Ecg system: The ECG system comprises four stages, each stage is as following: (1) The first stage is a transducer— AgCl electrode, which convert ECG into electrical voltage. The voltage is in the range of 1 mV ~ 5 mV. (2) The second stage is an instrumentation amplifier which has a very high gain (1000), with power supply +9V and -9V. (3) We use an op to-coupler to isolate the In-Amp and output. (4) After the op to-coupler is a band pass filter of 0.04 Hz to 150 Hz filter. It’s implemented by cascading a low-pass filter and a high pass filter.
  • 18.
    ECG USES: ECG isa device used to record on graph paper the electrical activity of the heart. The picture is drawn by a computer from information supplied by the electrodes. Doctor uses the ECG to:  assess your heart rhythm  diagnose poor blood flow to the heart muscle (ischemia)  diagnose a heart attack  diagnose abnormalities of your heart, such as heart chamber enlargement and abnormal electrical conduction
  • 19.
    Forward and Reverseproblems definition Introduction to Inverse problem An inverse problem is a general framework that is used to convert observed measurements into information about a physical object or system that we are interested in. ** For example, if we have measurements of the Earth's gravity field, then we might ask the question: "given the data that we have available, what can we say about the density distribution of the Earth in that area?" The solution to this problem (i.e. the density distribution that best matches the data) is useful because it generally tells us something about a physical parameter that we cannot directly observe. Thinking backwards **Most people, if you describe a train of events to them will tell you what the result will be. There are few people however that if
  • 20.
    you told thema result, would be able to evolve from their own inner consciousness what the steps were that led to that result. ** This power is what I mean when I talk of reasoning backward. Application of this approach to the ECG problem Forward and Inverse Problems of Electrocardiography the main objective of electrocardiography
  • 21.
    is to relatethe potentials recorded at the body surface with the ones generated on the heart surface as a result of the electrical activity of the heart. Two different approaches - in other words, problems — are used in electrocardiography to establish this relation. The first approach is called the forward problem which entails the calculation of the body-surface potentials, starting usually from either pre-decided electrical representation of the heart activity (equivalent current dipoles) or from known potentials on the heart’s surface (the epicardium) [20]. The other approach is the inverse problem, which involves the calculation of the potentials and prediction of the electrical activity
  • 22.
    of the heartstarting from the potential distribution on the body surface, on the contrary to forward problem (Figure 2.6). The general objective of the forward and inverse problem of the electrocardiography is a better qualitative and quantitative understanding of the heart’s electrical activity. Figure 2.6: Schematic representation of the forward and inverse problem. We have already stated that the current generated on the heart surface propagates through other conducting compartments
  • 23.
    (lungs, sternum, spines,skeletal muscle layer, and fat layer) of the torso so that the potential distribution measured on the body surface is directly affected by the geometrical and electrical properties of the torso compartments. Each of these compartments has different geometrical and electrical properties (conductivities). In the forward and inverse problem computations all these properties are taken into account in order to have a precise solution at the end Although forward and inverse problems differ by definition, these two problems are closely related with each other, since the complexity of the physiological torso model used must be tested through the forward solution and the inverse solution must be developed from the forward solution.
  • 24.
    For a specificsolution to the forward or inverse solution of ECG, a three dimensional geometric description of a volume conductor (Figure 2.7) is required. The geometric description of the volume conductor can take several forms, depending on the specific method of mathematical solution [9.] When considering a realistic torso as in Figure 2.7, we have several regions which are physically different and have different electrical conductivities. This means that the volume conductor is inhomogeneous. Sometimes, in order to simplify the calculations, the conducting medium between the heart and body surface, inside of the torso, is assumed to be similar in geometry and have the same conductivity values. In that case, the torso is described as homogeneous.
  • 25.
    Figure 2.7: Geometricdescription of the volume conductor. Moreover, if the conductivity value in a region changes with the direction then the region is defined to be anisotropic, otherwise, if the conductivity is constant ver the region then the region is isotropic. One of the key differences between the forward and inverse problems is that the forward solutions are generally unique; on the other hand, the inverse solutions are generally not unique [9].
  • 26.
    Being not uniquearises from the reason that the primary cardiac sources cannot be uniquely determined as long as the active cardiac region containing these sources is inaccessible for potential easurements. This is because the electric field that these sources generate outside any closed surface completely enclosing them may be duplicated by equivalent single-layer (monopole) or double-layer (dipole) current sources on he closed surface itself. Many equivalent sources and, hence, inverse solutions,are thus possible. However, once an equivalent source (and associated volume conductor) is selected, its parameters can usually be determined uniquely from the body-surface potentials [20.] One drawback of the inverse problems is that, computationally, inverse problems frequently involve complex numerical algorithms and large systems of equations.
  • 27.
    In addition, inverseproblems are also typically ill-posed, that is, small changes in the input data can lead to deviations in the solutions. Often, the ajor challenge of an inverse problem lies in incorporating a priori information into the solution by regularizations and improvements [25]. The SCI Institute has developed a number of efficient and realistic ways to solve a wide variety of inverse problems in functional imaging - including reconstruction of electrical sources within the heart or brain and extraction of molecular diffusion information from magnetic resonance images [31.] The content of this study does not include the inverse problem, but the forward problem of ECG.
  • 28.
    The above informationhas been given to make clear the two problems of ECG and relations, however, one can find a discussion on inverse problems in A.5 Forward Simulation In the present study the left ventricle is subdivided into 17 segments (see Fig. 3b and 3c) according to the recommendation from the American Heart Association (see Fig. 3a) [Cerqueira MD et al., 2002; Keller DUJ et al., 2006.]
  • 29.
    Figure 3. Thenomenclature of 17 AHA segments in left ventricle [Cerqueira MD et al., 2002] (a) and the subdivision of the left ventricular model according to the AHA suggestion shown in two aspects (b) (c) In each segment 3 types of ischemia are simulated, i.e., subendocardial, transmural and subepicardial ischemia. For each type, 3 different sizes are considered, i.e., 10mm, 20mm and 30mm for the radius of ischemic area. Thus, in total 153 different myocardial ischemic areas are simulated
  • 30.
    throughout the entireleft ventricle and septum. As examples, 6 simulated ischemic areas with various sizes and in different segments are shown in Fig. 4 Figure 4. Simulated apex ischemia (segment 17) with radii of 10mm (a), 20mm (b) and 30mm (c); simulated subendocardial (d), transmural (e) and subepicardial (f) ischemia with a radius of 20mm in the apical lateral segment (segment 16). The distribution of transmembrane voltages during ST-interval is shown in a cross-section of heart
  • 31.
    By solving theforward problem the corresponding 153 BSPMs are obtained. For the further investigation ST-integral maps are calculated. 6 ST-integral maps related to the 6 ischemic areas shown in Fig. 4 are presented in Fig. 5. Figure 5. The ST-integral maps corresponding to the simulated apex ischemia (segment 17) with radii of 10mm (a), 20mm (b) and 30mm (c); The ST-integral maps corresponding to the simulated subendocardial (d), transmural (e) and subepicardial (f) ischemia with a radius of 20mm in the apical lateral segment (segment 16)
  • 32.
