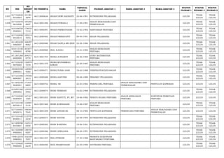
LAMPIRAN I 
NOMOR 811/1157/BKD-C 
TENTANG 
NO NIK 
NO 
REGIST 
ER 
NO PESERTA NAMA TANGGAL 
LAHIR PILIHAN JABATAN 1 NAMA JABATAN 2 NAMA JABATAN 3 STATUS 
PILIHAN 1 
STATUS 
PILIHAN 2 
STATUS 
PILIHAN 3 
1 611201060 
6870002 
197933 
0515 66113001200 ABANG FINSA 
SYAFITRA 06-06-1987 ANALIS KERJASAMA DAN 
PERMODALAN PENYULUH KOPERASI ANALIS KEBIJAKAN 
PERTAMA LULUS LULUS LULUS 
2 617106020 
6830002 
197283 
4220 66113000262 ABANG ILHAMSYAH 02-06-1983 ANALIS KEBIJAKAN 
PERTAMA LULUS TIDAK 
LULUS 
TIDAK 
LULUS 
3 611201310 
8800004 
133789 
6506 66113000303 ABANG MAIZIR 31-08-1980 PENATA RUANG PERTAMA SURVEYOR PEMETAAN 
PERTAMA 
ANALIS KEBIJAKAN 
PERTAMA LULUS LULUS LULUS 
4 617102260 
3900003 
139776 
4167 66112000679 ABDUL AZIZ MS 26-03-1990 PENGADMINISTRASI UMUM LULUS TIDAK 
LULUS 
TIDAK 
LULUS 
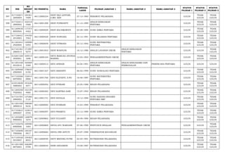
PENGUMUMAN BUPATI KUBU RAYA 
PENGUMUMAN HASIL SELEKSI ADMINISTRASI PENERIMAAN 
CPNS FORMASI PELAMAR UMUM KABUPATEN KUBU RAYA 
TAHUN 2014 
DAFTAR PELAMAR YANG DINYATAKAN LULUS SELEKSI ADMINISTRASI DAN BERHAK MENGIKUTI UJIAN SELEKSI CPNS 
FORMASI PELAMAR UMUM KABUPATEN KUBU RAYA TAHUN 2014 
5 611203130 
8840001 
180448 
3635 66113001767 ABDUL HADI 13-08-1984 GURU BAHASA INGGRIS 
PERTAMA SMP 
GURU BAHASA INGGRIS 
PERTAMA SMA LULUS LULUS TIDAK 
LULUS 
6 611205280 
4880002 
147896 
5506 66113000351 ABDUL 
HALIKURRAHMAN 28-04-1988 ANALIS KEBIJAKAN 
PERTAMA LULUS TIDAK 
LULUS 
TIDAK 
LULUS 
7 520602181 
0861002 
207745 
8409 66112000860 ABDUL HARIS 18-10-1986 NUTRISIONIS PELAKSANA LULUS TIDAK 
LULUS 
TIDAK 
LULUS 
8 611205050 
5900004 
168437 
7171 66113000665 ABDUL RAZAK 05-05-1990 GURU SEJARAH PERTAMA ANALIS KEBIJAKAN 
PERTAMA LULUS TIDAK 
LULUS 
TIDAK 
LULUS 
9 611203180 
4870003 
134515 
3109 66113001866 ABDUL RAZI 18-04-1987 GURU BAHASA INGGRIS 
PERTAMA SMP 
ANALIS KEBIJAKAN 
PERTAMA 
GURU BAHASA INGGRIS 
PERTAMA SMA LULUS TIDAK 
LULUS LULUS 
10 611209130 
1850002 
150399 
5482 66113000576 ABDULLAH 13-01-1985 ANALIS KEBIJAKAN 
PERTAMA LULUS TIDAK 
LULUS 
TIDAK 
LULUS 
11 617101270 
7860013 
168333 
8540 66113000845 ABDURRANI 27-07-1986 GURU SEJARAH PERTAMA LULUS TIDAK 
LULUS 
TIDAK 
LULUS 
12 611209030 
1880006 
126569 
9284 66113001709 ABDURROHIM 03-01-1988 PRANATA KOMPUTER 
PERTAMA 
ANALIS KEBIJAKAN 
PERTAMA LULUS LULUS TIDAK 
LULUS 
13 611209060 
1850008 
177782 
8798 66113001614 ABU BAKAR 06-01-1985 ANALIS KEBIJAKAN 
PERTAMA LULUS TIDAK 
LULUS 
TIDAK 
LULUS 
14 611201111 
2850011 
163416 
8123 66113001723 ACHMAD IROKI 11-12-1985 GURU BAHASA INGGRIS 
PERTAMA SMP 
GURU BAHASA INGGRIS 
PERTAMA SMA 
ANALIS KEBIJAKAN 
PERTAMA LULUS LULUS TIDAK 
LULUS 
15 611201051 
1870001 
176040 
1309 66113000272 ACHMAD SUKMA 
WIJAYANTO 05-11-1987 TEKNIK PENYEHATAN 
LINGKUNGAN PERTAMA 
PENGAWAS LINGKUNGAN 
HIDUP PERTAMA 
PENGENDALI DAMPAK 
LINGKUNGAN PERTAMA LULUS LULUS LULUS 
16 611201500 
3880014 
147386 
2766 66113000582 ADE DWI SETIAWATI, 
SE 10-03-1988 PERENCANA PERTAMA ANALIS ANGGARAN ANALIS KEBIJAKAN 
PERTAMA LULUS LULUS LULUS
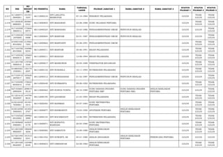
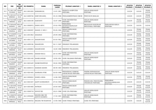
NO NIK 
NO 
REGIST 
ER 
NO PESERTA NAMA TANGGAL 
LAHIR PILIHAN JABATAN 1 NAMA JABATAN 2 NAMA JABATAN 3 STATUS 
PILIHAN 1 
STATUS 
PILIHAN 2 
STATUS 
PILIHAN 3 
17 617101160 
2910006 
172365 
7762 66113000771 ADE FEBRIAN 
SALIPUTRA 16-02-1991 
PENGAWAS 
KETENAGAKERJAAN 
PERTAMA 
ANALIS LAYANAN UMUM ANALIS KEBIJAKAN 
PERTAMA LULUS LULUS LULUS 
18 617105240 
7830001 
130181 
6272 66113000237 ADE GUNAWAN 
HERIYANTO 24-07-1983 PERENCANA PERTAMA PENYULUH KOPERASI ANALIS KERJASAMA DAN 
PERMODALAN LULUS LULUS LULUS 
19 617101490 
4890005 
169720 
2295 66112000856 ADE IRMA SURYANI 09-04-1989 PENGADMINISTRASI UMUM PENYUSUN RISALAH LULUS LULUS TIDAK 
LULUS 
20 617103050 
9850504 
178262 
7701 66113000145 ADE RAHMANSYAH 05-09-1985 ANALIS KEBIJAKAN 
PERTAMA LULUS TIDAK 
LULUS 
TIDAK 
LULUS 
21 617101200 
2850008 
194078 
6004 66113001083 ADE SUWARDI 20-02-1985 ANALIS KEBIJAKAN 
PERTAMA LULUS TIDAK 
LULUS 
TIDAK 
LULUS 
22 617103480 
3900007 
144407 
0814 66113001716 ADELIA YUSNITA DEWI 08-03-1990 SANITARIAN PERTAMA ANALIS KEBIJAKAN 
PERTAMA LULUS TIDAK 
LULUS 
TIDAK 
LULUS 
23 617103410 
5840001 
198136 
0587 66113001067 ADEWATI 01-05-1984 ANALIS KEBIJAKAN 
PERTAMA LULUS TIDAK 
LULUS 
TIDAK 
LULUS 
24 611201100 
1860011 
196140 
2530 66113000481 ADHITYA FERNANDA 10-01-1986 
PENGAWAS 
KETENAGAKERJAAN 
PERTAMA 
MEDIATOR HUBUNGAN 
INDUSTRIAL PERTAMA 
ANALIS KEBIJAKAN 
PERTAMA LULUS LULUS LULUS 
25 611201231 
1860003 
154359 
0752 66113001231 ADI NOVIARDI 23-11-1986 SURVEYOR PEMETAAN 
PERTAMA PENATA RUANG PERTAMA ANALIS KEBIJAKAN 
PERTAMA LULUS LULUS LULUS 
26 617102240 
6880001 
156133 
7112 66113001542 ADI PASAH KAHAR 24-06-1988 ANALIS KEBIJAKAN 
PERTAMA GURU BIOLOGI PERTAMA GURU IPA PERTAMA TIDAK 
LULUS LULUS LULUS 
27 611209100 
9890006 
122204 
7036 66113001772 ADI SASTRA 10-09-1989 GURU SEJARAH PERTAMA ANALIS KEBIJAKAN 
PERTAMA LULUS TIDAK 
LULUS 
TIDAK 
LULUS 
28 611201250 
8830006 
177536 
4076 66112000800 ADI SUPRIADI 25-08-1983 PENGADMINISTRASI UMUM PENYUSUN RISALAH LULUS LULUS TIDAK 
LULUS 
29 611209251 
0800006 
162690 
4936 66113001466 ADI TIRA,SE 25-10-1980 ANALIS KEBIJAKAN 
PERTAMA PERENCANA PERTAMA ANALIS ANGGARAN LULUS LULUS LULUS 
30 611201220 
2900003 
110897 
3131 66113001411 ADI WIBOWO 22-02-1990 SANITARIAN PERTAMA LULUS TIDAK 
LULUS 
TIDAK 
LULUS 
31 610502080 
9890005 
153973 
7604 66113000167 ADIANTO 08-09-1989 TEKNIK JALAN DAN 
JEMBATAN PERTAMA LULUS TIDAK 
LULUS 
TIDAK 
LULUS 
32 611201020 
4870006 
182164 
5127 66113001407 ADITYA HERMAWAN 02-04-1987 PRANATA KOMPUTER 
PERTAMA 
ANALIS KEBIJAKAN 
PERTAMA LULUS LULUS TIDAK 
LULUS 
33 617103020 
5900003 
132983 
8118 66113001222 ADITYA PRATAMA 02-05-1990 PRANATA KOMPUTER 
PERTAMA 
ANALIS KEBIJAKAN 
PERTAMA LULUS LULUS TIDAK 
LULUS 
34 167101270 
5910002 
192707 
8826 66112000576 ADITYO ARYA PUTRA 27-05-1991 PENGAWAS KESELAMATAN 
PELAYARAN PELAKSANA LULUS TIDAK 
LULUS 
TIDAK 
LULUS 
35 617104190 
8810007 
177321 
8682 66113001841 ADRIANUS CAHYO 
PURNOMO MAURE 19-08-1981 ANALIS KEBIJAKAN 
PERTAMA LULUS TIDAK 
LULUS 
TIDAK 
LULUS 
36 611201050 
5910003 
165799 
8702 66113000119 ADRIANUS YADI 05-05-1991 PERANCANG PERUNDANG-UNDANGAN 
PERTAMA 
PENGAWAS 
KETENAGAKERJAAN 
PERTAMA 
ANALIS KEBIJAKAN 
PERTAMA LULUS LULUS LULUS
NO NIK 
NO 
REGIST 
ER 
NO PESERTA NAMA TANGGAL 
LAHIR PILIHAN JABATAN 1 NAMA JABATAN 2 NAMA JABATAN 3 STATUS 
PILIHAN 1 
STATUS 
PILIHAN 2 
STATUS 
PILIHAN 3 
37 351022070 
6940001 
196007 
5448 66112000811 ADY UGRA AGASTYA 
PRASADANA 07-06-1994 PENGUJI KENDARAAN 
BERMOTOR PELAKSANA LULUS TIDAK 
LULUS 
TIDAK 
LULUS 
38 617103160 
6800002 
182256 
7876 66113001596 AFNER ANDI MELKYAN 16-06-1980 ANALIS ANGGARAN PERENCANA PERTAMA ANALIS KEBIJAKAN 
PERTAMA LULUS LULUS LULUS 
39 611203610 
8910001 
213526 
6708 66113000963 AGNES DWI SUBANING 21-08-1991 GURU MATEMATIKA 
PERTAMA 
ANALIS KEBIJAKAN 
PERTAMA LULUS TIDAK 
LULUS 
TIDAK 
LULUS 
40 617104111 
2810011 
155324 
4898 66113000172 AGUNG NUSAPUTRA 11-12-1981 PENGENDALI DAMPAK 
LINGKUNGAN PERTAMA 
PENGAWAS LINGKUNGAN 
HIDUP PERTAMA 
TEKNIK PENYEHATAN 
LINGKUNGAN PERTAMA LULUS LULUS LULUS 
41 611201020 
8910010 
180000 
4530 66113000751 AGUNG PUJIONO 02-08-1991 PRANATA KOMPUTER 
PERTAMA 
ANALIS KEBIJAKAN 
PERTAMA LULUS LULUS TIDAK 
LULUS 
42 647403150 
2840001 
154800 
7504 66113001857 AGUNG WIBOWO ARI 
AJI 15-02-1984 ANALIS KEBIJAKAN 
PERTAMA LULUS TIDAK 
LULUS 
TIDAK 
LULUS 
43 617106270 
8880001 
177154 
7340 66113001426 AGUS ALATAS 27-08-1988 TEKNIK JALAN DAN 
JEMBATAN PERTAMA 
ANALIS KEBIJAKAN 
PERTAMA LULUS LULUS TIDAK 
LULUS 
44 611201520 
8900009 
138570 
9304 66112000157 AGUS AYUN IDAWATI 12-08-1990 BIDAN PELAKSANA LULUS TIDAK 
LULUS 
TIDAK 
LULUS 
45 617103150 
8830009 
158083 
3394 66112000565 AGUS DARWIN 15-08-1983 PENYULUH PAJAK 
PELAKSANA LULUS TIDAK 
LULUS 
TIDAK 
LULUS 
46 617101210 
8800009 
201676 
6822 66113001759 AGUS FITRIANTO 21-08-1980 ANALIS KEBIJAKAN 
PERTAMA LULUS TIDAK 
LULUS 
TIDAK 
LULUS 
47 610108090 
8890003 
152676 
8736 66113001548 AGUS GUNAWAN 09-08-1989 GURU FISIKA PERTAMA LULUS TIDAK 
LULUS 
TIDAK 
LULUS 
48 617103220 
8900004 
148110 
5900 66113000049 AGUS HANDRIYANTO 22-08-1990 PERANCANG PERUNDANG-UNDANGAN 
PERTAMA 
PENGAWAS 
KETENAGAKERJAAN 
PERTAMA 
ANALIS LAYANAN UMUM LULUS LULUS LULUS 
49 617105180 
8830004 
198806 
7470 66113000001 AGUS HENDRA, SE 18-08-1983 PERENCANA PERTAMA ANALIS ANGGARAN PENYULUH KOPERASI LULUS LULUS LULUS 
50 617104560 
8820008 
201585 
2751 66112000370 AGUS KIPTIANI 16-08-1982 PENYUSUN RISALAH PENGADMINISTRASI UMUM LULUS LULUS TIDAK 
LULUS 
51 610603220 
8890001 
153394 
9509 66113001180 AGUS KURNIAWI 22-08-1989 ANALIS KEBIJAKAN 
PERTAMA GURU SEJARAH PERTAMA TIDAK 
LULUS LULUS TIDAK 
LULUS 
52 352902170 
8850002 
177049 
9481 66112000424 AGUS PRIBADI 17-08-1985 PERAWAT PELAKSANA LULUS TIDAK 
LULUS 
TIDAK 
LULUS 
53 610102300 
9910004 
133579 
9331 66112000187 AGUS PURNOMO 30-09-1991 PERAWAT PELAKSANA LULUS TIDAK 
LULUS 
TIDAK 
LULUS 
54 611201540 
8930006 
190487 
3358 66112000194 AGUS SURYANI AS 14-08-1993 BIDAN PELAKSANA LULUS TIDAK 
LULUS 
TIDAK 
LULUS 
55 611209031 
2880003 
141894 
0170 66113001475 AGUS SURYANTO 03-12-1988 GURU SEJARAH PERTAMA LULUS TIDAK 
LULUS 
TIDAK 
LULUS 
56 617104570 
8910012 
162086 
1067 66112000352 AGUS SUSANTI 17-08-1991 PERAWAT PELAKSANA LULUS TIDAK 
LULUS 
TIDAK 
LULUS
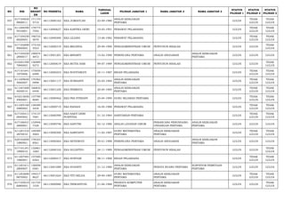
NO NIK 
NO 
REGIST 
ER 
NO PESERTA NAMA TANGGAL 
LAHIR PILIHAN JABATAN 1 NAMA JABATAN 2 NAMA JABATAN 3 STATUS 
PILIHAN 1 
STATUS 
PILIHAN 2 
STATUS 
PILIHAN 3 
57 617101010 
8870001 
116553 
4362 66113001300 AGUS SUSANTO, SE 01-08-1987 ANALIS KEBIJAKAN 
PERTAMA LULUS TIDAK 
LULUS 
TIDAK 
LULUS 
58 611204010 
4880002 
145838 
6833 66113000212 AGUS WAHYUDI 05-05-1986 GURU MATEMATIKA 
PERTAMA 
ANALIS KEBIJAKAN 
PERTAMA LULUS TIDAK 
LULUS 
TIDAK 
LULUS 
59 611201410 
8800020 
170826 
0957 66113001219 AGUSLIANTI 01-08-1980 PENATA RUANG PERTAMA SURVEYOR PEMETAAN 
PERTAMA 
ANALIS KEBIJAKAN 
PERTAMA LULUS LULUS LULUS 
60 617101570 
8880001 
185955 
3933 66112000009 AGUSTINA 17-08-1988 PENGADMINISTRASI UMUM PENYUSUN RISALAH LULUS LULUS TIDAK 
LULUS 
61 611209560 
8890003 
197315 
5479 66113000067 AGUSTINA 16-08-1989 GURU GEOGRAFI PERTAMA ANALIS KEBIJAKAN 
PERTAMA LULUS TIDAK 
LULUS 
TIDAK 
LULUS 
62 610207670 
8880001 
180416 
0195 66113001130 AGUSTINA 27-08-1988 GURU MATEMATIKA 
PERTAMA 
ANALIS KEBIJAKAN 
PERTAMA LULUS TIDAK 
LULUS 
TIDAK 
LULUS 
63 610313560 
8890001 
143245 
8019 66113001911 AGUSTINA IRA 16-08-1989 GURU BIOLOGI PERTAMA ANALIS KEBIJAKAN 
PERTAMA GURU IPA PERTAMA LULUS TIDAK 
LULUS LULUS 
64 610901530 
8890001 
195766 
7689 66113000423 AGUSTINI 13-08-1989 GURU SEJARAH PERTAMA ANALIS KEBIJAKAN 
PERTAMA LULUS TIDAK 
LULUS 
TIDAK 
LULUS 
65 611201490 
8830014 
212686 
7404 66113001259 AGUSTINI EKA SAPUTRI 09-08-1983 GURU MATEMATIKA 
PERTAMA LULUS TIDAK 
LULUS 
TIDAK 
LULUS 
66 611105220 
9820003 
101797 
0246 66113001662 AHMAD ADHARUDIN 22-09-1982 ANALIS KEBIJAKAN 
PERTAMA LULUS TIDAK 
LULUS 
TIDAK 
LULUS 
67 611201241 
1860008 
157932 
8444 66113001707 AHMAD DARWIS 24-11-1986 PEKERJA SOSIAL PERTAMA PENYULUH SOSIAL 
PERTAMA 
ANALIS KEBIJAKAN 
PERTAMA LULUS LULUS LULUS 
68 610801221 
1880001 
139585 
3701 66113000052 AHMAD EMHIKU 22-11-1988 ANALIS KEBIJAKAN 
PERTAMA 
PENYULUH SOSIAL 
PERTAMA PEKERJA SOSIAL PERTAMA LULUS LULUS LULUS 
69 611207160 
8890002 
213454 
1513 66113001862 AHMAD KASIM 16-08-1989 GURU MATEMATIKA 
PERTAMA 
ANALIS KEBIJAKAN 
PERTAMA LULUS TIDAK 
LULUS 
TIDAK 
LULUS 
70 617102011 
0870002 
180271 
1254 66113001732 AHMAD SUYUDI 01-10-1987 PRANATA KOMPUTER 
PERTAMA 
ANALIS KEBIJAKAN 
PERTAMA LULUS LULUS TIDAK 
LULUS 
71 611201040 
2890010 
199947 
2691 66113001442 AHMAD SYAIFUDDIN 04-02-1989 ANALIS ANGGARAN ANALIS KERJASAMA DAN 
PERMODALAN 
ANALIS KEBIJAKAN 
PERTAMA LULUS LULUS LULUS 
72 611209140 
3890005 
202606 
6105 66113000151 AHMAD SYARBAINI 14-03-1989 
PENGAWAS 
KETENAGAKERJAAN 
PERTAMA 
ANALIS KEBIJAKAN 
PERTAMA 
PERANCANG PERUNDANG-UNDANGAN 
PERTAMA LULUS LULUS LULUS 
73 611201130 
8910006 
207647 
1252 66112000702 AHMAD ZAINUDIN 13-08-1991 PENYUSUN RISALAH PENGADMINISTRASI UMUM LULUS LULUS TIDAK 
LULUS 
74 611202120 
3880005 
158313 
5189 66113001504 AHMADI 12-03-1988 GURU MATEMATIKA 
PERTAMA 
ANALIS KEBIJAKAN 
PERTAMA LULUS TIDAK 
LULUS 
TIDAK 
LULUS 
75 610208080 
7830008 
134215 
9765 66113001617 AHMADI S 08-07-1983 ANALIS KEBIJAKAN 
PERTAMA LULUS TIDAK 
LULUS 
TIDAK 
LULUS 
76 611201510 
1910008 
154825 
3977 66112000123 AISYAH AZMI 11-01-1991 BIDAN PELAKSANA LULUS TIDAK 
LULUS 
TIDAK 
LULUS
NO NIK 
NO 
REGIST 
ER 
NO PESERTA NAMA TANGGAL 
LAHIR PILIHAN JABATAN 1 NAMA JABATAN 2 NAMA JABATAN 3 STATUS 
PILIHAN 1 
STATUS 
PILIHAN 2 
STATUS 
PILIHAN 3 
77 611205010 
5900003 
138587 
7546 66113000686 AKBAR MALHAYATI 01-05-1990 GURU MATEMATIKA 
PERTAMA LULUS TIDAK 
LULUS 
TIDAK 
LULUS 
78 617101040 
4900005 
134594 
6232 66113001314 AKHMAD FUADI 04-04-1990 ANALIS KEBIJAKAN 
PERTAMA LULUS TIDAK 
LULUS 
TIDAK 
LULUS 
79 617101260 
8860001 
175499 
4025 66113001840 AKHMAD MAHFURI 26-08-1986 ANALIS KEBIJAKAN 
PERTAMA LULUS TIDAK 
LULUS 
TIDAK 
LULUS 
80 617102100 
5900002 
139371 
4711 66112000372 AKSAL MEITA 10-05-1990 PENYUSUN RISALAH PENGADMINISTRASI UMUM LULUS LULUS TIDAK 
LULUS 
81 617101281 
0880006 
204286 
7890 66113000714 AL HARITS 28-10-1988 GURU BAHASA INGGRIS 
PERTAMA SMP 
GURU BAHASA INGGRIS 
PERTAMA SMA 
ANALIS KEBIJAKAN 
PERTAMA LULUS LULUS TIDAK 
LULUS 
82 617103701 
2870008 
176009 
7884 66113000713 AL HUSNA 30-12-1987 GURU MATEMATIKA 
PERTAMA LULUS TIDAK 
LULUS 
TIDAK 
LULUS 
83 610301170 
6820006 
162923 
1049 66113000263 ALBERT MOSES BEGIN 17-06-1982 PENGAWAS LINGKUNGAN 
HIDUP PERTAMA 
PENGENDALI DAMPAK 
LINGKUNGAN PERTAMA 
TEKNIK PENYEHATAN 
LINGKUNGAN PERTAMA LULUS LULUS LULUS 
84 617101280 
8860010 
197643 
3536 66113001396 ALBERTUS IVAN RAY 28-08-1986 PRANATA KOMPUTER 
PERTAMA 
ANALIS KEBIJAKAN 
PERTAMA LULUS LULUS TIDAK 
LULUS 
85 611206050 
2920003 
192915 
0011 66113000156 ALBINUS TEJO 
SUNGKOWO 05-02-1992 GURU MATEMATIKA 
PERTAMA 
ANALIS KEBIJAKAN 
PERTAMA LULUS TIDAK 
LULUS 
TIDAK 
LULUS 
86 331201210 
4800005 
139620 
1409 66113000683 ALEX HARRIE WIBOWO 21-04-1980 GURU SEJARAH PERTAMA ANALIS KEBIJAKAN 
PERTAMA LULUS TIDAK 
LULUS 
TIDAK 
LULUS 
87 610612040 
8850001 
113634 
9837 66113001425 ALEXANDER ALEN 04-08-1985 GURU IPA PERTAMA GURU FISIKA PERTAMA ANALIS KEBIJAKAN 
PERTAMA LULUS LULUS TIDAK 
LULUS 
88 617106280 
7920001 
172336 
6619 66113000569 ALFIAN 28-07-1992 PRANATA KOMPUTER 
PERTAMA 
ANALIS KEBIJAKAN 
PERTAMA LULUS LULUS TIDAK 
LULUS 
89 611203431 
2920001 
139658 
9692 66112000681 ALFIANI NURUSSIYAM 03-12-1992 PENYUSUN RISALAH PENGADMINISTRASI UMUM LULUS LULUS TIDAK 
LULUS 
90 617105420 
4900009 
164225 
6174 66113001778 ALFIRA HEKSA 
RAMADANI 02-04-1990 ANALIS KEBIJAKAN 
PERTAMA LULUS TIDAK 
LULUS 
TIDAK 
LULUS 
91 617205220 
8870002 
168460 
4751 66113000795 ALFRED YONATHAN 
DIJU, ST 22-08-1987 PENATA RUANG PERTAMA SURVEYOR PEMETAAN 
PERTAMA 
ANALIS KEBIJAKAN 
PERTAMA LULUS LULUS LULUS 
92 617103160 
5840010 
173641 
8479 66113000486 ALI HARMOKO 16-05-1984 PENATA RUANG PERTAMA SURVEYOR PEMETAAN 
PERTAMA 
ANALIS KEBIJAKAN 
PERTAMA LULUS LULUS LULUS 
93 617105450 
2910009 
122877 
9447 66112000127 ALIFIA ANGGITA SARI 05-02-1991 BIDAN PELAKSANA LULUS TIDAK 
LULUS 
TIDAK 
LULUS 
94 617103100 
2860001 
170049 
0525 66113001451 ALJANI 10-02-1986 PRANATA KOMPUTER 
PERTAMA 
ANALIS KEBIJAKAN 
PERTAMA LULUS LULUS TIDAK 
LULUS 
95 617103061 
0890020 
148643 
4403 66112000023 ALVHI AL ANSYAR 06-10-1989 PENGADMINISTRASI UMUM PENYUSUN RISALAH LULUS LULUS TIDAK 
LULUS 
96 617105630 
9890002 
132107 
4728 66112000556 AMALIA DARMAYANTI 23-09-1989 PERAWAT PELAKSANA LULUS TIDAK 
LULUS 
TIDAK 
LULUS
NO NIK 
NO 
REGIST 
ER 
NO PESERTA NAMA TANGGAL 
LAHIR PILIHAN JABATAN 1 NAMA JABATAN 2 NAMA JABATAN 3 STATUS 
PILIHAN 1 
STATUS 
PILIHAN 2 
STATUS 
PILIHAN 3 
97 617101610 
9910004 
178133 
0546 66112000394 AMBAR GUMILAH 
PARTIWI 21-09-1991 BIDAN PELAKSANA LULUS TIDAK 
LULUS 
TIDAK 
LULUS 
98 617102010 
8850010 
132530 
8245 66113001103 AMBAR SATRIYA 01-08-1985 ANALIS KEBIJAKAN 
PERTAMA LULUS TIDAK 
LULUS 
TIDAK 
LULUS 
99 617103550 
5900006 
144880 
8664 66112000240 AMELIA SARTIKA 
LINGGA 15-05-1990 BIDAN PELAKSANA LULUS TIDAK 
LULUS 
TIDAK 
LULUS 
100 617105701 
1810005 
196932 
0923 66112000375 AMELIA,A.MD 30-11-1981 PENGADMINISTRASI UMUM LULUS TIDAK 
LULUS 
TIDAK 
LULUS 
101 617105500 
4840005 
169215 
9318 66113000286 AMINAH 10-04-1984 GURU SEJARAH PERTAMA ANALIS KEBIJAKAN 
PERTAMA LULUS TIDAK 
LULUS 
TIDAK 
LULUS 
102 611205020 
1910003 
172864 
6942 66112000124 AMINULLAH 02-01-1991 PERAWAT PELAKSANA LULUS TIDAK 
LULUS 
TIDAK 
LULUS 
103 617202280 
1820002 
163497 
8681 66113001774 AMRULLAH, SP 28-01-1982 ANALIS KEBIJAKAN 
PERTAMA LULUS TIDAK 
LULUS 
TIDAK 
LULUS 
104 611209590 
5930001 
153503 
0079 66112000870 ANA MARIA 14-05-1993 PENGADMINISTRASI UMUM PENYUSUN RISALAH LULUS LULUS TIDAK 
LULUS 
105 617101520 
7870004 
180936 
6620 66113000110 ANA RITA 
NURHASANAH 12-07-1987 GURU IPA PERTAMA GURU BIOLOGI PERTAMA LULUS LULUS TIDAK 
LULUS 
106 617103500 
6830007 
168182 
6008 66113001124 ANAK AGUNG AYU 
PANJI LESTARI 10-06-1983 ANALIS ANGGARAN ANALIS KEBIJAKAN 
PERTAMA PERENCANA PERTAMA LULUS LULUS LULUS 
107 611207490 
1890002 
213428 
2163 66113001534 ANASTASIA DEWI 09-01-1989 GURU MATEMATIKA 
PERTAMA 
ANALIS KEBIJAKAN 
PERTAMA LULUS TIDAK 
LULUS 
TIDAK 
LULUS 
108 610704550 
2820001 
189307 
4684 66112000322 ANASTASIA PANCA 
SETIAWATI 15-02-1982 PENGADMINISTRASI UMUM PENYUSUN RISALAH LULUS LULUS TIDAK 
LULUS 
109 611201700 
4890007 
173210 
8508 66113000735 ANASTASIA TRI AFRIANI 30-04-1989 ANALIS KEBIJAKAN 
PERTAMA LULUS TIDAK 
LULUS 
TIDAK 
LULUS 
110 617101570 
9870004 
197252 
6984 66113001876 
ANDI ARIENE 
ZAHRAWANI 
MUSTAHELE 
17-09-1987 ANALIS KEBIJAKAN 
PERTAMA LULUS TIDAK 
LULUS 
TIDAK 
LULUS 
111 611209051 
1890002 
187372 
0833 66112000442 ANDI MADIOLO 09-07-1989 PERAWAT PELAKSANA LULUS TIDAK 
LULUS 
TIDAK 
LULUS 
112 617102270 
9840006 
137601 
7779 66113001579 ANDI MUHARDI 27-09-1984 ANALIS ANGGARAN PERENCANA PERTAMA ANALIS KEBIJAKAN 
PERTAMA LULUS LULUS LULUS 
113 617104230 
5850001 
209114 
3243 66112000218 ANDIKA RIAMIZAR 23-05-1985 VERIFIKATOR KEUANGAN LULUS TIDAK 
LULUS 
TIDAK 
LULUS 
114 617103670 
3840007 
109303 
3947 66112000087 ANDINI PURNAMASARI 27-03-1984 PENYUSUN RISALAH PENGADMINISTRASI UMUM LULUS LULUS TIDAK 
LULUS 
115 617102521 
0900013 
177314 
0341 66113000428 ANDINI SHEILA MALINI 12-10-1990 ANALIS KEBIJAKAN 
PERTAMA LULUS TIDAK 
LULUS 
TIDAK 
LULUS 
116 617105040 
7910010 
131752 
2363 66112000823 ANDREANSYAH 
NUGGRAHA 04-07-1991 PENGADMINISTRASI UMUM PENYUSUN RISALAH LULUS LULUS TIDAK 
LULUS
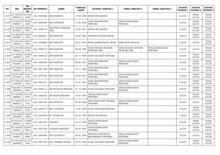
NO NIK 
NO 
REGIST 
ER 
NO PESERTA NAMA TANGGAL 
LAHIR PILIHAN JABATAN 1 NAMA JABATAN 2 NAMA JABATAN 3 STATUS 
PILIHAN 1 
STATUS 
PILIHAN 2 
STATUS 
PILIHAN 3 
117 617103240 
5890005 
180428 
4089 66113001740 ANDREAS SUCIPTO 24-05-1989 ANALIS KEBIJAKAN 
PERTAMA GURU SEJARAH PERTAMA TIDAK 
LULUS LULUS TIDAK 
LULUS 
118 611203041 
0890004 
163265 
8332 66113000525 ANDRI ANDIKA 04-10-1989 GURU SEJARAH PERTAMA LULUS TIDAK 
LULUS 
TIDAK 
LULUS 
119 617101130 
3820009 
179914 
6399 66113000996 ANDRI GINTING 13-03-1982 ANALIS KEBIJAKAN 
PERTAMA LULUS TIDAK 
LULUS 
TIDAK 
LULUS 
120 611201260 
5880004 
136758 
3753 66112000371 ANDRI SETIAWAN 26-05-1988 PENGADMINISTRASI UMUM PENYUSUN RISALAH LULUS LULUS TIDAK 
LULUS 
121 617103080 
9860502 
207133 
5186 66113000345 ANDRI SUPRIANTO 08-09-1986 ANALIS ANGGARAN ANALIS KERJASAMA DAN 
PERMODALAN 
ANALIS KEBIJAKAN 
PERTAMA LULUS LULUS LULUS 
122 617103300 
7870003 
196775 
5437 66113000104 ANDRI ZULIANSYAH 30-07-1987 ANALIS KEBIJAKAN 
PERTAMA LULUS TIDAK 
LULUS 
TIDAK 
LULUS 
123 611207101 
2880003 
205906 
5708 66112000070 ANDRIANSYAH,A.MD.KE 
P 10-12-1988 PERAWAT PELAKSANA LULUS TIDAK 
LULUS 
TIDAK 
LULUS 
124 611207180 
4890001 
143267 
5725 66112000517 ANDRY KURNIAWAN 18-04-1989 PERAWAT PELAKSANA LULUS TIDAK 
LULUS 
TIDAK 
LULUS 
125 611203021 
0920006 
142631 
9154 66112000769 ANDY FIRMANSYAH 02-10-1992 PENGADMINISTRASI UMUM LULUS TIDAK 
LULUS 
TIDAK 
LULUS 
126 610804520 
1900002 
121349 
0490 66112000178 ANGELA 12-01-1990 PERAWAT PELAKSANA LULUS TIDAK 
LULUS 
TIDAK 
LULUS 
127 617101150 
8900006 
213555 
3378 66113001240 ANGGA HENDRA 
DHARMAWAN 15-08-1990 ANALIS KEBIJAKAN 
PERTAMA LULUS TIDAK 
LULUS 
TIDAK 
LULUS 
128 611207250 
9930001 
150083 
3833 66112000018 ANGGA IRNANDA 25-09-1993 PERAWAT PELAKSANA LULUS TIDAK 
LULUS 
TIDAK 
LULUS 
129 617102220 
2900002 
164248 
7394 66112000654 ANGGA PRASATIA 22-02-1990 PENGADMINISTRASI UMUM PENYUSUN RISALAH LULUS LULUS TIDAK 
LULUS 
130 617106191 
2910001 
164156 
5126 66113001384 ANGGA PRAYUDA 19-12-1991 TEKNIK JALAN DAN 
JEMBATAN PERTAMA 
ANALIS KEBIJAKAN 
PERTAMA LULUS LULUS TIDAK 
LULUS 
131 617101581 
0890007 
135489 
1084 66112000088 ANGGI ARISSANDY 18-10-1989 VERIFIKATOR KEUANGAN LULUS TIDAK 
LULUS 
TIDAK 
LULUS 
132 617103130 
5880004 
194524 
4903 66113000905 ANGGIE F. AL NUR 13-05-1988 ANALIS KEBIJAKAN 
PERTAMA LULUS TIDAK 
LULUS 
TIDAK 
LULUS 
133 617105601 
1850010 
174029 
6058 66113001143 ANGGIE KAMBARA 
YUDHA 20-11-1985 GURU MATEMATIKA 
PERTAMA LULUS TIDAK 
LULUS 
TIDAK 
LULUS 
134 611204610 
5900001 
157985 
1206 66113001076 ANGGRAENI AYUNING 
TYAS DS 21-05-1990 ANALIS KEBIJAKAN 
PERTAMA LULUS TIDAK 
LULUS 
TIDAK 
LULUS 
135 617104451 
0890001 
133974 
1200 66113000295 ANGGRAINI 
OCTAPRATAMI 05-10-1989 GURU MATEMATIKA 
PERTAMA LULUS TIDAK 
LULUS 
TIDAK 
LULUS 
136 610207470 
4830006 
146950 
8095 66113001264 ANGGRAINI 
SETYANINGSIH 07-04-1983 GURU IPA PERTAMA GURU BIOLOGI PERTAMA LULUS LULUS TIDAK 
LULUS
NO NIK 
NO 
REGIST 
ER 
NO PESERTA NAMA TANGGAL 
LAHIR PILIHAN JABATAN 1 NAMA JABATAN 2 NAMA JABATAN 3 STATUS 
PILIHAN 1 
STATUS 
PILIHAN 2 
STATUS 
PILIHAN 3 
137 611201670 
8890014 
155370 
3226 66113001127 ANGGUN FATMASARI 27-08-1989 GURU MATEMATIKA 
PERTAMA 
ANALIS KEBIJAKAN 
PERTAMA LULUS TIDAK 
LULUS 
TIDAK 
LULUS 
138 617105220 
6870003 
112069 
4494 66113001068 ANGKY PARAMISWARA. 
D 22-06-1987 ANALIS KERJASAMA DAN 
PERMODALAN 
ANALIS KEBIJAKAN 
PERTAMA ANALIS ANGGARAN LULUS LULUS LULUS 
139 330805600 
8820005 
150364 
1359 66113001225 ANI NASHIROH 20-08-1982 APOTEKER PERTAMA LULUS TIDAK 
LULUS 
TIDAK 
LULUS 
140 617101410 
7800096 
162592 
2579 66113001234 ANI SARTIKA.SS 01-07-1980 ANALIS LAYANAN UMUM 
PENGAWAS 
KETENAGAKERJAAN 
PERTAMA 
ANALIS KEBIJAKAN 
PERTAMA LULUS LULUS LULUS 
141 610901491 
0850006 
189184 
2647 66113001427 ANI SULASTRI 09-10-1985 ANALIS KEBIJAKAN 
PERTAMA LULUS TIDAK 
LULUS 
TIDAK 
LULUS 
142 611201680 
1890008 
169323 
7724 66113001223 ANINDIAN SHINTA 
UTAMI 28-01-1989 PENGAWAS LINGKUNGAN 
HIDUP PERTAMA 
PENGENDALI DAMPAK 
LINGKUNGAN PERTAMA 
TEKNIK PENYEHATAN 
LINGKUNGAN PERTAMA LULUS LULUS LULUS 
143 611201460 
6900004 
145481 
6337 66113000109 ANITA 06-06-1990 GURU MATEMATIKA 
PERTAMA 
ANALIS KEBIJAKAN 
PERTAMA LULUS TIDAK 
LULUS 
TIDAK 
LULUS 
144 611201450 
7820022 
213923 
0177 66113001661 ANITA 05-07-1982 ANALIS KEBIJAKAN 
PERTAMA LULUS TIDAK 
LULUS 
TIDAK 
LULUS 
145 617102590 
8870007 
148895 
3600 66112000366 ANITA ANWAR 19-08-1987 PENGADMINISTRASI UMUM PENYUSUN RISALAH LULUS LULUS TIDAK 
LULUS 
146 617102450 
5800011 
161642 
8875 66113000281 ANITA CARLINA, SP 05-05-1980 ANALIS KEBIJAKAN 
PERTAMA LULUS TIDAK 
LULUS 
TIDAK 
LULUS 
147 611206530 
6860003 
195809 
7341 66112000564 ANITA JUNIAWATI 13-06-1986 BIDAN PELAKSANA LULUS TIDAK 
LULUS 
TIDAK 
LULUS 
148 617105530 
8880012 
179139 
6325 66113001385 ANITA NUR PRATIWI 13-08-1988 ANALIS ANGGARAN PENYULUH KOPERASI ANALIS KEBIJAKAN 
PERTAMA LULUS LULUS LULUS 
149 617103550 
9840005 
165349 
1207 66113000623 ANITA RIYANI 15-09-1984 PRANATA KOMPUTER 
PERTAMA 
ANALIS KEBIJAKAN 
PERTAMA LULUS LULUS TIDAK 
LULUS 
150 611209420 
9870001 
110680 
4343 66113001307 ANITA RIYANTI 02-09-1987 GURU MATEMATIKA 
PERTAMA LULUS TIDAK 
LULUS 
TIDAK 
LULUS 
151 611201550 
3910005 
201678 
9086 66112000831 ANITA WULANDARI 15-03-1991 PENGADMINISTRASI UMUM PENYUSUN RISALAH LULUS LULUS TIDAK 
LULUS 
152 610111441 
2870003 
210044 
9304 66113001294 ANITASMITA 04-12-1987 GURU SEJARAH PERTAMA ANALIS KEBIJAKAN 
PERTAMA LULUS TIDAK 
LULUS 
TIDAK 
LULUS 
153 332811680 
7920004 
206880 
0895 66113001049 ANNA RAHMATIKA 28-07-1992 STATISTISI PERTAMA ANALIS KEBIJAKAN 
PERTAMA LULUS LULUS TIDAK 
LULUS 
154 617105411 
2890005 
143754 
9446 66113001513 ANNISA 01-12-1989 GURU IPA PERTAMA GURU FISIKA PERTAMA ANALIS KEBIJAKAN 
PERTAMA LULUS LULUS TIDAK 
LULUS 
155 611201630 
8830009 
154907 
5924 66112000230 ANNIZAR 23-08-1983 PENGADMINISTRASI UMUM PENYUSUN RISALAH LULUS LULUS TIDAK 
LULUS 
156 617103190 
5800009 
134101 
1196 66113000004 ANSHORI ISMAIL, 
S.KOM 19-05-1980 PRANATA KOMPUTER 
PERTAMA 
ANALIS KEBIJAKAN 
PERTAMA LULUS LULUS LULUS
NO NIK 
NO 
REGIST 
ER 
NO PESERTA NAMA TANGGAL 
LAHIR PILIHAN JABATAN 1 NAMA JABATAN 2 NAMA JABATAN 3 STATUS 
PILIHAN 1 
STATUS 
PILIHAN 2 
STATUS 
PILIHAN 3 
157 611201010 
9830012 
207356 
8378 66113001150 ANTON ILHAM 01-09-1983 PERENCANA PERTAMA ANALIS ANGGARAN ANALIS KERJASAMA DAN 
PERMODALAN LULUS LULUS LULUS 
158 611207310 
8910001 
191123 
4083 66112000529 ANTON SUPIANDI 31-08-1991 PERAWAT PELAKSANA LULUS TIDAK 
LULUS 
TIDAK 
LULUS 
159 610311420 
6870001 
118665 
1629 66113001069 ANTONIA ASUL 02-06-1987 PERENCANA PERTAMA LULUS TIDAK 
LULUS 
TIDAK 
LULUS 
160 610510640 
8890001 
204862 
2789 66113001376 ANTONIA SARI 24-08-1989 PENYULUH SOSIAL PERTAMA PEKERJA SOSIAL PERTAMA ANALIS KEBIJAKAN 
PERTAMA LULUS LULUS LULUS 
161 617105040 
3900009 
193046 
1088 66113000440 ANWAR SHODIQ 04-03-1990 GURU MATEMATIKA 
PERTAMA LULUS TIDAK 
LULUS 
TIDAK 
LULUS 
162 617101510 
4910002 
137483 
5859 66113001686 APREA WULAN DEWI 11-04-1991 ANALIS KEBIJAKAN 
PERTAMA LULUS TIDAK 
LULUS 
TIDAK 
LULUS 
163 617101690 
4850011 
202691 
5219 66113000994 APRELLA TRIOS 29-04-1985 PENYULUH KOPERASI ANALIS KERJASAMA DAN 
PERMODALAN 
ANALIS KEBIJAKAN 
PERTAMA LULUS LULUS LULUS 
164 611205160 
4880001 
124895 
2275 66112000605 APRI AIRANSYAH 16-04-1988 PERAWAT PELAKSANA LULUS TIDAK 
LULUS 
TIDAK 
LULUS 
165 617106140 
4820002 
144168 
0943 66112000266 APRIADI 14-04-1982 PENYULUH PAJAK 
PELAKSANA LULUS TIDAK 
LULUS 
TIDAK 
LULUS 
166 611201550 
4820017 
207607 
4151 66113000125 APRIANA 15-04-1982 GURU MATEMATIKA 
PERTAMA 
ANALIS KEBIJAKAN 
PERTAMA LULUS TIDAK 
LULUS 
TIDAK 
LULUS 
167 610212700 
4900002 
192202 
6548 66113000209 APRIANI 30-04-1990 GURU SEJARAH PERTAMA LULUS TIDAK 
LULUS 
TIDAK 
LULUS 
168 610505420 
4850001 
210922 
4829 66113000447 APRILIA SUSANTI 02-04-1985 GURU MATEMATIKA 
PERTAMA LULUS TIDAK 
LULUS 
TIDAK 
LULUS 
169 611201690 
4870004 
182027 
1889 66113001211 APRINDAH 
LUMBANTORUAN 29-04-1987 GURU BIOLOGI PERTAMA GURU IPA PERTAMA ANALIS KEBIJAKAN 
PERTAMA LULUS LULUS TIDAK 
LULUS 
170 611201590 
4840006 
193817 
8714 66113000342 APRIYANI 19-04-1984 PERENCANA PERTAMA PENYULUH KOPERASI ANALIS ANGGARAN LULUS LULUS LULUS 
171 617103450 
4900007 
206094 
5387 66112000125 APRIYANTI 05-04-1990 BIDAN PELAKSANA LULUS TIDAK 
LULUS 
TIDAK 
LULUS 
172 617105190 
8880003 
172257 
3784 66113000914 ARBA SUTOPO 19-08-1988 GURU SEJARAH PERTAMA ANALIS KEBIJAKAN 
PERTAMA LULUS TIDAK 
LULUS 
TIDAK 
LULUS 
173 610201130 
1910003 
143605 
1054 66113001444 ARDHIAN 
PRABARIANTO 13-01-1991 PRANATA KOMPUTER 
PERTAMA 
ANALIS KEBIJAKAN 
PERTAMA LULUS LULUS TIDAK 
LULUS 
174 610104220 
4910006 
151884 
5414 66113000725 ARI KURNIAWAN 22-04-1991 GURU MATEMATIKA 
PERTAMA 
ANALIS KEBIJAKAN 
PERTAMA LULUS TIDAK 
LULUS 
TIDAK 
LULUS 
175 611201590 
1920002 
165677 
8772 66113001421 ARI PRATIWI 
WAHYUNINGRUM 19-01-1992 GURU MATEMATIKA 
PERTAMA LULUS TIDAK 
LULUS 
TIDAK 
LULUS 
176 617105500 
2900008 
100493 
5697 66113000694 ARI PUJI ASTUTI 10-02-1990 GURU BAHASA INDONESIA 
PERTAMA LULUS TIDAK 
LULUS 
TIDAK 
LULUS
NO NIK 
NO 
REGIST 
ER 
NO PESERTA NAMA TANGGAL 
LAHIR PILIHAN JABATAN 1 NAMA JABATAN 2 NAMA JABATAN 3 STATUS 
PILIHAN 1 
STATUS 
PILIHAN 2 
STATUS 
PILIHAN 3 
177 617102480 
8860001 
202579 
6143 66113001164 ARI PUJI JAYANTI 08-08-1986 GURU MATEMATIKA 
PERTAMA LULUS TIDAK 
LULUS 
TIDAK 
LULUS 
178 610212220 
5880001 
122821 
5168 66112000673 ARI RIANTO 22-05-1988 PENGADMINISTRASI UMUM PENYUSUN RISALAH LULUS LULUS TIDAK 
LULUS 
179 611201441 
2820009 
113539 
6031 66113001138 ARI SEBAWATI. S.PD 04-12-1982 GURU MATEMATIKA 
PERTAMA 
ANALIS KEBIJAKAN 
PERTAMA LULUS TIDAK 
LULUS 
TIDAK 
LULUS 
180 617102520 
9920014 
169986 
6081 66112000633 ARI SETIA HANDINI 12-09-1992 PENGADMINISTRASI UMUM PENYUSUN RISALAH LULUS LULUS TIDAK 
LULUS 
181 617201120 
6890001 
154932 
9512 66113001741 ARI WARDANA 12-06-1989 PRANATA KOMPUTER 
PERTAMA 
ANALIS KEBIJAKAN 
PERTAMA LULUS LULUS TIDAK 
LULUS 
182 617105230 
1880004 
159673 
2664 66113001608 ARI YUNALDI 23-01-1988 ANALIS KEBIJAKAN 
PERTAMA LULUS TIDAK 
LULUS 
TIDAK 
LULUS 
183 611206420 
6900002 
165978 
5022 66112000478 ARI YUNI ASTITI 02-06-1990 PERAWAT PELAKSANA LULUS TIDAK 
LULUS 
TIDAK 
LULUS 
184 617102671 
0910001 
169097 
7947 66113000938 ARIANI 27-10-1991 PEKERJA SOSIAL PERTAMA PENYULUH SOSIAL 
PERTAMA 
ANALIS KEBIJAKAN 
PERTAMA LULUS LULUS LULUS 
185 611203161 
2860005 
177851 
5838 66113000129 ARIANSAH 16-12-1986 GURU MATEMATIKA 
PERTAMA LULUS TIDAK 
LULUS 
TIDAK 
LULUS 
186 317510011 
0801001 
131832 
3175 66113000095 ARIANTO 
SIRINGORINGO 01-10-1980 PERENCANA PERTAMA ANALIS KERJASAMA DAN 
PERMODALAN PENYULUH KOPERASI LULUS LULUS LULUS 
187 617101180 
1880003 
173906 
5827 66113000969 ARIEF OBAJA 18-01-1988 ANALIS LAYANAN UMUM 
PENGAWAS 
KETENAGAKERJAAN 
PERTAMA 
PERANCANG PERUNDANG-UNDANGAN 
PERTAMA LULUS LULUS LULUS 
188 617105171 
0890002 
209263 
4650 66113000945 ARIEF PUTRA 
HERDINATA 17-10-1989 
PENGAWAS 
KETENAGAKERJAAN 
PERTAMA 
PENGANTAR KERJA 
PERTAMA 
PERANCANG PERUNDANG-UNDANGAN 
PERTAMA LULUS LULUS LULUS 
189 611201020 
5890004 
199431 
9848 66113001170 ARIEF SETIAWAN 02-05-1989 GURU BAHASA INGGRIS 
PERTAMA SMP LULUS TIDAK 
LULUS 
TIDAK 
LULUS 
190 617104020 
8840005 
105543 
1119 66113001727 ARIES WIJAYANTO 02-08-1984 GURU SEJARAH PERTAMA LULUS TIDAK 
LULUS 
TIDAK 
LULUS 
191 180210201 
1850003 
166608 
7562 66113001792 ARIES YUNIAR 20-11-1985 PENGAWAS BIBIT TERNAK 
PERTAMA 
ANALIS KEBIJAKAN 
PERTAMA LULUS LULUS TIDAK 
LULUS 
192 617103230 
2910010 
186953 
5442 66113000570 ARIF DWI PUTRA 23-02-1991 PRANATA KOMPUTER 
PERTAMA 
ANALIS KEBIJAKAN 
PERTAMA LULUS LULUS TIDAK 
LULUS 
193 611201180 
1850001 
157267 
1715 66113000586 ARIF KURNIAWAN 18-01-1985 GURU BIOLOGI PERTAMA GURU IPA PERTAMA LULUS LULUS TIDAK 
LULUS 
194 610417170 
7870005 
214639 
2049 66112000595 ARIF PURWANTO 17-07-1987 VERIFIKATOR KEUANGAN LULUS TIDAK 
LULUS 
TIDAK 
LULUS 
195 617105250 
3860003 
193949 
8453 66112000819 ARIF TIRTANA, A.MD 25-03-1986 PENGADMINISTRASI UMUM PENYUSUN RISALAH LULUS LULUS TIDAK 
LULUS 
196 611207280 
3820002 
188157 
3157 66113000575 ARIFIN 28-03-1982 PERENCANA PERTAMA ANALIS ANGGARAN ANALIS KEBIJAKAN 
PERTAMA LULUS LULUS LULUS
NO NIK 
NO 
REGIST 
ER 
NO PESERTA NAMA TANGGAL 
LAHIR PILIHAN JABATAN 1 NAMA JABATAN 2 NAMA JABATAN 3 STATUS 
PILIHAN 1 
STATUS 
PILIHAN 2 
STATUS 
PILIHAN 3 
197 611201630 
9900003 
104810 
6490 66113001563 ARINDA TRI WIGATI 23-09-1990 ANALIS KEBIJAKAN 
PERTAMA ANALIS ANGGARAN ANALIS KERJASAMA DAN 
PERMODALAN LULUS LULUS LULUS 
198 617201581 
0920002 
152486 
3416 66112000079 ARINDHA 18-10-1992 PERAWAT PELAKSANA LULUS TIDAK 
LULUS 
TIDAK 
LULUS 
199 617105660 
9880004 
211729 
1597 66113000705 ARINI WIRDA MALASARI 26-09-1988 GURU KIMIA PERTAMA ANALIS KEBIJAKAN 
PERTAMA LULUS TIDAK 
LULUS 
TIDAK 
LULUS 
200 332410430 
9890001 
139667 
5846 66112000751 ARIS ARDIYANI 03-09-1989 PERAWAT PELAKSANA LULUS TIDAK 
LULUS 
TIDAK 
LULUS 
201 330910030 
9840002 
182732 
2025 66113001908 ARIS BUDI SANTOSA 03-09-1984 GURU IPA PERTAMA GURU FISIKA PERTAMA ANALIS KEBIJAKAN 
PERTAMA LULUS LULUS TIDAK 
LULUS 
202 617105010 
2850009 
134152 
4089 66113001645 ARIS WARTIONO 01-02-1985 ANALIS KERJASAMA DAN 
PERMODALAN PERENCANA PERTAMA PENYULUH KOPERASI LULUS LULUS LULUS 
203 617101700 
6900003 
157777 
7980 66113001883 ARISTALIA YUNIARTI 30-06-1990 SANITARIAN PERTAMA ANALIS KEBIJAKAN 
PERTAMA LULUS TIDAK 
LULUS 
TIDAK 
LULUS 
204 617105500 
1900002 
117600 
7850 66112000536 ARIY PURWANTI 10-01-1989 PENGADMINISTRASI UMUM PENYUSUN RISALAH LULUS LULUS TIDAK 
LULUS 
205 617102111 
2850003 
172452 
1585 66113001381 ARIYANTO ALKADRIE 11-12-1985 TEKNIK JALAN DAN 
JEMBATAN PERTAMA 
ANALIS KEBIJAKAN 
PERTAMA LULUS LULUS TIDAK 
LULUS 
206 611201660 
3900004 
169168 
6249 66113000558 ARMI KARTIKA 26-03-1990 GURU MATEMATIKA 
PERTAMA 
ANALIS KEBIJAKAN 
PERTAMA LULUS TIDAK 
LULUS 
TIDAK 
LULUS 
207 610104200 
7890002 
119047 
1917 66113000312 ARPAN 20-07-1989 GURU SEJARAH PERTAMA ANALIS KEBIJAKAN 
PERTAMA LULUS TIDAK 
LULUS 
TIDAK 
LULUS 
208 617101581 
0910008 
132485 
2137 66113000759 ARVINA YULINDAR 18-10-1991 GURU FISIKA PERTAMA GURU IPA PERTAMA LULUS LULUS TIDAK 
LULUS 
209 617101580 
9900003 
173918 
8858 66112000738 ARY PURNAMA SARI 18-09-1990 VERIFIKATOR KEUANGAN LULUS TIDAK 
LULUS 
TIDAK 
LULUS 
210 617101020 
5860008 
122479 
9713 66113000731 AS'AD 02-05-1986 GURU BAHASA INDONESIA 
PERTAMA LULUS TIDAK 
LULUS 
TIDAK 
LULUS 
211 611201011 
0820007 
115292 
3577 66113000518 ASEP KURNIAWAN, SH 01-10-1982 PERANCANG PERUNDANG-UNDANGAN 
PERTAMA 
MEDIATOR HUBUNGAN 
INDUSTRIAL PERTAMA 
ANALIS KEBIJAKAN 
PERTAMA LULUS LULUS LULUS 
212 611201520 
8810009 
113904 
2990 66113001853 ASIAH 12-08-1981 ANALIS KEBIJAKAN 
PERTAMA LULUS TIDAK 
LULUS 
TIDAK 
LULUS 
213 611203170 
1860002 
134917 
0973 66113001449 ASLIASPANA 17-01-1986 PERANCANG PERUNDANG-UNDANGAN 
PERTAMA 
ANALIS KEBIJAKAN 
PERTAMA 
MEDIATOR HUBUNGAN 
INDUSTRIAL PERTAMA LULUS LULUS LULUS 
214 611201101 
0860010 
114706 
7628 66113000122 ASMADI 10-10-1986 ANALIS KEBIJAKAN 
PERTAMA LULUS TIDAK 
LULUS 
TIDAK 
LULUS 
215 611203460 
1880006 
168881 
5328 66113000641 ASMUDAH NUR 
QOMARIYAH 06-01-1988 ANALIS KEBIJAKAN 
PERTAMA LULUS TIDAK 
LULUS 
TIDAK 
LULUS 
216 610903070 
2850004 
159677 
7959 66113001262 ASMUNI RIADI 07-02-1985 GURU IPA PERTAMA GURU BIOLOGI PERTAMA ANALIS KEBIJAKAN 
PERTAMA LULUS LULUS TIDAK 
LULUS
NO NIK 
NO 
REGIST 
ER 
NO PESERTA NAMA TANGGAL 
LAHIR PILIHAN JABATAN 1 NAMA JABATAN 2 NAMA JABATAN 3 STATUS 
PILIHAN 1 
STATUS 
PILIHAN 2 
STATUS 
PILIHAN 3 
217 611205460 
5900004 
162098 
5172 66112000496 ASNAH HARYANI 06-05-1990 BIDAN PELAKSANA LULUS TIDAK 
LULUS 
TIDAK 
LULUS 
218 611201470 
5850005 
175618 
1300 66113000275 ASNAWATI 07-05-1985 PERENCANA PERTAMA ANALIS ANGGARAN ANALIS KEBIJAKAN 
PERTAMA LULUS LULUS LULUS 
219 617103501 
2810016 
163631 
2049 66113000531 ASPARNI.AS, S.PD 10-12-1981 GURU MATEMATIKA 
PERTAMA 
ANALIS KEBIJAKAN 
PERTAMA LULUS TIDAK 
LULUS 
TIDAK 
LULUS 
220 610501600 
2810002 
160534 
1278 66112000851 ASRYANI SANTI 20-02-1981 PENGADMINISTRASI UMUM LULUS TIDAK 
LULUS 
TIDAK 
LULUS 
221 617102420 
9850001 
152668 
8889 66113001156 ASTERIA 02-09-1985 ANALIS KEBIJAKAN 
PERTAMA LULUS TIDAK 
LULUS 
TIDAK 
LULUS 
222 611205660 
8890002 
152965 
0675 66112000716 ASTI FURYANITA 26-08-1989 BIDAN PELAKSANA LULUS TIDAK 
LULUS 
TIDAK 
LULUS 
223 617105490 
9840001 
123634 
5911 66113001610 ASTI ROSWITA 09-09-1984 ANALIS KEBIJAKAN 
PERTAMA LULUS TIDAK 
LULUS 
TIDAK 
LULUS 
224 611201450 
9830008 
132354 
0618 66113000055 ASTRI 05-09-1983 PERENCANA PERTAMA PENYULUH KOPERASI ANALIS ANGGARAN LULUS LULUS LULUS 
225 617103650 
4880006 
167079 
3662 66113001467 ASTRID SEBAYANG 25-04-1988 ANALIS KEBIJAKAN 
PERTAMA 
PENGENDALI ORGANISME 
PENGGANGGU TUMBUHAN 
PERTAMA 
LULUS LULUS TIDAK 
LULUS 
226 617102690 
9860004 
113486 
8725 66112000530 ASTUTI 29-09-1986 BIDAN PELAKSANA LULUS TIDAK 
LULUS 
TIDAK 
LULUS 
227 610806530 
4930001 
113419 
5180 66112000277 ASYERA GERA 13-04-1993 PENGADMINISTRASI UMUM LULUS TIDAK 
LULUS 
TIDAK 
LULUS 
228 617101540 
4830010 
153610 
5009 66113001039 ATHIRAH,SE 14-04-1983 ANALIS KEBIJAKAN 
PERTAMA LULUS TIDAK 
LULUS 
TIDAK 
LULUS 
229 327904611 
1870001 
140788 
7823 66113001393 ATI HARTATI 21-11-1987 ANALIS KEBIJAKAN 
PERTAMA LULUS TIDAK 
LULUS 
TIDAK 
LULUS 
230 617105580 
7820011 
145206 
1386 66113001458 ATIKA DARA PRENSI 18-07-1982 ANALIS KEBIJAKAN 
PERTAMA LULUS TIDAK 
LULUS 
TIDAK 
LULUS 
231 611201660 
8900007 
126054 
6283 66113001799 ATMI AYU 
SISDAMANTRI 26-08-1990 TEKNIK PENYEHATAN 
LINGKUNGAN PERTAMA 
PENGAWAS LINGKUNGAN 
HIDUP PERTAMA 
ANALIS KEBIJAKAN 
PERTAMA LULUS LULUS LULUS 
232 340111670 
2860001 
146629 
9284 66113001702 ATUT BUDI LESTARI 27-02-1986 GURU BAHASA INGGRIS 
PERTAMA SMP 
GURU BAHASA INGGRIS 
PERTAMA SMA 
ANALIS KEBIJAKAN 
PERTAMA LULUS LULUS TIDAK 
LULUS 
233 617101621 
1910010 
182476 
9710 66112000562 AULIA CHAIRUNNISA 22-11-1991 BIDAN PELAKSANA LULUS TIDAK 
LULUS 
TIDAK 
LULUS 
234 617205670 
3910001 
192268 
8823 66113001270 AULIA HARMIYANTI, 
S.PD 27-03-1991 GURU BAHASA INGGRIS 
PERTAMA SMP 
GURU BAHASA INGGRIS 
PERTAMA SMA LULUS LULUS TIDAK 
LULUS 
235 611201060 
4880008 
164411 
8959 66113000336 AUNURRAHMAN 06-04-1988 PENGAWAS PERIKANAN 
PERTAMA 
ANALIS KEBIJAKAN 
PERTAMA LULUS LULUS TIDAK 
LULUS 
236 617201160 
6880001 
156832 
0238 66113000774 AWANG B. W 16-06-1988 PRANATA KOMPUTER 
PERTAMA 
ANALIS KEBIJAKAN 
PERTAMA LULUS LULUS TIDAK 
LULUS
NO NIK 
NO 
REGIST 
ER 
NO PESERTA NAMA TANGGAL 
LAHIR PILIHAN JABATAN 1 NAMA JABATAN 2 NAMA JABATAN 3 STATUS 
PILIHAN 1 
STATUS 
PILIHAN 2 
STATUS 
PILIHAN 3 
237 611207020 
1830002 
181160 
2603 66113001241 AWANG 
KURNIAWAN,S.SOS 02-01-1983 ANALIS LAYANAN UMUM ANALIS KEBIJAKAN 
PERTAMA LULUS LULUS TIDAK 
LULUS 
238 611209611 
1930004 
110760 
5094 66112000557 AYU ANDIRA 21-11-1993 BIDAN PELAKSANA LULUS TIDAK 
LULUS 
TIDAK 
LULUS 
239 610107431 
2880003 
206308 
7314 66112000095 AYU FRADANASARI 03-12-1988 NUTRISIONIS PELAKSANA LULUS TIDAK 
LULUS 
TIDAK 
LULUS 
240 617202630 
6920001 
199248 
2299 66113001885 AYU GINTARI 23-06-1992 GURU SOSIOLOGI PERTAMA ANALIS KEBIJAKAN 
PERTAMA LULUS TIDAK 
LULUS 
TIDAK 
LULUS 
241 617105450 
7900001 
117856 
9777 66113000991 AYU KUSUMA WARDANI 05-07-1990 
PENGAWAS 
KETENAGAKERJAAN 
PERTAMA 
PERANCANG PERUNDANG-UNDANGAN 
PERTAMA 
ANALIS KEBIJAKAN 
PERTAMA LULUS LULUS LULUS 
242 610208520 
5900001 
119833 
7911 66113000294 AYU MELLIYANI 12-05-1990 GURU MATEMATIKA 
PERTAMA LULUS TIDAK 
LULUS 
TIDAK 
LULUS 
243 617105620 
1900001 
105494 
7907 66112000735 AYU MURTIKA 
LARASATI, A.MD 22-01-1990 VERIFIKATOR KEUANGAN LULUS TIDAK 
LULUS 
TIDAK 
LULUS 
244 617105661 
2890007 
203360 
1111 66113000887 AYU PERMATA SARI 26-12-1989 ANALIS KEBIJAKAN 
PERTAMA LULUS TIDAK 
LULUS 
TIDAK 
LULUS 
245 611208530 
9890001 
193121 
