DubLi is setting up a huge online Shopping Portal like Ebay, Amazon, Google, & Yahoo. You can
be part of it and benefit financially by getting involved at this early stage and sharing it with others.

DubLi was launched in Europe in 2006 and in the United States on 4th October 2008. They intend to
launch the ‘Reverse Auctions’ here in Australia in October 2009. We are currently in the pre-launch
phase.

In the prelaunch phase of the overall DubLi business plan we establish Dubli Network whose overall
goal is to market DubLi.com, an exciting and recognized global auction house. It is a ‘Reverse Auction’
in which the prices go down, not up!! Every time someone uses an 80 cent credit at the auction to
view the current price of a sale item, the cost of the item decreases by a further 25 cents. The other
55 cents is paid in commissions to the DubLi Network. Buyers get access to lots of new very popular
brand-name products at the absolute lowest prices.

The ‘Reverse Auctions’ are very exciting and so the Dubli.com members/customers bring in other
members. In Europe they have 85 customers for every Dubli Network Business Associate(BA). DubLi’s
growth in Europe has already exceeded that of eBay's when it was originally introduced. (You will see
on the DVD just how exciting the Reverse Auctions are.)

Stage 1     ESTABLISHMENT OF DUBLI NETWORK

          Become a Dubli Network BA $175 and
             Purchase Credits at a discount.
                                                                Stage 2 COMMENCEMENT OF
               Bronze Package        $575
                                                                    DUBLI.COM REVERSE AUCTIONS
               Total Investment US$750



  1.Share Business           2.Give/sell credits to                 Customers become members of
  Opportunity with           customers to use at      Credits    DubLi.com for free and use credits at the
  others.                       the Auctions.                              Reverse Auctions.


THREE INCOME STREAMS FOR BAs IN DUBLI NETWORK                        Dubli.com members/customers
                                                                   purchase more credits and tell other
      1.Bonuses                 2.Customers           Credits    people about the Auctions and they also
      on Credits               purchase more          Income                purchase credits.
     purchased by           Credits from Business
  other BAs who join             Associates                     Stage 3 OPEN THE SHOPPING PORTAL
    downline from
    them in DubLi                                                  Dubli.com members shop at DubLi
                                3. Customers
       Network.                                        Income     Online Shopping Mall and a percentage
                             make purchases at
                                                                    of the commissions goes to DubLi
                            Online Shopping Mall.
                                                                   Network BA who introduced them.


                                                      -1-
Rather than spend many millions to promote their site, DubLi chose to employ the efforts of Business
Associates who develop DubLi's initial customer base. Thereafter, DubLi shoppers are rewarded by
DubLi to recommend DubLi to others. This is the key to DubLi's viral expansion, and that of all other
online shopping sites. Customers create new customers through recommendation.

In Europe there are now on average 85 Customers per Business Associate.

Jim Pare joined DubLi in the United States in mid December 2008.

       Not only did he make $99,000 in his fourth month, he has had :

       Over 200 people make over $3,000-$6,000 in their first month,

       14 People make between $9,800 -$15,000 in their first month.

       12 People make between $20,000 - $30,000 in their second month.

That is the power of the internet!!!!!!

No Open Opportunity Meetings, No Seminars, No motivational materials, No in-home meetings, No
driving long distances.

A true internet based business conducted from your phone and your computer!!!!!

You do it when it suits you.

On the DVD you will see that other people have made much greater amounts of income than Jim Pare
has made.

DubLi's rapid acceptance and growth is due to the way it works. DubLi is a reverse-auction site. Unlike
eBay and other auction sites where the price of an item goes UP until time expires or someone buys
the product, on Dubli the price goes DOWN every time someone clicks on that item until, at some
point, someone buys the item. Inexpensive Credits are used to "view" the current auction price of an
item. A Credit costs 80cents. A portion, 25 cents, is used to reduce the items price every time it is
viewed by a shopper. When the item is finally purchased, the buyer pays the low auction price (as low
as 10-25% of the items retail price) and DubLi makes up the difference in 25 cent click fees. The
buyer gets a new item at a very low price and the supplier receives full price for their item.

Guess what happens to the rest of the 80 cents paid for the Credit? It goes to the network of Business
Associates who purchased the Credits initially.

Business Associates receive a number of "Credits" in exchange for their fees. When the DubLi auctions
open Business Associates will give some of their Credits to friends and relatives as a means of inviting
them to visit DubLi and participate in one of their three ongoing auctions. When they do, they become
the customer of and linked to the Business Associate who gave them the original invitation and
Credits. Thereafter, whenever the customer purchases more credits the Business Associate who
introduced them will make a profit on the Credits purchased. Anyone the customer recommends also
becomes the customer of the DubLi Associate, and so on. DubLi recognized early on that shoppers are
created through the recommendation of other shoppers. Spamming is never permitted. Only the time-
trusted word-of-mouth and passive advertising methods are allowed.


                                                  -2-
Today, virtually every online shopper, especially the 100+ million people registered to eBay, Amazon,
and other online shopping sites are all future DubLi shoppers. The Associates who get in early and
share the information with others are obviously destined for overwhelming success. Today, this is
relatively easy to accomplish. The time to secure your future is now, not tomorrow. Every day, your
opportunity for success is reduced slightly by others who have already become Dubli Business
Associates.

The DVD contains a huge amount of information and examples of exactly how the Reverse Auctions
will operate, the success that has already been achieved overseas, and helps us to realize the
potential of just what we have in our hands.

Watching the DVD presentations will answer a lot of questions and will make the other information
more understandable.

The DVD also explains clearly the phase we are in here in Australia at the moment, the basic ‘How
to’s’ of making a lot of money with DubLi, how in the end vast amounts of the ongoing income you
will be receiving will be coming from DubLi customers who will not even know there is a Network
business behind the very exciting ‘DubLi Reverse Auctions’ and the ‘DubLi Shopping Portal’.

This DVD is well worth watching as it is very difficult for most people to grasp the concept in its
entirety by just reading the notes. The DVD will help you to understand why this is so exciting for so
many customers and why it has expanded virally so rapidly in Europe and the US. There is a special
section on the DVD regarding ‘Benefits to Customers’ of participating in the Reverse Auctions.

One problem some people have when after watching the DVD and reading the material is that to
them it just seems ‘too good to be true’.

If you wish to check it out further go to

       www.smartwinshop.com and also

       www.duba2z.com and read the material and watch the Videos.

How is DubLi doing in the United States?

Since its US launch on October 4th, 2008, DubLi US has far exceeded the growth of its European
counterpart. In fact, DubLi US had its first 100,000 registered customers by November 15th, little over
a month after launch. In comparison, it took Europe six months to achieve the same goal. As of
February 2009, just over 3,500 individuals and small companies had become DubLi Business
Associates. By August 2009 it is anticipated there will be over 50,000 Business Associates and 5 to 6
million shoppers in the United States.


How is DubLi doing in Australia?

We only started sharing the concept with people here in Australia on the 11th May 2009. Already we
have had over 100 people become Business Associates in the first 3 weeks and one of our downline
Business Associates has already made over $5,000 in their first 17 days!!!!

We anticipate that the business will grow much quicker here in Australia than it has in the United
States because we have the US experience to help people to understand just what can happen.
                                                 -3-
Rewards

There are many benefits to joining DubLi as a Business Associate, not the least of which is the peace
of mind it brings to be part of something explosive and rewarding at the same time. We are each
assuring our futures by becoming a DubLi Business Associate early on. It's just like entering an apple
orchard on the first day when we can take all the low hanging fruit we can carry out. Later in the
month only scraps and the high-up, hard-to-get fruit will be left to those who came late.


The key to your success is timing. The sooner you become a DubLi Business Associate the greater
your chances are of substantial success. You don't have to be a genius to become wealthy. You only
need to act now before others have captured the majority of future DubLi shoppers. We will guide you
and     your    team     every     step    of    the     way.     We     all   succeed     together.

You can join the DubLi Network at one of three levels, depending upon the level at which you want to
participate. To earn 10% commission on your sale of ‘Credits’ to customers, you start with a Bronze
package at US$575; to earn 15% commission, you start with a Silver package at US$1,350; and to
earn 25% commission, you start with a Gold package at US$2,995. All associates also pay an annual
support fee of US$175.

Special Promotion for June, July & August.

There is a special promotion running currently. If you join as a Bronze or above and introduce 5 other
Business Associates who also join as a Bronze or above in the calendar month of June, July and or
August as a Team member or Team Leader you will qualify for an additional $800 bonus.

We suggest people join at the Bronze Level.

You will then have 30 days from your original join date to upgrade from one level to another. By
upgrading to Gold within the first 30 days of joining you will be eligible to receive 50% extra in
bonuses. Over 80% of all US members are Gold members. (See page 9 for full details.)

Regardless of the level you choose, DO IT NOW while you have the opportunity to retire. You can
wait -- and of course, DubLi will still be here if you do -- but the window of opportunity to acquire lots
and lots of Business Associates and hence customers quickly, on a leveraged basis (instead of one-at-
a-time), will be getting smaller and smaller as the associate base and the customer base grows. So
the best opportunity is NOW.

If you are at all interested in the concept and income potential I strongly suggest that you watch the
DVD. Most of us got even more excited about the potential after watching the DVD a few times.
Because DubLi brings together a number of new concepts many of us found that we had to go
through the material a number of times and to have our questions answered before understanding it
completely.

DUBLI IS VERY EXCITING!

CHECK IT OUT!

IT IS WORTH EXAMINING SERIOUSLY!
                                                   -4-
WATCH THE DVD.             As they say ‘You will be glad you did!’

The DVD and this booklet have been designed to be used together so that you will obtain a clear
understanding of the business and the phenomenal income potential that you have in your hands.

The DVD has five sections on it.

               1.    Jim Pare’s ‘Introduction to DubLi.’
               2.    ‘See it Big, Keep it Simple, Finish Well’ with Trevor Farmer and Trevor Chatham.
               3.    Compensation Plan Overview – Simplified Version
               4.    Customer Benefits of participating in the ‘Reverse Auctions’ with Tom Ashlock.
               5.    Numbers involved and Income figures from both Europe & US with Tom Ashlock.

Other Sections in this booklet cover :                                                  Page

               1.    Compensation Plan & 100% Return On Investment.                       6
               2.    Frequently Asked Questions                                          11
               3.    The ‘Google of Shopping.’                                           14
               4.    MediaNet Technologies Partnership with DubLi.                       19
               5.    Response to Negative Press                                          21
               6.    Attorneys Opinion on DubLi and Gambling                             27
               7.    Team Coordinator Focus Board                                        35
               8.    Sales Director Focus Board.                                         36

Many of us have found it very beneficial to watch the Video presentations a number of times. Both
Jim and Tom speak fairly quickly and present a huge amount of valuable information.

If you have further questions contact the person below who shared this opportunity with you.

  Contact Details:

  Name : ____________________________________________________________________________

  Phone : ____________________________________________________________________________

  Email :_____________________________________________________________________________

  To Join DubLi go to :   www.dublinetwork.com/_______________________(Your BA Number)
  Click on ‘Join DubLi’ and follow the prompts.


When you Join DubLi you will receive an email with your email address and pass code on it. Use this
to access your virtual office, click on ‘Organization’ and you will see your BA/ID Number.

When you join DubLi you will have two personalized websites created for you.

       1. www.dubli.com/your BA Number with which you access the Auctions personally and it is
          also the site to which you will send your customers to bid at the auctions.

       2. www.dublinetwork.com/your BA Number is the access to your DubLi Network business
          building site. This site has full details of your organization, commissions earned etc, etc.
                                                    -5-
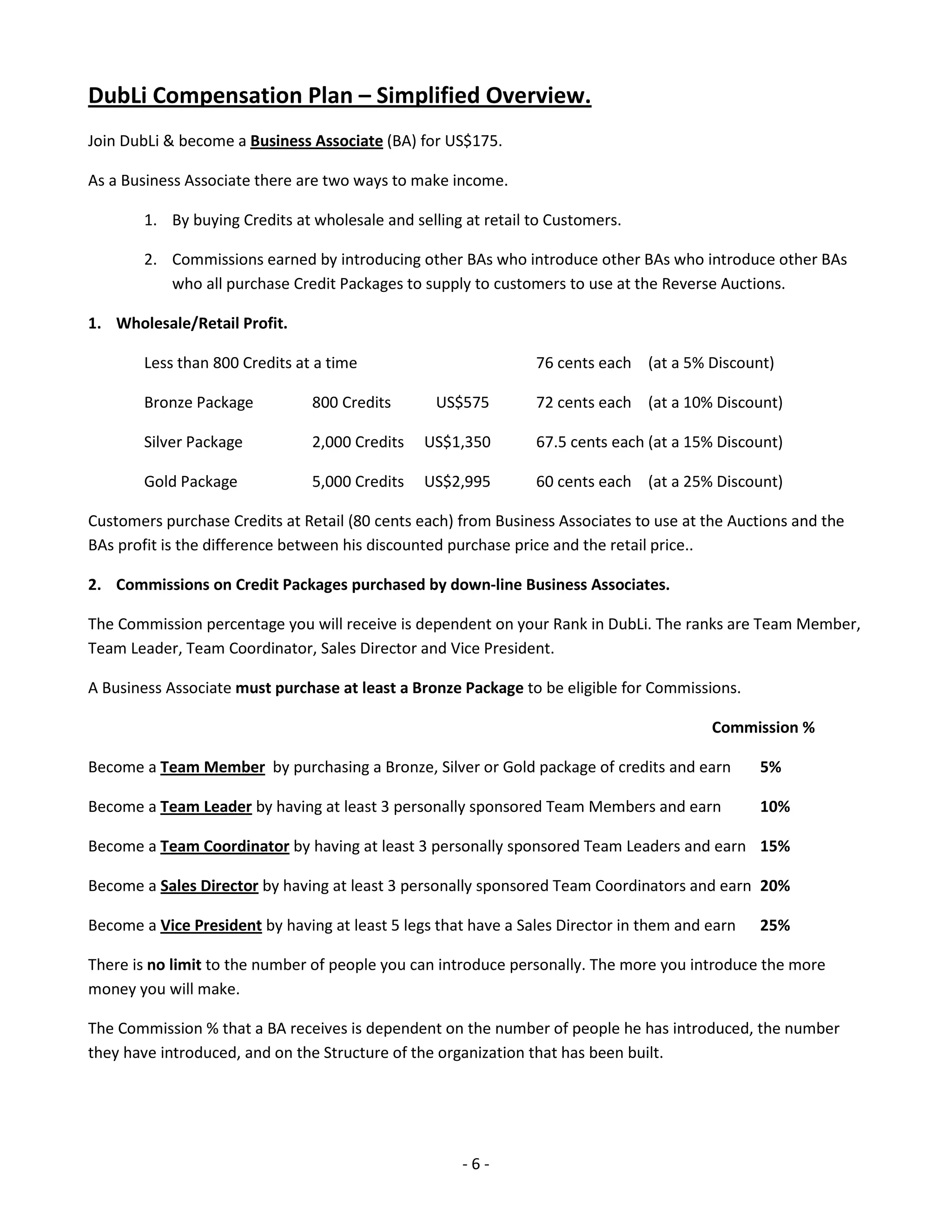
DubLi Compensation Plan – Simplified Overview.
Join DubLi & become a Business Associate (BA) for US$175.

As a Business Associate there are two ways to make income.

        1. By buying Credits at wholesale and selling at retail to Customers.

        2. Commissions earned by introducing other BAs who introduce other BAs who introduce other BAs
           who all purchase Credit Packages to supply to customers to use at the Reverse Auctions.

1. Wholesale/Retail Profit.

        Less than 800 Credits at a time                         76 cents each (at a 5% Discount)

        Bronze Package          800 Credits       US$575        72 cents each (at a 10% Discount)

        Silver Package          2,000 Credits   US$1,350        67.5 cents each (at a 15% Discount)

        Gold Package            5,000 Credits   US$2,995        60 cents each (at a 25% Discount)

Customers purchase Credits at Retail (80 cents each) from Business Associates to use at the Auctions and the
BAs profit is the difference between his discounted purchase price and the retail price..

2. Commissions on Credit Packages purchased by down-line Business Associates.

The Commission percentage you will receive is dependent on your Rank in DubLi. The ranks are Team Member,
Team Leader, Team Coordinator, Sales Director and Vice President.

A Business Associate must purchase at least a Bronze Package to be eligible for Commissions.

                                                                                         Commission %

Become a Team Member by purchasing a Bronze, Silver or Gold package of credits and earn         5%

Become a Team Leader by having at least 3 personally sponsored Team Members and earn            10%

Become a Team Coordinator by having at least 3 personally sponsored Team Leaders and earn 15%

Become a Sales Director by having at least 3 personally sponsored Team Coordinators and earn 20%

Become a Vice President by having at least 5 legs that have a Sales Director in them and earn   25%

There is no limit to the number of people you can introduce personally. The more you introduce the more
money you will make.

The Commission % that a BA receives is dependent on the number of people he has introduced, the number
they have introduced, and on the Structure of the organization that has been built.




                                                     -6-
To achieve the Vice Presidential level the minimum that would be required is:

               You Sponsor             5                 (Sales Directors       5)

               Who each sponsor        3                 (Team Coordinators     15)

               Who each sponsor        3                 (Team Leaders          45)

               Who each sponsor        3                 (Team Members          135)

                                                                  TOTAL         200

       It is that simple. You have 5 Teams you are building who each sponsor 3 who sponsor 3 who sponsor 3.
       It has been said before “Three, Three, Three and you will be Free, Free, Free !!!”