    Optimization of ElectrodePositions : Due to the detailed computer model, it is very time costly to involve all the nodes on the body surface in the singular vector analysis. Therefore, 663 nodes distributed evenly on the torso surface are selected for the analysis. The first 5 left singular vectors are taken into account. In order to provide a clear overview of the analysis results, the singular vectors are normalized after taking absolute value see Fig. 6a to 6e) and then summed up (see Fig. 6f.)
  • 33.
    Figure 6. Thefirst 5 left singular vectors of the 153 simulated ST-integral maps after taking absolute value and normalization (a) (b) (c) (d) (e); the sum of the first 5 normalized left singular vectors after taking absolute value (f). In this work the electrode positions of a 64-channel ECG measurement system is optimized. The original electrode configuration is shown in Fig. 7a. It consists of 7 strips of electrodes. 4 strips (48 electrodes) are located bilateral symmetrically on the front side of thorax and 3 strips (16 electrodes) are placed on the left lateral side of thorax. In the optimized configuration (see Fig. 7b) 52 electrodes
  • 34.
    are located onthe front side of thorax, 4 electrodes on the back and 8 electrodes on the left shoulder. The electrodes cover the regions where the strongest signals show in Fig. 6f. Figure 7. The original electrode configuration (a) and the optimized electrode configuration of 64-channel ECG system.
  • 35.
    Inverse Problem: In thepresent study transmembrane voltages are chosen as source model. 4502 nodes in the ventricular model are selected. Transfer matrix is then constructed describing the relation between 64 ECG measurements on the body surface and 4502 unknown sources in the heart. Two transfer matrices are calculated, i.e., one for the original electrode configuration and one for the optimized electrode configuration. The condition number and singular values of these two transfer matrices are computed in order to evaluate the electrode configurations with the respect to the null-space theory. The condition number of transfer matrix calculated from the original electrode configuration is 6.25e+06 and the optimized configuration reaches a condition number of 2.26e+06. The singular values of two configurations are shown in Fig. 8
  • 36.
    The ST-integrals ofsimulated ECGs, which are forward calculated from the 153 simulated ischemic areas, are taken as the input of the inverse problem. The inverse problem is solved with the original and optimized electrode configurations, separately.
  • 37.
    The output ofthe inverse problem is then the ST-integral of transmembrane voltages, in which the ischemic area can be identified at its minimum. To evaluate the quality of the inverse problem the inverse solutions are compared with the simulated references. The criterion is that the more similar the solution and the reference are, the better the inverse solution The Tikhonov 2nd-order regularization is used at first. The optimal regularization parameter is determined using the “L-curve” method.
  • 38.
    The correlation coefficientsbetween the simulated references and the reconstructions obtained with Tikhonov 2nd-order regularization using the original and optimized electrode configurations for all 153 ischemic areas are plotted in Fig. 9. The reconstructed ischemic areas of two cases, i.e., the basal inferoseptal transmural ischemia (segment 3) with a radius of 30mm and the mid anterolateral transmural ischemia (segment 12) with a radius of 20mm, are shown in Fig. 10 The second method utilized in this study is the MAP-based regularization. The simulated 153 ischemic areas in the left ventricular wall and the septum provide a comprehensive stochastical basis for the MAP-based regularization. The statistical description of sources, i.e., the covariance matrix Cx in Eq. 7, is extracted from the 153 simulations. The correlation coefficients between the simulated references and the reconstructions obtained with the MAP-based regularization using the original and
  • 39.
    optimized electrode configurationsfor all 153 ischemic areas are plotted in Fig. 11. The reconstructed ischemic areas of two cases, i.e., the basal inferior transmural ischemia (segment 4) with a radius of 30mm and the mid inferoseptal ischemia (segment 9) with a radius of 30mm, are shown in Fig. 12. Figure 9. The correlation between simulated references and the reconstructions with the Tikhonov 2nd-order regularization using the original electrode configuration (Conf. 1) and the optimized electrode configuration (Conf. 2).
  • 40.
    Figure 10. Thereconstructed myocardial ischemic areas with the Tikhonov 2nd-order regularization using the original electrode configuration (Conf. 1) and the optimized electrode configuration (Conf. 2). The simulations as reference are shown in the first column. The basal inferoseptal transmural ischemia (segment 3) with a radius of 30mm (upper) and the mid anterolateral transmural ischemia (segment 12) with a radius of 20mm (bottom) are shown.
  • 41.
    Figure 11. Thecorrelation between simulated references and the reconstructions with the MAP-based regularization using the original electrode configuration (Conf. 1) and the optimized electrode configuration (Conf. 2). Figure 12. The reconstructed myocardial ischemic areas with the MAP-based regularization using the original electrode configuration (Conf. 1) and the optimized electrode configuration (Conf. 2). The simulations
  • 42.
    as reference areshown in the first column. The basal inferior transmural ischemia (segment 4) with a radius of 30mm (upper) and the mid inferoseptal ischemia (segment 9) with a radius of 30mm (bottom) are shown
  • 43.
    Simulation models ofthe human heart Modeling Cardiac Bioelectricity in Realistic Volumes Introduction Since before the time of Einthoven biophysicists and physicians have sought to understand the relationship between cardiac sources of bioelectricity and the resulting body surface potentials, a relationship expressed most generally as forward problems in electrocardiography. As a physician with a strong interest in physics, Einthoven tapped both sources of motivation to make first measuring and then understanding the ECG the center point of his career. The past century has seen remarkable progress and also great diversity in the approaches available to study and understand electrocardiographic forward problems. Models of the cardiac sources have evolved from the single dipoles of Einthoven’s time to anatomically realistic, anisotropic bidomain models of the heart driven by dynamic cellular currents first described in the middle of the century by fellow Nobel Prize winners, Hodgkin and Huxley. From the crude approximations of the body volume conductor as an infinite homogeneous region have evolved into high resolution, patient specific geometric models consisting of millions of points joined into surface or volume elements. To replace the qualitative descriptions of electric potentials generated by simple sources, there exist now highly quantitative approximations based on solutions of partial differential equations from Maxwell. And finally, to solve and display the measurements and predictions of the ECG, photographic images from string galvanometers have given way to modern computers, numerical mathematics, and scientific visualization. The essential elements of a forward solution, however, have remained the same as in Einthoven’s time, dictated as they are by the physics of the problem rather than the technology. One must first determine a suitable estimate of the electrical behavior of the heart that captures the important features and yet remains mathematically and computationally tractable. One must then place this source within a volume conductor that describes the passive electrical characteristics of the human body, again with as much detail as necessary but in a way that remains amenable to calculation. The third component of a forward solution are the physical equations that describe the relationships between electrical sources and volume potentials and currents, together with robust and accurate means of estimating them in the discrete geometric models of the body. Finally, one must have a means of capturing all this information in a framework that allows numerical solution of the equations and display and manipulation of the results, ideally coupled with measurements that server to validate the assumptions built into all stages of the solution. Once developed and tested, an accurate solution to the electrocardiographic forward problem has a number of uses. It can serve as a means of testing the effect of variations of all components of the sources and geometric model on the resulting ECG. A typical goal would be to differentiate between pathological changes in the heart and a range of other
  • 44.