9383 66112000209 AYU PUSPITASARI 13-09-1989 PERAWAT PELAKSANA LULUS TIDAK 
LULUS 
TIDAK 
LULUS 
246 611201610 
7900002 
190190 
5510 66112000804 AYU RAHAYU 21-07-1990 BIDAN PELAKSANA LULUS TIDAK 
LULUS 
TIDAK 
LULUS 
247 617104570 
9910004 
165185 
6767 66113000874 AYU SEFTYANINGTIAS 17-09-1991 GURU SEJARAH PERTAMA LULUS TIDAK 
LULUS 
TIDAK 
LULUS 
248 610207550 
9920001 
141898 
7580 66112000017 AYU SRI WAHYUNI 15-09-1992 NUTRISIONIS PELAKSANA LULUS TIDAK 
LULUS 
TIDAK 
LULUS 
249 610102460 
5910004 
187157 
3930 66112000162 AYU WANDIRA 06-05-1991 NUTRISIONIS PELAKSANA LULUS TIDAK 
LULUS 
TIDAK 
LULUS 
250 611201540 
8850014 
129032 
3913 66113001484 AYU WULANDARI 14-08-1985 GURU BAHASA INGGRIS 
PERTAMA SMP LULUS TIDAK 
LULUS 
TIDAK 
LULUS 
251 617105201 
0880001 
190550 
6228 66113000618 AZHARI 20-10-1988 TEKNIK JALAN DAN 
JEMBATAN PERTAMA LULUS TIDAK 
LULUS 
TIDAK 
LULUS 
252 617105010 
9830007 
174663 
4407 66112000520 AZLI 01-09-1983 PENGADMINISTRASI UMUM PENYUSUN RISALAH LULUS LULUS TIDAK 
LULUS 
253 617105540 
7880003 
154668 
9406 66113000536 AZLIATUL JANNAH 14-07-1988 GURU IPA PERTAMA GURU BIOLOGI PERTAMA ANALIS KEBIJAKAN 
PERTAMA LULUS LULUS TIDAK 
LULUS 
254 611201090 
5860011 
176815 
4456 66113001406 B. TIMOTIUS KUNZALI 09-05-1986 ANALIS KEBIJAKAN 
PERTAMA LULUS TIDAK 
LULUS 
TIDAK 
LULUS 
255 611209461 
2860004 
103455 
5593 66113001907 BADRIYEH 06-12-1986 
PENGENDALI ORGANISME 
PENGGANGGU TUMBUHAN 
PERTAMA 
ANALIS KEBIJAKAN 
PERTAMA 
TIDAK 
LULUS LULUS TIDAK 
LULUS 
256 617105050 
3860014 
190980 
7101 66113001339 BAGUS PRASETYO 05-03-1986 ANALIS KEBIJAKAN 
PERTAMA LULUS TIDAK 
LULUS 
TIDAK 
LULUS
NO NIK 
NO 
REGIST 
ER 
NO PESERTA NAMA TANGGAL 
LAHIR PILIHAN JABATAN 1 NAMA JABATAN 2 NAMA JABATAN 3 STATUS 
PILIHAN 1 
STATUS 
PILIHAN 2 
STATUS 
PILIHAN 3 
257 611208060 
7890002 
133127 
6565 66113000681 BAHARUDDIN 06-07-1989 GURU IPA PERTAMA GURU FISIKA PERTAMA ANALIS KEBIJAKAN 
PERTAMA LULUS LULUS TIDAK 
LULUS 
258 610201060 
1820001 
167595 
7487 66113000999 BAHARUDDIN, S. SOS. I 06-01-1982 ANALIS KEBIJAKAN 
PERTAMA LULUS TIDAK 
LULUS 
TIDAK 
LULUS 
259 611205140 
4890002 
132309 
8768 66112000359 BAHARUDIN 14-04-1989 PERAWAT PELAKSANA LULUS TIDAK 
LULUS 
TIDAK 
LULUS 
260 610212421 
1900001 
129072 
5812 66113001531 BAIRIYAH 02-11-1990 GURU BAHASA INGGRIS 
PERTAMA SMA 
GURU BAHASA INGGRIS 
PERTAMA SMP 
ANALIS KEBIJAKAN 
PERTAMA LULUS LULUS TIDAK 
LULUS 
261 610301660 
3860002 
153044 
4442 66113000276 BAKTI SETIAWATI 26-03-1986 PERENCANA PERTAMA ANALIS KEBIJAKAN 
PERTAMA 
ANALIS KERJASAMA DAN 
PERMODALAN LULUS LULUS LULUS 
262 611203010 
8920003 
176646 
9859 66113000643 BAMBANG ISWANTO 01-08-1992 PERENCANA PERTAMA ANALIS ANGGARAN ANALIS KERJASAMA DAN 
PERMODALAN LULUS LULUS LULUS 
263 611207051 
0900002 
160301 
6980 66113000650 BAMBANG SUKO 
WINARNO 05-10-1990 ANALIS KEBIJAKAN 
PERTAMA ANALIS LAYANAN UMUM LULUS LULUS TIDAK 
LULUS 
264 617105620 
7930003 
182417 
8283 66112000073 BANITIYA DWI 
PUSPITASARI 22-07-1993 NUTRISIONIS PELAKSANA LULUS TIDAK 
LULUS 
TIDAK 
LULUS 
265 617106251 
0860001 
119383 
1130 66113001213 BARRY CEASAR 
OKTARIADI 25-10-1986 PRANATA KOMPUTER 
PERTAMA 
ANALIS KEBIJAKAN 
PERTAMA LULUS LULUS TIDAK 
LULUS 
266 210307060 
6851005 
176410 
8638 66113001653 BARUNA PUTRA 06-06-1985 ANALIS LAYANAN UMUM ANALIS KEBIJAKAN 
PERTAMA LULUS LULUS TIDAK 
LULUS 
267 617105250 
3870002 
157907 
4878 66112000406 BAYU SETO WIBOWO 25-03-1987 PERAWAT PELAKSANA LULUS TIDAK 
LULUS 
TIDAK 
LULUS 
268 617101070 
2800022 
137507 
5614 66112000146 BAYU WIDIANARKO 07-02-1980 VERIFIKATOR KEUANGAN LULUS TIDAK 
LULUS 
TIDAK 
LULUS 
269 610901480 
3830002 
152047 
8250 66113000985 BEATA MILA MASLIN 
BANTALAGA 08-03-1983 ANALIS KEBIJAKAN 
PERTAMA LULUS TIDAK 
LULUS 
TIDAK 
LULUS 
270 611207130 
1940002 
152088 
4121 66112000514 BELLA HANDIKA 
PRASETYO 13-01-1994 PERAWAT PELAKSANA LULUS TIDAK 
LULUS 
TIDAK 
LULUS 
271 617105070 
3820004 
115072 
8733 66113001706 BENNY MURDANI 07-03-1982 PENYULUH KOPERASI ANALIS KERJASAMA DAN 
PERMODALAN 
ANALIS KEBIJAKAN 
PERTAMA LULUS LULUS LULUS 
272 611201160 
4800007 
193146 
4577 66113000936 BENNY TRIANTO 16-04-1980 ANALIS KEBIJAKAN 
PERTAMA 
ANALIS KERJASAMA DAN 
PERMODALAN PENYULUH KOPERASI LULUS LULUS LULUS 
273 617104610 
4860003 
198552 
7115 66113000987 BERNADETA SRI 
RAHAYU 21-04-1986 PERENCANA PERTAMA PENYULUH KOPERASI ANALIS KERJASAMA DAN 
PERMODALAN LULUS LULUS LULUS 
274 610302181 
2810001 
198304 
3585 66113000494 BERNADIUS 
NATALIANUS 18-12-1981 ANALIS KEBIJAKAN 
PERTAMA LULUS TIDAK 
LULUS 
TIDAK 
LULUS 
275 610105221 
0840005 
194978 
4323 66113001654 BERRY 22-10-1984 ANALIS KEBIJAKAN 
PERTAMA 
SURVEYOR PEMETAAN 
PERTAMA PENATA RUANG PERTAMA LULUS LULUS LULUS 
276 617101440 
1800006 
189558 
0557 66113001179 BERTHY ROSALINA 
PANJAITAN 04-01-1980 GURU MATEMATIKA 
PERTAMA 
ANALIS KEBIJAKAN 
PERTAMA LULUS TIDAK 
LULUS 
TIDAK 
LULUS
NO NIK 
NO 
REGIST 
ER 
NO PESERTA NAMA TANGGAL 
LAHIR PILIHAN JABATAN 1 NAMA JABATAN 2 NAMA JABATAN 3 STATUS 
PILIHAN 1 
STATUS 
PILIHAN 2 
STATUS 
PILIHAN 3 
277 611201080 
6890006 
171974 
6455 66113001377 BERTO REKARAYA 08-06-1989 ANALIS KEBIJAKAN 
PERTAMA LULUS TIDAK 
LULUS 
TIDAK 
LULUS 
278 617102431 
2890007 
188552 
6824 66113001334 BETA RIZKI RASSANTI 03-12-1989 ANALIS KEBIJAKAN 
PERTAMA LULUS TIDAK 
LULUS 
TIDAK 
LULUS 
279 610113580 
3880004 
204863 
7694 66113001634 BETARIANA 18-03-1988 PERENCANA PERTAMA ANALIS ANGGARAN ANALIS KERJASAMA DAN 
PERMODALAN LULUS LULUS LULUS 
280 611201240 
4920006 
209396 
7611 66112000634 BISSERI MUSTOPA 24-04-1992 PERAWAT PELAKSANA LULUS TIDAK 
LULUS 
TIDAK 
LULUS 
281 610104011 
0900004 
146790 
2063 66113001561 BOB MAULIDAN ARUAN 01-10-1990 ANALIS KEBIJAKAN 
PERTAMA 
GURU MATEMATIKA 
PERTAMA 
TIDAK 
LULUS LULUS TIDAK 
LULUS 
282 617105270 
6850007 
147962 
5199 66113000225 BOBBY YUDHA 
ERLANGGA, SE 27-06-1985 ANALIS KEBIJAKAN 
PERTAMA LULUS TIDAK 
LULUS 
TIDAK 
LULUS 
283 611201260 
5840006 
165258 
9645 66113000417 BOBY KRISWIBOWO 26-05-1984 GURU BAHASA INDONESIA 
PERTAMA 
ANALIS KEBIJAKAN 
PERTAMA LULUS TIDAK 
LULUS 
TIDAK 
LULUS 
284 610704101 
1900002 
199847 
2227 66113000568 BONDAN NOVIANTO 10-11-1990 PRANATA KOMPUTER 
PERTAMA 
ANALIS KEBIJAKAN 
PERTAMA LULUS LULUS TIDAK 
LULUS 
285 617105280 
5870007 
198179 
5089 66113001696 BOY IRAWAN 28-05-1987 PENATA RUANG PERTAMA ANALIS KEBIJAKAN 
PERTAMA 
SURVEYOR PEMETAAN 
PERTAMA LULUS LULUS LULUS 
286 617105200 
5920011 
167283 
7548 66113001057 BOY RANGGA 20-05-1992 PENGAWAS LINGKUNGAN 
HIDUP PERTAMA 
PENGENDALI DAMPAK 
LINGKUNGAN PERTAMA 
ANALIS KEBIJAKAN 
PERTAMA LULUS LULUS LULUS 
287 617105240 
2860007 
120373 
3153 66113001344 BUDI ARI GUNAWAN 24-02-1986 PENATA RUANG PERTAMA SURVEYOR PEMETAAN 
PERTAMA 
ANALIS KEBIJAKAN 
PERTAMA LULUS LULUS LULUS 
288 611201080 
9850010 
156484 
2452 66113000858 BUDI PRANATA 08-09-1985 GURU SEJARAH PERTAMA LULUS TIDAK 
LULUS 
TIDAK 
LULUS 
289 611206081 
2810003 
140720 
1136 66113000472 BUDI Y S 08-12-1981 PERANCANG PERUNDANG-UNDANGAN 
PERTAMA 
ANALIS KEBIJAKAN 
PERTAMA 
PENGAWAS 
KETENAGAKERJAAN 
PERTAMA 
LULUS LULUS LULUS 
290 610320220 
7870001 
193227 
7592 66113000664 BUDIMAN 22-07-1987 PRANATA KOMPUTER 
PERTAMA 
ANALIS KEBIJAKAN 
PERTAMA LULUS LULUS TIDAK 
LULUS 
291 617104170 
2810002 
191197 
8928 66113000781 BUDIMAN 17-02-1981 ANALIS KEBIJAKAN 
PERTAMA 
SURVEYOR PEMETAAN 
PERTAMA PENATA RUANG PERTAMA LULUS LULUS LULUS 
292 617101411 
1810010 
117753 
6205 66113000379 BUNGA LISINIA 01-11-1981 ANALIS KEBIJAKAN 
PERTAMA LULUS TIDAK 
LULUS 
TIDAK 
LULUS 
293 340401250 
8820002 
121507 
3198 66113001715 C. AGENG BUDI 
NURCAHYO 25-08-1982 PENYULUH KOPERASI PERENCANA PERTAMA ANALIS KEBIJAKAN 
PERTAMA LULUS LULUS LULUS 
294 610107710 
8860002 
210373 
1002 66113000217 CAHRA TRISNAWATI, 
S.FAR.,APT 31-08-1986 APOTEKER PERTAMA LULUS TIDAK 
LULUS 
TIDAK 
LULUS 
295 611201451 
0870002 
107574 
3449 66113000738 CAHYA PRAMITA 05-10-1987 PRANATA KOMPUTER 
PERTAMA 
ANALIS KEBIJAKAN 
PERTAMA LULUS LULUS TIDAK 
LULUS 
296 617103010 
5860003 
202528 
5412 66113000883 CAHYO NUGROHO 01-05-1986 ANALIS KEBIJAKAN 
PERTAMA LULUS TIDAK 
LULUS 
TIDAK 
LULUS
NO NIK 
NO 
REGIST 
ER 
NO PESERTA NAMA TANGGAL 
LAHIR PILIHAN JABATAN 1 NAMA JABATAN 2 NAMA JABATAN 3 STATUS 
PILIHAN 1 
STATUS 
PILIHAN 2 
STATUS 
PILIHAN 3 
297 611201140 
8910009 
103712 
7434 66113001621 CANDRA AGASTA 14-08-1991 ANALIS KEBIJAKAN 
PERTAMA LULUS TIDAK 
LULUS 
TIDAK 
LULUS 
298 617103200 
5860006 
169687 
8927 66113000778 CATUR RAMADHANI 30-05-1986 ANALIS KEBIJAKAN 
PERTAMA LULUS TIDAK 
LULUS 
TIDAK 
LULUS 
299 611203211 
0810001 
194828 
3046 66113001701 CATUR SASTRO HADI 
YANTO 21-10-1981 GURU BAHASA INGGRIS 
PERTAMA SMP 
GURU BAHASA INGGRIS 
PERTAMA SMA LULUS LULUS TIDAK 
LULUS 
300 611209150 
2850004 
171925 
1877 66113000273 CECEP BAYU NUR 
ALAM,SE 15-02-1985 PERENCANA PERTAMA ANALIS KEBIJAKAN 
PERTAMA ANALIS ANGGARAN LULUS LULUS LULUS 
301 320523010 
1840030 
163320 
0509 66113001394 CEP HILMAN, SP 01-01-1984 ANALIS KEBIJAKAN 
PERTAMA LULUS TIDAK 
LULUS 
TIDAK 
LULUS 
302 610310540 
9890003 
172210 
9779 66112000229 CH. MARIA EKAMISA 14-09-1989 PENGADMINISTRASI UMUM PENYUSUN RISALAH LULUS LULUS TIDAK 
LULUS 
303 617102100 
6880005 
181091 
3103 66113001671 CHAIRIL JOHANDIKA 10-06-1988 GURU SEJARAH PERTAMA ANALIS KEBIJAKAN 
PERTAMA LULUS TIDAK 
LULUS 
TIDAK 
LULUS 
304 611201040 
7900011 
146227 
9218 66113001678 CHAIRUL UMAM 04-07-1990 GURU IPA PERTAMA GURU BIOLOGI PERTAMA ANALIS KEBIJAKAN 
PERTAMA LULUS LULUS TIDAK 
LULUS 
305 617103640 
1870002 
158792 
1487 66113000395 CHAIRUN NISA 24-01-1987 GURU BAHASA INGGRIS 
PERTAMA SMP 
GURU BAHASA INGGRIS 
PERTAMA SMA 
ANALIS KEBIJAKAN 
PERTAMA LULUS LULUS TIDAK 
LULUS 
306 617105520 
2820027 
168322 
0754 66113001414 CHAIRUNNISYA 12-02-1982 ANALIS KEBIJAKAN 
PERTAMA LULUS TIDAK 
LULUS 
TIDAK 
LULUS 
307 327508190 
9800030 
151765 
8144 66113001577 CHANDRA ABRAR 19-09-1980 ANALIS KEBIJAKAN 
PERTAMA PENYULUH KOPERASI ANALIS KERJASAMA DAN 
PERMODALAN LULUS LULUS LULUS 
308 210307060 
6851006 
141139 
6971 66113001607 CHANDRA PUTRA 06-06-1985 ANALIS LAYANAN UMUM ANALIS KEBIJAKAN 
PERTAMA LULUS LULUS TIDAK 
LULUS 
309 611209511 
0880003 
173037 
0037 66113001254 CHECILIA L.A 11-10-1988 GURU SEJARAH PERTAMA ANALIS KEBIJAKAN 
PERTAMA LULUS TIDAK 
LULUS 
TIDAK 
LULUS 
310 617103590 
5850008 
142429 
1784 66112000368 CHICHI MUFIARA 
AWARDAMI 19-05-1985 PENGADMINISTRASI UMUM LULUS TIDAK 
LULUS 
TIDAK 
LULUS 
311 617101460 
5810014 
195142 
9244 66113000269 CHRISTAWURI 
PRISKILA HARYANTO 06-05-1981 ANALIS KEBIJAKAN 
PERTAMA LULUS TIDAK 
LULUS 
TIDAK 
LULUS 
312 611201560 
4870007 
211714 
0935 66113000511 CHRISTINE APRILLIA 
CORRY 16-04-1987 ANALIS KEBIJAKAN 
PERTAMA LULUS TIDAK 
LULUS 
TIDAK 
LULUS 
313 617103550 
6890012 
183493 
3535 66113000044 CIA MARDIA 15-06-1989 GURU MATEMATIKA 
PERTAMA LULUS TIDAK 
LULUS 
TIDAK 
LULUS 
314 610504630 
7940005 
156197 
0589 66112000537 CITRA AURELIA 23-07-1994 BIDAN PELAKSANA LULUS TIDAK 
LULUS 
TIDAK 
LULUS 
315 611201521 
1830010 
213571 
1119 66113000373 CITRA DEWI MAHARANI 12-11-1983 ANALIS KEBIJAKAN 
PERTAMA LULUS TIDAK 
LULUS 
TIDAK 
LULUS 
316 617103661 
1830014 
202372 
1330 66113000789 CITRA DWINOVA 26-11-1983 PRANATA KOMPUTER 
PERTAMA 
ANALIS KEBIJAKAN 
PERTAMA LULUS LULUS TIDAK 
LULUS
NO NIK 
NO 
REGIST 
ER 
NO PESERTA NAMA TANGGAL 
LAHIR PILIHAN JABATAN 1 NAMA JABATAN 2 NAMA JABATAN 3 STATUS 
PILIHAN 1 
STATUS 
PILIHAN 2 
STATUS 
PILIHAN 3 
317 617202560 
6850003 
150489 
7326 66112000244 CITRA NURHANDAYANI 16-06-1985 BIDAN PELAKSANA LULUS TIDAK 
LULUS 
TIDAK 
LULUS 
318 610207610 
1910003 
172810 
8590 66113001514 CITRA UTAMI 
ARDHANINGTYAS 21-01-1991 GURU SEJARAH PERTAMA LULUS TIDAK 
LULUS 
TIDAK 
LULUS 
319 617103530 
8910008 
214612 
9557 66113000701 CRISTI VRIDA SITORUS 13-08-1991 GURU BAHASA INGGRIS 
PERTAMA SMP 
GURU BAHASA INGGRIS 
PERTAMA SMA 
ANALIS KEBIJAKAN 
PERTAMA LULUS LULUS TIDAK 
LULUS 
320 611205460 
5870004 
211540 
7236 66113000868 DAHLIA 06-05-1987 PERENCANA PERTAMA LULUS TIDAK 
LULUS 
TIDAK 
LULUS 
321 611205180 
3920003 
111077 
8936 66112000521 DAHRUL ULUM 18-03-1992 PERAWAT PELAKSANA LULUS TIDAK 
LULUS 
TIDAK 
LULUS 
322 617101500 
3870005 
158462 
3224 66112000462 DALU WARDHANY 10-03-1987 PENGADMINISTRASI UMUM LULUS TIDAK 
LULUS 
TIDAK 
LULUS 
323 617101700 
7870004 
161331 
7636 66113000901 DALUH INDAYANI, SH 31-07-1987 PERANCANG PERUNDANG-UNDANGAN 
PERTAMA 
ANALIS KEBIJAKAN 
PERTAMA 
PENGANTAR KERJA 
PERTAMA LULUS LULUS LULUS 
324 617202600 
9830004 
204007 
0028 66113001173 DAMAIYANTI 20-09-1983 ANALIS KEBIJAKAN 
PERTAMA LULUS TIDAK 
LULUS 
TIDAK 
LULUS 
325 611209590 
9850004 
177382 
7085 66113000917 DAMAYANTI 19-09-1985 GURU MATEMATIKA 
PERTAMA LULUS TIDAK 
LULUS 
TIDAK 
LULUS 
326 611209510 
3860008 
201953 
9898 66113000942 DAMAYANTI 11-03-1986 ANALIS KEBIJAKAN 
PERTAMA LULUS TIDAK 
LULUS 
TIDAK 
LULUS 
327 617103650 
5910010 
202599 
2410 66112000135 DAMAYANTI SINAGA 25-05-1991 BIDAN PELAKSANA LULUS TIDAK 
LULUS 
TIDAK 
LULUS 
328 617104651 
1870014 
178879 
1610 66113000563 DANA PRIHATINI 25-11-1987 GURU SEJARAH PERTAMA LULUS TIDAK 
LULUS 
TIDAK 
LULUS 
329 610206310 
7890002 
130125 
7664 66113001313 DANANG PRASETYO 31-07-1989 GURU SEJARAH PERTAMA LULUS TIDAK 
LULUS 
TIDAK 
LULUS 
330 611207260 
8920001 
147808 
8254 66112000727 DANIEL AGUSTA 26-08-1992 PERAWAT PELAKSANA LULUS TIDAK 
LULUS 
TIDAK 
LULUS 
331 617103631 
2870002 
202449 
8438 66113000003 DARLINAWATI 23-12-1987 GURU MATEMATIKA 
PERTAMA LULUS LULUS LULUS 
332 520602471 
0881004 
154811 
4934 66113001673 DARMAWATI 16-11-1989 GURU IPA PERTAMA LULUS TIDAK 
LULUS 
TIDAK 
LULUS 
333 617101411 
1820015 
180690 
8911 66113000921 DARNIATI 01-11-1982 GURU MATEMATIKA 
PERTAMA 
ANALIS KEBIJAKAN 
PERTAMA LULUS TIDAK 
LULUS 
TIDAK 
LULUS 
334 332913280 
5870002 
174883 
2795 66113001528 DARSONI 28-05-1987 GURU BAHASA INGGRIS 
PERTAMA SMP 
ANALIS KEBIJAKAN 
PERTAMA 
GURU BAHASA INGGRIS 
PERTAMA SMA LULUS TIDAK 
LULUS LULUS 
335 610207451 
2850003 
211507 
4789 66113000317 DARWANI 05-12-1985 GURU MATEMATIKA 
PERTAMA LULUS TIDAK 
LULUS 
TIDAK 
LULUS 
336 610305671 
0900001 
198022 
9894 66113000870 DAYANG EMA 
RAHMAWATI 27-10-1990 PERENCANA PERTAMA ANALIS ANGGARAN ANALIS KEBIJAKAN 
PERTAMA LULUS LULUS LULUS
NO NIK 
NO 
REGIST 
ER 
NO PESERTA NAMA TANGGAL 
LAHIR PILIHAN JABATAN 1 NAMA JABATAN 2 NAMA JABATAN 3 STATUS 
PILIHAN 1 
STATUS 
PILIHAN 2 
STATUS 
PILIHAN 3 
337 617105451 
2830010 
194751 
9502 66113000779 DAYANG NINGSIH 05-12-1983 GURU MATEMATIKA 
PERTAMA LULUS TIDAK 
LULUS 
TIDAK 
LULUS 
338 611201690 
9880013 
144243 
1546 66113000169 DEASSY LISATRIANI SEI 29-09-1988 ANALIS KEBIJAKAN 
PERTAMA LULUS TIDAK 
LULUS 
TIDAK 
LULUS 
339 611201611 
0870006 
151625 
9996 66112000062 DEASY NUR RAHMAN 
OKTAVIYA 21-10-1987 BIDAN PELAKSANA LULUS TIDAK 
LULUS 
TIDAK 
LULUS 
340 617102501 
2860008 
214127 
1373 66113000135 DEASY SAGITA 10-12-1986 GURU BAHASA INGGRIS 
PERTAMA SMP 
GURU BAHASA INGGRIS 
PERTAMA SMA 
ANALIS KEBIJAKAN 
PERTAMA LULUS LULUS TIDAK 
LULUS 
341 317203700 
6910014 
164590 
8916 66113001839 DEBBY FERDIANA 30-06-1991 PERANCANG PERUNDANG-UNDANGAN 
PERTAMA 
MEDIATOR HUBUNGAN 
INDUSTRIAL PERTAMA 
ANALIS KEBIJAKAN 
PERTAMA LULUS LULUS LULUS 
342 617103150 
7890004 
183295 
3770 66113000086 DEBI 11-09-1989 TEKNIK JALAN DAN 
JEMBATAN PERTAMA 
ANALIS KEBIJAKAN 
PERTAMA LULUS LULUS TIDAK 
LULUS 
343 611206201 
2860003 
176061 
6017 66112000120 DEBI GUNAWAN 20-12-1986 PENYULUH PAJAK 
PELAKSANA LULUS TIDAK 
LULUS 
TIDAK 
LULUS 
344 617101680 
3890002 
196096 
8736 66112000103 DEBORA M. 
SIMANJUNTAK 28-03-1989 VERIFIKATOR KEUANGAN LULUS TIDAK 
LULUS 
TIDAK 
LULUS 
345 617102560 
1850002 
130033 
1948 66112000802 DEBY ARMINDA SARI, 
A.MD 16-01-1985 PENYUSUN RISALAH LULUS TIDAK 
LULUS 
TIDAK 
LULUS 
346 617103460 
8930009 
146870 
2474 66112000155 DEBY HIRAPURNAMA 06-08-1993 BIDAN PELAKSANA LULUS TIDAK 
LULUS 
TIDAK 
LULUS 
347 617104211 
0910009 
199415 
0931 66112000593 DECKY SUPRIYANTO 21-10-1991 PERAWAT PELAKSANA LULUS TIDAK 
LULUS 
TIDAK 
LULUS 
348 617105060 
4920004 
151387 
2380 66112000794 DEDDY FITRIYANSYAH 06-04-1992 PENGADMINISTRASI UMUM PENYUSUN RISALAH LULUS LULUS TIDAK 
LULUS 
349 611201601 
1920004 
208833 
8444 66112000256 DEDE SAPTIANA 20-11-1992 PERAWAT PELAKSANA LULUS TIDAK 
LULUS 
TIDAK 
LULUS 
350 611209221 
2930002 
116140 
5156 66112000749 DEDE SUJANA 21-12-1993 PENGAWAS KESELAMATAN 
PELAYARAN PELAKSANA LULUS TIDAK 
LULUS 
TIDAK 
LULUS 
351 610113270 
5900003 
130078 
6034 66113000444 DEDE SURYADI 27-05-1990 GURU FISIKA PERTAMA GURU IPA PERTAMA LULUS LULUS TIDAK 
LULUS 
352 610112240 
5910002 
170744 
0258 66113001530 DEDI SATIYA 24-05-1991 GURU IPA PERTAMA GURU BIOLOGI PERTAMA ANALIS KEBIJAKAN 
PERTAMA LULUS LULUS TIDAK 
LULUS 
353 610307071 
2880001 
126208 
1169 66113000740 DEDIANDREAS 07-12-1988 PEKERJA SOSIAL PERTAMA PENYULUH SOSIAL 
PERTAMA 
ANALIS KEBIJAKAN 
PERTAMA LULUS LULUS LULUS 
354 611203071 
1830002 
191671 
4773 66113001229 DEDY ARMAN,SH 07-11-1983 MEDIATOR HUBUNGAN 
INDUSTRIAL PERTAMA 
PENGAWAS 
KETENAGAKERJAAN 
PERTAMA 
PERANCANG PERUNDANG-UNDANGAN 
PERTAMA LULUS LULUS LULUS 
355 610207281 
2900006 
207711 
5990 66113000141 DEDY ASHARDI 28-12-1990 ANALIS KEBIJAKAN 
PERTAMA LULUS TIDAK 
LULUS 
TIDAK 
LULUS 
356 617105121 
0820002 
186575 
3345 66113000026 DEDY FAHRIAJI 12-10-1982 ANALIS KEBIJAKAN 
PERTAMA 
SURVEYOR PEMETAAN 
PERTAMA PENATA RUANG PERTAMA LULUS LULUS LULUS
NO NIK 
NO 
REGIST 
ER 
NO PESERTA NAMA TANGGAL 
LAHIR PILIHAN JABATAN 1 NAMA JABATAN 2 NAMA JABATAN 3 STATUS 
PILIHAN 1 
STATUS 
PILIHAN 2 
STATUS 
PILIHAN 3 
357 617101021 
2850010 
173456 
8180 66113000479 DEDY WAHYU SAPUTRO 02-12-1985 ANALIS KEBIJAKAN 
PERTAMA LULUS TIDAK 
LULUS 
TIDAK 
LULUS 
358 617105591 
0800021 
214480 
9016 66113001226 DEKALUSANTI 19-10-1980 PRANATA KOMPUTER 
PERTAMA LULUS TIDAK 
LULUS 
TIDAK 
LULUS 
359 617105141 
1820003 
177867 
9476 66112000119 DEKY TAMARCE 14-11-1982 PENGADMINISTRASI UMUM PENYUSUN RISALAH LULUS LULUS TIDAK 
LULUS 
360 617201521 
2910003 
176705 
4774 66113001402 DELLY 12-12-1991 GURU FISIKA PERTAMA GURU IPA PERTAMA ANALIS KEBIJAKAN 
PERTAMA LULUS LULUS TIDAK 
LULUS 
361 611201101 
0900013 
140960 
7536 66113000388 DENDY PARTONO 10-10-1990 ANALIS KEPEGAWAIAN 
PERTAMA 
ANALIS KEPENDUDUKAN 
DAN PENCATATAN SIPIL 
ANALIS KEBIJAKAN 
PERTAMA LULUS LULUS LULUS 
362 321605570 
6840010 
175967 
6937 66113000027 DENI ANITA 17-06-1984 PERENCANA PERTAMA ANALIS ANGGARAN ANALIS KEBIJAKAN 
PERTAMA LULUS LULUS LULUS 
363 611209040 
1830004 
206880 
7845 66113000146 DENI HARIANTO, SH 04-01-1983 
PENGAWAS 
KETENAGAKERJAAN 
PERTAMA 
ANALIS LAYANAN UMUM ANALIS KEBIJAKAN 
PERTAMA LULUS LULUS LULUS 
364 611201041 
1880002 
201164 
4815 66112000002 DENI NASRANI 04-11-1988 PERAWAT PELAKSANA LULUS LULUS LULUS 
365 611204220 
4890002 
135089 
0461 66112000264 DENI SUSANTO 22-04-1989 PERAWAT PELAKSANA LULUS TIDAK 
LULUS 
TIDAK 
LULUS 
366 617102490 
4900002 
180586 
4969 66113001851 DENYS MUTIARA GUSTI 09-04-1990 PRANATA KOMPUTER 
PERTAMA 
ANALIS KEBIJAKAN 
PERTAMA LULUS LULUS TIDAK 
LULUS 
367 611201580 
6820022 
146318 
9511 66112000400 DERMAWATI SIANIPAR 18-06-1982 PERAWAT PELAKSANA LULUS TIDAK 
LULUS 
TIDAK 
LULUS 
368 617103110 
1810010 
143456 
7754 66113001824 DERRY JANUARIZA, SH 11-01-1981 PENGANTAR KERJA 
PERTAMA 
PENGAWAS 
KETENAGAKERJAAN 
PERTAMA 
ANALIS KEBIJAKAN 
PERTAMA LULUS LULUS LULUS 
369 617103480 
2900007 
207815 
6632 66113000117 DERY DIAH 
SANTRIYANA 08-02-1990 PENGAWAS LINGKUNGAN 
HIDUP PERTAMA 
PENGENDALI DAMPAK 
LINGKUNGAN PERTAMA 
TEKNIK PENYEHATAN 
LINGKUNGAN PERTAMA LULUS LULUS LULUS 
370 611201491 
2900006 
156797 
2076 66113001047 DESI ANGRAINI 09-12-1990 ANALIS LAYANAN UMUM ANALIS KEBIJAKAN 
PERTAMA LULUS TIDAK 
LULUS LULUS 
371 610215580 
3890001 
204634 
2741 66113000453 DESI ANTIKA 18-03-1989 GURU MATEMATIKA 
PERTAMA 
ANALIS KEBIJAKAN 
PERTAMA LULUS TIDAK 
LULUS 
TIDAK 
LULUS 
372 611209481 
2890002 
137118 
0274 66113001181 DESI ASTUTI 08-12-1989 GURU SEJARAH PERTAMA LULUS TIDAK 
LULUS 
TIDAK 
LULUS 
373 617105591 
2890007 
192067 
4745 66112000401 DESI ASVIANI 19-12-1989 BIDAN PELAKSANA LULUS TIDAK 
LULUS 
TIDAK 
LULUS 
374 617101451 
0850005 
207822 
8135 66113001516 DESI FATIMAH 05-10-1985 GURU MATEMATIKA 
PERTAMA LULUS TIDAK 
LULUS 
TIDAK 
LULUS 
375 610320591 
2930001 
156073 
6626 66112000431 DESI FITRI PRATIWI 19-12-1993 BIDAN PELAKSANA LULUS TIDAK 
LULUS 
TIDAK 
LULUS 
376 617105461 
0870001 
211149 
9667 66112000734 DESI KOMALASARI, 
AMD.KEB 06-10-1987 BIDAN PELAKSANA LULUS TIDAK 
LULUS 
TIDAK 
LULUS
NO NIK 
NO 
REGIST 
ER 
NO PESERTA NAMA TANGGAL 
LAHIR PILIHAN JABATAN 1 NAMA JABATAN 2 NAMA JABATAN 3 STATUS 
PILIHAN 1 
STATUS 
PILIHAN 2 
STATUS 
PILIHAN 3 
377 617204651 
2910001 
178458 
9977 66112000140 DESI KURNIAWATI 25-12-1991 NUTRISIONIS PELAKSANA LULUS TIDAK 
LULUS 
TIDAK 
LULUS 
378 610201521 
2870004 
209262 
7058 66112000170 DESI LISIANA 12-12-1987 NUTRISIONIS PELAKSANA LULUS TIDAK 
LULUS 
TIDAK 
LULUS 
379 610104711 
2860006 
162883 
1383 66112000693 DESI MUNIRA, 
AMD.KEP 31-12-1986 PERAWAT PELAKSANA LULUS TIDAK 
LULUS 
TIDAK 
LULUS 
380 611205711 
2910001 
181749 
7826 66112000836 DESI NOPITASARI 31-12-1991 BIDAN PELAKSANA LULUS TIDAK 
LULUS 
TIDAK 
LULUS 
381 617105641 
2890001 
180871 
3638 66113000822 DESI RAHAYU 24-12-1989 ANALIS KEBIJAKAN 
PERTAMA LULUS TIDAK 
LULUS 
TIDAK 
LULUS 
382 610201500 
1880002 
122535 
9706 66113001886 DESI RASYIDAH 10-01-1988 SANITARIAN PERTAMA ANALIS KEBIJAKAN 
PERTAMA LULUS TIDAK 
LULUS 
TIDAK 
LULUS 
383 611201451 
2870010 
201836 
3054 66112000427 DESI SUMANTRI, AMD. 
KEB 05-12-1987 BIDAN PELAKSANA LULUS TIDAK 
LULUS 
TIDAK 
LULUS 
384 610113681 
2890003 
157008 
5261 66113000821 DESI TRIANI 28-12-1989 ANALIS KEBIJAKAN 
PERTAMA LULUS TIDAK 
LULUS 
TIDAK 
LULUS 
385 617104711 
2850055 
207830 
0653 66113000299 DESILIA ELISABET 31-12-1985 GURU MATEMATIKA 
PERTAMA LULUS TIDAK 
LULUS 
TIDAK 
LULUS 
386 611201451 
2870009 
141707 
3846 66113001161 DESLI DIFA NORIA 05-12-1987 ANALIS KEBIJAKAN 
PERTAMA LULUS TIDAK 
LULUS 
TIDAK 
LULUS 
387 617105481 
2880012 
121170 
1240 66112000630 DESMINARTI 08-12-1988 BIDAN PELAKSANA LULUS TIDAK 
LULUS 
TIDAK 
LULUS 
388 610713641 
1860001 
214615 
6988 66112000474 DESSY CHRIS NATALIA 24-11-1986 PERAWAT PELAKSANA LULUS TIDAK 
LULUS 
TIDAK 
LULUS 
389 611205431 
2900004 
148153 
1143 66112000724 DESSY MULYANI 03-12-1990 NUTRISIONIS PELAKSANA LULUS TIDAK 
LULUS 
TIDAK 
LULUS 
390 611209521 
2860010 
191470 
3628 66113000881 DESTI DWI ASTUTI 12-12-1986 ANALIS KEBIJAKAN 
PERTAMA LULUS TIDAK 
LULUS 
TIDAK 
LULUS 
391 611203071 
2880004 
181010 
0180 66112000328 DESTIAN ARDINATA 07-12-1988 NUTRISIONIS PELAKSANA LULUS TIDAK 
LULUS 
TIDAK 
LULUS 
392 340414421 
2880001 
190625 
6880 66112000061 DESTIANA AFRIYANTI 02-12-1988 PERAWAT PELAKSANA LULUS TIDAK 
LULUS 
TIDAK 
LULUS 
393 617105571 
2860003 
120277 
0335 66113000959 DESTRI JAYANTI 17-12-1986 GURU MATEMATIKA 
PERTAMA LULUS TIDAK 
LULUS 
TIDAK 
LULUS 
394 617105011 
2840004 
184523 
4364 66113000105 DESTU WINDIPRIAWAN 01-12-1984 PERANCANG PERUNDANG-UNDANGAN 
PERTAMA 
MEDIATOR HUBUNGAN 
INDUSTRIAL PERTAMA 
ANALIS KEBIJAKAN 
PERTAMA LULUS LULUS LULUS 
395 611201471 
2870005 
132028 
6057 66113000201 DESY 07-12-1987 GURU MATEMATIKA 
PERTAMA LULUS TIDAK 
LULUS 
TIDAK 
LULUS 
396 610417651 
2860009 
198950 
8308 66113000148 DESY AMANASARI 25-12-1986 PERENCANA PERTAMA PENYULUH KOPERASI ANALIS ANGGARAN LULUS LULUS LULUS
NO NIK 
NO 
REGIST 
ER 
NO PESERTA NAMA TANGGAL 
LAHIR PILIHAN JABATAN 1 NAMA JABATAN 2 NAMA JABATAN 3 STATUS 
PILIHAN 1 
STATUS 
PILIHAN 2 
STATUS 
PILIHAN 3 
397 617102671 
2850005 
184301 
7509 66112000234 DESY EKA LESTARI, 
A.MD. KEP 27-12-1985 PERAWAT PELAKSANA LULUS TIDAK 
LULUS 
TIDAK 
LULUS 
398 617102411 
2890002 
102418 
5466 66113001298 DESY FURWANTY 01-12-1989 ANALIS KEBIJAKAN 
PERTAMA LULUS TIDAK 
LULUS 
TIDAK 
LULUS 
399 611209430 
8850004 
117373 
4463 66113000929 DESY RACHMAWATI 03-08-1985 GURU KIMIA PERTAMA LULUS TIDAK 
LULUS 
TIDAK 
LULUS 
400 617106421 
2910003 
154350 
7563 66113000420 DESY SURYANA 02-12-1991 GURU SEJARAH PERTAMA LULUS TIDAK 
LULUS 
TIDAK 
LULUS 
401 611203451 
2920004 
149999 
0393 66113000839 DESY VITRIANA 05-12-1992 GURU MATEMATIKA 
PERTAMA LULUS TIDAK 
LULUS 
TIDAK 
LULUS 
402 617101561 
2860015 
171097 
9274 66113001833 DESY WAHYUNI 16-12-1986 ANALIS LAYANAN UMUM ANALIS KEBIJAKAN 
PERTAMA LULUS LULUS TIDAK 
LULUS 
403 610201520 
3930001 
100515 
1696 66112000104 DETA MARCHA AYUNDA 
WANING 12-03-1993 PENGADMINISTRASI UMUM LULUS TIDAK 
LULUS 
TIDAK 
LULUS 
404 611201420 
4910010 
165069 
5389 66113000512 DEVI AFRIANI 02-04-1991 ANALIS KEBIJAKAN 
PERTAMA 
ANALIS KERJASAMA DAN 
PERMODALAN PERENCANA PERTAMA LULUS LULUS LULUS 
405 611209460 
2900004 
178633 
0195 66113001327 DEVI ARISANTI 06-02-1990 GURU SOSIOLOGI PERTAMA LULUS TIDAK 
LULUS 
TIDAK 
LULUS 
406 617102560 
6870002 
152014 
6866 66113001766 DEVI ELIYANTI, S.PD 16-06-1987 GURU MATEMATIKA 
PERTAMA LULUS TIDAK 
LULUS 
TIDAK 
LULUS 
407 610310650 
5880002 
191636 
4071 66112000492 DEVI FITRIANI 25-05-1988 BIDAN PELAKSANA LULUS TIDAK 
LULUS 
TIDAK 
LULUS 
408 611205550 
7920002 
142159 
4985 66112000283 DEVI KARTIKA SARI 15-07-1993 BIDAN PELAKSANA LULUS TIDAK 
LULUS 
TIDAK 
LULUS 
409 617101591 
2900002 
127266 
3124 66113001731 DEVI NATALIA 19-12-1990 GURU BAHASA INGGRIS 
PERTAMA SMP LULUS TIDAK 
LULUS 
TIDAK 
LULUS 
410 611201540 
3890010 
198589 
9234 66112000082 DEVI NURBANI 14-03-1989 PERAWAT PELAKSANA LULUS TIDAK 
LULUS 
TIDAK 
LULUS 
411 617103631 
2890007 
123812 
0705 66113000597 DEVI PRAMITA 23-12-1989 GURU KIMIA PERTAMA LULUS TIDAK 
LULUS 
TIDAK 
LULUS 
412 611205680 
9900002 
126878 
1674 66112000862 DEVI YULIANTI 28-09-1990 BIDAN PELAKSANA LULUS TIDAK 
LULUS 
TIDAK 
LULUS 
413 617103470 
6900006 
149590 
1683 66112000869 DEVIA AYU WARDANI 07-06-1990 PENYUSUN RISALAH PENGADMINISTRASI UMUM LULUS LULUS TIDAK 
LULUS 
414 617105690 
7900006 
140187 
9917 66112000684 DEVIA DWI ASTUTI 29-07-1990 VERIFIKATOR KEUANGAN LULUS TIDAK 
LULUS 
TIDAK 
LULUS 
415 617105420 
5910007 
159365 
8033 66112000049 DEVY MEIVIRA PUTRI 02-05-1991 NUTRISIONIS PELAKSANA LULUS TIDAK 
LULUS 
TIDAK 
LULUS 
416 611201590 
8870003 
168289 
0798 66112000044 DEWI ANGGRENI 19-08-1987 NUTRISIONIS PELAKSANA LULUS TIDAK 
LULUS 
TIDAK 
LULUS
NO NIK 
NO 
REGIST 
ER 
NO PESERTA NAMA TANGGAL 
LAHIR PILIHAN JABATAN 1 NAMA JABATAN 2 NAMA JABATAN 3 STATUS 
PILIHAN 1 
STATUS 
PILIHAN 2 
STATUS 
PILIHAN 3 
417 611207700 
8930001 
189760 
1142 66112000493 DEWI ASIYAH 30-08-1993 PERAWAT PELAKSANA LULUS TIDAK 
LULUS 
TIDAK 
LULUS 
418 611201641 
1920009 
198932 
9158 66113000011 DEWI AYU NINGSIH 24-11-1992 ANALIS ANGGARAN ANALIS KERJASAMA DAN 
PERMODALAN 
ANALIS KEBIJAKAN 
PERTAMA LULUS LULUS LULUS 
419 127104711 
0870003 
176612 
1564 66113001890 DEWI CHRISTINA 
SIJABAT 31-10-1987 PERENCANA PERTAMA PENYULUH KOPERASI ANALIS KEBIJAKAN 
PERTAMA LULUS LULUS LULUS 
420 617105481 
0900005 
192358 
3747 66113000660 DEWI CITRAWATI 08-10-1990 GURU SEJARAH PERTAMA ANALIS KEBIJAKAN 
PERTAMA LULUS TIDAK 
LULUS 
TIDAK 
LULUS 
421 611201610 
2800004 
199968 
6216 66113001217 DEWI FEBRIANTI 21-02-1980 PERENCANA PERTAMA ANALIS ANGGARAN ANALIS KERJASAMA DAN 
PERMODALAN LULUS LULUS LULUS 
422 611207560 
4910002 
128978 
5312 66112000048 DEWI FITRI ASTUTI 16-04-1991 BIDAN PELAKSANA LULUS TIDAK 
LULUS 
TIDAK 
LULUS 
423 617101660 
3840015 
165162 
5682 66112000458 DEWI HANDAYANI 26-03-1984 PENYUSUN RISALAH LULUS TIDAK 
LULUS 
TIDAK 
LULUS 
424 611206601 
0850002 
184074 
7176 66113001515 DEWI HIDAYATI 20-01-1985 PERENCANA PERTAMA ANALIS ANGGARAN ANALIS KERJASAMA DAN 
PERMODALAN LULUS LULUS LULUS 
425 617103630 
8840002 
158428 
1842 66112000657 DEWI JUNARTI 
AGUSTIN 23-08-1984 PENGADMINISTRASI UMUM PENYUSUN RISALAH LULUS LULUS TIDAK 
LULUS 
426 610208490 
9120001 
117644 
4417 66113001680 DEWI KURNIATI 10-10-1984 PRANATA KOMPUTER 
PERTAMA 
ANALIS KEBIJAKAN 
PERTAMA LULUS LULUS TIDAK 
LULUS 
427 611201540 
7910012 
166123 
8549 66112000418 DEWI LESTARI 14-07-1991 BIDAN PELAKSANA LULUS TIDAK 
LULUS 
TIDAK 
LULUS 
428 611105560 
4900002 
157123 
6338 66113001644 DEWI MAESAROH 16-04-1990 ANALIS ANGGARAN ANALIS KERJASAMA DAN 
PERMODALAN PENYULUH KOPERASI LULUS LULUS LULUS 
429 617103670 
2810004 
170221 
9256 66113000837 DEWI MARIYANI 27-02-1981 GURU MATEMATIKA 
PERTAMA 
ANALIS KEBIJAKAN 
PERTAMA LULUS TIDAK 
LULUS 
TIDAK 
LULUS 
430 617102620 
3850005 
194553 
4227 66113001052 DEWI MARLISA, SH 22-03-1985 PERANCANG PERUNDANG-UNDANGAN 
PERTAMA 
PENGAWAS 
KETENAGAKERJAAN 
PERTAMA 
MEDIATOR HUBUNGAN 
INDUSTRIAL PERTAMA LULUS LULUS LULUS 
431 617105621 
1810003 
101694 
4842 66113000973 DEWI NOVAEMI 22-11-1981 PERENCANA PERTAMA PENYULUH KOPERASI ANALIS KEBIJAKAN 
PERTAMA LULUS LULUS LULUS 
432 617103701 
1850005 
133088 
5092 66113001210 DEWI NOVIANTI 30-11-1985 TEKNIK PENYEHATAN 
LINGKUNGAN PERTAMA 
PENGAWAS LINGKUNGAN 
HIDUP PERTAMA 
PENGENDALI DAMPAK 
LINGKUNGAN PERTAMA LULUS LULUS LULUS 
433 352216701 
0890004 
175977 
9049 66113000328 DEWI PERMATASARI 30-10-1989 ANALIS KEBIJAKAN 
PERTAMA 
GURU BAHASA INDONESIA 
PERTAMA 
TIDAK 
LULUS LULUS TIDAK 
LULUS 
434 611209651 
1900005 
109410 
9496 66113000196 DEWI PURNAMASARI 25-11-1990 GURU SEJARAH PERTAMA ANALIS KEBIJAKAN 
PERTAMA LULUS TIDAK 
LULUS 
TIDAK 
LULUS 
435 617103590 
3880003 
176579 
5714 66112000737 DEWI PURWANTI, A.MD 19-03-1988 PENGADMINISTRASI UMUM PENYUSUN RISALAH LULUS LULUS TIDAK 
LULUS 
436 617105690 
6880002 
152595 
6858 66112000626 DEWI RAHMAWATI, 
AMD.KEB 29-06-1988 BIDAN PELAKSANA LULUS TIDAK 
LULUS 
TIDAK 
LULUS
NO NIK 
NO 
REGIST 
ER 
NO PESERTA NAMA TANGGAL 
LAHIR PILIHAN JABATAN 1 NAMA JABATAN 2 NAMA JABATAN 3 STATUS 
PILIHAN 1 
STATUS 
PILIHAN 2 
STATUS 
PILIHAN 3 
437 617103630 
8850016 
141634 
2366 66113000467 DEWI RATNA KUSUMAH 23-08-1985 GURU MATEMATIKA 
PERTAMA 
ANALIS KEBIJAKAN 
PERTAMA LULUS TIDAK 
LULUS 
TIDAK 
LULUS 
438 617105701 
1870002 
158410 
8288 66113000596 DEWI RETNO, S.PD. 30-11-1987 GURU MATEMATIKA 
PERTAMA LULUS TIDAK 
LULUS 
TIDAK 
LULUS 
439 617105521 
2810014 
172620 
7229 66113000118 DEWI SARTIKA 12-12-1981 ANALIS KEBIJAKAN 
PERTAMA LULUS TIDAK 
LULUS 
TIDAK 
LULUS 
440 617103660 
5820001 
150339 
7233 66113001470 DEWI SARTIKA 26-05-1982 GURU MATEMATIKA 
PERTAMA 
ANALIS KEBIJAKAN 
PERTAMA LULUS TIDAK 
LULUS 
TIDAK 
LULUS 
441 611201640 
9910002 
164501 
9092 66113000477 DEWI SEPTIYANI 24-09-1991 ANALIS KEBIJAKAN 
PERTAMA LULUS TIDAK 
LULUS 
TIDAK 
LULUS 
442 617101550 
2840013 
181434 
5562 66113001817 DEWI SRI HARTINI 15-02-1984 ANALIS KEBIJAKAN 
PERTAMA ANALIS ANGGARAN ANALIS KERJASAMA DAN 
PERMODALAN LULUS LULUS LULUS 
443 611201480 
2830010 
187636 
4321 66112000874 DEWI SUMARNI 08-02-1982 PENGADMINISTRASI UMUM LULUS TIDAK 
LULUS 
TIDAK 
LULUS 
444 611207681 
2900003 
150343 
9632 66112000326 DEWI SUSANTI 28-12-1990 PERAWAT PELAKSANA LULUS TIDAK 
LULUS 
TIDAK 
LULUS 
445 617103621 
0850001 
160289 
6725 66113000539 DEWI SYAFRIATY 22-10-1985 APOTEKER PERTAMA ANALIS KEBIJAKAN 
PERTAMA LULUS TIDAK 
LULUS 
TIDAK 
LULUS 
446 617201461 
2920002 
108518 
9566 66112000030 DEWI SYAHARA 06-12-1992 BIDAN PELAKSANA LULUS TIDAK 
LULUS 
TIDAK 
LULUS 
447 110206560 
3920002 
130892 
4012 66112000373 DEWITA SARI 16-03-1992 BIDAN PELAKSANA LULUS TIDAK 
LULUS 
TIDAK 
LULUS 
448 617105520 
4920003 
209787 
7401 66113000459 DHANTY FITRIANTY 12-04-1992 GURU MATEMATIKA 
PERTAMA LULUS TIDAK 
LULUS 
TIDAK 
LULUS 
449 617102250 
7910004 
207383 
5123 66112000335 DHEAN ANDHIKA 
PUTRA 25-07-1991 PENGAWAS KESELAMATAN 
PELAYARAN PELAKSANA LULUS TIDAK 
LULUS 
TIDAK 
LULUS 
450 611206270 
9910003 
203280 
5975 66112000058 DHENI ARIPIN 27-09-1991 PERAWAT PELAKSANA LULUS TIDAK 
LULUS 
TIDAK 
LULUS 
451 611201510 
6890009 
173112 
6927 66113001457 DHORIEFAH NISWAH 
ELFIDAA 11-06-1989 ANALIS ANGGARAN PERENCANA PERTAMA ANALIS KEBIJAKAN 
PERTAMA LULUS LULUS LULUS 
452 617103510 
3930011 
154145 
6290 66112000421 DIA PRISTI ERTIANTI 11-03-1993 NUTRISIONIS PELAKSANA LULUS TIDAK 
LULUS 
TIDAK 
LULUS 
453 611201461 
1790011 
197914 
1100 66113001233 DIAH ASMARA INDAH 06-11-1979 PRANATA KOMPUTER 
PERTAMA LULUS TIDAK 
LULUS 
TIDAK 
LULUS 
454 611209481 
2920001 
213696 
2670 66113001139 DIAH BUDIARTI 08-12-1992 GURU MATEMATIKA 
PERTAMA LULUS TIDAK 
LULUS 
TIDAK 
LULUS 
455 611201701 
2890005 
185817 
0855 66112000472 DIAH EKA DESVIRA 30-12-1989 BIDAN PELAKSANA LULUS TIDAK 
LULUS 
TIDAK 
LULUS 
456 617201660 
2910001 
181688 
7890 66113001055 DIAH LESTARI 26-02-1991 ANALIS ANGGARAN PENYULUH KOPERASI PERENCANA PERTAMA LULUS LULUS LULUS
NO NIK 
NO 
REGIST 
ER 
NO PESERTA NAMA TANGGAL 
LAHIR PILIHAN JABATAN 1 NAMA JABATAN 2 NAMA JABATAN 3 STATUS 
PILIHAN 1 
STATUS 
PILIHAN 2 
STATUS 
PILIHAN 3 
457 617103460 
3800016 
190390 
1488 66113001880 DIAH RETNA LESTARI, 
S.PD 06-03-1980 GURU SEJARAH PERTAMA ANALIS KEBIJAKAN 
PERTAMA LULUS TIDAK 
LULUS 
TIDAK 
LULUS 
458 611201411 
2870006 
201308 
8096 66113001729 DIAH RINDANI 01-12-1987 GURU MATEMATIKA 
PERTAMA 
ANALIS KEBIJAKAN 
PERTAMA LULUS TIDAK 
LULUS 
TIDAK 
LULUS 
459 617105650 
3800002 
153064 
5181 66113000932 DIAH SRI REZEKI 
HARNUM 25-03-1980 PENATA RUANG PERTAMA SURVEYOR PEMETAAN 
PERTAMA 
ANALIS KEBIJAKAN 
PERTAMA LULUS LULUS LULUS 
460 617103191 
0800008 
123460 
2372 66112000481 DIAN AKBAR 
RAHMADDIN,A.MD 19-10-1980 PENGADMINISTRASI UMUM PENYUSUN RISALAH LULUS LULUS TIDAK 
LULUS 
461 610307640 
6930001 
155216 
9223 66112000282 DIAN ARBIANTI 24-06-1993 BIDAN PELAKSANA LULUS TIDAK 
LULUS 
TIDAK 
LULUS 
462 617101280 
7910003 
149545 
6650 66113000571 DIAN ARFIANTO 28-07-1991 SURVEYOR PEMETAAN 
PERTAMA PENATA RUANG PERTAMA ANALIS KEBIJAKAN 
PERTAMA LULUS LULUS LULUS 
463 617104630 
8870006 
103438 
3978 66112000311 DIAN ARINI SUKMA 23-08-1987 PERAWAT PELAKSANA LULUS TIDAK 
LULUS 
TIDAK 
LULUS 
464 617204680 
1930001 
156245 
3959 66112000117 DIAN ARIYANI 28-01-1993 PENGADMINISTRASI UMUM PENYUSUN RISALAH LULUS LULUS TIDAK 
LULUS 
465 617103540 
6820009 
198752 
6529 66113001355 DIAN EKAWATI,SH 14-06-1982 PENGANTAR KERJA 
PERTAMA 
MEDIATOR HUBUNGAN 
INDUSTRIAL PERTAMA 
PENGAWAS 
KETENAGAKERJAAN 
PERTAMA 
LULUS LULUS LULUS 
466 610416410 
8920005 
102726 
7789 66112000052 DIAN GUSMI ARNI 01-08-1992 NUTRISIONIS PELAKSANA LULUS TIDAK 
LULUS 
TIDAK 
LULUS 
467 610208571 
2830004 
137033 
1631 66112000790 DIAN MAULINA 17-12-1983 PENGADMINISTRASI UMUM LULUS TIDAK 
LULUS 
TIDAK 
LULUS 
468 611201630 
5860008 
119803 
6236 66113000180 DIAN PISESHA 23-05-1986 PRANATA KOMPUTER 
PERTAMA 
ANALIS KEBIJAKAN 
PERTAMA LULUS LULUS TIDAK 
LULUS 
469 617105670 
8890007 
186287 
4372 66113000853 DIAN PURNAMA SARI 27-08-1989 GURU SEJARAH PERTAMA LULUS TIDAK 
LULUS 
TIDAK 
LULUS 
470 611201470 
2930014 
154788 
4799 66112000090 DIAN PURNAMASARI 07-02-1993 PENGADMINISTRASI UMUM PENYUSUN RISALAH LULUS LULUS TIDAK 
LULUS 
471 611201700 
1910011 
190699 
9761 66113000038 DIAN PUSPITA SARI 30-01-1991 GURU IPA PERTAMA GURU FISIKA PERTAMA ANALIS KEBIJAKAN 
PERTAMA LULUS LULUS TIDAK 
LULUS 
472 617101491 
0820017 
209750 
8586 66113001172 DIAN RAHAYU 09-10-1982 PERENCANA PERTAMA PENYULUH KOPERASI ANALIS KEBIJAKAN 
PERTAMA LULUS LULUS LULUS 
473 617202420 
7900001 
107181 
3824 66112000189 DIAN RIZKIANA 02-07-1990 BIDAN PELAKSANA LULUS TIDAK 
LULUS 
TIDAK 
LULUS 
474 617202630 
9900001 
123284 
3076 66113000875 DIAN SARTIKA 23-09-1990 APOTEKER PERTAMA ANALIS KEBIJAKAN 
PERTAMA LULUS TIDAK 
LULUS 
TIDAK 
LULUS 
475 611201561 
1830005 
171822 
9253 66112000625 DIAN SHINTA WAHYUNI 16-11-1983 PENGADMINISTRASI UMUM PENYUSUN RISALAH LULUS LULUS TIDAK 
LULUS 
476 617101460 
5910006 
171107 
4121 66113001185 DIAN TRI PUTRIANTY 06-05-1991 ANALIS KEBIJAKAN 
PERTAMA LULUS TIDAK 
LULUS 
TIDAK 
LULUS
NO NIK 
NO 
REGIST 
ER 
NO PESERTA NAMA TANGGAL 
LAHIR PILIHAN JABATAN 1 NAMA JABATAN 2 NAMA JABATAN 3 STATUS 
PILIHAN 1 
STATUS 
PILIHAN 2 
STATUS 
PILIHAN 3 
477 610102500 
1920006 
127445 
2836 66112000405 DIAN YUDISTIKA 10-01-1992 PERAWAT PELAKSANA LULUS TIDAK 
LULUS 
TIDAK 
LULUS 
478 610113480 
1890001 
156258 
5088 66113001699 DIANA 08-01-1989 ANALIS KEBIJAKAN 
PERTAMA 
GURU MATEMATIKA 
PERTAMA 
TIDAK 
LULUS LULUS TIDAK 
LULUS 
479 617101480 
8810009 
108736 
2348 66113001202 DIANA FITRIANI 08-08-1981 ANALIS KEBIJAKAN 
PERTAMA LULUS TIDAK 
LULUS 
TIDAK 
LULUS 
480 611201461 
0860012 
140392 
5382 66113001416 DIANA STEVANI SITEPU 06-10-1986 ANALIS KEBIJAKAN 
PERTAMA LULUS TIDAK 
LULUS 
TIDAK 
LULUS 
481 617103190 
4830010 
193497 
5261 66112000878 DIDI KURNIAWAN 19-04-1983 PENGADMINISTRASI UMUM PENYUSUN RISALAH LULUS LULUS TIDAK 
LULUS 
482 350709010 
2910005 
213305 
2651 66113001271 DIDIK CAHYONO 01-02-1991 GURU IPA PERTAMA GURU FISIKA PERTAMA LULUS LULUS TIDAK 
LULUS 
483 610310220 
3820001 
138914 
9080 66113000639 DIDIMUS BENO 
SIBARANI 22-03-1982 ANALIS KEBIJAKAN 
PERTAMA LULUS TIDAK 
LULUS 
TIDAK 
LULUS 
484 617101051 
2860005 
144146 
0582 66113001378 DIDIN SUNARSO 05-12-1986 ANALIS KEBIJAKAN 
PERTAMA ANALIS ANGGARAN PENYULUH KOPERASI LULUS LULUS LULUS 
485 617101490 
2880011 
191624 
1656 66113001565 DIEN INDAH 
PUSPITASARI 09-02-1988 ANALIS LAYANAN UMUM ANALIS KEBIJAKAN 
PERTAMA LULUS LULUS TIDAK 
LULUS 
486 611201020 
3910002 
128125 
2059 66113000233 DIKSI MANDALA 02-03-1991 PERENCANA PERTAMA ANALIS ANGGARAN ANALIS KERJASAMA DAN 
PERMODALAN LULUS LULUS LULUS 
487 611201301 
0900009 
209151 
2083 66113000733 DIMAS OKTA PUJIARTO 31-10-1990 PERENCANA PERTAMA PENYULUH KOPERASI ANALIS KERJASAMA DAN 
PERMODALAN LULUS LULUS LULUS 
488 617103480 
1870002 
206105 
4530 66113000185 DINA DEFIANTI 08-01-1987 GURU BAHASA INGGRIS 
PERTAMA SMP 
GURU BAHASA INGGRIS 
PERTAMA SMA 
ANALIS KEBIJAKAN 
PERTAMA LULUS LULUS TIDAK 
LULUS 
489 611201420 
2890014 
168598 
5249 66113001182 DINA FEBRIANTI 02-02-1989 GURU MATEMATIKA 
PERTAMA LULUS TIDAK 
LULUS 
TIDAK 
LULUS 
490 617102531 
2800005 
141846 
9036 66113000785 DINA MARIANA 13-12-1980 PEKERJA SOSIAL PERTAMA PENYULUH SOSIAL 
PERTAMA 
ANALIS KEBIJAKAN 
PERTAMA LULUS LULUS LULUS 
491 611209690 
2920001 
166514 
1578 66113000476 DINA NURDIANA 29-02-1992 
PENGAWAS 
KETENAGAKERJAAN 
PERTAMA 
PENGANTAR KERJA 
PERTAMA ANALIS LAYANAN UMUM LULUS LULUS LULUS 
492 611201691 
0890007 
147142 
8952 66113000339 DINA OKTOPANI 29-10-1989 ANALIS KEBIJAKAN 
PERTAMA LULUS TIDAK 
LULUS 
TIDAK 
LULUS 
493 617101450 
9930003 
157957 
1822 66112000629 DINA SEPTIANA 05-09-1993 PENYUSUN RISALAH PENGADMINISTRASI UMUM LULUS LULUS TIDAK 
LULUS 
494 610201700 
4850001 
164435 
8003 66113000362 DINA YUSPITASARI 30-04-1985 APOTEKER PERTAMA LULUS TIDAK 
LULUS 
TIDAK 
LULUS 
495 617102521 
2830004 
100038 
5231 66113001341 DINI AWALIAH 12-12-1983 PENATA RUANG PERTAMA SURVEYOR PEMETAAN 
PERTAMA 
ANALIS KEBIJAKAN 
PERTAMA LULUS LULUS LULUS 
496 617103630 
9870012 
148358 
1679 66113000577 DINI KARISMA 23-09-1987 ANALIS KEBIJAKAN 
PERTAMA LULUS TIDAK 
LULUS 
TIDAK 
LULUS
NO NIK 
NO 
REGIST 
ER 