The Commissions paid to Business Associates are as follows;

   1. You must be a Team Member with at least a Bronze Package to be eligible for Commissions on Credit
      Package purchases made by people downline.



   2. There are 5 lots of 5% paid up-line on each Credit Package purchased.

       5% to the 1st upline Team Member or above. (TM Bonus)

       5% to the 1st upline Team Leader or above. (TL Bonus)

       5% to the 1st upline Team Coordinator or above. (TC Bonus)

       5% to the 1st upline Sales Director or above. (SD Bonus)

       5% to the 1st upline Vice President. (VP Bonus)

       Example 1.      You are a Team Member and you introduce a Team Member who purchases a Bronze
                       package of Credits $575.

                       You would receive TM Bonus 5% of $575 = $28.75.

       Example 2.      You are a Team Leader (because you have introduced at least 3 Team Members) and
                       you introduce a Team Member who purchases a Bronze package of Credits $575.

                       You would receive TM Bonus 5% of $575 = $28.75.

                                       Plus TL Bonus 5% of $575 = $28.75

                                       Total :       10% of $575 =$57.50




                                                     -7-
Example 3.               Team Coordinator receives                       5%      TC Bonus



                                 Team Leader One receives                        0



                                  Team Leader Two receives                       5%      TL Bonus



                                  Team Member receives                           5%      TM Bonus



                                 New Team Member purchases a Credit Package




                 In this example Team Leader One does not receive a commission payment because he is not
                 the first upline Team Leader, Team Leader Two is the first upline Team Leader.

100% ROI (Return on Investment)

It is possible to earn Commissions equivalent to your initial investment in the credit package you purchased by
simply :           You Sponsor          5

                                 Who each sponsor          3

                 And everybody in your business buys the same ‘Credit Package’ that you do.

        That is it!!!!!!

        After that all extra income you receive will be profit!!!!!!



(For Full details of the DubLi Compensation Plan go to http://www.dublinetwork.com/1-
37/compensation_plan )

Due to the additional Bonuses that have been announced we recommend that people get in
at the Bronze level and then upgrade to Gold within 30 days of joining to receive an extra 50-
70% in Commissions.




                                                        -8-
DubLi Network’s New-Sensational Quarterly Leadership Bonus goes live on
Monday May 11th 8am US EST/
                       Announcing DubLi Network’s New-Sensational Quarterly Leadership Bonus

Invest in yourself and in your business by buying a Gold Package in this once in a lifetime offer. Here’s your opportunity to
get paid the most for your efforts and be rewarded with a special leadership bonus that is available to only those who
purchase a Gold Package.


The Benefits of purchasing a Gold Package are:
1)     Your title cannot be downgraded for 12 months; as long as you retain the personal customer count for your title

2)   The Product Package you purchase determines your earning potential in the Shopping Mall and all other earning
programs launched at DubLi for the next 12 months. The Gold Package ensures you the highest earnings possible on all
programs. As a Team Leader, a Team Coordinator, a Sales Director or a Vice President; the Leadership Commissions on
the Shopping Mall will be an additional 15% on top of the basic 10%. Your commission will be 25% on the Shopping Mall.

3)    This package entitles you to two (2) half price tickets to all DubLi corporate events for 12 months.

4)    It is the first step to participate and qualifying to earn a Quarterly Leadership Bonus

                                           What is the Quarterly Leadership Bonus?

Earning Potential:        Earn 50% additional bonus on all Product Packages sold in your organization once a quarter.

Earning Periods:           2nd Quarter        April 1st to June 30th

                             3rd Quarter        July 1st to September 30th

                             4th Quarter        October 1st to December 31st

                     And so on…..

Qualify by:

1.) Personally Purchase a Gold Product Package when you join DubLi Network or within the first 30 days of your
membership

2.)   Title as a Team Leader, Team Coordinator, Sales Director, Vice President

3.)   Personally sponsor a minimum of 3 new frontline BA’s a quarter and…

4.) The new Frontline BA’s purchase a total accumulated minimum of $6,500/5000€ in ‘Credits’ within the quarter where
you     qualify.

Example:                    You have earned $20,000/15000€ on total organizational Product Packages

                              Your Leadership Bonus would be an additional $10,000.00/7500€!




DubLi does business all over the world. Since our corporate offices are in Berlin, Germany, the end of the month for
business qualification is at midnight in Berlin.




                                                               -9-
Winter Bonus Programs (Australia)




                                                                           st
    Team members/Team Leader Bonus Program from April 1st to August 31 . Team Coordinator/Sales Director/Vice President
    Leadership Bonus Program from April 1st to August 31st........

    Team Members and Team Leaders
    Time Period: April 1st to August 31st

    Bonus Program Details:

•           In any single month during this period; June, July and August
•           Sponsor 5 new BA’s who purchase a bronze, silver, or gold product package
•           Earn $800/600€
•           You can earn as many multiples of 5 as you wish as long as they are in a single calendar month.


    Team Coordinators, Sales Directors, and Vice Presidents
    Time Period: April 1st to August 31st

    Leadership Bonus Details:

•           Help your team to build their organization, expand their customer base, and teach them to do the same.
•           Earn 20% EXTRA bonus on your organizations total income




                                                             - 10 -
FREQUENTLY ASKED QUESTIONS
To see all of the FAQs go to www.dublinetwork.com
and click on ‘FAQ and Contacts’.

There is also a lot of other information that can be obtained regarding DubLi at the
above site.

What credit cards does DubLi Network accept?
At the moment you can pay with Visa and Mastercard.

How do I Order extra DVD’s re Australian Launch?
You can Order DVD’s from Libby Tuesday to Thursday during normal office hours :
       Phone    03 5441 2399
       Fax      03 5441 2834
       Email     fsiorders@bigpond.com


In which countries can I sign up Customers?
Currently, you can sign up people all over the EU, North America, Canada, Mexico, Puerto Rico and
Hawaii. Other countries will become available as DubLi.com expands internationally. Please refer to the
“shipping costs” in your members area on DubLi.com. (Member States of EU : Austria, Belgium,
Bulgaria, Cyprus, Czech Republic, Denmark, Estonia, Finland, France, Germany, Greece, Hungary,
Ireland, Italy, Latvia, Lithuanian, Luxembourg, Malta, Netherlands, Poland, Portugal, Romania, Slovakia,
Slovenia, Spain, Sweden, United Kingdom.

How do I sign up customers?
Also to ensure a customer is attached to your BA number, be sure to use one of these four contact
methods from your DubLi.com/your BA Number site.
1) tell a friend function
3) send a voucher function
4) recommend a product
Or send them your BA link---www.DubLi.com/your BA number

Can I send my EU customers credits from my US DubLi.com site?
Yes, your European customers can use your US credits.

Where can I see my customers?
You can see all of your customers in your back office at DubLi Network. You can also see your
personal customers in the member’s area in the “send a voucher” section.


Where can I view commissions I have earned?
To review your commissions login to your back office at DubLi Network . Click on the “earnings" button for
full disclosure.

When are my commissions calculated?
Commissions are calculated on the 15 of the month, following the previous month of work. For example if
you earn $1000.00 between December 1st and December 31st your commissions will be processed on the
15th of January.


                                                    - 11 -
When does the month end?
The month ends at midnight Berlin time on the last day of the month.


Does the package I purchase affect what I earn?
Yes the package you purchase does affect your personal customer commissions. Each package has a
discount: Bronze 10%, Silver 15%, and Gold 25%. When you sell credits to a customer you earn the
difference real time in the earnings area. You are not obligated to keep the same package that you
purchased at the time you registered. You can choose any package that you desire.

There are also special promotions and Bonuses available to people who purchase a Gold package within the
first 30 days of joining DubLi. You can qualify for up to 50% extra in Bonuses. See page 9 of this booklet for
full details.

How does my title affect my earnings?
Your title affects the commission earned when you personally sign up BA’s and the organizational overrides
earned on other team member's personal customers, their personal BA’s, and the customers in Partner
Programs.


How is my earning status determined?
 Your personal customer commissions are determined by the package you purchase. Your personally
sponsored BA's and organizational override commissions on your team's BA's, Partners, and customers are
determined by your title.

 Am I paid a commission when a personally sponsored BA sells their “Credits” to
new and existing customers?
 No you are not paid a commission when your personally sponsored BA resells their “Credits”. You were
already paid on these “Credits” when your BA purchased their “Credit” package at time of registration.

Why can’t I see my Credits on the DubLi.com platform?
Please login to your DubLi.com site to see your credits.

How do I move customers from the EU portal to the US portal?
You cannot move customers from one portal to another. The customers have signed up in the portal of their
choice. If a customer wants to have an account on both portals, the customer can simply register at both
portals. The customer can even use the same e-mail address at both portals, and perhaps even the same
username, if not already in use.

My customer didn’t get an activation mail from DubLi.com. What does the
customer do now?
First, we suggest that the customer check their Spam mail box. The activation mail contains a link and some
providers consider the activation mail Spam. If the mail is not there please have the customer create a ticket
for customer service requesting their account be activated. We will activate it and send them a password.

What is a "qualified" customer?
A qualified customer is a registered customer who has purchased at least 10 Credit in the past 12 months.




                                                     - 12 -
If one of my customers wants to become a BA, are they mine?

Yes, when they upgrade to a BA they become one of your personally sponsored BA’s.

Are there any requirements that have to be fulfilled in order for me to keep my
status/title?
You are required to maintain a certain number of active customers to keep your status/title in the DubLi
Network. The customer requirements are described in detail in the Commission Plans.

What is an active customer?
An active customer is one who has purchased a minimum of 10 Credits in a 12 month period.

Does the package I purchase affect what I earn?
Yes the package you purchase does affect your personal customer commissions. Each package has a
discount: Bronze 10%, Silver 15%, and Gold 25%. When you sell credits to a customer you earn the
difference real time in the earnings area. You are not obligated to keep the same package that you
purchased at the time you registered. You can choose any package that you desire.

What is the Ticketing System?
The ticketing system is the tracking system used by customer service to answer your questions.

Is there a way to find out answers to my questions before submitting a ticket?
Many of the answers for your questions can be found in the Knowledge Base/FAQ. You will directed here as
the first step to do before you create a ticket to customer service.

How do I access the Shopping Mall?
To access the shopping mall login to DubLi.com and click on the Shopping Mall Tab at the top of the page.

Do I have to login to access my Shopping Mall?
Once you have logged into DubLi.com you are automatically logged into your Shopping Mall portal.

Why is it necessary to register at the individual shops in the mall?
 When you purchase an item at a particular shop, the shop is responsible for completing the order and doing
the shipping. If there are any questions about your order they have to have a way to communicate with you
directly without having to go through DubLi


How long does it take me to get the products I purchase on the Shopping Mall?
Each store is responsible for their own shipping method. Check with them to see how they ship their
merchandise.


Is there any charge to me to earn commissions on the Shopping Mall?
No there is no charge to you.

Do I earn commissions on my personal purchases in the Shopping Mall?
Yes you earn commissions on your personal purchases.


                                                    - 13 -
The “Google of Shopping”?
This page assumes you have previously watched a webcast.


DubLi is a privately-held company, so any data they share is voluntary. Furthermore, releasing
data may only harm their growth, by alerting competition to their success.


CUSTOMER & REP NUMBERS
Below we have included documented data from active DubLi websites, with links, which provide
the EU customer count and then we project the USA numbers. Of course, if DubLi put up
fraudulent info and it was discovered, they'd be liable and worse, their company would fail as
people found out they couldn't trust the people running the company. Plus, their contracts with
major name-brand companies, such as Yahoo, Apple, Sony, etc., most likely depend upon
accurate reporting of customer traffic. So for several reasons, we're confident in the numbers
being posted.


        •   EU Customer Count: At the company's site, Official Customer Count, originally posted
            on Oct. 19, 2008, you can see "In Europe, the customer base to associate base is 85
            to 1." Also, at http://www.dublinetwork.com/1-22/e-conomy_booming, just posted
            April 1, 2009, the second-to-last paragraph says, "DubLi.com’s select test market in
            Europe saw 2.3 million customers come in just eight months."
        •   EU Rep Count: Without much effort, you can then figure out there are about 27,000
            reps in Europe (2.3 mil. divided by 85). The company announced way back on Oct.
            17, 2007, that they had surpassed 10,000 reps, so to triple that to nearly 30,000 18
            months later is very likely.
        •   USA Rep Count: Slides from Tom Ashlock's back office, of which I have screen shots,
            from June 2008 to March 2009, show growth to approx. 4000 reps. Tom had
            anywhere from 80 to 90% of the whole country under him, so our current count
            should be a little over 5000 here in April. With compounding and a little experience
            watching networking companies grow, we expect that to number in the tens of
            thousands by year's end.
        •   USA Customer Count: 0! Well, we have a little trickle, maybe tens of thousands, but
            in May 2009 we begin flooding the market with credits to attract customers.


For perspective, eBay started in 1995, grew to 2.1 million customers by 1998 (3+ years), then
exploded to 42 million customers by 2001. That's 2.1 million to 42 million in 3 years! We expect
DubLi to grow just as fast.
                                               - 14 -
WHY WOULD ANYONE PAY TO SEE A PRICETAG?


        •   Do you use a Shopping Search Engine? If so:
               1. Find your lowest price.
               2. Did you save $10 to $20?
               3. Is the item offered in a Dubli auction?
               4. Is it worth 80cents (80cents for a DubLi credit) to see if you can save another
                   20%, 30% or more?
        •   Costco: Started in 1983; by the end of 1989, its sixth year: “Costco became the first
            company ever to grow from zero to $3 billion in sales in less than six years.” Today,
            CostCo has: 50+ Million customers, $64 Billion total sales annually. “$50 annual
            membership fee includes one household card”: $50 x 50 million customers = $2.5
            billion, before anyone buys anything in the store!


DUBLI'S COMPETITIVE ADVANTAGE


        •   Find anything you can buy online, faster
        •   Fun, entertaining shopping
        •   50% to 100% off potentially savings on new items!
        •   Free credits for referrals!


Never buy online without checking for potential savings at DubLi.com!


CORPORATE INFO


        •   Revenue: No data is available.
        •   Financial backing: Active Capital Partner Ltd. (Financing)
        •   Business Registration: DubLi.com LLC (Holding), 702 West Street, Wilmington, DE
            19801, Registration no.: 4153725


PRESS


        •   MarketWatch.com: "MediaNet Group Technologies, Inc., operating the largest online
            mall and affinity program platform through its BSP Rewards subsidiary, today
            announced that it has further expanded its client base with the implementation of a
            new partnership with DubLi, an international e-Commerce auction site and direct
            sales marketer."
        •   JordinSparkesCharities.com: DubLi.com partnered with Jordin Sparks, winner of the
            American Idol competition at 17, for DubLi’s first every charity auction in December of

                                               - 15 -
2008. The Unique bid auction ran from December 1st to December 26th. Over 2,000
             customers participated; netting $2,000.00. DubLi contributed 100% of the credits
             spent, 100% of the proceeds, and added an additional $3,000 to create a donation of
             $5,000.00 to Spark’s Charities. The check was given to Jordin Sparks by CEO Michael
             Hansen in Phoenix, Arizona in January of 2009." http://www.dublinetwork.com/1-
             18/news
         •   DubLi Inside Magazine (pdf)


WEB TRAFFIC
You won't find any reliable traffic data from Alexa.com, since most people are visiting rep
websites, not the actual www.dubli.com site, and Alexa can't add up total traffic to affiliate sites
(we checked this before we joined DubLi). Even so, the Alexa traffic numbers for DubLi are
growing rapidly, up 21% in the first quarter of 2009.