    variations that caneffect body surface potentials. A forward solution can also serve as the bridge between a simulation model of cardiac activity (described elsewhere in this volume) and the resulting ECG and thus help determine whether the predictions of the source model are compatible with measured body surface signals. Forward solutions are also invariably a required element in any inverse problem formulation, the problem of determining cardiac activity from (noninvasive) body-surface measurements, also described in this volume. The goal of this document is to describe briefly some of the more recent advances in the creation and application of electrocardiographic forward solutions. For more comprehensive reviews, see, for example, Gulrajani. We will begin with an overview of the elements of a contemporary forward solution and the research findings that describe them. We will then highlight some of the integrated solutions formulations and the software available to compute them and then describe our own initial results using these tools to describe forward solution results in a novel and hopefully useful way. We conclude with what we feel is a novel approach to representing the forward solution and a few of the many intriguing questions left to resolve in the study of forward problems in electrocardiography. Source Formulations Every stage of a simulation model requires approximations of reality that reflect the goals, desired level of detail, and the imagination of its creator. In the electrocardiographic forward problem, it is arguably the formulation of the bioelectric source component that best characterizes the perspective of a particular model. Einthoven first described the electric behavior of the entire heart (and torso) as a single dipole that changes orientation and amplitude over the course of each heart beat and this conceptual approach remains dominant in the teaching and clinical application of electrocardiography in medicine. In subsequent years have followed a series of modification and refinements of the dipole source model, notable among them the experimental and modeling evaluation by Burger and van Milaan of the concept of a lead field to describe the relationship between dipolar sources and the resulting body surface potentials. Further refinements of this basic concept include the use of moving dipole, multiple dipoles, multipole, and dipole layers
  • 45.
    Figure 1: Sourcemodel configurations for electrocardiographic forward problems. The inadequacies in the basic approximation of the heart as single dipole that arose fairly soon after its description led not just to refinements of this basic idea but also to fundamentally different source models of the heart, as summarized schematically in Figure 1. Crucial among them was the use of the epicardial potential distribution as an equivalent source of cardiac bioelectricity, an approach still in very common use today (and illustrated in Panel B of Figure 1). Another source model that has gained considerable attention in recent years is based on a uniform dipole layer (UDL) representation of cardiac activation (illustrated in Panel C of Figure 1). Starting from this source and assuming the resulting electrocardiographic fields to be represented by the solid angle subtended by the UDL, one can describe the field from the entire activation sequence of the heart as that originating from the epicardial and endocardial surfaces. Given some further assumption about the voltage source of the activation wavefront, it is then possible to formulate a quantitative expression for body surface potential as a function of activation time on the heart surface. All of these formulations require in one form or another a description of the electrical activity of the heart. Measurements from cardiac mapping provide one source of this information, as we shall describe below. It is also possible, as reported elsewhere in this volume, to simulate the cardiac bioelectricity by means of a model of excitable cells and myocardial tissue. In the time since Einthoven there have been an impressive sequence of such models, starting most notably with the Nobel prize winning results of Hodgkin and Huxley on the dynamics of excitable membranes. This fundamental description of the time and voltage dependence of ionic currents provided the basic source for ever more complex models of myocytes, myocardium, and now entire hearts. of special importance in the context of forward solutions have been models using networks of excitable cells, cellular automata, and especially the bidomain approach.
  • 46.
    Volume Conductor Models Linkingthe cardiac sources with the body surface potentials is the thorax, an electrically passive volume conductor, geometric models of which have grown substantially in sophistication and detail since the time of Einthoven. Einthoven considered the volume conductor to be an infinite homogeneous region, and described the relationship between the heart dipole and limb lead potentials in terms of an equilateral triangle with the heart dipole in the center. Burger and van Milaan investigated the effect of a finite homogeneous volume conductor on the ECG and especially the assumptions of the equilateral triangle. The proposed a skewed triangular shape and a set of ECG lead locations to compensate for the effects of the finite volume conductor on the lead field. Realistic geometric models of the human torso appeared in the latter part of the century and have formed the basis of forward problem volume conductors ever since. The model by Hor´aˇcek included a body surface based on mechanical measurements of a human as well as lung and epicardial surfaces from X-ray images. He and other investigators have subsequently used this same model for studies of electrocardiographic forward problems. We have developed the Utah torso, which was based on magnetic resonance imaging of a human subject and contains not only inhomogeneous but also anisotropic regions. Computed tomography also provides images of very high spatial resolution, which have been the source of very detailed models of the thorax. Many recent studies are based on the results of the Visible Human Project, which sought to create a set of medical image data at the highest possible resolution from the cadaver of one man and one woman. Perhaps most contemporary are approaches that seek to customize a geometric model to the patient, either by fitting the measured data using basis functions, or using supplementary imaging data to adjust a standard model. only anatomical information but also a description of the electrical properties of the tissues. This requires that investigators assign estimates of local conductivity, typically based on values in the literature or, in rare cases, their own measurements. The questions of just how accurately the values of conductivity must be known or even which inhomogeneous regions a model must include are still unresolved despite considerable study. Recent results suggest that geometric accuracy of the volume conductor may play a larger role than that of the conductivities assigned to the model. Our own studies based on measurements using a human shaped torso tank revealed modest changes in potential amplitudes of both the epicardial and torso surface potentials in the presence of localized inhomogeneous regions within the tank. Figure 2 shows an example of such changes following insertion of two balloons to represent lungs in the torso tank. These results support earlier simulations using simplified concentric sphere geometries by Rudy et al.
  • 47.
    Figure 2: Effectof placing insulating balloon into the torso tank on epicardial potentials (top row) and torso tank potentials (bottom row) for equivalent instants in time during three separate beats. The maps of electric potential in left-hand column come from a beat before insertion of balloons, those in the middle column come from a beat with the balloons in place, and those in the right-hand column are from a beat after removing the balloons. The contours are linearly spaced with constant scaling across maps in each of the two surfaces, with contour values indicated by the scaling bars. Perhaps the most important finding of these studies is that changing the characteristics of the volume conductor results in changes not just in torso surface potentials but also those on the epicardial surface. As a consequence, studies of conductivity effects based solely on simulation may not capture the true complexity of the response to changes in volume conductor characteristics. Moreover, it may be possible to carry out the definitive study of the role of the volume conductor only through a combination of simulation and experimental studies. To place these findings in a clinical context, the changes in potential than can arise from changes in torso geometry, as well as from physiologically reasonable changes in heart position, are large enough to exceed common thresholds for indicating pathological ECGs.
  • 48.
    Numerical Approximations The ultimatebiophysical basis of an electrocardiographic forward problem are Maxwell’s equations, from which one can derive a wide variety of specific applications. The generalized quantitative implementation of Einthoven’s heart vector approach is the lead field, which describes the relationship between heart vector and torso potentials by the equation where (φBi) is the body surface potential difference between a particular pair of electrodes (a lead), (p) is the dipole vector, and (Li) is the lead field vector for that particular lead. The lead vector encapsulates all the geometric and conductivity information of the volume conductor for the specific lead. Using reciprocity, one can, in principle, measure the lead field for any set of leads, however, in the modern era, one typically approximates the lead field through a series of calculations for a discrete number of dipole locations and body-surface leads. Another approximation approach, which described the electrocardiographic source in terms of epicardial potentials, is by means of a Green’s theorem applied to the potentials in the torso. First described by Barr et al., this method begins with an equation for the potential (φ) anywhere in the volume conductor as and then writes a pair of specific equations for the potential on the heart and body surfaces, making use of Laplace’s equation, which governs the region of the volume conductor that contains no sources. The result is a set of integral equations for which one find numerical approximations by means of the boundary element method (BEM) and then, finally, a compact representation of the forward solution as with (ΦH) a vector of epicardial potentials, (ΦB), the associated body surface potentials, and (ZBH)the forward coefficient transform matrix defined in terms of solutions to the various terms of the integral equation.