NO PESERTA NAMA TANGGAL 
LAHIR PILIHAN JABATAN 1 NAMA JABATAN 2 NAMA JABATAN 3 STATUS 
PILIHAN 1 
STATUS 
PILIHAN 2 
STATUS 
PILIHAN 3 
497 617205660 
8900002 
163390 
1288 66113000347 DINI PANGESTU 26-08-1990 TEKNIK PENYEHATAN 
LINGKUNGAN PERTAMA 
PENGAWAS LINGKUNGAN 
HIDUP PERTAMA 
ANALIS KEBIJAKAN 
PERTAMA LULUS LULUS LULUS 
498 611201690 
1910001 
106232 
3842 66112000086 DINNY NURLINDRIANI 29-01-1991 PENGADMINISTRASI UMUM PENYUSUN RISALAH LULUS LULUS TIDAK 
LULUS 
499 611201530 
9890002 
131845 
4335 66112000069 DINY SEFVYANTI 13-09-1989 PERAWAT PELAKSANA LULUS TIDAK 
LULUS 
TIDAK 
LULUS 
500 611209680 
2910003 
201266 
9352 66113000761 DITA ILVIANA 28-04-1991 GURU SEJARAH PERTAMA ANALIS KEBIJAKAN 
PERTAMA LULUS TIDAK 
LULUS 
TIDAK 
LULUS 
501 160705660 
4910004 
152182 
0165 66113001212 DITA WORO APRIANI 26-04-1991 GURU BAHASA INGGRIS 
PERTAMA SMA 
GURU BAHASA INGGRIS 
PERTAMA SMP 
ANALIS KEBIJAKAN 
PERTAMA LULUS LULUS TIDAK 
LULUS 
502 350306431 
1840005 
155251 
4541 66113001118 DIYAH RODHIATI 
SOFWAN 03-11-1984 PRANATA HUBUNGAN 
MASYARAKAT PERTAMA 
ANALIS KEBIJAKAN 
PERTAMA LULUS LULUS TIDAK 
LULUS 
503 617102160 
5820007 
149077 
3239 66112000355 DJAUHAR ARIFI AMD 
SSI 16-05-1982 PRANATA LABORATORIUM 
KESEHATAN PERTAMA LULUS TIDAK 
LULUS 
TIDAK 
LULUS 
504 610310280 
8920001 
212090 
5662 66112000279 DODI MAHARESTU 28-08-1992 PERAWAT PELAKSANA LULUS TIDAK 
LULUS 
TIDAK 
LULUS 
505 611201061 
0870007 
107639 
6464 66113001761 DODI ROJAYA BASRI 06-10-1987 GURU MATEMATIKA 
PERTAMA LULUS TIDAK 
LULUS 
TIDAK 
LULUS 
506 617101080 
6880015 
103635 
9423 66113000948 DODY IRAWAN 08-06-1988 ANALIS KEBIJAKAN 
PERTAMA LULUS TIDAK 
LULUS 
TIDAK 
LULUS 
507 611207231 
0880002 
126304 
6109 66113001242 DOMINIUS GERODA 
GAPUN 23-10-1988 PRANATA KOMPUTER 
PERTAMA LULUS TIDAK 
LULUS 
TIDAK 
LULUS 
508 617202670 
2890001 
189634 
5184 66112000723 DONA DORISA 27-02-1989 NUTRISIONIS PELAKSANA LULUS TIDAK 
LULUS 
TIDAK 
LULUS 
509 610804110 
1860003 
113472 
7893 66113000519 DONALD HERI DWI 
WAHYUDI 11-01-1986 PERANCANG PERUNDANG-UNDANGAN 
PERTAMA 
PENGAWAS 
KETENAGAKERJAAN 
PERTAMA 
MEDIATOR HUBUNGAN 
INDUSTRIAL PERTAMA LULUS LULUS LULUS 
510 611201710 
7870007 
129528 
5244 66113000566 DONATA RIKE 31-07-1987 SANITARIAN PERTAMA ANALIS KEBIJAKAN 
PERTAMA LULUS TIDAK 
LULUS 
TIDAK 
LULUS 
511 610208141 
1840005 
191737 
5934 66113000729 DONI RAMLI 14-11-1984 GURU BAHASA INGGRIS 
PERTAMA SMP 
GURU BAHASA INGGRIS 
PERTAMA SMA 
ANALIS KEBIJAKAN 
PERTAMA LULUS LULUS TIDAK 
LULUS 
512 617105100 
2810006 
212846 
8856 66113000053 DONNY FIBRYADI 10-02-1981 ANALIS KEBIJAKAN 
PERTAMA LULUS TIDAK 
LULUS 
TIDAK 
LULUS 
513 617103540 
5810007 
159571 
6905 66112000508 DUWI MARIANTI 14-05-1981 PENGADMINISTRASI UMUM LULUS TIDAK 
LULUS 
TIDAK 
LULUS 
514 617103530 
9880002 
136349 
6456 66112000362 DUWI SOFIANA 13-09-1988 NUTRISIONIS PELAKSANA LULUS TIDAK 
LULUS 
TIDAK 
LULUS 
515 611201690 
8890009 
165518 
0699 66113000047 DWI AQQUI ALNI 29-08-1989 PERENCANA PERTAMA LULUS TIDAK 
LULUS 
TIDAK 
LULUS 
516 611209580 
8890008 
168270 
3957 66113001189 DWI ARDHINI 
MERDEKA PUTRI 18-08-1989 GURU SEJARAH PERTAMA ANALIS KEBIJAKAN 
PERTAMA LULUS TIDAK 
LULUS 
TIDAK 
LULUS
NO NIK 
NO 
REGIST 
ER 
NO PESERTA NAMA TANGGAL 
LAHIR PILIHAN JABATAN 1 NAMA JABATAN 2 NAMA JABATAN 3 STATUS 
PILIHAN 1 
STATUS 
PILIHAN 2 
STATUS 
PILIHAN 3 
517 617101420 
3920005 
190446 
4161 66113000200 DWI ASTUTI 02-03-1992 GURU MATEMATIKA 
PERTAMA 
ANALIS KEBIJAKAN 
PERTAMA LULUS TIDAK 
LULUS 
TIDAK 
LULUS 
518 617103450 
5890004 
144988 
8635 66113000332 DWI FITRIANA 05-05-1989 GURU SEJARAH PERTAMA ANALIS KEBIJAKAN 
PERTAMA LULUS TIDAK 
LULUS 
TIDAK 
LULUS 
519 617102430 
3900007 
188782 
4661 66112000270 DWI HANDAYANI 03-03-1990 PERAWAT PELAKSANA LULUS TIDAK 
LULUS 
TIDAK 
LULUS 
520 611201280 
8890009 
174930 
1007 66113000583 DWI INDRIANTO 
NUGROHO 28-08-1989 GURU SEJARAH PERTAMA LULUS TIDAK 
LULUS 
TIDAK 
LULUS 
521 617106630 
3870002 
162458 
8394 66113000992 DWI JAYANTI, SP 23-03-1987 
PENGENDALI ORGANISME 
PENGGANGGU TUMBUHAN 
PERTAMA 
ANALIS KEBIJAKAN 
PERTAMA LULUS LULUS TIDAK 
LULUS 
522 611201010 
7870255 
108828 
4662 66112000705 DWI KUKUH WIBOWO 01-07-1987 PENGADMINISTRASI UMUM PENYUSUN RISALAH LULUS LULUS TIDAK 
LULUS 
523 611201641 
2900001 
171562 
9206 66113000561 DWI KURNIAWATI 24-12-1990 GURU KIMIA PERTAMA ANALIS KEBIJAKAN 
PERTAMA LULUS TIDAK 
LULUS 
TIDAK 
LULUS 
524 611002520 
1920002 
204760 
6029 66112000378 DWI LESTARI 12-01-1992 BIDAN PELAKSANA LULUS TIDAK 
LULUS 
TIDAK 
LULUS 
525 617103470 
3920004 
150725 
8470 66113000466 DWI MERCHIANA 
HADITYA 07-03-1992 GURU MATEMATIKA 
PERTAMA LULUS TIDAK 
LULUS 
TIDAK 
LULUS 
526 617101570 
8810009 
101919 
1170 66113001435 DWI MERDEKAWATI 17-08-1981 PENYULUH KOPERASI PERENCANA PERTAMA ANALIS KEBIJAKAN 
PERTAMA LULUS LULUS LULUS 
527 617103131 
0840007 
208950 
6005 66113001847 DWI OKTARIANTO 
UTOMO 13-10-1984 ANALIS KEBIJAKAN 
PERTAMA LULUS TIDAK 
LULUS 
TIDAK 
LULUS 
528 611203521 
2910003 
214649 
1071 66112000865 DWI PRAMUJIARTI 12-12-1991 PENGADMINISTRASI UMUM PENYUSUN RISALAH LULUS LULUS TIDAK 
LULUS 
529 610201420 
2870001 
209563 
0725 66113000042 DWI PRATIWI 02-02-1987 GURU MATEMATIKA 
PERTAMA LULUS TIDAK 
LULUS 
TIDAK 
LULUS 
530 610307290 
8890001 
150543 
2723 66113001473 DWI PURNAMA PUTRA 29-08-1989 GURU MATEMATIKA 
PERTAMA 
ANALIS KEBIJAKAN 
PERTAMA LULUS TIDAK 
LULUS 
TIDAK 
LULUS 
531 610116670 
2910001 
163664 
5037 66112000076 DWI PURNAMASARI 27-02-1991 PERAWAT PELAKSANA LULUS TIDAK 
LULUS 
TIDAK 
LULUS 
532 611207040 
4940002 
192254 
5967 66112000019 DWI PURWO SASMITO 04-04-1994 NUTRISIONIS PELAKSANA LULUS TIDAK 
LULUS 
TIDAK 
LULUS 
533 617105530 
5860003 
184813 
6330 66113000398 DWI PUSPA 
KENCANAWATY 13-05-1986 GURU MATEMATIKA 
PERTAMA 
ANALIS KEBIJAKAN 
PERTAMA LULUS TIDAK 
LULUS 
TIDAK 
LULUS 
534 611201640 
9900010 
147143 
9785 66113000079 DWI PUSPASARI 
NINGRUM 24-09-1990 ANALIS KERJASAMA DAN 
PERMODALAN ANALIS ANGGARAN PERENCANA PERTAMA LULUS LULUS LULUS 
535 617104500 
6820009 
202871 
4103 66113000419 DWI RAHAYU 10-06-1982 GURU BAHASA INGGRIS 
PERTAMA SMP 
GURU BAHASA INGGRIS 
PERTAMA SMA LULUS LULUS TIDAK 
LULUS 
536 617102650 
2890005 
145352 
5817 66113001140 DWI RAHAYU 25-02-1989 ANALIS KEBIJAKAN 
PERTAMA LULUS TIDAK 
LULUS 
TIDAK 
LULUS
NO NIK 
NO 
REGIST 
ER 
NO PESERTA NAMA TANGGAL 
LAHIR PILIHAN JABATAN 1 NAMA JABATAN 2 NAMA JABATAN 3 STATUS 
PILIHAN 1 
STATUS 
PILIHAN 2 
STATUS 
PILIHAN 3 
537 340304660 
8890001 
150103 
0384 66113000696 DWI SARASWATI 26-08-1989 GURU BAHASA INGGRIS 
PERTAMA SMP 
ANALIS KEBIJAKAN 
PERTAMA 
GURU BAHASA INGGRIS 
PERTAMA SMA LULUS TIDAK 
LULUS LULUS 
538 610110190 
5910002 
167321 
2143 66113001902 DWI SETIAWAN 19-05-1991 GURU GEOGRAFI PERTAMA ANALIS KEBIJAKAN 
PERTAMA LULUS TIDAK 
LULUS 
TIDAK 
LULUS 
539 611201600 
2910016 
159663 
9759 66113000645 DWI SUKMA PERMATA 
SARI 20-02-1991 ANALIS KEBIJAKAN 
PERTAMA LULUS TIDAK 
LULUS 
TIDAK 
LULUS 
540 617201650 
4890002 
115401 
9623 66113001112 DWI YESSIE APRIYANI 25-04-1989 PERENCANA PERTAMA PENYULUH KOPERASI ANALIS KEBIJAKAN 
PERTAMA LULUS LULUS LULUS 
541 610201481 
1910002 
146540 
5120 66113001495 DWITA SARI 08-11-1991 PRANATA KOMPUTER 
PERTAMA 
ANALIS KEBIJAKAN 
PERTAMA LULUS LULUS TIDAK 
LULUS 
542 611207640 
5830004 
103844 
0549 66113001409 DWIYAH SUSILOWATI 24-05-1983 ANALIS ANGGARAN ANALIS KEBIJAKAN 
PERTAMA PERENCANA PERTAMA LULUS LULUS LULUS 
543 617105420 
5900001 
145317 
9574 66113001194 DYAN YUDISTIRA 02-05-1990 ANALIS KEBIJAKAN 
PERTAMA LULUS TIDAK 
LULUS 
TIDAK 
LULUS 
544 610113211 
1870002 
155410 
6101 66113000414 EDI SANJAYA 21-11-1987 GURU SEJARAH PERTAMA ANALIS KEBIJAKAN 
PERTAMA LULUS TIDAK 
LULUS 
TIDAK 
LULUS 
545 610101010 
7920013 
178397 
2568 66113001743 EDI SUPRIADI 01-07-1992 GURU BAHASA INGGRIS 
PERTAMA SMA 
GURU BAHASA INGGRIS 
PERTAMA SMP LULUS LULUS TIDAK 
LULUS 
546 610103150 
6880003 
164445 
8260 66112000284 EDLY KUSNADI 15-06-1988 PARAMEDIK VETERINER 
PELAKSANA LULUS TIDAK 
LULUS 
TIDAK 
LULUS 
547 610207090 
7800004 
199251 
1104 66113001070 EDWIN MARLIN 09-07-1980 ANALIS KEBIJAKAN 
PERTAMA LULUS TIDAK 
LULUS 
TIDAK 
LULUS 
548 617103170 
5880005 
179393 
3593 66113001417 EDY FITRIANSYAH 17-05-1988 PRANATA KOMPUTER 
PERTAMA 
ANALIS KEBIJAKAN 
PERTAMA LULUS LULUS TIDAK 
LULUS 
549 611201210 
2860003 
199359 
4056 66113000438 EDY SUKAMTO 21-02-1986 GURU MATEMATIKA 
PERTAMA 
ANALIS KEBIJAKAN 
PERTAMA LULUS TIDAK 
LULUS 
TIDAK 
LULUS 
550 617101171 
1820006 
153259 
0803 66113001683 EISYAFDI, ST 17-11-1982 ANALIS KEBIJAKAN 
PERTAMA PENATA RUANG PERTAMA SURVEYOR PEMETAAN 
PERTAMA LULUS LULUS LULUS 
551 611201580 
2910002 
176018 
8484 66112000868 EKA ARI YANTI 18-02-1991 PENGADMINISTRASI UMUM LULUS TIDAK 
LULUS 
TIDAK 
LULUS 
552 611101500 
9850003 
108419 
4516 66113000485 EKA DAHLIA INDRIANI 10-09-1985 ANALIS KEBIJAKAN 
PERTAMA PERENCANA PERTAMA PENYULUH KOPERASI LULUS LULUS LULUS 
553 611201620 
4900006 
200578 
5718 66113000408 EKA FITRIANA 22-04-1990 GURU SEJARAH PERTAMA ANALIS KEBIJAKAN 
PERTAMA LULUS TIDAK 
LULUS 
TIDAK 
LULUS 
554 610218690 
1900001 
138094 
7213 66112000027 EKA FITRIYANI 29-01-1990 BIDAN PELAKSANA LULUS TIDAK 
LULUS 
TIDAK 
LULUS 
555 617103660 
1860014 
172766 
6630 66113001064 EKA JAYANTI,SE 26-01-1986 ANALIS KEBIJAKAN 
PERTAMA LULUS TIDAK 
LULUS 
TIDAK 
LULUS 
556 617104420 
7880001 
171751 
5452 66112000816 EKA JULIAN SARI 02-07-1988 BIDAN PELAKSANA LULUS TIDAK 
LULUS 
TIDAK 
LULUS
NO NIK 
NO 
REGIST 
ER 
NO PESERTA NAMA TANGGAL 
LAHIR PILIHAN JABATAN 1 NAMA JABATAN 2 NAMA JABATAN 3 STATUS 
PILIHAN 1 
STATUS 
PILIHAN 2 
STATUS 
PILIHAN 3 
557 617104630 
9800011 
171170 
5710 66113000163 EKA JUMIATI,SH 23-09-1980 ANALIS KEBIJAKAN 
PERTAMA LULUS TIDAK 
LULUS 
TIDAK 
LULUS 
558 611206590 
5910001 
178775 
7592 66112000627 EKA KARTIKA DEWI 19-05-1991 PERAWAT PELAKSANA LULUS TIDAK 
LULUS 
TIDAK 
LULUS 
559 617104530 
6820003 
196732 
5070 66112000300 EKA LILIANA 13-06-1982 PERAWAT PELAKSANA LULUS TIDAK 
LULUS 
TIDAK 
LULUS 
560 617102690 
9900005 
173102 
5553 66112000319 EKA MELINDA 29-09-1990 PENGADMINISTRASI UMUM PENYUSUN RISALAH LULUS LULUS TIDAK 
LULUS 
561 617104550 
2890017 
190074 
4872 66113001201 EKA MINARTI 15-02-1990 PERENCANA PERTAMA ANALIS ANGGARAN ANALIS KEBIJAKAN 
PERTAMA LULUS LULUS LULUS 
562 610201490 
7890003 
136989 
9273 66112000619 EKA MUTIA SARI 09-07-1989 PENGADMINISTRASI UMUM PENYUSUN RISALAH LULUS LULUS TIDAK 
LULUS 
563 617101641 
1870006 
175059 
6489 66112000253 EKA NOVITAWATI 24-11-1987 BIDAN PELAKSANA LULUS TIDAK 
LULUS 
TIDAK 
LULUS 
564 611209650 
5840007 
170362 
0998 66113001117 EKA NURSANTI 25-05-1984 ANALIS KEBIJAKAN 
PERTAMA LULUS TIDAK 
LULUS 
TIDAK 
LULUS 
565 611201600 
4830014 
166832 
0440 66113001220 EKA PERMATA 20-04-1983 ANALIS KEBIJAKAN 
PERTAMA LULUS TIDAK 
LULUS 
TIDAK 
LULUS 
566 610215650 
4900001 
137790 
8085 66113000462 EKA PRA FITRIANY 25-04-1990 GURU SEJARAH PERTAMA LULUS TIDAK 
LULUS 
TIDAK 
LULUS 
567 611205160 
4880002 
138589 
4434 66112000719 EKA RAHADI 16-04-1988 PERAWAT PELAKSANA LULUS TIDAK 
LULUS 
TIDAK 
LULUS 
568 617105411 
0840002 
174137 
7681 66113000390 EKA SAKTI DEWI 
PUSPITHA 01-10-1984 SANITARIAN PERTAMA LULUS TIDAK 
LULUS 
TIDAK 
LULUS 
569 617106421 
2800001 
132946 
7320 66113000746 EKA SAPUTRI 02-12-1980 ANALIS LAYANAN UMUM PERANCANG PERUNDANG-UNDANGAN 
PERTAMA 
ANALIS KEBIJAKAN 
PERTAMA LULUS LULUS LULUS 
570 611201510 
2870010 
149399 
5065 66113000300 EKA SARIYANTI 11-02-1987 GURU MATEMATIKA 
PERTAMA 
ANALIS KEBIJAKAN 
PERTAMA LULUS TIDAK 
LULUS 
TIDAK 
LULUS 
571 620102690 
1880001 
178323 
8561 66113000564 EKA SETIAWATI 29-01-1988 PERENCANA PERTAMA ANALIS ANGGARAN ANALIS KEBIJAKAN 
PERTAMA LULUS LULUS LULUS 
572 617101241 
1890010 
132861 
1683 66112000102 EKA SULISTIYO 24-11-1989 PENGADMINISTRASI UMUM PENYUSUN RISALAH LULUS LULUS TIDAK 
LULUS 
573 611207481 
1880001 
137500 
6562 66112000417 EKA SURYANI 08-11-1988 BIDAN PELAKSANA LULUS TIDAK 
LULUS 
TIDAK 
LULUS 
574 611201611 
2800007 
136058 
0581 66113001089 EKA SUSANTI 21-12-1980 ANALIS KEBIJAKAN 
PERTAMA PENATA RUANG PERTAMA SURVEYOR PEMETAAN 
PERTAMA LULUS LULUS LULUS 
575 611203690 
9870002 
149317 
8627 66113001624 EKA TITI HELDA 29-09-1987 GURU MATEMATIKA 
PERTAMA 
ANALIS KEBIJAKAN 
PERTAMA LULUS TIDAK 
LULUS 
TIDAK 
LULUS 
576 617105610 
6880002 
121725 
1530 66113000980 EKA TRIWAHYUNI 21-06-1988 PRANATA KOMPUTER 
PERTAMA 
ANALIS KEBIJAKAN 
PERTAMA LULUS LULUS TIDAK 
LULUS
NO NIK 
NO 
REGIST 
ER 
NO PESERTA NAMA TANGGAL 
LAHIR PILIHAN JABATAN 1 NAMA JABATAN 2 NAMA JABATAN 3 STATUS 
PILIHAN 1 
STATUS 
PILIHAN 2 
STATUS 
PILIHAN 3 
577 617101640 
3890005 
155590 
7577 66113001474 EKA WAHYUNINGSIH 24-03-1989 GURU MATEMATIKA 
PERTAMA 
ANALIS KEBIJAKAN 
PERTAMA LULUS TIDAK 
LULUS 
TIDAK 
LULUS 
578 611201570 
5800013 
151863 
0785 66113001795 EKA WIDIANINGSIH,SE 17-05-1980 ANALIS ANGGARAN ANALIS KERJASAMA DAN 
PERMODALAN PENYULUH KOPERASI LULUS LULUS LULUS 
579 611206680 
8880003 
141630 
6391 66113000126 EKA WIDYAWATI 28-08-1988 GURU MATEMATIKA 
PERTAMA LULUS TIDAK 
LULUS 
TIDAK 
LULUS 
580 617103701 
0870005 
132488 
5828 66113000663 EKA WIJAYANTI 30-10-1987 GURU MATEMATIKA 
PERTAMA 
ANALIS KEBIJAKAN 
PERTAMA LULUS TIDAK 
LULUS 
TIDAK 
LULUS 
581 617101620 
7890006 
194118 
9250 66113000407 EKA YULIANI 22-07-1989 GURU BAHASA INGGRIS 
PERTAMA SMP 
GURU BAHASA INGGRIS 
PERTAMA SMA 
ANALIS KEBIJAKAN 
PERTAMA LULUS LULUS TIDAK 
LULUS 
582 610108431 
0920002 
169321 
8802 66113000843 EKAWATI 03-10-1992 GURU IPA PERTAMA GURU BIOLOGI PERTAMA LULUS LULUS TIDAK 
LULUS 
583 617102140 
5850006 
132627 
9384 66112000269 EKO 14-05-1985 VERIFIKATOR KEUANGAN LULUS TIDAK 
LULUS 
TIDAK 
LULUS 
584 617105270 
8840008 
151692 
5688 66113001765 EKO PRIO PANGESTONI 27-08-1984 PENATA RUANG PERTAMA ANALIS KEBIJAKAN 
PERTAMA 
SURVEYOR PEMETAAN 
PERTAMA LULUS LULUS LULUS 
585 611205090 
7890002 
162683 
6892 66113001508 EKO SUPARDI 09-07-1989 GURU GEOGRAFI PERTAMA LULUS TIDAK 
LULUS 
TIDAK 
LULUS 
586 617105570 
9910005 
156475 
9448 66113000304 ELA SEPTI LARASATI 17-09-1991 ANALIS KEPEGAWAIAN 
PERTAMA 
ANALIS KEPENDUDUKAN 
DAN PENCATATAN SIPIL 
ANALIS KEBIJAKAN 
PERTAMA LULUS LULUS LULUS 
587 617103631 
0880013 
111020 
3454 66113000239 ELDA SILVIANA 23-10-1988 GURU BAHASA INGGRIS 
PERTAMA SMA 
GURU BAHASA INGGRIS 
PERTAMA SMP 
ANALIS KEBIJAKAN 
PERTAMA LULUS LULUS TIDAK 
LULUS 
588 617105500 
6900018 
134568 
5940 66113000403 ELFATHIN RAHMI 10-06-1990 GURU MATEMATIKA 
PERTAMA LULUS TIDAK 
LULUS 
TIDAK 
LULUS 
589 617106070 
4860001 
187582 
9729 66113000750 ELFIN RAMDO 07-04-1986 ANALIS KEBIJAKAN 
PERTAMA LULUS TIDAK 
LULUS 
TIDAK 
LULUS 
590 610113561 
1870001 
194407 
8092 66113000219 ELI MAULINA 16-11-1987 PENYULUH SOSIAL PERTAMA PEKERJA SOSIAL PERTAMA ANALIS KEBIJAKAN 
PERTAMA LULUS LULUS LULUS 
591 617102550 
7850004 
212043 
9831 66113000983 ELIANA PUSPITA 15-07-1985 ANALIS KERJASAMA DAN 
PERMODALAN PERENCANA PERTAMA ANALIS KEBIJAKAN 
PERTAMA LULUS LULUS LULUS 
592 617102510 
4810003 
124853 
9538 66113000533 ELIDA YULITA, S.PD 11-04-1981 GURU MATEMATIKA 
PERTAMA 
ANALIS KEBIJAKAN 
PERTAMA LULUS TIDAK 
LULUS 
TIDAK 
LULUS 
593 617101690 
5870006 
122454 
4051 66113000587 ELIS NEVITA DEWI 29-05-1987 GURU BAHASA INGGRIS 
PERTAMA SMP LULUS TIDAK 
LULUS 
TIDAK 
LULUS 
594 610807510 
9900003 
178194 
2951 66113000078 ELISABET EKA 11-09-1990 ANALIS KEBIJAKAN 
PERTAMA LULUS TIDAK 
LULUS 
TIDAK 
LULUS 
595 611201510 
9850009 
126798 
9572 66113000688 ELISABETH NARU 11-09-1985 PERENCANA PERTAMA ANALIS ANGGARAN ANALIS KERJASAMA DAN 
PERMODALAN LULUS LULUS LULUS 
596 611209470 
8880003 
151750 
8137 66112000750 
ELIZABET ERLINDA 
ANGGRAENI RAHMIA 
NINGRUM 
07-08-1988 VERIFIKATOR KEUANGAN LULUS TIDAK 
LULUS 
TIDAK 
LULUS
NO NIK 
NO 
REGIST 
ER 
NO PESERTA NAMA TANGGAL 
LAHIR PILIHAN JABATAN 1 NAMA JABATAN 2 NAMA JABATAN 3 STATUS 
PILIHAN 1 
STATUS 
PILIHAN 2 
STATUS 
PILIHAN 3 
597 617101630 
1840009 
181466 
5953 66112000548 ELLIYA SULASTRI 23-01-1984 PENGADMINISTRASI UMUM PENYUSUN RISALAH LULUS LULUS TIDAK 
LULUS 
598 611201640 
4860019 
177321 
8193 66112000842 ELLY ERMAWATI 24-04-1986 PENGADMINISTRASI UMUM PENYUSUN RISALAH LULUS LULUS TIDAK 
LULUS 
599 617101600 
2880005 
166650 
1117 66113000856 ELLY FEBRI ARYANI 20-02-1988 GURU MATEMATIKA 
PERTAMA 
ANALIS KEBIJAKAN 
PERTAMA LULUS TIDAK 
LULUS 
TIDAK 
LULUS 
600 617103511 
1850006 
101451 
0788 66113000278 ELLY HOTMAIDA 
LINGGA 11-11-1985 ANALIS ANGGARAN ANALIS KERJASAMA DAN 
PERMODALAN PERENCANA PERTAMA LULUS LULUS LULUS 
601 611201560 
3810005 
121152 
5350 66112000316 ELLY SUPIATI 16-03-1981 PENGADMINISTRASI UMUM PENYUSUN RISALAH LULUS LULUS TIDAK 
LULUS 
602 617103440 
4820015 
206792 
5584 66113000780 ELNITA 04-04-1982 ANALIS KEBIJAKAN 
PERTAMA PENATA RUANG PERTAMA SURVEYOR PEMETAAN 
PERTAMA LULUS LULUS LULUS 
603 611201120 
6900004 
175106 
5381 66113000594 ELPANDI 12-06-1990 GURU SEJARAH PERTAMA LULUS TIDAK 
LULUS 
TIDAK 
LULUS 
604 617103510 
4870008 
163426 
6516 66113000465 ELSA APRIZA KADRI 11-04-1987 GURU KIMIA PERTAMA LULUS TIDAK 
LULUS 
TIDAK 
LULUS 
605 617106710 
7870001 
164278 
9694 66113000792 ELSA JULIASTRIA 31-07-1987 ANALIS KEBIJAKAN 
PERTAMA LULUS TIDAK 
LULUS 
TIDAK 
LULUS 
606 617104630 
4820007 
152405 
0557 66113000797 ELSITA LISNAWATI 23-04-1982 ANALIS ANGGARAN PENYULUH KOPERASI ANALIS KERJASAMA DAN 
PERMODALAN LULUS LULUS LULUS 
607 331409570 
6900002 
141712 
8376 66112000584 ELVA PUTRI ARLITA 17-06-1990 BIDAN PELAKSANA LULUS TIDAK 
LULUS 
TIDAK 
LULUS 
608 617103420 
3900008 
198814 
4381 66112000747 ELVERA SANTY 02-03-1990 VERIFIKATOR KEUANGAN LULUS TIDAK 
LULUS 
TIDAK 
LULUS 
609 610218670 
5890002 
178844 
9478 66112000205 ELVIRA RIRIN 
KURNENGSIH 27-05-1989 BIDAN PELAKSANA LULUS TIDAK 
LULUS 
TIDAK 
LULUS 
610 611201500 
2850016 
100153 
8737 66113001771 ELY WAHYUNI 10-02-1985 PERENCANA PERTAMA ANALIS KEBIJAKAN 
PERTAMA 
ANALIS KERJASAMA DAN 
PERMODALAN LULUS LULUS LULUS 
611 332418640 
4880004 
198611 
0040 66113001420 ELYA DWI APRIYANI 24-04-1988 GURU BAHASA INGGRIS 
PERTAMA SMP 
GURU BAHASA INGGRIS 
PERTAMA SMA 
ANALIS KEBIJAKAN 
PERTAMA LULUS LULUS TIDAK 
LULUS 
612 617101600 
3820005 
170029 
4387 66113001243 EMA MAISYARAH, SH 20-03-1982 PERANCANG PERUNDANG-UNDANGAN 
PERTAMA 
MEDIATOR HUBUNGAN 
INDUSTRIAL PERTAMA 
PENGAWAS 
KETENAGAKERJAAN 
PERTAMA 
LULUS LULUS LULUS 
613 617103440 
3910012 
211773 
7585 66112000050 EMA MARSILIANA 04-03-1991 NUTRISIONIS PELAKSANA LULUS TIDAK 
LULUS 
TIDAK 
LULUS 
614 617106410 
4910001 
140267 
7495 66112000338 EMA RAMADHANI 01-04-1991 PENYUSUN RISALAH PENGADMINISTRASI UMUM LULUS LULUS TIDAK 
LULUS 
615 611201670 
8840006 
144747 
5142 66113000685 EMA RUSLIANTI 27-08-1984 GURU MATEMATIKA 
PERTAMA LULUS TIDAK 
LULUS 
TIDAK 
LULUS 
616 611206631 
1910002 
147575 
5601 66113000371 EMA SURATMI 23-11-1991 ANALIS KEBIJAKAN 
PERTAMA LULUS TIDAK 
LULUS 
TIDAK 
LULUS
NO NIK 
NO 
REGIST 
ER 
NO PESERTA NAMA TANGGAL 
LAHIR PILIHAN JABATAN 1 NAMA JABATAN 2 NAMA JABATAN 3 STATUS 
PILIHAN 1 
STATUS 
PILIHAN 2 
STATUS 
PILIHAN 3 
617 617103660 
6840008 
161173 
5745 66112000867 EMA TRIYANI 26-06-1984 PENYUSUN RISALAH PENGADMINISTRASI UMUM LULUS LULUS TIDAK 
LULUS 
618 617105451 
1790011 
131717 
9785 66113001809 EMELIANA MELYANI 
LANJAB SONAN 05-11-1979 PENGANTAR KERJA 
PERTAMA LULUS TIDAK 
LULUS 
TIDAK 
LULUS 
619 610807450 
1820002 
148896 
0967 66113000977 EMELIANA NATALIA 05-01-1982 SURVEYOR PEMETAAN 
PERTAMA PENATA RUANG PERTAMA ANALIS KEBIJAKAN 
PERTAMA LULUS LULUS LULUS 
620 910301071 
1800001 
154411 
9941 66113001354 EMERSON PAKPAHAN 07-11-1980 PERENCANA PERTAMA PENYULUH KOPERASI ANALIS KERJASAMA DAN 
PERMODALAN LULUS LULUS LULUS 
621 617101540 
2880005 
199022 
3278 66112000499 EMI FEBRIANTI 14-02-1988 PENGADMINISTRASI UMUM PENYUSUN RISALAH LULUS LULUS TIDAK 
LULUS 
622 617105661 
1850006 
125852 
1232 66113001519 EMI KURNIAWATI, S.SI 
APT 26-11-1985 APOTEKER PERTAMA ANALIS KEBIJAKAN 
PERTAMA LULUS TIDAK 
LULUS 
TIDAK 
LULUS 
623 611201510 
4830012 
172422 
4159 66113000227 EMI SUNDARI 11-04-1983 ANALIS KEBIJAKAN 
PERTAMA LULUS TIDAK 
LULUS 
TIDAK 
LULUS 
624 611204520 
1860002 
137829 
3224 66113001552 EMI SURYANI 12-01-1986 GURU SEJARAH PERTAMA LULUS TIDAK 
LULUS 
TIDAK 
LULUS 
625 617102421 
2820001 
210125 
3084 66113000722 EMI TRISNA, SPD 02-12-1982 GURU MATEMATIKA 
PERTAMA LULUS TIDAK 
LULUS 
TIDAK 
LULUS 
626 617101460 
1830005 
119842 
2915 66113000599 EMILIA KURNIAWATI 06-01-1983 ANALIS KEBIJAKAN 
PERTAMA LULUS TIDAK 
LULUS 
TIDAK 
LULUS 
627 611201591 
1910009 
117607 
3808 66112000199 EMILIA VALENTINE 19-11-1991 NUTRISIONIS PELAKSANA LULUS TIDAK 
LULUS 
TIDAK 
LULUS 
628 610503410 
2920004 
188853 
7804 66112000249 EMILIANA NURIDA 01-02-1992 BIDAN PELAKSANA LULUS TIDAK 
LULUS 
TIDAK 
LULUS 
629 610215670 
8870002 
186191 
5194 66113001267 EMMY PURWANTI 27-08-1987 GURU MATEMATIKA 
PERTAMA LULUS TIDAK 
LULUS 
TIDAK 
LULUS 
630 617105550 
5800010 
134397 
6744 66113001325 EMY RODIYAWATI, S. 
PD 15-05-1980 GURU MATEMATIKA 
PERTAMA LULUS TIDAK 
LULUS 
TIDAK 
LULUS 
631 617105050 
5920008 
135802 
1345 66112000798 ENDA NANTA PRATAMA 
KEMING S 05-05-1992 PENGADMINISTRASI UMUM PENYUSUN RISALAH LULUS LULUS TIDAK 
LULUS 
632 611203500 
5890005 
194356 
2140 66112000435 ENDAH RETNO 
SUMILIR 10-05-1989 PERAWAT PELAKSANA LULUS TIDAK 
LULUS 
TIDAK 
LULUS 
633 611207560 
3830001 
107505 
2352 66112000616 ENDAH WAHYU 
PURNAMASARI,A.MD 16-03-1983 PENYUSUN RISALAH PENGADMINISTRASI UMUM LULUS LULUS TIDAK 
LULUS 
634 611209550 
3870005 
110757 
1805 66113000174 ENDAH WIDIYANTI 15-03-1987 ANALIS KEBIJAKAN 
PERTAMA LULUS TIDAK 
LULUS 
TIDAK 
LULUS 
635 617105471 
1860007 
200320 
3174 66113000267 ENDANG ESTAURINA 07-11-1986 ANALIS KERJASAMA DAN 
PERMODALAN PERENCANA PERTAMA ANALIS KEBIJAKAN 
PERTAMA LULUS LULUS LULUS 
636 611203540 
5930005 
139905 
4201 66112000609 ENDANG KUSUMA 14-05-1993 PERAWAT PELAKSANA LULUS TIDAK 
LULUS 
TIDAK 
LULUS
NO NIK 
NO 
REGIST 
ER 
NO PESERTA NAMA TANGGAL 
LAHIR PILIHAN JABATAN 1 NAMA JABATAN 2 NAMA JABATAN 3 STATUS 
PILIHAN 1 
STATUS 
PILIHAN 2 
STATUS 
PILIHAN 3 
637 611205611 
2930002 
202215 
9615 66112000646 ENDANG SRI 
AMBARWATI 21-12-1993 PERAWAT PELAKSANA LULUS TIDAK 
LULUS 
TIDAK 
LULUS 
638 610102111 
1900003 
139169 
7456 66113001632 ENDI ERIANSYAH 11-11-1990 GURU SEJARAH PERTAMA LULUS TIDAK 
LULUS 
TIDAK 
LULUS 
639 610302600 
8850002 
153577 
0311 66112000676 ENENG MULYANINGSIH 20-08-1985 PERAWAT PELAKSANA LULUS TIDAK 
LULUS 
TIDAK 
LULUS 
640 617101460 
4840002 
191562 
8005 66113000229 ENGELIA, S.IP 06-04-1984 ANALIS LAYANAN UMUM ANALIS KEBIJAKAN 
PERTAMA LULUS LULUS TIDAK 
LULUS 
641 611201590 
7910007 
203233 
1388 66113001744 ENGGAR BUDI PUSPITA 
SARI 19-07-1991 ANALIS KEBIJAKAN 
PERTAMA LULUS TIDAK 
LULUS 
TIDAK 
LULUS 
642 611209440 
6890005 
207475 
7427 66112000568 ENI NOVIYANTI 04-06-1989 BIDAN PELAKSANA LULUS TIDAK 
LULUS 
TIDAK 
LULUS 
643 610417500 
7880004 
134606 
8536 66113001877 ENI YULIANINGSIH 10-07-1988 GURU BAHASA INGGRIS 
PERTAMA SMP 
GURU BAHASA INGGRIS 
PERTAMA SMA 
ANALIS KEBIJAKAN 
PERTAMA LULUS LULUS TIDAK 
LULUS 
644 617104670 
6880006 
135103 
2378 66113000909 ENNY JUNIARTI 27-06-1988 ANALIS KEBIJAKAN 
PERTAMA LULUS TIDAK 
LULUS 
TIDAK 
LULUS 
645 617103230 
9820001 
135554 
3267 66113000357 ENRA AULIAZULFA, ST 23-09-1982 PENATA RUANG PERTAMA LULUS TIDAK 
LULUS 
TIDAK 
LULUS 
646 617102630 
6830002 
140512 
0541 66113001244 ENRI YENI 23-06-1983 PENGANTAR KERJA 
PERTAMA 
PENGAWAS 
KETENAGAKERJAAN 
PERTAMA 
PERANCANG PERUNDANG-UNDANGAN 
PERTAMA LULUS LULUS LULUS 
647 340407610 
7850008 
208899 
8397 66112000778 ENY ARIA SETYASARI 21-07-1985 VERIFIKATOR KEUANGAN LULUS TIDAK 
LULUS 
TIDAK 
LULUS 
648 617103431 
0890001 
167845 
1141 66113001553 ENY MAULIDANI 03-10-1989 GURU MATEMATIKA 
PERTAMA 
ANALIS KEBIJAKAN 
PERTAMA LULUS TIDAK 
LULUS 
TIDAK 
LULUS 
649 611203680 
2850003 
166842 
9373 66112000113 ENY SETYOWATI 28-02-1985 VERIFIKATOR KEUANGAN LULUS TIDAK 
LULUS 
TIDAK 
LULUS 
650 340407690 
8870001 
209801 
8266 66113001441 ENY SUSANTI 29-08-1986 ANALIS KEBIJAKAN 
PERTAMA LULUS TIDAK 
LULUS 
TIDAK 
LULUS 
651 617105520 
7830013 
176813 
9992 66113001122 EPIFANIA YULIANTI,SE 12-07-1983 PERENCANA PERTAMA PENYULUH KOPERASI ANALIS ANGGARAN LULUS LULUS LULUS 
652 611201500 
4840017 
132132 
8357 66113000483 EPRILIANI 10-04-1984 PERENCANA PERTAMA ANALIS ANGGARAN PENYULUH KOPERASI LULUS LULUS LULUS 
653 617201251 
1900002 
148197 
6439 66113001718 ERDI GUNA UTAMA 25-11-1990 GURU IPA PERTAMA GURU FISIKA PERTAMA ANALIS KEBIJAKAN 
PERTAMA LULUS LULUS TIDAK 
LULUS 
654 611201500 
5900011 
102715 
7225 66113001430 ERDILA META 
NOVASARI 10-05-1990 PRANATA KOMPUTER 
PERTAMA 
ANALIS KEBIJAKAN 
PERTAMA LULUS LULUS TIDAK 
LULUS 
655 611201250 
5860008 
178011 
4600 66113001722 ERI 25-05-1986 GURU BAHASA INGGRIS 
PERTAMA SMP 
GURU BAHASA INGGRIS 
PERTAMA SMA 
ANALIS KEBIJAKAN 
PERTAMA LULUS LULUS TIDAK 
LULUS 
656 610717080 
3840001 
117556 
5310 66112000387 ERIK 08-03-1984 NUTRISIONIS PELAKSANA LULUS TIDAK 
LULUS 
TIDAK 
LULUS
NO NIK 
NO 
REGIST 
ER 
NO PESERTA NAMA TANGGAL 
LAHIR PILIHAN JABATAN 1 NAMA JABATAN 2 NAMA JABATAN 3 STATUS 
PILIHAN 1 
STATUS 
PILIHAN 2 
STATUS 
PILIHAN 3 
657 617106670 
6880002 
141162 
0980 66113000064 ERIKA 
KARTIKANINGTIAS 27-06-1988 ANALIS KEBIJAKAN 
PERTAMA LULUS TIDAK 
LULUS 
TIDAK 
LULUS 
658 617103120 
6860007 
204315 
7208 66113000246 ERLANGGA 12-06-1986 PEKERJA SOSIAL PERTAMA PENYULUH SOSIAL 
PERTAMA 
ANALIS KEBIJAKAN 
PERTAMA LULUS LULUS LULUS 
659 617103481 
1850502 
214302 
8740 66113001051 ERLIN NOFRIANA 08-11-1985 APOTEKER PERTAMA LULUS TIDAK 
LULUS 
TIDAK 
LULUS 
660 610207481 
0860001 
213558 
6570 66113000062 ERLINA CAHYANA 08-10-1986 GURU IPA PERTAMA GURU BIOLOGI PERTAMA LULUS LULUS TIDAK 
LULUS 
661 610212490 
6890004 
137505 
2200 66113000249 ERMA KURNIASIH 09-06-1989 GURU MATEMATIKA 
PERTAMA LULUS TIDAK 
LULUS 
TIDAK 
LULUS 
662 617105560 
4840002 
147536 
4559 66112000273 ERMA SAGITA 16-04-1984 PENYUSUN RISALAH PENGADMINISTRASI UMUM LULUS LULUS TIDAK 
LULUS 
663 617103480 
3880006 
188181 
2704 66112000748 ERMIA SUPRIYANI 08-03-1988 PENGADMINISTRASI UMUM PENYUSUN RISALAH LULUS LULUS TIDAK 
LULUS 
664 617103530 
9820004 
103644 
2326 66113001106 ERMIS KURNIASIH 13-09-1982 ANALIS KEBIJAKAN 
PERTAMA LULUS TIDAK 
LULUS 
TIDAK 
LULUS 
665 617105440 
1920002 
167881 
3491 66113000374 ERMUNDARI 04-01-1992 ANALIS KEBIJAKAN 
PERTAMA LULUS TIDAK 
LULUS 
TIDAK 
LULUS 
666 617105650 
3840008 
194274 
9855 66113000234 ERNA NINGSIH 25-03-1984 ANALIS KEBIJAKAN 
PERTAMA PENATA RUANG PERTAMA SURVEYOR PEMETAAN 
PERTAMA LULUS LULUS LULUS 
667 611201491 
1820006 
199103 
6964 66112000438 ERNA SURYANI 09-11-1982 BIDAN PELAKSANA LULUS TIDAK 
LULUS 
TIDAK 
LULUS 
668 611208411 
0880001 
212576 
5957 66112000286 ERNAWATI 01-10-1988 BIDAN PELAKSANA LULUS TIDAK 
LULUS 
TIDAK 
LULUS 
669 611209450 
9890004 
178793 
8813 66112000402 ERNAWATI 05-09-1989 BIDAN PELAKSANA LULUS TIDAK 
LULUS 
TIDAK 
LULUS 
670 611203501 
2850001 
148711 
2822 66113000366 ERNAWATI 10-12-1985 PERENCANA PERTAMA PENYULUH KOPERASI ANALIS ANGGARAN LULUS LULUS LULUS 
671 617104531 
0880005 
154484 
7503 66113001400 ERNAWATI 13-10-1988 GURU KIMIA PERTAMA LULUS TIDAK 
LULUS 
TIDAK 
LULUS 
672 610702541 
0880002 
185407 
2054 66112000207 ERNI GLORIA 14-10-1988 NUTRISIONIS PELAKSANA LULUS TIDAK 
LULUS 
TIDAK 
LULUS 
673 121704560 
5880001 
132076 
9201 66113001529 ERNI MELINA SAMOSIR 16-05-1988 GURU IPA PERTAMA GURU FISIKA PERTAMA ANALIS KEBIJAKAN 
PERTAMA LULUS LULUS TIDAK 
LULUS 
674 610301601 
1800003 
105697 
7740 66113001004 ERNI SRI UTAMI 20-11-1980 PERENCANA PERTAMA ANALIS ANGGARAN ANALIS KEBIJAKAN 
PERTAMA LULUS LULUS LULUS 
675 617201620 
6900002 
207122 
3664 66112000392 ERNI SRI 
WAHYUNINGSIH 22-06-1990 PERAWAT PELAKSANA LULUS TIDAK 
LULUS 
TIDAK 
LULUS 
676 617101520 
9890006 
103071 
3720 66113000990 ERNI SULFANI 12-09-1989 PERANCANG PERUNDANG-UNDANGAN 
PERTAMA 
PENGAWAS 
KETENAGAKERJAAN 
PERTAMA 
ANALIS KEBIJAKAN 
PERTAMA LULUS LULUS LULUS
NO NIK 
NO 
REGIST 
ER 
NO PESERTA NAMA TANGGAL 
LAHIR PILIHAN JABATAN 1 NAMA JABATAN 2 NAMA JABATAN 3 STATUS 
PILIHAN 1 
STATUS 
PILIHAN 2 
STATUS 
PILIHAN 3 
677 611201511 
1890012 
167500 
0092 66113000318 ERNITA NOVA LIA 11-11-1989 GURU GEOGRAFI PERTAMA LULUS TIDAK 
LULUS 
TIDAK 
LULUS 
678 617103470 
7920016 
133346 
6436 66112000361 ERRES RISTIA 07-07-1992 NUTRISIONIS PELAKSANA LULUS TIDAK 
LULUS 
TIDAK 
LULUS 
679 352107570 
7870002 
181357 
7190 66113000495 ERTIKA AULIANA 
DAINTI 17-07-1987 ANALIS KEBIJAKAN 
PERTAMA LULUS TIDAK 
LULUS 
TIDAK 
LULUS 
680 610108520 
2920003 
152230 
4559 66113000842 ERVI 12-02-1992 GURU BAHASA INGGRIS 
PERTAMA SMA 
GURU BAHASA INGGRIS 
PERTAMA SMP 
ANALIS KEBIJAKAN 
PERTAMA LULUS LULUS TIDAK 
LULUS 
681 330115440 
5920002 
113753 
3569 66112000717 ERVI RETNO 
WIDYASTUTI 04-05-1992 PERAWAT PELAKSANA LULUS TIDAK 
LULUS 
TIDAK 
LULUS 
682 617103130 
9870003 
210725 
1927 66113001756 ERVIN SEBASTIAN 13-09-1987 ANALIS KEBIJAKAN 
PERTAMA LULUS TIDAK 
LULUS 
TIDAK 
LULUS 
683 617102540 
7890001 
198404 
5874 66113001793 ERVINAWATI HADORI 14-07-1989 ANALIS KEBIJAKAN 
PERTAMA LULUS TIDAK 
LULUS 
TIDAK 
LULUS 
684 617105420 
6900002 
202967 
1915 66113001386 ERVITA RIANI 02-06-1990 ANALIS KEBIJAKAN 
PERTAMA 
PERANCANG PERUNDANG-UNDANGAN 
PERTAMA 
PENGAWAS 
KETENAGAKERJAAN 
PERTAMA 
LULUS LULUS LULUS 
685 610702090 
5870005 
200450 
1044 66112000835 ERWIN LIANUS 09-05-1987 PERAWAT PELAKSANA LULUS TIDAK 
LULUS 
TIDAK 
LULUS 
686 611201310 
8910010 
174176 
6182 66113001571 ERWIN MUHARJA 31-08-1991 PRANATA KOMPUTER 
PERTAMA 
ANALIS KEBIJAKAN 
PERTAMA LULUS LULUS TIDAK 
LULUS 
687 617104130 
9850007 
111076 
4699 66113001750 ERWIN ZULFIKAR 13-09-1985 PRANATA HUBUNGAN 
MASYARAKAT PERTAMA 
ANALIS KEBIJAKAN 
PERTAMA LULUS LULUS TIDAK 
LULUS 
688 611206601 
0910003 
178268 
6580 66112000219 ESI OKTAVIA 20-10-1991 BIDAN PELAKSANA LULUS TIDAK 
LULUS 
TIDAK 
LULUS 
689 611203600 
3860004 
131444 
1495 66112000169 ESILIYA 20-03-1986 PERAWAT PELAKSANA LULUS TIDAK 
LULUS 
TIDAK 
LULUS 
690 610806411 
0830003 
166533 
8301 66112000445 ESKA 01-10-1985 PERAWAT PELAKSANA LULUS TIDAK 
LULUS 
TIDAK 
LULUS 
691 120808410 
8860003 
162725 
2804 66113001247 ESTHER MARINI 
TAMBUNAN 01-08-1986 DOKTER PERTAMA LULUS TIDAK 
LULUS 
TIDAK 
LULUS 
692 617101611 
0890005 
156600 
1287 66112000301 ETHA OKTAVIANA 21-10-1989 PERAWAT PELAKSANA LULUS TIDAK 
LULUS 
TIDAK 
LULUS 
693 617103550 
8910011 
209689 
7422 66113001631 ETI PUSPITASARI 15-08-1991 GURU KIMIA PERTAMA ANALIS KEBIJAKAN 
PERTAMA LULUS TIDAK 
LULUS 
TIDAK 
LULUS 
694 610208510 
8920003 
175592 
3407 66112000224 ETIKA SAMUDRA WATI 11-08-1992 BIDAN PELAKSANA LULUS TIDAK 
LULUS 
TIDAK 
LULUS 
695 617103580 
9840006 
161874 
1876 66113001684 ETY KOS ENDANG, MH 18-09-1984 ANALIS ANGGARAN PERENCANA PERTAMA ANALIS KEBIJAKAN 
PERTAMA LULUS LULUS LULUS 
696 611201560 
1830002 
202424 
3786 66113001197 ETY KURNIATY 16-01-1983 PRANATA KOMPUTER 
PERTAMA LULUS TIDAK 
LULUS 
TIDAK 
LULUS
NO NIK 
NO 
REGIST 
ER 
NO PESERTA NAMA TANGGAL 
LAHIR PILIHAN JABATAN 1 NAMA JABATAN 2 NAMA JABATAN 3 STATUS 
PILIHAN 1 
STATUS 
PILIHAN 2 
STATUS 
PILIHAN 3 
697 610208690 
6840002 
178313 
1542 66112000791 EUIS FITRIYANTI 29-06-1984 PENGADMINISTRASI UMUM LULUS TIDAK 
LULUS 
TIDAK 
LULUS 
698 610302650 
9860001 
116107 
6186 66113001895 EUIS NUR ASYUROH, 
S.KOM.I 25-09-1985 PRANATA HUBUNGAN 
MASYARAKAT PERTAMA 
ANALIS KEBIJAKAN 
PERTAMA LULUS LULUS TIDAK 
LULUS 
699 617104431 
0920002 
143342 
2588 66112000484 EUSEBIA OKTAVIANI 
CHORBETI 03-10-1992 BIDAN PELAKSANA LULUS TIDAK 
LULUS 
TIDAK 
LULUS 
700 617103460 
3850005 
129578 
5831 66113001291 EVA 06-03-1985 GURU BAHASA INGGRIS 
PERTAMA SMP 
GURU BAHASA INGGRIS 
PERTAMA SMA 
ANALIS KEBIJAKAN 
PERTAMA LULUS LULUS TIDAK 
LULUS 
701 617201531 
2900001 
199227 
3162 66112000354 EVA CHRISTIA ARYANTI 13-12-1990 PERAWAT PELAKSANA LULUS TIDAK 
LULUS 
TIDAK 
LULUS 
702 610201590 
6890004 
195296 
6257 66113000430 EVA DEVINA 19-06-1989 APOTEKER PERTAMA ANALIS KEBIJAKAN 
PERTAMA LULUS TIDAK 
LULUS 
TIDAK 
LULUS 
703 617103430 
1900009 
207377 
0787 66112000534 EVA FARADILLAH 03-01-1990 PENGADMINISTRASI UMUM PENYUSUN RISALAH LULUS LULUS TIDAK 
LULUS 
704 617103590 
8830008 
187175 
9214 66113001059 EVA FAUZIANA 19-08-1983 PERENCANA PERTAMA ANALIS KEBIJAKAN 
PERTAMA PENYULUH KOPERASI LULUS LULUS LULUS 
705 611201610 
3860003 
117058 
7030 66113001000 EVA MAWIRNA 21-03-1986 ANALIS LAYANAN UMUM ANALIS KEBIJAKAN 
PERTAMA LULUS LULUS TIDAK 
LULUS 
706 611209551 
1870004 
149832 
7540 66113001754 EVA NOVITA SARI,SE 15-11-1987 PERENCANA PERTAMA ANALIS KERJASAMA DAN 
PERMODALAN PENYULUH KOPERASI LULUS LULUS LULUS 
707 611207460 
4890003 
201507 
1795 66113001668 EVA 
SETYANINGRUM,S.PD.I 06-04-1989 GURU BAHASA INGGRIS 
PERTAMA SMA 
GURU BAHASA INGGRIS 
PERTAMA SMP 
ANALIS KEBIJAKAN 
PERTAMA LULUS LULUS TIDAK 
LULUS 
708 617102420 
7900006 
181404 
4030 66113001221 EVA YULIAN 
PUJIASTUTI 02-07-1990 PRANATA KOMPUTER 
PERTAMA 
ANALIS KEBIJAKAN 
PERTAMA LULUS LULUS TIDAK 
LULUS 
709 611201580 
6920008 
137182 
7010 66113001574 EVA YULYANA 18-07-1992 
PENGAWAS 
KETENAGAKERJAAN 
PERTAMA 
MEDIATOR HUBUNGAN 
INDUSTRIAL PERTAMA 
PERANCANG PERUNDANG-UNDANGAN 
PERTAMA LULUS LULUS LULUS 
710 611201450 
5890007 
137500 
5761 66113001665 
EVI FADRIANI 
MEYSILVANA NIA 
KATHY 
05-05-1989 ANALIS KEBIJAKAN 
PERTAMA LULUS TIDAK 
LULUS 
TIDAK 
LULUS 
711 611209491 
2840002 
122451 
7753 66113000433 EVI JULIANA 09-12-1984 GURU BAHASA INGGRIS 
PERTAMA SMP 
GURU BAHASA INGGRIS 
PERTAMA SMA 
ANALIS KEBIJAKAN 
PERTAMA LULUS LULUS TIDAK 
LULUS 
712 611201551 
1850007 
147911 
2896 66112000611 EVI NOVIANTY 15-11-1985 PERAWAT PELAKSANA LULUS TIDAK 
LULUS 
TIDAK 
LULUS 
713 617201501 
0900005 
160665 
0830 66113001811 EVI OKTAVIANI 10-10-1990 PUSTAKAWAN PERTAMA ANALIS KEBIJAKAN 
PERTAMA LULUS TIDAK 
LULUS 
TIDAK 
LULUS 
714 611207460 
4890004 
203164 
0912 66113001667 EVI 
SETYANINGSIH,S.PD.I 06-04-1989 GURU BAHASA INGGRIS 
PERTAMA SMA 
GURU BAHASA INGGRIS 
PERTAMA SMP 
ANALIS KEBIJAKAN 
PERTAMA LULUS LULUS TIDAK 
LULUS 
715 611209540 
9830002 
126334 
6959 66112000583 EVI SUSANTI 14-09-1983 PENGADMINISTRASI UMUM PENYUSUN RISALAH LULUS LULUS TIDAK 
LULUS 
716 617103700 
4900002 
142720 
7796 66113001782 EVIKA YOLANDA 30-04-1990 ANALIS ANGGARAN ANALIS KERJASAMA DAN 
PERMODALAN PENYULUH KOPERASI LULUS LULUS LULUS
NO NIK 
NO 
REGIST 
ER 
NO PESERTA NAMA TANGGAL 
LAHIR PILIHAN JABATAN 1 NAMA JABATAN 2 NAMA JABATAN 3 STATUS 
PILIHAN 1 
STATUS 
PILIHAN 2 
STATUS 
PILIHAN 3 
717 611202690 
2880002 
209473 
8557 66113000817 EVILISIANA ANGELA 
ANGEN 29-02-1988 SANITARIAN PERTAMA LULUS TIDAK 
LULUS 
TIDAK 
LULUS 
718 617104460 
6940020 
209674 
2801 66112000763 EVY ANDRI YUNI 06-06-1994 NUTRISIONIS PELAKSANA LULUS TIDAK 
LULUS 
TIDAK 
LULUS 
719 611201670 
3880005 
211568 
4474 66112000391 EVY YUSNASARI 27-03-1988 BIDAN PELAKSANA LULUS TIDAK 
LULUS 
TIDAK 
LULUS 
720 610308040 
5930002 
165248 
4257 66113001733 EZZY FAHREZA 04-05-1992 ANALIS KEBIJAKAN 
PERTAMA 
TEKNIK JALAN DAN 
JEMBATAN PERTAMA LULUS LULUS TIDAK 
LULUS 
721 611201630 
9850007 
122360 
3544 66112000843 F.BERTHA 
PANGARIBUAN,A.MD 23-09-1985 PENGADMINISTRASI UMUM PENYUSUN RISALAH LULUS LULUS TIDAK 
LULUS 
722 611209210 
8890003 
161463 
2229 66113000314 FACHREZA IDHAM 21-08-1989 GURU BAHASA INDONESIA 
PERTAMA LULUS TIDAK 
LULUS 
TIDAK 
LULUS 
723 617102200 
1870006 
101662 
9278 66112000122 FACHRUDIN 20-01-1987 PERAWAT PELAKSANA LULUS TIDAK 
LULUS 
TIDAK 
LULUS 
724 610507670 
1920001 
212681 
8341 66112000182 FADILA NURUL 
HISYARAH 27-01-1992 BIDAN PELAKSANA LULUS TIDAK 
LULUS 
TIDAK 
LULUS 
725 617101690 
8870011 
101906 
3602 66112000470 FADILLAH 29-08-1987 PENGADMINISTRASI UMUM PENYUSUN RISALAH LULUS LULUS TIDAK 
LULUS 
726 617102210 
2930002 
175197 
7679 66112000733 FAHMI ALHADY 21-02-1993 NUTRISIONIS PELAKSANA LULUS TIDAK 
LULUS 
TIDAK 
LULUS 
727 617103090 
3800004 
203460 
9987 66113000617 FAHRUDIN.S.SOS I 09-03-1980 ANALIS KEBIJAKAN 
PERTAMA LULUS TIDAK 
LULUS 
TIDAK 
LULUS 
728 617102010 
2920007 
214283 
0533 66113000037 FAILANIPUTRA 01-02-1992 ANALIS KEBIJAKAN 
PERTAMA LULUS TIDAK 
LULUS 
TIDAK 
LULUS 
729 617105280 
2880004 
176775 
5862 66112000024 FAJAR ASYHARI 28-02-1988 PENGADMINISTRASI UMUM PENYUSUN RISALAH LULUS LULUS TIDAK 
LULUS 
730 350101230 
8880001 
148523 
1021 66113001005 FAJAR DWI ANGGORO 23-08-1988 GURU BAHASA INGGRIS 
PERTAMA SMP 
GURU BAHASA INGGRIS 
PERTAMA SMA 
ANALIS KEBIJAKAN 
PERTAMA LULUS LULUS TIDAK 
LULUS 
731 617102030 
5840013 
202563 
4437 66113000956 FAJAR DWI HARTANTO 03-05-1984 PAMONG BUDAYA PERTAMA ANALIS KEBIJAKAN 
PERTAMA LULUS LULUS TIDAK 
LULUS 
732 617102190 
6850004 
135539 
3754 66112000198 FAJAR FITRIAN 19-06-1985 PERAWAT PELAKSANA LULUS TIDAK 
LULUS 
TIDAK 
LULUS 
733 617103150 
8860006 
190382 
8889 66113001073 FAJAR MUHAMMAD 
HAKIM, SE 15-08-1986 PERENCANA PERTAMA PENYULUH KOPERASI ANALIS KEBIJAKAN 
PERTAMA LULUS LULUS LULUS 
734 611209270 
6910002 
117786 
1115 66113001289 FAJAR PRASTIKO 27-06-1991 ANALIS KEPEGAWAIAN 
PERTAMA 
ANALIS KEBIJAKAN 
PERTAMA 
ANALIS KEPENDUDUKAN 
DAN PENCATATAN SIPIL LULUS LULUS LULUS 
735 611201060 
8850011 
160685 
0074 66113000252 FAJARUDIN 06-08-1985 GURU BIOLOGI PERTAMA LULUS TIDAK 
LULUS 
TIDAK 
LULUS 
736 617102520 
3880007 
114420 
0218 66113001043 FARDIANI 12-03-1988 GURU MATEMATIKA 
PERTAMA 
ANALIS KEBIJAKAN 
PERTAMA LULUS TIDAK 
LULUS 
TIDAK 
LULUS
NO NIK 
NO 
REGIST 
ER 
NO PESERTA NAMA TANGGAL 
LAHIR PILIHAN JABATAN 1 NAMA JABATAN 2 NAMA JABATAN 3 STATUS 
PILIHAN 1 
STATUS 
PILIHAN 2 
STATUS 
PILIHAN 3 
737 617105310 
1830015 
102196 
1955 66113000782 FARID WAJDI 31-01-1983 PENYULUH KOPERASI ANALIS KEBIJAKAN 
PERTAMA PERENCANA PERTAMA LULUS LULUS LULUS 
738 611201651 
0850008 
146919 
0083 66113001002 FARIDA 25-10-1985 ANALIS ANGGARAN PERENCANA PERTAMA ANALIS KEBIJAKAN 
PERTAMA LULUS LULUS LULUS 
739 611201630 
9840005 
181961 
9685 66112000753 FARINA 23-09-1984 BIDAN PELAKSANA LULUS TIDAK 
LULUS 
TIDAK 
LULUS 
740 617101620 
7930003 
154486 
1938 66113001102 FARNIK SRI ASTUTI 22-07-1993 PRANATA KOMPUTER 
PERTAMA 
ANALIS KEBIJAKAN 
PERTAMA LULUS LULUS TIDAK 
LULUS 
741 611203071 
0870004 
170517 
8469 66113001540 FATHOLI 07-10-1987 GURU BAHASA INGGRIS 
PERTAMA SMP 
GURU BAHASA INGGRIS 
PERTAMA SMA LULUS LULUS TIDAK 
LULUS 
742 620801110 
4920001 
132925 
5651 66113001585 FATHUR RAHIM 11-04-1992 PRANATA KOMPUTER 
PERTAMA 
ANALIS KEBIJAKAN 
PERTAMA LULUS LULUS TIDAK 
LULUS 
743 611201531 
0890006 
141059 
1572 66113001773 FATHURRAHMAH 13-10-1989 ANALIS KEBIJAKAN 
PERTAMA PENYULUH KOPERASI ANALIS KERJASAMA DAN 
PERMODALAN LULUS LULUS LULUS 
744 610207600 
3880001 
142815 
1409 66112000434 FATIMAH 20-03-1988 BIDAN PELAKSANA LULUS TIDAK 
LULUS 
TIDAK 
LULUS 
745 617103581 
1900006 
174343 
9236 66113000177 FATIMAH RETNO 
ASTUTI 18-11-1990 GURU MATEMATIKA 
PERTAMA 