NEW NETWORKING HYBRID MODEL


         •   No Weekly Hotel Meetings
         •   No monthly orders or autoships
         •   No monthly quotas
         •   No other expenses, fees, charges


LEGAL


         •   Independent Attorney's Opinion On DubLi and Gaming Laws (pdf)
         •   Response-to-Negative-Press (pdf)


WHAT'S THE RISK?
A pragmatic approach to consider your risk: if you spend $800 (or $3200 if you're bold) to join
DubLi, what do you get for your money? For $800, you get 800 credits, which can be used to shop
and get many things of value. If you don't like the business, simply use your credits and you may
break even or come out ahead, but you're really not exposing yourself to anywhere near 100%
loss.
               The DubLi North America Leadership Team
               Dean Mannheimer, Phoenix, AZ, DubLi USA Vice President and Master Franchiser,
               first DubLi USA Rep. “In 28 plus years of being in the direct selling/Network
               Marketing system this is the first new business model we have seen. To find a
               model that is consumer-driven, not associate-driven, is a first. To be in a business
               that can generate true residual income because it actually has a retail customer
               component is what we have looked for our entire career. Plus, the ability to earn as

                                                 - 16 -
much money as we have in as short a time as we have been with DubLi, dwarfing anything we
have earned in the past, is remarkable. The even better news is we have just started to build the
consumer base, which is where the large income stream will come from on a residual basis. DubLi
is a company for the New World that is now taking shape.”
Tom Ashlock, MD, Portland, OR, Founder/President of Lariat Software, started
with DubLi towards the end of June, 2008, became a DubLi USA Vice President
March, 2009. He owns a software company that does back office software for
marketing companies, which is how he found out about DubLi. He signed in
through DubLi Europe, since DubLi USA didn't launch until Oct. 4. He said, "We've
done software for a lot of MLM companies, and unfortunately, we've done software
for companies that have been shut down," leading to his point that he has a very good basis to
know in the MLM world what will last and what won't. He also said that because of his software
business, he knows what the revenues are of most MLM companies. He said he's "never seen a
ratio in network marketing anywhere close to DubLi's 85 to 1 customer-to-distributor ratio." (That
ratio is for Europe - the US is too new to have in place a customer base like that, but give it a few
               more months ...)
               Brad Doyle, Las Vegas, NV, CEO of Business Web Solutions, LLC (BWS), joined
               DubLi in Dec., 2008. The first major BWS project was the online version of Robert
               Kiyosaki's popular board game, Cash Flow 101. Since that time BWS has patented
               the most successful online game for business and sales organizations, PowerPlay
               Game, the patent pending iPresenter presentation software, and a web-based
               membership website with 3000 subscribers. BWS evolved naturally from the
Technology Development Group (TDG), formed in March of 1994. Brad was the TDG co-chairman
along with Amway COO Tom Eggleston, and with teams from both BWS and Amway Corporation
they conceptualized and implemented the Quixtar business model. Brad is also the CEO of 212°
Training, LLC, which serves as a consultant to the Direct Selling Industry. Clients include
Amway/Quixtar, Univera Life Sciences, AIM International, L'Bri, Arbonne, Shaklee, Global Hot
Buys!, Dale Carnegie Training, and Next Level Sales.
Jim Pare, Frederick, MD, became a DubLi Rep in Dec., 2008 and became a DubLi
USA Sales Director March, 2009. He has been in network marketing for 32 years
and has developed worldwide marketing organizations of tens of thousands of
associates and he has spent many years as a motivational speaker, teacher, trainer
to audiences as large as 80,000. In less than 4 months, Jim had more than 1000

               reps join his DubLi organization.
               John Cini, McLean, VA, joined DubLi in Dec., 2008 and became a DubLi USA Sales
               Director March, 2009. John spent the beginning of his career at the US Bureau of
               the Census, where he helped program the data collection software for the 1985
               Census of Agriculture. He later setup his own website, technologydoctor.com,
                                                - 17 -
which he used to help people solve computer problems. John worked with the same network
marketing company for 17 years, building a business that generated more than $20 million in
revenue. He reached that company's "Millionaire's Circle" in 2002, which you can read about in
the company's Sep. 2003 magazine (PDF). His story was published in the book Your First Year in
Network Marketing (by Mark Yarnell, Chapter 3, Dodging the Depression Torpedo, p.75; Prima
Publishing, 1998). He trained and managed hundreds of representatives during that time. John
has been licensed as a real estate agent, and earned his Series 6, 63, and 65 Securities Licenses.
He is a U.S. Army Veteran and Virginia Tech alum.




                                               - 18 -
Apr 6, 2009, 8:34 a.m. EST


MediaNet Group's BSP Rewards Further
Expands Network Marketing Channel
To Build Private Branded Reward Malls for DubLi Auction
Sites and Network Marketing Program



MARGATE, FL, Apr 06, 2009 (MARKET WIRE via COMTEX) -- MediaNet Group Technologies,
Inc. , operating the largest online mall and affinity program platform through its BSP Rewards
subsidiary, today announced that it has further expanded its client base within the network marketing
channel with the implementation of a new partnership with DubLi, an international e-Commerce
auction site and direct sales marketer.

BSP has built, and will launch in May, a private-branded mall as a value-added benefit for DubLi.com,
a recognized global auction house. DubLi's reverse auction portal is designed for the worldwide buying
and selling of brand-name products at the lowest prices. Members of DubLi will now be able to shop at
over 800 national brand name merchants and earn rewards in their BSP mall. DubLi offers people
around the world a unique opportunity to generate extra income through their own lucrative part-time
or full-time business for which they will now being able to avail themselves of the value-added benefit
from saving money by shopping in the DubLi Rewards Mall. The partnership includes BSP Rewards
adding access to DubLi auctions on other existing and future private-branded malls.

Martin Berns, Chief Executive Officer of BSP Rewards, stated, "Network Marketing has been a
successful and productive channel for BSP thus far and we are pleased with our ability to continue to
capitalize in this area with leaders in the industry. We are excited about working with our new partners
at DubLi. In only a few years DubLi has grown their international customer base by adapting to what
consumers want -- high quality products, a unique reverse auction concept and the ability to increase
their incomes by doing something they love. We look forward to offering DubLi's customers the ability
to earn while they shop and provide BSP's network of memberships the opportunity to shop through
this new vehicle."

Michael Hansen, Founder and President of DubLi, commented, "The new opportunity created by
combining two shopping alternatives, who are both recognized leaders in their respective areas, is
unparalleled. We see great potential synergies for both shopping portals to grow and diversify while
strengthening their respective market positions. We were searching for an appropriate US national
network of merchants that would provide our customers an opportunity to earn and save. After be
introduced to BSP Rewards, we didn't have to look further."




                                                 - 19 -
About MediaNet Group Technologies, Inc.:

MediaNet Group Technologies, Inc. , through its BSP Rewards division, has developed the largest
online mall and affinity program platform. BSP builds, brands, and customizes proprietary
loyalty/rewards/mall programs for clients and organizations and for a value-added element layered onto
debit and stored value cards. Companies and organizations enroll their members into the program and
BSP cross-markets them to its entire database.

The Company generates product purchases from over 800 participating mall merchants including the
nation's largest retailers as well as gift cards and a large discount catalog. With over 60 web malls
already developed and in use, BSP Rewards currently serves more than 650,000 registered users. The
Company offers affordable, immediate implementation, delivered as rich turnkey enterprise solutions
for corporations interested in expanding their web presence and enhancing customer relations -- turning
operational costs into profit centers. Current mall merchants include Sears, Target, Wal-Mart, Macy's,
BP Oil, Office Depot, Bass Pro Shops, Best Buy, Budget and Chili's.

About DubLi:

DubLi Network was founded in 2003 and has its financial headquarters in Delaware, USA. DubLi
network is a dynamic, growing and success-oriented marketing company. Its overall goal is to market
DubLi.com, an exciting and recognized global auction house. Buyers get access to lots of brand-name
products at the absolute lowest prices. At the same time, we offer people around the world a unique
opportunity to generate extra income through their own lucrative part-time or full-time business.
Today, DubLi Network is among the fastest growing companies within the direct sales industry in
Europe and the USA.

"Forward-looking statements" as defined in the Private Securities Litigation Reform Act of 1995 may
be included in this news release. These statements relate to future events or our future financial
performance. These statements are only predictions and may differ materially from actual future results
or events. MediaNet Group Technologies, Inc. disclaims any intention or obligation to revise any
forward-looking statements whether as a result of new information, future developments or otherwise.
There are important risk factors that could cause actual results to differ from those contained in
forward-looking statements, including, but not limited to risks associated with changes in general
economic and business conditions (including in the information technology and financial information
industry), actions of our competitors, the extent to which we are able to develop new services and
markets for our services, the time and expense involved in such development activities, the level of
demand and market acceptance of our services, changes in our business strategies, and the purchasing
activity or lack thereof by registered web mall members. The number of BSP web mall members is
routinely revised to reflect adjustments for inactive membership. Inactive members are defined as
registered members who have not shopped in a BSP web mall for an extended period of time.

Contacts:
MediaNet Group Contact:
Martin Berns
Chief Executive Officer
954-974-5818 ext. 202
SOURCE: MediaNet Group Technologies, Inc.


                                                 - 20 -
RESPONSE TO NEGATIVE PRESS
( This is from www.duba2z.com website ) John Cini states :

Regarding the negativity, it's amazing to me how people read something online and
immediately believe it, and then want to share it like they're brilliant. How many forwarded
"warning" emails do we get from people? I couldn't tell who wrote "This comes from a
distinguished engineer @ IBM well versed in eCommerce," but I'm not sure how an engineer is all of
sudden expert enough to know "you may actually be breaking the gambling laws." One second of
common sense would suggest that if there were a risk of breaking ANY laws, a
company that spent a fortune introducing a business to the USA probably had the foresight to
pay attorneys to make sure they weren't breaking any laws - which DubLi did, hiring Grimes
& Reese (http://www.mlmlaw.com/), a top law firm, which is explained on page 18-19 of the latest
DubLi magazine (PDF at http://www.yourdubliworld.com,.

In the short time I've known about DubLi, I have been repeatedly impressed by
the way this company has anticipated needs and challenges, and taken action to
prepare for them. That preparation includes making sure that everything the
company does is legal and won't be challenged in court. Besides hiring a top law
firm, here are some other things to consider to make sure the DubLi business is
solid and long-term:

1. Charles King, Ph.D., Harvard-educated marketing professor at the University of Illinois at
Chicago (UIC, listed under "King" and also in the Faculty Directory PDF at
http://www.uic.edu/cba/Documents/Faculty_listing.pdf), who teaches network marketing to
University students and is author of the book "The New Professionals," has made an intense
study of the network marketing industry, and he is the co-founder of "The DubLi Academy," a
training program where DubLi licensees learn how to build a successful business, free of
charge. The back cover of his book describes him: "Charles W. King received his doctorate in business
administration from Harvard and is currently a professor of marketing at the
University of Illinois in Chicago. He is involved in extensive, ongoing research on network
marketing and distributor operations." If DubLi were unstable or a potential scam, Dr. King
certainly would not have associated his name and reputation with the company. He'd lose all
credibility if DubLi is deemed to be illegal.

2. A helpful presentation to understand how network marketing works and how pervasive it
has become in our society, watch the "Brilliant Compensation."
(http://www.randallburt.com/tools.php presentation with Tim Sales and Charles King, located
about a third of the way down the page. I don't know who the randallburt site belongs to - I
just found it by googling "Brilliant Compensation.")

3. Yes, the negative spinfactor website accuses DubLi of being an illegal pyramid
and a lottery. It doesn't matter what it is, every network marketing company in
existence has been bad-mouthed by someone who claims it's "illegal." Usually
the author is someone who is sour because he failed to make money at the
business, and now wants to "protect" others from the same results. Legitimate,
successful companies will aggressively respond to these allegations, which DubLi
has done, in a two-page letter (PDF titled "Dubli Statement from Michael
Hansen"). The letter specifically says that "... according to all 50 of the U.S. State
Attorneys offices, DubLi is not a lottery and is perfectly legal in every state."


                                                   - 21 -
Below is Tom Ashlock's response re ‘Negative Press’.

Dear Fellow Business Associates:

Occasionally, we get questions from people read negative comments posted on a couple of
Internet sites. These sites allegedly report “scams,” but their real business is
delivering advertising to people who visit their sites. Their strategy is to post
defamatory comments that create controversy and elicit responses (thus driving traffic to the
site and boosting ad revenue). The comments they post are consistently inaccurate, irrelevant,out of
context, and/or completely fabricated. If you read through all of their posts, they subsequently retract
most of their claims (but they rarely remove the original comments,
because inflammatory comments drive more traffic than retractions).

So, to paraphrase Mark Twain, the problem is not what people know; the problem is what they know
that “just ain't so.” As Business Associates, most of you already have enough facts and first hand
experience with DubLi to discredit the postings on these sites as things that “just ain't so.” But for
those of you who are new, and for those who are seriously considering the opportunity, here are
some facts that should help. First, you need to understand DubLi’s
business model, because without that understanding, it will be difficult to evaluate the
comments in context.

The Business Model

Most people look at dubli.com and think it’s an auction site, in business to sell auction items to
customers. This is not really the case. DubLi’s auctions are a strategic “means to an
end”, and only a small part of the revenue model. DubLi.com is an early stage shopping portal
that aggregates shoppers on its website, and then sells those shoppers to major search engines
and online merchants for click-through fees and revenue-share fees.
Aggregating and selling online shoppers is an established, multi-billion-dollar industry, led by
companies like Google, Amazon and eBay. DubLi is already a player in this industry with its largest
customer for ecommerce services being Kelkoo, which is the Yahoo!-owned
search engine in Europe. DubLi charges Kelkoo whenever DubLi shoppers click through to
Kelkoo or purchase products from Kelkoo affiliated merchants.

The most successful shopping portals have “hooks” to draw traffic to their site. Google’s hook is
search; Amazon’s has always been books; eBay’s is auctions. DubLi’s hook is reverse
auctions and shopping games (entertainment shopping). DubLi uses reverse auctions and
games to drive traffic to dubli.com. In an eBay auction, the seller is charged the auction fee.
In a DubLi auction, the bidder is charged the fee with each bid, in the form of a DubLi “credit”
that costs 80¢. This auction fee covers DubLi’s cost of acquiring the customer and running the
auctions and games, and it also covers the cost of reducing the auction price of the product by 25¢
with each bid, which makes the auctions exciting and drives traffic. In exchange for the 80¢ fee,
the customer gets access to discounted prices at dubli.com, in the same way that a Costco
member gets access to discounted prices at Costco stores in exchange for the
membership fee. The DubLi customer also gets “entertainment” value in watching the price drop,
which is critical to the viral growth of the customer base.

DubLi’s strategic focus is on expanding its customer base, because the value of any
shopping portal business is directly related to the size of its customer base. DubLi
uses a traditional network marketing distribution model to launch its initial customer base in


                                                 - 22 -
new markets, both because DubLi’s founder has had successful experience in network
marketing, and because a network model can create large, loyal, initial customer bases faster and
cheaper than advertising-based models. What DubLi gets with its network marketing model is initial
customers fast and cheap (without having to raise millions of dollars for each new market launch);
what DubLi gives up is a cut of its revenue stream, paid out in
commissions to its Business Associates for the life of their customers.

DubLi’s Business Associates are paid commission to create new customer bases and to sponsor new
Business Associates (who, in turn, create more new customer bases). Commissions are paid to
Associates whenever their registered customers buy credits to participate in dubli.com
auctions or whenever their customers generate click-through or revenue-share fees by
clicking through to DubLi’s search engine partner. In order to create a new customer base,
Business Associates buy DubLi credits in bulk (called “Product Packages”), and then give away the
credits to prospective customers to get them to visit the site and try out the auctions. When a new
Business Associate buys a Product Package, commission is paid to the recruiting Business Associate,
just as if a customer had bought the credits (and that is how Business Associates earn commission
from recruiting new Business Associates).

Here are the negative comments that are posted on the Internet (in italics), followed by the
facts, along with some answers to frequently asked questions:

       1. “DubLi is a de facto pyramid scheme because . . . 97% of its revenue comes from [thesale
          of Product Packages].”

           Actually, the percentage of revenue coming from Product Packages is probably
           higher than that in the U.S. right now; but that just makes it a product launch
           strategy, not a pyramid scheme. The majority of revenuein any new DubLi market will
           always come from the sale of Product Packages until the Business Associates have created
           a base of customers who generate ecommerce revenue (click-throughs, revenue-shares,
           and credit sales). When that happens, it will signal the end of the launch period for that
           market and the beginning of the early stage growth period. There is nothing about selling
           credits to Business Associates to launch new markets that constitutes a pyramid.

       2. “If [my] updated estimates are correct, DubLi has made between $8,500 and $12,000 on
          the 3 games in 1 month . . . How can DubLi sustain itself?”

           It can’t sustain itself on auction revenue, and no one has ever claimed that it
           would. The objective of DubLi’s auction unit is not to sell product. It is instead to drive
           traffic to the portal, while selling as many credits as possible (and ironically, while
           selling as few items as possible). DubLi is a shopping portal, not an auction house.
           Its success is measured by the number of shoppers it aggregates and sells. The amount of
           auction revenue generated is irrelevant and has no bearing on DubLi’s success or
           sustainability.

       3. “DubLi is a pyramid scheme because it sells nothing of value.”

           Not true, and Yahoo! And its affiliated merchants who pay DubLi each month for
           its click-through shoppers agree (along with all of the registered DubLi customers who
           buy credits each month and participate in the auctions). There is no question that
           businesses and customers alike find DubLi’s products and services valuable and
           are willing to pay for them month after month. This false comment is nothing more
                                                 - 23 -
than a “cry pyramid” attempt to drive traffic, and it comes with zero substantiation
   (because there is none).


4. “DubLi is a Ponzi scheme because it uses new investor dollars to pay returns to earlier
   investors.”

   Can’t be true. DubLi does not sell licenses, or investments or securities of any type, and it
   does not offer “returns” of any sort. It only sells products and services of value, and pays
   commission to its Business Associates on what is sold. By definition, therefore, it
   cannot be a Ponzi scheme.

5. “DubLi’s founder, Mike Hansen, has bankrupted four companies.”

   Not true, and the information posted to allegedly “substantiate” this claim is taken
   completely out of context. Early in his career, Mike Hansen was a restaurant entrepreneur
   who co-founded several companies in Denmark. Long after he sold his interest and
   resigned from management, the subsequent owners and management teams of three of
   those companies bankrupted them (which is not at all uncommon in the restaurant
   industry). Although the Danish public records will always show Mr. Hansen linked to those
   companies as a founder (which is the out-of-context information prominently posted byone
   site), Mr. Hansen had no involvement in the subsequent management or bankruptcy of
   those companies. It is true that DubLi’s original corporate entity, DubLi Danmark
   ApS, was voluntarily liquidated and dissolved when the company acquired a
   German company and moved its headquarters from Denmark to Germany. Here
   again, the information posted is presented out-of-context of being an orderly and proper
   wind up of a corporate entity that was no longer being used. A laterpost on the same site
   (by someone not affiliated with the site) provides a list of dates and events that
   corroborates everything stated here. The site acknowledges the new information and does
   not dispute its veracity, but continues to leave the out-of-context information displayed as
   the lead items under the heading of “DubLi Fact Repository” (so that it will continue to
   create controversy and drive traffic, which makes them money).