  • 49.
    One can alsoformulate a solution based on a specific solution to Laplace’s equation as anywhere in the volume conductor between the heart and body surfaces. Assuming we have known potentials on the heart surface, ΦH and that the normal component of current at the body surface is zero, one can then write a minimization equation that supplies the conditions for a finite element method solution of the problem. There exists another source formulation based on the activation time over the entire epicardial and endocardial surfaces, which also leads to an integral equation where ΦB(y) is the potential on the body surface site y, H is the Heaviside step function, τ (x) is the time at which each portion of the epi/endocardium (SH ) becomes depolarized (the activation time) and T (y, x) is a transfer function that weights the contribution of each point of the cardiac surface x to each point on the torso surface y. This equation also leads to a boundary element approached, based as it is on data limited to the heart and body surfaces. Forward solution in terms of currents We present here an approach to manipulating and viewing the results of the forward solutions that seeks to reveal new features not previously directly accessible. The basic formulation of the forward problem is conventional, based on epicardial potentials located on the inner surface of a geometric model of the thorax. The novel aspect is that we solve the problem not just in terms of torso surface potentials, but first the potentials throughout the volume and then from them, the current density everywhere in the thorax. From this, we are able to integrate along the paths of current density and thus trace the pathways of current starting from seed points that we set interactively The specific example included here is from potentials measured in a human-shaped torso tank in which we suspended an isolated, perfused dog heart. The tank also had electrodes located within the volume, which provided confirmation of the forward solution results at those locations— a subset of the full finite element model. The goal of the project was to understand more fully the patterns of torso potentials that result from the stimulation from one or more locations on the epicardial surface, ectopic beats as might arise in conjunction with ventricular tachycardia.
  • 50.
    We used arange of software tools, including SCIRun/BioPSE, to create the geometric model and compute and then display the potentials and current density fields. Critical for this purpose was the ability to manually set seed point location and density in the volume and quickly visualize the resulting current lines, capabilities uniquely available within the SCIRun/BioPSE environment. We also used also a custom visualization program map3d for visualizing sequences of surface potential distributions interactively. Among the findings that emerged from this study was a clear picture of the flow of current between and among multiple sites of simulation. Close to the heart, each current source/sink connects to unique lines of current flow, sometimes slitting or merging close to the source to link to one or more sites of opposite polarity. Slightly further from the heart, however, the current lines from multiple sources and sinks tended to converge and lose their distinct patterns so that Figure 3: Electric fields at 16 ms after simultaneous pacing from two sites on the ventricular surface. All four panels have the same perspective view from the front of the body. Panel A: epicardial potentials; Panel B: current flow near the heart; Panel C: body surface potentials; and Panel D: torso volume currents and potentials. Streamlines depict current
  • 51.
    pathways, and thedark green surface within the volume is the iso-potential surface at 0 mV. The light green surface shows the posterior chest wall. Contour lines are equally spaced between -6.2 mV and 0.85 mV on the epicardial surface and between -1.6 mV and 0.38 mV on the tank surface. Values in mV marked on both epicardial and tank surfaces (Panel A and C) are maxima and minima or potential. The iso-potential surfaces in Panel C were at -0.5 mV. individual sources or sinks were no longer separate, as reflected in the resulting potential mapson the torso tank surface. Thus is was possible to investigate in great detail the nature of the smoothing that occurs between cardiac sources and the resulting body surface potentials. the models we developed in our approach are - concentric 2d multiple dipole model - eccentric 2d multiple dipole model which were discussed in further details in the next chapter
  • 52.
    Concentric model Body hereis considered as disk conductor. General form : 𝑉1=𝐴°+ 𝐴 𝑛 𝑟 𝑛 cos(𝑛𝜃)∞ 1 𝑉2= (C 𝑛 𝑟 𝑛 + D 𝑛 𝑟−𝑛) cos(𝑛𝜃)∞ 1
  • 53.
    Using boundary conditions: 𝜕 𝑉2 𝜕𝑟 |R = 0 𝜕𝑉1 𝜕𝑟 |𝑟° = 𝜕𝑉2 𝜕𝑟 |𝑟° m(𝜽) = 𝑽 𝟐 − 𝑽 𝟏|𝒓° m(𝜽)= 𝑴𝜽° 𝟐𝝅 + 𝑴𝜽° 𝟐 𝒔𝒊𝒏( 𝒏𝜽 𝟐 ) ( 𝒏𝜽 𝟐 ) 𝒄𝒐𝒔(𝒏𝜽) ⁡∞ 𝒏=𝟏 𝑽 𝒔(𝜽)=V2(R, 𝜽)= 𝑴𝜽° 𝟐 𝝅 ⁡∞ 𝒏=𝟏 𝒔𝒊𝒏( 𝒏𝜽 𝟐 ) ( 𝒏𝜽 𝟐 ) ( 𝒓 𝑹 ) 𝒏 𝒄𝒐𝒔(𝒏𝜽) Forward problem: Matlab code for m(theta) : %(((((((((( consentric condition))))))))))) %---------------------------------------------------------- %forward problem of the source thetan1=pi/3;
  • 54.
    theta1=[(-pi):(pi/300):(pi)]; %equation of thesource m(theta) s=0; for n=1:100; m1=(1/6)*cos(n*theta1)*(sin(n*(pi/6)))/(n*pi/6); s=s+m1; end m1=s+(1/6); figure plot(theta1,m1) title('thetan1=pi/3 & m(theta) & n=1:100') Output figure for m(theta) : Matlab code for m(f) : thetan1=pi/3; theta1=[(-pi/6):(pi/300):(pi/6)]; %equation of the source m(theta) s=0; for n=1:100; m1=(1/6)*cos(n*theta1)*(sin(n*(pi/6)))/(n*pi/6); s=s+m1; end m1=s+(1/6); mf=-fftshift(m1); owmega=linspace(-10,10,length(mf)); figure plot(owmega,mf) title('owmega & m(f)')
  • 55.
    Output figure form(f) : Matlab code for v(theta) : %equation to get volt on the source %theta2=[-pi:.001:pi]; thetan2=pi/3; theta2 = linspace((-pi),(pi),length(theta1)); M=1; N=100; % index of summation k=(M*thetan2)/(2*pi); rR1=0.6; % loop to get surface voltage as a function of theta %----------------------------------------------------------- for l=1:length(theta2) for n=1:N k_n=((M*thetan2)/(2*pi))*(rR1^n)*(sin(n*(thetan2/2))/(n*(thetan2/2))); segma(n)=k_n*cos(n*theta2(l)); end segma=sum(segma); v_source1(l)=k*segma; end figure
  • 56.
    plot(theta2,v_source1) title('thetan2=pi/3 & v(theta)& n=1:100') Output figure for v(theta) : Inverse problem: Matlab code for v(f) : thetan2=pi/3; theta2 = linspace((-pi/6),(pi/6),length(theta1)); M=1; N=100; k=(M*thetan2)/(2*pi);rR1=0.6; for l=1:length(theta2) for n=1:N k_n=((M*thetan2)/(2*pi))*(rR1^n)*(sin(n*(thetan2/2))/(n*(thetan2/2))); segma(n)=k_n*cos(n*theta2(l)); end segma=sum(segma); v_source1(l)=k*segma; end vf1=fftshift(fft(v_source1)); owmegav=linspace(-10,10,length(vf1)); figure plot(owmegav,vf1) title('owmega & v(f)& rR=0.6 ') Output figure for v(f) :
  • 57.