ANALIS KEBIJAKAN 
PERTAMA LULUS TIDAK 
LULUS 
TIDAK 
LULUS 
746 617103590 
9820003 
162849 
2399 66113000354 FATIMAWATI 19-09-1982 ANALIS KEBIJAKAN 
PERTAMA LULUS TIDAK 
LULUS 
TIDAK 
LULUS 
747 611209491 
1810004 
163209 
1300 66113000277 FATJERIDIANI 09-11-1981 ANALIS KEBIJAKAN 
PERTAMA LULUS TIDAK 
LULUS 
TIDAK 
LULUS 
748 610101481 
2910002 
148553 
4723 66112000547 FATMAWATI 08-12-1991 NUTRISIONIS PELAKSANA LULUS TIDAK 
LULUS 
TIDAK 
LULUS 
749 611201660 
4840011 
186281 
1205 66113000907 FATMAWATI 26-04-1984 PERENCANA PERTAMA ANALIS KEBIJAKAN 
PERTAMA ANALIS ANGGARAN LULUS LULUS LULUS 
750 610807430 
8870004 
130693 
5538 66113001380 FATRISIA LIAWATI 03-08-1987 PERENCANA PERTAMA PENYULUH KOPERASI ANALIS KEBIJAKAN 
PERTAMA LULUS LULUS LULUS 
751 610810050 
5880002 
180440 
1333 66113001317 FAUZAN 05-05-1988 GURU IPA PERTAMA GURU BIOLOGI PERTAMA ANALIS KEBIJAKAN 
PERTAMA LULUS LULUS TIDAK 
LULUS 
752 611203150 
6880005 
140400 
8671 66113001823 FAUZAN 15-06-1988 ANALIS KEBIJAKAN 
PERTAMA 
PENGAWAS 
KETENAGAKERJAAN 
PERTAMA 
ANALIS LAYANAN UMUM LULUS LULUS LULUS 
753 611203641 
2860002 
137417 
8877 66113000805 FAUZIAH 24-12-1986 GURU MATEMATIKA 
PERTAMA 
ANALIS KEBIJAKAN 
PERTAMA LULUS TIDAK 
LULUS 
TIDAK 
LULUS 
754 617103530 
2900008 
197088 
4174 66112000652 FEBBI YANTI 13-02-1990 VERIFIKATOR KEUANGAN LULUS TIDAK 
LULUS 
TIDAK 
LULUS 
755 617105460 
5890003 
194683 
9681 66113000541 FEBBY VIOLENDI, 06-05-1989 GURU MATEMATIKA 
PERTAMA LULUS TIDAK 
LULUS 
TIDAK 
LULUS 
756 611201070 
2900001 
190286 
1866 66112000164 FEBLI NOVIANTO. J. 07-02-1990 PERAWAT PELAKSANA LULUS TIDAK 
LULUS 
TIDAK 
LULUS
NO NIK 
NO 
REGIST 
ER 
NO PESERTA NAMA TANGGAL 
LAHIR PILIHAN JABATAN 1 NAMA JABATAN 2 NAMA JABATAN 3 STATUS 
PILIHAN 1 
STATUS 
PILIHAN 2 
STATUS 
PILIHAN 3 
757 617101030 
2810016 
188758 
8891 66113001858 FEBRANNY PRIESTA 
KORAAG 03-02-1981 DOKTER PERTAMA LULUS TIDAK 
LULUS 
TIDAK 
LULUS 
758 611209500 
2860007 
142105 
1556 66112000037 FEBRI SANTRIYANA 10-02-1986 PENGADMINISTRASI UMUM LULUS TIDAK 
LULUS 
TIDAK 
LULUS 
759 617105110 
2860003 
173649 
3184 66113000659 FEBRI SURYAWARDANI 11-02-1986 ANALIS KEBIJAKAN 
PERTAMA LULUS TIDAK 
LULUS 
TIDAK 
LULUS 
760 611209440 
2890006 
207810 
0750 66112000327 FEBRIANA DAMAYANTI 04-02-1989 PERAWAT PELAKSANA LULUS TIDAK 
LULUS 
TIDAK 
LULUS 
761 617102021 
2900009 
175317 
5548 66112000374 FEBRIANSYAH 02-12-1990 VERIFIKATOR KEUANGAN LULUS TIDAK 
LULUS 
TIDAK 
LULUS 
762 617101480 
2890004 
160546 
7010 66113000619 FEBRIANTI 08-02-1989 ANALIS KEBIJAKAN 
PERTAMA LULUS TIDAK 
LULUS 
TIDAK 
LULUS 
763 611201600 
2910013 
121922 
3208 66112000114 FEBRIN VERA BULIN 20-02-1991 PENYUSUN RISALAH PENGADMINISTRASI UMUM LULUS LULUS TIDAK 
LULUS 
764 617105500 
2900009 
153223 
9917 66113001663 FEBRINA TRIUTARI 10-02-1990 PAMONG BUDAYA PERTAMA ANALIS KEBIJAKAN 
PERTAMA LULUS LULUS TIDAK 
LULUS 
765 611201450 
2900005 
170654 
2231 66113001752 FEBRY MAVICA 05-02-1990 GURU MATEMATIKA 
PERTAMA 
ANALIS KEBIJAKAN 
PERTAMA LULUS TIDAK 
LULUS 
TIDAK 
LULUS 
766 611201200 
2880013 
181223 
1085 66113000149 FEBTU DALUH ANGGA 20-02-1988 PRANATA KOMPUTER 
PERTAMA 
ANALIS KEBIJAKAN 
PERTAMA LULUS LULUS TIDAK 
LULUS 
767 617103450 
8880015 
147175 
4897 66112000143 FEGA ALHUTAMI 05-08-1988 NUTRISIONIS PELAKSANA LULUS TIDAK 
LULUS 
TIDAK 
LULUS 
768 617104170 
6840027 
113712 
0323 66113001860 FELISIANUS 17-06-1984 GURU MATEMATIKA 
PERTAMA LULUS TIDAK 
LULUS 
TIDAK 
LULUS 
769 617104620 
7910001 
159021 
5768 66112000849 FENI LISTIABUDIARTI 22-07-1991 PENGADMINISTRASI UMUM LULUS TIDAK 
LULUS 
TIDAK 
LULUS 
770 617104710 
1860003 
105940 
4092 66112000460 FENNY BUDI RAHAYU 31-01-1986 PENGADMINISTRASI UMUM PENYUSUN RISALAH LULUS LULUS TIDAK 
LULUS 
771 617105591 
2860003 
116368 
4559 66112000479 FENNY BUDIARTI 19-12-1986 PENGADMINISTRASI UMUM PENYUSUN RISALAH LULUS LULUS TIDAK 
LULUS 
772 611201490 
5860010 
205250 
5790 66113000897 FENNY MAISYARA 09-05-1986 ANALIS KEBIJAKAN 
PERTAMA LULUS TIDAK 
LULUS 
TIDAK 
LULUS 
773 617105440 
1880002 
152240 
0745 66113001203 FENNY VERANIKA 08-01-1988 GURU BAHASA INGGRIS 
PERTAMA SMP 
GURU BAHASA INGGRIS 
PERTAMA SMA 
ANALIS KEBIJAKAN 
PERTAMA LULUS LULUS TIDAK 
LULUS 
774 611203451 
1880004 
105108 
9861 66113001584 FENTRI SUNDARI 05-11-1988 ANALIS ANGGARAN PENYULUH KOPERASI PERENCANA PERTAMA LULUS LULUS LULUS 
775 617103431 
2830011 
143909 
4815 66113001826 FERA EKA SARI, SE 03-12-1983 ANALIS KEBIJAKAN 
PERTAMA LULUS TIDAK 
LULUS 
TIDAK 
LULUS 
776 617204610 
2880003 
213183 
7450 66113001110 FERAWATI 21-02-1988 
PENGAWAS 
KETENAGAKERJAAN 
PERTAMA 
PERANCANG PERUNDANG-UNDANGAN 
PERTAMA 
ANALIS KEBIJAKAN 
PERTAMA LULUS LULUS LULUS
NO NIK 
NO 
REGIST 
ER 
NO PESERTA NAMA TANGGAL 
LAHIR PILIHAN JABATAN 1 NAMA JABATAN 2 NAMA JABATAN 3 STATUS 
PILIHAN 1 
STATUS 
PILIHAN 2 
STATUS 
PILIHAN 3 
777 610617100 
1930001 
199204 
6079 66112000150 FERDI ILHAM SAPUTRA 10-01-1993 PENGADMINISTRASI UMUM PENYUSUN RISALAH LULUS LULUS TIDAK 
LULUS 
778 611201080 
2890014 
131294 
8349 66113000631 FERDIANSYAH 08-02-1989 PERENCANA PERTAMA ANALIS ANGGARAN ANALIS KERJASAMA DAN 
PERMODALAN LULUS LULUS LULUS 
779 611201060 
1870004 
119824 
1139 66113001129 FERIANTO 06-01-1987 ANALIS KEBIJAKAN 
PERTAMA LULUS TIDAK 
LULUS 
TIDAK 
LULUS 
780 617104660 
2910007 
151831 
2127 66113000523 FERIYANTI 26-02-1991 GURU MATEMATIKA 
PERTAMA LULUS TIDAK 
LULUS 
TIDAK 
LULUS 
781 611201021 
0870001 
171434 
8827 66113001278 FERIZA YUDHA 
PRASTAMA 02-10-1987 ANALIS KEBIJAKAN 
PERTAMA 
GURU BAHASA INGGRIS 
PERTAMA SMA 
GURU BAHASA INGGRIS 
PERTAMA SMP 
TIDAK 
LULUS LULUS LULUS 
782 617103571 
1890006 
210705 
4369 66113000727 FERRA NOVITA SARI 17-11-1989 GURU MATEMATIKA 
PERTAMA LULUS TIDAK 
LULUS 
TIDAK 
LULUS 
783 617101240 
4860012 
130519 
7056 66113001107 FERRY FADLY 24-04-1986 PERANCANG PERUNDANG-UNDANGAN 
PERTAMA 
PENGAWAS 
KETENAGAKERJAAN 
PERTAMA 
MEDIATOR HUBUNGAN 
INDUSTRIAL PERTAMA LULUS LULUS LULUS 
784 617105110 
4870502 
201786 
8927 66113001369 FERRY FAISAL 
VALERRY, S.SOS 11-04-1987 PEKERJA SOSIAL PERTAMA LULUS TIDAK 
LULUS 
TIDAK 
LULUS 
785 610218200 
2900001 
158051 
8990 66113001497 FERRY FEBRIAN 
WIJAYA 20-02-1990 PRANATA KOMPUTER 
PERTAMA 
ANALIS KEBIJAKAN 
PERTAMA LULUS LULUS TIDAK 
LULUS 
786 611201011 
0860006 
147579 
5776 66113000493 FERY WAHYUDI 01-10-1986 PERENCANA PERTAMA ANALIS KERJASAMA DAN 
PERMODALAN 
ANALIS KEBIJAKAN 
PERTAMA LULUS LULUS LULUS 
787 617102180 
8810008 
134737 
7679 66113001338 FERYANSYAH. ST 18-08-1981 ANALIS KEBIJAKAN 
PERTAMA LULUS TIDAK 
LULUS 
TIDAK 
LULUS 
788 617102600 
2850002 
163040 
2454 66113000812 FESTI HANDINI 20-02-1985 GURU MATEMATIKA 
PERTAMA LULUS TIDAK 
LULUS 
TIDAK 
LULUS 
789 617101520 
1840007 
188473 
6121 66112000452 FIESTY FATIKA 12-01-1984 PENGADMINISTRASI UMUM PENYUSUN RISALAH LULUS LULUS TIDAK 
LULUS 
790 611203490 
5920003 
145544 
3994 66112000464 FIFIT JASMIAH 09-05-1992 NUTRISIONIS PELAKSANA LULUS TIDAK 
LULUS 
TIDAK 
LULUS 
791 617105650 
9880004 
202135 
5757 66112000767 FIJALIANA 25-09-1988 VERIFIKATOR KEUANGAN LULUS TIDAK 
LULUS 
TIDAK 
LULUS 
792 617103130 
6810010 
210394 
5030 66113001753 FIKRI INDRAJATI 13-06-1981 PENATA RUANG PERTAMA SURVEYOR PEMETAAN 
PERTAMA LULUS LULUS TIDAK 
LULUS 
793 610212550 
2870002 
175044 
0229 66113000306 FINAWATI. SH 15-02-1987 PERANCANG PERUNDANG-UNDANGAN 
PERTAMA ANALIS LAYANAN UMUM MEDIATOR HUBUNGAN 
INDUSTRIAL PERTAMA LULUS LULUS LULUS 
794 611209621 
1930002 
172485 
9123 66112000782 FIRDHA AMALIA 22-11-1993 VERIFIKATOR KEUANGAN LULUS TIDAK 
LULUS 
TIDAK 
LULUS 
795 610201660 
7890002 
183979 
7202 66113001859 FIRLIA FAWINTA 26-07-1989 GURU MATEMATIKA 
PERTAMA LULUS TIDAK 
LULUS 
TIDAK 
LULUS 
796 611201110 
2880006 
114310 
8834 66113000900 FIRMANSYAH 11-02-1988 ANALIS KEBIJAKAN 
PERTAMA PEKERJA SOSIAL PERTAMA PENYULUH SOSIAL 
PERTAMA LULUS TIDAK 
LULUS 
TIDAK 
LULUS
NO NIK 
NO 
REGIST 
ER 
NO PESERTA NAMA TANGGAL 
LAHIR PILIHAN JABATAN 1 NAMA JABATAN 2 NAMA JABATAN 3 STATUS 
PILIHAN 1 
STATUS 
PILIHAN 2 
STATUS 
PILIHAN 3 
797 611207421 
1930001 
136965 
8683 66112000072 FIRRANIA RANIPUSPITA 02-11-1993 NUTRISIONIS PELAKSANA LULUS TIDAK 
LULUS 
TIDAK 
LULUS 
798 611207460 
5920003 
161180 
5641 66113001419 FIRSARIA FITRA NILA 06-05-1992 GURU MATEMATIKA 
PERTAMA LULUS TIDAK 
LULUS 
TIDAK 
LULUS 
799 617103280 
3810005 
148437 
3424 66113001615 FITHRI RAHMADI 28-03-1981 PENATA RUANG PERTAMA SURVEYOR PEMETAAN 
PERTAMA 
ANALIS KEBIJAKAN 
PERTAMA LULUS LULUS LULUS 
800 331420541 
0920002 
192377 
5088 66112000085 FITHRI WULANDARI 14-10-1992 BIDAN PELAKSANA LULUS TIDAK 
LULUS 
TIDAK 
LULUS 
801 617101420 
7840010 
195407 
8114 66113000784 FITHROTUL UMMI,SE 02-07-1984 ANALIS KEBIJAKAN 
PERTAMA PERENCANA PERTAMA ANALIS KERJASAMA DAN 
PERMODALAN LULUS LULUS LULUS 
802 617102131 
0870005 
183009 
5082 66113000282 FITRA HERMAWAN 13-10-1987 ANALIS KEBIJAKAN 
PERTAMA LULUS TIDAK 
LULUS 
TIDAK 
LULUS 
803 617102080 
6860010 
209973 
3204 66113000097 FITRAH HIDAYATUR 
RAHMAN, SH 08-06-1986 PERANCANG PERUNDANG-UNDANGAN 
PERTAMA 
PENGAWAS 
KETENAGAKERJAAN 
PERTAMA 
ANALIS KEBIJAKAN 
PERTAMA LULUS LULUS LULUS 
804 617105530 
7830003 
110749 
2784 66113000330 FITRI ANNISA 13-07-1983 GURU SEJARAH PERTAMA LULUS TIDAK 
LULUS 
TIDAK 
LULUS 
805 617106600 
4920001 
208194 
6921 66112000515 FITRI APRI SARIATI 20-04-1992 PENGADMINISTRASI UMUM PENYUSUN RISALAH LULUS LULUS TIDAK 
LULUS 
806 617101680 
4870004 
161953 
9769 66113000712 FITRI APRILIASTUTI 28-04-1987 GURU SEJARAH PERTAMA LULUS TIDAK 
LULUS 
TIDAK 
LULUS 
807 611209630 
7890003 
167571 
2000 66113000194 FITRI HARYATI 23-07-1989 GURU MATEMATIKA 
PERTAMA 
ANALIS KEBIJAKAN 
PERTAMA LULUS TIDAK 
LULUS 
TIDAK 
LULUS 
808 611209430 
3910008 
152949 
6309 66112000872 FITRI RAHAYU 03-03-1991 BIDAN PELAKSANA LULUS TIDAK 
LULUS 
TIDAK 
LULUS 
809 617104530 
4890006 
191363 
3239 66113000891 FITRI RATNASARI 13-04-1989 PERENCANA PERTAMA ANALIS ANGGARAN ANALIS KERJASAMA DAN 
PERMODALAN LULUS LULUS LULUS 
810 610715620 
3920002 
160797 
8763 66112000063 FITRI WULANDARI 22-03-1992 NUTRISIONIS PELAKSANA LULUS TIDAK 
LULUS 
TIDAK 
LULUS 
811 617104550 
5880007 
143636 
8124 66112000149 FITRI YANI 15-05-1988 PENGADMINISTRASI UMUM PENYUSUN RISALAH LULUS LULUS TIDAK 
LULUS 
812 617103410 
3930006 
205026 
7285 66112000770 FITRI YANI 01-03-1993 VERIFIKATOR KEUANGAN LULUS TIDAK 
LULUS 
TIDAK 
LULUS 
813 617103421 
0810005 
132519 
9670 66113001897 FITRIA 02-10-1981 PUSTAKAWAN PERTAMA LULUS TIDAK 
LULUS 
TIDAK 
LULUS 
814 611201430 
7890008 
134737 
4156 66113000886 FITRIA ARISANTI 03-07-1989 GURU SEJARAH PERTAMA LULUS TIDAK 
LULUS 
TIDAK 
LULUS 
815 610215440 
4920001 
131822 
8060 66112000503 FITRIA KARYA NINGSI 04-04-1992 NUTRISIONIS PELAKSANA LULUS TIDAK 
LULUS 
TIDAK 
LULUS 
816 611209710 
5860001 
101920 
0787 66113001428 FITRIA MASYITA 31-05-1986 PERENCANA PERTAMA ANALIS ANGGARAN ANALIS KERJASAMA DAN 
PERMODALAN LULUS LULUS LULUS
NO NIK 
NO 
REGIST 
ER 
NO PESERTA NAMA TANGGAL 
LAHIR PILIHAN JABATAN 1 NAMA JABATAN 2 NAMA JABATAN 3 STATUS 
PILIHAN 1 
STATUS 
PILIHAN 2 
STATUS 
PILIHAN 3 
817 611201460 
8810011 
174727 
5830 66113001616 FITRIA NINGRUM, SP 06-08-1981 ANALIS KEBIJAKAN 
PERTAMA LULUS TIDAK 
LULUS 
TIDAK 
LULUS 
818 611201410 
8910008 
175694 
9457 66113000329 FITRIA RATNASARI 01-08-1991 ANALIS KEBIJAKAN 
PERTAMA PERENCANA PERTAMA ANALIS ANGGARAN LULUS LULUS LULUS 
819 617105580 
6890001 
105027 
8267 66113000960 FITRIA YUNIARSIH 18-06-1989 GURU MATEMATIKA 
PERTAMA LULUS TIDAK 
LULUS 
TIDAK 
LULUS 
820 611201490 
6860012 
136793 
4174 66113001461 FITRIA YUNIWATI 
SARAGI 09-06-1986 PEKERJA SOSIAL PERTAMA PENYULUH SOSIAL 
PERTAMA 
ANALIS KEBIJAKAN 
PERTAMA LULUS LULUS LULUS 
821 617101230 
6850008 
151099 
4795 66112000487 FITRIAN 23-06-1985 PENGADMINISTRASI UMUM PENYUSUN RISALAH LULUS LULUS TIDAK 
LULUS 
822 617105220 
5880002 
192766 
6427 66113000998 FITRIAN WARDA SETIYO 22-05-1988 ANALIS ANGGARAN PENYULUH KOPERASI ANALIS KERJASAMA DAN 
PERMODALAN LULUS LULUS LULUS 
823 610301690 
3900001 
156267 
1452 66112000275 FITRIANA NOVITASARI 29-03-1990 PERAWAT PELAKSANA LULUS TIDAK 
LULUS 
TIDAK 
LULUS 
824 611201290 
5870006 
190748 
8943 66113000009 FITRIANDI 29-05-1987 GURU MATEMATIKA 
PERTAMA LULUS LULUS LULUS 
825 610207480 
4870004 
141485 
9739 66112000323 FITRIANI 08-04-1987 PENGADMINISTRASI UMUM PENYUSUN RISALAH LULUS LULUS TIDAK 
LULUS 
826 617103530 
5890002 
142198 
0582 66112000432 FITRIANI 13-05-1989 BIDAN PELAKSANA LULUS TIDAK 
LULUS 
TIDAK 
LULUS 
827 617102451 
1860006 
212237 
8040 66113000068 FITRIANI 05-11-1986 GURU MATEMATIKA 
PERTAMA 
ANALIS KEBIJAKAN 
PERTAMA LULUS TIDAK 
LULUS 
TIDAK 
LULUS 
828 617104510 
8880004 
195050 
1871 66113000451 FITRIANI 11-08-1988 GURU SEJARAH PERTAMA LULUS TIDAK 
LULUS 
TIDAK 
LULUS 
829 617105681 
2830008 
106375 
8971 66113001603 FITRIANI 28-12-1983 ANALIS KEBIJAKAN 
PERTAMA LULUS TIDAK 
LULUS 
TIDAK 
LULUS 
830 611201580 
3870008 
160101 
9099 66113000251 FITRIANI, SE 18-03-1987 PENYULUH KOPERASI ANALIS KERJASAMA DAN 
PERMODALAN PERENCANA PERTAMA LULUS LULUS LULUS 
831 617102680 
6870001 
155172 
9249 66113001432 FITRIANINGSIH 28-06-1987 
PENGENDALI ORGANISME 
PENGGANGGU TUMBUHAN 
PERTAMA 
ANALIS KEBIJAKAN 
PERTAMA 
TIDAK 
LULUS LULUS TIDAK 
LULUS 
832 610807700 
7840002 
105936 
1617 66112000043 FITRIATI B 30-07-1984 NUTRISIONIS PELAKSANA LULUS TIDAK 
LULUS 
TIDAK 
LULUS 
833 617101620 
9890005 
128467 
8703 66112000026 FIZNISSA ADITYA 22-09-1989 BIDAN PELAKSANA LULUS TIDAK 
LULUS 
TIDAK 
LULUS 
834 611201570 
9890008 
111439 
8090 66113001094 FLAVIANA ARKE 17-09-1989 ANALIS KEBIJAKAN 
PERTAMA LULUS TIDAK 
LULUS 
TIDAK 
LULUS 
835 611201280 
5890006 
132010 
7010 66113000565 FLORENTIUS DOMI 
BORNEO 28-05-1989 PRANATA KOMPUTER 
PERTAMA 
ANALIS KEBIJAKAN 
PERTAMA LULUS LULUS TIDAK 
LULUS 
836 617201071 
1920003 
168747 
5948 66113000690 FRAKACHZUL 
HEROESDIKA 07-11-1992 GURU BAHASA INGGRIS 
PERTAMA SMP 
GURU BAHASA INGGRIS 
PERTAMA SMA 
ANALIS KEBIJAKAN 
PERTAMA LULUS LULUS TIDAK 
LULUS
NO NIK 
NO 
REGIST 
ER 
NO PESERTA NAMA TANGGAL 
LAHIR PILIHAN JABATAN 1 NAMA JABATAN 2 NAMA JABATAN 3 STATUS 
PILIHAN 1 
STATUS 
PILIHAN 2 
STATUS 
PILIHAN 3 
837 611201530 
8890007 
160114 
9237 66113001418 FRAMITA 13-08-1989 PEKERJA SOSIAL PERTAMA PENYULUH SOSIAL 
PERTAMA 
ANALIS KEBIJAKAN 
PERTAMA LULUS LULUS LULUS 
838 331810240 
4850002 
170646 
2384 66113001562 FRANSISCUS SUDARTO 24-04-1985 TEKNIK JALAN DAN 
JEMBATAN PERTAMA 
ANALIS KEBIJAKAN 
PERTAMA LULUS LULUS TIDAK 
LULUS 
839 610419520 
2820001 
165520 
9309 66113001356 FRANSISKA RAHILA 12-02-1982 ANALIS KEBIJAKAN 
PERTAMA LULUS TIDAK 
LULUS 
TIDAK 
LULUS 
840 617105470 
9870503 
104003 
1878 66112000876 FRANSISKA SRIWATI 07-09-1987 PENGADMINISTRASI UMUM PENYUSUN RISALAH LULUS LULUS TIDAK 
LULUS 
841 610106501 
0820002 
133415 
3362 66113001613 FRANSISKA YUNITA 10-10-1982 PERENCANA PERTAMA PENYULUH KOPERASI ANALIS ANGGARAN LULUS LULUS LULUS 
842 611203180 
5930002 
139650 
9986 66112000080 FRANSISKUS WILLY 
BRODUS 18-05-1993 PERAWAT PELAKSANA LULUS TIDAK 
LULUS 
TIDAK 
LULUS 
843 610104271 
2890001 
179488 
6370 66113000995 FREDDY SUTRISNO 27-12-1989 PRANATA KOMPUTER 
PERTAMA LULUS TIDAK 
LULUS 
TIDAK 
LULUS 
844 610807300 
1850003 
127612 
9254 66113000867 FREDERIK TRINAURI 30-01-1985 PAMONG BUDAYA PERTAMA ANALIS KEBIJAKAN 
PERTAMA LULUS LULUS TIDAK 
LULUS 
845 617105030 
2940004 
182433 
4028 66112000858 FREDIANTONI 03-02-1994 PENGADMINISTRASI UMUM LULUS TIDAK 
LULUS 
TIDAK 
LULUS 
846 617102200 
9870004 
129057 
8044 66113000309 FREDRIK DOMINGGO 
GONSALES.N 20-09-1987 PRANATA KOMPUTER 
PERTAMA 
ANALIS KEBIJAKAN 
PERTAMA LULUS LULUS TIDAK 
LULUS 
847 617102220 
4810002 
200353 
0315 66113000143 FREDRIK LILIK 22-04-1981 GURU BAHASA INGGRIS 
PERTAMA SMP 
GURU BAHASA INGGRIS 
PERTAMA SMA 
ANALIS KEBIJAKAN 
PERTAMA LULUS LULUS TIDAK 
LULUS 
848 610811410 
4920002 
139954 
0238 66112000381 FRISKA BAYA 01-04-1992 PERAWAT PELAKSANA LULUS TIDAK 
LULUS 
TIDAK 
LULUS 
849 611203490 
2920003 
173057 
2895 66112000293 FRISKA DIAN ANDITA 09-02-1992 BIDAN PELAKSANA LULUS TIDAK 
LULUS 
TIDAK 
LULUS 
850 611201520 
3890022 
198368 
7773 66113000424 FUJI MAYASARI, S.PD 12-03-1989 GURU SEJARAH PERTAMA LULUS TIDAK 
LULUS 
TIDAK 
LULUS 
851 611203601 
0910003 
194643 
4059 66113000308 GABRYELLA OCTARIA 
PAMELA.M.SIMARMATA 20-10-1991 ANALIS KEPEGAWAIAN 
PERTAMA 
ANALIS KEPENDUDUKAN 
DAN PENCATATAN SIPIL 
ANALIS KEBIJAKAN 
PERTAMA LULUS LULUS LULUS 
852 611201440 
4890010 
161171 
6988 66113000378 GALUH IRMAWATI 04-04-1989 PERANCANG PERUNDANG-UNDANGAN 
PERTAMA 
ANALIS KEBIJAKAN 
PERTAMA 
PENGAWAS 
KETENAGAKERJAAN 
PERTAMA 
LULUS LULUS LULUS 
853 611201430 
6910006 
123112 
1344 66113000749 GANOVA EVLIN 03-06-1991 ANALIS KEBIJAKAN 
PERTAMA LULUS TIDAK 
LULUS 
TIDAK 
LULUS 
854 610704530 
1920006 
154609 
8485 66112000507 GARI YULINDA 01-01-1992 NUTRISIONIS PELAKSANA LULUS TIDAK 
LULUS 
TIDAK 
LULUS 
855 611103120 
4850002 
212666 
5500 66113000015 GATOT SUJARWADI 12-04-1985 ANALIS KEBIJAKAN 
PERTAMA LULUS TIDAK 
LULUS 
TIDAK 
LULUS 
856 617101530 
7900006 
205015 
5874 66112000042 GEMA SAFITRI 13-07-1990 NUTRISIONIS PELAKSANA LULUS TIDAK 
LULUS 
TIDAK 
LULUS
NO NIK 
NO 
REGIST 
ER 
NO PESERTA NAMA TANGGAL 
LAHIR PILIHAN JABATAN 1 NAMA JABATAN 2 NAMA JABATAN 3 STATUS 
PILIHAN 1 
STATUS 
PILIHAN 2 
STATUS 
PILIHAN 3 
857 610104010 
7860046 
171810 
3832 66112000398 GENDRIONO 01-07-1986 PERAWAT PELAKSANA LULUS TIDAK 
LULUS 
TIDAK 
LULUS 
858 120603410 
7910049 
202360 
4541 66112000764 GEOVANI EPIOSEA BR 
SITEPU 04-04-1991 BIDAN PELAKSANA LULUS TIDAK 
LULUS 
TIDAK 
LULUS 
859 611002051 
0920003 
200398 
6242 66112000488 GERI OKTOHARIADI 05-10-1992 PERAWAT PELAKSANA LULUS TIDAK 
LULUS 
TIDAK 
LULUS 
860 150117420 
5910001 
176320 
4738 66113001279 GIARTI SASTRA DEWI 02-05-1991 GURU MATEMATIKA 
PERTAMA LULUS TIDAK 
LULUS 
TIDAK 
LULUS 
861 611201440 
1900011 
204513 
6340 66113001312 GIGIH TRI LESTARI 04-01-1990 GURU SEJARAH PERTAMA LULUS TIDAK 
LULUS 
TIDAK 
LULUS 
862 610207420 
3920004 
130656 
4340 66112000383 GITA GLORIA GINTING 02-03-1992 BIDAN PELAKSANA LULUS TIDAK 
LULUS 
TIDAK 
LULUS 
863 610201500 
2910001 
133953 
9258 66112000305 GITA PEBRIANDARI 10-02-1991 BIDAN PELAKSANA LULUS TIDAK 
LULUS 
TIDAK 
LULUS 
864 611207171 
2900003 
140053 
3912 66113001177 GITO PURWONO 17-12-1990 GURU KIMIA PERTAMA ANALIS KEBIJAKAN 
PERTAMA LULUS TIDAK 
LULUS 
TIDAK 
LULUS 
865 611203440 
5930002 
139884 
4895 66112000292 GLORIA 04-05-1993 BIDAN PELAKSANA LULUS TIDAK 
LULUS 
TIDAK 
LULUS 
866 617104240 
8900015 
193543 
3141 66113000377 GREGORIUS ANDRY 
AGUSTA 24-08-1990 ANALIS KEBIJAKAN 
PERTAMA LULUS TIDAK 
LULUS 
TIDAK 
LULUS 
867 737114150 
6890002 
214126 
3196 66113000002 GUNAWAN MP 15-06-1989 GURU BAHASA INGGRIS 
PERTAMA SMP 
GURU BAHASA INGGRIS 
PERTAMA SMA LULUS LULUS LULUS 
868 617103160 
5870007 
188315 
9954 66113001600 GUNAWAN NUGRAHA 16-05-1987 ANALIS KEBIJAKAN 
PERTAMA LULUS TIDAK 
LULUS 
TIDAK 
LULUS 
869 610801201 
1810004 
115036 
1094 66112000701 GUNTUR 20-11-1981 PENYUSUN RISALAH PENGADMINISTRASI UMUM LULUS LULUS TIDAK 
LULUS 
870 611201261 
0830003 
176830 
6589 66113001776 GUNTUR GUNAWAN 26-10-1983 PENYULUH KOPERASI LULUS TIDAK 
LULUS 
TIDAK 
LULUS 
871 611201160 
8850016 
150671 
0888 66113001745 GUSMADI 16-08-1985 ANALIS KEBIJAKAN 
PERTAMA LULUS TIDAK 
LULUS 
TIDAK 
LULUS 
872 611201580 
8910002 
145932 
6164 66112000358 GUSRINI 18-08-1991 BIDAN PELAKSANA LULUS TIDAK 
LULUS 
TIDAK 
LULUS 
873 610507041 
2840002 
206495 
2449 66112000446 GUSTI ANWAR 04-12-1984 PERAWAT PELAKSANA LULUS TIDAK 
LULUS 
TIDAK 
LULUS 
874 610101430 
1870005 
130510 
4346 66113000505 GUSTI AYU EVY 
RESTIANTY, SE 03-01-1987 PERENCANA PERTAMA ANALIS ANGGARAN PENYULUH KOPERASI LULUS LULUS LULUS 
875 617103221 
2900013 
101106 
4916 66112000506 GUSTI DENNY 
SUHENDRA 22-12-1990 VERIFIKATOR KEUANGAN LULUS TIDAK 
LULUS 
TIDAK 
LULUS 
876 617105040 
7840503 
117563 
2027 66113000220 GUSTI RONAL 04-07-1984 ANALIS KEBIJAKAN 
PERTAMA LULUS TIDAK 
LULUS 
TIDAK 
LULUS
NO NIK 
NO 
REGIST 
ER 
NO PESERTA NAMA TANGGAL 
LAHIR PILIHAN JABATAN 1 NAMA JABATAN 2 NAMA JABATAN 3 STATUS 
PILIHAN 1 
STATUS 
PILIHAN 2 
STATUS 
PILIHAN 3 
877 610201700 
8900003 
204858 
8056 66113001472 GUSTIANA SAPUTRI 30-08-1990 GURU MATEMATIKA 
PERTAMA LULUS TIDAK 
LULUS 
TIDAK 
LULUS 
878 610116660 
8860003 
141362 
9331 66113000128 GUSTIANTI 26-08-1986 GURU SEJARAH PERTAMA LULUS TIDAK 
LULUS 
TIDAK 
LULUS 
879 610102570 
8930005 
128763 
0468 66112000429 GUSTINA 17-08-1993 PERAWAT PELAKSANA LULUS TIDAK 
LULUS 
TIDAK 
LULUS 
880 610101570 
8910004 
145248 
1398 66113000464 GUSTRI YENI 17-08-1991 GURU SEJARAH PERTAMA ANALIS KEBIJAKAN 
PERTAMA LULUS TIDAK 
LULUS 
TIDAK 
LULUS 
881 617105060 
6830008 
150973 
4552 66113000647 HABIBURRAHMAN 06-06-1983 PENATA RUANG PERTAMA SURVEYOR PEMETAAN 
PERTAMA 
ANALIS KEBIJAKAN 
PERTAMA LULUS LULUS LULUS 
882 610320040 
4850001 
143645 
0896 66113001569 HADI SUTJIPTO 04-04-1985 PRANATA KOMPUTER 
PERTAMA 
ANALIS KEBIJAKAN 
PERTAMA LULUS LULUS TIDAK 
LULUS 
883 617103610 
9800005 
156307 
3308 66113000765 HADNI HERLENA, SPD 21-09-1980 GURU MATEMATIKA 
PERTAMA LULUS TIDAK 
LULUS 
TIDAK 
LULUS 
884 617105650 
8910005 
118660 
0256 66112000060 HADRIYANTI DEWI 
LESTARI 25-08-1991 BIDAN PELAKSANA LULUS TIDAK 
LULUS 
TIDAK 
LULUS 
885 617103520 
4860505 
177730 
0065 66113000612 HAFIFAH, S.SI 12-04-1986 ANALIS KEBIJAKAN 
PERTAMA LULUS TIDAK 
LULUS 
TIDAK 
LULUS 
886 617102681 
1790001 
143147 
5232 66113001137 HAFIZAH, S.PD 28-11-1979 GURU MATEMATIKA 
PERTAMA LULUS TIDAK 
LULUS 
TIDAK 
LULUS 
887 611201170 
2870013 
188431 
7885 66113001816 HAIRUL 17-02-1987 PEKERJA SOSIAL PERTAMA PENYULUH SOSIAL 
PERTAMA 
ANALIS KEBIJAKAN 
PERTAMA LULUS LULUS LULUS 
888 611209660 
6900005 
155536 
1584 66113000443 HAJIZAH 26-06-1990 GURU MATEMATIKA 
PERTAMA LULUS TIDAK 
LULUS 
TIDAK 
LULUS 
889 610416590 
2920002 
166185 
7070 66112000348 HALIDA ZIA 19-02-1992 PENGADMINISTRASI UMUM PENYUSUN RISALAH LULUS LULUS TIDAK 
LULUS 
890 617102440 
8830005 
180220 
5455 66113001592 HALIFAH DARLIA, SE 04-08-1983 ANALIS KERJASAMA DAN 
PERMODALAN 
ANALIS KEBIJAKAN 
PERTAMA PENYULUH KOPERASI LULUS LULUS LULUS 
891 617104680 
2830011 
199756 
5887 66113000768 HALIMAH 28-02-1983 GURU MATEMATIKA 
PERTAMA 
ANALIS KEBIJAKAN 
PERTAMA LULUS TIDAK 
LULUS 
TIDAK 
LULUS 
892 617101490 
7900003 
208067 
4216 66113000964 HALIMATUS SA'DIAH 09-07-1990 GURU IPA PERTAMA GURU FISIKA PERTAMA LULUS LULUS TIDAK 
LULUS 
893 617104671 
2920008 
100855 
1616 66113000540 HALIPAH 27-12-1992 GURU BAHASA INDONESIA 
PERTAMA 
ANALIS KEBIJAKAN 
PERTAMA LULUS TIDAK 
LULUS 
TIDAK 
LULUS 
894 611209580 
6860004 
168082 
8781 66112000005 HAMBIYAH 18-06-1986 BIDAN PELAKSANA LULUS TIDAK 
LULUS 
TIDAK 
LULUS 
895 617102170 
5870001 
134029 
2207 66113000425 HAMDANI 17-05-1987 GURU MATEMATIKA 
PERTAMA 
ANALIS KEBIJAKAN 
PERTAMA LULUS TIDAK 
LULUS 
TIDAK 
LULUS 
896 617103250 
6840002 
163292 
0729 66113001361 HAMDANI 25-06-1984 ANALIS KEBIJAKAN 
PERTAMA LULUS TIDAK 
LULUS 
TIDAK 
LULUS
NO NIK 
NO 
REGIST 
ER 
NO PESERTA NAMA TANGGAL 
LAHIR PILIHAN JABATAN 1 NAMA JABATAN 2 NAMA JABATAN 3 STATUS 
PILIHAN 1 
STATUS 
PILIHAN 2 
STATUS 
PILIHAN 3 
897 610116131 
0860001 
180278 
4043 66112000408 HAMILIN 13-10-1986 PERAWAT PELAKSANA LULUS TIDAK 
LULUS 
TIDAK 
LULUS 
898 611209090 
6830003 
113268 
5503 66113001248 HAMKA 09-06-1983 TEKNIK JALAN DAN 
JEMBATAN PERTAMA 
ANALIS KEBIJAKAN 
PERTAMA LULUS LULUS TIDAK 
LULUS 
899 617101210 
2870005 
194670 
1402 66113000603 HAMNI FEBRA DA'I 
FURHAN 21-02-1987 PENYULUH KOPERASI ANALIS KERJASAMA DAN 
PERMODALAN LULUS LULUS TIDAK 
LULUS 
900 617105520 
4870010 
131543 
0408 66113000508 HANA NURSIANA 12-04-1987 ANALIS KEBIJAKAN 
PERTAMA LULUS TIDAK 
LULUS 
TIDAK 
LULUS 
901 610218010 
3830003 
146723 
9671 66113000100 HANDRI WIJAYA, ST 01-03-1983 PENGAWAS LINGKUNGAN 
HIDUP PERTAMA 
PENGENDALI DAMPAK 
LINGKUNGAN PERTAMA 
TEKNIK PENYEHATAN 
LINGKUNGAN PERTAMA LULUS LULUS LULUS 
902 611206081 
2870002 
191266 
9782 66113001331 HANGGARA RYOPUTRA 08-12-1987 PERENCANA PERTAMA PENYULUH KOPERASI ANALIS KERJASAMA DAN 
PERMODALAN LULUS LULUS LULUS 
903 617104550 
8900007 
109500 
3158 66113001041 HANGGARINI ADITYA 
RUSIANTO 15-08-1990 GURU SEJARAH PERTAMA ANALIS KEBIJAKAN 
PERTAMA LULUS TIDAK 
LULUS 
TIDAK 
LULUS 
904 611209230 
7820001 
141720 
6901 66113001511 HANGGHA PRAYOGA 23-07-1982 GURU BAHASA INGGRIS 
PERTAMA SMP 
ANALIS KEBIJAKAN 
PERTAMA LULUS TIDAK 
LULUS 
TIDAK 
LULUS 
905 611207500 
8870002 
126381 
7304 66113001216 HANIMATUL KHOIRIYAH 10-08-1987 ANALIS KEBIJAKAN 
PERTAMA LULUS TIDAK 
LULUS 
TIDAK 
LULUS 
906 347113210 
3860001 
165713 
2647 66113001703 HAPIZAN 21-03-1986 GURU IPA PERTAMA ANALIS KEBIJAKAN 
PERTAMA GURU FISIKA PERTAMA LULUS TIDAK 
LULUS LULUS 
907 617202410 
1880006 
138224 
1486 66113000040 HARDIANA 01-01-1988 GURU BAHASA INGGRIS 
PERTAMA SMP 
GURU BAHASA INGGRIS 
PERTAMA SMA 
ANALIS KEBIJAKAN 
PERTAMA LULUS LULUS TIDAK 
LULUS 
908 617105650 
8890007 
110112 
0800 66113000343 HARDIYANTI RUKMANA 25-08-1989 ANALIS KEBIJAKAN 
PERTAMA PERENCANA PERTAMA ANALIS ANGGARAN LULUS LULUS LULUS 
909 611203060 
2870003 
163006 
0419 66113000742 HARI JUMAWAN 13-02-1987 ANALIS KEBIJAKAN 
PERTAMA LULUS TIDAK 
LULUS 
TIDAK 
LULUS 
910 610803570 
8820002 
179933 
4084 66113000634 HARIA PROLANI 17-08-1982 ANALIS KEBIJAKAN 
PERTAMA LULUS TIDAK 
LULUS 
TIDAK 
LULUS 
911 617105250 
4870003 
204633 
9398 66113000150 HARIS PRIYATMOKO 25-04-1987 PRANATA KOMPUTER 
PERTAMA 
ANALIS KEBIJAKAN 
PERTAMA LULUS LULUS TIDAK 
LULUS 
912 611201200 
7890005 
103272 
7170 66113000244 HARIS SETIAWAN 20-07-1989 ANALIS KEBIJAKAN 
PERTAMA LULUS TIDAK 
LULUS 
TIDAK 
LULUS 
913 617105100 
4820006 
108932 
5327 66113000258 HARIS TRISWANTO 10-04-1982 PERENCANA PERTAMA PENYULUH KOPERASI ANALIS KEBIJAKAN 
PERTAMA LULUS LULUS LULUS 
914 610301250 
2810005 
187116 
3930 66113000080 HARIYARDI. A 25-02-1981 PERANCANG PERUNDANG-UNDANGAN 
PERTAMA 
MEDIATOR HUBUNGAN 
INDUSTRIAL PERTAMA 
ANALIS KEBIJAKAN 
PERTAMA LULUS LULUS LULUS 
915 617105410 
1820503 
157246 
4724 66113001794 HARLINA, S.PI 01-01-1982 PENGAWAS PERIKANAN 
PERTAMA LULUS TIDAK 
LULUS 
TIDAK 
LULUS 
916 617101150 
9870001 
204578 
8189 66113001044 HARRIS 
CESARDARMANTYA 15-09-1987 PRANATA KOMPUTER 
PERTAMA 
ANALIS KEBIJAKAN 
PERTAMA LULUS LULUS TIDAK 
LULUS
NO NIK 
NO 
REGIST 
ER 
NO PESERTA NAMA TANGGAL 
LAHIR PILIHAN JABATAN 1 NAMA JABATAN 2 NAMA JABATAN 3 STATUS 
PILIHAN 1 
STATUS 
PILIHAN 2 
STATUS 
PILIHAN 3 
917 611201130 
7910005 
189569 
9254 66113001693 HARSAMUDA 13-07-1991 PRANATA KOMPUTER 
PERTAMA 
ANALIS KEBIJAKAN 
PERTAMA LULUS LULUS TIDAK 
LULUS 
918 611201251 
0880003 
161792 
0534 66112000746 HARY MULIANA 25-10-1988 PENGADMINISTRASI UMUM PENYUSUN RISALAH LULUS LULUS TIDAK 
LULUS 
919 617101500 
7890003 
212892 
0034 66113000189 HARYANTI 10-07-1989 GURU MATEMATIKA 
PERTAMA 
ANALIS KEBIJAKAN 
PERTAMA LULUS TIDAK 
LULUS 
TIDAK 
LULUS 
920 617204230 
2920001 
206128 
2267 66113000972 HARYO SETO 23-02-1992 
PENGAWAS 
KETENAGAKERJAAN 
PERTAMA 
MEDIATOR HUBUNGAN 
INDUSTRIAL PERTAMA 
PENGANTAR KERJA 
PERTAMA LULUS LULUS LULUS 
921 617103050 
5820022 
176657 
8595 66113000307 HASAN, S. SOS. I 05-05-1982 ANALIS KEBIJAKAN 
PERTAMA LULUS TIDAK 
LULUS 
TIDAK 
LULUS 
922 617104690 
9850013 
171473 
1286 66113001863 HASANAH 29-09-1985 GURU MATEMATIKA 
PERTAMA LULUS TIDAK 
LULUS 
TIDAK 
LULUS 
923 611209030 
3810006 
185783 
3124 66113001115 HASANUDDIN 03-03-1981 ANALIS KEBIJAKAN 
PERTAMA LULUS TIDAK 
LULUS 
TIDAK 
LULUS 
924 611103041 
1870001 
130033 
5764 66112000196 HASANUDIN 04-11-1987 PERAWAT PELAKSANA LULUS TIDAK 
LULUS 
TIDAK 
LULUS 
925 611205160 
4880006 
181441 
3755 66112000803 HASARUDDIN 16-04-1988 PERAWAT PELAKSANA LULUS TIDAK 
LULUS 
TIDAK 
LULUS 
926 610320601 
0870003 
135359 
6240 66113000461 HASIAN NAULI 20-10-1987 GURU MATEMATIKA 
PERTAMA 
ANALIS KEBIJAKAN 
PERTAMA LULUS TIDAK 
LULUS 
TIDAK 
LULUS 
927 611105100 
4910001 
165296 
7374 66113001169 HASIM ASHARI 10-04-1991 GURU SEJARAH PERTAMA ANALIS KEBIJAKAN 
PERTAMA LULUS TIDAK 
LULUS 
TIDAK 
LULUS 
928 617103300 
4820007 
146208 
6473 66113001629 HASMUNIANSYAH 30-04-1982 GURU MATEMATIKA 
PERTAMA LULUS TIDAK 
LULUS 
TIDAK 
LULUS 
929 610606080 
9830001 
131233 
8885 66112000315 HASRANI HADINI 08-09-1983 PERAWAT PELAKSANA LULUS TIDAK 
LULUS 
TIDAK 
LULUS 
930 610105420 
5890004 
199840 
8790 66113001465 HASRIANA FITRI 02-05-1988 PENGENDALI DAMPAK 
LINGKUNGAN PERTAMA 
TEKNIK PENYEHATAN 
LINGKUNGAN PERTAMA 
ANALIS KEBIJAKAN 
PERTAMA LULUS LULUS LULUS 
931 611201120 
6840016 
202943 
8473 66113000823 HASRUL RIZAL 12-06-1984 ANALIS KEBIJAKAN 
PERTAMA LULUS TIDAK 
LULUS 
TIDAK 
LULUS 
932 617103470 
2900015 
172139 
4916 66113001837 HASTY KURNIAWATI 07-02-1990 ANALIS KEBIJAKAN 
PERTAMA 
PERANCANG PERUNDANG-UNDANGAN 
PERTAMA 
PENGAWAS 
KETENAGAKERJAAN 
PERTAMA 
LULUS LULUS LULUS 
933 611201650 
5870018 
148302 
5110 66113001800 HATIKAH 25-05-1987 ANALIS KEBIJAKAN 
PERTAMA LULUS TIDAK 
LULUS 
TIDAK 
LULUS 
934 611201600 
1880008 
130299 
1398 66113000718 HAYATI WS 20-01-1988 GURU IPA PERTAMA ANALIS KEBIJAKAN 
PERTAMA LULUS TIDAK 
LULUS 
TIDAK 
LULUS 
935 611206570 
5870002 
168568 
4204 66113000285 HELENA MEI TRI 
ASTUTI SUDIBYO 17-05-1987 GURU MATEMATIKA 
PERTAMA 
ANALIS KEBIJAKAN 
PERTAMA LULUS TIDAK 
LULUS 
TIDAK 
LULUS 
936 610804530 
9890002 
203096 
8822 66113000762 HELENA TRI WAHYUNI 13-09-1989 GURU FISIKA PERTAMA GURU IPA PERTAMA LULUS LULUS TIDAK 
LULUS
NO NIK 
NO 
REGIST 
ER 
NO PESERTA NAMA TANGGAL 
LAHIR PILIHAN JABATAN 1 NAMA JABATAN 2 NAMA JABATAN 3 STATUS 
PILIHAN 1 
STATUS 
PILIHAN 2 
STATUS 
PILIHAN 3 
937 610803260 
7890001 
142139 
0211 66113000584 HELIODORUS 26-07-1989 GURU IPA PERTAMA LULUS TIDAK 
LULUS 
TIDAK 
LULUS 
938 611201080 
9820007 
177202 
9751 66113000517 HELIS DARYANTO, SH 08-09-1982 ANALIS KEBIJAKAN 
PERTAMA 
PENGAWAS 
KETENAGAKERJAAN 
PERTAMA 
PENGANTAR KERJA 
PERTAMA LULUS LULUS LULUS 
939 610207280 
9850001 
152983 
7946 66113001159 HENDRA EFENDI 28-09-1985 ANALIS KEBIJAKAN 
PERTAMA LULUS TIDAK 
LULUS 
TIDAK 
LULUS 
940 611201151 
1870001 
204676 
6730 66113000236 HENDRA KURNIAWAN 15-11-1987 PRANATA KOMPUTER 
PERTAMA 
ANALIS KEBIJAKAN 
PERTAMA LULUS LULUS TIDAK 
LULUS 
941 611209230 
2850004 
194525 
6657 66113001017 HENDRA KUSUMA 
ILHAM 23-02-1985 GURU MATEMATIKA 
PERTAMA 
ANALIS KEBIJAKAN 
PERTAMA LULUS TIDAK 
LULUS 
TIDAK 
LULUS 
942 610105310 
5820003 
144309 
3883 66113001558 HENDRA MAIYUDI, SE 31-05-1982 PENYULUH KOPERASI LULUS TIDAK 
LULUS 
TIDAK 
LULUS 
943 611209220 
9850002 
131819 
9427 66113001353 HENDRA PERDANA 22-09-1985 ANALIS KEBIJAKAN 
PERTAMA LULUS TIDAK 
LULUS 
TIDAK 
LULUS 
944 611209191 
0890001 
147529 
8780 66113000190 HENDRI 19-10-1989 GURU SEJARAH PERTAMA ANALIS KEBIJAKAN 
PERTAMA LULUS TIDAK 
LULUS 
TIDAK 
LULUS 
945 617105270 
6890005 
211619 
1595 66113001227 HENDRI ZULKARNAIN 27-06-1989 PRANATA KOMPUTER 
PERTAMA 
ANALIS KEBIJAKAN 
PERTAMA LULUS LULUS TIDAK 
LULUS 
946 611201170 
7910006 
142990 
4776 66113000183 HENDRIKUS RIAN 17-07-1991 PRANATA KOMPUTER 
PERTAMA 
ANALIS KEBIJAKAN 
PERTAMA LULUS LULUS TIDAK 
LULUS 
947 617105240 
4900003 
198845 
6778 66113001463 HENDRO 24-04-1990 PRANATA KOMPUTER 
PERTAMA 
ANALIS KEBIJAKAN 
PERTAMA LULUS LULUS TIDAK 
LULUS 
948 611201670 
2800017 
111801 
8611 66113000986 HENI ARSANTI DEWI 27-02-1980 ANALIS KEBIJAKAN 
PERTAMA LULUS TIDAK 
LULUS 
TIDAK 
LULUS 
949 617105640 
4800007 
167819 
5462 66113001831 HENI HERIYAWATI 24-04-1980 ANALIS KEBIJAKAN 
PERTAMA LULUS TIDAK 
LULUS 
TIDAK 
LULUS 
950 617103470 
1870152 
192751 
0588 66112000598 HENI JANUARTI 07-01-1987 PENYUSUN RISALAH PENGADMINISTRASI UMUM LULUS LULUS TIDAK 
LULUS 
951 617103680 
1910006 
199604 
8022 66113000670 HENI NURVITASARI 28-01-1991 GURU BAHASA INGGRIS 
PERTAMA SMP 
ANALIS KEBIJAKAN 
PERTAMA 
GURU BAHASA INGGRIS 
PERTAMA SMA LULUS TIDAK 
LULUS LULUS 
952 611201510 
1870006 
163969 
2864 66113000096 HENI PUSPITA DEWI 11-01-1987 PERANCANG PERUNDANG-UNDANGAN 
PERTAMA 
PENGAWAS 
KETENAGAKERJAAN 
PERTAMA 
ANALIS KEBIJAKAN 
PERTAMA LULUS LULUS LULUS 
953 617105550 
9810015 
194508 
3691 66113000813 HENI SRI UTAMI 15-09-1981 GURU MATEMATIKA 
PERTAMA 
ANALIS KEBIJAKAN 
PERTAMA LULUS TIDAK 
LULUS 
TIDAK 
LULUS 
954 617102470 
9800006 
200912 
6419 66113001215 HENI SUSILAWATI, SP 07-09-1980 ANALIS KEBIJAKAN 
PERTAMA LULUS TIDAK 
LULUS 
TIDAK 
LULUS 
955 611201451 
2860025 
172882 
9540 66112000268 HENNI SUFRIYANI, 
A.MD 05-12-1986 NUTRISIONIS PELAKSANA LULUS TIDAK 
LULUS 
TIDAK 
LULUS 
956 611201501 
1820013 
163950 
4306 66112000805 HENNY 10-11-1982 VERIFIKATOR KEUANGAN LULUS TIDAK 
LULUS 
TIDAK 
LULUS
NO NIK 
NO 
REGIST 
ER 
NO PESERTA NAMA TANGGAL 
LAHIR PILIHAN JABATAN 1 NAMA JABATAN 2 NAMA JABATAN 3 STATUS 
PILIHAN 1 
STATUS 
PILIHAN 2 
STATUS 
PILIHAN 3 
957 611201620 
8910001 
200066 
6097 66112000490 HENNY WAHYUNI 22-08-1991 PENGADMINISTRASI UMUM LULUS TIDAK 
LULUS 
TIDAK 
LULUS 
958 617103660 
7860011 
174944 
5940 66112000342 HENNY EVA JULIANA 
PASARIBU 26-07-1986 PENGADMINISTRASI UMUM PENYUSUN RISALAH LULUS LULUS TIDAK 
LULUS 
959 611201490 
3810011 
107530 
9636 66113000344 HENNY KRIS RIWAYATI 09-03-1981 ANALIS KEBIJAKAN 
PERTAMA LULUS TIDAK 
LULUS 
TIDAK 
LULUS 
960 337413680 
3850001 
193869 
0251 66113001900 HENNY SUS SETYO 
WARDANY 28-03-1985 GURU IPA PERTAMA GURU FISIKA PERTAMA LULUS LULUS TIDAK 
LULUS 
961 617105130 
6880008 
140837 
4706 66113001819 HENRI SINAGA 13-06-1988 PENYULUH SOSIAL PERTAMA PEKERJA SOSIAL PERTAMA LULUS LULUS TIDAK 
LULUS 
962 611201570 
4910013 
103900 
5525 66113001691 HENY FITRIANI 17-04-1991 APOTEKER PERTAMA ANALIS KEBIJAKAN 
PERTAMA LULUS TIDAK 
LULUS 
TIDAK 
LULUS 
963 610417641 
2840004 
114550 
6502 66113000700 HENY PUSPASARI 24-12-1985 APOTEKER PERTAMA ANALIS KEBIJAKAN 
PERTAMA LULUS TIDAK 
LULUS 
TIDAK 
LULUS 
964 617101580 
6880002 
109067 
4253 66113000030 HENY SETIOWATI 18-06-1988 ANALIS LAYANAN UMUM ANALIS KEBIJAKAN 
PERTAMA 
PERANCANG PERUNDANG-UNDANGAN 
PERTAMA LULUS LULUS LULUS 
965 611201560 
2890007 
205828 
7760 66113001060 HEPPY PEBRIANA 16-02-1989 PENYULUH KOPERASI ANALIS KERJASAMA DAN 
PERMODALAN LULUS LULUS TIDAK 
LULUS 
966 611201550 
8820014 
182706 
3270 66112000126 HEPPY RAWATI 
MANURUNG 15-08-1982 BIDAN PELAKSANA LULUS TIDAK 
LULUS 
TIDAK 
LULUS 
967 611206601 
1830001 
125097 
9720 66113000544 HERAWATI 20-11-1983 GURU MATEMATIKA 
PERTAMA 
ANALIS KEBIJAKAN 
PERTAMA LULUS TIDAK 
LULUS 
TIDAK 
LULUS 
968 617103600 
7890005 
193449 
2213 66113001275 HERAWATI 20-07-1989 GURU BAHASA INGGRIS 
PERTAMA SMP LULUS TIDAK 
LULUS 
TIDAK 
LULUS 
969 611201300 
5840006 
164402 
6638 66113001329 HERCULANUS 
HARIANTO 31-05-1984 ANALIS KEBIJAKAN 
PERTAMA LULUS TIDAK 
LULUS 
TIDAK 
LULUS 
970 640213180 
8891004 
108338 
6865 66113000796 HERDIANSYAH 18-08-1989 PERENCANA PERTAMA ANALIS KERJASAMA DAN 
PERMODALAN 
ANALIS KEBIJAKAN 
PERTAMA LULUS LULUS LULUS 
971 617105120 
4880008 
155954 
3684 66113001827 HERDIANSYAH 12-04-1988 ANALIS KEBIJAKAN 
PERTAMA LULUS TIDAK 
LULUS 
TIDAK 
LULUS 
972 611209260 
5840002 
162140 
1915 66113001735 HERI KURNIAWAN, ST 26-05-1984 ANALIS KEBIJAKAN 
PERTAMA LULUS TIDAK 
LULUS 
TIDAK 
LULUS 
973 610705090 
4880001 
211756 
2174 66113000268 HERI RUSTAMAN 09-04-1988 PERENCANA PERTAMA ANALIS ANGGARAN ANALIS KEBIJAKAN 
PERTAMA LULUS LULUS LULUS 
974 610405050 
3890004 
144569 
0533 66113000389 HERIANSYAH 05-03-1989 PRANATA KOMPUTER 
PERTAMA LULUS TIDAK 
LULUS 
TIDAK 
LULUS 
975 617101300 
4860007 
202086 
8059 66113001912 HERIDIANSYAH 30-04-1986 ANALIS KEBIJAKAN 
PERTAMA SANITARIAN PERTAMA TIDAK 
LULUS LULUS TIDAK 
LULUS 
976 611201670 
4820006 
199894 
5008 66112000826 HERKULANA EVI 27-04-1982 PENGADMINISTRASI UMUM PENYUSUN RISALAH LULUS LULUS TIDAK 
LULUS
NO NIK 
NO 
REGIST 
ER 
NO PESERTA NAMA TANGGAL 
LAHIR PILIHAN JABATAN 1 NAMA JABATAN 2 NAMA JABATAN 3 STATUS 
PILIHAN 1 
STATUS 
PILIHAN 2 
STATUS 
PILIHAN 3 
977 610806160 
8870007 
127073 
4723 66112000736 HERKULANUS MARJANI 16-08-1987 VERIFIKATOR KEUANGAN LULUS TIDAK 
LULUS 
TIDAK 
LULUS 
978 617102580 
7900005 
186459 
4785 66112000430 HERLIA 18-07-1990 BIDAN PELAKSANA LULUS TIDAK 
LULUS 
TIDAK 
LULUS 
979 617103710 
3810008 
137087 
1929 66112000036 HERLIANI EKA 31-03-1981 PENGADMINISTRASI UMUM PENYUSUN RISALAH LULUS LULUS TIDAK 
LULUS 
980 610607441 
1840003 
112873 
1765 66112000364 HERLINA 04-11-1984 PENGADMINISTRASI UMUM PENYUSUN RISALAH LULUS LULUS TIDAK 
LULUS 
981 610806411 
0860005 
185486 
2847 66112000844 HERLINA 01-10-1986 PENGADMINISTRASI UMUM PENYUSUN RISALAH LULUS LULUS TIDAK 
LULUS 
982 617105500 
8810010 
129846 
3284 66113000320 HERLINA 10-08-1981 GURU SEJARAH PERTAMA ANALIS KEBIJAKAN 
PERTAMA LULUS TIDAK 
LULUS 
TIDAK 
LULUS 
983 617202460 
8880001 
193958 
2138 66113001410 HERLINA 06-08-1988 PENYULUH KOPERASI LULUS TIDAK 
LULUS 
TIDAK 
LULUS 
984 617103560 
6820003 
211884 
6331 66112000838 HERLINA MOMOI 16-06-1982 PENGADMINISTRASI UMUM PENYUSUN RISALAH LULUS LULUS TIDAK 
LULUS 
985 611201520 
4900007 
105742 
7780 66113001881 HERLIYANTI 12-04-1990 GURU SEJARAH PERTAMA ANALIS KEBIJAKAN 
PERTAMA LULUS TIDAK 
LULUS 
TIDAK 
LULUS 
986 611002270 
9920001 
200287 
5607 66112000494 HERMANSYAH 27-09-1992 PERAWAT PELAKSANA LULUS TIDAK 
LULUS 
TIDAK 
LULUS 
987 617104600 
7880007 
117461 
0181 66113001719 HERMAWATI JULIANA 
SIMANJUNTAK 20-07-1988 GURU SEJARAH PERTAMA LULUS TIDAK 
LULUS 
TIDAK 
LULUS 
988 617103280 
5810008 
156495 
4079 66113001010 HERMI HERMAWAN 28-05-1981 MEDIATOR HUBUNGAN 
INDUSTRIAL PERTAMA 
PENGAWAS 
KETENAGAKERJAAN 
PERTAMA 
PERANCANG PERUNDANG-UNDANGAN 
PERTAMA LULUS LULUS LULUS 
989 610310700 
9900001 
168497 
5921 66113001136 HERMINA ARITONANG 30-09-1990 PEKERJA SOSIAL PERTAMA PENYULUH SOSIAL 
PERTAMA 
ANALIS KEBIJAKAN 
PERTAMA LULUS LULUS LULUS 
990 732603681 
0860002 
118689 
9039 66113000927 HERNA RAMBUNG 28-10-1986 GURU BAHASA INGGRIS 
PERTAMA SMP 
GURU BAHASA INGGRIS 
PERTAMA SMA 
ANALIS KEBIJAKAN 
PERTAMA LULUS LULUS TIDAK 
LULUS 
991 617103680 
8890004 
144651 
8959 66113000088 HERNIKA 28-08-1989 GURU MATEMATIKA 
PERTAMA 
ANALIS KEBIJAKAN 
PERTAMA LULUS TIDAK 
LULUS 
TIDAK 
LULUS 
992 610807030 
8920003 
100207 
4334 66112000653 HERQULES FERDY 
TRIGUS 03-08-1992 PENGADMINISTRASI UMUM PENYUSUN RISALAH LULUS LULUS TIDAK 
LULUS 
993 611201200 
5860009 
123831 
4898 66113000369 HERRI BERTUS 20-05-1986 ANALIS KEBIJAKAN 
PERTAMA LULUS TIDAK 
LULUS 
TIDAK 
LULUS 
994 611201101 
1880016 
186731 
3579 66113000259 HERRY GUNAWAN 10-11-1988 PERENCANA PERTAMA ANALIS ANGGARAN ANALIS KERJASAMA DAN 
PERMODALAN LULUS LULUS LULUS 
995 611201160 
6910003 
147575 
9570 66112000695 HERRY JUNIANTO 16-06-1991 PERAWAT PELAKSANA LULUS TIDAK 
LULUS 
TIDAK 
LULUS 
996 617103251 
1880002 
126824 
7168 66113001655 HERRY NOVIAN 25-11-1988 ANALIS LAYANAN UMUM 
PENGAWAS 
KETENAGAKERJAAN 
PERTAMA 
MEDIATOR HUBUNGAN 
INDUSTRIAL PERTAMA LULUS LULUS LULUS
NO NIK 
NO 
REGIST 