6. “DubLi isn’t even registered in the United States.”

   Incorrect. A simple search reveals that DubLi.com is a registered LLC in the state of
   Delaware, and DubLi’s U.S. distribution warehouse is located in Phoenix, AZ. The
   site that posted this ridiculous claim subsequently retracted it.

7. “DubLi doesn’t even register when you compare traffic analysis.”

   That’s true, but the claim is made out-of-context because the analysis comes from public
   web metrics companies (like Google or Alexa) who don’t measure traffic that comes
   through “personal home pages.” Most DubLi customers visit dubli.com via a
   Business Associate’s individual website link (i.e., dubli.com/xxxxxxx). By their own
   admission, most web metrics companies do not count what they classify as “personal home
   pages,” which are treated separately if they can be automatically identified as such from
   the URLs in question, which is the case with any Business Associate’s dubli.com/xxxxxxx
   link.



                                          - 24 -
8. “DubLi is a gambling business.”


   Not true, and the U.S. States’ Attorney offices seem to agree. None have elected to
   take any action or even object to DubLi’s auctions as “gambling enterprises” or “lotteries.”
   The people who post negative comments about
   DubLi in order to drive traffic to their own site can “say” that it’s gambling, but the legal
   authorities who are responsible for enforcing gambling laws in each state do
   not agree.

9. “You must send an email to the support team . . .otherwise you miss your chance to get
   paid. They promise you’ll get commissions, and technically you’ve earned them, but at the
   last minute (when it should be obvious that you shouldn’t have to do anything to claim the
   money that is owed to you) they tell you that you didn’t follow the obviously non-standard
   procedure.”

   This is just another comment made completely out-of-context in an attempt to “cry scam”
   and create controversy. The procedure mentioned is not “obviously non-standard” as
   claimed; it is instead the standard procedure for getting payments wire transferred, as
   posted on the Associates’ back office website. Business Associates must confirm each
   month (with a simple email to Support) whether or not they want their earned
   commissions to be wire transferred into their bank accounts on “payday” (which is the 15th
   of each month). This policy is in place for the benefit of the Associates, because many
   Associates prefer to let their accounts build to a certain level before paying the wire
   transfer fees charged by the banks. It is not true that if an Associate fails to notify Support,
   they “miss [their] chance to get paid.” They only miss the chance to get paid on that
   particular day. They need only to notify Support to get payment issued immediately. Also,
   DubLi has never cut commissions, delayed commissions or failed to make
   commission payments as one anonymous poster claimed. All bank transfers to the U.S.
   are transcontinental and may take one or two days longer than expected, but this is
   entirely controlled by bank policy, not by DubLi. (A different system is now in place now
   that the US platform is operating.)

10. DubLi is a private company at this time, and as is customary for a private company, it
   does not publish its financial reports for the general public.

11. The listing of DubLi shares on any public stock exchange will occur only when the Board of
   Directors determines that the market is favorable for such an offering.

12. DubLi has no connection to Andy Bodowin or TNI, and any innuendo to that effect is false.
   The writer who likes to name these two in his posts about DubLi has denied that he is
   implying any connection . . . but he continues to name them.

13. DubLi uses Fedex, UPS and DHL, and has never overcharged for shipping. The
   comments posted to the contrary (most of which have been retracted) are fabrications and
   can be easily verified as such by checking any of the above carriers’ price lists.




                                          - 25 -
14. DubLi customers are never overcharged for products that are purchased or won
          on the auctions. The comments posted about “paying double at the checkout” stem from
          the poster’s lack of understanding of how the auctions work. This comment was
          subsequently withdrawn by the poster, who admitted that he was wrong.

       15. There are numerous erroneous comments posted about the cost of Product Packages to
          Business Associates, most of which have been subsequently retracted (but most of which
          remain posted on the site). The errors range from simple math inaccuracies to a complete
          lack of understanding of what is being charged and to whom.

Bottom line, DubLi is a complex business that combines a customer-focused shopping portal with a
network marketing distribution model. That combination gives Business Associates the rare
opportunity to earn an ongoing cut of the revenue stream in an emerging Internet company, a benefit
that is normally available only to equity holders and venture investors.
As for comments posted on the Internet about DubLi, please consider the source (and the
underlying motivation) before you attribute any credibility to the
comment. Also, if you read something not covered here that appears to raise a red flag,
please ask about it . . . you’ll find that, most often, it “just ain't so.”




                                               - 26 -
Martin D. Owens, Jr.
                                   Attorney ● Consultant
                         Ph: (916) 391-8113 ● Fax (916) 422-5045
                       372 Florin Road #309 ● Sacramento, CA 95831
          Email :mowens@trade-attorney.com Web page: http://www.trade-attorney.com
                        ══════════════════════════════════════
                                     December 29, 2008
Mr. Andreas Kusche
Chief Counsel
Dubli UK Ltd.
Valley Farm Cottage, Parkside Road
Adel, Leeds LS16 8EZ
United Kingdom

LETTER OR OPINION RE: LEGALITY OF DUBLI ONLINE REVERSE-AUCTIONS
UNDER U.S. GAMING LAW

Overview

       Dubli.com offers reverse auctions online for such items as cameras, XBox 360
game stations, and iPods. Each item begins with a pre-set price. There are three
auction programs, called Xpress, Zero and Unique Bid.

       Common to Xpress and Zero s the purchase and use of the Dubli “credits”,
sold online for $.80 USD each or in various-sized packets. Dubli credits are not used
as a substitute for currency. A member must buy credits in order to participate in an
auction, and uses up one credit each time he/she checks the price ( in the Xpress
and Zero Bid versions) or makes a bid (in the Unique Bid version). The act of
checking also drives the item’s current price down by $0.25 - for every participant in the
auction, and successively- each time someone checks. Dubli credits are
non-refundable once expended in the bidding/checking process. They are not
transferable, hold no monetary value and cannot be used on any other site or in any
other auction enterprise.

        In the Xpress version, participants keep checking until the price reaches a level
that one of them finds agreeable. At that point the participant is allowed to formally
purchase the item in question by clicking a “ buy now” button on the screen (first come
first served). The item is then paid for separately. Credits cannot be used for this
payment.




                                              - 27 -
Letter of Opinion
Dubli.com
p 2 of 8

       In the Zero version, participants successively use their credits to check/lower the
item price until one final participant lowers it to zero. That participant is the
purchaser and the item is his. Although any of the participants can see when the price
is approaching zero, none of them can precisely predict when the price will reach zero,
because no participant can know how many other participants there are, come or what
any of them will do.

        In the Unique Bid version, participants use Dubli credits to place bids during a
set time window, again charged one credit per bid. In order to be valid however, a
given bid must also be a unique bid. That is, there must be no other bid placed by
anyone else for the same amount. If someone else does place with an identical bid,
both bids are invalidated. Participants are informed by e-mail when such invalidation
occurs. At the conclusion of the set time period, the lowest unique bid is the winner.
If there is no such bid, the auction is invalidated and Dubli retains the item. Multi0ple
bids may be placed except during the last five minutes, when each participant is
restricted to one bid only.

        Dubli wishes to confirm that its auction programs do not amount to gambling or
lotteries under US state or federal law. But if it turns out that any of them are in
doubtful territory, Dubli needs to know what to do about that.

QUESTIONS PRESENTED
I.     Can any of the three Dubli online auctions be considered a gambling
       enterprise? Do any of them violate U.S. state or federal laws against
       lotteries, raffles, or similar forms of gambling? What can be done to
       minimize any such liability?

       A.    Gambling generally. In order for a given transaction to be identified as
             gambling, three distinct elements must be present together:
consideration, chance, and prize.

              1.     Consideration: in contract law generally, the term “consideration”
                     may mean practically anything of value, including giving up the
                     right to some future act or obligation. In American gambling law,
                     however, consideration means money. This money must be
                     risked- that is, the player gets nothing else for his money but the
                     opportunity to win a prize , determined by chance. Just as
                     importantly he stands to lose that money permanently for no




                                               - 28 -
Letter of Opinion
Dubli.com
p 3 of 8
                    gain, goods, or service in return.

                    a.     Standard auction model: in a traditional auction,
                           “consideration” in the gambling sense does not exist. The
                           highest bidder gains the right to buy the item(s) on offer.
                           So long as he can actually pay, the matter is resolved. The
                           same is obviously true of the” ordinary” reverse auction
.
                    b.     Dubli models: on the one hand, a participant expends one
                           credit merely for the chance to check the price. From this
                           point of view it may be said that he is not actually
                           purchasing any chances to buy. On the other hand, each
                           time the price of the item on offer is checked in the “Xpress”
                           and “Zero” models, the act of checking forces the price
                           down $.25. In the ““Unique Bid”, a participant must also
                           expend one credit to make his bid. In that sense, and
                           because credits once utilized to make a bid or price check
                           are not refunded, it is clear that participants purchase the
                           means to affect , or least enter, the contest. Therefore I
                           conclude that the element of consideration is present in all
                           versions of the Dubli online reverse actions.

              2.    Chance: there is some element of chance in everything human
                    beings do. For the purposes of U.S. gambling law, however,
                    “chance” means that a given event is resolved, in regard to all
                    participants at the time, by a common random occurrence which
                    is not under the control of any participant. To give an example, if
                    John and Joe play chess against each other, the element of
                    chance is minimized if not eliminated. All things being equal, the
                    game will be won by the player with the most knowledge of the
                    game and the best moves. Chess is a skill game. But if, one the
                    other hand, they both purchase a lottery ticket, skill has nothing to
                    do with the outcome. Either a given number is picked or it isn’t.
                    This is pure chance.
                    a.      Additionally it makes a large difference whether the bettor
                            is a participant. To take the chess example above, it is not
                            gambling if John and Joe agree that the loser of the chess
                            games must pay the winner $10. The conduct of game is
                            under the control of the two participants. However, if two
                            onlookers, Sarah and Sue, bet on which man will win the
                            chess game, that is gambling, because the outcome of the




                                             - 29 -
Letter of Opinion
Dubli.com
p 4 of 8
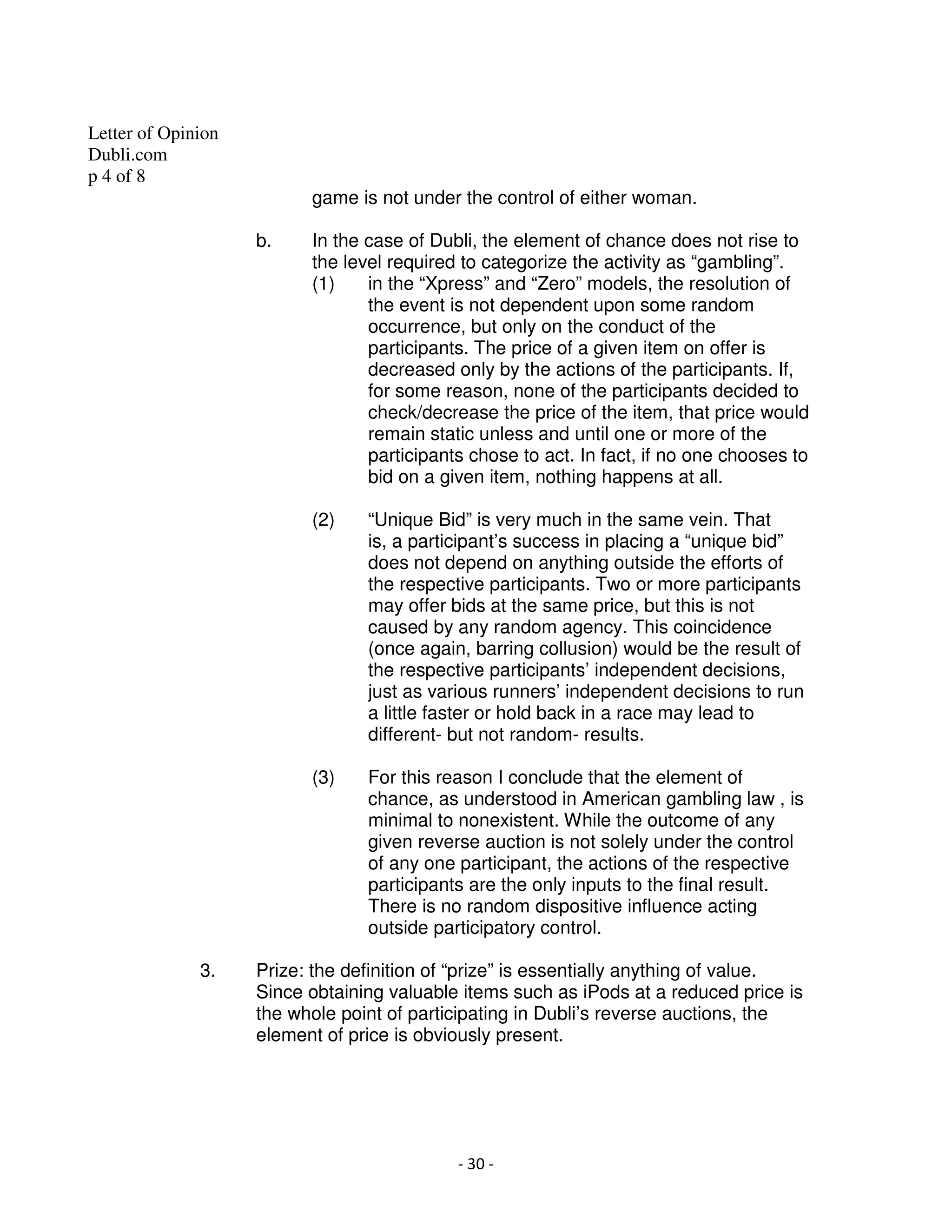
                          game is not under the control of either woman.

                    b.    In the case of Dubli, the element of chance does not rise to
                          the level required to categorize the activity as “gambling”.
                          (1)    in the “Xpress” and “Zero” models, the resolution of
                                 the event is not dependent upon some random
                                 occurrence, but only on the conduct of the
                                 participants. The price of a given item on offer is
                                 decreased only by the actions of the participants. If,
                                 for some reason, none of the participants decided to
                                 check/decrease the price of the item, that price would
                                 remain static unless and until one or more of the
                                 participants chose to act. In fact, if no one chooses to
                                 bid on a given item, nothing happens at all.

                          (2)    “Unique Bid” is very much in the same vein. That
                                 is, a participant’s success in placing a “unique bid”
                                 does not depend on anything outside the efforts of
                                 the respective participants. Two or more participants
                                 may offer bids at the same price, but this is not
                                 caused by any random agency. This coincidence
                                 (once again, barring collusion) would be the result of
                                 the respective participants’ independent decisions,
                                 just as various runners’ independent decisions to run
                                 a little faster or hold back in a race may lead to
                                 different- but not random- results.

                          (3)    For this reason I conclude that the element of
                                 chance, as understood in American gambling law , is
                                 minimal to nonexistent. While the outcome of any
                                 given reverse auction is not solely under the control
                                 of any one participant, the actions of the respective
                                 participants are the only inputs to the final result.
                                 There is no random dispositive influence acting
                                 outside participatory control.

              3.    Prize: the definition of “prize” is essentially anything of value.
                    Since obtaining valuable items such as iPods at a reduced price is
                    the whole point of participating in Dubli’s reverse auctions, the
                    element of price is obviously present.




                                            - 30 -
Letter of Opinion
Dubli.com
p 5 of 8

              4.    I conclude that since the element of chance, as understood in
                    gambling law, is not present in the Dubli auctions, these auctions
                    cannot be considered either games of chance or lotteries.