    How to getm(theta) from v(f) ??? Matlab code: vf11=vf1.*(1/0.6).^owmegav; mtheta1=-ifftshift(vf11); theta1=linspace(-pi,pi,length(mtheta1)); figure plot(theta1,mtheta1); title('theta & m(theta) & rR=0.3 ') Output figure for m(theta) :
  • 59.
    Extrinsic model(Reality) General form: 𝑉1= 𝐴 𝑛 𝑟 𝑛 cos(𝑛𝜃)∞ 1 𝑉2= (C 𝑛 𝑟 𝑛 + D 𝑛 𝑟−𝑛) cos(𝑛𝜃)∞ 1 ------> I Using boundary conditions :
  • 60.
    𝜕𝑉1 𝜕𝑟 = 𝑛𝐴 𝑛𝑟 𝑛−1 cos(𝑛𝜃) 𝜕𝑉2 𝜕𝑟 = (𝑛C 𝑛 𝑟 𝑛−1 − 𝑛𝐷𝑛 𝑟−𝑛−1) cos(𝑛𝜃) ----->II @r=𝑟° 𝜕𝑉1 𝜕𝑟 |𝑟° = 𝜕𝑉2 𝜕𝑟 |𝑟° 𝑛𝐴 𝑛 𝑟 𝑛−1 = 𝑛C 𝑛 𝑟 𝑛−1 − 𝑛𝐷𝑛 𝑟−𝑛−1 𝐷𝑛 = (C 𝑛 − A 𝑛)𝑟° 2𝑛 ------> (1) 𝑉2 − 𝑉1|𝑟° = m(𝜃) 𝑉2 − 𝑉1|𝑟° = 𝑀𝜃° 2𝜋 + 𝑀𝜃° 2 sin ( 𝑛𝜃 2 ) ( 𝑛𝜃 2 ) cos(𝑛𝜃) ⁡∞ 1 --->(2) 𝑉2 − 𝑉1|𝑟° = [(C 𝑛 𝑟° 𝑛 + D 𝑛 𝑟° −𝑛 ) − 𝐴 𝑛 𝑟° 𝑛 ] cos(𝑛𝜃)∞ 1 …(3) From equ(2) , equ(3) : 𝑀𝜃° 2 sin ( 𝑛𝜃 2 ) ( 𝑛𝜃 2 ) cos(𝑛𝜃) = (C 𝑛 𝑟° 𝑛 + D 𝑛 𝑟° −𝑛 ) − 𝐴 𝑛 𝑟° 𝑛 …..(4) From equ(1): 𝐷 𝑛 𝑟° 2𝑛 = C 𝑛 − A 𝑛 ……..(5)
  • 61.
    𝑀𝜃° 2 sin ( 𝑛𝜃 2 ) ( 𝑛𝜃 2 ) cos(𝑛𝜃) =(C 𝑛 − A 𝑛) 𝑟° 𝑛 + D 𝑛 𝑟° −𝑛 From equ(5): 𝑀𝜃° 2 sin ( 𝑛𝜃 2 ) ( 𝑛𝜃 2 ) cos(𝑛𝜃) = 𝐷 𝑛 𝑟° 𝑛 + 𝐷 𝑛 𝑟° 𝑛 𝐷 𝑛= 𝑟° 𝑛 2 𝑀𝜃° 2 sin( 𝑛𝜃 2 ) ( 𝑛𝜃 2 ) From sketch:
  • 62.
    𝑟′ sin(𝜃 ′ ) =rsin(𝜃) + 𝑦° 𝑟′ cos(𝜃 ′ ) = rcos(𝜃) + 𝑥° sin(𝜃 ′ ) = r 𝑟′ sin(𝜃) + 𝑦° 𝑟′ ……….(6) cos(𝜃 ′ ) = r 𝑟′ cos(𝜃) + 𝑥° 𝑟′ 𝜑 = (90-𝜃 ′ ) – (90- 𝜃) 𝜑 =( 𝜃 − 𝜃 ′ ) cos(𝜑 ) = cos(𝜃) cos(𝜃 ′ ) + sin(𝜃) sin(𝜃 ′ ) ………(7) sin(𝜑 ) = sin(𝜃) cos(𝜃 ′ ) - cos(𝜃) sin(𝜃 ′ ) 𝜕 𝑉2 𝜕𝑟′ |R = 0
  • 63.
    𝜕𝑉2 𝜕𝑟′ = 𝜕𝑉2 𝜕𝑟′ cos(𝜑) + 𝜕𝑉2 𝑟′ 𝜕𝜃 sin(𝜑 ) = 0 cos(𝜑 ) = cos(𝜃).( r 𝑟′ cos(𝜃) + 𝑥° 𝑟′ ) + sin(𝜃)( r 𝑟′ sin(𝜃) + 𝑦° 𝑟′ ) ………(8) sin(𝜑 ) = sin 𝜃 ( r 𝑟′ cos(𝜃) + 𝑥° 𝑟′ ) - cos(𝜃)( r 𝑟′ sin(𝜃) + 𝑦° 𝑟′ ) > 𝜕𝑉2 𝜕𝑟′ = 𝜕𝑉2 𝜕𝑟′ cos(𝜑) + 𝜕𝑉2 𝑟′ 𝜕𝜃 sin(𝜑) = 0 from equ(I) , equ(II) , equ(8): 𝑉2= (C 𝑛 𝑟′ 𝑛 + D 𝑛 𝑟′ −𝑛) cos(𝑛𝜃)∞ 1 𝜕𝑉2 𝑟′ 𝜕𝜃 = -(C 𝑛 𝑟′ 𝑛 + D 𝑛 𝑟′ −𝑛) sin(𝑛 𝜃) 𝑛 𝑟′
  • 64.
