Dennis Garland
Major Professor: Lisa Dieker, Ph.D.
University of Central Florida
Summer Term 2013
Virtual Coaching of Novice Science Educators to
Support Students with Emotional
and Behavioral Disorders
Virtual Coaching of Three-Term Contingency Trials to
Novice Teachers in Inclusive Science Classrooms
Problem Background IV/Input DV/ Outcomes
Novice
teachers lack
classroom
management
skills
necessary to
support the
inclusion of
students with
EBD in
science
classrooms.
LiteratureLiterature
“Inadequacy and
unpreparedness”
(Katz, 1972, p. 51)
Reluctant to include
students with EBD
(Mastropieri & Scruggs, 2001)
Unable to meet the needs
of general education students
(Jolivette, Stichter, & McKormick, 2001)
Fail to use practices
associated with best
outcomes for students
with EBD
(Simpson, Peterson, & Smith, 2011)
Fail to adapt
instruction to the
needs of their students
(Baker & Zigmond, 1995)
Bug-in-the-Ear Technology
Increase geographic area from
which supervision of novice teachers
takes place (Scheeler, McKinnon, &
Stout, 2012).
Provide opportunity for immediate
feedback (Rock et al., 2009).
Enable novice teachers to learn
discreetly while teaching (Scheeler
et al., 2012).
Engaging content
for students with
EBD
(Scruggs & Mastropieri, 2007)
Improve
postsecondary
outcomes
(Gillies, 2008)
< 56% spend 40%
or more of their day
in a general education
classroom (USDOE, 2011)
Receive 0.02- 0.16
opportunities to
respond per minute
from their teachers
(Sutherland & Wehby, 2001)
Fed.
EHCA
REI
Honig
v. Doe
IDEA/
ESEA
ACA
Novice
teachers lack
classroom
management
skills
necessary to
support the
inclusion of
students with
EBD in
science
classrooms.
Student
SES
Socio-
Emotional
Behavioral
Dropout
Jail
School
PBIS
Low rates
of
inclusion
for
students
with
EBD.
Teacher
Low
rate of
OTR.
Low
use of
praise.
Using EBP
with low
fidelity.
Virtual Coaching of Three-Term Contingency Trials to
Novice Teachers in Inclusive Science Classrooms
Problem Background IV/Input DV/ Outcomes
Research
Multiple Baseline Across Participants
Tau-U Analysis of Nonoverlap and Trend
Social Validity Survey
Coaching
completion
of TTC
trials.
BIE
Fed.
EHCA
REI
Honig
v. Doe
IDEA/
ESEA
ACA
Novice
teachers lack
classroom
management
skills
necessary to
support the
inclusion of
students with
EBD in
science
classrooms.
Student
SES
Socio-
Emotional
Behavioral
Dropout
Jail
School
PBIS
Low rates
of
inclusion
for
students
with
EBD.
Teacher
Low
rate of
OTR.
Low
use of
praise.
Using EBP
with low
fidelity.
Novice
Science
Teachers
Students
with EBD
Virtual Coaching of Three-Term Contingency Trials to
Novice Teachers in Inclusive Science Classrooms
Problem Background IV/Input DV/ Outcomes
Name Grade Years
Teaching
Previous
Career
Age Ethnicity Total
Class
Enrollment
Behavior
Management
Experience
Eliza 7 2.5 Early
Childhood
Teacher
29 Caucasian 23 None
Katherine 9 .5 Athletic
Trainer
24 Caucasian 24 None
Tom 6 .5 Biologist 24 African
American
23 None
The Teachers
The Students
Materials
Materials
Coaching
completion
of TTC
trials.
BIE
Fed.
EHCA
REI
Honig
v. Doe
IDEA/
ESEA
ACA
Teachers
Increased
OTR.
Increased
feedback.
Mastery and
maintenance
of EBP.
Novice
teachers lack
classroom
management
skills
necessary to
support the
inclusion of
students with
EBD in
science
classrooms.
Student
SES
Socio-
Emotional
Behavioral
Dropout
Jail
School
PBIS
Low rates
of
inclusion
for
students
with
EBD.