       B.     U.S. State Laws :

              1.    Gambling : Once we have established that Dubli is not a lottery,
                    the gambling laws of most states are not longer a worry. But not all
                    states: even playing games of skill online may be illegal in Illinois
                    and Iowa (720 ILCS 5-28-1(a) 12 and ISC 725.5, respectively). In
                    addition, eight states outlaw Internet gambling ( except , of course,
                    what they themselves choose to license). They would have to
                    stretch a point to call Dubli an Internet game of chance; further,
                    there is no indication of any particular benefit in doing so. [Note:
                    the text of each State law cited in this discussion is provided in
                    APPENDIX A.] Most importantly, since the reverse auction is
                    neither a sporting contest, a lottery, nor a game of chance, I
                    conclude that Dubli has nothing to fear from state gambling laws

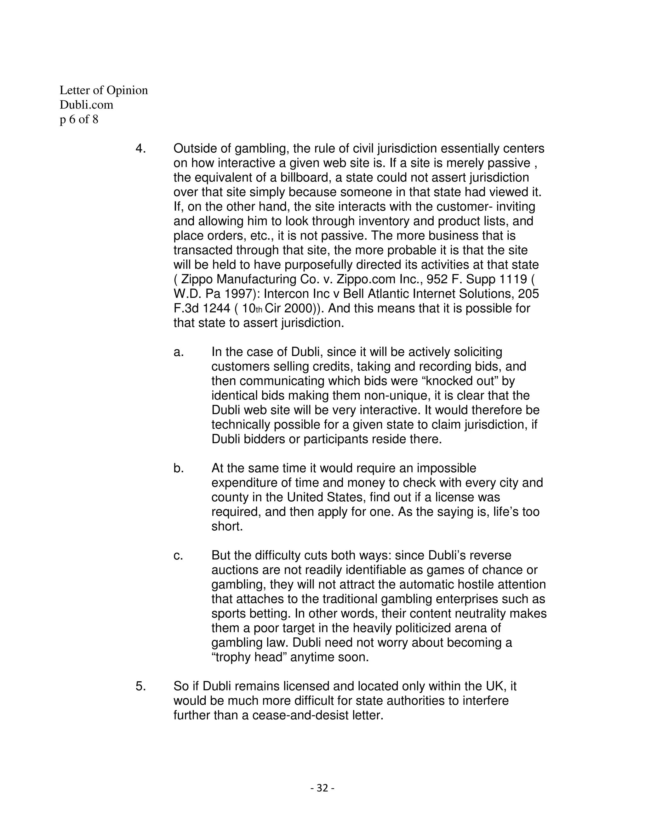
              2.    Need for an identified auctioneer ? At least twenty-eight states,
                    however, require a license for an auction to be conducted.[ See
                    TABLE I]. Some require it at state level, some at county or city
                    level; others differentiate by what is being sold ( real estate, autos,
                    livestock). Some require large bonds to be posted and personal
                    background checks to be conducted as well. While the purpose
                    behind these laws is clear enough, the prevention of fraud, in many
                    states this has become a means to restrict competition and protect
                    the “home market” from other auctions and auctioneers.

              3.    Is it conceivable that Dubli might be subject to an injunction or
                    lawsuit for conducting auctions without a license issued by the
                    state or municipality where a certain bidder lives? This brings us to
                    the question of jurisdiction and the Internet. Does the transaction
                    take place where the bidder is, and therefore, under the jurisdiction
                    of the bidder’s home state? Or does it take place at the server of
                    the Internet establishment? There is no American law, as far as
                    gambling, which states this, and the case precedent is sparse and
                    unsatisfactory.




                                             - 31 -
Letter of Opinion
Dubli.com
p 6 of 8

              4.    Outside of gambling, the rule of civil jurisdiction essentially centers
                    on how interactive a given web site is. If a site is merely passive ,
                    the equivalent of a billboard, a state could not assert jurisdiction
                    over that site simply because someone in that state had viewed it.
                    If, on the other hand, the site interacts with the customer- inviting
                    and allowing him to look through inventory and product lists, and
                    place orders, etc., it is not passive. The more business that is
                    transacted through that site, the more probable it is that the site
                    will be held to have purposefully directed its activities at that state
                    ( Zippo Manufacturing Co. v. Zippo.com Inc., 952 F. Supp 1119 (
                    W.D. Pa 1997): Intercon Inc v Bell Atlantic Internet Solutions, 205
                    F.3d 1244 ( 10th Cir 2000)). And this means that it is possible for
                    that state to assert jurisdiction.

                    a.     In the case of Dubli, since it will be actively soliciting
                           customers selling credits, taking and recording bids, and
                           then communicating which bids were “knocked out” by
                           identical bids making them non-unique, it is clear that the
                           Dubli web site will be very interactive. It would therefore be
                           technically possible for a given state to claim jurisdiction, if
                           Dubli bidders or participants reside there.

                    b.     At the same time it would require an impossible
                           expenditure of time and money to check with every city and
                           county in the United States, find out if a license was
                           required, and then apply for one. As the saying is, life’s too
                           short.

                    c.     But the difficulty cuts both ways: since Dubli’s reverse
                           auctions are not readily identifiable as games of chance or
                           gambling, they will not attract the automatic hostile attention
                           that attaches to the traditional gambling enterprises such as
                           sports betting. In other words, their content neutrality makes
                           them a poor target in the heavily politicized arena of
                           gambling law. Dubli need not worry about becoming a
                           “trophy head” anytime soon.

              5.    So if Dubli remains licensed and located only within the UK, it
                    would be much more difficult for state authorities to interfere
                    further than a cease-and-desist letter.




                                              - 32 -
Letter of Opinion
Dubli.com
p 7 of 8

              6.     And Dubli, located abroad, might consider handling its
                     marketing and distribution programs through an independent
                     contractor in the USA- and any other countries where this difficulty
                     might arise.

              7.     At the same time the prestige and reassurance of a licensed
                     auctioneer might be very useful for de-fusing potential resentments
                     in advance. There is National Auctioneers association that also
                     has branches in Canada and South Africa, and they already
                     conduct auctions online. Perhaps it would save time and effort to
                     consult them about using their services, or at least displaying their
                     logo.

       C.     Federal law

              1.     Gambling laws : generally speaking, U.S. Federal anti-gambling
                     laws are activated when state gambling laws are broken. Since we
                     have established that state gambling violations are not on the
                     cards, Dubli therefore need not be concerned about violating U.S.
                     Federal gambling law.

              2.     Auctions: Auctions, as a form of sale, are governed by at the state
                     level by commerce laws. Those auctions which allow bids across
                     state lines come under the Federal Trade Commission, which is
                     mainly concerned that the advertising for such auctions is truthful,
                     and that the items sold correspond to their descriptions. Those
                     conditions being satisfied, there is little further cause for concern.
                     There is no such thing as a national auction license.

II.    Conclusion and Recommendations

       A.     Dubli’s reverse auctions are obviously not gambling games, and do not
              constitute a game of chance nor a lottery as far as the terms are defined
              in American state and Federal law.

       B.     The only potential legal problems ( outside of tax issues) I can foresee
              would be centered on the issue of local auction licensing. Clearly it is
              not realistic to attempt to obtain licenses in every state, town, county or




                                               - 33 -
Letter of Opinion
Dubli.com
p 8 of 8

              city in the USA that might require them.

       C.     The best strategy would be to limit possible exposure to jurisdiction
              claims by
              1. working through third parties and contractors as much as
              practicable;
              2. ensuring that the terms and conditions specify
                     a.     the participant’s sole responsibility for complying with local
                            laws, and
                     b.     UK jurisdiction or arbitration in the event of dispute

       D.     It might also be possible to use, or gain the approval of, professional
              auctioneers societies in the USA.

       E.     Finally, there is the matter of “ image”: since gambling is supposed to be
              a social harm, associating with socially desirable goals is very good
              preventive medicine. Dubli’s charity-only auction is a very good example
              of this, and this should be a continuing standard practice, expanded
              where practicable.

This letter of opinion is based upon my best understanding of applicable law and on
information supplied by Mr. Kusche.




                                                                Martin D. Owens, Jr.
                                                                Attorney at Law