ER 
NO PESERTA NAMA TANGGAL 
LAHIR PILIHAN JABATAN 1 NAMA JABATAN 2 NAMA JABATAN 3 STATUS 
PILIHAN 1 
STATUS 
PILIHAN 2 
STATUS 
PILIHAN 3 
997 611205271 
1840001 
124210 
8037 66113001694 HERRY PRAWIRANTO 27-11-1984 PRANATA KOMPUTER 
PERTAMA 
ANALIS KEBIJAKAN 
PERTAMA LULUS LULUS TIDAK 
LULUS 
998 617103220 
8850024 
182352 
0158 66113001812 HERRY SOFARI, SE 22-08-1985 ANALIS KEBIJAKAN 
PERTAMA LULUS TIDAK 
LULUS 
TIDAK 
LULUS 
999 611201701 
2860010 
198611 
2242 66113001604 HERTINA SITORUS 30-12-1986 ANALIS KEBIJAKAN 
PERTAMA PENYULUH KOPERASI PERENCANA PERTAMA LULUS LULUS LULUS 
1.000 611201200 
4870002 
186638 
2809 66113000923 HERU GUNAWAN 20-04-1987 GURU MATEMATIKA 
PERTAMA LULUS TIDAK 
LULUS 
TIDAK 
LULUS 
1.001 617101150 
3870004 
186494 
7921 66113000677 HERU HARYONO 15-03-1987 ANALIS KEBIJAKAN 
PERTAMA LULUS TIDAK 
LULUS 
TIDAK 
LULUS 
1.002 610103220 
7920002 
167631 
1809 66112000416 HERU IRAWAN 22-07-1992 PERAWAT PELAKSANA LULUS TIDAK 
LULUS 
TIDAK 
LULUS 
1.003 617103050 
6820011 
184996 
2344 66112000624 HERU YUNIZAR 05-06-1982 PENGADMINISTRASI UMUM PENYUSUN RISALAH LULUS LULUS TIDAK 
LULUS 
1.004 611207630 
3890003 
152720 
7923 66113000642 HERVINA SARI 23-03-1989 PRANATA KOMPUTER 
PERTAMA 
ANALIS KEBIJAKAN 
PERTAMA LULUS LULUS TIDAK 
LULUS 
1.005 617104140 
1830019 
118197 
9240 66112000861 HERY IMANUEL 
SIAHAAN 14-01-1983 PERAWAT PELAKSANA LULUS TIDAK 
LULUS 
TIDAK 
LULUS 
1.006 730203460 
2910001 
189860 
2177 66113001557 HESTI PEBRIAYANI 06-02-1991 GURU IPA PERTAMA GURU FISIKA PERTAMA ANALIS KEBIJAKAN 
PERTAMA LULUS LULUS TIDAK 
LULUS 
1.007 610417690 
6910005 
176921 
4658 66112000216 HESTI RESTIANTI 29-06-1991 BIDAN PELAKSANA LULUS TIDAK 
LULUS 
TIDAK 
LULUS 
1.008 611201640 
7900005 
204317 
6605 66112000777 HESTY NINGSIH 24-07-1990 BIDAN PELAKSANA LULUS TIDAK 
LULUS 
TIDAK 
LULUS 
1.009 617106681 
0880001 
203480 
4356 66112000822 HESTY OKTAVIANTY 28-10-1988 PENGADMINISTRASI UMUM LULUS TIDAK 
LULUS 
TIDAK 
LULUS 
1.010 610507641 
1870001 
133040 
0273 66113001550 HESTY RIANA LEDES 24-11-1987 GURU SEJARAH PERTAMA LULUS TIDAK 
LULUS 
TIDAK 
LULUS 
1.011 611207650 
7860001 
167587 
2999 66112000396 HIDAYATUSSHOLIHAH 25-07-1986 PERAWAT PELAKSANA LULUS TIDAK 
LULUS 
TIDAK 
LULUS 
1.012 617101070 
1870097 
198158 
3144 66113001746 HILARIUS KATINGAN 07-01-1987 ANALIS KEBIJAKAN 
PERTAMA ANALIS LAYANAN UMUM PENGANTAR KERJA 
PERTAMA LULUS LULUS LULUS 
1.013 611203170 
7870006 
178589 
2679 66113001595 HODIANSYAH 17-07-1987 ANALIS KEBIJAKAN 
PERTAMA LULUS TIDAK 
LULUS 
TIDAK 
LULUS 
1.014 617103100 
6830008 
135708 
7248 66113000644 HOLLIL AZHARY 10-06-1983 PRANATA KOMPUTER 
PERTAMA 
ANALIS KEBIJAKAN 
PERTAMA LULUS LULUS TIDAK 
LULUS 
1.015 617103160 
1840008 
133786 
6143 66113000689 HUKSON 
HAMONANGAN PURBA 16-01-1984 ANALIS KEBIJAKAN 
PERTAMA PERENCANA PERTAMA PENYULUH KOPERASI LULUS LULUS LULUS 
1.016 617103040 
7910014 
209015 
3666 66113001048 HUSAIN 04-07-1991 ANALIS KEBIJAKAN 
PERTAMA LULUS TIDAK 
LULUS 
TIDAK 
LULUS
NO NIK 
NO 
REGIST 
ER 
NO PESERTA NAMA TANGGAL 
LAHIR PILIHAN JABATAN 1 NAMA JABATAN 2 NAMA JABATAN 3 STATUS 
PILIHAN 1 
STATUS 
PILIHAN 2 
STATUS 
PILIHAN 3 
1.017 617103701 
1920008 
152145 
6921 66112000004 HUSNUL KHATIMAH 30-11-1992 BIDAN PELAKSANA LULUS TIDAK 
LULUS 
TIDAK 
LULUS 
1.018 611201101 
1890012 
152423 
8250 66113001151 I WAYAN KRESNA 10-11-1989 ANALIS KEBIJAKAN 
PERTAMA PERENCANA PERTAMA ANALIS KERJASAMA DAN 
PERMODALAN LULUS LULUS LULUS 
1.019 611201090 
5880002 
151672 
6141 66112000824 IBNU SUTOWO 09-05-1988 PENYUSUN RISALAH PENGADMINISTRASI UMUM LULUS LULUS TIDAK 
LULUS 
1.020 327605271 
0860007 
214608 
4807 66113000680 IBYADHUL FUADI 27-10-1986 GURU SEJARAH PERTAMA LULUS TIDAK 
LULUS 
TIDAK 
LULUS 
1.021 617102660 
9910002 
123395 
8854 66113000162 ICHA MONIKA 26-09-1991 GURU IPA PERTAMA GURU BIOLOGI PERTAMA LULUS LULUS TIDAK 
LULUS 
1.022 617103481 
1870009 
141603 
3347 66113000103 IDA AYU NOVI ASTUTI 08-11-1987 PRANATA KOMPUTER 
PERTAMA 
ANALIS KEBIJAKAN 
PERTAMA LULUS LULUS TIDAK 
LULUS 
1.023 611206540 
1890002 
173918 
2148 66113000140 IDA FARIDA 14-01-1989 GURU MATEMATIKA 
PERTAMA LULUS TIDAK 
LULUS 
TIDAK 
LULUS 
1.024 617102530 
9870011 
143680 
5839 66112000469 IDA SEPTIANI 13-09-1987 BIDAN PELAKSANA LULUS TIDAK 
LULUS 
TIDAK 
LULUS 
1.025 611209630 
2830006 
152496 
5496 66113000979 IDA SURYANI S,P 23-02-1983 ANALIS KEBIJAKAN 
PERTAMA LULUS TIDAK 
LULUS 
TIDAK 
LULUS 
1.026 340104240 
6860001 
105345 
1452 66113001713 IDRIS PURNOMO,SE. 24-06-1986 ANALIS KEBIJAKAN 
PERTAMA LULUS TIDAK 
LULUS 
TIDAK 
LULUS 
1.027 610418170 
1830003 
193749 
0953 66113000387 IDRUS 17-01-1983 ANALIS KEBIJAKAN 
PERTAMA LULUS TIDAK 
LULUS 
TIDAK 
LULUS 
1.028 617101190 
5820005 
168655 
5352 66113001875 IFAN SUJANA 19-05-1982 PERENCANA PERTAMA ANALIS ANGGARAN ANALIS KEBIJAKAN 
PERTAMA LULUS LULUS LULUS 
1.029 611201290 
7880010 
112876 
6194 66113000482 IGNASIUS YULIANTO 29-07-1988 ANALIS KEBIJAKAN 
PERTAMA LULUS TIDAK 
LULUS 
TIDAK 
LULUS 
1.030 610806700 
7860002 
190157 
5063 66113000514 IHYA ADDINIYAH 30-07-1986 ANALIS KEBIJAKAN 
PERTAMA LULUS TIDAK 
LULUS 
TIDAK 
LULUS 
1.031 617105460 
1890001 
125664 
6145 66113001277 IIK NURHIKMAH 06-01-1989 GURU BAHASA INGGRIS 
PERTAMA SMP 
GURU BAHASA INGGRIS 
PERTAMA SMA 
ANALIS KEBIJAKAN 
PERTAMA LULUS LULUS TIDAK 
LULUS 
1.032 617201631 
2910001 
139609 
5395 66112000242 IIN DEVITASARI 23-12-1991 BIDAN PELAKSANA LULUS TIDAK 
LULUS 
TIDAK 
LULUS 
1.033 610501710 
8900004 
138345 
9398 66113000876 IIN INDRAYANTI 31-08-1990 APOTEKER PERTAMA ANALIS KEBIJAKAN 
PERTAMA LULUS TIDAK 
LULUS 
TIDAK 
LULUS 
1.034 617105421 
0860006 
186697 
0605 66113000736 IIN RAHMAWATI 02-10-1986 PERENCANA PERTAMA ANALIS ANGGARAN ANALIS KERJASAMA DAN 
PERMODALAN LULUS LULUS LULUS 
1.035 617103440 
5840002 
188804 
9724 66113001749 IKA EVITASARI 04-05-1984 
PENGAWAS 
KETENAGAKERJAAN 
PERTAMA 
PENGANTAR KERJA 
PERTAMA 
PERANCANG PERUNDANG-UNDANGAN 
PERTAMA LULUS LULUS LULUS 
1.036 611207560 
6870003 
182476 
7789 66112000212 IKA ROYKA WATI 16-06-1987 PERAWAT PELAKSANA LULUS TIDAK 
LULUS 
TIDAK 
LULUS
NO NIK 
NO 
REGIST 
ER 
NO PESERTA NAMA TANGGAL 
LAHIR PILIHAN JABATAN 1 NAMA JABATAN 2 NAMA JABATAN 3 STATUS 
PILIHAN 1 
STATUS 
PILIHAN 2 
STATUS 
PILIHAN 3 
1.037 617103520 
6870506 
195085 
6634 66113000581 IKA TESALONIKA 
KRISTINA PUTRI 12-06-1987 GURU MATEMATIKA 
PERTAMA LULUS TIDAK 
LULUS 
TIDAK 
LULUS 
1.038 617103711 
0880003 
137972 
2775 66113000204 IKA TRISNA UTAMI 31-10-1988 GURU MATEMATIKA 
PERTAMA LULUS TIDAK 
LULUS 
TIDAK 
LULUS 
1.039 617102591 
0900005 
184515 
2564 66113000866 IKA UTAMININGSIH 19-10-1990 SANITARIAN PERTAMA LULUS TIDAK 
LULUS 
TIDAK 
LULUS 
1.040 610212630 
8860001 
169107 
5441 66113000716 IKA WIDYASTUTI, S. PD 23-08-1986 GURU MATEMATIKA 
PERTAMA 
ANALIS KEBIJAKAN 
PERTAMA LULUS TIDAK 
LULUS 
TIDAK 
LULUS 
1.041 617101640 
4830007 
192894 
5774 66113000720 IKE SUSANTI 24-04-1983 GURU BAHASA INGGRIS 
PERTAMA SMP LULUS TIDAK 
LULUS 
TIDAK 
LULUS 
1.042 611207091 
0860004 
207000 
6948 66113001342 IKO KUSUMA HADI 09-10-1986 ANALIS KEBIJAKAN 
PERTAMA LULUS TIDAK 
LULUS 
TIDAK 
LULUS 
1.043 610104250 
7900008 
140106 
5043 66113001471 ILHAM ANUGERAH 25-07-1990 GURU GEOGRAFI PERTAMA LULUS TIDAK 
LULUS 
TIDAK 
LULUS 
1.044 611201270 
3860009 
209952 
9433 66113001522 ILHAM KURNIAWAN 27-03-1986 GURU BAHASA INGGRIS 
PERTAMA SMP 
ANALIS KEBIJAKAN 
PERTAMA 
GURU BAHASA INGGRIS 
PERTAMA SMA LULUS TIDAK 
LULUS LULUS 
1.045 617105100 
5870001 
146832 
8561 66113001612 ILHAM SETIAWAN 10-05-1987 PAMONG BUDAYA PERTAMA ANALIS KEBIJAKAN 
PERTAMA LULUS LULUS TIDAK 
LULUS 
1.046 610301660 
3920001 
118641 
0457 66112000501 ILMI PARIDA 26-03-1992 PERAWAT PELAKSANA LULUS TIDAK 
LULUS 
TIDAK 
LULUS 
1.047 611201480 
8900010 
171065 
9541 66112000204 ILMIAH 08-08-1990 BIDAN PELAKSANA LULUS TIDAK 
LULUS 
TIDAK 
LULUS 
1.048 617105300 
4870007 
189673 
8961 66113001865 IMAM HADI MULYONO 30-04-1987 GURU BIOLOGI PERTAMA GURU IPA PERTAMA ANALIS KEBIJAKAN 
PERTAMA LULUS LULUS TIDAK 
LULUS 
1.049 617101141 
0820011 
185040 
4445 66113001186 IMAM PANJI SUDOMO 14-10-1982 ANALIS ANGGARAN PENYULUH KOPERASI ANALIS KERJASAMA DAN 
PERMODALAN LULUS LULUS LULUS 
1.050 610320150 
5920002 
189611 
9840 66112000726 IMAM SUHENDRA 15-05-1992 PERAWAT PELAKSANA LULUS TIDAK 
LULUS 
TIDAK 
LULUS 
1.051 617104110 
1840006 
125906 
5402 66113001509 IMAM THORIQ 11-01-1984 SANITARIAN PERTAMA ANALIS KEBIJAKAN 
PERTAMA LULUS TIDAK 
LULUS 
TIDAK 
LULUS 
1.052 610416560 
9870001 
182855 
2314 66113000323 IMAMAH MULYA 16-09-1987 GURU IPA PERTAMA GURU FISIKA PERTAMA ANALIS KEBIJAKAN 
PERTAMA LULUS LULUS TIDAK 
LULUS 
1.053 617201291 
2860002 
130879 
5194 66113000943 IMAN RAKHMADI 29-12-1986 ANALIS KEBIJAKAN 
PERTAMA LULUS TIDAK 
LULUS 
TIDAK 
LULUS 
1.054 617105710 
1850009 
129480 
7422 66113001861 IMELDA HELA 
SIDINANTAEGA 31-01-1985 GURU MATEMATIKA 
PERTAMA LULUS TIDAK 
LULUS 
TIDAK 
LULUS 
1.055 611201171 
1870003 
187256 
7950 66113001246 IMRON 17-11-1987 PERENCANA PERTAMA PENYULUH KOPERASI ANALIS KEBIJAKAN 
PERTAMA LULUS LULUS LULUS 
1.056 611201581 
2840005 
135932 
9288 66113001063 INA DESY SIANA 18-12-1984 ANALIS KEBIJAKAN 
PERTAMA LULUS TIDAK 
LULUS 
TIDAK 
LULUS
NO NIK 
NO 
REGIST 
ER 
NO PESERTA NAMA TANGGAL 
LAHIR PILIHAN JABATAN 1 NAMA JABATAN 2 NAMA JABATAN 3 STATUS 
PILIHAN 1 
STATUS 
PILIHAN 2 
STATUS 
PILIHAN 3 
1.057 617102620 
6910003 
101381 
3844 66112000636 INDAH DEWI HADIANTI 22-06-1991 NUTRISIONIS PELAKSANA LULUS TIDAK 
LULUS 
TIDAK 
LULUS 
1.058 617103570 
9810008 
197295 
8897 66113001496 INDAH FITRIAH.A 17-09-1981 ANALIS KERJASAMA DAN 
PERMODALAN LULUS TIDAK 
LULUS 
TIDAK 
LULUS 
1.059 610108550 
2920001 
178033 
7143 66113000391 INDAH PERMATASARI 15-02-1992 SANITARIAN PERTAMA LULUS TIDAK 
LULUS 
TIDAK 
LULUS 
1.060 617103490 
5910015 
195214 
7072 66112000482 INDAH PRIMAYANTI 09-05-1991 BIDAN PELAKSANA LULUS TIDAK 
LULUS 
TIDAK 
LULUS 
1.061 611201630 
4860007 
168297 
8662 66112000486 INDAR DAINI,A.MD.KEB 23-04-1986 BIDAN PELAKSANA LULUS TIDAK 
LULUS 
TIDAK 
LULUS 
1.062 610113140 
1850002 
201677 
8798 66113000988 INDI, S.SOS.I 14-01-1985 ANALIS KEBIJAKAN 
PERTAMA LULUS TIDAK 
LULUS 
TIDAK 
LULUS 
1.063 611201260 
6850004 
209271 
0774 66113001704 INDRA JUNIARDY 26-06-1985 GURU MATEMATIKA 
PERTAMA LULUS TIDAK 
LULUS 
TIDAK 
LULUS 
1.064 617103250 
9870005 
156979 
7578 66113001370 INDRA MUHAMMAD 
EZWAR 25-09-1987 ANALIS KEBIJAKAN 
PERTAMA LULUS TIDAK 
LULUS 
TIDAK 
LULUS 
1.065 340405590 
2880001 
128985 
4365 66112000271 INDRA PURNA SARI 19-02-1988 VERIFIKATOR KEUANGAN LULUS TIDAK 
LULUS 
TIDAK 
LULUS 
1.066 617101090 
8890007 
144590 
2913 66112000288 INDRA SAPUTRO 09-08-1989 PERAWAT PELAKSANA LULUS TIDAK 
LULUS 
TIDAK 
LULUS 
1.067 611203230 
9820001 
171637 
6805 66113000752 INDRA. SE 22-03-1982 PERENCANA PERTAMA ANALIS KERJASAMA DAN 
PERMODALAN PENYULUH KOPERASI LULUS LULUS LULUS 
1.068 610201560 
2880002 
122557 
0992 66112000074 INDRI FEBRIANI 16-02-1988 NUTRISIONIS PELAKSANA LULUS TIDAK 
LULUS 
TIDAK 
LULUS 
1.069 617104500 
6820005 
167167 
1505 66113001053 INDRI HASTUTI, ST, MT 10-06-1982 PENATA RUANG PERTAMA ANALIS KEBIJAKAN 
PERTAMA 
SURVEYOR PEMETAAN 
PERTAMA LULUS LULUS LULUS 
1.070 617101550 
8870012 
134907 
5134 66113001560 INDRI KURNIASARI 15-08-1987 ANALIS KEBIJAKAN 
PERTAMA LULUS TIDAK 
LULUS 
TIDAK 
LULUS 
1.071 617104481 
0850010 
199344 
7045 66113001559 INDRI LISTARI.SE 08-10-1985 PENYULUH KOPERASI PERENCANA PERTAMA ANALIS KERJASAMA DAN 
PERMODALAN LULUS LULUS LULUS 
1.072 617101420 
8930011 
213770 
2230 66112000577 INDRI SAVITRI 02-08-1993 NUTRISIONIS PELAKSANA LULUS TIDAK 
LULUS 
TIDAK 
LULUS 
1.073 611209590 
6910001 
122513 
6450 66112000385 INDRI WANDIRA 19-06-1991 NUTRISIONIS PELAKSANA LULUS TIDAK 
LULUS 
TIDAK 
LULUS 
1.074 617103480 
4900003 
148745 
9207 66112000386 INDRY APRILIANA 08-04-1991 NUTRISIONIS PELAKSANA LULUS TIDAK 
LULUS 
TIDAK 
LULUS 
1.075 140612570 
5880002 
102338 
7057 66113001437 INEL FITRIANI 17-05-1988 PRANATA HUBUNGAN 
MASYARAKAT PERTAMA LULUS TIDAK 
LULUS 
TIDAK 
LULUS 
1.076 617103620 
9900005 
154956 
6239 66113000290 INGE PRAMITASARI 22-09-1990 APOTEKER PERTAMA LULUS TIDAK 
LULUS 
TIDAK 
LULUS
NO NIK 
NO 
REGIST 
ER 
NO PESERTA NAMA TANGGAL 
LAHIR PILIHAN JABATAN 1 NAMA JABATAN 2 NAMA JABATAN 3 STATUS 
PILIHAN 1 
STATUS 
PILIHAN 2 
STATUS 
PILIHAN 3 
1.077 617101701 
0910006 
174996 
4174 66113000475 INKA OKTA 
PURNAWANTI 30-10-1991 ANALIS ANGGARAN ANALIS KERJASAMA DAN 
PERMODALAN 
ANALIS KEBIJAKAN 
PERTAMA LULUS LULUS LULUS 
1.078 617105620 
8880004 
157365 
5335 66113001494 INTAN GUSTARINA. T 22-08-1988 GURU SEJARAH PERTAMA LULUS TIDAK 
LULUS 
TIDAK 
LULUS 
1.079 610708631 
1920002 
173683 
3021 66112000137 INTAN PRIANTAMA 
PUTRI 23-11-1992 NUTRISIONIS PELAKSANA LULUS TIDAK 
LULUS 
TIDAK 
LULUS 
1.080 617104421 
2860012 
175434 
4031 66113000861 IQLIMA SRIFAYU INTAN 02-12-1986 GURU BAHASA INGGRIS 
PERTAMA SMP 
GURU BAHASA INGGRIS 
PERTAMA SMA LULUS LULUS TIDAK 
LULUS 
1.081 617101500 
5820025 
150606 
4005 66112000008 IRA APRIANI 10-05-1982 PENGADMINISTRASI UMUM PENYUSUN RISALAH LULUS LULUS TIDAK 
LULUS 
1.082 617103690 
4800008 
127422 
0478 66113001748 IRA ARIYANI,SE 29-04-1980 PERENCANA PERTAMA ANALIS ANGGARAN ANALIS KEBIJAKAN 
PERTAMA LULUS LULUS LULUS 
1.083 617102660 
7870007 
149621 
5679 66112000056 IRA JULIANA SARI 26-07-1987 NUTRISIONIS PELAKSANA LULUS TIDAK 
LULUS 
TIDAK 
LULUS 
1.084 611207480 
9900001 
180084 
7217 66113000766 IRA PURNAMA SARI 08-09-1990 GURU MATEMATIKA 
PERTAMA 
ANALIS KEBIJAKAN 
PERTAMA LULUS TIDAK 
LULUS 
TIDAK 
LULUS 
1.085 611201650 
4920006 
122550 
5590 66112000059 IRANI APRILINDA 25-04-1992 NUTRISIONIS PELAKSANA LULUS TIDAK 
LULUS 
TIDAK 
LULUS 
1.086 610201580 
1910001 
185244 
9792 66113001493 IRAWATI 18-01-1991 GURU SEJARAH PERTAMA LULUS TIDAK 
LULUS 
TIDAK 
LULUS 
1.087 611201520 
9810009 
211937 
5280 66113001789 IRAWATI 12-09-1981 ANALIS KEBIJAKAN 
PERTAMA LULUS TIDAK 
LULUS 
TIDAK 
LULUS 
1.088 617101430 
6850502 
199448 
5597 66113001389 IRAWATY RIZKI 
RAMADHANI 03-06-1985 ANALIS KEBIJAKAN 
PERTAMA LULUS TIDAK 
LULUS 
TIDAK 
LULUS 
1.089 617101201 
2850008 
203581 
4143 66113000903 IRFAN MULIAWAN, SH 20-12-1985 ANALIS KEBIJAKAN 
PERTAMA 
PERANCANG PERUNDANG-UNDANGAN 
PERTAMA 
PENGANTAR KERJA 
PERTAMA LULUS LULUS LULUS 
1.090 610417100 
9900001 
163120 
6182 66113001359 IRFANDA YUDISTIRA 10-09-1990 TEKNIK JALAN DAN 
JEMBATAN PERTAMA 
ANALIS KEBIJAKAN 
PERTAMA LULUS LULUS TIDAK 
LULUS 
1.091 617103290 
3860003 
154838 
8687 66113000372 IRFANSYAH 29-03-1986 ANALIS KEBIJAKAN 
PERTAMA LULUS TIDAK 
LULUS 
TIDAK 
LULUS 
1.092 610105130 
1850002 
210576 
2194 66113001092 IRIANDY 13-01-1985 PRANATA KOMPUTER 
PERTAMA 
ANALIS KEBIJAKAN 
PERTAMA LULUS LULUS TIDAK 
LULUS 
1.093 611201420 
1920018 
112409 
4320 66112000757 IRMA DWI JAYANTI 02-01-1992 BIDAN PELAKSANA LULUS TIDAK 
LULUS 
TIDAK 
LULUS 
1.094 617101590 
9800005 
184454 
4526 66113001814 IRMA HERIYANTI 19-09-1980 PERENCANA PERTAMA ANALIS ANGGARAN PENYULUH KOPERASI LULUS LULUS LULUS 
1.095 617102570 
5910007 
188711 
8954 66113000045 IRMA LESTARI 17-05-1991 GURU MATEMATIKA 
PERTAMA 
ANALIS KEBIJAKAN 
PERTAMA LULUS TIDAK 
LULUS 
TIDAK 
LULUS 
1.096 617101560 
6870003 
198537 
6755 66113000231 IRMA PRIMANDANI 16-06-1987 PEKERJA SOSIAL PERTAMA PENYULUH SOSIAL 
PERTAMA 
ANALIS KEBIJAKAN 
PERTAMA LULUS LULUS LULUS
NO NIK 
NO 
REGIST 
ER 
NO PESERTA NAMA TANGGAL 
LAHIR PILIHAN JABATAN 1 NAMA JABATAN 2 NAMA JABATAN 3 STATUS 
PILIHAN 1 
STATUS 
PILIHAN 2 
STATUS 
PILIHAN 3 
1.097 617105520 
5850009 
191481 
2934 66113001281 IRMA SURYANI 12-05-1985 PERENCANA PERTAMA ANALIS ANGGARAN PENYULUH KOPERASI LULUS LULUS LULUS 
1.098 611206610 
1800001 
185216 
2633 66113001566 IRMA YUDA MAULIDIA 21-01-1980 ANALIS KEBIJAKAN 
PERTAMA PENATA RUANG PERTAMA SURVEYOR PEMETAAN 
PERTAMA LULUS LULUS LULUS 
1.099 611209040 
5850008 
152234 
2145 66113000208 IRMAIYANTO 04-05-1985 GURU BAHASA INGGRIS 
PERTAMA SMP LULUS TIDAK 
LULUS 
TIDAK 
LULUS 
1.100 610201520 
8880001 
117542 
8531 66112000664 IRNAMA ARI WASTIKA 12-08-1988 VERIFIKATOR KEUANGAN LULUS TIDAK 
LULUS 
TIDAK 
LULUS 
1.101 611203010 
1890006 
208597 
7392 66113000672 IRVAN 01-01-1989 ANALIS ANGGARAN ANALIS KERJASAMA DAN 
PERMODALAN PENYULUH KOPERASI LULUS LULUS LULUS 
1.102 611209250 
9900006 
211264 
1209 66113000825 IRWANTO 25-09-1990 PERENCANA PERTAMA PENYULUH KOPERASI ANALIS KERJASAMA DAN 
PERMODALAN LULUS LULUS LULUS 
1.103 617103670 
4890002 
180281 
7973 66113000008 ISKAPRIANI 27-04-1989 GURU SEJARAH PERTAMA LULUS LULUS LULUS 
1.104 610216210 
6860001 
204995 
5095 66113000652 ISMAIL 21-09-1986 PENGAWAS BIBIT TERNAK 
PERTAMA 
ANALIS KEBIJAKAN 
PERTAMA LULUS LULUS TIDAK 
LULUS 
1.105 520601100 
7851010 
131039 
8202 66113001256 ISMAIL 10-07-1985 GURU MATEMATIKA 
PERTAMA 
ANALIS KEBIJAKAN 
PERTAMA LULUS TIDAK 
LULUS 
TIDAK 
LULUS 
1.106 611203160 
6860004 
174869 
0521 66113001838 ISMAIL ASTAR 16-06-1986 ANALIS KEBIJAKAN 
PERTAMA LULUS TIDAK 
LULUS 
TIDAK 
LULUS 
1.107 610301520 
5880003 
180929 
0250 66113000031 ISMAWATI AULIA 12-05-1988 MEDIATOR HUBUNGAN 
INDUSTRIAL PERTAMA 
PENGAWAS 
KETENAGAKERJAAN 
PERTAMA 
ANALIS LAYANAN UMUM LULUS LULUS LULUS 
1.108 610201221 
0810003 
166113 
9225 66113001088 ISMUL AZAN 22-10-1981 PEKERJA SOSIAL PERTAMA PENYULUH SOSIAL 
PERTAMA 
ANALIS KEBIJAKAN 
PERTAMA LULUS LULUS LULUS 
1.109 610117561 
0870001 
209499 
8223 66113000854 ISNANI 16-10-1987 GURU SEJARAH PERTAMA LULUS TIDAK 
LULUS 
TIDAK 
LULUS 
1.110 617101630 
8800007 
182783 
3541 66113001646 ISTI DWI SAFITRI 23-08-1980 ANALIS KEBIJAKAN 
PERTAMA PENYULUH KOPERASI PERENCANA PERTAMA LULUS LULUS LULUS 
1.111 617103610 
9830005 
121743 
8779 66113001206 ISTIAZHAH 21-09-1983 ANALIS KEBIJAKAN 
PERTAMA LULUS TIDAK 
LULUS 
TIDAK 
LULUS 
1.112 610110610 
6910002 
182240 
2279 66112000193 ISTIQOMAH 21-06-1991 NUTRISIONIS PELAKSANA LULUS TIDAK 
LULUS 
TIDAK 
LULUS 
1.113 610207430 
2890002 
144954 
2563 66113000046 ISTIQOMAH 03-02-1989 GURU BAHASA INGGRIS 
PERTAMA SMP 
GURU BAHASA INGGRIS 
PERTAMA SMA 
ANALIS KEBIJAKAN 
PERTAMA LULUS LULUS TIDAK 
LULUS 
1.114 610501520 
4820007 
213225 
1210 66113000166 ISTIQOMAH 12-04-1982 ANALIS ANGGARAN PERENCANA PERTAMA LULUS LULUS TIDAK 
LULUS 
1.115 610218110 
2830003 
209948 
7678 66112000014 ISWANDI INANDAR, 
A.MD 11-02-1983 PENGADMINISTRASI UMUM PENYUSUN RISALAH LULUS LULUS TIDAK 
LULUS 
1.116 611209530 
5870002 
171807 
2557 66113000418 ITA LESTARI 13-05-1987 GURU MATEMATIKA 
PERTAMA LULUS TIDAK 
LULUS 
TIDAK 
LULUS
NO NIK 
NO 
REGIST 
ER 
NO PESERTA NAMA TANGGAL 
LAHIR PILIHAN JABATAN 1 NAMA JABATAN 2 NAMA JABATAN 3 STATUS 
PILIHAN 1 
STATUS 
PILIHAN 2 
STATUS 
PILIHAN 3 
1.117 617103590 
3890004 
159586 
6938 66113001630 ITA WIDIASTUTI 19-03-1989 GURU MATEMATIKA 
PERTAMA 
ANALIS KEBIJAKAN 
PERTAMA LULUS TIDAK 
LULUS 
TIDAK 
LULUS 
1.118 617103170 
8840022 
191988 
4768 66113001573 IVAN AGUSTINUS 17-08-1984 ANALIS KEBIJAKAN 
PERTAMA LULUS TIDAK 
LULUS 
TIDAK 
LULUS 
1.119 611201190 
6910004 
139950 
8949 66113001364 IVAN KARTIKA YUDHA 19-06-1991 PRANATA KOMPUTER 
PERTAMA 
ANALIS KEBIJAKAN 
PERTAMA LULUS LULUS TIDAK 
LULUS 
1.120 611209700 
8880005 
110063 
2829 66113000673 IVNAWATI 30-08-1988 GURU SEJARAH PERTAMA LULUS TIDAK 
LULUS 
TIDAK 
LULUS 
1.121 611201300 
4840011 
204408 
0283 66113000218 IWAN SETIAWAN 30-04-1984 ANALIS KEBIJAKAN 
PERTAMA LULUS TIDAK 
LULUS 
TIDAK 
LULUS 
1.122 617103550 
8920003 
132101 
9339 66112000180 IZAH FARLIANI 15-08-1992 NUTRISIONIS PELAKSANA LULUS TIDAK 
LULUS 
TIDAK 
LULUS 
1.123 610218610 
7880003 
161115 
8123 66113000468 JAMALIAH 21-07-1988 GURU MATEMATIKA 
PERTAMA LULUS TIDAK 
LULUS 
TIDAK 
LULUS 
1.124 611208420 
4820002 
124110 
4775 66112000265 JAMALIAH,AMD.KEB 02-04-1982 BIDAN PELAKSANA LULUS TIDAK 
LULUS 
TIDAK 
LULUS 
1.125 617103240 
2820002 
203671 
9078 66113001104 JAMALUDDIN 24-02-1982 ANALIS ANGGARAN ANALIS KERJASAMA DAN 
PERMODALAN PENYULUH KOPERASI LULUS LULUS LULUS 
1.126 611209500 
6810006 
163917 
5958 66113000527 JAMIAH 10-06-1981 GURU BAHASA INGGRIS 
PERTAMA SMP 
GURU BAHASA INGGRIS 
PERTAMA SMA LULUS LULUS TIDAK 
LULUS 
1.127 611201560 
5850011 
172500 
5829 66113001324 JAMILAH WATI 16-05-1985 GURU BAHASA INDONESIA 
PERTAMA LULUS TIDAK 
LULUS 
TIDAK 
LULUS 
1.128 617102280 
6860002 
208705 
1282 66113001045 JANNATUN NAIM 28-06-1986 ANALIS KEBIJAKAN 
PERTAMA LULUS TIDAK 
LULUS 
TIDAK 
LULUS 
1.129 340214430 
1900001 
121600 
0974 66113000131 JANTI MARCHELA SARI 03-01-1990 GURU IPA PERTAMA GURU BIOLOGI PERTAMA LULUS LULUS TIDAK 
LULUS 
1.130 617104130 
1890009 
179534 
3981 66112000197 JANUAR 13-01-1989 PERAWAT PELAKSANA LULUS TIDAK 
LULUS 
TIDAK 
LULUS 
1.131 617102161 
2900005 
194647 
9849 66113001304 JANUARDI 16-12-1990 ANALIS ANGGARAN PENYULUH KOPERASI ANALIS KERJASAMA DAN 
PERMODALAN LULUS LULUS LULUS 
1.132 611201690 
1880008 
137406 
0834 66113000349 JARMAWATI PUTRI 
PAMUNGKAS 29-01-1988 PENGANTAR KERJA 
PERTAMA 
MEDIATOR HUBUNGAN 
INDUSTRIAL PERTAMA 
PENGAWAS 
KETENAGAKERJAAN 
PERTAMA 
LULUS LULUS LULUS 
1.133 617105220 
1830003 
200668 
6807 66113000264 JARWADI RAHARJO 22-01-1983 ANALIS KEBIJAKAN 
PERTAMA PERENCANA PERTAMA ANALIS KERJASAMA DAN 
PERMODALAN LULUS LULUS LULUS 
1.134 610218450 
1890002 
196442 
5159 66113000289 JASNIAR SUSILAWATI 05-01-1989 GURU MATEMATIKA 
PERTAMA LULUS TIDAK 
LULUS 
TIDAK 
LULUS 
1.135 127203280 
9870009 
210687 
1988 66113000412 JATENDRA MARULITUA 
SIDABUTAR 28-09-1987 GURU BAHASA INGGRIS 
PERTAMA SMP 
GURU BAHASA INGGRIS 
PERTAMA SMA 
ANALIS KEBIJAKAN 
PERTAMA LULUS LULUS TIDAK 
LULUS 
1.136 617103581 
2850504 
207501 
6989 66113000758 JATIMAH 18-12-1985 GURU MATEMATIKA 
PERTAMA LULUS TIDAK 
LULUS 
TIDAK 
LULUS
NO NIK 
NO 
REGIST 
ER 
NO PESERTA NAMA TANGGAL 
LAHIR PILIHAN JABATAN 1 NAMA JABATAN 2 NAMA JABATAN 3 STATUS 
PILIHAN 1 
STATUS 
PILIHAN 2 
STATUS 
PILIHAN 3 
1.137 610207450 
4890002 
136915 
3452 66113000869 JAYA TRIMANDASARI 05-04-1989 ANALIS KEBIJAKAN 
PERTAMA LULUS TIDAK 
LULUS 
TIDAK 
LULUS 
1.138 611209680 
8870005 
126270 
5602 66113001791 JAYANTI 
PURNAMAWATI 28-08-1987 ANALIS KEBIJAKAN 
PERTAMA LULUS TIDAK 
LULUS 
TIDAK 
LULUS 
1.139 611203440 
5910003 
162076 
2100 66113000199 JAZILATUL ADAWIYAH 04-05-1991 GURU BAHASA INGGRIS 
PERTAMA SMP 
GURU BAHASA INGGRIS 
PERTAMA SMA 
ANALIS KEBIJAKAN 
PERTAMA LULUS LULUS TIDAK 
LULUS 
1.140 120502470 
3890002 
196946 
4307 66112000262 JELITA ANDELIA BR 
TAMBUN 07-03-1989 PERAWAT PELAKSANA LULUS TIDAK 
LULUS 
TIDAK 
LULUS 
1.141 611207081 
1900002 
106911 
1976 66112000854 JELLY JONATHAN 
SITORUS 11-08-1990 PENYUSUN RISALAH PENGADMINISTRASI UMUM LULUS LULUS TIDAK 
LULUS 
1.142 617104450 
8930013 
183633 
8600 66112000827 JENEVI AFRIYANTI 05-08-1993 PENYUSUN RISALAH PENGADMINISTRASI UMUM LULUS LULUS TIDAK 
LULUS 
1.143 617103190 
4860014 
144548 
4371 66113000629 JERY SUBANDI 19-04-1986 
PENGAWAS 
KETENAGAKERJAAN 
PERTAMA 
MEDIATOR HUBUNGAN 
INDUSTRIAL PERTAMA 
PENGANTAR KERJA 
PERTAMA LULUS LULUS LULUS 
1.144 611209640 
2820002 
178371 
6170 66113000032 JETTY SUKMA, ST 24-02-1982 PENATA RUANG PERTAMA SURVEYOR PEMETAAN 
PERTAMA 
ANALIS KEBIJAKAN 
PERTAMA LULUS LULUS TIDAK 
LULUS 
1.145 610103630 
9870001 
205633 
4367 66112000825 JIDA 23-09-1987 PENYUSUN RISALAH PENGADMINISTRASI UMUM LULUS LULUS TIDAK 
LULUS 
1.146 340216060 
2940002 
111219 
4055 66112000377 JIJEIBA BENEA 
BEGUNO 06-02-1994 NUTRISIONIS PELAKSANA LULUS TIDAK 
LULUS 
TIDAK 
LULUS 
1.147 617103010 
8920010 
145211 
2301 66112000132 JOKO EKO WALUYO 01-08-1992 PERAWAT PELAKSANA LULUS TIDAK 
LULUS 
TIDAK 
LULUS 
1.148 611204190 
1890001 
156959 
3408 66112000656 JOKO SANTOSO 19-01-1989 PERAWAT PELAKSANA LULUS TIDAK 
LULUS 
TIDAK 
LULUS 
1.149 611201101 
2820016 
153282 
1708 66113001072 JONI 10-12-1982 PRANATA KOMPUTER 
PERTAMA 
ANALIS KEBIJAKAN 
PERTAMA LULUS LULUS TIDAK 
LULUS 
1.150 611201050 
1820009 
169199 
2455 66113001265 JONI 05-01-1982 PERENCANA PERTAMA PENYULUH KOPERASI ANALIS KEBIJAKAN 
PERTAMA LULUS LULUS LULUS 
1.151 611201310 
7880002 
156806 
9985 66113001747 JONI NASRAH 31-07-1988 MEDIATOR HUBUNGAN 
INDUSTRIAL PERTAMA 
PERANCANG PERUNDANG-UNDANGAN 
PERTAMA 
PENGAWAS 
KETENAGAKERJAAN 
PERTAMA 
LULUS LULUS LULUS 
1.152 610112110 
6910005 
157054 
8526 66112000543 JONO 11-06-1991 PENGADMINISTRASI UMUM PENYUSUN RISALAH LULUS LULUS TIDAK 
LULUS 
1.153 610605050 
1850001 
155925 
2433 66112000105 JUANDA 05-01-1985 PENYULUH PAJAK 
PELAKSANA LULUS TIDAK 
LULUS 
TIDAK 
LULUS 
1.154 610106130 
5850001 
198414 
3325 66113000074 JUANDA 13-05-1985 PRANATA KOMPUTER 
PERTAMA 
ANALIS KEBIJAKAN 
PERTAMA LULUS LULUS TIDAK 
LULUS 
1.155 611209070 
6860004 
174366 
4255 66113000625 JUHARI 07-06-1986 ANALIS KEBIJAKAN 
PERTAMA LULUS TIDAK 
LULUS 
TIDAK 
LULUS 
1.156 617102450 
7840007 
153237 
7735 66113001305 JULIANA 05-07-1984 ANALIS KEBIJAKAN 
PERTAMA PERENCANA PERTAMA ANALIS ANGGARAN LULUS LULUS LULUS
NO NIK 
NO 
REGIST 
ER 
NO PESERTA NAMA TANGGAL 
LAHIR PILIHAN JABATAN 1 NAMA JABATAN 2 NAMA JABATAN 3 STATUS 
PILIHAN 1 
STATUS 
PILIHAN 2 
STATUS 
PILIHAN 3 
1.157 611201501 
2860002 
207394 
4414 66113001589 JULIANA 10-12-1986 ANALIS KEBIJAKAN 
PERTAMA LULUS TIDAK 
LULUS 
TIDAK 
LULUS 
1.158 610617460 
7890001 
200353 
0863 66113001012 JULIANSYAH 
PURNAMASARI 06-07-1989 GURU MATEMATIKA 
PERTAMA LULUS TIDAK 
LULUS 
TIDAK 
LULUS 
1.159 611201420 
7850009 
179914 
7545 66113001326 JULINA 02-07-1985 PRANATA KOMPUTER 
PERTAMA LULUS TIDAK 
LULUS 
TIDAK 
LULUS 
1.160 611201500 
6880013 
157581 
7811 66112000066 JULITA 10-06-1988 PERAWAT PELAKSANA LULUS TIDAK 
LULUS 
TIDAK 
LULUS 
1.161 617103700 
7880006 
114930 
1515 66112000668 JULITA DEWI 
WISUDANI SITORUS 30-07-1988 VERIFIKATOR KEUANGAN LULUS TIDAK 
LULUS 
TIDAK 
LULUS 
1.162 610321490 
7890001 
143394 
0214 66112000034 JULITA FREFTY 09-07-1989 PENYUSUN RISALAH PENGADMINISTRASI UMUM LULUS LULUS TIDAK 
LULUS 
1.163 610215431 
0890001 
158197 
0157 66113000247 JULMIA 03-10-1989 GURU MATEMATIKA 
PERTAMA LULUS TIDAK 
LULUS 
TIDAK 
LULUS 
1.164 611201420 
5820018 
152211 
8199 66112000541 JULPAH 02-05-1982 PERAWAT PELAKSANA LULUS TIDAK 
LULUS 
TIDAK 
LULUS 
1.165 617105550 
5840002 
120523 
2285 66113001349 JUMARTININGSIH, SE 15-05-1984 PERENCANA PERTAMA ANALIS ANGGARAN ANALIS KERJASAMA DAN 
PERMODALAN LULUS LULUS LULUS 
1.166 611007551 
1900001 
143036 
2897 66113001489 JUMIARSA 15-11-1990 GURU SEJARAH PERTAMA ANALIS KEBIJAKAN 
PERTAMA LULUS TIDAK 
LULUS 
TIDAK 
LULUS 
1.167 610103670 
2870003 
151314 
8319 66112000789 JUMIDA 27-02-1987 PENGADMINISTRASI UMUM PENYUSUN RISALAH LULUS LULUS TIDAK 
LULUS 
1.168 617105520 
1910005 
198165 
1343 66112000566 JUMRAH 12-01-1991 VERIFIKATOR KEUANGAN LULUS TIDAK 
LULUS 
TIDAK 
LULUS 
1.169 617103060 
8910011 
213693 
8055 66113000893 JUNAIDI 06-08-1991 GURU SEJARAH PERTAMA ANALIS KEBIJAKAN 
PERTAMA LULUS TIDAK 
LULUS 
TIDAK 
LULUS 
1.170 611201060 
6880011 
160308 
9845 66113001606 JUNI ARDIANSYAH 06-06-1988 ANALIS KEBIJAKAN 
PERTAMA LULUS TIDAK 
LULUS 
TIDAK 
LULUS 
1.171 611207610 
6920002 
124842 
8875 66112000318 JUNI DWI ASTUTI 21-06-1992 PENGADMINISTRASI UMUM LULUS TIDAK 
LULUS 
TIDAK 
LULUS 
1.172 611201260 
6880006 
198974 
9232 66113001769 JUNI HARDI 26-06-1988 GURU MATEMATIKA 
PERTAMA LULUS TIDAK 
LULUS 
TIDAK 
LULUS 
1.173 611201290 
6870010 
148354 
7863 66113001647 JUNI WICAKSONO 29-06-1987 TEKNIK TATA BANGUNAN 
DAN PERUMAHAN PERTAMA LULUS TIDAK 
LULUS 
TIDAK 
LULUS 
1.174 610107190 
6860002 
109093 
6951 66113001328 JUNIANSYAH 19-06-1986 PRANATA KOMPUTER 
PERTAMA 
ANALIS KEBIJAKAN 
PERTAMA LULUS LULUS TIDAK 
LULUS 
1.175 610215711 
2880001 
159964 
2580 66112000172 JUNIARTI 31-12-1988 BIDAN PELAKSANA LULUS TIDAK 
LULUS 
TIDAK 
LULUS 
1.176 617102650 
1840002 
121105 
2565 66113001297 JUNIARTI 25-01-1984 ANALIS KEBIJAKAN 
PERTAMA PERENCANA PERTAMA LULUS LULUS TIDAK 
LULUS
NO NIK 
NO 
REGIST 
ER 
NO PESERTA NAMA TANGGAL 
LAHIR PILIHAN JABATAN 1 NAMA JABATAN 2 NAMA JABATAN 3 STATUS 
PILIHAN 1 
STATUS 
PILIHAN 2 
STATUS 
PILIHAN 3 
1.177 617105200 
8890009 
126181 
4592 66113001499 JUNIO ARMANDA 20-06-1989 ANALIS KEBIJAKAN 
PERTAMA LULUS TIDAK 
LULUS 
TIDAK 
LULUS 
1.178 610703700 
9870002 
102841 
7525 66112000744 JURIAH 30-09-1987 VERIFIKATOR KEUANGAN LULUS TIDAK 
LULUS 
TIDAK 
LULUS 
1.179 611206440 
3900004 
128472 
3362 66113000811 KABUL PANGESTUTI 04-03-1990 GURU SEJARAH PERTAMA LULUS TIDAK 
LULUS 
TIDAK 
LULUS 
1.180 617105480 
9900005 
148530 
0010 66113001310 KARINA RIZQA 
FADHLILAH 08-09-1990 GURU BAHASA INGGRIS 
PERTAMA SMP 
GURU BAHASA INGGRIS 
PERTAMA SMA 
ANALIS KEBIJAKAN 
PERTAMA LULUS LULUS TIDAK 
LULUS 
1.181 611209570 
8880017 
183838 
3933 66113001403 KARTIKA 17-08-1988 ANALIS LAYANAN UMUM MEDIATOR HUBUNGAN 
INDUSTRIAL PERTAMA 
PENGANTAR KERJA 
PERTAMA LULUS LULUS LULUS 
1.182 611201470 
4890014 
179792 
5125 66113000744 KARTIKA 
APRIANUGRAHASARI 07-04-1989 ANALIS KEBIJAKAN 
PERTAMA 
PENGAWAS 
KETENAGAKERJAAN 
PERTAMA 
MEDIATOR HUBUNGAN 
INDUSTRIAL PERTAMA LULUS LULUS LULUS 
1.183 617105430 
4900001 
129766 
3326 66113000863 KARTIKA HANDAYANI 03-04-1990 GURU MATEMATIKA 
PERTAMA 
ANALIS KEBIJAKAN 
PERTAMA LULUS TIDAK 
LULUS 
TIDAK 
LULUS 
1.184 611201540 
1920014 
176911 
2102 66112000259 KARTIKA PERMATA 14-01-1992 BIDAN PELAKSANA LULUS TIDAK 
LULUS 
TIDAK 
LULUS 
1.185 611201430 
4920015 
163983 
0107 66112000580 KARTIKA SULISTIAWATI 03-04-1992 BIDAN PELAKSANA LULUS TIDAK 
LULUS 
TIDAK 
LULUS 
1.186 611209230 
6880001 
143124 
0798 66113001670 KARTIKO PUJO 
PRASETYO 23-06-1988 PRANATA KOMPUTER 
PERTAMA 
ANALIS KEBIJAKAN 
PERTAMA LULUS LULUS TIDAK 
LULUS 
1.187 610301640 
7820002 
156798 
5583 66112000762 KARTINA 27-07-1988 BIDAN PELAKSANA LULUS TIDAK 
LULUS 
TIDAK 
LULUS 
1.188 617103500 
9920008 
115576 
1290 66112000236 KARTINA HARAHAP 30-09-1992 BIDAN PELAKSANA LULUS TIDAK 
LULUS 
TIDAK 
LULUS 
1.189 617101510 
8810011 
109055 
3766 66112000145 KARTINI 11-08-1981 PENGADMINISTRASI UMUM PENYUSUN RISALAH LULUS LULUS TIDAK 
LULUS 
1.190 617101590 
1840005 
171461 
4597 66113000760 KARTINI, S.PD 19-01-1984 GURU MATEMATIKA 
PERTAMA LULUS TIDAK 
LULUS 
TIDAK 
LULUS 
1.191 611203460 
7870005 
155406 
0761 66113000739 KATARINA NGENI 06-07-1987 ANALIS KEBIJAKAN 
PERTAMA PEKERJA SOSIAL PERTAMA PENYULUH SOSIAL 
PERTAMA LULUS LULUS LULUS 
1.192 617105410 
6840010 
195368 
8169 66112000772 KHAIRIAH 01-06-1984 PENGADMINISTRASI UMUM PENYUSUN RISALAH LULUS LULUS TIDAK 
LULUS 
1.193 617102641 
0880011 
164328 
6750 66112000051 KHAIRIAH OCTRISYANA 24-10-1988 BIDAN PELAKSANA LULUS TIDAK 
LULUS 
TIDAK 
LULUS 
1.194 617101430 
3870008 
192703 
7796 66113001910 KHAIRINI 03-03-1987 ANALIS KEBIJAKAN 
PERTAMA GURU SEJARAH PERTAMA TIDAK 
LULUS LULUS TIDAK 
LULUS 
1.195 611209151 
0850004 
165596 
6550 66113001525 KHAIRUL FUAD 15-10-1985 GURU MATEMATIKA 
PERTAMA 
ANALIS KEBIJAKAN 
PERTAMA LULUS TIDAK 
LULUS 
TIDAK 
LULUS 
1.196 617101120 
8850503 
158866 
5416 66113000159 KHAIRUL ZAMAN 12-08-1985 GURU BAHASA INGGRIS 
PERTAMA SMP 
GURU BAHASA INGGRIS 
PERTAMA SMA LULUS LULUS TIDAK 
LULUS
NO NIK 
NO 
REGIST 
ER 
NO PESERTA NAMA TANGGAL 
LAHIR PILIHAN JABATAN 1 NAMA JABATAN 2 NAMA JABATAN 3 STATUS 
PILIHAN 1 
STATUS 
PILIHAN 2 
STATUS 
PILIHAN 3 
1.197 611201451 
1880004 
164854 
8823 66113001214 KHOLILAH 05-11-1988 ANALIS KEBIJAKAN 
PERTAMA 
PRANATA HUBUNGAN 
MASYARAKAT PERTAMA LULUS LULUS TIDAK 
LULUS 
1.198 611209491 
0910001 
191446 
6339 66112000563 KOKO ARUANA WIKI 09-10-1991 BIDAN PELAKSANA LULUS TIDAK 
LULUS 
TIDAK 
LULUS 
1.199 617102030 
5840010 
187640 
2443 66113001131 KONRADUS 
HASANTARIS TIBO 03-05-1984 PRANATA HUBUNGAN 
MASYARAKAT PERTAMA 
ANALIS KEBIJAKAN 
PERTAMA LULUS LULUS TIDAK 
LULUS 
1.200 611201411 
1880010 
159442 
1825 66113001440 KORINA NOVIANI, SE 01-11-1988 ANALIS KEBIJAKAN 
PERTAMA LULUS TIDAK 
LULUS 
TIDAK 
LULUS 
1.201 610813670 
4860001 
142307 
9689 66113000065 KORNELIA RUT 
RIZANAWATY 27-04-1986 GURU MATEMATIKA 
PERTAMA 
ANALIS KEBIJAKAN 
PERTAMA LULUS TIDAK 
LULUS 
TIDAK 
LULUS 
1.202 332111540 
3840001 
108952 
9281 66113000270 KRIESTY MAHARANI 14-03-1984 PERENCANA PERTAMA PENYULUH KOPERASI ANALIS ANGGARAN LULUS LULUS LULUS 
1.203 611201510 
7820020 
135436 
6831 66112000317 KRISNA JULI ASMI 11-07-1982 PENYUSUN RISALAH PENGADMINISTRASI UMUM LULUS LULUS TIDAK 
LULUS 
1.204 611201680 
4820005 
131321 
8783 66112000330 KRISPINA RISTI 
TUNTASARI 28-04-1982 PENGADMINISTRASI UMUM PENYUSUN RISALAH LULUS LULUS TIDAK 
LULUS 
1.205 617103271 
2800014 
185114 
9419 66113001011 KRISTIAN BINTARTO 
MARBUN, SE 27-12-1980 ANALIS KERJASAMA DAN 
PERMODALAN 
ANALIS KEBIJAKAN 
PERTAMA PERENCANA PERTAMA LULUS LULUS LULUS 
1.206 327304691 
2880001 
161942 
4811 66112000586 KRISTIN NATALIA G. 29-12-1988 BIDAN PELAKSANA LULUS TIDAK 
LULUS 
TIDAK 
LULUS 
1.207 120109680 
4870002 
159756 
2146 66113000132 KRISTINA MUNTHE 28-04-1987 GURU BAHASA INGGRIS 
PERTAMA SMP 
GURU BAHASA INGGRIS 
PERTAMA SMA 
ANALIS KEBIJAKAN 
PERTAMA LULUS LULUS TIDAK 
LULUS 
1.208 352115210 
6890002 
178094 
8672 66113001266 KUN EKWAN JUNIANTO 21-06-1989 GURU MATEMATIKA 
PERTAMA 
ANALIS KEBIJAKAN 
PERTAMA LULUS TIDAK 
LULUS 
TIDAK 
LULUS 
1.209 610807470 
5900010 
146040 
2288 66113000434 KURNIA FITRI 07-05-1990 GURU SEJARAH PERTAMA ANALIS KEBIJAKAN 
PERTAMA LULUS TIDAK 
LULUS 
TIDAK 
LULUS 
1.210 617106441 
0890001 
158340 
5240 66113000890 KURNIA MADELIATI 04-10-1988 GURU MATEMATIKA 
PERTAMA LULUS TIDAK 
LULUS 
TIDAK 
LULUS 
1.211 617103680 
1910014 
173647 
9217 66112000671 KURNIA NOFARY 28-01-1991 PENGADMINISTRASI UMUM PENYUSUN RISALAH LULUS LULUS TIDAK 
LULUS 
1.212 611203080 
9830002 
137648 
4140 66113001850 KURNIA RAHMAD 
HIDAYAT 08-09-1983 ANALIS KEBIJAKAN 
PERTAMA 
ANALIS KERJASAMA DAN 
PERMODALAN LULUS LULUS TIDAK 
LULUS 
1.213 611203440 
5870007 
207707 
9477 66113000630 KURNIA WIDI ASTUTI 04-05-1987 ANALIS KEBIJAKAN 
PERTAMA LULUS TIDAK 
LULUS 
TIDAK 
LULUS 
1.214 617106240 
4890001 
135078 
2071 66112000635 KURNIAWAN TIRTA 
WIJAYA, A.MD.KEP 24-04-1989 PERAWAT PELAKSANA LULUS TIDAK 
LULUS 
TIDAK 
LULUS 
1.215 611201620 
4820010 
199478 
0870 66113000598 KURNIAWATI,SE 22-04-1982 PENYULUH KOPERASI ANALIS ANGGARAN ANALIS KERJASAMA DAN 
PERMODALAN LULUS LULUS LULUS 
1.216 617101571 
0790009 
104240 
4879 66113001478 KURNIAWATY 17-10-1979 GURU MATEMATIKA 
PERTAMA 
ANALIS KEBIJAKAN 
PERTAMA LULUS TIDAK 
LULUS 
TIDAK 
LULUS
NO NIK 
NO 
REGIST 
ER 
NO PESERTA NAMA TANGGAL 
LAHIR PILIHAN JABATAN 1 NAMA JABATAN 2 NAMA JABATAN 3 STATUS 
PILIHAN 1 
STATUS 
PILIHAN 2 
STATUS 
PILIHAN 3 
1.217 617101050 
8850010 
180623 
2395 66113000050 KUSMIANTO 05-08-1985 PERANCANG PERUNDANG-UNDANGAN 
PERTAMA 
PENGAWAS 
KETENAGAKERJAAN 
PERTAMA 
ANALIS LAYANAN UMUM LULUS LULUS LULUS 
1.218 611201621 
0850009 
166089 
9011 66113001397 KUSTINI HANDAYANI 22-10-1985 GURU SEJARAH PERTAMA ANALIS KEBIJAKAN 
PERTAMA LULUS TIDAK 
LULUS 
TIDAK 
LULUS 
1.219 530305140 
3880004 
114283 
6197 66113001152 LADISLAUS SENGKOEN 14-03-1988 GURU BAHASA INGGRIS 
PERTAMA SMP 
ANALIS KEBIJAKAN 
PERTAMA LULUS TIDAK 
LULUS 
TIDAK 
LULUS 
1.220 611208620 
3910001 
169361 
7467 66112000875 LAILI MUTAHARA 22-03-1991 PENYULUH PAJAK 
PELAKSANA LULUS TIDAK 
LULUS 
TIDAK 
LULUS 
1.221 611201170 
9850008 
119796 
5035 66112000655 LALU ZUHUDAYANA 
A.MD 17-09-1985 PENGADMINISTRASI UMUM PENYUSUN RISALAH LULUS LULUS TIDAK 
LULUS 
1.222 611206501 
1870011 
209653 
4538 66112000587 LAMRIA SILITONGA 10-11-1987 BIDAN PELAKSANA LULUS TIDAK 
LULUS 
TIDAK 
LULUS 
1.223 121605550 
5900006 
190809 
3543 66112000610 LAONMA SIHOMBING 15-05-1990 BIDAN PELAKSANA LULUS TIDAK 
LULUS 
TIDAK 
LULUS 
1.224 617105520 
3820003 
155822 
2569 66113001395 LARA NATALIA 12-03-1982 ANALIS KEBIJAKAN 
PERTAMA PENATA RUANG PERTAMA SURVEYOR PEMETAAN 
PERTAMA LULUS LULUS LULUS 
1.225 617103020 
6840015 
197255 
9281 66113001319 LASADI 02-06-1984 GURU SEJARAH PERTAMA LULUS TIDAK 
LULUS 
TIDAK 
LULUS 
1.226 611201630 
1830006 
175277 
0922 66112000760 LATIFATUL KHUSNA 23-01-1983 PERAWAT PELAKSANA LULUS TIDAK 
LULUS 
TIDAK 
LULUS 
1.227 611201491 
0900010 
153683 
3532 66113000524 LAURENSIA WINDA 
NOVIANI 09-10-1990 GURU SEJARAH PERTAMA LULUS TIDAK 
LULUS 
TIDAK 
LULUS 
1.228 617102500 
1900003 
126065 
2088 66113000436 LAURIKA LISANUARI 
SIMATUPANG 10-01-1990 ANALIS KEBIJAKAN 
PERTAMA 
GURU BAHASA INGGRIS 
PERTAMA SMP 
GURU BAHASA INGGRIS 
PERTAMA SMA 
TIDAK 
LULUS LULUS LULUS 
1.229 611209170 
4910004 
133340 
5037 66113000446 LEBRI YAFIT 17-04-1991 GURU MATEMATIKA 
PERTAMA LULUS TIDAK 
LULUS 
TIDAK 
LULUS 
1.230 611201410 
8800022 
203236 
0442 66113000791 LELLI SIMANJUNTAK 01-08-1980 ANALIS KERJASAMA DAN 
PERMODALAN PERENCANA PERTAMA ANALIS ANGGARAN LULUS LULUS LULUS 
1.231 611201450 
5900020 
166703 
9832 66112000281 LELY NURLAILY 05-05-1990 PERAWAT PELAKSANA LULUS TIDAK 
LULUS 
TIDAK 
LULUS 
1.232 611201520 
6810012 
150249 
1454 66112000410 LELY ULIYA ULPA 12-06-1981 PENGADMINISTRASI UMUM PENYUSUN RISALAH LULUS LULUS TIDAK 
LULUS 
1.233 617103581 
0870003 
150218 
9799 66113000808 LENA YUWITA 18-10-1987 GURU MATEMATIKA 
PERTAMA LULUS TIDAK 
LULUS 
TIDAK 
LULUS 
1.234 611203620 
2840003 
146926 
9660 66113001085 LENI SETIANI S 22-02-1984 ANALIS KEBIJAKAN 
PERTAMA LULUS TIDAK 
LULUS 
TIDAK 
LULUS 
1.235 611203661 
0810003 
205054 
1653 66113001091 LENNY ANGGRAINI 26-10-1981 ANALIS KEBIJAKAN 
PERTAMA LULUS TIDAK 
LULUS 
TIDAK 
LULUS 
1.236 617103460 
8880010 
116626 
6968 66113000072 LENNY DAMAYANTI 06-08-1988 GURU BAHASA INGGRIS 
PERTAMA SMP LULUS TIDAK 
LULUS 
TIDAK 
LULUS
NO NIK 
NO 
REGIST 
ER 
NO PESERTA NAMA TANGGAL 
LAHIR PILIHAN JABATAN 1 NAMA JABATAN 2 NAMA JABATAN 3 STATUS 
PILIHAN 1 
STATUS 
PILIHAN 2 
STATUS 
PILIHAN 3 
1.237 617101451 
2820010 
130821 
2752 66112000025 LENNY MARISI 
PASARIBU 05-12-1982 PENGADMINISTRASI UMUM LULUS TIDAK 
LULUS 
TIDAK 
LULUS 
1.238 617202650 
1890003 
174577 
1889 66112000093 LENY HERLINA 25-01-1989 PENGADMINISTRASI UMUM PENYUSUN RISALAH LULUS LULUS TIDAK 
LULUS 
1.239 611209681 
0920002 
141396 
8153 66112000245 LENY MARLINA 28-10-1992 BIDAN PELAKSANA LULUS TIDAK 
LULUS 
TIDAK 
LULUS 
1.240 617101080 
7920006 
197014 
9810 66112000296 LEO S. ALIMIN 08-07-1992 PERAWAT PELAKSANA LULUS TIDAK 
LULUS 
TIDAK 
LULUS 
1.241 610806060 
3920003 
167912 
0366 66113001062 LEONARDO REGO 06-03-1992 PRANATA KOMPUTER 
PERTAMA 
ANALIS KEBIJAKAN 
PERTAMA LULUS LULUS TIDAK 
LULUS 
1.242 611203130 
8820003 
211546 
3728 66113000248 LEONARDO SETIAWAN, 
SH 13-08-1982 
PENGAWAS 
KETENAGAKERJAAN 
PERTAMA 
PERANCANG PERUNDANG-UNDANGAN 
PERTAMA 
ANALIS KEBIJAKAN 
PERTAMA LULUS LULUS LULUS 
1.243 611203061 
1860002 
183087 
0980 66113000091 LEONARDUS PANE 
PARAYA 06-11-1986 GURU MATEMATIKA 
PERTAMA 
ANALIS KEBIJAKAN 
PERTAMA LULUS TIDAK 
LULUS 
TIDAK 
LULUS 
1.244 617103490 
6840003 
203735 
9565 66113001114 LESI NOVIDA, SE 09-06-1984 ANALIS KEBIJAKAN 
PERTAMA LULUS TIDAK 
LULUS 
TIDAK 
LULUS 
1.245 617105450 
5860016 
132916 
7120 66113000507 LESTARI 05-05-1986 ANALIS KEBIJAKAN 
PERTAMA LULUS TIDAK 
LULUS 
TIDAK 
LULUS 
1.246 610104640 
