Dynamic Programming
General Strategy

   Used for optimization problems: often minimizing or maximizing.
   Solves problems by combining solutions to sub-problems.
   Sub-problems are not independent.
   Reduces computation by
    ◦ Solving sub-problems in a bottom-up fashion.
    ◦ Storing solution to a sub-problem the first time it is solved.
    ◦ Looking up the solution when subproblem is encountered again.
   Key: determine structure of optimal solutions
Steps in Dynamic Programming

 Characterize structure of an optimal solution.
 Define value of optimal solution recursively.
 Compute optimal solution values caching in bottom-
  up manner from table.
 Construct an optimal solution from computed values.
Principle of optimality
   Principle of optimality states that “ In an
    optimal sequence of decisions or choices each
    sub-sequences must be optimal.”
    e.g.                  D


          A



               C         B
   Suppose that in solving a problem, we have to make
    a sequence of decisions D1, D2,…, Dn. Then
    according to Principle of Optimality, if this
    sequence is optimal, then the last k decisions,
    1< k< n must be optimal.
Knapsack Problem
    A thief robbing a store and can carry a maximal weight of W into
    their knapsack. There are n items and ith item weight wi and is
    worth vi dollars. What items should thief take?

   Fractional Knapsack
    ◦ The items are allowed to be broken into smaller pieces so that
      knapsack contains fraction of xi of item i, where 0 ≤ xi ≤ 1

   0/1 Knapsack
    ◦ Either to include an item in knapsack or to leave it (binary
      choice), but may not take a fraction of an item i.e. 0 or 1.
0/1 Knapsack Problem
Let i=1,2,3,…,n are items available.
wi - weight of ith item
vi – value of ith item
m – capacity of knapsack
 Now the problem is to maximize the value or profit with
   capacity constraints
Let {x1,x2,…,xn} is the optimal solution
   Where xi ∈ {0,1}
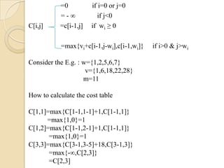
=0          if i=0 or j=0
           =-∞           if j<0
C[i,j]     =c[i-1,j]   if wi ≥ 0

           =max{vi+c[i-1,j-wi],c[i-1,wi]}   if i>0 & j>wi

Consider the E.g. : w={1,2,5,6,7}
                     v={1,6,18,22,28}
                    m=11

How to calculate the cost table

C[1,1]=max{C[1-1,1-1]+1,C[1-1,1]}
      =max{1,0}=1
C[1,2]=max{C[1-1,2-1]+1,C[1-1,1]}
       =max{1,0}=1
C[3,3]=max{C[3-1,3-5]+18,C[3-1,3]}
       =max{-∞,C[2,3]}
       =C[2,3]
   Thus Optimal Solution Vector is, {0,0,1,1,0}
   And Optimal Profit is,   0+18+22+0=40
Dknap(i,j,m)
{
  w :=[w1,w2,…,wn] ; // array of weights
  v := [v1,v2,…,vn]; // array of values
  C:= [1,2,…,n,1,2,…,m]; // Knapsack array(2-D)
  // 1,2,…i,…,n are objects
  // 1,2,…,j,…,m are capacities of knapsack
for i :=1 to n do
  C[i,0]:=0;            //Knapsack with capacity 0
  for i:=1 to n do
  {
       for j:=1 to m do
       {
               if (i=1 and j<w[i]) then
                        C[i,j]=0;
               else
               if (i=1) then
                        C[i,j]=v[i];
               else
               if(j<w[i]) then
                        C[i,j]=C[i-1,j];
               else
               if(C[i-1,j] > C[i-1,j-w[i]]+v[i]) then
                        C[i,j]= C[i-1,j];
               else
                        C[i,j]= C[i-1,j-w[i]]+v[i];
       }
  }
  Traceback(C)
}
Traceback(C)
{      //opt[] array is used to store optimal solution vector
  i:=n; j:=m;
  while(i≥1)
  { k:=i; //k is the index of opt[] array
       while(j≥0)
       {
                if(C[i,j]=C[i-1,j]) then
                {
                         i:=i-1;
                         opt[k]:=0;
                else
                {
                         opt[k]=1;
                         i:=i-1;
                         j:=j-w[i];
                }
}
Analysis of 0/1Knapsack
 Time Complexity is Θ(nm) as there are n m
 entries in table.