                                               - 34 -

Dubli Pdf Booklet

  • 1.
    DubLi is settingup a huge online Shopping Portal like Ebay, Amazon, Google, & Yahoo. You can be part of it and benefit financially by getting involved at this early stage and sharing it with others. DubLi was launched in Europe in 2006 and in the United States on 4th October 2008. They intend to launch the ‘Reverse Auctions’ here in Australia in October 2009. We are currently in the pre-launch phase. In the prelaunch phase of the overall DubLi business plan we establish Dubli Network whose overall goal is to market DubLi.com, an exciting and recognized global auction house. It is a ‘Reverse Auction’ in which the prices go down, not up!! Every time someone uses an 80 cent credit at the auction to view the current price of a sale item, the cost of the item decreases by a further 25 cents. The other 55 cents is paid in commissions to the DubLi Network. Buyers get access to lots of new very popular brand-name products at the absolute lowest prices. The ‘Reverse Auctions’ are very exciting and so the Dubli.com members/customers bring in other members. In Europe they have 85 customers for every Dubli Network Business Associate(BA). DubLi’s growth in Europe has already exceeded that of eBay's when it was originally introduced. (You will see on the DVD just how exciting the Reverse Auctions are.) Stage 1 ESTABLISHMENT OF DUBLI NETWORK Become a Dubli Network BA $175 and Purchase Credits at a discount. Stage 2 COMMENCEMENT OF Bronze Package $575 DUBLI.COM REVERSE AUCTIONS Total Investment US$750 1.Share Business 2.Give/sell credits to Customers become members of Opportunity with customers to use at Credits DubLi.com for free and use credits at the others. the Auctions. Reverse Auctions. THREE INCOME STREAMS FOR BAs IN DUBLI NETWORK Dubli.com members/customers purchase more credits and tell other 1.Bonuses 2.Customers Credits people about the Auctions and they also on Credits purchase more Income purchase credits. purchased by Credits from Business other BAs who join Associates Stage 3 OPEN THE SHOPPING PORTAL downline from them in DubLi Dubli.com members shop at DubLi 3. Customers Network. Income Online Shopping Mall and a percentage make purchases at of the commissions goes to DubLi Online Shopping Mall. Network BA who introduced them. -1-
  • 2.
    Rather than spendmany millions to promote their site, DubLi chose to employ the efforts of Business Associates who develop DubLi's initial customer base. Thereafter, DubLi shoppers are rewarded by DubLi to recommend DubLi to others. This is the key to DubLi's viral expansion, and that of all other online shopping sites. Customers create new customers through recommendation. In Europe there are now on average 85 Customers per Business Associate. Jim Pare joined DubLi in the United States in mid December 2008. Not only did he make $99,000 in his fourth month, he has had : Over 200 people make over $3,000-$6,000 in their first month, 14 People make between $9,800 -$15,000 in their first month. 12 People make between $20,000 - $30,000 in their second month. That is the power of the internet!!!!!! No Open Opportunity Meetings, No Seminars, No motivational materials, No in-home meetings, No driving long distances. A true internet based business conducted from your phone and your computer!!!!! You do it when it suits you. On the DVD you will see that other people have made much greater amounts of income than Jim Pare has made. DubLi's rapid acceptance and growth is due to the way it works. DubLi is a reverse-auction site. Unlike eBay and other auction sites where the price of an item goes UP until time expires or someone buys the product, on Dubli the price goes DOWN every time someone clicks on that item until, at some point, someone buys the item. Inexpensive Credits are used to "view" the current auction price of an item. A Credit costs 80cents. A portion, 25 cents, is used to reduce the items price every time it is viewed by a shopper. When the item is finally purchased, the buyer pays the low auction price (as low as 10-25% of the items retail price) and DubLi makes up the difference in 25 cent click fees. The buyer gets a new item at a very low price and the supplier receives full price for their item. Guess what happens to the rest of the 80 cents paid for the Credit? It goes to the network of Business Associates who purchased the Credits initially. Business Associates receive a number of "Credits" in exchange for their fees. When the DubLi auctions open Business Associates will give some of their Credits to friends and relatives as a means of inviting them to visit DubLi and participate in one of their three ongoing auctions. When they do, they become the customer of and linked to the Business Associate who gave them the original invitation and Credits. Thereafter, whenever the customer purchases more credits the Business Associate who introduced them will make a profit on the Credits purchased. Anyone the customer recommends also becomes the customer of the DubLi Associate, and so on. DubLi recognized early on that shoppers are created through the recommendation of other shoppers. Spamming is never permitted. Only the time- trusted word-of-mouth and passive advertising methods are allowed. -2-
  • 3.
    Today, virtually everyonline shopper, especially the 100+ million people registered to eBay, Amazon, and other online shopping sites are all future DubLi shoppers. The Associates who get in early and share the information with others are obviously destined for overwhelming success. Today, this is relatively easy to accomplish. The time to secure your future is now, not tomorrow. Every day, your opportunity for success is reduced slightly by others who have already become Dubli Business Associates. The DVD contains a huge amount of information and examples of exactly how the Reverse Auctions will operate, the success that has already been achieved overseas, and helps us to realize the potential of just what we have in our hands. Watching the DVD presentations will answer a lot of questions and will make the other information more understandable. The DVD also explains clearly the phase we are in here in Australia at the moment, the basic ‘How to’s’ of making a lot of money with DubLi, how in the end vast amounts of the ongoing income you will be receiving will be coming from DubLi customers who will not even know there is a Network business behind the very exciting ‘DubLi Reverse Auctions’ and the ‘DubLi Shopping Portal’. This DVD is well worth watching as it is very difficult for most people to grasp the concept in its entirety by just reading the notes. The DVD will help you to understand why this is so exciting for so many customers and why it has expanded virally so rapidly in Europe and the US. There is a special section on the DVD regarding ‘Benefits to Customers’ of participating in the Reverse Auctions. One problem some people have when after watching the DVD and reading the material is that to them it just seems ‘too good to be true’. If you wish to check it out further go to www.smartwinshop.com and also www.duba2z.com and read the material and watch the Videos. How is DubLi doing in the United States? Since its US launch on October 4th, 2008, DubLi US has far exceeded the growth of its European counterpart. In fact, DubLi US had its first 100,000 registered customers by November 15th, little over a month after launch. In comparison, it took Europe six months to achieve the same goal. As of February 2009, just over 3,500 individuals and small companies had become DubLi Business Associates. By August 2009 it is anticipated there will be over 50,000 Business Associates and 5 to 6 million shoppers in the United States. How is DubLi doing in Australia? We only started sharing the concept with people here in Australia on the 11th May 2009. Already we have had over 100 people become Business Associates in the first 3 weeks and one of our downline Business Associates has already made over $5,000 in their first 17 days!!!! We anticipate that the business will grow much quicker here in Australia than it has in the United States because we have the US experience to help people to understand just what can happen. -3-
  • 4.
    Rewards There are manybenefits to joining DubLi as a Business Associate, not the least of which is the peace of mind it brings to be part of something explosive and rewarding at the same time. We are each assuring our futures by becoming a DubLi Business Associate early on. It's just like entering an apple orchard on the first day when we can take all the low hanging fruit we can carry out. Later in the month only scraps and the high-up, hard-to-get fruit will be left to those who came late. The key to your success is timing. The sooner you become a DubLi Business Associate the greater your chances are of substantial success. You don't have to be a genius to become wealthy. You only need to act now before others have captured the majority of future DubLi shoppers. We will guide you and your team every step of the way. We all succeed together. You can join the DubLi Network at one of three levels, depending upon the level at which you want to participate. To earn 10% commission on your sale of ‘Credits’ to customers, you start with a Bronze package at US$575; to earn 15% commission, you start with a Silver package at US$1,350; and to earn 25% commission, you start with a Gold package at US$2,995. All associates also pay an annual support fee of US$175. Special Promotion for June, July & August. There is a special promotion running currently. If you join as a Bronze or above and introduce 5 other Business Associates who also join as a Bronze or above in the calendar month of June, July and or August as a Team member or Team Leader you will qualify for an additional $800 bonus. We suggest people join at the Bronze Level. You will then have 30 days from your original join date to upgrade from one level to another. By upgrading to Gold within the first 30 days of joining you will be eligible to receive 50% extra in bonuses. Over 80% of all US members are Gold members. (See page 9 for full details.) Regardless of the level you choose, DO IT NOW while you have the opportunity to retire. You can wait -- and of course, DubLi will still be here if you do -- but the window of opportunity to acquire lots and lots of Business Associates and hence customers quickly, on a leveraged basis (instead of one-at- a-time), will be getting smaller and smaller as the associate base and the customer base grows. So the best opportunity is NOW. If you are at all interested in the concept and income potential I strongly suggest that you watch the DVD. Most of us got even more excited about the potential after watching the DVD a few times. Because DubLi brings together a number of new concepts many of us found that we had to go through the material a number of times and to have our questions answered before understanding it completely. DUBLI IS VERY EXCITING! CHECK IT OUT! IT IS WORTH EXAMINING SERIOUSLY! -4-
  • 5.
    WATCH THE DVD. As they say ‘You will be glad you did!’ The DVD and this booklet have been designed to be used together so that you will obtain a clear understanding of the business and the phenomenal income potential that you have in your hands. The DVD has five sections on it. 1. Jim Pare’s ‘Introduction to DubLi.’ 2. ‘See it Big, Keep it Simple, Finish Well’ with Trevor Farmer and Trevor Chatham. 3. Compensation Plan Overview – Simplified Version 4. Customer Benefits of participating in the ‘Reverse Auctions’ with Tom Ashlock. 5. Numbers involved and Income figures from both Europe & US with Tom Ashlock. Other Sections in this booklet cover : Page 1. Compensation Plan & 100% Return On Investment. 6 2. Frequently Asked Questions 11 3. The ‘Google of Shopping.’ 14 4. MediaNet Technologies Partnership with DubLi. 19 5. Response to Negative Press 21 6. Attorneys Opinion on DubLi and Gambling 27 7. Team Coordinator Focus Board 35 8. Sales Director Focus Board. 36 Many of us have found it very beneficial to watch the Video presentations a number of times. Both Jim and Tom speak fairly quickly and present a huge amount of valuable information. If you have further questions contact the person below who shared this opportunity with you. Contact Details: Name : ____________________________________________________________________________ Phone : ____________________________________________________________________________ Email :_____________________________________________________________________________ To Join DubLi go to : www.dublinetwork.com/_______________________(Your BA Number) Click on ‘Join DubLi’ and follow the prompts. When you Join DubLi you will receive an email with your email address and pass code on it. Use this to access your virtual office, click on ‘Organization’ and you will see your BA/ID Number. When you join DubLi you will have two personalized websites created for you. 1. www.dubli.com/your BA Number with which you access the Auctions personally and it is also the site to which you will send your customers to bid at the auctions. 2. www.dublinetwork.com/your BA Number is the access to your DubLi Network business building site. This site has full details of your organization, commissions earned etc, etc. -5-
  • 6.
    DubLi Compensation Plan– Simplified Overview. Join DubLi & become a Business Associate (BA) for US$175. As a Business Associate there are two ways to make income. 1. By buying Credits at wholesale and selling at retail to Customers. 2. Commissions earned by introducing other BAs who introduce other BAs who introduce other BAs who all purchase Credit Packages to supply to customers to use at the Reverse Auctions. 1. Wholesale/Retail Profit. Less than 800 Credits at a time 76 cents each (at a 5% Discount) Bronze Package 800 Credits US$575 72 cents each (at a 10% Discount) Silver Package 2,000 Credits US$1,350 67.5 cents each (at a 15% Discount) Gold Package 5,000 Credits US$2,995 60 cents each (at a 25% Discount) Customers purchase Credits at Retail (80 cents each) from Business Associates to use at the Auctions and the BAs profit is the difference between his discounted purchase price and the retail price.. 2. Commissions on Credit Packages purchased by down-line Business Associates. The Commission percentage you will receive is dependent on your Rank in DubLi. The ranks are Team Member, Team Leader, Team Coordinator, Sales Director and Vice President. A Business Associate must purchase at least a Bronze Package to be eligible for Commissions. Commission % Become a Team Member by purchasing a Bronze, Silver or Gold package of credits and earn 5% Become a Team Leader by having at least 3 personally sponsored Team Members and earn 10% Become a Team Coordinator by having at least 3 personally sponsored Team Leaders and earn 15% Become a Sales Director by having at least 3 personally sponsored Team Coordinators and earn 20% Become a Vice President by having at least 5 legs that have a Sales Director in them and earn 25% There is no limit to the number of people you can introduce personally. The more you introduce the more money you will make. The Commission % that a BA receives is dependent on the number of people he has introduced, the number they have introduced, and on the Structure of the organization that has been built. -6-
  • 7.
    To achieve theVice Presidential level the minimum that would be required is: You Sponsor 5 (Sales Directors 5) Who each sponsor 3 (Team Coordinators 15) Who each sponsor 3 (Team Leaders 45) Who each sponsor 3 (Team Members 135) TOTAL 200 It is that simple. You have 5 Teams you are building who each sponsor 3 who sponsor 3 who sponsor 3. It has been said before “Three, Three, Three and you will be Free, Free, Free !!!” The Commissions paid to Business Associates are as follows; 1. You must be a Team Member with at least a Bronze Package to be eligible for Commissions on Credit Package purchases made by people downline. 2. There are 5 lots of 5% paid up-line on each Credit Package purchased. 5% to the 1st upline Team Member or above. (TM Bonus) 5% to the 1st upline Team Leader or above. (TL Bonus) 5% to the 1st upline Team Coordinator or above. (TC Bonus) 5% to the 1st upline Sales Director or above. (SD Bonus) 5% to the 1st upline Vice President. (VP Bonus) Example 1. You are a Team Member and you introduce a Team Member who purchases a Bronze package of Credits $575. You would receive TM Bonus 5% of $575 = $28.75. Example 2. You are a Team Leader (because you have introduced at least 3 Team Members) and you introduce a Team Member who purchases a Bronze package of Credits $575. You would receive TM Bonus 5% of $575 = $28.75. Plus TL Bonus 5% of $575 = $28.75 Total : 10% of $575 =$57.50 -7-
  • 8.
    Example 3. Team Coordinator receives 5% TC Bonus Team Leader One receives 0 Team Leader Two receives 5% TL Bonus Team Member receives 5% TM Bonus New Team Member purchases a Credit Package In this example Team Leader One does not receive a commission payment because he is not the first upline Team Leader, Team Leader Two is the first upline Team Leader. 100% ROI (Return on Investment) It is possible to earn Commissions equivalent to your initial investment in the credit package you purchased by simply : You Sponsor 5 Who each sponsor 3 And everybody in your business buys the same ‘Credit Package’ that you do. That is it!!!!!! After that all extra income you receive will be profit!!!!!! (For Full details of the DubLi Compensation Plan go to http://www.dublinetwork.com/1- 37/compensation_plan ) Due to the additional Bonuses that have been announced we recommend that people get in at the Bronze level and then upgrade to Gold within 30 days of joining to receive an extra 50- 70% in Commissions. -8-
  • 9.
    DubLi Network’s New-SensationalQuarterly Leadership Bonus goes live on Monday May 11th 8am US EST/ Announcing DubLi Network’s New-Sensational Quarterly Leadership Bonus Invest in yourself and in your business by buying a Gold Package in this once in a lifetime offer. Here’s your opportunity to get paid the most for your efforts and be rewarded with a special leadership bonus that is available to only those who purchase a Gold Package. The Benefits of purchasing a Gold Package are: 1) Your title cannot be downgraded for 12 months; as long as you retain the personal customer count for your title 2) The Product Package you purchase determines your earning potential in the Shopping Mall and all other earning programs launched at DubLi for the next 12 months. The Gold Package ensures you the highest earnings possible on all programs. As a Team Leader, a Team Coordinator, a Sales Director or a Vice President; the Leadership Commissions on the Shopping Mall will be an additional 15% on top of the basic 10%. Your commission will be 25% on the Shopping Mall. 3) This package entitles you to two (2) half price tickets to all DubLi corporate events for 12 months. 4) It is the first step to participate and qualifying to earn a Quarterly Leadership Bonus What is the Quarterly Leadership Bonus? Earning Potential: Earn 50% additional bonus on all Product Packages sold in your organization once a quarter. Earning Periods: 2nd Quarter April 1st to June 30th 3rd Quarter July 1st to September 30th 4th Quarter October 1st to December 31st And so on….. Qualify by: 1.) Personally Purchase a Gold Product Package when you join DubLi Network or within the first 30 days of your membership 2.) Title as a Team Leader, Team Coordinator, Sales Director, Vice President 3.) Personally sponsor a minimum of 3 new frontline BA’s a quarter and… 4.) The new Frontline BA’s purchase a total accumulated minimum of $6,500/5000€ in ‘Credits’ within the quarter where you qualify. Example: You have earned $20,000/15000€ on total organizational Product Packages Your Leadership Bonus would be an additional $10,000.00/7500€! DubLi does business all over the world. Since our corporate offices are in Berlin, Germany, the end of the month for business qualification is at midnight in Berlin. -9-
  • 10.
    Winter Bonus Programs(Australia) st Team members/Team Leader Bonus Program from April 1st to August 31 . Team Coordinator/Sales Director/Vice President Leadership Bonus Program from April 1st to August 31st........ Team Members and Team Leaders Time Period: April 1st to August 31st Bonus Program Details: • In any single month during this period; June, July and August • Sponsor 5 new BA’s who purchase a bronze, silver, or gold product package • Earn $800/600€ • You can earn as many multiples of 5 as you wish as long as they are in a single calendar month. Team Coordinators, Sales Directors, and Vice Presidents Time Period: April 1st to August 31st Leadership Bonus Details: • Help your team to build their organization, expand their customer base, and teach them to do the same. • Earn 20% EXTRA bonus on your organizations total income - 10 -
  • 11.
    FREQUENTLY ASKED QUESTIONS Tosee all of the FAQs go to www.dublinetwork.com and click on ‘FAQ and Contacts’. There is also a lot of other information that can be obtained regarding DubLi at the above site. What credit cards does DubLi Network accept? At the moment you can pay with Visa and Mastercard. How do I Order extra DVD’s re Australian Launch? You can Order DVD’s from Libby Tuesday to Thursday during normal office hours : Phone 03 5441 2399 Fax 03 5441 2834 Email fsiorders@bigpond.com In which countries can I sign up Customers? Currently, you can sign up people all over the EU, North America, Canada, Mexico, Puerto Rico and Hawaii. Other countries will become available as DubLi.com expands internationally. Please refer to the “shipping costs” in your members area on DubLi.com. (Member States of EU : Austria, Belgium, Bulgaria, Cyprus, Czech Republic, Denmark, Estonia, Finland, France, Germany, Greece, Hungary, Ireland, Italy, Latvia, Lithuanian, Luxembourg, Malta, Netherlands, Poland, Portugal, Romania, Slovakia, Slovenia, Spain, Sweden, United Kingdom. How do I sign up customers? Also to ensure a customer is attached to your BA number, be sure to use one of these four contact methods from your DubLi.com/your BA Number site. 1) tell a friend function 3) send a voucher function 4) recommend a product Or send them your BA link---www.DubLi.com/your BA number Can I send my EU customers credits from my US DubLi.com site? Yes, your European customers can use your US credits. Where can I see my customers? You can see all of your customers in your back office at DubLi Network. You can also see your personal customers in the member’s area in the “send a voucher” section. Where can I view commissions I have earned? To review your commissions login to your back office at DubLi Network . Click on the “earnings" button for full disclosure. When are my commissions calculated? Commissions are calculated on the 15 of the month, following the previous month of work. For example if you earn $1000.00 between December 1st and December 31st your commissions will be processed on the 15th of January. - 11 -
  • 12.
    When does themonth end? The month ends at midnight Berlin time on the last day of the month. Does the package I purchase affect what I earn? Yes the package you purchase does affect your personal customer commissions. Each package has a discount: Bronze 10%, Silver 15%, and Gold 25%. When you sell credits to a customer you earn the difference real time in the earnings area. You are not obligated to keep the same package that you purchased at the time you registered. You can choose any package that you desire. There are also special promotions and Bonuses available to people who purchase a Gold package within the first 30 days of joining DubLi. You can qualify for up to 50% extra in Bonuses. See page 9 of this booklet for full details. How does my title affect my earnings? Your title affects the commission earned when you personally sign up BA’s and the organizational overrides earned on other team member's personal customers, their personal BA’s, and the customers in Partner Programs. How is my earning status determined? Your personal customer commissions are determined by the package you purchase. Your personally sponsored BA's and organizational override commissions on your team's BA's, Partners, and customers are determined by your title. Am I paid a commission when a personally sponsored BA sells their “Credits” to new and existing customers? No you are not paid a commission when your personally sponsored BA resells their “Credits”. You were already paid on these “Credits” when your BA purchased their “Credit” package at time of registration. Why can’t I see my Credits on the DubLi.com platform? Please login to your DubLi.com site to see your credits. How do I move customers from the EU portal to the US portal? You cannot move customers from one portal to another. The customers have signed up in the portal of their choice. If a customer wants to have an account on both portals, the customer can simply register at both portals. The customer can even use the same e-mail address at both portals, and perhaps even the same username, if not already in use. My customer didn’t get an activation mail from DubLi.com. What does the customer do now? First, we suggest that the customer check their Spam mail box. The activation mail contains a link and some providers consider the activation mail Spam. If the mail is not there please have the customer create a ticket for customer service requesting their account be activated. We will activate it and send them a password. What is a "qualified" customer? A qualified customer is a registered customer who has purchased at least 10 Credit in the past 12 months. - 12 -