8870005 
165010 
4423 66113000614 LESTARI EVI 
KADARSIH,SH 21-08-1987 ANALIS KEBIJAKAN 
PERTAMA LULUS TIDAK 
LULUS 
TIDAK 
LULUS 
1.247 617103420 
4860504 
177444 
3012 66113000710 LESTARI 
HANDAYANI.S.PD 02-04-1986 GURU MATEMATIKA 
PERTAMA 
ANALIS KEBIJAKAN 
PERTAMA LULUS TIDAK 
LULUS 
TIDAK 
LULUS 
1.248 611201501 
0930012 
175654 
5209 66112000648 LEVY OLIVIA 10-10-1993 NUTRISIONIS PELAKSANA LULUS TIDAK 
LULUS 
TIDAK 
LULUS 
1.249 610201210 
3910001 
134275 
0195 66112000510 LEXY KUMARA 01-01-1991 NUTRISIONIS PELAKSANA LULUS TIDAK 
LULUS 
TIDAK 
LULUS 
1.250 617102460 
8910007 
183545 
0762 66112000252 LIA AMANDA PUTRI 06-08-1990 PERAWAT PELAKSANA LULUS TIDAK 
LULUS 
TIDAK 
LULUS 
1.251 611201670 
2890002 
126531 
6324 66113000431 LIA MAHANANI 27-02-1989 SANITARIAN PERTAMA LULUS TIDAK 
LULUS 
TIDAK 
LULUS 
1.252 617104550 
5910018 
114030 
7291 66112000592 LIA MINARTI 15-05-1991 BIDAN PELAKSANA LULUS TIDAK 
LULUS 
TIDAK 
LULUS 
1.253 610201591 
0880003 
175030 
1382 66113000213 LIA MULIA OKTAVIANI 19-10-1988 GURU MATEMATIKA 
PERTAMA LULUS TIDAK 
LULUS 
TIDAK 
LULUS 
1.254 617105560 
1880005 
162077 
7696 66112000687 LIA SAGITA 16-01-1988 PENYUSUN RISALAH PENGADMINISTRASI UMUM LULUS LULUS TIDAK 
LULUS 
1.255 617103460 
9840001 
157119 
0407 66113001692 LIA SUKMA, SKM 06-09-1984 SANITARIAN PERTAMA ANALIS KEBIJAKAN 
PERTAMA LULUS TIDAK 
LULUS 
TIDAK 
LULUS 
1.256 610320520 
8850002 
161340 
9952 66113000764 LIA SURYANI TUKANG 12-08-1985 GURU MATEMATIKA 
PERTAMA LULUS TIDAK 
LULUS 
TIDAK 
LULUS
NO NIK 
NO 
REGIST 
ER 
NO PESERTA NAMA TANGGAL 
LAHIR PILIHAN JABATAN 1 NAMA JABATAN 2 NAMA JABATAN 3 STATUS 
PILIHAN 1 
STATUS 
PILIHAN 2 
STATUS 
PILIHAN 3 
1.257 617105580 
6870009 
165938 
6221 66113000384 LIA TRI WAHYUNI 18-06-1987 PERENCANA PERTAMA ANALIS ANGGARAN ANALIS KERJASAMA DAN 
PERMODALAN LULUS LULUS LULUS 
1.258 617101530 
3880005 
109635 
0498 66112000787 LIANA YUSTI 13-03-1988 PENYUSUN RISALAH PENGADMINISTRASI UMUM LULUS LULUS TIDAK 
LULUS 
1.259 610513690 
1860001 
124066 
6365 66112000528 LIBERATA JAYANTI 29-01-1986 BIDAN PELAKSANA LULUS TIDAK 
LULUS 
TIDAK 
LULUS 
1.260 610703570 
7930001 
160689 
6889 66112000859 LIDIA YUNIARTI 17-07-1993 PERAWAT PELAKSANA LULUS TIDAK 
LULUS 
TIDAK 
LULUS 
1.261 617102530 
7910006 
173192 
6998 66112000142 LIDYA KURNIAWATI 13-07-1991 NUTRISIONIS PELAKSANA LULUS TIDAK 
LULUS 
TIDAK 
LULUS 
1.262 351418500 
8870002 
193234 
9405 66113000515 LIGRINDA AMBARANIS 10-08-1987 ANALIS KEBIJAKAN 
PERTAMA LULUS TIDAK 
LULUS 
TIDAK 
LULUS 
1.263 611201450 
4840017 
152688 
7091 66113001464 LIKA AFRIANI 05-04-1984 ANALIS KEBIJAKAN 
PERTAMA LULUS TIDAK 
LULUS 
TIDAK 
LULUS 
1.264 617205640 
7890001 
146292 
9696 66112000411 LILI NUR INDAH SARI 24-07-1989 PENYUSUN RISALAH LULUS TIDAK 
LULUS 
TIDAK 
LULUS 
1.265 617105661 
2900010 
202458 
9921 66113000404 LILIANA 26-12-1990 GURU SEJARAH PERTAMA LULUS TIDAK 
LULUS 
TIDAK 
LULUS 
1.266 617106081 
1790001 
182457 
3140 66113001790 LILIK R. SETIAWAN 08-11-1979 ANALIS KEBIJAKAN 
PERTAMA LULUS TIDAK 
LULUS 
TIDAK 
LULUS 
1.267 330919421 
0909002 
204395 
7737 66113000747 LILIS SETYOWATI 02-10-1990 ANALIS KEBIJAKAN 
PERTAMA LULUS TIDAK 
LULUS 
TIDAK 
LULUS 
1.268 610208521 
0850004 
118921 
2019 66113000801 LILIS SURYANI 12-10-1985 GURU MATEMATIKA 
PERTAMA LULUS TIDAK 
LULUS 
TIDAK 
LULUS 
1.269 611207581 
0820001 
178886 
9108 66113001134 LILIS WIDYAWATI 18-10-1982 ANALIS KEBIJAKAN 
PERTAMA LULUS TIDAK 
LULUS 
TIDAK 
LULUS 
1.270 610118420 
8870002 
148491 
9254 66113000662 LILIYANTI 02-08-1987 GURU SEJARAH PERTAMA LULUS TIDAK 
LULUS 
TIDAK 
LULUS 
1.271 610311630 
8910001 
199602 
7704 66112000206 LINDA ASTUTI 23-08-1991 BIDAN PELAKSANA LULUS TIDAK 
LULUS 
TIDAK 
LULUS 
1.272 617101550 
3880004 
204267 
9908 66113001532 LINDA BUDIARSIH 15-03-1988 GURU BAHASA INGGRIS 
PERTAMA SMP 
ANALIS KEBIJAKAN 
PERTAMA LULUS TIDAK 
LULUS 
TIDAK 
LULUS 
1.273 611201470 
4890011 
146707 
1827 66113001119 LINDA MONITAWATI 07-04-1989 PRANATA KOMPUTER 
PERTAMA 
ANALIS KEBIJAKAN 
PERTAMA LULUS LULUS TIDAK 
LULUS 
1.274 617103660 
8850008 
160385 
5497 66113000099 LINDA PRADANA SARI 26-08-1985 PRANATA KOMPUTER 
PERTAMA 
ANALIS KEBIJAKAN 
PERTAMA LULUS LULUS TIDAK 
LULUS 
1.275 617103510 
1900008 
120668 
6402 66113000497 LINDA YANNURISKA 11-01-1990 ANALIS KEBIJAKAN 
PERTAMA LULUS TIDAK 
LULUS 
TIDAK 
LULUS 
1.276 610306411 
1920001 
210268 
6463 66113000075 LINDAWATI 01-11-1990 PEKERJA SOSIAL PERTAMA PENYULUH SOSIAL 
PERTAMA 
ANALIS KEBIJAKAN 
PERTAMA LULUS LULUS LULUS
NO NIK 
NO 
REGIST 
ER 
NO PESERTA NAMA TANGGAL 
LAHIR PILIHAN JABATAN 1 NAMA JABATAN 2 NAMA JABATAN 3 STATUS 
PILIHAN 1 
STATUS 
PILIHAN 2 
STATUS 
PILIHAN 3 
1.277 611209531 
0910006 
211988 
3502 66112000500 LINDRAWATI 13-10-1991 PERAWAT PELAKSANA LULUS TIDAK 
LULUS 
TIDAK 
LULUS 
1.278 611201700 
7890002 
163477 
9571 66113001126 LINTAR TANIA 30-07-1989 PENYULUH KOPERASI PERENCANA PERTAMA ANALIS KEBIJAKAN 
PERTAMA LULUS LULUS LULUS 
1.279 610201590 
8900002 
213791 
8570 66112000041 LISA FUJAWATI 19-08-1990 NUTRISIONIS PELAKSANA LULUS TIDAK 
LULUS 
TIDAK 
LULUS 
1.280 611207450 
7870003 
208142 
3019 66112000759 LISA KHARO KATIN 05-07-1987 BIDAN PELAKSANA LULUS TIDAK 
LULUS 
TIDAK 
LULUS 
1.281 617205500 
8900001 
151666 
2003 66113000041 LISA MUHARIANI 10-08-1990 GURU SEJARAH PERTAMA ANALIS KEBIJAKAN 
PERTAMA LULUS TIDAK 
LULUS 
TIDAK 
LULUS 
1.282 617103590 
7860008 
210470 
6427 66113001269 LISA YULITA 19-07-1986 GURU BAHASA INGGRIS 
PERTAMA SMP 
GURU BAHASA INGGRIS 
PERTAMA SMA LULUS LULUS TIDAK 
LULUS 
1.283 611209440 
4920007 
197747 
8427 66112000573 LISAWATI 26-04-1992 BIDAN PELAKSANA LULUS TIDAK 
LULUS 
TIDAK 
LULUS 
1.284 617102590 
2880008 
114105 
6560 66113000261 LISBET MARYATI 
SIREGAR 19-02-1988 
PENGAWAS 
KETENAGAKERJAAN 
PERTAMA 
PENGANTAR KERJA 
PERTAMA 
ANALIS KEBIJAKAN 
PERTAMA LULUS LULUS LULUS 
1.285 610809631 
0860001 
107885 
9083 66112000531 LISDA WANI 23-10-1986 PENYUSUN RISALAH LULUS TIDAK 
LULUS 
TIDAK 
LULUS 
1.286 610116560 
2920002 
188520 
4916 66112000159 LISDAYANTI 16-02-1992 PERAWAT PELAKSANA LULUS TIDAK 
LULUS 
TIDAK 
LULUS 
1.287 610201570 
4830001 
202573 
9893 66113001572 LISNA APRIYANTI, SEI 17-04-1983 ANALIS KEBIJAKAN 
PERTAMA LULUS TIDAK 
LULUS 
TIDAK 
LULUS 
1.288 611201440 
6810004 
187133 
1630 66113001335 LISNA YUNIARTI 04-06-1981 ANALIS KEBIJAKAN 
PERTAMA LULUS TIDAK 
LULUS 
TIDAK 
LULUS 
1.289 611201421 
0870002 
165411 
7834 66113001125 LISNAWATI. SEI 02-10-1987 ANALIS KEBIJAKAN 
PERTAMA PERENCANA PERTAMA ANALIS ANGGARAN LULUS LULUS LULUS 
1.290 617105550 
8890004 
181249 
7725 66113000819 LISTIA AGUSTIANA 15-08-1989 ANALIS KEBIJAKAN 
PERTAMA LULUS TIDAK 
LULUS 
TIDAK 
LULUS 
1.291 617201510 
1860002 
144303 
9536 66113000889 LITA MARDIANA 11-01-1986 ANALIS KEBIJAKAN 
PERTAMA LULUS TIDAK 
LULUS 
TIDAK 
LULUS 
1.292 611209670 
7880004 
178243 
5251 66113001491 LITA VENO VILIANTI 27-07-1988 GURU SEJARAH PERTAMA ANALIS KEBIJAKAN 
PERTAMA LULUS TIDAK 
LULUS 
TIDAK 
LULUS 
1.293 617106420 
4910001 
147679 
2577 66113000783 LIUS ANDREANI 02-04-1991 ANALIS ANGGARAN ANALIS KERJASAMA DAN 
PERMODALAN PERENCANA PERTAMA LULUS LULUS LULUS 
1.294 611209551 
2900005 
181269 
0113 66113000648 LIVIA ELA SAVITRI 15-12-1990 ANALIS KEBIJAKAN 
PERTAMA LULUS TIDAK 
LULUS 
TIDAK 
LULUS 
1.295 611203610 
2890002 
179115 
8122 66113001891 LIVIA LESTARI 21-02-1989 GURU SEJARAH PERTAMA ANALIS KEBIJAKAN 
PERTAMA LULUS TIDAK 
LULUS 
TIDAK 
LULUS 
1.296 611201510 
2910006 
112598 
2809 66112000614 LORENTIA ARKHINCIE 11-02-1991 PENGADMINISTRASI UMUM LULUS TIDAK 
LULUS 
TIDAK 
LULUS
NO NIK 
NO 
REGIST 
ER 
NO PESERTA NAMA TANGGAL 
LAHIR PILIHAN JABATAN 1 NAMA JABATAN 2 NAMA JABATAN 3 STATUS 
PILIHAN 1 
STATUS 
PILIHAN 2 
STATUS 
PILIHAN 3 
1.297 617104071 
2890007 
181745 
8599 66112000067 LUKPI DULISLAM 07-12-1989 PERAWAT PELAKSANA LULUS TIDAK 
LULUS 
TIDAK 
LULUS 
1.298 611006510 
4910001 
116900 
7830 66113000799 LUKY BUDI HARTATI 11-04-1991 GURU SEJARAH PERTAMA LULUS TIDAK 
LULUS 
TIDAK 
LULUS 
1.299 617104600 
2930007 
149280 
7583 66112000139 LULU MARIFATUN 
KHUSNA 20-02-1993 NUTRISIONIS PELAKSANA LULUS TIDAK 
LULUS 
TIDAK 
LULUS 
1.300 611206590 
5830001 
165343 
1847 66112000022 LUPI ANDRIYANI 19-05-1983 PERAWAT PELAKSANA LULUS TIDAK 
LULUS 
TIDAK 
LULUS 
1.301 611201650 
6810011 
125853 
8043 66113001346 LUSIA IIN KARTIKA 
INDRIYANI PING 25-06-1981 
PENGAWAS 
KETENAGAKERJAAN 
PERTAMA 
PERANCANG PERUNDANG-UNDANGAN 
PERTAMA 
MEDIATOR HUBUNGAN 
INDUSTRIAL PERTAMA LULUS LULUS LULUS 
1.302 611203550 
6820006 
122368 
6777 66112000618 LUSIA JUNIARTHA 15-06-1982 PENGADMINISTRASI UMUM PENYUSUN RISALAH LULUS LULUS TIDAK 
LULUS 
1.303 611201700 
5830007 
131527 
7800 66113000020 LUSIANA 30-05-1983 GURU BAHASA INGGRIS 
PERTAMA SMP LULUS TIDAK 
LULUS 
TIDAK 
LULUS 
1.304 611203440 
1850004 
166625 
4837 66112000768 LUSIANA LINA, A.MD 04-01-1985 PENGADMINISTRASI UMUM PENYUSUN RISALAH LULUS LULUS TIDAK 
LULUS 
1.305 617102481 
0920003 
102682 
2815 66113001578 LUTFHI FILDZA 
HARISNA 08-10-1992 PRANATA KOMPUTER 
PERTAMA 
ANALIS KEBIJAKAN 
PERTAMA LULUS LULUS TIDAK 
LULUS 
1.306 611209460 
6890004 
145339 
6710 66113001128 LUTFIYEH 06-06-1989 PERANCANG PERUNDANG-UNDANGAN 
PERTAMA 
MEDIATOR HUBUNGAN 
INDUSTRIAL PERTAMA LULUS LULUS TIDAK 
LULUS 
1.307 617201560 
1890001 
145216 
8753 66112000579 LUTPHY ETIKA, A.MD 16-01-1989 PENGADMINISTRASI UMUM LULUS TIDAK 
LULUS 
TIDAK 
LULUS 
1.308 610702711 
0900001 
176692 
8334 66112000053 LYA NARMITHA. CH 31-10-1990 NUTRISIONIS PELAKSANA LULUS TIDAK 
LULUS 
TIDAK 
LULUS 
1.309 611207040 
4830003 
196632 
9989 66113000931 M ULIL ABSOR 04-04-1983 PENYULUH KOPERASI ANALIS KERJASAMA DAN 
PERMODALAN 
ANALIS KEBIJAKAN 
PERTAMA LULUS LULUS LULUS 
1.310 617103260 
2890017 
143573 
7998 66113000241 M. AZMI 26-02-1989 GURU MATEMATIKA 
PERTAMA 
ANALIS KEBIJAKAN 
PERTAMA LULUS TIDAK 
LULUS 
TIDAK 
LULUS 
1.311 610416160 
3890005 
144326 
0790 66113001487 M. HARRIS TAUFIK 16-03-1989 GURU BAHASA INGGRIS 
PERTAMA SMA 
GURU BAHASA INGGRIS 
PERTAMA SMP 
ANALIS KEBIJAKAN 
PERTAMA LULUS LULUS TIDAK 
LULUS 
1.312 611201110 
9870009 
135308 
3603 66113001123 M. HASANUDIN 11-09-1987 PERANCANG PERUNDANG-UNDANGAN 
PERTAMA 
MEDIATOR HUBUNGAN 
INDUSTRIAL PERTAMA 
PENGAWAS 
KETENAGAKERJAAN 
PERTAMA 
LULUS LULUS LULUS 
1.313 617103011 
1810007 
181186 
9036 66112000665 M. HUDAYA, A.MD 01-11-1981 PENGADMINISTRASI UMUM PENYUSUN RISALAH LULUS LULUS TIDAK 
LULUS 
1.314 127109170 
1890002 
144846 
0087 66113000121 M. ISA HUTAMA 17-01-1989 PENGAWAS LINGKUNGAN 
HIDUP PERTAMA 
PENGENDALI DAMPAK 
LINGKUNGAN PERTAMA 
TEKNIK PENYEHATAN 
LINGKUNGAN PERTAMA LULUS LULUS LULUS 
1.315 611203210 
7850010 
129887 
4574 66113001770 M. LIHAN 21-07-1985 GURU BAHASA INGGRIS 
PERTAMA SMP LULUS TIDAK 
LULUS 
TIDAK 
LULUS 
1.316 617103150 
8820021 
167602 
6256 66113000265 M. MUCHLIS SAGIMAN 15-08-1982 PENATA RUANG PERTAMA SURVEYOR PEMETAAN 
PERTAMA 
ANALIS KEBIJAKAN 
PERTAMA LULUS LULUS LULUS
NO NIK 
NO 
REGIST 
ER 
NO PESERTA NAMA TANGGAL 
LAHIR PILIHAN JABATAN 1 NAMA JABATAN 2 NAMA JABATAN 3 STATUS 
PILIHAN 1 
STATUS 
PILIHAN 2 
STATUS 
PILIHAN 3 
1.317 617101080 
7810016 
197987 
1725 66113001681 M. PANI PARDIANSYAH, 
ST 08-07-1981 PENATA RUANG PERTAMA SURVEYOR PEMETAAN 
PERTAMA 
ANALIS KEBIJAKAN 
PERTAMA LULUS LULUS LULUS 
1.318 617104260 
6870015 
119223 
5003 66113001028 M. RIZA EFENDI. SE 26-06-1987 PERENCANA PERTAMA ANALIS KEBIJAKAN 
PERTAMA ANALIS ANGGARAN LULUS LULUS LULUS 
1.319 611203140 
4830002 
202124 
6476 66113001490 M. RUDI 14-04-1983 GURU BAHASA INGGRIS 
PERTAMA SMP 
GURU BAHASA INGGRIS 
PERTAMA SMA 
ANALIS KEBIJAKAN 
PERTAMA LULUS LULUS TIDAK 
LULUS 
1.320 617105210 
9870002 
166652 
9404 66113000232 M. TEJA MAGHRIBY 21-09-1987 PEKERJA SOSIAL PERTAMA PENYULUH SOSIAL 
PERTAMA 
ANALIS KEBIJAKAN 
PERTAMA LULUS LULUS LULUS 
1.321 617103030 
9850507 
118940 
4646 66112000621 M.Y. SALIMIN 03-09-1985 PENGADMINISTRASI UMUM PENYUSUN RISALAH LULUS LULUS TIDAK 
LULUS 
1.322 610208240 
3820001 
143518 
1858 66113001292 MADHOPI 24-03-1982 ANALIS KEBIJAKAN 
PERTAMA LULUS TIDAK 
LULUS 
TIDAK 
LULUS 
1.323 617104411 
2890003 
169968 
2870 66112000483 MADILAWANA YASHIFA 01-12-1989 BIDAN PELAKSANA LULUS TIDAK 
LULUS 
TIDAK 
LULUS 
1.324 610512690 
9870003 
207649 
0610 66112000607 MAGDALENA 29-09-1987 BIDAN PELAKSANA LULUS TIDAK 
LULUS 
TIDAK 
LULUS 
1.325 610807600 
2910006 
166875 
2470 66112000419 MAGDALENA DELISA 20-02-1991 PERAWAT PELAKSANA LULUS TIDAK 
LULUS 
TIDAK 
LULUS 
1.326 610320650 
1890002 
176034 
1054 66113000953 MAHAYANA AKHMAD 
NDOSO 25-01-1989 ANALIS KEBIJAKAN 
PERTAMA LULUS TIDAK 
LULUS 
TIDAK 
LULUS 
1.327 610218691 
2870002 
135747 
6665 66113001207 MAHFUZA 29-12-1987 GURU BAHASA INGGRIS 
PERTAMA SMA 
GURU BAHASA INGGRIS 
PERTAMA SMP 
ANALIS KEBIJAKAN 
PERTAMA LULUS LULUS TIDAK 
LULUS 
1.328 617103140 
7810013 
133464 
4273 66113001188 MAHMUD, SE 14-07-1981 PERENCANA PERTAMA ANALIS KERJASAMA DAN 
PERMODALAN 
ANALIS KEBIJAKAN 
PERTAMA LULUS LULUS LULUS 
1.329 611103140 
9880001 
128254 
9128 66112000721 MAHMUDI 14-09-1988 PERAWAT PELAKSANA LULUS TIDAK 
LULUS 
TIDAK 
LULUS 
1.330 611201181 
1850004 
209080 
1154 66113000775 MAHMUDI 18-11-1985 GURU BAHASA INGGRIS 
PERTAMA SMP 
GURU BAHASA INGGRIS 
PERTAMA SMA 
ANALIS KEBIJAKAN 
PERTAMA LULUS LULUS TIDAK 
LULUS 
1.331 617104640 
4920002 
138378 
8968 66113001763 MAI SITA 24-04-1992 GURU MATEMATIKA 
PERTAMA LULUS TIDAK 
LULUS 
TIDAK 
LULUS 
1.332 350503570 
5880004 
169823 
2518 66113001887 MAIKA WIDA SAFITRI 17-05-1988 GURU FISIKA PERTAMA GURU IPA PERTAMA ANALIS KEBIJAKAN 
PERTAMA LULUS LULUS TIDAK 
LULUS 
1.333 610207420 
2830007 
155534 
0940 66113000235 MAILAMAH 02-02-1983 PRANATA KOMPUTER 
PERTAMA LULUS TIDAK 
LULUS 
TIDAK 
LULUS 
1.334 617201440 
5840002 
208282 
3916 66113000364 MAILINA 04-05-1984 ANALIS KEBIJAKAN 
PERTAMA LULUS TIDAK 
LULUS 
TIDAK 
LULUS 
1.335 617103440 
9920003 
184083 
1811 66112000815 MALINDA ULI 
DOLOKSARIBU 04-09-1992 BIDAN PELAKSANA LULUS TIDAK 
LULUS 
TIDAK 
LULUS 
1.336 610104690 
5920002 
131880 
4872 66113001762 MALIZA 29-05-1992 GURU MATEMATIKA 
PERTAMA LULUS TIDAK 
LULUS 
TIDAK 
LULUS
NO NIK 
NO 
REGIST 
ER 
NO PESERTA NAMA TANGGAL 
LAHIR PILIHAN JABATAN 1 NAMA JABATAN 2 NAMA JABATAN 3 STATUS 
PILIHAN 1 
STATUS 
PILIHAN 2 
STATUS 
PILIHAN 3 
1.337 617104090 
2900017 
202767 
5431 66113001669 MANGIRING PASARIBU 09-02-1990 PENGENDALI DAMPAK 
LINGKUNGAN PERTAMA 
PENGAWAS LINGKUNGAN 
HIDUP PERTAMA 
TEKNIK PENYEHATAN 
LINGKUNGAN PERTAMA LULUS LULUS LULUS 
1.338 610104440 
9910005 
157955 
9208 66112000188 MANILA 04-09-1991 PERAWAT PELAKSANA LULUS TIDAK 
LULUS 
TIDAK 
LULUS 
1.339 611201280 
6880011 
193354 
2409 66113000470 MANIRI 28-06-1988 ANALIS KEBIJAKAN 
PERTAMA LULUS TIDAK 
LULUS 
TIDAK 
LULUS 
1.340 610201120 
5860002 
142484 
7063 66113000551 MANSUR 12-05-1986 GURU MATEMATIKA 
PERTAMA LULUS TIDAK 
LULUS 
TIDAK 
LULUS 
1.341 611209200 
4920010 
199183 
7682 66112000280 MANSYURUDDIN 20-04-1992 PERAWAT PELAKSANA LULUS TIDAK 
LULUS 
TIDAK 
LULUS 
1.342 617103040 
1920001 
101880 
5197 66113001309 MARANATHA YOHANES 
SINAGA 04-01-1992 TEKNIK JALAN DAN 
JEMBATAN PERTAMA 
ANALIS KEBIJAKAN 
PERTAMA LULUS TIDAK 
LULUS 
TIDAK 
LULUS 
1.343 610201450 
3810002 
185946 
1778 66112000013 MARCE MAKAILIPESSY 05-03-1981 PENGADMINISTRASI UMUM LULUS TIDAK 
LULUS 
TIDAK 
LULUS 
1.344 617105520 
3890002 
178855 
8274 66112000453 MARDA LENAWATI 12-03-1989 PENGADMINISTRASI UMUM PENYUSUN RISALAH LULUS LULUS TIDAK 
LULUS 
1.345 617103480 
7800009 
162208 
0209 66113001605 MARDHIA SYAHMAD, 
S.KOM 08-07-1980 PRANATA KOMPUTER 
PERTAMA 
ANALIS KEBIJAKAN 
PERTAMA LULUS LULUS TIDAK 
LULUS 
1.346 611201460 
3830026 
206843 
2899 66113000560 MARDIANA 06-03-1983 ANALIS KEBIJAKAN 
PERTAMA LULUS TIDAK 
LULUS 
TIDAK 
LULUS 
1.347 617101451 
0820003 
117939 
2506 66113001501 MARDIANA KARMILA, 
S.SI 05-10-1982 APOTEKER PERTAMA LULUS TIDAK 
LULUS 
TIDAK 
LULUS 
1.348 611209670 
3900005 
194603 
6254 66113000202 MARDIYANI 27-03-1990 GURU MATEMATIKA 
PERTAMA 
ANALIS KEBIJAKAN 
PERTAMA LULUS TIDAK 
LULUS 
TIDAK 
LULUS 
1.349 611209680 
3910003 
173522 
5260 66113001230 MARETA CRISTIANA 28-03-1991 PRANATA KOMPUTER 
PERTAMA 
ANALIS KEBIJAKAN 
PERTAMA LULUS LULUS TIDAK 
LULUS 
1.350 611206120 
5890006 
212278 
7873 66112000040 MARGA ADI SENO 
SAPUTRA 12-05-1989 PERAWAT PELAKSANA LULUS TIDAK 
LULUS 
TIDAK 
LULUS 
1.351 610807610 
7870002 
189999 
1268 66113001167 MARGARETA FLANTIKA 21-07-1987 ANALIS KEBIJAKAN 
PERTAMA LULUS TIDAK 
LULUS 
TIDAK 
LULUS 
1.352 611205421 
1910001 
122553 
5392 66113000920 MARHENI 01-11-1991 GURU MATEMATIKA 
PERTAMA 
ANALIS KEBIJAKAN 
PERTAMA LULUS TIDAK 
LULUS 
TIDAK 
LULUS 
1.353 617103711 
2900013 
128518 
5889 66112000711 MARIA CAROLINA 
DESGATRIA 31-12-1990 BIDAN PELAKSANA LULUS TIDAK 
LULUS 
TIDAK 
LULUS 
1.354 617101490 
1920003 
157274 
1869 66113001852 MARIA CECILIA 09-01-1992 ANALIS ANGGARAN PERENCANA PERTAMA ANALIS KEBIJAKAN 
PERTAMA LULUS LULUS LULUS 
1.355 611201490 
3870009 
178908 
9169 66112000065 MARIA DARMAWATI 09-03-1987 BIDAN PELAKSANA LULUS TIDAK 
LULUS 
TIDAK 
LULUS 
1.356 617101551 
0880001 
210682 
1195 66113001518 MARIA GINA 
VENERANDA 15-10-1988 GURU BAHASA INGGRIS 
PERTAMA SMP 
ANALIS KEBIJAKAN 
PERTAMA 
GURU BAHASA INGGRIS 
PERTAMA SMA LULUS TIDAK 
LULUS LULUS
NO NIK 
NO 
REGIST 
ER 
NO PESERTA NAMA TANGGAL 
LAHIR PILIHAN JABATAN 1 NAMA JABATAN 2 NAMA JABATAN 3 STATUS 
PILIHAN 1 
STATUS 
PILIHAN 2 
STATUS 
PILIHAN 3 
1.357 610419440 
1910002 
138793 
2857 66113000530 MARIA JANDI 
VICTAURIA 04-01-1991 GURU SEJARAH PERTAMA LULUS TIDAK 
LULUS 
TIDAK 
LULUS 
1.358 617104600 
7920003 
116770 
1221 66113001303 MARIA POPPI 20-07-1992 ANALIS KERJASAMA DAN 
PERMODALAN PERENCANA PERTAMA PENYULUH KOPERASI LULUS LULUS LULUS 
1.359 610611620 
3860001 
203231 
9986 66112000365 MARIA RISWANI 22-03-1986 PENYUSUN RISALAH PENGADMINISTRASI UMUM LULUS LULUS TIDAK 
LULUS 
1.360 610208621 
1920003 
142790 
5389 66112000799 MARIANA 22-11-1992 PENGADMINISTRASI UMUM LULUS TIDAK 
LULUS 
TIDAK 
LULUS 
1.361 611205651 
0880002 
192013 
2732 66113000455 MARIANA 25-10-1988 GURU MATEMATIKA 
PERTAMA LULUS TIDAK 
LULUS 
TIDAK 
LULUS 
1.362 617202620 
2900002 
194820 
7476 66113000668 MARIANA 22-02-1990 PUSTAKAWAN PERTAMA ANALIS KEBIJAKAN 
PERTAMA LULUS LULUS TIDAK 
LULUS 
1.363 610313470 
1910001 
103933 
8154 66112000873 MARIANA ANA 07-01-1991 PENGADMINISTRASI UMUM LULUS TIDAK 
LULUS 
TIDAK 
LULUS 
1.364 611206690 
7890003 
185856 
4081 66113000134 MARIANA DWI 
YULIASTUTI 29-07-1989 GURU MATEMATIKA 
PERTAMA LULUS TIDAK 
LULUS 
TIDAK 
LULUS 
1.365 610807480 
1840004 
149933 
0811 66112000343 MARIANCE 08-01-1984 PENGADMINISTRASI UMUM PENYUSUN RISALAH LULUS LULUS TIDAK 
LULUS 
1.366 611201551 
1800006 
185911 
5106 66113000427 MARIATI 15-11-1980 ANALIS ANGGARAN PENYULUH KOPERASI ANALIS KEBIJAKAN 
PERTAMA LULUS LULUS LULUS 
1.367 617104660 
5850007 
198196 
6039 66113001822 MARIAWATI HASIBUAN 26-05-1985 ANALIS KEBIJAKAN 
PERTAMA 
PERANCANG PERUNDANG-UNDANGAN 
PERTAMA 
PENGAWAS 
KETENAGAKERJAAN 
PERTAMA 
LULUS LULUS LULUS 
1.368 617103490 
3820007 
172919 
1577 66113001894 MARIETHA LISA 
ROKUVAWATI,S.SOS 09-03-1982 ANALIS LAYANAN UMUM ANALIS KEBIJAKAN 
PERTAMA 
TIDAK 
LULUS LULUS TIDAK 
LULUS 
1.369 611207061 
1830003 
178596 
0477 66113000341 MARIO ARNOV, SE 06-11-1983 ANALIS ANGGARAN ANALIS KEBIJAKAN 
PERTAMA 
ANALIS KERJASAMA DAN 
PERMODALAN LULUS LULUS LULUS 
1.370 617105610 
3920003 
161017 
7436 66113000238 MARIOLET YOAN 
ASHARI 21-03-1992 ANALIS ANGGARAN PENYULUH KOPERASI PERENCANA PERTAMA LULUS LULUS LULUS 
1.371 610417030 
3850005 
189007 
2725 66113001168 MARIYADI HAS 03-03-1985 PENYULUH KOPERASI ANALIS KERJASAMA DAN 
PERMODALAN 
ANALIS KEBIJAKAN 
PERTAMA LULUS LULUS LULUS 
1.372 610501550 
1850003 
157428 
6295 66113001642 MARIYATUL QIBTIYAH 15-01-1985 ANALIS KEBIJAKAN 
PERTAMA LULUS TIDAK 
LULUS 
TIDAK 
LULUS 
1.373 610717281 
1880002 
209228 
6054 66113001674 MARJETO 28-11-1988 GURU MATEMATIKA 
PERTAMA LULUS TIDAK 
LULUS 
TIDAK 
LULUS 
1.374 610217141 
0810001 
134060 
1948 66113001285 MARJONI,ST 14-10-1981 PENATA RUANG PERTAMA SURVEYOR PEMETAAN 
PERTAMA 
ANALIS KEBIJAKAN 
PERTAMA LULUS LULUS LULUS 
1.375 610207540 
7820002 
111488 
7264 66113000469 MARLENI 14-07-1982 GURU MATEMATIKA 
PERTAMA LULUS TIDAK 
LULUS 
TIDAK 
LULUS 
1.376 611206270 
7920002 
152995 
5648 66113000291 MARLIN BARCELONA 
PANJAITAN 26-07-1992 GURU MATEMATIKA 
PERTAMA 
ANALIS KEBIJAKAN 
PERTAMA LULUS TIDAK 
LULUS 
TIDAK 
LULUS
NO NIK 
NO 
REGIST 
ER 
NO PESERTA NAMA TANGGAL 
LAHIR PILIHAN JABATAN 1 NAMA JABATAN 2 NAMA JABATAN 3 STATUS 
PILIHAN 1 
STATUS 
PILIHAN 2 
STATUS 
PILIHAN 3 
1.377 617104470 
6820019 
110003 
6274 66112000666 MARLINAWATI 
PAKPAHAN 07-06-1982 PENGADMINISTRASI UMUM PENYUSUN RISALAH LULUS LULUS TIDAK 
LULUS 
1.378 617103460 
3860503 
139389 
8593 66112000845 MARLINDA MAYASARI 06-03-1986 PENGADMINISTRASI UMUM PENYUSUN RISALAH LULUS LULUS TIDAK 
LULUS 
1.379 330507241 
1820003 
202683 
3621 66113001618 MARNO 24-11-1982 ANALIS KERJASAMA DAN 
PERMODALAN PENYULUH KOPERASI PERENCANA PERTAMA LULUS LULUS LULUS 
1.380 610510520 
5880002 
203608 
9331 66112000382 MARSALINA 12-05-1988 PERAWAT PELAKSANA LULUS TIDAK 
LULUS 
TIDAK 
LULUS 
1.381 610206420 
3930002 
128267 
1662 66112000291 MARSELINA FIRANIA 
ICHABELLA 02-03-1993 BIDAN PELAKSANA LULUS TIDAK 
LULUS 
TIDAK 
LULUS 
1.382 610208471 
2830001 
133157 
1311 66113000254 MARSELINA LAMANG 07-12-1983 PRANATA KOMPUTER 
PERTAMA LULUS TIDAK 
LULUS 
TIDAK 
LULUS 
1.383 617103410 
3930002 
123874 
8922 66112000784 MARSELINA 
RAHMAWATI 01-03-1993 VERIFIKATOR KEUANGAN LULUS TIDAK 
LULUS 
TIDAK 
LULUS 
1.384 617101520 
5900009 
168634 
2439 66112000524 MARSELLA SUNARDI 12-05-1990 PENYUSUN RISALAH PENGADMINISTRASI UMUM LULUS LULUS TIDAK 
LULUS 
1.385 610508600 
8900002 
161259 
1557 66113001757 MARTA YULITA 20-08-1990 GURU MATEMATIKA 
PERTAMA LULUS TIDAK 
LULUS 
TIDAK 
LULUS 
1.386 610304590 
1900001 
196689 
7280 66113000947 MARTHA LIA 19-01-1990 ANALIS KEBIJAKAN 
PERTAMA LULUS TIDAK 
LULUS 
TIDAK 
LULUS 
1.387 611207560 
5830001 
144537 
1568 66112000729 MARTINA 16-05-1983 BIDAN PELAKSANA LULUS TIDAK 
LULUS 
TIDAK 
LULUS 
1.388 617103630 
9820007 
200981 
0769 66113000380 MARTINI 23-09-1982 APOTEKER PERTAMA LULUS TIDAK 
LULUS 
TIDAK 
LULUS 
1.389 610312220 
4910001 
106008 
8890 66113000580 MARTIUS 22-04-1991 GURU IPA PERTAMA GURU BIOLOGI PERTAMA ANALIS KEBIJAKAN 
PERTAMA LULUS LULUS TIDAK 
LULUS 
1.390 611208550 
2900001 
192319 
9673 66113001340 MARWIYAH 15-02-1990 ANALIS KERJASAMA DAN 
PERMODALAN PENYULUH KOPERASI PERENCANA PERTAMA LULUS LULUS LULUS 
1.391 610113590 
6910002 
157056 
7628 66112000545 MARYA ULFA 19-06-1991 NUTRISIONIS PELAKSANA LULUS TIDAK 
LULUS 
TIDAK 
LULUS 
1.392 611209571 
0840003 
152670 
0428 66113001597 MARYANAH 17-10-1984 ANALIS ANGGARAN ANALIS KERJASAMA DAN 
PERMODALAN PERENCANA PERTAMA LULUS LULUS LULUS 
1.393 617101600 
9840014 
151214 
2553 66112000092 MARYANI 20-09-1984 PENGADMINISTRASI UMUM LULUS TIDAK 
LULUS 
TIDAK 
LULUS 
1.394 611209430 
4910007 
194311 
7689 66112000130 MARYANI 03-04-1991 BIDAN PELAKSANA LULUS TIDAK 
LULUS 
TIDAK 
LULUS 
1.395 617101530 
3900006 
196311 
1064 66113000543 MARYANTI 13-03-1990 GURU BAHASA INGGRIS 
PERTAMA SMP 
GURU BAHASA INGGRIS 
PERTAMA SMA 
ANALIS KEBIJAKAN 
PERTAMA LULUS LULUS TIDAK 
LULUS 
1.396 611209490 
1860005 
104703 
4973 66113000649 MARYANTI 09-01-1986 PEKERJA SOSIAL PERTAMA PENYULUH SOSIAL 
PERTAMA 
ANALIS KEBIJAKAN 
PERTAMA LULUS LULUS LULUS
NO NIK 
NO 
REGIST 
ER 
NO PESERTA NAMA TANGGAL 
LAHIR PILIHAN JABATAN 1 NAMA JABATAN 2 NAMA JABATAN 3 STATUS 
PILIHAN 1 
STATUS 
PILIHAN 2 
STATUS 
PILIHAN 3 
1.397 611209110 
4850003 
181163 
3534 66113000221 MARYANTO.ST 11-04-1985 SURVEYOR PEMETAAN 
PERTAMA PENATA RUANG PERTAMA ANALIS KEBIJAKAN 
PERTAMA LULUS LULUS LULUS 
1.398 610701530 
4900004 
147266 
1152 66113001485 MARYATI 13-04-1990 GURU SEJARAH PERTAMA LULUS TIDAK 
LULUS 
TIDAK 
LULUS 
1.399 611203230 
1930002 
185555 
8152 66112000084 MARZUQI 23-01-1993 PERAWAT PELAKSANA LULUS TIDAK 
LULUS 
TIDAK 
LULUS 
1.400 610208651 
1860001 
206456 
8282 66112000160 MAS RANA ASTRIANA 25-11-1986 BIDAN PELAKSANA LULUS TIDAK 
LULUS 
TIDAK 
LULUS 
1.401 610201621 
2800001 
195346 
0714 66112000785 MASITAH RAHMAH, 
A.MD 22-12-1980 PENGADMINISTRASI UMUM PENYUSUN RISALAH LULUS LULUS TIDAK 
LULUS 
1.402 610606410 
8880001 
130290 
1005 66113000179 MASJINAN 01-08-1988 ANALIS KEBIJAKAN 
PERTAMA PERENCANA PERTAMA ANALIS KERJASAMA DAN 
PERMODALAN LULUS LULUS LULUS 
1.403 610513130 
3850001 
163892 
3559 66113000632 MASNGUD ZAUZI 13-03-1985 ANALIS KEBIJAKAN 
PERTAMA LULUS TIDAK 
LULUS 
TIDAK 
LULUS 
1.404 611205050 
4820004 
146755 
6378 66112000774 MASRURI 05-04-1982 PERAWAT PELAKSANA LULUS TIDAK 
LULUS 
TIDAK 
LULUS 
1.405 617104111 
1910003 
187715 
8806 66112000797 MASTUR 11-11-1991 PENGADMINISTRASI UMUM PENYUSUN RISALAH LULUS LULUS TIDAK 
LULUS 
1.406 610501450 
7900010 
197134 
6116 66113001456 MATILDA RELU LAMA 
TOKAN 05-07-1990 TEKNIK TATA BANGUNAN 
DAN PERUMAHAN PERTAMA 
ANALIS KEBIJAKAN 
PERTAMA LULUS LULUS TIDAK 
LULUS 
1.407 617101130 
2870006 
198277 
8906 66113001035 MAULANDHY FEBRIAN 
SURRAMANRA 13-02-1987 TEKNIK PENYEHATAN 
LINGKUNGAN PERTAMA 
PENGENDALI DAMPAK 
LINGKUNGAN PERTAMA 
PENGAWAS LINGKUNGAN 
HIDUP PERTAMA LULUS LULUS LULUS 
1.408 610105161 
1910004 
171908 
5094 66112000457 MAULIDI 16-11-1991 PENGADMINISTRASI UMUM PENYUSUN RISALAH LULUS LULUS TIDAK 
LULUS 
1.409 610701221 
0900002 
175945 
8258 66113000894 MAULIDIN 22-10-1990 PRANATA KOMPUTER 
PERTAMA 
ANALIS KEBIJAKAN 
PERTAMA LULUS LULUS TIDAK 
LULUS 
1.410 617101551 
0900003 
157324 
7310 66112000425 MAULIDINI ULMUL 
HAIR 15-10-1990 PERAWAT PELAKSANA LULUS TIDAK 
LULUS 
TIDAK 
LULUS 
1.411 617101490 
9860006 
103611 
8849 66113000158 MAULINA 19-09-1986 GURU BAHASA INGGRIS 
PERTAMA SMP LULUS TIDAK 
LULUS 
TIDAK 
LULUS 
1.412 617103061 
0890019 
154823 
6761 66113001874 MAULVHI AL ANSYOR 06-10-1989 
PENGENDALI ORGANISME 
PENGGANGGU TUMBUHAN 
PERTAMA 
ANALIS KEBIJAKAN 
PERTAMA 
TIDAK 
LULUS LULUS TIDAK 
LULUS 
1.413 610304620 
9860002 
140749 
3820 66113000651 MAURISIA TRISIL 22-09-1986 PERENCANA PERTAMA ANALIS ANGGARAN PENYULUH KOPERASI LULUS LULUS LULUS 
1.414 610502470 
1860001 
197311 
5537 66113001025 MAYA CHRISTINA 
VIDYA VIJAYANTI 07-01-1986 GURU BIOLOGI PERTAMA GURU IPA PERTAMA ANALIS KEBIJAKAN 
PERTAMA LULUS LULUS TIDAK 
LULUS 
1.415 611206551 
0900002 
178959 
3636 66113000441 MAYA DESI 
WULANDARI 15-10-1990 GURU MATEMATIKA 
PERTAMA LULUS TIDAK 
LULUS 
TIDAK 
LULUS 
1.416 617103440 
3860013 
107361 
9273 66113001864 MAYA RIAWATI 04-03-1986 GURU BAHASA INGGRIS 
PERTAMA SMP 
GURU BAHASA INGGRIS 
PERTAMA SMA 
ANALIS KEBIJAKAN 
PERTAMA LULUS LULUS TIDAK 
LULUS
NO NIK 
NO 
REGIST 
ER 
NO PESERTA NAMA TANGGAL 
LAHIR PILIHAN JABATAN 1 NAMA JABATAN 2 NAMA JABATAN 3 STATUS 
PILIHAN 1 
STATUS 
PILIHAN 2 
STATUS 
PILIHAN 3 
1.417 617201430 
5900002 
145588 
5445 66113000361 MAYA WIDIYANTIANA 03-05-1990 APOTEKER PERTAMA ANALIS KEBIJAKAN 
PERTAMA LULUS TIDAK 
LULUS 
TIDAK 
LULUS 
1.418 617102620 
4870001 
178511 
4570 66113000048 MAYANG AMBIKA 22-04-1987 ANALIS KEBIJAKAN 
PERTAMA LULUS TIDAK 
LULUS 
TIDAK 
LULUS 
1.419 617101591 
2890004 
148802 
1156 66112000638 MAYASARI 19-12-1989 PENGADMINISTRASI UMUM PENYUSUN RISALAH LULUS LULUS TIDAK 
LULUS 
1.420 140309520 
5920001 
116156 
5433 66113001111 MAYASARI SURAYYA 
DEWI 12-05-1992 PRANATA KOMPUTER 
PERTAMA 
ANALIS KEBIJAKAN 
PERTAMA LULUS LULUS TIDAK 
LULUS 
1.421 617103670 
2900008 
134964 
7526 66113000083 MAYSARAH 27-02-1990 ANALIS KEBIJAKAN 
PERTAMA LULUS TIDAK 
LULUS 
TIDAK 
LULUS 
1.422 617103441 
2860003 
172886 
1063 66113000912 MEGA 04-12-1987 PERENCANA PERTAMA PENYULUH KOPERASI ANALIS KERJASAMA DAN 
PERMODALAN LULUS LULUS LULUS 
1.423 610101540 
4890004 
214524 
6169 66113001510 MEGA APRISASMITA 14-04-1989 APOTEKER PERTAMA ANALIS KEBIJAKAN 
PERTAMA LULUS TIDAK 
LULUS 
TIDAK 
LULUS 
1.424 611201501 
0840027 
172884 
8601 66112000477 MEGA 
KARTIKA,AMD.KEB 10-10-1984 BIDAN PELAKSANA LULUS TIDAK 
LULUS 
TIDAK 
LULUS 
1.425 617104700 
6900010 
161075 
9611 66113000188 MEGA PURANI 
NAINGGOLAN 30-06-1990 GURU MATEMATIKA 
PERTAMA LULUS TIDAK 
LULUS 
TIDAK 
LULUS 
1.426 610101631 
2880002 
158639 
1063 66113000334 MEGARIANA 23-12-1988 PRANATA HUBUNGAN 
MASYARAKAT PERTAMA 
ANALIS KEBIJAKAN 
PERTAMA LULUS LULUS TIDAK 
LULUS 
1.427 617103640 
5850005 
181944 
2113 66113000815 MEGAWATI 24-05-1985 GURU BAHASA INGGRIS 
PERTAMA SMP 
GURU BAHASA INGGRIS 
PERTAMA SMA 
ANALIS KEBIJAKAN 
PERTAMA LULUS LULUS TIDAK 
LULUS 
1.428 611203081 
0890005 
179907 
5042 66113000974 MEGGI YANTO 08-10-1989 ANALIS KEBIJAKAN 
PERTAMA LULUS TIDAK 
LULUS 
TIDAK 
LULUS 
1.429 611203530 
5930002 
117229 
1012 66112000692 MEI LINDA 13-05-1993 BIDAN PELAKSANA LULUS TIDAK 
LULUS 
TIDAK 
LULUS 
1.430 610208600 
5870002 
131765 
4995 66113001554 MEI RATNA LESTARI 20-05-1987 GURU MATEMATIKA 
PERTAMA 
ANALIS KEBIJAKAN 
PERTAMA LULUS TIDAK 
LULUS 
TIDAK 
LULUS 
1.431 611203440 
5850006 
143974 
1993 66113000406 MEI TIKAWATI 04-05-1985 GURU MATEMATIKA 
PERTAMA 
ANALIS KEBIJAKAN 
PERTAMA LULUS TIDAK 
LULUS 
TIDAK 
LULUS 
1.432 617103570 
5840003 
191429 
3456 66113001804 MEIFIYANTI 
IRINMANTYA 17-05-1984 ANALIS KEBIJAKAN 
PERTAMA LULUS TIDAK 
LULUS 
TIDAK 
LULUS 
1.433 617103540 
5920005 
185453 
3431 66113001061 MEIGY CHRISANTY 
TAMBUNAN 14-05-1992 
PENGAWAS 
KETENAGAKERJAAN 
PERTAMA 
PENGANTAR KERJA 
PERTAMA ANALIS LAYANAN UMUM LULUS LULUS LULUS 
1.434 617101440 
3910504 
142444 
0894 66112000186 MEILDA PRATIWI 04-03-1991 NUTRISIONIS PELAKSANA LULUS TIDAK 
LULUS 
TIDAK 
LULUS 
1.435 617102460 
5880006 
189953 
6887 66112000866 MEILI SUMIATI 06-05-1988 PENYUSUN RISALAH PENGADMINISTRASI UMUM LULUS LULUS TIDAK 
LULUS 
1.436 617101540 
4900009 
100667 
0973 66113000338 MEISHYTAH EKA 
APRILIANTI 14-04-1990 PRANATA KOMPUTER 
PERTAMA 
ANALIS KEBIJAKAN 
PERTAMA LULUS LULUS TIDAK 
LULUS
NO NIK 
NO 
REGIST 
ER 
NO PESERTA NAMA TANGGAL 
LAHIR PILIHAN JABATAN 1 NAMA JABATAN 2 NAMA JABATAN 3 STATUS 
PILIHAN 1 
STATUS 
PILIHAN 2 
STATUS 
PILIHAN 3 
1.437 147104620 
5900001 
192573 
6368 66113000613 MEITA RIANITA 22-05-1990 PRANATA KOMPUTER 
PERTAMA 
ANALIS KEBIJAKAN 
PERTAMA LULUS LULUS TIDAK 
LULUS 
1.438 617105670 
5850012 
165469 
6315 66113001587 MEITA SAMTIA 27-05-1985 ANALIS KEBIJAKAN 
PERTAMA PERENCANA PERTAMA ANALIS KERJASAMA DAN 
PERMODALAN LULUS LULUS LULUS 
1.439 127119450 
4800002 
203458 
6682 66113001408 MELATI ERNI SHARON 
HTPEA 05-04-1980 ANALIS KEBIJAKAN 
PERTAMA LULUS TIDAK 
LULUS 
TIDAK 
LULUS 
1.440 611103650 
5920002 
159584 
6321 66112000645 MELDA NOVITASARI 25-05-1992 BIDAN PELAKSANA LULUS TIDAK 
LULUS 
TIDAK 
LULUS 
1.441 611206410 
5920003 
214039 
4503 66113001054 MELI 01-05-1992 ANALIS ANGGARAN PERENCANA PERTAMA ANALIS KERJASAMA DAN 
PERMODALAN LULUS LULUS LULUS 
1.442 611205470 
2870002 
101348 
9468 66113000435 MELIA 07-11-1987 GURU MATEMATIKA 
PERTAMA LULUS TIDAK 
LULUS 
TIDAK 
LULUS 
1.443 617104711 
2900035 
205056 
5837 66113000370 MELIN 31-12-1990 PRANATA KOMPUTER 
PERTAMA 
ANALIS KEBIJAKAN 
PERTAMA LULUS LULUS TIDAK 
LULUS 
1.444 617103480 
5870009 
174920 
2411 66113000182 MELINA ROMATUA 
ARITONANG 08-05-1987 ANALIS LAYANAN UMUM PENGANTAR KERJA 
PERTAMA 
ANALIS KEBIJAKAN 
PERTAMA LULUS LULUS LULUS 
1.445 617104430 
5920020 
147740 
3066 66113000397 MELINDA PRAWATI 03-05-1992 GURU BAHASA INGGRIS 
PERTAMA SMP 
GURU BAHASA INGGRIS 
PERTAMA SMA 
ANALIS KEBIJAKAN 
PERTAMA LULUS LULUS TIDAK 
LULUS 
1.446 617103560 
6800005 
134932 
4921 66113000556 MELINDA SARI 16-06-1980 GURU MATEMATIKA 
PERTAMA 
ANALIS KEBIJAKAN 
PERTAMA LULUS TIDAK 
LULUS 
TIDAK 
LULUS 
1.447 611209551 
2910002 
206867 
8618 66113001176 MELISA GIAHELLA 
WERDAMURTI 15-12-1991 GURU BAHASA INGGRIS 
PERTAMA SMP 
GURU BAHASA INGGRIS 
PERTAMA SMA 
ANALIS KEBIJAKAN 
PERTAMA LULUS LULUS TIDAK 
LULUS 
1.448 617101690 
3820005 
174775 
1817 66113001813 MELISA RUSMINDA 29-03-1982 ANALIS KEBIJAKAN 
PERTAMA PERENCANA PERTAMA ANALIS KERJASAMA DAN 
PERMODALAN LULUS LULUS LULUS 
1.449 611203440 
5880006 
156176 
8888 66113000529 MELIYANTI 04-05-1988 GURU BAHASA INGGRIS 
PERTAMA SMA 
GURU BAHASA INGGRIS 
PERTAMA SMP 
ANALIS KEBIJAKAN 
PERTAMA LULUS LULUS TIDAK 
LULUS 
1.450 611201160 
4860009 
162425 
1509 66113000798 MELKIOR 16-04-1986 PRANATA KOMPUTER 
PERTAMA 
ANALIS KEBIJAKAN 
PERTAMA LULUS LULUS TIDAK 
LULUS 
1.451 611201490 
1940004 
121423 
3919 66112000153 MELLY DAMERIA BORU 
RITONGA 09-01-1994 BIDAN PELAKSANA LULUS TIDAK 
LULUS 
TIDAK 
LULUS 
1.452 617103130 
5800002 
124525 
2686 66113001439 MELTHAZIR THAMRIN, 
SP 13-05-1980 ANALIS KEBIJAKAN 
PERTAMA LULUS TIDAK 
LULUS 
TIDAK 
LULUS 
1.453 617106570 
4870001 
180409 
7560 66112000415 MELTI LIANA 17-04-1987 VERIFIKATOR KEUANGAN LULUS TIDAK 
LULUS 
TIDAK 
LULUS 
1.454 610501440 
5850003 
144505 
2150 66113001892 MELY RAHMAWATI 
SAWUN 04-05-1985 ANALIS KEBIJAKAN 
PERTAMA LULUS TIDAK 
LULUS 
TIDAK 
LULUS 
1.455 617105570 
6930003 
192715 
8986 66112000828 MELYANA SAFITRI 17-06-1993 PENYUSUN RISALAH LULUS TIDAK 
LULUS 
TIDAK 
LULUS 
1.456 611201561 
1840007 
118237 
5483 66113000283 MELYSA VENESA 
SIAHAAN 16-11-1984 ANALIS KEBIJAKAN 
PERTAMA LULUS TIDAK 
LULUS 
TIDAK 
LULUS
NO NIK 
NO 
REGIST 
ER 
NO PESERTA NAMA TANGGAL 
LAHIR PILIHAN JABATAN 1 NAMA JABATAN 2 NAMA JABATAN 3 STATUS 
PILIHAN 1 
STATUS 
PILIHAN 2 
STATUS 
PILIHAN 3 
1.457 120519710 
5920001 
206572 
6653 66112000498 MERLIN NOPITARIA BR 
TARIGAN 30-05-1992 BIDAN PELAKSANA LULUS TIDAK 
LULUS 
TIDAK 
LULUS 
1.458 617102410 
1870004 
211813 
4012 66112000476 
MERRY 
CHERISNAWATI,AMD.K 
EP 
01-01-1987 PERAWAT PELAKSANA LULUS TIDAK 
LULUS 
TIDAK 
LULUS 
1.459 611203660 
3900001 
122070 
3132 66113001383 MERRY HARFIANI 26-03-1990 
PENGAWAS 
KETENAGAKERJAAN 
PERTAMA 
ANALIS LAYANAN UMUM PERANCANG PERUNDANG-UNDANGAN 
PERTAMA LULUS LULUS LULUS 
1.460 617102660 
9860002 
151770 
5538 66113000114 MERTHA Y. DJANGGU 26-09-1986 PRANATA HUBUNGAN 
MASYARAKAT PERTAMA LULUS TIDAK 
LULUS 
TIDAK 
LULUS 
1.461 610301450 
5810009 
114792 
6726 66112000742 MERY HENDRIANA 05-05-1981 PENGADMINISTRASI UMUM LULUS TIDAK 
LULUS 
TIDAK 
LULUS 
1.462 611201590 
5880007 
123741 
7824 66113000093 MERY SAFITRI 19-05-1988 PERENCANA PERTAMA ANALIS ANGGARAN ANALIS KERJASAMA DAN 
PERMODALAN LULUS LULUS LULUS 
1.463 610215460 
8900001 
115757 
7919 66113000415 MERYANA 06-08-1990 GURU SEJARAH PERTAMA LULUS TIDAK 
LULUS 
TIDAK 
LULUS 
1.464 610216540 
5900001 
213683 
6630 66113000832 META SUMARLINA 14-05-1990 GURU FISIKA PERTAMA LULUS TIDAK 
LULUS 
TIDAK 
LULUS 
1.465 611201450 
5830016 
212080 
9375 66113001783 METHA NILA SARI 05-05-1983 PERENCANA PERTAMA PENYULUH KOPERASI ANALIS ANGGARAN LULUS LULUS LULUS 
1.466 617101451 
0870010 
146842 
9430 66113000502 METI OCTARINI 05-10-1987 GURU BAHASA INGGRIS 
PERTAMA SMP LULUS TIDAK 
LULUS 
TIDAK 
LULUS 
1.467 317407580 
5850002 
178813 
3790 66113001447 MEY MELANIA 18-05-1985 APOTEKER PERTAMA LULUS TIDAK 
LULUS 
TIDAK 
LULUS 
1.468 617104670 
5890008 
132147 
4658 66113000036 MEYLISA ANGGRAINI 
WULANDARI 27-05-1989 GURU BAHASA INDONESIA 
PERTAMA 
ANALIS KEBIJAKAN 
PERTAMA LULUS TIDAK 
LULUS 
TIDAK 
LULUS 
1.469 617101621 
1900007 
174734 
1818 66112000660 MIA ADMIKA 22-11-1990 PENGADMINISTRASI UMUM PENYUSUN RISALAH LULUS LULUS TIDAK 
LULUS 
1.470 617102540 
3820007 
196328 
6979 66113001638 MIA ANDRIANI 14-03-1982 ANALIS KEBIJAKAN 
PERTAMA LULUS TIDAK 
LULUS 
TIDAK 
LULUS 
1.471 617102570 
7890004 
160232 
7342 66112000752 MIA KAMARIAH 17-07-1989 NUTRISIONIS PELAKSANA LULUS TIDAK 
LULUS 
TIDAK 
LULUS 
1.472 617105510 
5900009 
132072 
7808 66112000239 MIA WINDA LESTARI 11-05-1990 PENGADMINISTRASI UMUM LULUS TIDAK 
LULUS 
TIDAK 
LULUS 
1.473 611201440 
3910014 
132758 
2999 66113000133 MIFTAHATUSSALAMAH 04-03-1991 PERENCANA PERTAMA PENYULUH KOPERASI ANALIS KEBIJAKAN 
PERTAMA LULUS LULUS LULUS 
1.474 611209691 
2910001 
146629 
9179 66113000967 MIFTAHUL JANNAH 29-12-1991 ANALIS KEBIJAKAN 
PERTAMA LULUS TIDAK 
LULUS 
TIDAK 
LULUS 
1.475 617101500 
4910005 
198881 
3024 66113000965 MIFTAHUL JANNATI 10-04-1991 GURU MATEMATIKA 
PERTAMA 
ANALIS KEBIJAKAN 
PERTAMA LULUS TIDAK 
LULUS 
TIDAK 
LULUS 
1.476 611201470 
2860012 
145670 
9825 66113001690 MIFTAHULJANNAH 07-02-1986 ANALIS KEBIJAKAN 
PERTAMA LULUS TIDAK 
LULUS 
TIDAK 
LULUS
NO NIK 
NO 
REGIST 
ER 
NO PESERTA NAMA TANGGAL 
LAHIR PILIHAN JABATAN 1 NAMA JABATAN 2 NAMA JABATAN 3 STATUS 
PILIHAN 1 
STATUS 
PILIHAN 2 
STATUS 
PILIHAN 3 
1.477 617103140 
3830023 
160187 
3419 66112000612 MIFTAHUSSALIHIN, 
A.MD KEP 14-03-1983 PERAWAT PELAKSANA LULUS TIDAK 
LULUS 
TIDAK 
LULUS 
1.478 617105260 
8880004 
175012 
9414 66113001272 MIKA HATIGORAN 
MANALU 26-08-1988 GURU BAHASA INGGRIS 
PERTAMA SMP 
ANALIS KEBIJAKAN 
PERTAMA 
GURU BAHASA INGGRIS 
PERTAMA SMA LULUS TIDAK 
LULUS LULUS 
1.479 611209460 
5870002 
172571 
3360 66113000076 MIKA LASNI ROHA 
SARAGIH 06-05-1987 ANALIS KEBIJAKAN 
PERTAMA LULUS TIDAK 
LULUS 
TIDAK 
LULUS 
1.480 617104420 
1850017 
180070 
5841 66113001628 MIKE TRISNAWATI 02-01-1985 GURU BAHASA INGGRIS 
PERTAMA SMP 
GURU BAHASA INGGRIS 
PERTAMA SMA 
ANALIS KEBIJAKAN 
PERTAMA LULUS LULUS TIDAK 
LULUS 
1.481 610417160 
6890006 
213747 
6371 66113001362 MIKHAEL MAREO 
BRANNEDI 14-06-1989 TEKNIK JALAN DAN 
JEMBATAN PERTAMA 
ANALIS KEBIJAKAN 
PERTAMA LULUS LULUS TIDAK 
LULUS 
1.482 610706461 
2900002 
158891 
2542 66113000335 MILA 06-12-1990 PEKERJA SOSIAL PERTAMA PENYULUH SOSIAL 
PERTAMA 
ANALIS KEBIJAKAN 
PERTAMA LULUS LULUS LULUS 
1.483 617105651 
1810005 
123861 
1017 66113000754 MILAWATI 25-11-1981 PRANATA KOMPUTER 
PERTAMA 
ANALIS KEBIJAKAN 
PERTAMA LULUS LULUS TIDAK 
LULUS 
1.484 610807570 
5890004 
166722 
2268 66113001147 MILKHA RIPKHA 
TAMEON 17-05-1989 ANALIS KEBIJAKAN 
PERTAMA LULUS TIDAK 
LULUS 
TIDAK 
LULUS 
1.485 611201430 
2830002 
151986 
1297 66113001392 MINA 03-02-1983 GURU BAHASA INGGRIS 
PERTAMA SMP LULUS TIDAK 
LULUS 
TIDAK 
LULUS 
1.486 617202580 
1900001 
134745 
9045 66112000094 MINARNI 18-01-1990 VERIFIKATOR KEUANGAN LULUS TIDAK 
LULUS 
TIDAK 
LULUS 
1.487 611201481 
0850007 
158509 
1601 66113001714 MIRANTI 08-10-1985 ANALIS KEBIJAKAN 
PERTAMA LULUS TIDAK 
LULUS 
TIDAK 
LULUS 
1.488 617103470 
5830019 
126174 
4749 66113000831 MIRINDA SALIM, SH 05-07-1983 
PENGAWAS 
KETENAGAKERJAAN 
PERTAMA 
MEDIATOR HUBUNGAN 
INDUSTRIAL PERTAMA 
PERANCANG PERUNDANG-UNDANGAN 
PERTAMA LULUS LULUS LULUS 
1.489 610102501 
2890005 
106642 
5722 66112000718 MIRNA WATI 10-12-1989 BIDAN PELAKSANA LULUS TIDAK 
LULUS 
TIDAK 
LULUS 
1.490 611201560 
6920011 
156846 
0201 66113000405 MIRNAWATI 16-06-1992 GURU SEJARAH PERTAMA LULUS TIDAK 
LULUS 
TIDAK 
LULUS 
1.491 611201300 
9890005 
109756 
3921 66113001567 MIRZA PRATAMA 30-09-1989 MEDIATOR HUBUNGAN 
INDUSTRIAL PERTAMA 
PENGAWAS 
KETENAGAKERJAAN 
PERTAMA 
PERANCANG PERUNDANG-UNDANGAN 
PERTAMA LULUS LULUS LULUS 
1.492 610117411 
1930003 
186068 