Teacher
Low
rate of
OTR.
Low
use of
praise.
Using EBP
with low
fidelity.
Novice
Science
Teachers
Students
with EBD
Students
Increased
correct
responses.
Reduced
maladaptive
behaviors.
Virtual Coaching of Three-Term Contingency Trials to
Novice Teachers in Inclusive Science Classrooms
Problem Background IV/Input DV/ Outcomes
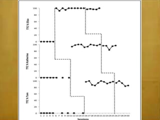
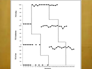
Research Question One
Will the intervention of providing
immediate feedback delivered to
novice science teachers via BIE
affect the percentage of completed
TTC trials?
Teacher Phase Ratio
BL 0.2:1
Eliza IV 4.1:1
M 5.7:1
BL 0.2:1
Katherine IV 7.5:1
M 9.9:1
BL 0.1:1
Tom IV 4.5:1
M 7.4:1
Ratios of Teachers’ Use of
Praise to Error Correction
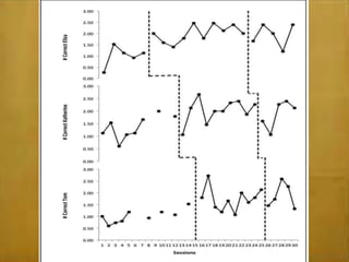
Research Question Two
Will the intervention of providing
immediate feedback delivered to novice
science teachers via BIE affect the rate
of correct student answers?
Teacher Baseline Intervention Maintenance
Eliza 1
(0.27-1.53)
2.01 (1.40-
2.46)
1.93 (1.20-
2.40)
5 Sessions 10 Sessions 5 Sessions
Katherine 1.37 (0.60-
2.00)
2.02 (1.07-
2.67)
1.89 (1.07-
2.40)
5 Sessions 10 Sessions 5 Sessions
Tom 1.01
(0.60-1.53)
1.74
(1.07-2.73)
1.88
(1.33-2.60)
5 Sessions 10 Sessions 5 Sessions
Average
across
Participants
1.23 (0.27-
2.00)
22 Sessions
1.92
(1.07- 2.73)
30 Sessions
1.90
(1.07- 2.60)
15 Sessions
Mean Rate Per Minute of Correct Student
Responses across Teachers and Conditions
Will the teachers maintain their
newly learned behaviors when the
intervention is removed?
Research Question Three
From the Science Teachers
“I have seen a HUGE improvement in
behavior from my students.”- Eliza
“My students responded better
when I was given cues.”- Katherine
“I did find that they responded better when
they got praised for following directions and
when I was more positive with them.”- Tom
Validity and Reliability
Criterion Validity:
Treatment Integrity Checks
30% of all sessions to at
least 90% agreement
Content Validity:
Inter-Observer Agreement
30% of all sessions to at
least 90% agreement
Instrumentation:
Data Collection
Fidelity of Treatment
BL and IV protocols
Social Validity all
Validated by expert in
TTC trials
Limitations
Procedural
Selection/
Purposive Sampling
Maturation/
Prolonged Baselines
Direct Observational
Recording
Time
Voluntary Response on
Social Validity Instrument
Participant
No Knowledge of IEPs
History
Hawthorne Effect
Technology Proficiency
Coaching
completion
of TTC
trials.
BIE
Fed.
EHCA
REI
Honig
v. Doe
IDEA/
ESEA
ACA
Teachers
Increased
OTR.
Increased
feedback.
Mastery and
maintenance
of EBP.
Novice
teachers lack
classroom
management
skills
necessary to
support the
inclusion of
students with
EBD in
science
classrooms.
Student
SES
Socio-
Emotional
Behavioral
Dropout
Jail
School
PBIS
Low rates
of
inclusion
for
students
with
EBD.
Teacher
Low
rate of
OTR.
Low
use of
praise.
Using EBP
with low
fidelity.
Novice
Science
Teachers
Students
with EBD
Students
Increased
correct
responses.
Reduced
maladaptive
behaviors.
Virtual Coaching of Three-Term Contingency Trials to
Novice Teachers in Inclusive Science Classrooms
Problem Background IV/Input DV/ Outcomes
Employment of sound
methods and innovative
technologies.