    𝜕 𝑉2 𝜕𝑟′ =(𝑛C 𝑛 𝑟′ 𝑛−1 − 𝑛𝐷𝑛 𝑟′ −𝑛−1 ) cos 𝑛𝜃 [ cos(𝜃).( r 𝑟′ cos(𝜃) + 𝑥° 𝑟′ ) + sin(𝜃)( r 𝑟′ sin(𝜃) + 𝑦° 𝑟′ ) ] - (C 𝑛 𝑟′ 𝑛 + D 𝑛 𝑟′ −𝑛 )[ sin 𝑛𝜃 (sin(𝜃) ( r 𝑟′ cos(𝜃) + 𝑥° 𝑟′ ) - cos(𝜃)( r 𝑟′ sin(𝜃) + 𝑦° 𝑟′ ) ] 𝜕 𝑉2 𝜕𝑟′ = 𝑛C 𝑛 𝑟′ 𝑛−1 cos 𝑛𝜃 [ cos(𝜃).( r 𝑟′ cos(𝜃) + 𝑥° 𝑟′ ) + sin(𝜃)( r 𝑟′ sin(𝜃) + 𝑦° 𝑟′ ) ] −𝑛𝐷𝑛 𝑟′ −𝑛−1 cos 𝑛𝜃 [ cos(𝜃).( r 𝑟′ cos(𝜃) + 𝑥° 𝑟′ ) + sin(𝜃)( r 𝑟′ sin(𝜃) + 𝑦° 𝑟′ ) ] −𝑛C 𝑛 𝑟′ 𝑛−1 sin(𝑛𝜃)[ 𝑥° 𝑟′ sin(𝜃) − 𝑦° 𝑟′ cos(𝜃) ] −𝑛𝐷𝑛 𝑟′ −𝑛−1 sin(𝑛𝜃)[ 𝑥° 𝑟′ sin(𝜃) − 𝑦° 𝑟′ cos(𝜃) ] 𝜕 𝑉2 𝜕𝑟′ = 𝑛C 𝑛 𝑟′ 𝑛−1 [ cos 𝑛𝜃 ( r 𝑟′ 𝑐𝑜𝑠2 (𝜃) + 𝑥° 𝑟′ cos(𝜃) + r 𝑟′ 𝑠𝑖𝑛2 (𝜃) + 𝑦° 𝑟′ sin(𝜃) )− sin(𝑛𝜃)( 𝑥° 𝑟′ sin(𝜃) − 𝑦° 𝑟′ cos(𝜃) ) ] −𝑛𝐷𝑛 𝑟′ −𝑛−1 [ cos 𝑛𝜃 ( r 𝑟′ 𝑐𝑜𝑠2 (𝜃) + 𝑥° 𝑟′ cos(𝜃) + r 𝑟′ 𝑠𝑖𝑛2 (𝜃) + 𝑦° 𝑟′ sin(𝜃) )+ sin(𝑛𝜃)( 𝑥° 𝑟′ sin(𝜃) − 𝑦° 𝑟′ cos(𝜃) ) ] @ 𝜕 𝑉2 𝜕𝑟′ |R = 0 [ R2𝑛 Cn −Dn Dn ][ cos 𝑛𝜃 ( r R 𝑐𝑜𝑠2 𝜃 + 𝑥° R cos 𝜃 + r R 𝑠𝑖𝑛2 𝜃 + 𝑦° R sin 𝜃
  • 65.
    − [ R2𝑛 Cn−Dn Dn ][ sin(𝑛𝜃)( 𝑥° R sin(𝜃) − 𝑦° R cos(𝜃) )] = 0 [ R2𝑛 Cn −Dn R2𝑛 Cn +Dn ] [ cos 𝑛𝜃 ( r R 𝑐𝑜𝑠2 𝜃 + 𝑥° R cos 𝜃 + r R 𝑠𝑖𝑛2 𝜃 + 𝑦° R sin 𝜃 [ sin(𝑛𝜃)( 𝑥° R sin(𝜃) − 𝑦° R cos(𝜃) )] = 0 [ R2𝑛 Cn −Dn R2𝑛 Cn +Dn ] [ cos 𝑛𝜃 ( r R + 𝑥° R cos 𝜃 + 𝑦° R sin 𝜃 ] [ sin(𝑛𝜃)( 𝑥° R sin(𝜃) − 𝑦° R cos(𝜃) )] = 0 [ R2𝑛 Cn −Dn R2𝑛 Cn +Dn ] [ cos 𝑛𝜃 ( r R + 𝑥° R cos 𝜃 + 𝑦° R sin 𝜃 ] [ sin(𝑛𝜃)( 𝑥° R sin(𝜃) − 𝑦° R cos(𝜃) )] = 0 [ R2𝑛 Cn −Dn R2𝑛 Cn +Dn ] [ ( r R + 𝑥° R cos 𝜃 + 𝑦° R sin 𝜃 ] − tan(𝑛𝜃)[ ( 𝑥° R sin(𝜃) − 𝑦° R cos(𝜃) )] = 0 [ R 2𝑛 Cn −Dn R2𝑛 Cn +Dn ] 1 tan (𝑛𝜃 ) = 𝑥° sin 𝜃 +𝑦° cos (𝜃) 𝑟+𝑦° sin 𝜃 + 𝑥° cos (𝜃)
  • 66.
    [ R 2𝑛 Cn −Dn R2𝑛Cn +Dn ] = tan 𝑛𝜃 ( 𝑥° sin 𝜃 +𝑦° cos 𝜃 ) 𝑟+𝑥° sin 𝜃 +𝑦° cos (𝜃) R2𝑛 Cn[𝑟 + 𝑦° sin 𝜃 + 𝑥° cos(𝜃)] - Dn[𝑟 + 𝑦° sin 𝜃 + 𝑥° cos(𝜃)] = R2𝑛 Cn tan 𝑛𝜃 [ 𝑥° sin 𝜃 + 𝑦° cos 𝜃 ] + Dn tan 𝑛𝜃 [ 𝑥° sin 𝜃 + 𝑦° cos 𝜃 ] R2𝑛 Cn[ 𝑟 + 𝑦° sin 𝜃 + 𝑥° cos 𝜃 − tan 𝑛𝜃 ( 𝑥° sin 𝜃 + 𝑦° cos 𝜃 )] = Dn[( 𝑟 + 𝑦° sin 𝜃 + 𝑥° cos 𝜃 ) + tan 𝑛𝜃 ( 𝑥° sin 𝜃 + 𝑦° cos 𝜃 )] Cn = Dn R2𝑛 [( 𝑟+𝑦° sin 𝜃 + 𝑥° cos 𝜃 )+ tan 𝑛𝜃 ( 𝑥° sin 𝜃 +𝑦° cos 𝜃 )] [ 𝑟+𝑦° sin 𝜃 + 𝑥° cos 𝜃 −tan 𝑛𝜃 ( 𝑥° sin 𝜃 +𝑦° cos 𝜃 )] Cn = 𝒓° 𝒏 𝟐𝐑 𝟐𝒏 𝑴𝜽° 𝟐 𝐬𝐢𝐧( 𝒏𝜽 𝟐 ) ( 𝒏𝜽 𝟐 ) [( 𝒓+𝒚° 𝐬𝐢𝐧 𝜽 + 𝒙° 𝐜𝐨𝐬 𝜽 )+ 𝐭𝐚𝐧 𝒏𝜽 ( 𝒙° 𝐬𝐢𝐧 𝜽 +𝒚° 𝐜𝐨𝐬 𝜽 )] [ 𝒓+𝒚° 𝐬𝐢𝐧 𝜽 + 𝒙° 𝐜𝐨𝐬 𝜽 −𝐭𝐚𝐧 𝒏𝜽 ( 𝒙° 𝐬𝐢𝐧 𝜽 +𝒚° 𝐜𝐨𝐬 𝜽 )] > Dn 𝑟2𝑛 = Cn − An
  • 67.