3340 66112000344 MISDA 01-11-1993 NUTRISIONIS PELAKSANA LULUS TIDAK 
LULUS 
TIDAK 
LULUS 
1.493 610218450 
6870002 
171028 
2204 66113001232 MISTATI 05-06-1987 ANALIS KEBIJAKAN 
PERTAMA PERENCANA PERTAMA PENYULUH KOPERASI LULUS LULUS LULUS 
1.494 611201540 
8930008 
213105 
7401 66112000369 MITA DEWI ASTUTI 14-08-1993 NUTRISIONIS PELAKSANA LULUS TIDAK 
LULUS 
TIDAK 
LULUS 
1.495 610717440 
1910002 
193520 
1321 66113001187 MITRA ZENDI KARMILA 
SARI.P 04-01-1991 PRANATA KOMPUTER 
PERTAMA 
ANALIS KEBIJAKAN 
PERTAMA LULUS LULUS TIDAK 
LULUS 
1.496 352309250 
5900002 
132502 
1231 66113000605 MOCH. HADI SUSILO 25-05-1990 PRANATA KOMPUTER 
PERTAMA 
ANALIS KEBIJAKAN 
PERTAMA LULUS LULUS TIDAK 
LULUS
NO NIK 
NO 
REGIST 
ER 
NO PESERTA NAMA TANGGAL 
LAHIR PILIHAN JABATAN 1 NAMA JABATAN 2 NAMA JABATAN 3 STATUS 
PILIHAN 1 
STATUS 
PILIHAN 2 
STATUS 
PILIHAN 3 
1.497 617105160 
7930006 
123068 
5414 66112000871 MOCHAMMAD IQBAL 16-07-1993 PENGADMINISTRASI UMUM PENYUSUN RISALAH LULUS LULUS TIDAK 
LULUS 
1.498 617103111 
1870013 
159756 
4569 66113000087 MOH. BIDAR BAIHAQI 11-11-1987 GURU SEJARAH PERTAMA ANALIS KEBIJAKAN 
PERTAMA LULUS TIDAK 
LULUS 
TIDAK 
LULUS 
1.499 320406201 
2850006 
186059 
8932 66113000989 MOHAMMAD IDHAM 
BAIHAQI 20-12-1985 PUSTAKAWAN PERTAMA LULUS TIDAK 
LULUS 
TIDAK 
LULUS 
1.500 617105060 
8800009 
200058 
2025 66113001429 MOHAMMAD 
RIDWAN.ST 06-08-1980 ANALIS KEBIJAKAN 
PERTAMA PENATA RUANG PERTAMA SURVEYOR PEMETAAN 
PERTAMA LULUS LULUS LULUS 
1.501 617105060 
1820007 
171869 
3494 66113000496 MOHD. GUNTUR 
VACHRUDDIN TRONA 06-01-1982 
PENGAWAS 
KETENAGAKERJAAN 
PERTAMA 
ANALIS KEBIJAKAN 
PERTAMA 
PENGANTAR KERJA 
PERTAMA LULUS LULUS LULUS 
1.502 617105610 
6920009 
169816 
3775 66112000732 MONA LESTARI 21-06-1992 BIDAN PELAKSANA LULUS TIDAK 
LULUS 
TIDAK 
LULUS 
1.503 610501510 
4920003 
165777 
3755 66112000006 MONICA BETRYC 
PANGEMANAN 11-04-1992 BIDAN PELAKSANA LULUS TIDAK 
LULUS 
TIDAK 
LULUS 
1.504 610309600 
4920001 
181874 
7811 66112000290 MONIKA ROSI 
PURNAMA SARI 20-04-1992 BIDAN PELAKSANA LULUS TIDAK 
LULUS 
TIDAK 
LULUS 
1.505 617101580 
4920006 
148599 
9405 66113000416 MONITHA GERALDINE 18-04-1992 GURU BAHASA INGGRIS 
PERTAMA SMP LULUS TIDAK 
LULUS 
TIDAK 
LULUS 
1.506 520313010 
1800017 
211215 
4067 66113001302 MUALLANI RIADI 01-01-1980 ANALIS KEBIJAKAN 
PERTAMA 
PENGAWAS 
KETENAGAKERJAAN 
PERTAMA 
LULUS TIDAK 
LULUS LULUS 
1.507 617205021 
2890001 
182066 
4330 66113000350 MUDYO WILOSO 02-12-1989 PENGAWAS PERIKANAN 
PERTAMA LULUS TIDAK 
LULUS 
TIDAK 
LULUS 
1.508 610201280 
7860003 
206494 
2981 66113001848 MUFLIH ISNAIN A.MD 28-07-1986 ANALIS KERJASAMA DAN 
PERMODALAN PENYULUH KOPERASI ANALIS KEBIJAKAN 
PERTAMA LULUS LULUS LULUS 
1.509 617104020 
1850016 
176351 
6402 66113001590 MUHAIMIN 02-01-1985 ANALIS ANGGARAN ANALIS KEBIJAKAN 
PERTAMA PERENCANA PERTAMA LULUS LULUS LULUS 
1.510 611209250 
5890003 
150761 
7475 66112000299 MUHAIMIN SANI 25-05-1989 PERAWAT PELAKSANA LULUS TIDAK 
LULUS 
TIDAK 
LULUS 
1.511 617103230 
8900004 
140519 
7715 66113001643 MUHAMMAD AGUS 
SAFRI 23-08-1990 ANALIS KEBIJAKAN 
PERTAMA LULUS TIDAK 
LULUS 
TIDAK 
LULUS 
1.512 617105120 
6910010 
130548 
8652 66113001343 MUHAMMAD ALDO 12-06-1991 PERANCANG PERUNDANG-UNDANGAN 
PERTAMA 
PENGAWAS 
KETENAGAKERJAAN 
PERTAMA 
ANALIS LAYANAN UMUM LULUS LULUS LULUS 
1.513 611207030 
5830003 
148056 
4188 66113001635 MUHAMMAD AMIN 03-05-1983 ANALIS KEBIJAKAN 
PERTAMA LULUS TIDAK 
LULUS 
TIDAK 
LULUS 
1.514 617103150 
3880006 
124288 
3942 66113000181 MUHAMMAD ANDI 
JUPRIANTO 15-03-1988 GURU BAHASA INGGRIS 
PERTAMA SMP 
ANALIS KEBIJAKAN 
PERTAMA 
GURU BAHASA INGGRIS 
PERTAMA SMA LULUS TIDAK 
LULUS LULUS 
1.515 617105261 
0870001 
198262 
4207 66113001448 MUHAMMAD ARIS 26-10-1987 PEKERJA SOSIAL PERTAMA PENYULUH SOSIAL 
PERTAMA 
ANALIS KEBIJAKAN 
PERTAMA LULUS LULUS LULUS 
1.516 617105020 
5820017 
213517 
5921 66113000178 MUHAMMAD ARMEINIE 02-05-1982 ANALIS KEBIJAKAN 
PERTAMA 
SURVEYOR PEMETAAN 
PERTAMA PENATA RUANG PERTAMA LULUS LULUS LULUS
NO NIK 
NO 
REGIST 
ER 
NO PESERTA NAMA TANGGAL 
LAHIR PILIHAN JABATAN 1 NAMA JABATAN 2 NAMA JABATAN 3 STATUS 
PILIHAN 1 
STATUS 
PILIHAN 2 
STATUS 
PILIHAN 3 
1.517 617103110 
7920011 
175880 
0107 66113000292 MUHAMMAD ASYURA 11-07-1992 GURU BAHASA INDONESIA 
PERTAMA 
ANALIS KEBIJAKAN 
PERTAMA LULUS TIDAK 
LULUS 
TIDAK 
LULUS 
1.518 610207110 
2920004 
153785 
8120 66112000289 MUHAMMAD AZIZI 11-02-1992 PERAWAT PELAKSANA LULUS TIDAK 
LULUS 
TIDAK 
LULUS 
1.519 617104231 
2810002 
197409 
7440 66113001884 MUHAMMAD BUSRO 23-12-1981 ANALIS KEBIJAKAN 
PERTAMA LULUS TIDAK 
LULUS 
TIDAK 
LULUS 
1.520 611201040 
4900006 
152790 
2535 66113001029 MUHAMMAD HARI 
ARDIANSYAH 04-04-1990 PENATA RUANG PERTAMA ANALIS KEBIJAKAN 
PERTAMA 
SURVEYOR PEMETAAN 
PERTAMA LULUS LULUS LULUS 
1.521 611205010 
3840002 
199503 
8834 66113000788 MUHAMMAD ILYAS 01-03-1984 PENYULUH KOPERASI LULUS TIDAK 
LULUS 
TIDAK 
LULUS 
1.522 610804170 
4860001 
175440 
2190 66112000439 MUHAMMAD IMANSYAH 17-04-1986 PERAWAT PELAKSANA LULUS TIDAK 
LULUS 
TIDAK 
LULUS 
1.523 617101070 
2870005 
110718 
9845 66113000628 MUHAMMAD IQBAL 07-02-1987 PENATA RUANG PERTAMA SURVEYOR PEMETAAN 
PERTAMA 
ANALIS KEBIJAKAN 
PERTAMA LULUS LULUS LULUS 
1.524 611209280 
8880002 
194064 
1696 66112000451 MUHAMMAD IRHAMI 28-08-1988 PERAWAT PELAKSANA LULUS TIDAK 
LULUS 
TIDAK 
LULUS 
1.525 617103190 
4840003 
127520 
4006 66112000263 MUHAMMAD 
KHAIRUDDIN 19-04-1984 VERIFIKATOR KEUANGAN LULUS TIDAK 
LULUS 
TIDAK 
LULUS 
1.526 610208051 
1800002 
206088 
6767 66112000880 MUHAMMAD KHENDRI 05-11-1980 PENGADMINISTRASI UMUM PENYUSUN RISALAH LULUS LULUS TIDAK 
LULUS 
1.527 610212050 
6890004 
206868 
3789 66113000253 MUHAMMAD MUNADI 05-06-1989 GURU MATEMATIKA 
PERTAMA LULUS TIDAK 
LULUS 
TIDAK 
LULUS 
1.528 317410270 
4840008 
119706 
9001 66113001090 MUHAMMAD 
NURCHOLIS 27-04-1984 PRANATA KOMPUTER 
PERTAMA 
ANALIS KEBIJAKAN 
PERTAMA LULUS LULUS TIDAK 
LULUS 
1.529 611201180 
2940006 
160104 
6944 66112000473 MUHAMMAD RAMANDA 18-02-1994 PERAWAT PELAKSANA LULUS TIDAK 
LULUS 
TIDAK 
LULUS 
1.530 617103150 
6820021 
181327 
0462 66113000898 MUHAMMAD RAYHANY, 
SH 15-06-1982 
PENGAWAS 
KETENAGAKERJAAN 
PERTAMA 
MEDIATOR HUBUNGAN 
INDUSTRIAL PERTAMA 
PERANCANG PERUNDANG-UNDANGAN 
PERTAMA LULUS LULUS LULUS 
1.531 617103190 
4890003 
153203 
1975 66113000480 MUHAMMAD REZA 
RAMADAN 19-04-1989 ANALIS LAYANAN UMUM ANALIS KEBIJAKAN 
PERTAMA 
PENGAWAS 
KETENAGAKERJAAN 
PERTAMA 
LULUS LULUS LULUS 
1.532 617105140 
7920007 
213388 
4200 66113001836 MUHAMMAD RHEZA 
TAWAKKAL 14-07-1992 ANALIS KEBIJAKAN 
PERTAMA LULUS TIDAK 
LULUS 
TIDAK 
LULUS 
1.533 617102280 
1900006 
169207 
6926 66112000677 MUHAMMAD 
RIYANSYAH 28-01-1990 VERIFIKATOR KEUANGAN LULUS TIDAK 
LULUS 
TIDAK 
LULUS 
1.534 317503151 
2850014 
156597 
1555 66113001520 MUHAMMAD SATURI 15-12-1985 GURU BAHASA INGGRIS 
PERTAMA SMP LULUS TIDAK 
LULUS 
TIDAK 
LULUS 
1.535 617106290 
6820002 
119065 
8449 66113000622 MUHAMMAD SOFIYANI, 
SH 29-06-1982 MEDIATOR HUBUNGAN 
INDUSTRIAL PERTAMA 
PENGAWAS 
KETENAGAKERJAAN 
PERTAMA 
ANALIS LAYANAN UMUM LULUS LULUS LULUS 
1.536 617103081 
0830004 
178247 
0364 66113001736 MUHARDI ERAZ 08-10-1983 ANALIS KEBIJAKAN 
PERTAMA LULUS TIDAK 
LULUS 
TIDAK 
LULUS
NO NIK 
NO 
REGIST 
ER 
NO PESERTA NAMA TANGGAL 
LAHIR PILIHAN JABATAN 1 NAMA JABATAN 2 NAMA JABATAN 3 STATUS 
PILIHAN 1 
STATUS 
PILIHAN 2 
STATUS 
PILIHAN 3 
1.537 617101540 
8880002 
179986 
0188 66113000606 MUHARFIANI LESTARI 14-08-1988 ANALIS KEBIJAKAN 
PERTAMA LULUS TIDAK 
LULUS 
TIDAK 
LULUS 
1.538 617103140 
8880005 
134358 
4393 66113001415 MUHARRAMUN IHSAN 14-08-1988 PRANATA KOMPUTER 
PERTAMA 
ANALIS KEBIJAKAN 
PERTAMA LULUS LULUS TIDAK 
LULUS 
1.539 617103481 
0830002 
164235 
1630 66113000324 MUHTRININGSIH, S.PD 08-10-1983 GURU MATEMATIKA 
PERTAMA LULUS TIDAK 
LULUS 
TIDAK 
LULUS 
1.540 617105550 
2830008 
178959 
3813 66112000454 MUJI HARTINI 15-02-1983 PENYULUH PAJAK 
PELAKSANA LULUS TIDAK 
LULUS 
TIDAK 
LULUS 
1.541 611207560 
5810001 
201832 
4968 66112000708 MUJIATI 16-05-1981 PENGADMINISTRASI UMUM PENYUSUN RISALAH LULUS LULUS TIDAK 
LULUS 
1.542 611203470 
2800003 
131345 
8592 66113001250 MUJIATIN. SP 07-02-1980 ANALIS KEBIJAKAN 
PERTAMA LULUS TIDAK 
LULUS 
TIDAK 
LULUS 
1.543 611201090 
8800008 
156521 
0496 66113001796 MUKHAJIR 09-08-1980 ANALIS KEBIJAKAN 
PERTAMA LULUS TIDAK 
LULUS 
TIDAK 
LULUS 
1.544 617105091 
1800011 
146853 
9573 66113000368 MUKTI ANFAL 09-11-1980 ANALIS KEBIJAKAN 
PERTAMA LULUS TIDAK 
LULUS 
TIDAK 
LULUS 
1.545 617104480 
3920010 
200426 
3423 66112000441 MUKTISARI 
SURYANINGRUM 08-03-1992 NUTRISIONIS PELAKSANA LULUS TIDAK 
LULUS 
TIDAK 
LULUS 
1.546 120807250 
2890002 
125458 
1220 66113000363 MULIONO 25-02-1989 ANALIS KEBIJAKAN 
PERTAMA LULUS TIDAK 
LULUS 
TIDAK 
LULUS 
1.547 617103101 
1880022 
149799 
7917 66113001084 MULLY HIDAYAT 10-11-1988 ANALIS KEBIJAKAN 
PERTAMA LULUS TIDAK 
LULUS 
TIDAK 
LULUS 
1.548 347102241 
0820001 
172670 
6277 66113001806 MULYAWARMAN AR 24-10-1982 ANALIS KEBIJAKAN 
PERTAMA 
PERANCANG PERUNDANG-UNDANGAN 
PERTAMA ANALIS LAYANAN UMUM LULUS LULUS LULUS 
1.549 617101710 
8850002 
100627 
7173 66113000356 MUNAUWARAH 31-08-1985 PERENCANA PERTAMA ANALIS ANGGARAN ANALIS KEBIJAKAN 
PERTAMA LULUS LULUS LULUS 
1.550 617104500 
3890008 
202974 
3780 66112000332 MUNAWAROH 10-09-1989 PENGADMINISTRASI UMUM LULUS TIDAK 
LULUS 
TIDAK 
LULUS 
1.551 617103141 
1880006 
191720 
4008 66113001538 MUNAWIR DAMIRI 14-11-1988 GURU SEJARAH PERTAMA LULUS TIDAK 
LULUS 
TIDAK 
LULUS 
1.552 617202050 
2840003 
198474 
7899 66113001777 MURAHADI, SE 05-02-1984 ANALIS KEBIJAKAN 
PERTAMA PERENCANA PERTAMA ANALIS ANGGARAN LULUS LULUS LULUS 
1.553 617105711 
2900008 
164086 
7864 66113000173 MURIE ARDIANI 31-12-1990 GURU SEJARAH PERTAMA LULUS TIDAK 
LULUS 
TIDAK 
LULUS 
1.554 611201260 
6810007 
175010 
0906 66113000152 MURJANI 26-06-1981 PENYULUH KOPERASI ANALIS ANGGARAN ANALIS KEBIJAKAN 
PERTAMA LULUS LULUS LULUS 
1.555 617104520 
6840023 
142391 
5565 66112000099 MURNIATI 12-06-1984 NUTRISIONIS PELAKSANA LULUS TIDAK 
LULUS 
TIDAK 
LULUS 
1.556 610320410 
3910001 
162342 
0809 66112000698 MURNINI 01-03-1991 BIDAN PELAKSANA LULUS TIDAK 
LULUS 
TIDAK 
LULUS
NO NIK 
NO 
REGIST 
ER 
NO PESERTA NAMA TANGGAL 
LAHIR PILIHAN JABATAN 1 NAMA JABATAN 2 NAMA JABATAN 3 STATUS 
PILIHAN 1 
STATUS 
PILIHAN 2 
STATUS 
PILIHAN 3 
1.557 611201150 
5880009 
163884 
7984 66113001021 MURTADO 15-05-1988 ANALIS KEBIJAKAN 
PERTAMA LULUS TIDAK 
LULUS 
TIDAK 
LULUS 
1.558 611201081 
0830014 
174469 
1216 66113000144 MUS JUPRIADI 08-10-1983 PERENCANA PERTAMA PENYULUH KOPERASI ANALIS KEBIJAKAN 
PERTAMA LULUS LULUS LULUS 
1.559 610107131 
1850003 
211766 
9718 66113001120 MUSLIADI 13-11-1985 ANALIS KEBIJAKAN 
PERTAMA LULUS TIDAK 
LULUS 
TIDAK 
LULUS 
1.560 617105450 
2850006 
108437 
5186 66112000659 MUSLIMAH 05-02-1985 PENGADMINISTRASI UMUM PENYUSUN RISALAH LULUS LULUS TIDAK 
LULUS 
1.561 617104170 
7880004 
167770 
3071 66112000558 MUSTAKIM 17-07-1988 PERAWAT PELAKSANA LULUS TIDAK 
LULUS 
TIDAK 
LULUS 
1.562 610208221 
2880003 
188735 
9402 66113000409 MUSTAKIM 22-12-1988 GURU MATEMATIKA 
PERTAMA LULUS TIDAK 
LULUS 
TIDAK 
LULUS 
1.563 611209230 
9880002 
157021 
6303 66113001450 MUSTAPA 23-09-1988 PERENCANA PERTAMA PENYULUH KOPERASI ANALIS KERJASAMA DAN 
PERMODALAN LULUS LULUS LULUS 
1.564 611201430 
8850009 
156322 
0821 66113000627 MUSTIAWATI NINGSIH 03-08-1985 PERENCANA PERTAMA ANALIS ANGGARAN ANALIS KERJASAMA DAN 
PERMODALAN LULUS LULUS LULUS 
1.565 611201230 
7870007 
166207 
6783 66113000847 MUSTOFA 23-07-1987 GURU MATEMATIKA 
PERTAMA 
ANALIS KEBIJAKAN 
PERTAMA LULUS TIDAK 
LULUS 
TIDAK 
LULUS 
1.566 617101070 
9910007 
137692 
4063 66112000841 MUSTOPA 07-09-1991 VERIFIKATOR KEUANGAN LULUS TIDAK 
LULUS 
TIDAK 
LULUS 
1.567 617101420 
4910005 
142309 
4628 66113000944 MUTIA ANDARI 02-04-1991 MEDIATOR HUBUNGAN 
INDUSTRIAL PERTAMA 
PENGANTAR KERJA 
PERTAMA 
PENGAWAS 
KETENAGAKERJAAN 
PERTAMA 
LULUS LULUS LULUS 
1.568 617103600 
3810003 
196311 
1202 66113000828 MUTIA ELFIANI, SH 20-03-1981 MEDIATOR HUBUNGAN 
INDUSTRIAL PERTAMA 
PENGAWAS 
KETENAGAKERJAAN 
PERTAMA 
PERANCANG PERUNDANG-UNDANGAN 
PERTAMA LULUS LULUS LULUS 
1.569 611201541 
2840007 
175208 
7039 66113001009 MUTIA MAULIDYA, SH 14-12-1984 
PENGAWAS 
KETENAGAKERJAAN 
PERTAMA 
MEDIATOR HUBUNGAN 
INDUSTRIAL PERTAMA LULUS LULUS TIDAK 
LULUS 
1.570 617104570 
4880011 
181007 
6949 66113001593 MUTIA SARI 17-04-1988 ANALIS KERJASAMA DAN 
PERMODALAN PERENCANA PERTAMA PENYULUH KOPERASI LULUS LULUS LULUS 
1.571 610104700 
3880002 
132704 
5517 66113000926 NAHRUL HAYATI 30-03-1988 GURU SEJARAH PERTAMA ANALIS KEBIJAKAN 
PERTAMA LULUS TIDAK 
LULUS 
TIDAK 
LULUS 
1.572 617103291 
0880001 
124159 
8369 66113000504 NAHWAN NUR FIRDAUS 29-10-1988 ANALIS KERJASAMA DAN 
PERMODALAN PERENCANA PERTAMA ANALIS ANGGARAN LULUS LULUS LULUS 
1.573 617103660 
6800010 
205919 
7687 66113001019 NAILA CITRASARI 26-06-1980 ANALIS KEBIJAKAN 
PERTAMA LULUS TIDAK 
LULUS 
TIDAK 
LULUS 
1.574 611201411 
2840006 
175607 
2206 66113000429 NANA MAULIDIAH 01-12-1984 ANALIS KEBIJAKAN 
PERTAMA ANALIS ANGGARAN ANALIS KERJASAMA DAN 
PERMODALAN LULUS LULUS LULUS 
1.575 611202260 
1870001 
132890 
0689 66113000157 NANANG KOSIM 26-01-1987 GURU BAHASA INGGRIS 
PERTAMA SMP 
GURU BAHASA INGGRIS 
PERTAMA SMA 
ANALIS KEBIJAKAN 
PERTAMA LULUS LULUS TIDAK 
LULUS 
1.576 610101630 
1930002 
173056 
9123 66112000138 NANDA DISTRINA 23-01-1993 NUTRISIONIS PELAKSANA LULUS TIDAK 
LULUS 
TIDAK 
LULUS
NO NIK 
NO 
REGIST 
ER 
NO PESERTA NAMA TANGGAL 
LAHIR PILIHAN JABATAN 1 NAMA JABATAN 2 NAMA JABATAN 3 STATUS 
PILIHAN 1 
STATUS 
PILIHAN 2 
STATUS 
PILIHAN 3 
1.577 611201681 
2910001 
108688 
3595 66112000260 NANDA WULANSARI 28-12-1991 VERIFIKATOR KEUANGAN LULUS TIDAK 
LULUS 
TIDAK 
LULUS 
1.578 611201660 
5900003 
174608 
6325 66112000745 NANI ARYANI 26-05-1990 VERIFIKATOR KEUANGAN LULUS TIDAK 
LULUS 
TIDAK 
LULUS 
1.579 611209531 
0900004 
192733 
3514 66112000594 NANI NURAINI 13-10-1990 PERAWAT PELAKSANA LULUS TIDAK 
LULUS 
TIDAK 
LULUS 
1.580 611209510 
1900006 
115814 
3769 66113001249 NANI ROSDIANA 11-01-1990 GURU KIMIA PERTAMA ANALIS KEBIJAKAN 
PERTAMA LULUS TIDAK 
LULUS 
TIDAK 
LULUS 
1.581 617105490 
8910009 
180221 
5045 66112000670 NANI YUSTIAR 09-08-1991 PENGADMINISTRASI UMUM PENYUSUN RISALAH LULUS LULUS TIDAK 
LULUS 
1.582 610105670 
1890004 
146658 
6589 66112000177 NANIN 27-01-1989 NUTRISIONIS PELAKSANA LULUS TIDAK 
LULUS 
TIDAK 
LULUS 
1.583 611201020 
7840004 
190946 
2662 66113001368 NANO SUPRIYATNO 02-07-1984 ANALIS KEBIJAKAN 
PERTAMA LULUS TIDAK 
LULUS 
TIDAK 
LULUS 
1.584 611207501 
1880003 
136049 
0561 66113001879 NARWASTU 
LARASSATIE 10-11-1988 
PENGENDALI ORGANISME 
PENGGANGGU TUMBUHAN 
PERTAMA 
ANALIS KEBIJAKAN 
PERTAMA LULUS LULUS TIDAK 
LULUS 
1.585 611209410 
5820005 
192630 
8754 66112000215 NASRI WAHYUNI 01-05-1982 BIDAN PELAKSANA LULUS TIDAK 
LULUS 
TIDAK 
LULUS 
1.586 617103251 
2870010 
188355 
4873 66112000539 NASRUL ADITYA 
ANUGRAH 25-12-1986 PENGADMINISTRASI UMUM PENYUSUN RISALAH LULUS LULUS TIDAK 
LULUS 
1.587 610206651 
2820002 
110081 
2295 66112000741 NATALIA EKA ANDRIANI 25-12-1982 PENGADMINISTRASI UMUM LULUS TIDAK 
LULUS 
TIDAK 
LULUS 
1.588 611001441 
2910002 
197052 
3575 66113000223 NATALIA ESTER 04-12-1991 ANALIS KEBIJAKAN 
PERTAMA ANALIS ANGGARAN ANALIS KERJASAMA DAN 
PERMODALAN LULUS LULUS LULUS 
1.589 610804671 
2840003 
192708 
0364 66113001404 NATALIA SURIANTI 27-12-1984 ANALIS KEBIJAKAN 
PERTAMA PERENCANA PERTAMA ANALIS KERJASAMA DAN 
PERMODALAN LULUS LULUS LULUS 
1.590 617201590 
8920001 
151436 
9038 66112000409 NAVILLA RAVAIE 19-08-1992 BIDAN PELAKSANA LULUS TIDAK 
LULUS 
TIDAK 
LULUS 
1.591 617103170 
6880001 
210881 
3395 66113000591 NEKI FAHTOMIAJI 17-06-1988 GURU BIOLOGI PERTAMA GURU IPA PERTAMA LULUS LULUS TIDAK 
LULUS 
1.592 611201671 
0850002 
118885 
8876 66112000246 NELA PIOFACILE 27-10-1985 PENGADMINISTRASI UMUM PENYUSUN RISALAH LULUS LULUS TIDAK 
LULUS 
1.593 610501680 
5810001 
188922 
6359 66113000520 NELI 28-05-1981 GURU BAHASA INGGRIS 
PERTAMA SMP LULUS TIDAK 
LULUS 
TIDAK 
LULUS 
1.594 611209510 
4870002 
204210 
0986 66113000198 NELI AGUSTINI 11-04-1987 GURU SEJARAH PERTAMA LULUS TIDAK 
LULUS 
TIDAK 
LULUS 
1.595 617106590 
9900001 
164302 
3328 66112000505 NELLA AMALIA 19-09-1990 NUTRISIONIS PELAKSANA LULUS TIDAK 
LULUS 
TIDAK 
LULUS 
1.596 611201680 
8870014 
168954 
9948 66112000349 NELLA GUSTINI 28-08-1987 PENGADMINISTRASI UMUM PENYUSUN RISALAH LULUS LULUS TIDAK 
LULUS
NO NIK 
NO 
REGIST 
ER 
NO PESERTA NAMA TANGGAL 
LAHIR PILIHAN JABATAN 1 NAMA JABATAN 2 NAMA JABATAN 3 STATUS 
PILIHAN 1 
STATUS 
PILIHAN 2 
STATUS 
PILIHAN 3 
1.597 617105480 
3880006 
128771 
1063 66113000702 NELLI WIANSUCI 08-03-1988 GURU MATEMATIKA 
PERTAMA LULUS TIDAK 
LULUS 
TIDAK 
LULUS 
1.598 617106600 
7840001 
192463 
0564 66113001768 NELLY HERLENA 20-07-1984 GURU BAHASA INGGRIS 
PERTAMA SMP LULUS TIDAK 
LULUS 
TIDAK 
LULUS 
1.599 610703431 
2910002 
159497 
7485 66113000757 NELLY PUSPITA 
ANGGRAINI 03-12-1991 GURU MATEMATIKA 
PERTAMA LULUS TIDAK 
LULUS 
TIDAK 
LULUS 
1.600 611201660 
1870005 
192258 
9066 66113001505 NENENG JULPIANA, ST 26-01-1987 ANALIS KEBIJAKAN 
PERTAMA LULUS TIDAK 
LULUS 
TIDAK 
LULUS 
1.601 611209581 
1900002 
210083 
5704 66112000399 NENGSIH BR. SIREGAR 18-11-1990 BIDAN PELAKSANA LULUS TIDAK 
LULUS 
TIDAK 
LULUS 
1.602 617106541 
0850001 
177720 
8193 66112000765 NENI HARIYANTI 14-10-1985 NUTRISIONIS PELAKSANA LULUS TIDAK 
LULUS 
TIDAK 
LULUS 
1.603 617103420 
3860006 
202216 
3214 66113001032 NENI MARNIYATI 02-03-1986 GURU MATEMATIKA 
PERTAMA LULUS TIDAK 
LULUS 
TIDAK 
LULUS 
1.604 610108510 
1890004 
167829 
0395 66113000776 NENI QOMARIAH 11-01-1989 ANALIS KEBIJAKAN 
PERTAMA LULUS TIDAK 
LULUS 
TIDAK 
LULUS 
1.605 617105550 
3930005 
174190 
6490 66112000320 NENI SULASTRI 15-03-1993 VERIFIKATOR KEUANGAN LULUS TIDAK 
LULUS 
TIDAK 
LULUS 
1.606 611201640 
6910005 
148052 
9984 66112000241 NENI YUNIAR 24-06-1991 BIDAN PELAKSANA LULUS TIDAK 
LULUS 
TIDAK 
LULUS 
1.607 617104450 
4890015 
208932 
6010 66113000809 NENNY APRIYANTI 05-04-1989 GURU MATEMATIKA 
PERTAMA 
ANALIS KEBIJAKAN 
PERTAMA LULUS TIDAK 
LULUS 
TIDAK 
LULUS 
1.608 617102530 
1850009 
150221 
9900 66113000830 NENNY HENDAYANI, 
S.P. 13-01-1985 ANALIS KEBIJAKAN 
PERTAMA LULUS TIDAK 
LULUS 
TIDAK 
LULUS 
1.609 617101410 
4830018 
160631 
8003 66113001808 NENY APRIANI 01-04-1983 PENATA RUANG PERTAMA ANALIS KEBIJAKAN 
PERTAMA 
SURVEYOR PEMETAAN 
PERTAMA LULUS LULUS LULUS 
1.610 610212550 
8920001 
122305 
8181 66112000020 NETA RIYANA 15-08-1992 NUTRISIONIS PELAKSANA LULUS TIDAK 
LULUS 
TIDAK 
LULUS 
1.611 617106490 
4800001 
212338 
0047 66113000924 NETI IRAWATI, S. PD 09-04-1980 GURU MATEMATIKA 
PERTAMA LULUS TIDAK 
LULUS 
TIDAK 
LULUS 
1.612 617101561 
0890008 
206379 
4524 66113001235 NETTY MAULINA.SS 16-10-1989 ANALIS KERJASAMA DAN 
PERMODALAN PENYULUH KOPERASI ANALIS KEBIJAKAN 
PERTAMA LULUS LULUS LULUS 
1.613 610201500 
7870006 
214067 
2739 66113000385 NETTY SUMARNI 10-07-1987 SURVEYOR PEMETAAN 
PERTAMA PENATA RUANG PERTAMA ANALIS KEBIJAKAN 
PERTAMA LULUS LULUS LULUS 
1.614 617104460 
4870015 
104834 
1780 66113001598 NI MADE CANDRA 
SANJANI 06-04-1987 ANALIS ANGGARAN ANALIS KERJASAMA DAN 
PERMODALAN 
ANALIS KEBIJAKAN 
PERTAMA LULUS LULUS LULUS 
1.615 617103591 
2820005 
192252 
1454 66113000693 NI MADE DIAH 
ANGGRENI 19-12-1982 GURU MATEMATIKA 
PERTAMA LULUS TIDAK 
LULUS 
TIDAK 
LULUS 
1.616 611203641 
0890002 
158408 
7613 66113001372 NIA ELISA PEGAS 24-10-1989 PENYULUH KOPERASI PERENCANA PERTAMA ANALIS KERJASAMA DAN 
PERMODALAN LULUS LULUS LULUS
NO NIK 
NO 
REGIST 
ER 
NO PESERTA NAMA TANGGAL 
LAHIR PILIHAN JABATAN 1 NAMA JABATAN 2 NAMA JABATAN 3 STATUS 
PILIHAN 1 
STATUS 
PILIHAN 2 
STATUS 
PILIHAN 3 
1.617 357701590 
7910001 
204985 
5826 66113001308 NIA SURYA WIJAYANTI 19-07-1991 GURU IPA PERTAMA GURU BIOLOGI PERTAMA LULUS LULUS TIDAK 
LULUS 
1.618 610108550 
6870003 
193788 
3151 66112000367 NIAR PURNAMASARI 15-06-1987 PENGADMINISTRASI UMUM LULUS TIDAK 
LULUS 
TIDAK 
LULUS 
1.619 617103460 
5850010 
124432 
2727 66113001666 NIATURRAHMAH 06-05-1985 PRANATA KOMPUTER 
PERTAMA 
ANALIS KEBIJAKAN 
PERTAMA LULUS LULUS TIDAK 
LULUS 
1.620 617101560 
5940004 
182892 
9261 66112000039 NICKHITA MELATI 
MONTANA 16-05-1994 NUTRISIONIS PELAKSANA LULUS TIDAK 
LULUS 
TIDAK 
LULUS 
1.621 611201710 
7850003 
131218 
5927 66113001633 NIKA WAHYUNI 31-07-1985 GURU BAHASA INGGRIS 
PERTAMA SMP LULUS TIDAK 
LULUS 
TIDAK 
LULUS 
1.622 610417681 
2870006 
146716 
2048 66113001399 NIKAWATI, S.PD 28-12-1987 GURU KIMIA PERTAMA LULUS TIDAK 
LULUS 
TIDAK 
LULUS 
1.623 611203251 
2920003 
127149 
3643 66112000814 NIKKOLAS FASKALIS 21-03-1992 PERAWAT PELAKSANA LULUS TIDAK 
LULUS 
TIDAK 
LULUS 
1.624 617105101 
2840009 
165178 
5884 66113000637 NIKOLAUS LUMA KIKI 10-12-1984 ANALIS KEBIJAKAN 
PERTAMA LULUS TIDAK 
LULUS 
TIDAK 
LULUS 
1.625 611209440 
8910003 
202798 
2785 66113000184 NINA ANGRENI 04-08-1991 GURU BAHASA INGGRIS 
PERTAMA SMP 
ANALIS KEBIJAKAN 
PERTAMA 
GURU BAHASA INGGRIS 
PERTAMA SMA LULUS TIDAK 
LULUS LULUS 
1.626 611201640 
9890003 
177053 
7801 66112000463 NINA SAFARINA 24-09-1989 VERIFIKATOR KEUANGAN LULUS TIDAK 
LULUS 
TIDAK 
LULUS 
1.627 617103701 
1880006 
209363 
9005 66113000296 NINA SUFIYANA 30-11-1988 GURU SEJARAH PERTAMA LULUS TIDAK 
LULUS 
TIDAK 
LULUS 
1.628 617103540 
4810007 
148489 
6820 66113000698 NINI HIJRIANI 14-04-1981 GURU BAHASA INGGRIS 
PERTAMA SMP 
GURU BAHASA INGGRIS 
PERTAMA SMA 
ANALIS KEBIJAKAN 
PERTAMA LULUS LULUS TIDAK 
LULUS 
1.629 617104560 
9850014 
137456 
0326 66113000589 NINI LESTARI 16-09-1985 ANALIS KEBIJAKAN 
PERTAMA LULUS TIDAK 
LULUS 
TIDAK 
LULUS 
1.630 617103510 
6830007 
166079 
0683 66113001901 NISRINA 11-06-1983 APOTEKER PERTAMA ANALIS KEBIJAKAN 
PERTAMA LULUS TIDAK 
LULUS 
TIDAK 
LULUS 
1.631 331614701 
1920001 
129685 
9904 66113001469 NISSA LISTYA UTAMI 30-11-1992 GURU IPA PERTAMA GURU FISIKA PERTAMA ANALIS KEBIJAKAN 
PERTAMA LULUS LULUS TIDAK 
LULUS 
1.632 611209650 
2900006 
112155 
1236 66113001764 NISWATUS SHALIHAH 25-02-1990 GURU SEJARAH PERTAMA LULUS TIDAK 
LULUS 
TIDAK 
LULUS 
1.633 331312711 
0840001 
146969 
8888 66113001711 NITA OKTAVIA ADIYANI 31-10-1984 APOTEKER PERTAMA ANALIS KEBIJAKAN 
PERTAMA LULUS TIDAK 
LULUS 
TIDAK 
LULUS 
1.634 610102620 
9870003 
130311 
4265 66112000540 NITA PRATIWI 
LESTARI,A.MD.GIZI 22-09-1987 NUTRISIONIS PELAKSANA LULUS TIDAK 
LULUS 
TIDAK 
LULUS 
1.635 617103441 
1820009 
180022 
8623 66113001849 NIVERA SATRYA 
DELIMA SIRAIT 04-11-1982 ANALIS KEBIJAKAN 
PERTAMA LULUS TIDAK 
LULUS 
TIDAK 
LULUS 
1.636 617105470 
9810007 
165917 
0087 66113001323 NIZA NURLIANA, SH 07-09-1981 ANALIS KEBIJAKAN 
PERTAMA LULUS TIDAK 
LULUS 
TIDAK 
LULUS
NO NIK 
NO 
REGIST 
ER 
NO PESERTA NAMA TANGGAL 
LAHIR PILIHAN JABATAN 1 NAMA JABATAN 2 NAMA JABATAN 3 STATUS 
PILIHAN 1 
STATUS 
PILIHAN 2 
STATUS 
PILIHAN 3 
1.637 611207441 
1880003 
212781 
0989 66113000728 NOERMALA NOVA 
SIRLY LUDIANA 04-11-1988 GURU MATEMATIKA 
PERTAMA 
ANALIS KEBIJAKAN 
PERTAMA LULUS TIDAK 
LULUS 
TIDAK 
LULUS 
1.638 611201421 
1850009 
186051 
4550 66112000450 NOFA HARDIANTY 02-11-1985 NUTRISIONIS PELAKSANA LULUS TIDAK 
LULUS 
TIDAK 
LULUS 
1.639 617103560 
8920008 
115966 
2667 66112000226 NOFIA SETYAWATI 16-08-1992 NUTRISIONIS PELAKSANA LULUS TIDAK 
LULUS 
TIDAK 
LULUS 
1.640 617103641 
0910004 
179633 
3071 66112000247 NOLLY NOVICASARI 24-10-1991 BIDAN PELAKSANA LULUS TIDAK 
LULUS 
TIDAK 
LULUS 
1.641 617101490 
7820009 
139919 
0065 66113001007 NONI HARFIYANTI 09-07-1982 PENGENDALI DAMPAK 
LINGKUNGAN PERTAMA 
PENGAWAS LINGKUNGAN 
HIDUP PERTAMA 
ANALIS KEBIJAKAN 
PERTAMA LULUS LULUS LULUS 
1.642 611209031 
1840007 
180562 
8755 66113000274 NOPAN DWIKASNI 03-11-1984 ANALIS KEBIJAKAN 
PERTAMA LULUS TIDAK 
LULUS 
TIDAK 
LULUS 
1.643 617105420 
5910006 
187690 
9668 66113000794 NOR PAISAH 02-05-1991 GURU BAHASA INDONESIA 
PERTAMA LULUS TIDAK 
LULUS 
TIDAK 
LULUS 
1.644 617105640 
8870002 
149458 
8024 66113000090 NORMA KHOTIJAH 24-08-1987 GURU SEJARAH PERTAMA ANALIS KEBIJAKAN 
PERTAMA LULUS TIDAK 
LULUS 
TIDAK 
LULUS 
1.645 610717540 
4910001 
166216 
2805 66113000865 NORMA PANGESTUTI 14-04-1991 GURU MATEMATIKA 
PERTAMA LULUS TIDAK 
LULUS 
TIDAK 
LULUS 
1.646 610115471 
0870002 
209816 
5532 66113001020 NORMA SULASTRI 07-10-1987 ANALIS KEBIJAKAN 
PERTAMA LULUS TIDAK 
LULUS 
TIDAK 
LULUS 
1.647 610310140 
7840001 
149313 
3339 66113000602 NORMAN FITRAH 14-07-1984 ANALIS KEBIJAKAN 
PERTAMA 
ANALIS KERJASAMA DAN 
PERMODALAN PENYULUH KOPERASI LULUS LULUS LULUS 
1.648 617104610 
7870004 
208485 
0743 66112000570 NOVA JULIANTI 21-07-1988 PENGADMINISTRASI UMUM PENYUSUN RISALAH LULUS LULUS TIDAK 
LULUS 
1.649 611209141 
1920003 
136755 
2064 66112000221 NOVA SAPUTRA 14-11-1992 PERAWAT PELAKSANA LULUS TIDAK 
LULUS 
TIDAK 
LULUS 
1.650 610306411 
1890001 
108701 
3575 66113000674 NOVA YURIKA TRIANA 01-11-1989 GURU SEJARAH PERTAMA LULUS TIDAK 
LULUS 
TIDAK 
LULUS 
1.651 120811411 
2910001 
122505 
3113 66112000691 NOVE INDAH YANI 
MANURUNG 01-12-1991 BIDAN PELAKSANA LULUS TIDAK 
LULUS 
TIDAK 
LULUS 
1.652 617103631 
1870012 
172272 
4286 66113000838 NOVI ARDIYANTI 23-11-1987 GURU IPA PERTAMA GURU BIOLOGI PERTAMA ANALIS KEBIJAKAN 
PERTAMA LULUS LULUS TIDAK 
LULUS 
1.653 617204491 
1870002 
190468 
5986 66112000404 NOVI AVRIANTI 09-11-1987 PERAWAT PELAKSANA LULUS TIDAK 
LULUS 
TIDAK 
LULUS 
1.654 617101691 
1870005 
199898 
5903 66112000304 NOVI CAHYANI 29-11-1987 BIDAN PELAKSANA LULUS TIDAK 
LULUS 
TIDAK 
LULUS 
1.655 617103470 
3840012 
121538 
5538 66113000935 NOVI FEBRIYANTI 07-03-1984 ANALIS KEBIJAKAN 
PERTAMA PENYULUH KOPERASI ANALIS KERJASAMA DAN 
PERMODALAN LULUS LULUS LULUS 
1.656 611201591 
1850004 
153933 
7180 66113000590 NOVI GIOWATI 19-11-1985 GURU BAHASA INGGRIS 
PERTAMA SMP 
GURU BAHASA INGGRIS 
PERTAMA SMA 
ANALIS KEBIJAKAN 
PERTAMA LULUS LULUS TIDAK 
LULUS
NO NIK 
NO 
REGIST 
ER 
NO PESERTA NAMA TANGGAL 
LAHIR PILIHAN JABATAN 1 NAMA JABATAN 2 NAMA JABATAN 3 STATUS 
PILIHAN 1 
STATUS 
PILIHAN 2 
STATUS 
PILIHAN 3 
1.657 611201631 
1830007 
151136 
3896 66113001829 NOVI LIBERTY,SP 23-11-1983 
PENGENDALI ORGANISME 
PENGGANGGU TUMBUHAN 
PERTAMA 
ANALIS KEBIJAKAN 
PERTAMA 
TIDAK 
LULUS LULUS TIDAK 
LULUS 
1.658 617105691 
1870002 
155650 
5728 66113000851 NOVI MARSELA 29-11-1987 GURU SEJARAH PERTAMA LULUS TIDAK 
LULUS 
TIDAK 
LULUS 
1.659 611207201 
1880001 
172843 
5624 66113000814 NOVI TRIANTO 20-11-1988 DOKTER PERTAMA LULUS TIDAK 
LULUS 
TIDAK 
LULUS 
1.660 610306411 
1890002 
187104 
0261 66113001258 NOVI YURIKA TRIANI 01-11-1989 GURU SEJARAH PERTAMA LULUS TIDAK 
LULUS 
TIDAK 
LULUS 
1.661 617105561 
1910003 
201179 
4929 66112000211 NOVIA PERMATA 
SABATINI 16-11-1991 NUTRISIONIS PELAKSANA LULUS TIDAK 
LULUS 
TIDAK 
LULUS 
1.662 617105521 
1910001 
175388 
0378 66112000620 NOVIA RATNA SARI 12-11-1991 VERIFIKATOR KEUANGAN LULUS TIDAK 
LULUS 
TIDAK 
LULUS 
1.663 611201011 
1870007 
190187 
1663 66113001121 NOVIAN BAYU 
HERLINGGA 01-11-1987 PERANCANG PERUNDANG-UNDANGAN 
PERTAMA 
PENGAWAS 
KETENAGAKERJAAN 
PERTAMA 
ANALIS KEBIJAKAN 
PERTAMA LULUS LULUS LULUS 
1.664 617102531 
1870003 
174540 
7529 66113000092 NOVIANA 11-01-1987 GURU MATEMATIKA 
PERTAMA 
ANALIS KEBIJAKAN 
PERTAMA LULUS TIDAK 
LULUS 
TIDAK 
LULUS 
1.665 617103691 
1900009 
214620 
1887 66112000637 NOVIANA SULISKAWATI 29-11-1990 PENGADMINISTRASI UMUM PENYUSUN RISALAH LULUS LULUS TIDAK 
LULUS 
1.666 610101591 
1890002 
176887 
2272 66112000542 NOVIANTI 19-11-1989 BIDAN PELAKSANA LULUS TIDAK 
LULUS 
TIDAK 
LULUS 
1.667 617104521 
1840005 
196244 
4468 66113001040 NOVIANTI SAFARINI 12-11-1984 PEKERJA SOSIAL PERTAMA PENYULUH SOSIAL 
PERTAMA 
ANALIS KEBIJAKAN 
PERTAMA LULUS LULUS LULUS 
1.668 331909261 
1900001 
153213 
7075 66112000129 NOVIDA PAMUNGKAS 26-11-1990 PERAWAT PELAKSANA LULUS TIDAK 
LULUS 
TIDAK 
LULUS 
1.669 617101701 
1800009 
140696 
7488 66112000599 NOVIE RAFIANTI 30-11-1980 PENGADMINISTRASI UMUM PENYUSUN RISALAH LULUS LULUS TIDAK 
LULUS 
1.670 617105651 
1890007 
203208 
1869 66113000697 NOVIEN DITA TIARA 25-11-1989 GURU BAHASA INGGRIS 
PERTAMA SMP 
GURU BAHASA INGGRIS 
PERTAMA SMA 
ANALIS KEBIJAKAN 
PERTAMA LULUS LULUS TIDAK 
LULUS 
1.671 610208551 
1860007 
131711 
3586 66113000756 NOVITA 15-11-1986 GURU MATEMATIKA 
PERTAMA 
ANALIS KEBIJAKAN 
PERTAMA LULUS TIDAK 
LULUS 
TIDAK 
LULUS 
1.672 611209701 
1860002 
166402 
7932 66113000793 NOVITA ARYUNTINI 30-11-1986 GURU BAHASA INGGRIS 
PERTAMA SMP 
GURU BAHASA INGGRIS 
PERTAMA SMA LULUS LULUS TIDAK 
LULUS 
1.673 617105651 
1890003 
116206 
5193 66112000225 NOVITA AYU PUTRI 
HARYATI 25-11-1989 PENGADMINISTRASI UMUM LULUS TIDAK 
LULUS 
TIDAK 
LULUS 
1.674 617103511 
1890510 
169115 
1445 66113000835 NOVITA LESTARI 11-11-1989 GURU MATEMATIKA 
PERTAMA 
ANALIS KEBIJAKAN 
PERTAMA LULUS TIDAK 
LULUS 
TIDAK 
LULUS 
1.675 617102530 
5900002 
172954 
1601 66113000767 NOVITA SARI 13-05-1990 GURU MATEMATIKA 
PERTAMA 
ANALIS KEBIJAKAN 
PERTAMA LULUS TIDAK 
LULUS 
TIDAK 
LULUS 
1.676 611209471 
1870006 
188599 
0367 66113001322 NOVITA SARI 07-11-1987 GURU BAHASA INDONESIA 
PERTAMA LULUS TIDAK 
LULUS 
TIDAK 
LULUS
NO NIK 
NO 
REGIST 
ER 
NO PESERTA NAMA TANGGAL 
LAHIR PILIHAN JABATAN 1 NAMA JABATAN 2 NAMA JABATAN 3 STATUS 
PILIHAN 1 
STATUS 
PILIHAN 2 
STATUS 
PILIHAN 3 
1.677 617101481 
1870009 
152215 
9934 66112000683 NOVITASARI 08-11-1987 PENGADMINISTRASI UMUM PENYUSUN RISALAH LULUS LULUS TIDAK 
LULUS 
1.678 611203131 
1860003 
125616 
3110 66113000230 NOVIYARDI 13-11-1986 ANALIS KEBIJAKAN 
PERTAMA ANALIS ANGGARAN PENYULUH KOPERASI LULUS LULUS LULUS 
1.679 610701231 
1900001 
138114 
6984 66113000930 NOVRIANSYAH 23-11-1990 PRANATA KOMPUTER 
PERTAMA 
ANALIS KEBIJAKAN 
PERTAMA LULUS LULUS TIDAK 
LULUS 
1.680 617105420 
3880007 
202055 
3673 66112000720 NUNIK PRAMITA 02-03-1988 NUTRISIONIS PELAKSANA LULUS TIDAK 
LULUS 
TIDAK 
LULUS 
1.681 611205550 
5890004 
193955 
4301 66113001099 NUNING SUHARTI 15-05-1989 PEKERJA SOSIAL PERTAMA PENYULUH SOSIAL 
PERTAMA 
ANALIS KEBIJAKAN 
PERTAMA LULUS LULUS LULUS 
1.682 617205611 
0890004 
169270 
5309 66113001379 NUNU ANUGRAH 21-10-1989 ANALIS KEBIJAKAN 
PERTAMA LULUS TIDAK 
LULUS 
TIDAK 
LULUS 
1.683 617104560 
5820011 
102692 
1069 66113000260 NUNUK HERAWATI S.P. 16-05-1982 ANALIS KEBIJAKAN 
PERTAMA LULUS TIDAK 
LULUS 
TIDAK 
LULUS 
1.684 610201561 
0900002 
193048 
6746 66112000054 NUNUNG RIZKI 16-10-1990 BIDAN PELAKSANA LULUS TIDAK 
LULUS 
TIDAK 
LULUS 
1.685 611207410 
1920005 
132561 
6403 66112000444 NUR AFIFAH 01-01-1992 BIDAN PELAKSANA LULUS TIDAK 
LULUS 
TIDAK 
LULUS 
1.686 611209620 
3840004 
101685 
6240 66112000376 NUR AMBRIANI 22-03-1984 BIDAN PELAKSANA LULUS TIDAK 
LULUS 
TIDAK 
LULUS 
1.687 617101151 
1890006 
210190 
9118 66113001374 NUR BASKORO 15-11-1989 ANALIS KEBIJAKAN 
PERTAMA LULUS TIDAK 
LULUS 
TIDAK 
LULUS 
1.688 611201480 
7880010 
194242 
9141 66113001132 NUR ENDAH 
YUDIASTUTI 08-07-1988 ANALIS KEBIJAKAN 
PERTAMA PERENCANA PERTAMA ANALIS ANGGARAN LULUS LULUS LULUS 
1.689 617103630 
2900004 
120338 
1136 66112000100 NUR FIBRY RAMBANI 23-02-1990 VERIFIKATOR KEUANGAN LULUS TIDAK 
LULUS 
TIDAK 
LULUS 
1.690 610101680 
7920003 
194732 
4824 66112000183 NUR FUTRI 28-07-1992 PERAWAT PELAKSANA LULUS TIDAK 
LULUS 
TIDAK 
LULUS 
1.691 610201421 
1910001 
168761 
7083 66113000411 NUR GAYATRI 
JATININGRUM 02-11-1991 GURU MATEMATIKA 
PERTAMA LULUS TIDAK 
LULUS 
TIDAK 
LULUS 
1.692 610104560 
7870004 
148741 
9404 66112000608 NUR HADIATIK 17-07-1987 BIDAN PELAKSANA LULUS TIDAK 
LULUS 
TIDAK 
LULUS 
1.693 611201540 
1900009 
190013 
9898 66112000274 NUR HALIMAH 14-01-1990 BIDAN PELAKSANA LULUS TIDAK 
LULUS 
TIDAK 
LULUS 
1.694 611201681 
2860004 
138292 
5161 66113000386 NUR HASANAH 28-12-1986 PENATA RUANG PERTAMA SURVEYOR PEMETAAN 
PERTAMA 
ANALIS KEBIJAKAN 
PERTAMA LULUS LULUS LULUS 
1.695 611201500 
9910014 
178585 
7825 66112000756 NUR HAVVIZA 10-09-1991 PERAWAT PELAKSANA LULUS TIDAK 
LULUS 
TIDAK 
LULUS 
1.696 611201560 
1890014 
207255 
7496 66113000966 NUR INDAH SARI 16-01-1989 GURU MATEMATIKA 
PERTAMA 
ANALIS KEBIJAKAN 
PERTAMA LULUS TIDAK 
LULUS 
TIDAK 
LULUS
NO NIK 
NO 
REGIST 
ER 
NO PESERTA NAMA TANGGAL 
LAHIR PILIHAN JABATAN 1 NAMA JABATAN 2 NAMA JABATAN 3 STATUS 
PILIHAN 1 
STATUS 
PILIHAN 2 
STATUS 
PILIHAN 3 
1.697 617101600 
3870006 
168848 
9239 66112000310 NUR INSAN 20-09-1987 PERAWAT PELAKSANA LULUS TIDAK 
LULUS 
TIDAK 
LULUS 
1.698 617104560 
2820005 
167820 
9092 66113001290 NUR JANAH 16-02-1982 ANALIS KEBIJAKAN 
PERTAMA 
PENGAWAS 
KETENAGAKERJAAN 
PERTAMA 
MEDIATOR HUBUNGAN 
INDUSTRIAL PERTAMA LULUS LULUS LULUS 
1.699 611201690 
5920002 
120699 
7365 66113000800 NUR METASARI 29-05-1992 GURU BAHASA INDONESIA 
PERTAMA LULUS TIDAK 
LULUS 
TIDAK 
LULUS 
1.700 610302620 
6910001 
106637 
9128 66113000859 NUR RIZKA 22-06-1991 GURU MATEMATIKA 
PERTAMA LULUS TIDAK 
LULUS 
TIDAK 
LULUS 
1.701 611207470 
7870003 
144025 
4298 66113000147 NUR RIZKIYAH 07-07-1987 ANALIS KEBIJAKAN 
PERTAMA LULUS TIDAK 
LULUS 
TIDAK 
LULUS 
1.702 617101480 
3900001 
135128 
7018 66112000672 NUR SANTIA NINGRUM 08-03-1990 PENGADMINISTRASI UMUM PENYUSUN RISALAH LULUS LULUS TIDAK 
LULUS 
1.703 320920550 
2870008 
141098 
4476 66113001544 NUR TRI KARTINI 15-02-1987 GURU SEJARAH PERTAMA LULUS TIDAK 
LULUS 
TIDAK 
LULUS 
1.704 330601570 
7890003 
199323 
9743 66113001664 NUR UJI ROKHANI 17-07-1989 ANALIS KEBIJAKAN 
PERTAMA LULUS TIDAK 
LULUS 
TIDAK 
LULUS 
1.705 617106520 
5910001 
184945 
2651 66113001087 NUR ZUHRUFI 12-05-1991 PUSTAKAWAN PERTAMA ANALIS KEBIJAKAN 
PERTAMA LULUS LULUS TIDAK 
LULUS 
1.706 617102561 
2850003 
126806 
7368 66113001280 NURAISYAH ANWAR 16-12-1985 GURU MATEMATIKA 
PERTAMA 
ANALIS KEBIJAKAN 
PERTAMA LULUS TIDAK 
LULUS 
TIDAK 
LULUS 
1.707 610215520 
2920001 
165223 
2197 66112000504 NURAZIKIN 12-02-1992 PERAWAT PELAKSANA LULUS TIDAK 
LULUS 
TIDAK 
LULUS 
1.708 617102681 
2840001 
148316 
6979 66112000527 NURAZMI,A.MD 28-12-1984 VERIFIKATOR KEUANGAN LULUS TIDAK 
LULUS 
TIDAK 
LULUS 
1.709 611201410 
4850017 
169542 
3591 66113001825 NURBAETI 01-04-1985 PERENCANA PERTAMA ANALIS ANGGARAN PENYULUH KOPERASI LULUS LULUS LULUS 
1.710 610208551 
1930002 
212973 
2903 66112000075 NURBAITI 15-11-1993 NUTRISIONIS PELAKSANA LULUS TIDAK 
LULUS 
TIDAK 
LULUS 
1.711 617106560 
5900001 
205001 
1849 66112000111 NURBANI 16-05-1990 PENGADMINISTRASI UMUM PENYUSUN RISALAH LULUS LULUS TIDAK 
LULUS 
1.712 617103560 
3830016 
185845 
6800 66113000432 NURBANI,S.PD 16-03-1983 GURU BAHASA INGGRIS 
PERTAMA SMP 
GURU BAHASA INGGRIS 
PERTAMA SMA LULUS LULUS TIDAK 
LULUS 
1.713 610102501 
1920004 
114839 
8505 66112000603 NURDIANA 10-11-1992 NUTRISIONIS PELAKSANA LULUS TIDAK 
LULUS 
TIDAK 
LULUS 
1.714 617103010 
1830016 
105581 
0173 66113001224 NURDIANSYAH,SH 01-01-1983 ANALIS KEBIJAKAN 
PERTAMA 
PENGAWAS 
KETENAGAKERJAAN 
PERTAMA 
PERANCANG PERUNDANG-UNDANGAN 
PERTAMA LULUS LULUS LULUS 
1.715 617103500 
6880006 
175008 
4508 66113000205 NURFADILAH 10-06-1988 GURU IPA PERTAMA ANALIS KEBIJAKAN 
PERTAMA GURU BIOLOGI PERTAMA LULUS TIDAK 
LULUS LULUS 
1.716 617202541 
0790002 
182453 
6317 66113001347 NURFAH LENI,SH 14-10-1979 MEDIATOR HUBUNGAN 
INDUSTRIAL PERTAMA 
PENGAWAS 
KETENAGAKERJAAN 
PERTAMA 
LULUS LULUS TIDAK 
LULUS
NO NIK 
NO 
REGIST 
ER 
NO PESERTA NAMA TANGGAL 
LAHIR PILIHAN JABATAN 1 NAMA JABATAN 2 NAMA JABATAN 3 STATUS 
PILIHAN 1 
STATUS 
PILIHAN 2 
STATUS 
PILIHAN 3 
1.717 617103681 
2870009 
125396 
8635 66113001075 NURFAHLIMA 28-12-1987 ANALIS KEBIJAKAN 
PERTAMA 
PRANATA KOMPUTER 
PERTAMA LULUS LULUS TIDAK 
LULUS 
1.718 617104601 
1890002 
133526 
4177 66113001797 NURFITRI AMINA 20-11-1989 GURU MATEMATIKA 
PERTAMA LULUS TIDAK 
LULUS 
TIDAK 
LULUS 
1.719 617102491 
1870001 
113081 
9908 66113001196 NURHASANAH 09-11-1987 ANALIS KEBIJAKAN 
PERTAMA LULUS TIDAK 
LULUS 
TIDAK 
LULUS 
1.720 611201500 
6900006 
158134 
3854 66113001261 NURHASANAH 10-06-1990 GURU BAHASA INDONESIA 
PERTAMA LULUS TIDAK 
LULUS 
TIDAK 
LULUS 
1.721 610715690 
3820001 
158732 
6126 66112000806 NURHAYATI 29-03-1982 PENGADMINISTRASI UMUM PENYUSUN RISALAH LULUS LULUS TIDAK 
LULUS 
1.722 617201680 
7860001 
214695 
1667 66113000101 NURHAYATI 28-07-1986 PRANATA KOMPUTER 
PERTAMA 
ANALIS KEBIJAKAN 
PERTAMA LULUS LULUS TIDAK 
LULUS 
1.723 610101510 
3860004 
131714 
4599 66113000382 NURHAYATI 11-03-1986 PERENCANA PERTAMA PENYULUH KOPERASI ANALIS ANGGARAN LULUS LULUS LULUS 
1.724 611209460 
6890005 
110640 
9361 66113000489 NURHAYATI 06-06-1989 PERENCANA PERTAMA LULUS TIDAK 
LULUS 
TIDAK 
LULUS 
1.725 617105630 
5820012 
130612 
4939 66113000734 NURHAYATI 23-05-1982 PENGANTAR KERJA 
PERTAMA 
MEDIATOR HUBUNGAN 
INDUSTRIAL PERTAMA 
PENGAWAS 
KETENAGAKERJAAN 
PERTAMA 
LULUS LULUS LULUS 
1.726 611203480 
4900004 
196186 
3633 66113001023 NURHAYATI 08-04-1990 ANALIS KEBIJAKAN 
PERTAMA LULUS TIDAK 
LULUS 
TIDAK 
LULUS 
1.727 611209410 
7890429 
179604 
7706 66113000711 NURHAYATI 04-06-1989 GURU BAHASA INDONESIA 
PERTAMA 
ANALIS KEBIJAKAN 
PERTAMA LULUS TIDAK 
LULUS 
TIDAK 
LULUS 
1.728 120919550 
7930004 
131587 
2133 66112000251 NURHAYATI NOVITA 
ELISABET SIHOMBING 15-11-1993 BIDAN PELAKSANA LULUS TIDAK 
LULUS 
TIDAK 
LULUS 
1.729 611209570 
6870002 
134235 
9640 66113000439 NURHIDAYATI 25-06-1987 GURU BAHASA INGGRIS 
PERTAMA SMP LULUS TIDAK 
LULUS 
TIDAK 
LULUS 
1.730 611209670 
3910002 
124991 
9374 66112000213 NURI RAHAYUNI 27-03-1991 NUTRISIONIS PELAKSANA LULUS TIDAK 
LULUS 
TIDAK 
LULUS 
1.731 610501681 
0820004 
140152 
2140 66113000107 NURICA MARGEYANTI 
SINTA OKTAVIA 28-10-1982 APOTEKER PERTAMA LULUS TIDAK 
LULUS 
TIDAK 
LULUS 
1.732 617103460 
2840002 
205761 
4005 66112000786 NURIKA HASANAH 06-02-1984 PENGADMINISTRASI UMUM PENYUSUN RISALAH LULUS LULUS TIDAK 
LULUS 
1.733 617103430 
7900001 
147922 
5809 66113000393 NURILIL HAWA DESI 03-07-1990 GURU MATEMATIKA 
PERTAMA 
ANALIS KEBIJAKAN 
PERTAMA LULUS TIDAK 
LULUS 
TIDAK 
LULUS 
1.734 610201541 
2900001 
171107 
3630 66112000223 NURIMA, A.MD.KEP 14-12-1990 PERAWAT PELAKSANA LULUS TIDAK 
LULUS 
TIDAK 
LULUS 
1.735 617103561 
0890012 
212106 
9784 66113000706 NURJANA 16-10-1989 GURU MATEMATIKA 
PERTAMA 
ANALIS KEBIJAKAN 
PERTAMA LULUS TIDAK 
LULUS 
TIDAK 
LULUS 
1.736 617105690 
4900003 
194972 
2276 66113000982 NURJANNAH HASIBUAN 29-04-1990 PRANATA KOMPUTER 
PERTAMA 
ANALIS KEBIJAKAN 
PERTAMA LULUS LULUS TIDAK 
LULUS
NO NIK 
NO 
REGIST 
ER 
NO PESERTA NAMA TANGGAL 
LAHIR PILIHAN JABATAN 1 NAMA JABATAN 2 NAMA JABATAN 3 STATUS 
PILIHAN 1 
STATUS 
PILIHAN 2 
STATUS 
PILIHAN 3 
1.737 617106540 
2820001 
145904 
5487 66113001728 NURJAYANTI 14-02-1982 ANALIS KEBIJAKAN 
PERTAMA LULUS TIDAK 
LULUS 
TIDAK 
LULUS 
1.738 610218690 
7910003 
198134 
3501 66113001882 NURKAMARIAH 29-07-1991 GURU MATEMATIKA 
PERTAMA 
ANALIS KEBIJAKAN 
PERTAMA LULUS TIDAK 
LULUS 
TIDAK 
LULUS 
1.739 617105540 
1900010 
140862 
6947 66113000545 NURKHADIJAH RAMBE 14-01-1990 GURU BAHASA INGGRIS 
PERTAMA SMP 
GURU BAHASA INGGRIS 
PERTAMA SMA 
ANALIS KEBIJAKAN 
PERTAMA LULUS LULUS TIDAK 