 Using Dynamic Programming determine the
 optimal profit and solution vector
 w={2,3,4} v ={1,2,5} m=6



  Optimal solution vector is {1,0,1} and Profit is 6

Daa:Dynamic Programing

  • 1.
  • 2.
    General Strategy  Used for optimization problems: often minimizing or maximizing.  Solves problems by combining solutions to sub-problems.  Sub-problems are not independent.  Reduces computation by ◦ Solving sub-problems in a bottom-up fashion. ◦ Storing solution to a sub-problem the first time it is solved. ◦ Looking up the solution when subproblem is encountered again.  Key: determine structure of optimal solutions
  • 3.
    Steps in DynamicProgramming  Characterize structure of an optimal solution.  Define value of optimal solution recursively.  Compute optimal solution values caching in bottom- up manner from table.  Construct an optimal solution from computed values.
  • 4.
    Principle of optimality  Principle of optimality states that “ In an optimal sequence of decisions or choices each sub-sequences must be optimal.” e.g. D A C B
  • 5.
    Suppose that in solving a problem, we have to make a sequence of decisions D1, D2,…, Dn. Then according to Principle of Optimality, if this sequence is optimal, then the last k decisions, 1< k< n must be optimal.
  • 6.
    Knapsack Problem  A thief robbing a store and can carry a maximal weight of W into their knapsack. There are n items and ith item weight wi and is worth vi dollars. What items should thief take?  Fractional Knapsack ◦ The items are allowed to be broken into smaller pieces so that knapsack contains fraction of xi of item i, where 0 ≤ xi ≤ 1  0/1 Knapsack ◦ Either to include an item in knapsack or to leave it (binary choice), but may not take a fraction of an item i.e. 0 or 1.
  • 7.
    0/1 Knapsack Problem Leti=1,2,3,…,n are items available. wi - weight of ith item vi – value of ith item m – capacity of knapsack  Now the problem is to maximize the value or profit with capacity constraints Let {x1,x2,…,xn} is the optimal solution Where xi ∈ {0,1}
  • 8.
    =0 if i=0 or j=0 =-∞ if j<0 C[i,j] =c[i-1,j] if wi ≥ 0 =max{vi+c[i-1,j-wi],c[i-1,wi]} if i>0 & j>wi Consider the E.g. : w={1,2,5,6,7} v={1,6,18,22,28} m=11 How to calculate the cost table C[1,1]=max{C[1-1,1-1]+1,C[1-1,1]} =max{1,0}=1 C[1,2]=max{C[1-1,2-1]+1,C[1-1,1]} =max{1,0}=1 C[3,3]=max{C[3-1,3-5]+18,C[3-1,3]} =max{-∞,C[2,3]} =C[2,3]
  • 9.
    Thus Optimal Solution Vector is, {0,0,1,1,0}  And Optimal Profit is, 0+18+22+0=40
  • 10.
    Dknap(i,j,m) { w:=[w1,w2,…,wn] ; // array of weights v := [v1,v2,…,vn]; // array of values C:= [1,2,…,n,1,2,…,m]; // Knapsack array(2-D) // 1,2,…i,…,n are objects // 1,2,…,j,…,m are capacities of knapsack
  • 11.
    for i :=1to n do C[i,0]:=0; //Knapsack with capacity 0 for i:=1 to n do { for j:=1 to m do { if (i=1 and j<w[i]) then C[i,j]=0; else if (i=1) then C[i,j]=v[i]; else if(j<w[i]) then C[i,j]=C[i-1,j]; else if(C[i-1,j] > C[i-1,j-w[i]]+v[i]) then C[i,j]= C[i-1,j]; else C[i,j]= C[i-1,j-w[i]]+v[i]; } } Traceback(C) }
  • 12.
    Traceback(C) { //opt[] array is used to store optimal solution vector i:=n; j:=m; while(i≥1) { k:=i; //k is the index of opt[] array while(j≥0) { if(C[i,j]=C[i-1,j]) then { i:=i-1; opt[k]:=0; else { opt[k]=1; i:=i-1; j:=j-w[i]; } }
  • 13.
    Analysis of 0/1Knapsack Time Complexity is Θ(nm) as there are n m entries in table. Using Dynamic Programming determine the optimal profit and solution vector w={2,3,4} v ={1,2,5} m=6 Optimal solution vector is {1,0,1} and Profit is 6