  • 13.
    If one ofmy customers wants to become a BA, are they mine? Yes, when they upgrade to a BA they become one of your personally sponsored BA’s. Are there any requirements that have to be fulfilled in order for me to keep my status/title? You are required to maintain a certain number of active customers to keep your status/title in the DubLi Network. The customer requirements are described in detail in the Commission Plans. What is an active customer? An active customer is one who has purchased a minimum of 10 Credits in a 12 month period. Does the package I purchase affect what I earn? Yes the package you purchase does affect your personal customer commissions. Each package has a discount: Bronze 10%, Silver 15%, and Gold 25%. When you sell credits to a customer you earn the difference real time in the earnings area. You are not obligated to keep the same package that you purchased at the time you registered. You can choose any package that you desire. What is the Ticketing System? The ticketing system is the tracking system used by customer service to answer your questions. Is there a way to find out answers to my questions before submitting a ticket? Many of the answers for your questions can be found in the Knowledge Base/FAQ. You will directed here as the first step to do before you create a ticket to customer service. How do I access the Shopping Mall? To access the shopping mall login to DubLi.com and click on the Shopping Mall Tab at the top of the page. Do I have to login to access my Shopping Mall? Once you have logged into DubLi.com you are automatically logged into your Shopping Mall portal. Why is it necessary to register at the individual shops in the mall? When you purchase an item at a particular shop, the shop is responsible for completing the order and doing the shipping. If there are any questions about your order they have to have a way to communicate with you directly without having to go through DubLi How long does it take me to get the products I purchase on the Shopping Mall? Each store is responsible for their own shipping method. Check with them to see how they ship their merchandise. Is there any charge to me to earn commissions on the Shopping Mall? No there is no charge to you. Do I earn commissions on my personal purchases in the Shopping Mall? Yes you earn commissions on your personal purchases. - 13 -
  • 14.
    The “Google ofShopping”? This page assumes you have previously watched a webcast. DubLi is a privately-held company, so any data they share is voluntary. Furthermore, releasing data may only harm their growth, by alerting competition to their success. CUSTOMER & REP NUMBERS Below we have included documented data from active DubLi websites, with links, which provide the EU customer count and then we project the USA numbers. Of course, if DubLi put up fraudulent info and it was discovered, they'd be liable and worse, their company would fail as people found out they couldn't trust the people running the company. Plus, their contracts with major name-brand companies, such as Yahoo, Apple, Sony, etc., most likely depend upon accurate reporting of customer traffic. So for several reasons, we're confident in the numbers being posted. • EU Customer Count: At the company's site, Official Customer Count, originally posted on Oct. 19, 2008, you can see "In Europe, the customer base to associate base is 85 to 1." Also, at http://www.dublinetwork.com/1-22/e-conomy_booming, just posted April 1, 2009, the second-to-last paragraph says, "DubLi.com’s select test market in Europe saw 2.3 million customers come in just eight months." • EU Rep Count: Without much effort, you can then figure out there are about 27,000 reps in Europe (2.3 mil. divided by 85). The company announced way back on Oct. 17, 2007, that they had surpassed 10,000 reps, so to triple that to nearly 30,000 18 months later is very likely. • USA Rep Count: Slides from Tom Ashlock's back office, of which I have screen shots, from June 2008 to March 2009, show growth to approx. 4000 reps. Tom had anywhere from 80 to 90% of the whole country under him, so our current count should be a little over 5000 here in April. With compounding and a little experience watching networking companies grow, we expect that to number in the tens of thousands by year's end. • USA Customer Count: 0! Well, we have a little trickle, maybe tens of thousands, but in May 2009 we begin flooding the market with credits to attract customers. For perspective, eBay started in 1995, grew to 2.1 million customers by 1998 (3+ years), then exploded to 42 million customers by 2001. That's 2.1 million to 42 million in 3 years! We expect DubLi to grow just as fast. - 14 -
  • 15.
    WHY WOULD ANYONEPAY TO SEE A PRICETAG? • Do you use a Shopping Search Engine? If so: 1. Find your lowest price. 2. Did you save $10 to $20? 3. Is the item offered in a Dubli auction? 4. Is it worth 80cents (80cents for a DubLi credit) to see if you can save another 20%, 30% or more? • Costco: Started in 1983; by the end of 1989, its sixth year: “Costco became the first company ever to grow from zero to $3 billion in sales in less than six years.” Today, CostCo has: 50+ Million customers, $64 Billion total sales annually. “$50 annual membership fee includes one household card”: $50 x 50 million customers = $2.5 billion, before anyone buys anything in the store! DUBLI'S COMPETITIVE ADVANTAGE • Find anything you can buy online, faster • Fun, entertaining shopping • 50% to 100% off potentially savings on new items! • Free credits for referrals! Never buy online without checking for potential savings at DubLi.com! CORPORATE INFO • Revenue: No data is available. • Financial backing: Active Capital Partner Ltd. (Financing) • Business Registration: DubLi.com LLC (Holding), 702 West Street, Wilmington, DE 19801, Registration no.: 4153725 PRESS • MarketWatch.com: "MediaNet Group Technologies, Inc., operating the largest online mall and affinity program platform through its BSP Rewards subsidiary, today announced that it has further expanded its client base with the implementation of a new partnership with DubLi, an international e-Commerce auction site and direct sales marketer." • JordinSparkesCharities.com: DubLi.com partnered with Jordin Sparks, winner of the American Idol competition at 17, for DubLi’s first every charity auction in December of - 15 -
  • 16.
    2008. The Uniquebid auction ran from December 1st to December 26th. Over 2,000 customers participated; netting $2,000.00. DubLi contributed 100% of the credits spent, 100% of the proceeds, and added an additional $3,000 to create a donation of $5,000.00 to Spark’s Charities. The check was given to Jordin Sparks by CEO Michael Hansen in Phoenix, Arizona in January of 2009." http://www.dublinetwork.com/1- 18/news • DubLi Inside Magazine (pdf) WEB TRAFFIC You won't find any reliable traffic data from Alexa.com, since most people are visiting rep websites, not the actual www.dubli.com site, and Alexa can't add up total traffic to affiliate sites (we checked this before we joined DubLi). Even so, the Alexa traffic numbers for DubLi are growing rapidly, up 21% in the first quarter of 2009. NEW NETWORKING HYBRID MODEL • No Weekly Hotel Meetings • No monthly orders or autoships • No monthly quotas • No other expenses, fees, charges LEGAL • Independent Attorney's Opinion On DubLi and Gaming Laws (pdf) • Response-to-Negative-Press (pdf) WHAT'S THE RISK? A pragmatic approach to consider your risk: if you spend $800 (or $3200 if you're bold) to join DubLi, what do you get for your money? For $800, you get 800 credits, which can be used to shop and get many things of value. If you don't like the business, simply use your credits and you may break even or come out ahead, but you're really not exposing yourself to anywhere near 100% loss. The DubLi North America Leadership Team Dean Mannheimer, Phoenix, AZ, DubLi USA Vice President and Master Franchiser, first DubLi USA Rep. “In 28 plus years of being in the direct selling/Network Marketing system this is the first new business model we have seen. To find a model that is consumer-driven, not associate-driven, is a first. To be in a business that can generate true residual income because it actually has a retail customer component is what we have looked for our entire career. Plus, the ability to earn as - 16 -
  • 17.
    much money aswe have in as short a time as we have been with DubLi, dwarfing anything we have earned in the past, is remarkable. The even better news is we have just started to build the consumer base, which is where the large income stream will come from on a residual basis. DubLi is a company for the New World that is now taking shape.” Tom Ashlock, MD, Portland, OR, Founder/President of Lariat Software, started with DubLi towards the end of June, 2008, became a DubLi USA Vice President March, 2009. He owns a software company that does back office software for marketing companies, which is how he found out about DubLi. He signed in through DubLi Europe, since DubLi USA didn't launch until Oct. 4. He said, "We've done software for a lot of MLM companies, and unfortunately, we've done software for companies that have been shut down," leading to his point that he has a very good basis to know in the MLM world what will last and what won't. He also said that because of his software business, he knows what the revenues are of most MLM companies. He said he's "never seen a ratio in network marketing anywhere close to DubLi's 85 to 1 customer-to-distributor ratio." (That ratio is for Europe - the US is too new to have in place a customer base like that, but give it a few more months ...) Brad Doyle, Las Vegas, NV, CEO of Business Web Solutions, LLC (BWS), joined DubLi in Dec., 2008. The first major BWS project was the online version of Robert Kiyosaki's popular board game, Cash Flow 101. Since that time BWS has patented the most successful online game for business and sales organizations, PowerPlay Game, the patent pending iPresenter presentation software, and a web-based membership website with 3000 subscribers. BWS evolved naturally from the Technology Development Group (TDG), formed in March of 1994. Brad was the TDG co-chairman along with Amway COO Tom Eggleston, and with teams from both BWS and Amway Corporation they conceptualized and implemented the Quixtar business model. Brad is also the CEO of 212° Training, LLC, which serves as a consultant to the Direct Selling Industry. Clients include Amway/Quixtar, Univera Life Sciences, AIM International, L'Bri, Arbonne, Shaklee, Global Hot Buys!, Dale Carnegie Training, and Next Level Sales. Jim Pare, Frederick, MD, became a DubLi Rep in Dec., 2008 and became a DubLi USA Sales Director March, 2009. He has been in network marketing for 32 years and has developed worldwide marketing organizations of tens of thousands of associates and he has spent many years as a motivational speaker, teacher, trainer to audiences as large as 80,000. In less than 4 months, Jim had more than 1000 reps join his DubLi organization. John Cini, McLean, VA, joined DubLi in Dec., 2008 and became a DubLi USA Sales Director March, 2009. John spent the beginning of his career at the US Bureau of the Census, where he helped program the data collection software for the 1985 Census of Agriculture. He later setup his own website, technologydoctor.com, - 17 -
  • 18.
    which he usedto help people solve computer problems. John worked with the same network marketing company for 17 years, building a business that generated more than $20 million in revenue. He reached that company's "Millionaire's Circle" in 2002, which you can read about in the company's Sep. 2003 magazine (PDF). His story was published in the book Your First Year in Network Marketing (by Mark Yarnell, Chapter 3, Dodging the Depression Torpedo, p.75; Prima Publishing, 1998). He trained and managed hundreds of representatives during that time. John has been licensed as a real estate agent, and earned his Series 6, 63, and 65 Securities Licenses. He is a U.S. Army Veteran and Virginia Tech alum. - 18 -
  • 19.
    Apr 6, 2009,8:34 a.m. EST MediaNet Group's BSP Rewards Further Expands Network Marketing Channel To Build Private Branded Reward Malls for DubLi Auction Sites and Network Marketing Program MARGATE, FL, Apr 06, 2009 (MARKET WIRE via COMTEX) -- MediaNet Group Technologies, Inc. , operating the largest online mall and affinity program platform through its BSP Rewards subsidiary, today announced that it has further expanded its client base within the network marketing channel with the implementation of a new partnership with DubLi, an international e-Commerce auction site and direct sales marketer. BSP has built, and will launch in May, a private-branded mall as a value-added benefit for DubLi.com, a recognized global auction house. DubLi's reverse auction portal is designed for the worldwide buying and selling of brand-name products at the lowest prices. Members of DubLi will now be able to shop at over 800 national brand name merchants and earn rewards in their BSP mall. DubLi offers people around the world a unique opportunity to generate extra income through their own lucrative part-time or full-time business for which they will now being able to avail themselves of the value-added benefit from saving money by shopping in the DubLi Rewards Mall. The partnership includes BSP Rewards adding access to DubLi auctions on other existing and future private-branded malls. Martin Berns, Chief Executive Officer of BSP Rewards, stated, "Network Marketing has been a successful and productive channel for BSP thus far and we are pleased with our ability to continue to capitalize in this area with leaders in the industry. We are excited about working with our new partners at DubLi. In only a few years DubLi has grown their international customer base by adapting to what consumers want -- high quality products, a unique reverse auction concept and the ability to increase their incomes by doing something they love. We look forward to offering DubLi's customers the ability to earn while they shop and provide BSP's network of memberships the opportunity to shop through this new vehicle." Michael Hansen, Founder and President of DubLi, commented, "The new opportunity created by combining two shopping alternatives, who are both recognized leaders in their respective areas, is unparalleled. We see great potential synergies for both shopping portals to grow and diversify while strengthening their respective market positions. We were searching for an appropriate US national network of merchants that would provide our customers an opportunity to earn and save. After be introduced to BSP Rewards, we didn't have to look further." - 19 -
  • 20.
    About MediaNet GroupTechnologies, Inc.: MediaNet Group Technologies, Inc. , through its BSP Rewards division, has developed the largest online mall and affinity program platform. BSP builds, brands, and customizes proprietary loyalty/rewards/mall programs for clients and organizations and for a value-added element layered onto debit and stored value cards. Companies and organizations enroll their members into the program and BSP cross-markets them to its entire database. The Company generates product purchases from over 800 participating mall merchants including the nation's largest retailers as well as gift cards and a large discount catalog. With over 60 web malls already developed and in use, BSP Rewards currently serves more than 650,000 registered users. The Company offers affordable, immediate implementation, delivered as rich turnkey enterprise solutions for corporations interested in expanding their web presence and enhancing customer relations -- turning operational costs into profit centers. Current mall merchants include Sears, Target, Wal-Mart, Macy's, BP Oil, Office Depot, Bass Pro Shops, Best Buy, Budget and Chili's. About DubLi: DubLi Network was founded in 2003 and has its financial headquarters in Delaware, USA. DubLi network is a dynamic, growing and success-oriented marketing company. Its overall goal is to market DubLi.com, an exciting and recognized global auction house. Buyers get access to lots of brand-name products at the absolute lowest prices. At the same time, we offer people around the world a unique opportunity to generate extra income through their own lucrative part-time or full-time business. Today, DubLi Network is among the fastest growing companies within the direct sales industry in Europe and the USA. "Forward-looking statements" as defined in the Private Securities Litigation Reform Act of 1995 may be included in this news release. These statements relate to future events or our future financial performance. These statements are only predictions and may differ materially from actual future results or events. MediaNet Group Technologies, Inc. disclaims any intention or obligation to revise any forward-looking statements whether as a result of new information, future developments or otherwise. There are important risk factors that could cause actual results to differ from those contained in forward-looking statements, including, but not limited to risks associated with changes in general economic and business conditions (including in the information technology and financial information industry), actions of our competitors, the extent to which we are able to develop new services and markets for our services, the time and expense involved in such development activities, the level of demand and market acceptance of our services, changes in our business strategies, and the purchasing activity or lack thereof by registered web mall members. The number of BSP web mall members is routinely revised to reflect adjustments for inactive membership. Inactive members are defined as registered members who have not shopped in a BSP web mall for an extended period of time. Contacts: MediaNet Group Contact: Martin Berns Chief Executive Officer 954-974-5818 ext. 202 SOURCE: MediaNet Group Technologies, Inc. - 20 -
  • 21.
    RESPONSE TO NEGATIVEPRESS ( This is from www.duba2z.com website ) John Cini states : Regarding the negativity, it's amazing to me how people read something online and immediately believe it, and then want to share it like they're brilliant. How many forwarded "warning" emails do we get from people? I couldn't tell who wrote "This comes from a distinguished engineer @ IBM well versed in eCommerce," but I'm not sure how an engineer is all of sudden expert enough to know "you may actually be breaking the gambling laws." One second of common sense would suggest that if there were a risk of breaking ANY laws, a company that spent a fortune introducing a business to the USA probably had the foresight to pay attorneys to make sure they weren't breaking any laws - which DubLi did, hiring Grimes & Reese (http://www.mlmlaw.com/), a top law firm, which is explained on page 18-19 of the latest DubLi magazine (PDF at http://www.yourdubliworld.com,. In the short time I've known about DubLi, I have been repeatedly impressed by the way this company has anticipated needs and challenges, and taken action to prepare for them. That preparation includes making sure that everything the company does is legal and won't be challenged in court. Besides hiring a top law firm, here are some other things to consider to make sure the DubLi business is solid and long-term: 1. Charles King, Ph.D., Harvard-educated marketing professor at the University of Illinois at Chicago (UIC, listed under "King" and also in the Faculty Directory PDF at http://www.uic.edu/cba/Documents/Faculty_listing.pdf), who teaches network marketing to University students and is author of the book "The New Professionals," has made an intense study of the network marketing industry, and he is the co-founder of "The DubLi Academy," a training program where DubLi licensees learn how to build a successful business, free of charge. The back cover of his book describes him: "Charles W. King received his doctorate in business administration from Harvard and is currently a professor of marketing at the University of Illinois in Chicago. He is involved in extensive, ongoing research on network marketing and distributor operations." If DubLi were unstable or a potential scam, Dr. King certainly would not have associated his name and reputation with the company. He'd lose all credibility if DubLi is deemed to be illegal. 2. A helpful presentation to understand how network marketing works and how pervasive it has become in our society, watch the "Brilliant Compensation." (http://www.randallburt.com/tools.php presentation with Tim Sales and Charles King, located about a third of the way down the page. I don't know who the randallburt site belongs to - I just found it by googling "Brilliant Compensation.") 3. Yes, the negative spinfactor website accuses DubLi of being an illegal pyramid and a lottery. It doesn't matter what it is, every network marketing company in existence has been bad-mouthed by someone who claims it's "illegal." Usually the author is someone who is sour because he failed to make money at the business, and now wants to "protect" others from the same results. Legitimate, successful companies will aggressively respond to these allegations, which DubLi has done, in a two-page letter (PDF titled "Dubli Statement from Michael Hansen"). The letter specifically says that "... according to all 50 of the U.S. State Attorneys offices, DubLi is not a lottery and is perfectly legal in every state." - 21 -
  • 22.
    Below is TomAshlock's response re ‘Negative Press’. Dear Fellow Business Associates: Occasionally, we get questions from people read negative comments posted on a couple of Internet sites. These sites allegedly report “scams,” but their real business is delivering advertising to people who visit their sites. Their strategy is to post defamatory comments that create controversy and elicit responses (thus driving traffic to the site and boosting ad revenue). The comments they post are consistently inaccurate, irrelevant,out of context, and/or completely fabricated. If you read through all of their posts, they subsequently retract most of their claims (but they rarely remove the original comments, because inflammatory comments drive more traffic than retractions). So, to paraphrase Mark Twain, the problem is not what people know; the problem is what they know that “just ain't so.” As Business Associates, most of you already have enough facts and first hand experience with DubLi to discredit the postings on these sites as things that “just ain't so.” But for those of you who are new, and for those who are seriously considering the opportunity, here are some facts that should help. First, you need to understand DubLi’s business model, because without that understanding, it will be difficult to evaluate the comments in context. The Business Model Most people look at dubli.com and think it’s an auction site, in business to sell auction items to customers. This is not really the case. DubLi’s auctions are a strategic “means to an end”, and only a small part of the revenue model. DubLi.com is an early stage shopping portal that aggregates shoppers on its website, and then sells those shoppers to major search engines and online merchants for click-through fees and revenue-share fees. Aggregating and selling online shoppers is an established, multi-billion-dollar industry, led by companies like Google, Amazon and eBay. DubLi is already a player in this industry with its largest customer for ecommerce services being Kelkoo, which is the Yahoo!-owned search engine in Europe. DubLi charges Kelkoo whenever DubLi shoppers click through to Kelkoo or purchase products from Kelkoo affiliated merchants. The most successful shopping portals have “hooks” to draw traffic to their site. Google’s hook is search; Amazon’s has always been books; eBay’s is auctions. DubLi’s hook is reverse auctions and shopping games (entertainment shopping). DubLi uses reverse auctions and games to drive traffic to dubli.com. In an eBay auction, the seller is charged the auction fee. In a DubLi auction, the bidder is charged the fee with each bid, in the form of a DubLi “credit” that costs 80¢. This auction fee covers DubLi’s cost of acquiring the customer and running the auctions and games, and it also covers the cost of reducing the auction price of the product by 25¢ with each bid, which makes the auctions exciting and drives traffic. In exchange for the 80¢ fee, the customer gets access to discounted prices at dubli.com, in the same way that a Costco member gets access to discounted prices at Costco stores in exchange for the membership fee. The DubLi customer also gets “entertainment” value in watching the price drop, which is critical to the viral growth of the customer base. DubLi’s strategic focus is on expanding its customer base, because the value of any shopping portal business is directly related to the size of its customer base. DubLi uses a traditional network marketing distribution model to launch its initial customer base in - 22 -
  • 23.