Implementation of evidence-
based practices among
novice teachers.
Extension of extant
research to inclusive
science classrooms.
Considerations
Virtual coaching during laboratory activities
Schools with similar demographics
Prepare mentor teachers to use BIE
Virtual coaching of helpful teaching behaviors
Thank you for helping me
to bring this to life!

Dpg dissertation defense_06-26-13

  • 1.
    Dennis Garland Major Professor:Lisa Dieker, Ph.D. University of Central Florida Summer Term 2013 Virtual Coaching of Novice Science Educators to Support Students with Emotional and Behavioral Disorders
  • 2.
    Virtual Coaching ofThree-Term Contingency Trials to Novice Teachers in Inclusive Science Classrooms Problem Background IV/Input DV/ Outcomes Novice teachers lack classroom management skills necessary to support the inclusion of students with EBD in science classrooms.
  • 3.
  • 4.
    “Inadequacy and unpreparedness” (Katz, 1972,p. 51) Reluctant to include students with EBD (Mastropieri & Scruggs, 2001) Unable to meet the needs of general education students (Jolivette, Stichter, & McKormick, 2001)
  • 5.
    Fail to usepractices associated with best outcomes for students with EBD (Simpson, Peterson, & Smith, 2011) Fail to adapt instruction to the needs of their students (Baker & Zigmond, 1995)
  • 6.
    Bug-in-the-Ear Technology Increase geographicarea from which supervision of novice teachers takes place (Scheeler, McKinnon, & Stout, 2012). Provide opportunity for immediate feedback (Rock et al., 2009). Enable novice teachers to learn discreetly while teaching (Scheeler et al., 2012).
  • 7.
    Engaging content for studentswith EBD (Scruggs & Mastropieri, 2007) Improve postsecondary outcomes (Gillies, 2008)
  • 8.
    < 56% spend40% or more of their day in a general education classroom (USDOE, 2011) Receive 0.02- 0.16 opportunities to respond per minute from their teachers (Sutherland & Wehby, 2001)
  • 9.
    Fed. EHCA REI Honig v. Doe IDEA/ ESEA ACA Novice teachers lack classroom management skills necessaryto support the inclusion of students with EBD in science classrooms. Student SES Socio- Emotional Behavioral Dropout Jail School PBIS Low rates of inclusion for students with EBD. Teacher Low rate of OTR. Low use of praise. Using EBP with low fidelity. Virtual Coaching of Three-Term Contingency Trials to Novice Teachers in Inclusive Science Classrooms Problem Background IV/Input DV/ Outcomes
  • 10.
    Research Multiple Baseline AcrossParticipants Tau-U Analysis of Nonoverlap and Trend Social Validity Survey
  • 11.
    Coaching completion of TTC trials. BIE Fed. EHCA REI Honig v. Doe IDEA/ ESEA ACA Novice teacherslack classroom management skills necessary to support the inclusion of students with EBD in science classrooms. Student SES Socio- Emotional Behavioral Dropout Jail School PBIS Low rates of inclusion for students with EBD. Teacher Low rate of OTR. Low use of praise. Using EBP with low fidelity. Novice Science Teachers Students with EBD Virtual Coaching of Three-Term Contingency Trials to Novice Teachers in Inclusive Science Classrooms Problem Background IV/Input DV/ Outcomes
  • 12.
    Name Grade Years Teaching Previous Career AgeEthnicity Total Class Enrollment Behavior Management Experience Eliza 7 2.5 Early Childhood Teacher 29 Caucasian 23 None Katherine 9 .5 Athletic Trainer 24 Caucasian 24 None Tom 6 .5 Biologist 24 African American 23 None The Teachers
  • 13.
  • 14.
  • 15.
  • 16.