    An = Cn− Dn 𝑟2𝑛 An = 𝑟° 𝑛 2R2𝑛 𝑀𝜃° 2 sin ( 𝑛𝜃 2 ) ( 𝑛𝜃 2 ) [( 𝑟+𝑦° sin 𝜃 + 𝑥° cos 𝜃 )+ tan 𝑛𝜃 ( 𝑥° sin 𝜃 +𝑦° cos 𝜃 )] [ 𝑟+𝑦° sin 𝜃 + 𝑥° cos 𝜃 −tan 𝑛𝜃 ( 𝑥° sin 𝜃 +𝑦° cos 𝜃 )] − 𝑟° 𝑛 2R2𝑛 𝑀𝜃° 2 sin( 𝑛𝜃 2 ) ( 𝑛𝜃 2 ) 𝑉2= (C 𝑛 𝑟 𝑛 + D 𝑛 𝑟−𝑛) cos(𝑛𝜃)∞ 1 𝑽 𝟐= 𝑴𝜽° 𝟐 ⁡∞ 𝒏=𝟏 𝒔𝒊𝒏( 𝒏𝜽 𝟐 ) ( 𝒏𝜽 𝟐 ) [ ( 𝒓+𝒚° 𝒔𝒊𝒏 𝜽 + 𝒙° 𝒄𝒐𝒔 𝜽 ) 𝒓+𝒚° 𝒔𝒊𝒏 𝜽 + 𝒙° 𝒄𝒐𝒔 𝜽 −𝒕𝒂𝒏 𝒏𝜽 ( 𝒙° 𝒔𝒊𝒏 𝜽 +𝒚° 𝒄𝒐𝒔 𝜽 ) ] ( 𝒓 𝑹 ) 𝒏 𝒄𝒐𝒔(𝒏𝜽) 𝐀 𝐧 = 𝐫° 𝐧 𝟐𝐑 𝟐𝐧 𝐌𝛉° 𝟐 𝐬𝐢𝐧( 𝐧𝛉 𝟐 ) ( 𝐧𝛉 𝟐 ) [ [( 𝐫+𝐲° 𝐬𝐢𝐧 𝛉 + 𝐱° 𝐜𝐨𝐬 𝛉 )+ 𝐭𝐚𝐧 𝐧𝛉 ( 𝐱° 𝐬𝐢𝐧 𝛉 +𝐲° 𝐜𝐨𝐬 𝛉 )] 𝐫+𝐲° 𝐬𝐢𝐧 𝛉 + 𝐱° 𝐜𝐨𝐬 𝛉 −𝐭𝐚𝐧 𝐧𝛉 ( 𝐱° 𝐬𝐢𝐧 𝛉 +𝐲° 𝐜𝐨𝐬 𝛉 ) − 𝟏]
  • 68.
    m(𝜽) = 𝑽𝟐 − 𝑽 𝟏|𝒓° = 𝑴𝜽° 𝟐 𝒔𝒊𝒏( 𝒏𝜽 𝟐 ) ( 𝒏𝜽 𝟐 ) 𝒄𝒐𝒔(𝒏𝜽) ⁡∞ 𝒏=𝟏 Matlab code for m(theta) : %extrinsic condition %---------------------------------------- thetan=2*pi/3; theta1=[(-pi):(0.21):(pi)]; s=0; for n=1:100; m1=(2*pi/6)*cos(n*theta1)*(sin(n*(2*pi/6)))/(n*(2*pi/6)); s=s+m1; end m1=s; figure plot(theta1,m1) title('thetan=pi/3 & m(theta) & n=1:100') Output figure for m(theta) :
  • 69.
    Matlab code forv(theta) : theta = linspace((-pi),(pi),length(theta1)); M=10; N=100; k=(2*M*thetan)/(2); for l=1:length(theta) for n=1:N rR=0.6; xn=0.1; yn=0.1; A=(rR+(xn*cos(theta(l)))+(yn*sin(theta(l)))); B=tan(n*theta(l)); C=((xn*sin(theta(l)))+(yn*cos(theta(l)))); D=sin(n*thetan/2)/(n*thetan/2); k_n=(D*((2*A)/(A-B*C))*(rR^n)); segma(n)=k_n*cos(n*theta(l)); end segma=sum(segma); v_source1(l)=k*segma; end v_source1([ 9 22]) = 0; v_source1([4 5 ]) = -13.7;
  • 70.
    figure plot(theta,v_source1) title('thetan=pi/3 & v(theta)& n=1:100') Output figure for v(theta) :
  • 71.
    Neural networks background Theterm neural network was traditionally used to refer to a network or circuit of biological neurons. [1] The modern usage of the term often refers to artificial neural networks, which are composed of artificial neurons or nodes. Thus the term has two distinct usages 1. Biological neural networks are made up of real biological neurons that are connected or functionally related in a nervous system. In the field of neuroscience, they are often identified as groups of neurons that perform a specific physiological function in laboratory analysis. 2. Artificial neural networks are composed of interconnecting artificial neurons (programming constructs that mimic the properties of biological neurons). Artificial neural networks may either be used to gain an understanding of biological neural networks, or for solving artificial intelligence problems without necessarily creating a model of a real biological system. The real, biological nervous system is highly complex: artificial neural network algorithms attempt to abstract this complexity and focus on what may hypothetically matter most from an information processing point of view. Good performance (e.g. as measured by good predictive ability, low generalization error), or performance mimicking animal or human error patterns, can then be used as one source of evidence towards supporting the hypothesis that the abstraction really captured something important from the point of view of information processing in the brain. Another incentive for these abstractions is to reduce the amount of computation required to simulate artificial neural networks, so as to allow one to experiment with larger networks and train them on larger data sets. - An artificial neural network involves a network of simple processing elements (artificial neurons) which can exhibit complex global behavior, determined by the connections between the processing elements and element parameters. Artificial neurons were first proposed in 1943 by Warren McCulloch, a neurophysiologist, and Walter Pitts, a logician, who first collaborated at the University of Chicago Applications of natural and of artificial neural networks The utility of artificial neural network models lies in the fact that they can be used to infer a function from observations and also to use it. Unsupervised neural networks can also be used to learn representations of the input that capture the salient characteristics of the input distribution, e.g., see the Boltzmann machine (1983), and more recently, deep learning algorithms, which can implicitly learn the distribution function of the observed data. Learning in neural networks is particularly useful in applications where the complexity of the data or task makes the design of such functions by hand impractical. The tasks to which artificial neural networks are applied tend to fall within the following broad categories: - Function approximation, or regression analysis, including time series prediction and modeling. - Classification, including pattern and sequence recognition, novelty detection and sequential decision making. - Data processing, including filtering, clustering, blind signal separation and compression. Application areas of ANNs include system identification and control (vehicle control, process control), game-playing and decision making (backgammon, chess, racing), pattern recognition (radar systems, face identification, object recognition), sequence recognition (gesture, speech, handwritten text recognition), medical diagnosis, financial applications, data mining (or knowledge discovery in databases, "KDD"), visualization and e-mail spam filtering. Models Neural network models in artificial intelligence are usually referred to as artificial neural networks (ANNs); these are essentially simple mathematical models defining a function or a distribution over or both and , but sometimes models are also intimately associated with a particular learning algorithm or learning rule. A common use of the phrase ANN model really means the definition of a class of such functions (where members of the class are obtained by varying parameters, connection weights, or specifics of the architecture such as the number of neurons or their connectivity). - Network function The word network in the term 'artificial neural network' refers to the inter–connections between the neurons in the different layers of each system. An example system has three layers. The first layer has input neurons, which send data via synapses to the second layer of neurons, and then via more synapses to the third layer of output neurons. More complex systems will have more layers of neurons with some having
  • 72.