    new markets, bothbecause DubLi’s founder has had successful experience in network marketing, and because a network model can create large, loyal, initial customer bases faster and cheaper than advertising-based models. What DubLi gets with its network marketing model is initial customers fast and cheap (without having to raise millions of dollars for each new market launch); what DubLi gives up is a cut of its revenue stream, paid out in commissions to its Business Associates for the life of their customers. DubLi’s Business Associates are paid commission to create new customer bases and to sponsor new Business Associates (who, in turn, create more new customer bases). Commissions are paid to Associates whenever their registered customers buy credits to participate in dubli.com auctions or whenever their customers generate click-through or revenue-share fees by clicking through to DubLi’s search engine partner. In order to create a new customer base, Business Associates buy DubLi credits in bulk (called “Product Packages”), and then give away the credits to prospective customers to get them to visit the site and try out the auctions. When a new Business Associate buys a Product Package, commission is paid to the recruiting Business Associate, just as if a customer had bought the credits (and that is how Business Associates earn commission from recruiting new Business Associates). Here are the negative comments that are posted on the Internet (in italics), followed by the facts, along with some answers to frequently asked questions: 1. “DubLi is a de facto pyramid scheme because . . . 97% of its revenue comes from [thesale of Product Packages].” Actually, the percentage of revenue coming from Product Packages is probably higher than that in the U.S. right now; but that just makes it a product launch strategy, not a pyramid scheme. The majority of revenuein any new DubLi market will always come from the sale of Product Packages until the Business Associates have created a base of customers who generate ecommerce revenue (click-throughs, revenue-shares, and credit sales). When that happens, it will signal the end of the launch period for that market and the beginning of the early stage growth period. There is nothing about selling credits to Business Associates to launch new markets that constitutes a pyramid. 2. “If [my] updated estimates are correct, DubLi has made between $8,500 and $12,000 on the 3 games in 1 month . . . How can DubLi sustain itself?” It can’t sustain itself on auction revenue, and no one has ever claimed that it would. The objective of DubLi’s auction unit is not to sell product. It is instead to drive traffic to the portal, while selling as many credits as possible (and ironically, while selling as few items as possible). DubLi is a shopping portal, not an auction house. Its success is measured by the number of shoppers it aggregates and sells. The amount of auction revenue generated is irrelevant and has no bearing on DubLi’s success or sustainability. 3. “DubLi is a pyramid scheme because it sells nothing of value.” Not true, and Yahoo! And its affiliated merchants who pay DubLi each month for its click-through shoppers agree (along with all of the registered DubLi customers who buy credits each month and participate in the auctions). There is no question that businesses and customers alike find DubLi’s products and services valuable and are willing to pay for them month after month. This false comment is nothing more - 23 -
  • 24.
    than a “crypyramid” attempt to drive traffic, and it comes with zero substantiation (because there is none). 4. “DubLi is a Ponzi scheme because it uses new investor dollars to pay returns to earlier investors.” Can’t be true. DubLi does not sell licenses, or investments or securities of any type, and it does not offer “returns” of any sort. It only sells products and services of value, and pays commission to its Business Associates on what is sold. By definition, therefore, it cannot be a Ponzi scheme. 5. “DubLi’s founder, Mike Hansen, has bankrupted four companies.” Not true, and the information posted to allegedly “substantiate” this claim is taken completely out of context. Early in his career, Mike Hansen was a restaurant entrepreneur who co-founded several companies in Denmark. Long after he sold his interest and resigned from management, the subsequent owners and management teams of three of those companies bankrupted them (which is not at all uncommon in the restaurant industry). Although the Danish public records will always show Mr. Hansen linked to those companies as a founder (which is the out-of-context information prominently posted byone site), Mr. Hansen had no involvement in the subsequent management or bankruptcy of those companies. It is true that DubLi’s original corporate entity, DubLi Danmark ApS, was voluntarily liquidated and dissolved when the company acquired a German company and moved its headquarters from Denmark to Germany. Here again, the information posted is presented out-of-context of being an orderly and proper wind up of a corporate entity that was no longer being used. A laterpost on the same site (by someone not affiliated with the site) provides a list of dates and events that corroborates everything stated here. The site acknowledges the new information and does not dispute its veracity, but continues to leave the out-of-context information displayed as the lead items under the heading of “DubLi Fact Repository” (so that it will continue to create controversy and drive traffic, which makes them money). 6. “DubLi isn’t even registered in the United States.” Incorrect. A simple search reveals that DubLi.com is a registered LLC in the state of Delaware, and DubLi’s U.S. distribution warehouse is located in Phoenix, AZ. The site that posted this ridiculous claim subsequently retracted it. 7. “DubLi doesn’t even register when you compare traffic analysis.” That’s true, but the claim is made out-of-context because the analysis comes from public web metrics companies (like Google or Alexa) who don’t measure traffic that comes through “personal home pages.” Most DubLi customers visit dubli.com via a Business Associate’s individual website link (i.e., dubli.com/xxxxxxx). By their own admission, most web metrics companies do not count what they classify as “personal home pages,” which are treated separately if they can be automatically identified as such from the URLs in question, which is the case with any Business Associate’s dubli.com/xxxxxxx link. - 24 -
  • 25.
    8. “DubLi isa gambling business.” Not true, and the U.S. States’ Attorney offices seem to agree. None have elected to take any action or even object to DubLi’s auctions as “gambling enterprises” or “lotteries.” The people who post negative comments about DubLi in order to drive traffic to their own site can “say” that it’s gambling, but the legal authorities who are responsible for enforcing gambling laws in each state do not agree. 9. “You must send an email to the support team . . .otherwise you miss your chance to get paid. They promise you’ll get commissions, and technically you’ve earned them, but at the last minute (when it should be obvious that you shouldn’t have to do anything to claim the money that is owed to you) they tell you that you didn’t follow the obviously non-standard procedure.” This is just another comment made completely out-of-context in an attempt to “cry scam” and create controversy. The procedure mentioned is not “obviously non-standard” as claimed; it is instead the standard procedure for getting payments wire transferred, as posted on the Associates’ back office website. Business Associates must confirm each month (with a simple email to Support) whether or not they want their earned commissions to be wire transferred into their bank accounts on “payday” (which is the 15th of each month). This policy is in place for the benefit of the Associates, because many Associates prefer to let their accounts build to a certain level before paying the wire transfer fees charged by the banks. It is not true that if an Associate fails to notify Support, they “miss [their] chance to get paid.” They only miss the chance to get paid on that particular day. They need only to notify Support to get payment issued immediately. Also, DubLi has never cut commissions, delayed commissions or failed to make commission payments as one anonymous poster claimed. All bank transfers to the U.S. are transcontinental and may take one or two days longer than expected, but this is entirely controlled by bank policy, not by DubLi. (A different system is now in place now that the US platform is operating.) 10. DubLi is a private company at this time, and as is customary for a private company, it does not publish its financial reports for the general public. 11. The listing of DubLi shares on any public stock exchange will occur only when the Board of Directors determines that the market is favorable for such an offering. 12. DubLi has no connection to Andy Bodowin or TNI, and any innuendo to that effect is false. The writer who likes to name these two in his posts about DubLi has denied that he is implying any connection . . . but he continues to name them. 13. DubLi uses Fedex, UPS and DHL, and has never overcharged for shipping. The comments posted to the contrary (most of which have been retracted) are fabrications and can be easily verified as such by checking any of the above carriers’ price lists. - 25 -
  • 26.
    14. DubLi customersare never overcharged for products that are purchased or won on the auctions. The comments posted about “paying double at the checkout” stem from the poster’s lack of understanding of how the auctions work. This comment was subsequently withdrawn by the poster, who admitted that he was wrong. 15. There are numerous erroneous comments posted about the cost of Product Packages to Business Associates, most of which have been subsequently retracted (but most of which remain posted on the site). The errors range from simple math inaccuracies to a complete lack of understanding of what is being charged and to whom. Bottom line, DubLi is a complex business that combines a customer-focused shopping portal with a network marketing distribution model. That combination gives Business Associates the rare opportunity to earn an ongoing cut of the revenue stream in an emerging Internet company, a benefit that is normally available only to equity holders and venture investors. As for comments posted on the Internet about DubLi, please consider the source (and the underlying motivation) before you attribute any credibility to the comment. Also, if you read something not covered here that appears to raise a red flag, please ask about it . . . you’ll find that, most often, it “just ain't so.” - 26 -
  • 27.
    Martin D. Owens,Jr. Attorney ● Consultant Ph: (916) 391-8113 ● Fax (916) 422-5045 372 Florin Road #309 ● Sacramento, CA 95831 Email :mowens@trade-attorney.com Web page: http://www.trade-attorney.com ══════════════════════════════════════ December 29, 2008 Mr. Andreas Kusche Chief Counsel Dubli UK Ltd. Valley Farm Cottage, Parkside Road Adel, Leeds LS16 8EZ United Kingdom LETTER OR OPINION RE: LEGALITY OF DUBLI ONLINE REVERSE-AUCTIONS UNDER U.S. GAMING LAW Overview Dubli.com offers reverse auctions online for such items as cameras, XBox 360 game stations, and iPods. Each item begins with a pre-set price. There are three auction programs, called Xpress, Zero and Unique Bid. Common to Xpress and Zero s the purchase and use of the Dubli “credits”, sold online for $.80 USD each or in various-sized packets. Dubli credits are not used as a substitute for currency. A member must buy credits in order to participate in an auction, and uses up one credit each time he/she checks the price ( in the Xpress and Zero Bid versions) or makes a bid (in the Unique Bid version). The act of checking also drives the item’s current price down by $0.25 - for every participant in the auction, and successively- each time someone checks. Dubli credits are non-refundable once expended in the bidding/checking process. They are not transferable, hold no monetary value and cannot be used on any other site or in any other auction enterprise. In the Xpress version, participants keep checking until the price reaches a level that one of them finds agreeable. At that point the participant is allowed to formally purchase the item in question by clicking a “ buy now” button on the screen (first come first served). The item is then paid for separately. Credits cannot be used for this payment. - 27 -
  • 28.
    Letter of Opinion Dubli.com p2 of 8 In the Zero version, participants successively use their credits to check/lower the item price until one final participant lowers it to zero. That participant is the purchaser and the item is his. Although any of the participants can see when the price is approaching zero, none of them can precisely predict when the price will reach zero, because no participant can know how many other participants there are, come or what any of them will do. In the Unique Bid version, participants use Dubli credits to place bids during a set time window, again charged one credit per bid. In order to be valid however, a given bid must also be a unique bid. That is, there must be no other bid placed by anyone else for the same amount. If someone else does place with an identical bid, both bids are invalidated. Participants are informed by e-mail when such invalidation occurs. At the conclusion of the set time period, the lowest unique bid is the winner. If there is no such bid, the auction is invalidated and Dubli retains the item. Multi0ple bids may be placed except during the last five minutes, when each participant is restricted to one bid only. Dubli wishes to confirm that its auction programs do not amount to gambling or lotteries under US state or federal law. But if it turns out that any of them are in doubtful territory, Dubli needs to know what to do about that. QUESTIONS PRESENTED I. Can any of the three Dubli online auctions be considered a gambling enterprise? Do any of them violate U.S. state or federal laws against lotteries, raffles, or similar forms of gambling? What can be done to minimize any such liability? A. Gambling generally. In order for a given transaction to be identified as gambling, three distinct elements must be present together: consideration, chance, and prize. 1. Consideration: in contract law generally, the term “consideration” may mean practically anything of value, including giving up the right to some future act or obligation. In American gambling law, however, consideration means money. This money must be risked- that is, the player gets nothing else for his money but the opportunity to win a prize , determined by chance. Just as importantly he stands to lose that money permanently for no - 28 -
  • 29.
    Letter of Opinion Dubli.com p3 of 8 gain, goods, or service in return. a. Standard auction model: in a traditional auction, “consideration” in the gambling sense does not exist. The highest bidder gains the right to buy the item(s) on offer. So long as he can actually pay, the matter is resolved. The same is obviously true of the” ordinary” reverse auction . b. Dubli models: on the one hand, a participant expends one credit merely for the chance to check the price. From this point of view it may be said that he is not actually purchasing any chances to buy. On the other hand, each time the price of the item on offer is checked in the “Xpress” and “Zero” models, the act of checking forces the price down $.25. In the ““Unique Bid”, a participant must also expend one credit to make his bid. In that sense, and because credits once utilized to make a bid or price check are not refunded, it is clear that participants purchase the means to affect , or least enter, the contest. Therefore I conclude that the element of consideration is present in all versions of the Dubli online reverse actions. 2. Chance: there is some element of chance in everything human beings do. For the purposes of U.S. gambling law, however, “chance” means that a given event is resolved, in regard to all participants at the time, by a common random occurrence which is not under the control of any participant. To give an example, if John and Joe play chess against each other, the element of chance is minimized if not eliminated. All things being equal, the game will be won by the player with the most knowledge of the game and the best moves. Chess is a skill game. But if, one the other hand, they both purchase a lottery ticket, skill has nothing to do with the outcome. Either a given number is picked or it isn’t. This is pure chance. a. Additionally it makes a large difference whether the bettor is a participant. To take the chess example above, it is not gambling if John and Joe agree that the loser of the chess games must pay the winner $10. The conduct of game is under the control of the two participants. However, if two onlookers, Sarah and Sue, bet on which man will win the chess game, that is gambling, because the outcome of the - 29 -
  • 30.
    Letter of Opinion Dubli.com p4 of 8 game is not under the control of either woman. b. In the case of Dubli, the element of chance does not rise to the level required to categorize the activity as “gambling”. (1) in the “Xpress” and “Zero” models, the resolution of the event is not dependent upon some random occurrence, but only on the conduct of the participants. The price of a given item on offer is decreased only by the actions of the participants. If, for some reason, none of the participants decided to check/decrease the price of the item, that price would remain static unless and until one or more of the participants chose to act. In fact, if no one chooses to bid on a given item, nothing happens at all. (2) “Unique Bid” is very much in the same vein. That is, a participant’s success in placing a “unique bid” does not depend on anything outside the efforts of the respective participants. Two or more participants may offer bids at the same price, but this is not caused by any random agency. This coincidence (once again, barring collusion) would be the result of the respective participants’ independent decisions, just as various runners’ independent decisions to run a little faster or hold back in a race may lead to different- but not random- results. (3) For this reason I conclude that the element of chance, as understood in American gambling law , is minimal to nonexistent. While the outcome of any given reverse auction is not solely under the control of any one participant, the actions of the respective participants are the only inputs to the final result. There is no random dispositive influence acting outside participatory control. 3. Prize: the definition of “prize” is essentially anything of value. Since obtaining valuable items such as iPods at a reduced price is the whole point of participating in Dubli’s reverse auctions, the element of price is obviously present. - 30 -
  • 31.
    Letter of Opinion Dubli.com p5 of 8 4. I conclude that since the element of chance, as understood in gambling law, is not present in the Dubli auctions, these auctions cannot be considered either games of chance or lotteries. B. U.S. State Laws : 1. Gambling : Once we have established that Dubli is not a lottery, the gambling laws of most states are not longer a worry. But not all states: even playing games of skill online may be illegal in Illinois and Iowa (720 ILCS 5-28-1(a) 12 and ISC 725.5, respectively). In addition, eight states outlaw Internet gambling ( except , of course, what they themselves choose to license). They would have to stretch a point to call Dubli an Internet game of chance; further, there is no indication of any particular benefit in doing so. [Note: the text of each State law cited in this discussion is provided in APPENDIX A.] Most importantly, since the reverse auction is neither a sporting contest, a lottery, nor a game of chance, I conclude that Dubli has nothing to fear from state gambling laws 2. Need for an identified auctioneer ? At least twenty-eight states, however, require a license for an auction to be conducted.[ See TABLE I]. Some require it at state level, some at county or city level; others differentiate by what is being sold ( real estate, autos, livestock). Some require large bonds to be posted and personal background checks to be conducted as well. While the purpose behind these laws is clear enough, the prevention of fraud, in many states this has become a means to restrict competition and protect the “home market” from other auctions and auctioneers. 3. Is it conceivable that Dubli might be subject to an injunction or lawsuit for conducting auctions without a license issued by the state or municipality where a certain bidder lives? This brings us to the question of jurisdiction and the Internet. Does the transaction take place where the bidder is, and therefore, under the jurisdiction of the bidder’s home state? Or does it take place at the server of the Internet establishment? There is no American law, as far as gambling, which states this, and the case precedent is sparse and unsatisfactory. - 31 -
  • 32.
    Letter of Opinion Dubli.com p6 of 8 4. Outside of gambling, the rule of civil jurisdiction essentially centers on how interactive a given web site is. If a site is merely passive , the equivalent of a billboard, a state could not assert jurisdiction over that site simply because someone in that state had viewed it. If, on the other hand, the site interacts with the customer- inviting and allowing him to look through inventory and product lists, and place orders, etc., it is not passive. The more business that is transacted through that site, the more probable it is that the site will be held to have purposefully directed its activities at that state ( Zippo Manufacturing Co. v. Zippo.com Inc., 952 F. Supp 1119 ( W.D. Pa 1997): Intercon Inc v Bell Atlantic Internet Solutions, 205 F.3d 1244 ( 10th Cir 2000)). And this means that it is possible for that state to assert jurisdiction. a. In the case of Dubli, since it will be actively soliciting customers selling credits, taking and recording bids, and then communicating which bids were “knocked out” by identical bids making them non-unique, it is clear that the Dubli web site will be very interactive. It would therefore be technically possible for a given state to claim jurisdiction, if Dubli bidders or participants reside there. b. At the same time it would require an impossible expenditure of time and money to check with every city and county in the United States, find out if a license was required, and then apply for one. As the saying is, life’s too short. c. But the difficulty cuts both ways: since Dubli’s reverse auctions are not readily identifiable as games of chance or gambling, they will not attract the automatic hostile attention that attaches to the traditional gambling enterprises such as sports betting. In other words, their content neutrality makes them a poor target in the heavily politicized arena of gambling law. Dubli need not worry about becoming a “trophy head” anytime soon. 5. So if Dubli remains licensed and located only within the UK, it would be much more difficult for state authorities to interfere further than a cease-and-desist letter. - 32 -
  • 33.
    Letter of Opinion Dubli.com p7 of 8 6. And Dubli, located abroad, might consider handling its marketing and distribution programs through an independent contractor in the USA- and any other countries where this difficulty might arise. 7. At the same time the prestige and reassurance of a licensed auctioneer might be very useful for de-fusing potential resentments in advance. There is National Auctioneers association that also has branches in Canada and South Africa, and they already conduct auctions online. Perhaps it would save time and effort to consult them about using their services, or at least displaying their logo. C. Federal law 1. Gambling laws : generally speaking, U.S. Federal anti-gambling laws are activated when state gambling laws are broken. Since we have established that state gambling violations are not on the cards, Dubli therefore need not be concerned about violating U.S. Federal gambling law. 2. Auctions: Auctions, as a form of sale, are governed by at the state level by commerce laws. Those auctions which allow bids across state lines come under the Federal Trade Commission, which is mainly concerned that the advertising for such auctions is truthful, and that the items sold correspond to their descriptions. Those conditions being satisfied, there is little further cause for concern. There is no such thing as a national auction license. II. Conclusion and Recommendations A. Dubli’s reverse auctions are obviously not gambling games, and do not constitute a game of chance nor a lottery as far as the terms are defined in American state and Federal law. B. The only potential legal problems ( outside of tax issues) I can foresee would be centered on the issue of local auction licensing. Clearly it is not realistic to attempt to obtain licenses in every state, town, county or - 33 -
  • 34.
    Letter of Opinion Dubli.com p8 of 8 city in the USA that might require them. C. The best strategy would be to limit possible exposure to jurisdiction claims by 1. working through third parties and contractors as much as practicable; 2. ensuring that the terms and conditions specify a. the participant’s sole responsibility for complying with local laws, and b. UK jurisdiction or arbitration in the event of dispute D. It might also be possible to use, or gain the approval of, professional auctioneers societies in the USA. E. Finally, there is the matter of “ image”: since gambling is supposed to be a social harm, associating with socially desirable goals is very good preventive medicine. Dubli’s charity-only auction is a very good example of this, and this should be a continuing standard practice, expanded where practicable. This letter of opinion is based upon my best understanding of applicable law and on information supplied by Mr. Kusche. Martin D. Owens, Jr. Attorney at Law - 34 -