    Coaching completion of TTC trials. BIE Fed. EHCA REI Honig v. Doe IDEA/ ESEA ACA Teachers Increased OTR. Increased feedback. Masteryand maintenance of EBP. Novice teachers lack classroom management skills necessary to support the inclusion of students with EBD in science classrooms. Student SES Socio- Emotional Behavioral Dropout Jail School PBIS Low rates of inclusion for students with EBD. Teacher Low rate of OTR. Low use of praise. Using EBP with low fidelity. Novice Science Teachers Students with EBD Students Increased correct responses. Reduced maladaptive behaviors. Virtual Coaching of Three-Term Contingency Trials to Novice Teachers in Inclusive Science Classrooms Problem Background IV/Input DV/ Outcomes
  • 17.
    Research Question One Willthe intervention of providing immediate feedback delivered to novice science teachers via BIE affect the percentage of completed TTC trials?
  • 19.
    Teacher Phase Ratio BL0.2:1 Eliza IV 4.1:1 M 5.7:1 BL 0.2:1 Katherine IV 7.5:1 M 9.9:1 BL 0.1:1 Tom IV 4.5:1 M 7.4:1 Ratios of Teachers’ Use of Praise to Error Correction
  • 20.
    Research Question Two Willthe intervention of providing immediate feedback delivered to novice science teachers via BIE affect the rate of correct student answers?
  • 22.
    Teacher Baseline InterventionMaintenance Eliza 1 (0.27-1.53) 2.01 (1.40- 2.46) 1.93 (1.20- 2.40) 5 Sessions 10 Sessions 5 Sessions Katherine 1.37 (0.60- 2.00) 2.02 (1.07- 2.67) 1.89 (1.07- 2.40) 5 Sessions 10 Sessions 5 Sessions Tom 1.01 (0.60-1.53) 1.74 (1.07-2.73) 1.88 (1.33-2.60) 5 Sessions 10 Sessions 5 Sessions Average across Participants 1.23 (0.27- 2.00) 22 Sessions 1.92 (1.07- 2.73) 30 Sessions 1.90 (1.07- 2.60) 15 Sessions Mean Rate Per Minute of Correct Student Responses across Teachers and Conditions
  • 23.
    Will the teachersmaintain their newly learned behaviors when the intervention is removed? Research Question Three
  • 25.
    From the ScienceTeachers “I have seen a HUGE improvement in behavior from my students.”- Eliza “My students responded better when I was given cues.”- Katherine “I did find that they responded better when they got praised for following directions and when I was more positive with them.”- Tom
  • 26.
    Validity and Reliability CriterionValidity: Treatment Integrity Checks 30% of all sessions to at least 90% agreement Content Validity: Inter-Observer Agreement 30% of all sessions to at least 90% agreement Instrumentation: Data Collection Fidelity of Treatment BL and IV protocols Social Validity all Validated by expert in TTC trials
  • 27.
    Limitations Procedural Selection/ Purposive Sampling Maturation/ Prolonged Baselines DirectObservational Recording Time Voluntary Response on Social Validity Instrument Participant No Knowledge of IEPs History Hawthorne Effect Technology Proficiency
  • 28.
    Coaching completion of TTC trials. BIE Fed. EHCA REI Honig v. Doe IDEA/ ESEA ACA Teachers Increased OTR. Increased feedback. Masteryand maintenance of EBP. Novice teachers lack classroom management skills necessary to support the inclusion of students with EBD in science classrooms. Student SES Socio- Emotional Behavioral Dropout Jail School PBIS Low rates of inclusion for students with EBD. Teacher Low rate of OTR. Low use of praise. Using EBP with low fidelity. Novice Science Teachers Students with EBD Students Increased correct responses. Reduced maladaptive behaviors. Virtual Coaching of Three-Term Contingency Trials to Novice Teachers in Inclusive Science Classrooms Problem Background IV/Input DV/ Outcomes Employment of sound methods and innovative technologies. Implementation of evidence- based practices among novice teachers. Extension of extant research to inclusive science classrooms.
  • 29.
    Considerations Virtual coaching duringlaboratory activities Schools with similar demographics Prepare mentor teachers to use BIE Virtual coaching of helpful teaching behaviors
  • 30.
    Thank you forhelping me to bring this to life!

Editor's Notes

  • #22 Tau-U= 0.8286
  • #27 Convergent validity: type of criterion-related validity
  • #28 Threats to validity and generalizabilityPurposiveSampling= Source Bias