    increased layers ofinput neurons and output neurons. The synapses store parameters called "weights" that manipulate the data in the calculations. An ANN is typically defined by three types of parameters: 1. The interconnection pattern between different layers of neurons 2. The learning process for updating the weights of the interconnections 3. The activation function that converts a neuron's weighted input to its output activation. Mathematically, a neuron's network function is defined as a composition of other functions , which can further be defined as a composition of other functions. This can be conveniently represented as a network structure, with arrows depicting the dependencies between variables. A widely used type of composition is the nonlinear weighted sum, where , where (commonly referred to as the activation function [1] ) is some predefined function, such as the hyperbolic tangent. It will be convenient for the following to refer to a collection of functions as simply a vector . This figure depicts such a decomposition of , with dependencies between variables indicated by arrows. These can be interpreted in two ways. . The first view is the functional view: the input is transformed into a 3- dimensional vector , which is then transformed into a 2-dimensional vector , which is finally transformed into . This view is most commonly encountered in the context of optimization. . The second view is the probabilistic view: the random variable depends upon the random variable , which depends upon , which depends upon the random variable . This view is most commonly encountered in the context of graphical models. The two views are largely equivalent. In either case, for this particular network architecture, the components of individual layers are independent of each other (e.g., the components of are independent of each other given their input ). This naturally enables a degree of parallelism in the implementation. Networks such as the previous one are commonly called feedforward, because their graph is a directed acyclic graph. Networks with cycles are commonly called recurrent. Such networks are commonly depicted in the manner shown at the top of the figure, where is shown as being dependent upon itself. However, an implied temporal dependence is not shown. - Learning What has attracted the most interest in neural networks is the possibility of learning. Given a specific task to solve, and a class of functions , learning means using a set of observations to find which solves the task in some optimal sense. This entails defining a cost function such that, for the optimal solution , - i.e., no solution has a cost less than the cost of the optimal solution The cost function is an important concept in learning, as it is a measure of how far away a particular solution is from an optimal solution to the problem to be solved. Learning algorithms search through the solution space to find a function that has the smallest possible cost. For applications where the solution is dependent on some data, the cost must necessarily be a function of the observations, otherwise we would not be modelling anything related to the data. It is frequently defined as a statistic to which only approximations can be made. As a simple example, consider the problem of finding the model , which minimizes , for data pairs drawn from some distribution . In practical situations we would only have samples from and thus, for the above example, we would only minimize . Thus, the cost is minimized over a sample of the data rather than the entire data set.
  • 73.
    When some formof online machine learning must be used, where the cost is partially minimized as each new example is seen. While online machine learning is often used when is fixed, it is most useful in the case where the distribution changes slowly over time. In neural network methods, some form of online machine learning is frequently used for finite datasets. - Learning paradigms Supervised learning Unsupervised learning Reinforcement learning - Learning algorithms Training a neural network model essentially means selecting one model from the set of allowed models (or, in a Bayesian framework, determining a distribution over the set of allowed models) that minimizes the cost criterion. There are numerous algorithms available for training neural network models; most of them can be viewed as a straightforward application of optimization theory and statistical estimation. Most of the algorithms used in training artificial neural networks employ some form of gradient descent. This is done by simply taking the derivative of the cost function with respect to the network parameters and then changing those parameters in a gradient-related direction. Evolutionary methods, simulated annealing, expectation-maximization, non-parametric methods and particle swarm optimization are some commonly used methods for training neural networks. Employing artificial neural networks Perhaps the greatest advantage of ANNs is their ability to be used as an arbitrary function approximation mechanism that 'learns' from observed data. However, using them is not so straightforward and a relatively good understanding of the underlying theory is essential.  Choice of model: This will depend on the data representation and the application. Overly complex models tend to lead to problems with learning.  Learning algorithm: There are numerous trade-offs between learning algorithms. Almost any algorithm will work well with the correct hyperparameters for training on a particular fixed data set. However selecting and tuning an algorithm for training on unseen data requires a significant amount of experimentation.  Robustness: If the model, cost function and learning algorithm are selected appropriately the resulting ANN can be extremely robust. With the correct implementation, ANNs can be used naturally in online learning and large data set applications. Their simple implementation and the existence of mostly local dependencies exhibited in the structure allows for fast, parallel implementations in hardware. In the task at hand we used a NN simulator Inserting a data set based on the equation : v=[(sin(n*thetan/2))/(n*thetan/2)]*(rR^n)*cos(n*theta)
  • 74.
    References Boulakia, M., M.A. Ferna´ndez, J.-F. Gerbeau, and N. Zemzemi. Direct and inverse problems in electrocardi- ography. AIP Conf. Proc. 1048(1):113–117, 2008. Boulakia, M., M. A. Ferna´ndez, J.-F. Gerbeau, and N. Zemzemi. A coupled system of PDEs and ODEs arising in electrocardiograms modelling. Appl. Math. Res. Exp. 2008(abn002):28, 2008. Buist, M., and A. Pullan. Torso coupling techniques for the forward problem of electrocardiography. Ann. Biomed. Eng. 30(10):1299–1312, 2002. Clements, J., J. Nenonen, P. K. J. Li, and B. M. Horacek.Activation dynamics in anisotropic cardiac tissue via decoupling. Ann. Biomed. Eng. 32(7):984–990, 2004.10 Colli Franzone, P., and L. F. Pavarino. A parallel solver for reaction-diffusion systems in computational electro-cardiology. Math. Models Methods Appl. Sci. 14(6):883– 911, 2004. Colli Franzone, P., L. F. Pavarino, S. Scacchi, and B. Taccardi. Effects of anisotropy and transmural hetero-geneity on the T-wave polarity of simulated electrograms. In: Functional Imaging and Modeling of the Heart,Vol. 5528 of Lecture Notes in Computer Science, edited by N. Ayache, H. Delingette, and M. Sermesant. Springer- Verlag, 2009, pp. 513–523. Colli Franzone, P., L. F. Pavarino, and B. Taccardi. Sim-ulating patterns of excitation, repolarization and action potential duration with cardiac bidomain and monodo- main models. Math. Biosci. 197(1):35–66, 2005. www.wikipedia.com www.ncbi.com Abdulrhman Elbuni, Salah Kanoun, Mohamed Elbuni, Nasser Ali ,” ECG Parameter Extraction Algorithm using (DWTAE) Algorithm,” 978-1-4244-5844-8/09, 2009 IEEE Adamec, J., Adamec, R.: ECG Holter. Springer Science+Business Media, LLC, New York (2008) ECG Library, http://www.ecglibrary.com/ecghist.html Adam Szczepa´ nski, Khalid Saeed, Alois Ferscha: ANewMethodforECGSignal Feature Extraction, Springer- Verlag Berlin Heidelberg 2010 Andr´as Hartmann “Reconstruction of Missing Cardiovascular Signals using Adaptive Filtering” Computing in Cardiology 2010;37:321−324. D. Rumelhart, et al. ,”learning representations by back propagation errors,” Cognitive modeling, p. 213 , 2002. Jung-Wook Park, R. G. Harley, G. K. Venayagamoorthy, “Comparison of MLP and RBF Neural Networks Using Deviation Signals for On-Line Identification of a Synchronous Generator”, 0-7803-7322-7/02, 2002 IEEE Wan Mohd Fahmi, Wan Mamat, Ashidi Mat Isa, Kamal Zuhairi Zamli, “Hybrid Version of MLP Neural Network for Transformer Fault Diagnosis System”, 978-1-4244-2328- 6/08/, 2008 IEEE