LULUS 
1.740 350912600 
5800003 
169791 
5263 66112000519 NURLAILA 20-05-1980 PENGADMINISTRASI UMUM PENYUSUN RISALAH LULUS LULUS TIDAK 
LULUS 
1.741 611207570 
8900003 
200211 
6320 66112000597 NURLAILIYAH 
MERDEKAWATI 17-08-1990 BIDAN PELAKSANA LULUS TIDAK 
LULUS 
TIDAK 
LULUS 
1.742 611201710 
5900003 
105216 
1133 66113001787 NURLAILY JUMRATI 
HANDAYANI 31-05-1990 ANALIS ANGGARAN PERENCANA PERTAMA ANALIS KERJASAMA DAN 
PERMODALAN LULUS LULUS LULUS 
1.743 617101690 
1870001 
133594 
2474 66113000772 NURLELA 29-01-1987 SURVEYOR PEMETAAN 
PERTAMA PENATA RUANG PERTAMA ANALIS KEBIJAKAN 
PERTAMA LULUS LULUS LULUS 
1.744 611207640 
4890001 
200621 
4506 66113001209 NURLIHA 24-05-1989 GURU MATEMATIKA 
PERTAMA LULUS TIDAK 
LULUS 
TIDAK 
LULUS 
1.745 617102510 
9830003 
189781 
1019 66113000678 NURMALA 11-09-1983 GURU MATEMATIKA 
PERTAMA 
ANALIS KEBIJAKAN 
PERTAMA LULUS TIDAK 
LULUS 
TIDAK 
LULUS 
1.746 617201420 
1920002 
126888 
8669 66113000256 NURMALIA 02-01-1992 PUSTAKAWAN PERTAMA ANALIS KEBIJAKAN 
PERTAMA LULUS LULUS TIDAK 
LULUS 
1.747 611201660 
7800007 
162751 
1331 66113001868 NURMI YULIANA 26-07-1980 PERENCANA PERTAMA ANALIS ANGGARAN PENYULUH KOPERASI LULUS LULUS LULUS 
1.748 617105100 
3820009 
158039 
1529 66113000139 NURRAHMAN HAKIM 10-03-1982 PERENCANA PERTAMA ANALIS KEBIJAKAN 
PERTAMA PENYULUH KOPERASI LULUS LULUS LULUS 
1.749 611208440 
5900001 
183128 
8773 66113000667 NURSAFIDA FITRI 04-05-1990 GURU SEJARAH PERTAMA LULUS TIDAK 
LULUS 
TIDAK 
LULUS 
1.750 617105550 
6920004 
135691 
5903 66112000228 NURSAHADAT 
HASIBUAN 15-06-1992 PENGADMINISTRASI UMUM PENYUSUN RISALAH LULUS LULUS TIDAK 
LULUS 
1.751 617102600 
8850001 
129221 
0553 66112000818 NURSAMSIAH, A.MD 20-08-1985 PARAMEDIK VETERINER 
PELAKSANA LULUS TIDAK 
LULUS 
TIDAK 
LULUS 
1.752 617104680 
7850014 
207706 
0284 66113000537 NURSIAH 28-07-1985 GURU MATEMATIKA 
PERTAMA 
ANALIS KEBIJAKAN 
PERTAMA LULUS TIDAK 
LULUS 
TIDAK 
LULUS 
1.753 611209410 
1900018 
130137 
8614 66113000803 NURSIAH 01-01-1990 GURU SEJARAH PERTAMA LULUS TIDAK 
LULUS 
TIDAK 
LULUS 
1.754 611201451 
1900003 
192538 
8895 66113001512 NURSIAH 05-11-1990 GURU KIMIA PERTAMA ANALIS KEBIJAKAN 
PERTAMA LULUS TIDAK 
LULUS 
TIDAK 
LULUS 
1.755 617105030 
4860004 
151788 
9014 66113001375 NURTIMAN 03-04-1986 PERENCANA PERTAMA ANALIS KERJASAMA DAN 
PERMODALAN 
ANALIS KEBIJAKAN 
PERTAMA LULUS LULUS LULUS 
1.756 610117410 
2810004 
167954 
2304 66113001650 NURUL AFIDAH 01-02-1981 ANALIS KEBIJAKAN 
PERTAMA LULUS TIDAK 
LULUS 
TIDAK 
LULUS
NO NIK 
NO 
REGIST 
ER 
NO PESERTA NAMA TANGGAL 
LAHIR PILIHAN JABATAN 1 NAMA JABATAN 2 NAMA JABATAN 3 STATUS 
PILIHAN 1 
STATUS 
PILIHAN 2 
STATUS 
PILIHAN 3 
1.757 617201540 
5880003 
187426 
3485 66113001582 NURUL FARISA 14-05-1984 APOTEKER PERTAMA LULUS TIDAK 
LULUS 
TIDAK 
LULUS 
1.758 611208481 
2880003 
132095 
6444 66113000456 NURUL FATHONAH 08-12-1988 GURU MATEMATIKA 
PERTAMA 
ANALIS KEBIJAKAN 
PERTAMA LULUS TIDAK 
LULUS 
TIDAK 
LULUS 
1.759 617102520 
5900003 
189014 
7496 66113000669 NURUL FATHONAH 12-05-1990 GURU KIMIA PERTAMA LULUS TIDAK 
LULUS 
TIDAK 
LULUS 
1.760 610417481 
0870001 
126480 
8134 66112000713 NURUL FITRIA 
ISKANDAR 08-10-1987 BIDAN PELAKSANA LULUS TIDAK 
LULUS 
TIDAK 
LULUS 
1.761 617105430 
9910010 
182527 
3978 66112000341 NURUL FITRIANI 03-09-1991 PENGADMINISTRASI UMUM LULUS TIDAK 
LULUS 
TIDAK 
LULUS 
1.762 611209550 
3860008 
149422 
4039 66113001171 NURUL HAJARIAH 15-03-1986 GURU MATEMATIKA 
PERTAMA LULUS TIDAK 
LULUS 
TIDAK 
LULUS 
1.763 611201450 
8920008 
153166 
2398 66113000325 NURUL KURNIA 05-08-1992 GURU SOSIOLOGI PERTAMA ANALIS KEBIJAKAN 
PERTAMA LULUS TIDAK 
LULUS 
TIDAK 
LULUS 
1.764 611207430 
7920002 
152572 
1417 66112000412 NURUL QUR'ANI 03-07-1992 PENGADMINISTRASI UMUM PENYUSUN RISALAH LULUS LULUS TIDAK 
LULUS 
1.765 611209571 
1910002 
157756 
7387 66113000872 NURUL UTAMI 17-11-1991 GURU SEJARAH PERTAMA LULUS TIDAK 
LULUS 
TIDAK 
LULUS 
1.766 617104420 
4910003 
199507 
9276 66113001320 NURUL WIJI LESTARI 02-04-1991 GURU BAHASA INDONESIA 
PERTAMA 
ANALIS KEBIJAKAN 
PERTAMA LULUS TIDAK 
LULUS 
TIDAK 
LULUS 
1.767 611203411 
1820002 
191163 
6774 66113001413 NURVIANA 01-11-1982 SANITARIAN PERTAMA ANALIS KEBIJAKAN 
PERTAMA LULUS TIDAK 
LULUS 
TIDAK 
LULUS 
1.768 340111481 
0840002 
208097 
8426 66113001698 NURVIDAYANTI S.PD 08-10-1984 GURU SEJARAH PERTAMA LULUS TIDAK 
LULUS 
TIDAK 
LULUS 
1.769 617101650 
9850003 
104497 
7420 66113000226 NURWANTY NINGSIH 25-09-1985 ANALIS KEBIJAKAN 
PERTAMA LULUS TIDAK 
LULUS 
TIDAK 
LULUS 
1.770 611207200 
6820001 
208617 
5407 66113000975 NURYADIN HARIS 20-06-1982 PRANATA KOMPUTER 
PERTAMA 
ANALIS KEBIJAKAN 
PERTAMA LULUS LULUS TIDAK 
LULUS 
1.771 617102650 
4900002 
121165 
7264 66113001311 NURYANA SARI 25-04-1990 GURU MATEMATIKA 
PERTAMA LULUS TIDAK 
LULUS 
TIDAK 
LULUS 
1.772 611206701 
0880003 
147968 
3363 66113000850 NURYANAH 30-10-1988 GURU BAHASA INDONESIA 
PERTAMA LULUS TIDAK 
LULUS 
TIDAK 
LULUS 
1.773 617104641 
2930007 
182992 
2008 66112000141 NYEMAS EVA SANTRI 
DEWI 24-12-1993 NUTRISIONIS PELAKSANA LULUS TIDAK 
LULUS 
TIDAK 
LULUS 
1.774 611201281 
0780008 
145468 
5167 66113001575 OCTOVIANUS 
PASORONG 28-10-1978 ANALIS ANGGARAN ANALIS KERJASAMA DAN 
PERMODALAN 
ANALIS KEBIJAKAN 
PERTAMA LULUS LULUS LULUS 
1.775 617101310 
1890003 
136467 
4074 66113001648 ODILO TARIGASA 31-01-1989 
PENGENDALI ORGANISME 
PENGGANGGU TUMBUHAN 
PERTAMA 
ANALIS KEBIJAKAN 
PERTAMA 
TIDAK 
LULUS LULUS TIDAK 
LULUS 
1.776 617106571 
1830001 
211094 
1259 66113001299 OEIJ SUAN FIFI 17-11-1983 PERENCANA PERTAMA PENYULUH KOPERASI ANALIS KERJASAMA DAN 
PERMODALAN LULUS LULUS LULUS
NO NIK 
NO 
REGIST 
ER 
NO PESERTA NAMA TANGGAL 
LAHIR PILIHAN JABATAN 1 NAMA JABATAN 2 NAMA JABATAN 3 STATUS 
PILIHAN 1 
STATUS 
PILIHAN 2 
STATUS 
PILIHAN 3 
1.777 611206481 
0930001 
138572 
5372 66112000549 OKTAFIANI KATRIN 08-10-1993 BIDAN PELAKSANA LULUS TIDAK 
LULUS 
TIDAK 
LULUS 
1.778 610802461 
0850002 
209295 
0013 66112000754 OKTAVIANA 
NUNGSALIANI 06-10-1987 NUTRISIONIS PELAKSANA LULUS TIDAK 
LULUS 
TIDAK 
LULUS 
1.779 611201481 
0830009 
108400 
5532 66112000509 OKTAVIANTI 08-10-1983 PENGADMINISTRASI UMUM LULUS TIDAK 
LULUS 
TIDAK 
LULUS 
1.780 610117110 
6890001 
101172 
9322 66113000849 OMI 11-06-1989 GURU MATEMATIKA 
PERTAMA 
ANALIS KEBIJAKAN 
PERTAMA LULUS TIDAK 
LULUS 
TIDAK 
LULUS 
1.781 120212281 
0800003 
108472 
3269 66113001481 OPER SIMANJUNTAK 28-10-1980 GURU BAHASA INDONESIA 
PERTAMA 
ANALIS KEBIJAKAN 
PERTAMA LULUS TIDAK 
LULUS 
TIDAK 
LULUS 
1.782 617105280 
3890003 
155322 
7780 66113000383 ORYZA SURYA 
PRADITYO 28-03-1989 ANALIS KEPEGAWAIAN 
PERTAMA 
ANALIS KEPENDUDUKAN 
DAN PENCATATAN SIPIL 
ANALIS KEBIJAKAN 
PERTAMA LULUS LULUS LULUS 
1.783 617101070 
9830010 
156877 
2821 66113001208 OSKAR KHARISMA 07-09-1983 PRANATA KOMPUTER 
PERTAMA 
ANALIS KEBIJAKAN 
PERTAMA LULUS LULUS TIDAK 
LULUS 
1.784 610201050 
6910001 
189203 
0043 66112000846 PANCA ROLANDA 05-06-1991 PENGADMINISTRASI UMUM LULUS TIDAK 
LULUS 
TIDAK 
LULUS 
1.785 611209020 
8890002 
212354 
1912 66113000051 PANDI 02-08-1989 
PENGAWAS 
KETENAGAKERJAAN 
PERTAMA 
ANALIS LAYANAN UMUM PERANCANG PERUNDANG-UNDANGAN 
PERTAMA LULUS LULUS LULUS 
1.786 332815240 
1900004 
185876 
7632 66112000650 PANJI PRABANCANA 
LESTARI 24-01-1990 PENGUJI KENDARAAN 
BERMOTOR PELAKSANA LULUS TIDAK 
LULUS 
TIDAK 
LULUS 
1.787 610103490 
5920002 
166880 
4366 66112000554 PARAMUDITA 05-09-1992 BIDAN PELAKSANA LULUS TIDAK 
LULUS 
TIDAK 
LULUS 
1.788 610103550 
7900003 
206720 
9892 66112000812 PARIDAH 15-07-1990 BIDAN PELAKSANA LULUS TIDAK 
LULUS 
TIDAK 
LULUS 
1.789 610208190 
5860001 
191842 
1671 66113000636 PARLINDUNGAN 
PAKPAHAN 19-05-1986 PENYULUH KOPERASI ANALIS KERJASAMA DAN 
PERMODALAN 
ANALIS KEBIJAKAN 
PERTAMA LULUS LULUS LULUS 
1.790 617105050 
4820013 
173619 
6351 66113001576 PASKALIS 05-04-1982 PAMONG BUDAYA PERTAMA ANALIS KEBIJAKAN 
PERTAMA LULUS LULUS TIDAK 
LULUS 
1.791 617102430 
8910007 
161807 
3307 66112000560 PATMAWATI 03-08-1991 PERAWAT PELAKSANA LULUS TIDAK 
LULUS 
TIDAK 
LULUS 
1.792 611101060 
2880002 
121097 
1571 66113001620 PEBRIANTO GUNAWAN 06-02-1988 ANALIS KEBIJAKAN 
PERTAMA PERENCANA PERTAMA ANALIS ANGGARAN LULUS LULUS LULUS 
1.793 610622560 
4910001 
183213 
2030 66113000971 PEGGY VIONNA 16-04-1991 SANITARIAN PERTAMA LULUS TIDAK 
LULUS 
TIDAK 
LULUS 
1.794 611201440 
5820029 
172156 
3641 66113000392 PEMILIA SITI 
ZAHARA,S.PD 04-05-1982 GURU MATEMATIKA 
PERTAMA 
ANALIS KEBIJAKAN 
PERTAMA LULUS TIDAK 
LULUS 
TIDAK 
LULUS 
1.795 610111080 
2900003 
180925 
9882 66112000704 PERIADI 08-02-1990 PENYUSUN RISALAH PENGADMINISTRASI UMUM LULUS LULUS TIDAK 
LULUS 
1.796 611202581 
1880001 
168478 
4003 66113001263 PERONICA DEWI 18-11-1988 GURU SEJARAH PERTAMA ANALIS KEBIJAKAN 
PERTAMA LULUS TIDAK 
LULUS 
TIDAK 
LULUS
NO NIK 
NO 
REGIST 
ER 
NO PESERTA NAMA TANGGAL 
LAHIR PILIHAN JABATAN 1 NAMA JABATAN 2 NAMA JABATAN 3 STATUS 
PILIHAN 1 
STATUS 
PILIHAN 2 
STATUS 
PILIHAN 3 
1.797 617104010 
6840007 
129848 
9951 66113001580 PETRAMA YUNI RYAN 01-06-1984 ANALIS KEBIJAKAN 
PERTAMA LULUS TIDAK 
LULUS 
TIDAK 
LULUS 
1.798 617103480 
6820005 
212467 
7296 66113000574 PETRONELA SOEHARTI 
LARA DE ROSSA, SH 08-06-1982 MEDIATOR HUBUNGAN 
INDUSTRIAL PERTAMA 
PENGAWAS 
KETENAGAKERJAAN 
PERTAMA 
PERANCANG PERUNDANG-UNDANGAN 
PERTAMA LULUS LULUS LULUS 
1.799 617103460 
5850017 
149184 
6594 66113001649 PIKA PURBANI 06-05-1985 GURU MATEMATIKA 
PERTAMA 
ANALIS KEBIJAKAN 
PERTAMA LULUS TIDAK 
LULUS 
TIDAK 
LULUS 
1.800 617103200 
1890007 
181923 
6977 66113001082 PIKRUS AULIA RAHMAN 20-01-1989 ANALIS KEBIJAKAN 
PERTAMA LULUS TIDAK 
LULUS 
TIDAK 
LULUS 
1.801 340407700 
6890001 
190868 
6893 66113001101 PINKA ATRISTASARI 30-06-1989 PRANATA HUBUNGAN 
MASYARAKAT PERTAMA 
ANALIS KEBIJAKAN 
PERTAMA LULUS LULUS TIDAK 
LULUS 
1.802 610804190 
1890002 
147873 
3297 66112000833 PIPIANDO BARAS 
BANYU PUTRA 19-01-1989 PERAWAT PELAKSANA LULUS TIDAK 
LULUS 
TIDAK 
LULUS 
1.803 611201460 
9900006 
208779 
7622 66112000551 PIPIT WAHYU 
SEPTYANA 06-09-1990 BIDAN PELAKSANA LULUS TIDAK 
LULUS 
TIDAK 
LULUS 
1.804 130106490 
9890004 
120825 
0995 66113001283 PITRI AYU 09-09-1989 GURU BAHASA INGGRIS 
PERTAMA SMA 
GURU BAHASA INGGRIS 
PERTAMA SMP LULUS LULUS TIDAK 
LULUS 
1.805 611201470 
7830016 
133942 
2410 66112000350 PITRIYA 07-07-1983 PENGADMINISTRASI UMUM PENYUSUN RISALAH LULUS LULUS TIDAK 
LULUS 
1.806 610801510 
2840002 
142777 
9758 66113001350 PONNI 11-02-1984 PERENCANA PERTAMA ANALIS KERJASAMA DAN 
PERMODALAN 
ANALIS KEBIJAKAN 
PERTAMA LULUS LULUS LULUS 
1.807 611201440 
9880009 
168077 
2622 66112000682 PRAHESTI 04-09-1988 PENGADMINISTRASI UMUM PENYUSUN RISALAH LULUS LULUS TIDAK 
LULUS 
1.808 332410080 
9880004 
193345 
2894 66113001651 PRAMUDYA WAHYU 
SETYAJI 08-09-1988 PENGAWAS BIBIT TERNAK 
PERTAMA LULUS TIDAK 
LULUS 
TIDAK 
LULUS 
1.809 611201250 
8910010 
152011 
9659 66113000918 PRASETYO ADHI 
NUGROHO 25-08-1991 
PENGAWAS 
KETENAGAKERJAAN 
PERTAMA 
PENGANTAR KERJA 
PERTAMA 
PERANCANG PERUNDANG-UNDANGAN 
PERTAMA LULUS LULUS LULUS 
1.810 611203051 
0910002 
164720 
3555 66113001687 PRIANGGA 05-10-1991 PRANATA KOMPUTER 
PERTAMA 
ANALIS KEBIJAKAN 
PERTAMA LULUS LULUS TIDAK 
LULUS 
1.811 611201150 
4820011 
103888 
6952 66113000033 PRIHARTANTO 15-04-1982 ANALIS KEBIJAKAN 
PERTAMA LULUS TIDAK 
LULUS 
TIDAK 
LULUS 
1.812 610218641 
2800003 
111864 
6881 66112000231 PRIMADINNI,A.MD 24-01-1980 PENGADMINISTRASI UMUM PENYUSUN RISALAH LULUS LULUS TIDAK 
LULUS 
1.813 611203280 
7820001 
124239 
5235 66112000168 PRIO SAMBIONO 28-07-1982 PERAWAT PELAKSANA LULUS TIDAK 
LULUS 
TIDAK 
LULUS 
1.814 611201230 
2870002 
161182 
0531 66113001382 PRIYO FEBRIANTO, ST 23-02-1987 ANALIS KEBIJAKAN 
PERTAMA LULUS TIDAK 
LULUS 
TIDAK 
LULUS 
1.815 617105570 
8920004 
176107 
1578 66112000550 PROKERINA BORU 
SIBARANI 17-08-1992 BIDAN PELAKSANA LULUS TIDAK 
LULUS 
TIDAK 
LULUS 
1.816 611207700 
1870002 
149766 
6992 66113001175 PUJI RAHAYU 30-01-1987 GURU MATEMATIKA 
PERTAMA LULUS TIDAK 
LULUS 
TIDAK 
LULUS
NO NIK 
NO 
REGIST 
ER 
NO PESERTA NAMA TANGGAL 
LAHIR PILIHAN JABATAN 1 NAMA JABATAN 2 NAMA JABATAN 3 STATUS 
PILIHAN 1 
STATUS 
PILIHAN 2 
STATUS 
PILIHAN 3 
1.817 617105490 
2880001 
108245 
3939 66113000834 PUJIATI 09-02-1988 GURU SEJARAH PERTAMA LULUS TIDAK 
LULUS 
TIDAK 
LULUS 
1.818 617105660 
1890005 
143875 
4763 66113000862 PUPUT ANGGIA PUTRI 26-01-1989 GURU MATEMATIKA 
PERTAMA LULUS TIDAK 
LULUS 
TIDAK 
LULUS 
1.819 617105701 
0890009 
151112 
6804 66113001873 PURI OKVIA SARI 30-10-1989 PENGANTAR KERJA 
PERTAMA 
ANALIS KEBIJAKAN 
PERTAMA LULUS LULUS TIDAK 
LULUS 
1.820 617104460 
6910003 
160075 
4407 66113000522 PURNAMAWATI 06-06-1991 GURU MATEMATIKA 
PERTAMA LULUS TIDAK 
LULUS 
TIDAK 
LULUS 
1.821 611201550 
4830008 
148428 
3176 66112000329 PURWANTIWI RAHAYU 15-04-1983 PENGADMINISTRASI UMUM PENYUSUN RISALAH LULUS LULUS TIDAK 
LULUS 
1.822 617101100 
8870502 
197735 
6043 66113000484 PURWANTO AJI 
DINIYANTO 10-08-1987 ANALIS KEBIJAKAN 
PERTAMA LULUS TIDAK 
LULUS 
TIDAK 
LULUS 
1.823 617202670 
9890005 
174737 
6847 66113000120 PUSPA SETYO RINI 27-09-1989 PENGENDALI DAMPAK 
LINGKUNGAN PERTAMA 
PENGAWAS LINGKUNGAN 
HIDUP PERTAMA 
TEKNIK PENYEHATAN 
LINGKUNGAN PERTAMA LULUS LULUS LULUS 
1.824 611203440 
2920004 
176128 
5279 66112000118 PUSPASARI 04-02-1992 PENGADMINISTRASI UMUM PENYUSUN RISALAH LULUS LULUS TIDAK 
LULUS 
1.825 617102461 
2910005 
181860 
7525 66113001105 PUTRI ASDIANTI 06-12-1991 PRANATA KOMPUTER 
PERTAMA 
ANALIS KEBIJAKAN 
PERTAMA LULUS LULUS TIDAK 
LULUS 
1.826 617103540 
9910007 
149546 
0821 66112000443 PUTRI FAJAR PERTIWI 14-09-1991 BIDAN PELAKSANA LULUS TIDAK 
LULUS 
TIDAK 
LULUS 
1.827 611201540 
2910010 
177063 
7778 66113001423 PUTRI FEBRINA 
DEKANITA 14-02-1991 GURU SEJARAH PERTAMA LULUS TIDAK 
LULUS 
TIDAK 
LULUS 
1.828 617106710 
1910001 
165372 
1327 66113001625 PUTRI FIBRIANI 31-01-1991 GURU SEJARAH PERTAMA ANALIS KEBIJAKAN 
PERTAMA LULUS TIDAK 
LULUS 
TIDAK 
LULUS 
1.829 611203570 
9900003 
206174 
1605 66112000523 PUTRI PERMALA DEWI 17-09-1990 VERIFIKATOR KEUANGAN LULUS TIDAK 
LULUS 
TIDAK 
LULUS 
1.830 617201480 
7900002 
202574 
1840 66113000340 PUTRI YULI UTAMI 08-07-1990 PRANATA KOMPUTER 
PERTAMA 
ANALIS KEBIJAKAN 
PERTAMA LULUS LULUS TIDAK 
LULUS 
1.831 610807040 
8830007 
200216 
9937 66113000601 RABIANTO 04-06-1983 PEKERJA SOSIAL PERTAMA PENYULUH SOSIAL 
PERTAMA 
ANALIS KEBIJAKAN 
PERTAMA LULUS LULUS LULUS 
1.832 617103230 
7850002 
146956 
0344 66113001867 RACHMAD DARMAWAN 23-07-1985 GURU BAHASA INGGRIS 
PERTAMA SMA 
GURU BAHASA INGGRIS 
PERTAMA SMP 
ANALIS KEBIJAKAN 
PERTAMA LULUS LULUS TIDAK 
LULUS 
1.833 611201140 
6870003 
204953 
6926 66112000591 RACHMAD HIDAYAT, 
A.MD 14-06-1987 VERIFIKATOR KEUANGAN LULUS TIDAK 
LULUS 
TIDAK 
LULUS 
1.834 611201550 
4900004 
117270 
7202 66113000896 RACHMAWATI FITRI 
HASAN 15-04-1990 PERENCANA PERTAMA ANALIS ANGGARAN ANALIS KERJASAMA DAN 
PERMODALAN LULUS LULUS LULUS 
1.835 610218631 
2870001 
198643 
6849 66112000232 RADIANA 23-12-1987 VERIFIKATOR KEUANGAN LULUS TIDAK 
LULUS 
TIDAK 
LULUS 
1.836 611207071 
1900002 
139063 
8260 66113001720 RADIANSYAH 07-11-1990 GURU SEJARAH PERTAMA ANALIS KEBIJAKAN 
PERTAMA LULUS TIDAK 
LULUS 
TIDAK 
LULUS
NO NIK 
NO 
REGIST 
ER 
NO PESERTA NAMA TANGGAL 
LAHIR PILIHAN JABATAN 1 NAMA JABATAN 2 NAMA JABATAN 3 STATUS 
PILIHAN 1 
STATUS 
PILIHAN 2 
STATUS 
PILIHAN 3 
1.837 611201610 
6900002 
184452 
8326 66113000532 RADNI KEMALA SARI 21-06-1990 GURU SEJARAH PERTAMA LULUS TIDAK 
LULUS 
TIDAK 
LULUS 
1.838 617101650 
1840004 
194653 
6528 66112000016 RAFIDAH 25-01-1984 PENGADMINISTRASI UMUM PENYUSUN RISALAH LULUS LULUS TIDAK 
LULUS 
1.839 611203050 
8920001 
158307 
6800 66113001398 RAGA PATRIA 05-08-1992 GURU IPA PERTAMA GURU FISIKA PERTAMA ANALIS KEBIJAKAN 
PERTAMA LULUS LULUS TIDAK 
LULUS 
1.840 610103500 
4880001 
132713 
5040 66112000467 RAHAYU PUJI LESTARI 10-04-1988 VERIFIKATOR KEUANGAN LULUS TIDAK 
LULUS 
TIDAK 
LULUS 
1.841 611201411 
2940013 
144246 
0369 66112000214 RAHMA EKA 
SULISTYAWATI 01-12-1994 PRANATA LABORATORIUM 
KESEHATAN PERTAMA LULUS TIDAK 
LULUS 
TIDAK 
LULUS 
1.842 617106570 
4830002 
154113 
4987 66113000620 RAHMA SUSANTI 17-04-1983 MEDIATOR HUBUNGAN 
INDUSTRIAL PERTAMA 
PERANCANG PERUNDANG-UNDANGAN 
PERTAMA 
ANALIS KEBIJAKAN 
PERTAMA LULUS LULUS LULUS 
1.843 610103050 
6860006 
163503 
3698 66113001037 RAHMAD 05-06-1986 GURU SEJARAH PERTAMA LULUS TIDAK 
LULUS 
TIDAK 
LULUS 
1.844 617106080 
8900002 
146469 
5878 66113001730 RAHMAD 08-08-1990 GURU MATEMATIKA 
PERTAMA LULUS TIDAK 
LULUS 
TIDAK 
LULUS 
1.845 610212150 
6920004 
199480 
0052 66112000808 RAHMAD ARIFIN 15-06-1992 PENGADMINISTRASI UMUM LULUS TIDAK 
LULUS 
TIDAK 
LULUS 
1.846 617103021 
0870015 
102325 
3322 66113001652 RAHMAN SAPARULLAH 02-10-1987 ANALIS ANGGARAN PERENCANA PERTAMA PENYULUH KOPERASI LULUS LULUS LULUS 
1.847 610104120 
1930009 
175351 
4930 66112000047 RAHMANI 12-01-1993 PERAWAT PELAKSANA LULUS TIDAK 
LULUS 
TIDAK 
LULUS 
1.848 617104190 
2880010 
174417 
4653 66113000559 RAHMAT 19-02-1988 GURU SEJARAH PERTAMA LULUS TIDAK 
LULUS 
TIDAK 
LULUS 
1.849 611201190 
3900006 
134584 
6856 66113000922 RAHMAT DEVI IRAWAN 19-03-1990 ANALIS LAYANAN UMUM PERANCANG PERUNDANG-UNDANGAN 
PERTAMA 
PENGANTAR KERJA 
PERTAMA LULUS LULUS LULUS 
1.850 611201281 
0820003 
144581 
7726 66112000526 RAHMAT HIDAYAT 28-10-1982 PENGADMINISTRASI UMUM PENYUSUN RISALAH LULUS LULUS TIDAK 
LULUS 
1.851 611201410 
2800012 
133143 
4244 66112000700 RAHMAWATI 01-02-1980 PENGADMINISTRASI UMUM PENYUSUN RISALAH LULUS LULUS TIDAK 
LULUS 
1.852 617101530 
8800007 
154066 
5667 66113001306 RAHMAWATI 13-08-1980 PENATA RUANG PERTAMA ANALIS KEBIJAKAN 
PERTAMA 
SURVEYOR PEMETAAN 
PERTAMA LULUS LULUS LULUS 
1.853 610117570 
7870002 
148022 
1729 66113001547 RAHMAWATI 17-07-1987 GURU IPA PERTAMA LULUS TIDAK 
LULUS 
TIDAK 
LULUS 
1.854 611201680 
8890007 
172199 
8532 66113001657 RAHMAYUNI 28-08-1989 GURU BAHASA INGGRIS 
PERTAMA SMP LULUS TIDAK 
LULUS 
TIDAK 
LULUS 
1.855 610218480 
1910002 
168578 
4199 66112000250 RAHMI MURNI 08-01-1991 BIDAN PELAKSANA LULUS TIDAK 
LULUS 
TIDAK 
LULUS 
1.856 617105500 
5920009 
198920 
7976 66112000110 RAHMI NANDA 
PRIMADANTI 10-05-1992 VERIFIKATOR KEUANGAN LULUS TIDAK 
LULUS 
TIDAK 
LULUS
NO NIK 
NO 
REGIST 
ER 
NO PESERTA NAMA TANGGAL 
LAHIR PILIHAN JABATAN 1 NAMA JABATAN 2 NAMA JABATAN 3 STATUS 
PILIHAN 1 
STATUS 
PILIHAN 2 
STATUS 
PILIHAN 3 
1.857 611201700 
1910008 
151106 
9196 66113000860 RAHMI REZEKI AULIA 31-01-1991 GURU SEJARAH PERTAMA LULUS TIDAK 
LULUS 
TIDAK 
LULUS 
1.858 617106540 
8870002 
182909 
0618 66113001153 RAHMI SARI DEWI 14-08-1987 ANALIS KEBIJAKAN 
PERTAMA PENYULUH KOPERASI PERENCANA PERTAMA LULUS LULUS LULUS 
1.859 617103690 
8860502 
173520 
5038 66113001066 RAINI RIANTI, SE 29-08-1986 PERENCANA PERTAMA ANALIS ANGGARAN ANALIS KEBIJAKAN 
PERTAMA LULUS LULUS LULUS 
1.860 610201421 
1910003 
184728 
4274 66112000575 RAISA SAWITRI 02-11-1991 BIDAN PELAKSANA LULUS TIDAK 
LULUS 
TIDAK 
LULUS 
1.861 611203070 
4910004 
194691 
9763 66113000473 RAKHMAT RAMADHAN 07-04-1991 PRANATA KOMPUTER 
PERTAMA 
ANALIS KEBIJAKAN 
PERTAMA LULUS LULUS TIDAK 
LULUS 
1.862 611205160 
5850002 
160764 
3306 66112000714 RAMDANI 16-05-1985 PERAWAT PELAKSANA LULUS TIDAK 
LULUS 
TIDAK 
LULUS 
1.863 611209240 
5880002 
195074 
2118 66113000616 RAMLI 24-05-1988 ANALIS KEBIJAKAN 
PERTAMA LULUS TIDAK 
LULUS 
TIDAK 
LULUS 
1.864 617106460 
9860001 
189209 
3740 66112000643 RANNY MEKAR SARI 06-09-1986 PENGADMINISTRASI UMUM PENYUSUN RISALAH LULUS LULUS TIDAK 
LULUS 
1.865 617101700 
7910003 
124764 
0717 66112000147 RANNY YULIANI 30-07-1991 VERIFIKATOR KEUANGAN LULUS TIDAK 
LULUS 
TIDAK 
LULUS 
1.866 617101530 
4850005 
130909 
2779 66113001157 RANTI HENDRAWATI 13-04-1985 PERENCANA PERTAMA PENYULUH KOPERASI ANALIS ANGGARAN LULUS LULUS LULUS 
1.867 617105700 
9870004 
160861 
5524 66113000600 RANTY RUSVINARA 30-09-1987 ANALIS KEBIJAKAN 
PERTAMA LULUS TIDAK 
LULUS 
TIDAK 
LULUS 
1.868 617105620 
7850007 
202034 
0997 66112000574 RANU SHIRATO 22-07-1985 PENYULUH PAJAK 
PELAKSANA LULUS TIDAK 
LULUS 
TIDAK 
LULUS 
1.869 611201491 
0840013 
180333 
0760 66113001906 RAPEAH, S.PI 09-10-1984 PENGAWAS PERIKANAN 
PERTAMA 
ANALIS KEBIJAKAN 
PERTAMA LULUS LULUS TIDAK 
LULUS 
1.870 120723500 
4860010 
127719 
9789 66113000864 RASIANNA PANJAITAN 10-04-1986 GURU SEJARAH PERTAMA ANALIS KEBIJAKAN 
PERTAMA LULUS TIDAK 
LULUS 
TIDAK 
LULUS 
1.871 610503501 
2870005 
187221 
9690 66113000215 RASMIYANA 10-12-1987 GURU SEJARAH PERTAMA LULUS TIDAK 
LULUS 
TIDAK 
LULUS 
1.872 611201700 
6880012 
137080 
7829 66112000796 RATIH 30-06-1988 PENGADMINISTRASI UMUM PENYUSUN RISALAH LULUS LULUS TIDAK 
LULUS 
1.873 617101450 
4880011 
179533 
8416 66113000445 RATIH KARTIKA 05-04-1988 GURU BAHASA INGGRIS 
PERTAMA SMA 
GURU BAHASA INGGRIS 
PERTAMA SMP 
ANALIS KEBIJAKAN 
PERTAMA LULUS LULUS TIDAK 
LULUS 
1.874 610105680 
7870002 
174536 
8870 66113001462 RATIH NURHANDAYANI 28-07-1987 ANALIS KEBIJAKAN 
PERTAMA LULUS TIDAK 
LULUS 
TIDAK 
LULUS 
1.875 617105480 
1860001 
210703 
8288 66112000516 RATIKAWATY 08-01-1986 PENGADMINISTRASI UMUM LULUS TIDAK 
LULUS 
TIDAK 
LULUS 
1.876 617104651 
1850002 
110194 
2863 66113000222 RATNA MADYA KALSUM 25-11-1985 ANALIS KEBIJAKAN 
PERTAMA LULUS TIDAK 
LULUS 
TIDAK 
LULUS
NO NIK 
NO 
REGIST 
ER 
NO PESERTA NAMA TANGGAL 
LAHIR PILIHAN JABATAN 1 NAMA JABATAN 2 NAMA JABATAN 3 STATUS 
PILIHAN 1 
STATUS 
PILIHAN 2 
STATUS 
PILIHAN 3 
1.877 617101710 
1890012 
211162 
6525 66113000555 RATNA NINGRUM 23-01-1989 GURU IPA PERTAMA GURU FISIKA PERTAMA LULUS LULUS TIDAK 
LULUS 
1.878 611209500 
6900012 
211354 
1177 66113000679 RATNA SARI 10-06-1990 GURU BAHASA INDONESIA 
PERTAMA LULUS TIDAK 
LULUS 
TIDAK 
LULUS 
1.879 610218551 
2860001 
206908 
9545 66113000572 RATNA SARI AMALIA 15-12-1986 ANALIS KEBIJAKAN 
PERTAMA LULUS TIDAK 
LULUS 
TIDAK 
LULUS 
1.880 611203690 
9900003 
133015 
8519 66112000585 RATNA SUPARNINGSIH 29-09-1990 BIDAN PELAKSANA LULUS TIDAK 
LULUS 
TIDAK 
LULUS 
1.881 617101540 
1840004 
206750 
5237 66113000816 RATNA VIVENSIA 14-01-1984 APOTEKER PERTAMA LULUS TIDAK 
LULUS 
TIDAK 
LULUS 
1.882 611201681 
0830009 
148847 
4003 66113001583 RATNAWATI 28-10-1983 ANALIS KERJASAMA DAN 
PERMODALAN 
ANALIS KEBIJAKAN 
PERTAMA LULUS LULUS TIDAK 
LULUS 
1.883 610708100 
7880001 
194057 
8852 66112000491 RATNO DEBY 10-07-1988 PERAWAT PELAKSANA LULUS TIDAK 
LULUS 
TIDAK 
LULUS 
1.884 617105560 
8900007 
207706 
0900 66113000168 RATRI KURNIAWATI 16-08-1990 GURU MATEMATIKA 
PERTAMA 
ANALIS KEBIJAKAN 
PERTAMA LULUS TIDAK 
LULUS 
TIDAK 
LULUS 
1.885 617105630 
7840001 
155711 
3930 66113001914 RATRI WULANDARI 23-07-1984 ANALIS KEBIJAKAN 
PERTAMA LULUS TIDAK 
LULUS 
TIDAK 
LULUS 
1.886 610320190 
3880001 
176192 
5977 66113001287 RAY MUNNUS RIKO 19-03-1988 PENYULUH KOPERASI ANALIS KEBIJAKAN 
PERTAMA 
ANALIS KERJASAMA DAN 
PERMODALAN LULUS LULUS LULUS 
1.887 611209430 
5890006 
203104 
4018 66112000731 RAYHANI MEIZATRI 03-05-1989 BIDAN PELAKSANA LULUS TIDAK 
LULUS 
TIDAK 
LULUS 
1.888 617105610 
2900005 
158756 
2154 66113001695 REDHA FEBRYANA 21-02-1990 PERENCANA PERTAMA ANALIS ANGGARAN ANALIS KERJASAMA DAN 
PERMODALAN LULUS LULUS LULUS 
1.889 617105061 
1840503 
150576 
5283 66112000302 REDHO YASSIN 06-11-1984 NUTRISIONIS PELAKSANA LULUS TIDAK 
LULUS 
TIDAK 
LULUS 
1.890 611201171 
0880006 
189064 
8609 66113001842 REDY CHANDRA 
OKTAVELANY 17-10-1988 ANALIS LAYANAN UMUM PENGANTAR KERJA 
PERTAMA 
PENGAWAS 
KETENAGAKERJAAN 
PERTAMA 
LULUS LULUS LULUS 
1.891 617103220 
1880002 
137500 
8766 66113001109 REKI PRAWINATA 22-01-1988 PERANCANG PERUNDANG-UNDANGAN 
PERTAMA 
PENGAWAS 
KETENAGAKERJAAN 
PERTAMA 
ANALIS KEBIJAKAN 
PERTAMA LULUS LULUS LULUS 
1.892 617101620 
1910002 
166260 
8464 66113000824 RENDITA ANUGRAH 
UTAMI 22-01-1991 ANALIS KEBIJAKAN 
PERTAMA LULUS TIDAK 
LULUS 
TIDAK 
LULUS 
1.893 610105201 
0920002 
150429 
5514 66112000227 RENDRA APRISKA 20-10-1992 PENGADMINISTRASI UMUM LULUS TIDAK 
LULUS 
TIDAK 
LULUS 
1.894 610715570 
8900004 
168629 
2384 66112000497 RENI KURNIA SARI 17-08-1990 BIDAN PELAKSANA LULUS TIDAK 
LULUS 
TIDAK 
LULUS 
1.895 611201460 
9910008 
195650 
2474 66113000311 RENITA 06-09-1991 GURU SEJARAH PERTAMA LULUS TIDAK 
LULUS 
TIDAK 
LULUS 
1.896 611201440 
9880015 
188871 
1133 66112000257 RENITA NASUTION 04-09-1988 BIDAN PELAKSANA LULUS TIDAK 
LULUS 
TIDAK 
LULUS
NO NIK 
NO 
REGIST 
ER 
NO PESERTA NAMA TANGGAL 
LAHIR PILIHAN JABATAN 1 NAMA JABATAN 2 NAMA JABATAN 3 STATUS 
PILIHAN 1 
STATUS 
PILIHAN 2 
STATUS 
PILIHAN 3 
1.897 617103431 
2890005 
214718 
2008 66113000695 RENNI IZZATI 03-12-1989 GURU MATEMATIKA 
PERTAMA LULUS TIDAK 
LULUS 
TIDAK 
LULUS 
1.898 617101681 
1880004 
137475 
0167 66113000102 RENNY JAYANTI 28-11-1988 PERENCANA PERTAMA PENYULUH KOPERASI LULUS LULUS TIDAK 
LULUS 
1.899 611201411 
1830005 
214601 
1664 66113001357 RENNY KASTARI 01-11-1983 ANALIS KEBIJAKAN 
PERTAMA LULUS TIDAK 
LULUS 
TIDAK 
LULUS 
1.900 617201651 
0870002 
187124 
0971 66113001096 RENNY RULYANTI 25-10-1987 MEDIATOR HUBUNGAN 
INDUSTRIAL PERTAMA 
ANALIS KEBIJAKAN 
PERTAMA 
PENGAWAS 
KETENAGAKERJAAN 
PERTAMA 
LULUS LULUS LULUS 
1.901 617103490 
5860007 
124083 
2302 66113001712 RENNY SAVITRI 09-05-1986 ANALIS KEBIJAKAN 
PERTAMA LULUS TIDAK 
LULUS 
TIDAK 
LULUS 
1.902 610218180 
4870001 
174039 
4747 66113000888 RERI SUGIARTO 18-04-1987 GURU IPA PERTAMA GURU FISIKA PERTAMA LULUS LULUS TIDAK 
LULUS 
1.903 317505510 
5880004 
193078 
0458 66113000457 RESDITA AGNESIA 11-05-1988 GURU BAHASA INGGRIS 
PERTAMA SMP 
GURU BAHASA INGGRIS 
PERTAMA SMA 
ANALIS KEBIJAKAN 
PERTAMA LULUS LULUS TIDAK 
LULUS 
1.904 617103670 
3910006 
145285 
2651 66112000628 RESINTA 27-03-1991 PENGADMINISTRASI UMUM PENYUSUN RISALAH LULUS LULUS TIDAK 
LULUS 
1.905 610417430 
8890009 
166143 
1967 66112000163 RESSY RIA SUHARTIKA 03-08-1989 NUTRISIONIS PELAKSANA LULUS TIDAK 
LULUS 
TIDAK 
LULUS 
1.906 611201670 
5840013 
177836 
4915 66113000806 RESTITUTA RIKKA 
NOVIYANTI 27-05-1984 GURU BAHASA INGGRIS 
PERTAMA SMP 
GURU BAHASA INGGRIS 
PERTAMA SMA 
ANALIS KEBIJAKAN 
PERTAMA LULUS LULUS TIDAK 
LULUS 
1.907 617103710 
1910005 
207749 
0931 66112000028 RESTY HERTANTI 31-01-1991 BIDAN PELAKSANA LULUS TIDAK 
LULUS 
TIDAK 
LULUS 
1.908 617201470 
3880001 
214695 
9981 66112000623 RETMA SAPTAWATI, 
AMD. SST 07-03-1988 VERIFIKATOR KEUANGAN LULUS TIDAK 
LULUS 
TIDAK 
LULUS 
1.909 617105460 
3910010 
172642 
3108 66113001149 RETMILIANY SUKANTI 06-03-1991 GURU MATEMATIKA 
PERTAMA LULUS TIDAK 
LULUS 
TIDAK 
LULUS 
1.910 617105480 
3910016 
168000 
5516 66112000208 RETNA SABRINA 08-03-1991 NUTRISIONIS PELAKSANA LULUS TIDAK 
LULUS 
TIDAK 
LULUS 
1.911 121606540 
9870002 
129582 
0305 66113000113 RETNIKA PASARIBU 14-09-1987 GURU BAHASA INGGRIS 
PERTAMA SMP LULUS TIDAK 
LULUS 
TIDAK 
LULUS 
1.912 611201490 
3830014 
169677 
2638 66113000352 RETNO BUDIASIH 09-03-1983 ANALIS KEBIJAKAN 
PERTAMA LULUS TIDAK 
LULUS 
TIDAK 
LULUS 
1.913 611201630 
3840003 
187938 
3210 66112000651 RETNO PREHATINI 23-03-1984 PENGADMINISTRASI UMUM LULUS TIDAK 
LULUS 
TIDAK 
LULUS 
1.914 611207490 
4840002 
134015 
6853 66113001237 RETNO SARI 
ANGGRAENI 09-04-1984 ANALIS LAYANAN UMUM ANALIS KEBIJAKAN 
PERTAMA LULUS LULUS TIDAK 
LULUS 
1.915 617105441 
1880002 
203741 
6747 66113001268 RETNO SETIO 
MANDASARI 05-11-1988 GURU MATEMATIKA 
PERTAMA LULUS TIDAK 
LULUS 
TIDAK 
LULUS 
1.916 617103570 
6820007 
171858 
2026 66112000077 RETNO WAHYUNI 17-06-1982 BIDAN PELAKSANA LULUS TIDAK 
LULUS 
TIDAK 
LULUS
NO NIK 
NO 
REGIST 
ER 
NO PESERTA NAMA TANGGAL 
LAHIR PILIHAN JABATAN 1 NAMA JABATAN 2 NAMA JABATAN 3 STATUS 
PILIHAN 1 
STATUS 
PILIHAN 2 
STATUS 
PILIHAN 3 
1.917 617105710 
3890002 
123459 
4023 66113000880 RETNO WAHYUNI 03-03-1989 GURU MATEMATIKA 
PERTAMA 
ANALIS KEBIJAKAN 
PERTAMA LULUS TIDAK 
LULUS 
TIDAK 
LULUS 
1.918 617201500 
6900001 
184432 
6672 66113001405 RETNO WULANDARI 10-06-1990 PERENCANA PERTAMA PENYULUH KOPERASI ANALIS ANGGARAN LULUS LULUS LULUS 
1.919 617101540 
3860010 
187807 
1539 66113000939 RETRI HERAYU 14-03-1986 PRANATA HUBUNGAN 
MASYARAKAT PERTAMA 
ANALIS KEBIJAKAN 
PERTAMA LULUS LULUS TIDAK 
LULUS 
1.920 611203590 
3930005 
208341 
6719 66112000081 RETYANA ANTONIA 19-03-1993 PERAWAT PELAKSANA LULUS TIDAK 
LULUS 
TIDAK 
LULUS 
1.921 617105290 
9890003 
129629 
4168 66112000706 REYNANDHA WIGUNA 29-09-1989 PENGADMINISTRASI UMUM PENYUSUN RISALAH LULUS LULUS TIDAK 
LULUS 
1.922 611209190 
5910004 
180632 
4518 66112000045 REZA FAKHRURRAZI 19-05-1991 PERAWAT PELAKSANA LULUS TIDAK 
LULUS 
TIDAK 
LULUS 
1.923 617103690 
9890005 
183908 
1975 66113001527 REZKIE ZULKARNAIN 29-09-1989 GURU MATEMATIKA 
PERTAMA 
ANALIS KEBIJAKAN 
PERTAMA LULUS TIDAK 
LULUS 
TIDAK 
LULUS 
1.924 617202171 
1830001 
165216 
9199 66112000661 REZZI DIANATUR 17-11-1983 PENGADMINISTRASI UMUM LULUS TIDAK 
LULUS 
TIDAK 
LULUS 
1.925 610208460 
2920001 
198885 
4032 66112000403 RHADIYA 06-02-1992 BIDAN PELAKSANA LULUS TIDAK 
LULUS 
TIDAK 
LULUS 
1.926 611203050 
3810002 
145661 
4574 66113000871 RHINO PURWANTO 05-03-1981 ANALIS KEBIJAKAN 
PERTAMA LULUS TIDAK 
LULUS 
TIDAK 
LULUS 
1.927 610105460 
1930002 
112721 
6966 66112000071 RIA JANUARTI 06-01-1993 NUTRISIONIS PELAKSANA LULUS TIDAK 
LULUS 
TIDAK 
LULUS 
1.928 617101580 
3900004 
187305 
5787 66112000631 RIA ANDRIANI 18-03-1990 BIDAN PELAKSANA LULUS TIDAK 
LULUS 
TIDAK 
LULUS 
1.929 617103561 
0910006 
190782 
9843 66112000237 RIA ASTUTI 16-10-1991 BIDAN PELAKSANA LULUS TIDAK 
LULUS 
TIDAK 
LULUS 
1.930 611201520 
8890011 
145938 
9888 66113001594 RIA DWI ASTUTI 12-08-1989 ANALIS KERJASAMA DAN 
PERMODALAN ANALIS ANGGARAN PERENCANA PERTAMA LULUS LULUS LULUS 
1.931 617101480 
7860504 
204182 
1742 66112000853 RIA FALINA 08-07-1986 PENGADMINISTRASI UMUM PENYUSUN RISALAH LULUS LULUS TIDAK 
LULUS 
1.932 610301410 
2910003 
124798 
7199 66112000175 RIA FEBRIANI 01-02-1991 BIDAN PELAKSANA LULUS TIDAK 
LULUS 
TIDAK 
LULUS 
1.933 617201540 
2900001 
204389 
6538 66112000795 RIA FEBRIYANTI 14-02-1990 PENYUSUN RISALAH PENGADMINISTRASI UMUM LULUS LULUS TIDAK 
LULUS 
1.934 611201690 
5870001 
114577 
5874 66113000160 RIA FHITRIATY 29-05-1987 GURU BAHASA INGGRIS 
PERTAMA SMP 
GURU BAHASA INGGRIS 
PERTAMA SMA 
ANALIS KEBIJAKAN 
PERTAMA LULUS LULUS TIDAK 
LULUS 
1.935 617103611 
0880007 
134446 
7209 66113000516 RIA MAURINA 21-10-1988 GURU BAHASA INGGRIS 
PERTAMA SMP LULUS TIDAK 
LULUS 
TIDAK 
LULUS 
1.936 611201410 
4880015 
116414 
3814 66113001889 RIA MONICA 01-04-1988 ANALIS KEBIJAKAN 
PERTAMA SANITARIAN PERTAMA TIDAK 
LULUS LULUS TIDAK 
LULUS
NO NIK 
NO 
REGIST 
ER 
NO PESERTA NAMA TANGGAL 
LAHIR PILIHAN JABATAN 1 NAMA JABATAN 2 NAMA JABATAN 3 STATUS 
PILIHAN 1 
STATUS 
PILIHAN 2 
STATUS 
PILIHAN 3 
1.937 611207550 
2910004 
158424 
4089 66113000904 RIA RINARTI 15-02-1991 ANALIS KEBIJAKAN 
PERTAMA LULUS TIDAK 
LULUS 
TIDAK 
LULUS 
1.938 610806591 
0850003 
208314 
5596 66113001564 RIA SARI 12-10-1985 PEKERJA SOSIAL PERTAMA PENYULUH SOSIAL 
PERTAMA 
ANALIS KEBIJAKAN 
PERTAMA LULUS LULUS LULUS 
1.939 611201460 
5860004 
198730 
6267 66113000777 RIA SISCA SUSANTI 06-05-1986 
PENGAWAS 
KETENAGAKERJAAN 
PERTAMA 
PENGANTAR KERJA 
PERTAMA 
ANALIS KEBIJAKAN 
PERTAMA LULUS LULUS LULUS 
1.940 611201600 
5810003 
129223 
3813 66112000333 RIA SUSANTI 20-05-1981 PENGADMINISTRASI UMUM PENYUSUN RISALAH LULUS LULUS TIDAK 
LULUS 
1.941 617103480 
2860004 
112525 
9740 66113000170 RIAN FIBRIANI 08-02-1986 ANALIS KEBIJAKAN 
PERTAMA LULUS TIDAK 
LULUS 
TIDAK 
LULUS 
1.942 610201580 
9810001 
181003 
6504 66112000879 RIANA BR.KARO 18-09-1981 PENGADMINISTRASI UMUM PENYUSUN RISALAH LULUS LULUS TIDAK 
LULUS 
1.943 617105480 
3830002 
152168 
4946 66113000873 RIANTI 08-03-1983 PERENCANA PERTAMA PENYULUH KOPERASI ANALIS KERJASAMA DAN 
PERMODALAN LULUS LULUS LULUS 
1.944 617104030 
7840002 
178876 
1358 66113001253 RIANTO 03-07-1984 GURU MATEMATIKA 
PERTAMA 
ANALIS KEBIJAKAN 
PERTAMA LULUS TIDAK 
LULUS 
TIDAK 
LULUS 
1.945 610801170 
3880002 
157970 
7512 66113000176 RICCI TAMSEN 17-03-1988 ANALIS KEBIJAKAN 
PERTAMA LULUS TIDAK 
LULUS 
TIDAK 
LULUS 
1.946 617102230 
5860004 
152679 
9563 66113000635 RICCY RAMDANI 23-05-1986 PENYULUH KOPERASI ANALIS ANGGARAN ANALIS KEBIJAKAN 
PERTAMA LULUS LULUS LULUS 
1.947 610102180 
1890002 
184386 
2225 66113001549 RICKY ASTRIADI 18-01-1989 GURU SEJARAH PERTAMA LULUS TIDAK 
LULUS 
TIDAK 
LULUS 
1.948 610102040 
9900007 
160695 
7780 66112000325 RICY PRATAMA 04-09-1990 NUTRISIONIS PELAKSANA LULUS TIDAK 
LULUS 
TIDAK 
LULUS 
1.949 617205090 
2900001 
146425 
0392 66112000222 RIDHA HARIS 
MUNANDAR, A.MD KEP 09-02-1990 PERAWAT PELAKSANA LULUS TIDAK 
LULUS 
TIDAK 
LULUS 
1.950 611201280 
9830011 
119200 
0216 66113000305 RIDHO KURNIAWAN 28-09-1983 PENYULUH KOPERASI ANALIS ANGGARAN ANALIS KERJASAMA DAN 
PERMODALAN LULUS LULUS LULUS 
1.951 610303050 
5850002 
163934 
6075 66113001460 RIDUAN RAHMAN 05-05-1985 ANALIS KEBIJAKAN 
PERTAMA LULUS TIDAK 
LULUS 
TIDAK 
LULUS 
1.952 610215220 
5910001 
125665 
7032 66113000326 RIDWANSYAH 22-05-1991 GURU MATEMATIKA 
PERTAMA 
ANALIS KEBIJAKAN 
PERTAMA LULUS TIDAK 
LULUS 
TIDAK 
LULUS 
1.953 611201660 
3930002 
170477 
8916 66113000028 RIESKA PRATIWI 26-03-1993 ANALIS KEBIJAKAN 
PERTAMA ANALIS LAYANAN UMUM LULUS LULUS TIDAK 
LULUS 
1.954 617201500 
4810003 
150043 
4548 66113001724 RIESTAWIDA 10-04-1981 GURU BAHASA INGGRIS 
PERTAMA SMP 
ANALIS KEBIJAKAN 
PERTAMA 
GURU BAHASA INGGRIS 
PERTAMA SMA LULUS TIDAK 
LULUS LULUS 
1.955 610207560 
3880004 
108379 
6929 66112000184 RIESTHA MEGA SYARI 16-03-1988 NUTRISIONIS PELAKSANA LULUS TIDAK 
LULUS 
TIDAK 
LULUS 
1.956 617102131 
2890004 
122476 
2889 66113000723 RIFQI 13-12-1989 GURU MATEMATIKA 
PERTAMA LULUS TIDAK 
LULUS 
TIDAK 
LULUS
NO NIK 
NO 
REGIST 
ER 
NO PESERTA NAMA TANGGAL 
LAHIR PILIHAN JABATAN 1 NAMA JABATAN 2 NAMA JABATAN 3 STATUS 
PILIHAN 1 
STATUS 
PILIHAN 2 
STATUS 
PILIHAN 3 
1.957 617101480 
1920006 
151726 
1408 66113000810 RIKA DWI ANGGRAINI 08-01-1992 GURU MATEMATIKA 
PERTAMA 
ANALIS KEBIJAKAN 
PERTAMA LULUS TIDAK 
LULUS 
TIDAK 
LULUS 
1.958 617103670 
7840013 
104331 
6838 66113001316 RIKA HAZANITA 27-07-1984 GURU SEJARAH PERTAMA ANALIS KEBIJAKAN 
PERTAMA LULUS TIDAK 
LULUS 
TIDAK 
LULUS 
1.959 611201460 
1860009 
187663 
6321 66113001526 RIKA JANIARSI 06-01-1986 SANITARIAN PERTAMA ANALIS KEBIJAKAN 
PERTAMA LULUS TIDAK 
LULUS 
TIDAK 
LULUS 
1.960 617103510 
9820011 
186163 
2294 66113001014 RIKA LAURINA, SH 11-09-1982 PERANCANG PERUNDANG-UNDANGAN 
PERTAMA 
PENGAWAS 
KETENAGAKERJAAN 
PERTAMA 
ANALIS KEBIJAKAN 
PERTAMA LULUS LULUS LULUS 
1.961 610803030 
9870006 
145036 
0170 66113001296 RIKI SUGIARTO 03-09-1987 GURU BIOLOGI PERTAMA GURU IPA PERTAMA ANALIS KEBIJAKAN 
PERTAMA LULUS LULUS TIDAK 
LULUS 
1.962 617101270 
7830007 
206276 
8361 66113001436 RIKI SUKMAN,S.SOS.I 27-07-1983 ANALIS KEBIJAKAN 
PERTAMA LULUS TIDAK 
LULUS 
TIDAK 
LULUS 
1.963 617103410 
6850006 
192629 
8130 66113000337 RILLIANI MARTA 
SASNITA 01-06-1985 ANALIS KEBIJAKAN 
PERTAMA LULUS TIDAK 
LULUS 
TIDAK 
LULUS 
1.964 617103440 
4850013 
171519 
8515 66113001893 RIMA APRIYANI 04-04-1985 ANALIS KEBIJAKAN 
PERTAMA LULUS TIDAK 
LULUS 
TIDAK 
LULUS 
1.965 611209650 
7870004 
171469 
7278 66112000468 RINA 25-07-1987 BIDAN PELAKSANA LULUS TIDAK 
LULUS 
TIDAK 
LULUS 
1.966 617201700 
8880003 
175838 
3593 66113000394 RINA 30-08-1988 GURU BAHASA INGGRIS 
PERTAMA SMP 
GURU BAHASA INGGRIS 
PERTAMA SMA 
ANALIS KEBIJAKAN 
PERTAMA LULUS LULUS TIDAK 
LULUS 
1.967 617103691 
1810007 
144219 
8786 66113001205 RINA KUMALASARI, 
S.PD 29-11-1981 GURU MATEMATIKA 
PERTAMA LULUS TIDAK 
LULUS 
TIDAK 
LULUS 
1.968 611207430 
6910002 
192084 
2519 66112000640 RINA LESTARI 03-06-1991 PERAWAT PELAKSANA LULUS TIDAK 
LULUS 
TIDAK 
LULUS 
1.969 617102550 
2890002 
193717 
5703 66112000272 RINA NOVIANA 15-02-1989 NUTRISIONIS PELAKSANA LULUS TIDAK 
LULUS 
TIDAK 
LULUS 
1.970 617102621 
0830004 
178694 
4587 66113000844 RINA SUKARNINGSIH 22-10-1983 GURU MATEMATIKA 
PERTAMA 
ANALIS KEBIJAKAN 
PERTAMA LULUS TIDAK 
LULUS 
TIDAK 
LULUS 
1.971 611201640 
9880001 
116284 
0592 66113000915 RINDI DARMANITA, 
S.PD 24-09-1988 GURU BAHASA INGGRIS 
PERTAMA SMP 
GURU BAHASA INGGRIS 
PERTAMA SMA LULUS LULUS TIDAK 
LULUS 
1.972 611201540 
6920006 
146771 
7584 66112000115 RINI ANGGRAINI 14-06-1992 PENYUSUN RISALAH PENGADMINISTRASI UMUM LULUS LULUS TIDAK 
LULUS 
1.973 617102450 
7810006 
154419 
1845 66113000137 RINI ANGGREINI 05-07-1981 ANALIS KEBIJAKAN 
PERTAMA LULUS TIDAK 
LULUS 
TIDAK 
LULUS 
1.974 617101480 
4820005 
172153 
4880 66112000615 RINI APRIYANTI 08-04-1982 PENGADMINISTRASI UMUM PENYUSUN RISALAH LULUS LULUS TIDAK 
LULUS 
1.975 610810691 
1890001 
160131 
1792 66112000356 RINI HANDINI 29-11-1989 PERAWAT PELAKSANA LULUS TIDAK 
LULUS 
TIDAK 
LULUS 
1.976 617103620 
4870005 
165071 
4454 66113000006 RINI KARTINI 22-04-1987 PERANCANG PERUNDANG-UNDANGAN 
PERTAMA 
ANALIS KEBIJAKAN 
PERTAMA 
PENGAWAS 
KETENAGAKERJAAN 
PERTAMA 
LULUS LULUS LULUS
NO NIK 
NO 
REGIST 
ER 
NO PESERTA NAMA TANGGAL 
LAHIR PILIHAN JABATAN 1 NAMA JABATAN 2 NAMA JABATAN 3 STATUS 
PILIHAN 1 
STATUS 
PILIHAN 2 
STATUS 
PILIHAN 3 
1.977 610807411 
1840001 
141163 
9296 66113001367 RINI NIA NIRI 01-11-1984 PRANATA KOMPUTER 
PERTAMA 
ANALIS KEBIJAKAN 
PERTAMA LULUS LULUS TIDAK 
LULUS 
1.978 617105571 
1880005 
188783 
3813 66113000836 RINI NURINDAHSARI, 17-11-1988 GURU MATEMATIKA 
PERTAMA LULUS TIDAK 
LULUS 
TIDAK 
LULUS 
1.979 617101460 
5830010 
123959 
8528 66112000518 RINI PRIHARYANTI 06-05-1983 PENYUSUN RISALAH LULUS TIDAK 
LULUS 
TIDAK 
LULUS 
1.980 617103600 
2870006 
146103 
1431 66113001301 RINI PRIMA ANGGRAINI 20-02-1987 APOTEKER PERTAMA LULUS TIDAK 
LULUS 
TIDAK 
LULUS 
1.981 617101500 
5890007 
174268 
4734 66113000161 RINI RISKI 10-05-1989 PENYULUH KOPERASI PERENCANA PERTAMA ANALIS KERJASAMA DAN 
PERMODALAN LULUS LULUS LULUS 
1.982 617105500 
8810014 
194150 
3451 66112000703 RINI SUJANA 10-08-1981 PENGADMINISTRASI UMUM PENYUSUN RISALAH LULUS LULUS TIDAK 
LULUS 
1.983 611209590 
2800003 
193060 
5782 66113001282 RINI SULASTRI,SE 19-02-1980 ANALIS KEBIJAKAN 
PERTAMA LULUS TIDAK 
LULUS 
TIDAK 
LULUS 
1.984 611209670 
7810002 
179621 
9177 66113001568 RINI SUMARYANTI 27-07-1981 ANALIS KEBIJAKAN 
PERTAMA PERENCANA PERTAMA ANALIS ANGGARAN LULUS LULUS LULUS 
1.985 610310490 
7800002 
181087 
7750 66113001345 RINI SUMIATI 09-07-1980 ANALIS KEBIJAKAN 
PERTAMA LULUS TIDAK 
LULUS 
TIDAK 
LULUS 
1.986 617101610 
1870015 
158563 
5000 66113001373 RINI SURTILANI 21-01-1987 PEKERJA SOSIAL PERTAMA ANALIS KEBIJAKAN 
PERTAMA 
PENYULUH SOSIAL 
PERTAMA LULUS LULUS LULUS 
1.987 611207661 
0920002 
151613 
2640 66112000532 RINI UMI URMILLA 26-10-1992 VERIFIKATOR KEUANGAN LULUS TIDAK 
LULUS 
TIDAK 
LULUS 
1.988 611209620 
1920008 
179883 
7437 66113001726 RINIDA MARLIYANI 22-01-1992 GURU SEJARAH PERTAMA ANALIS KEBIJAKAN 
PERTAMA LULUS TIDAK 
LULUS 
TIDAK 
LULUS 
1.989 611201210 
4920008 
121447 
6083 66112000154 RINTO 21-04-1992 PERAWAT PELAKSANA LULUS TIDAK 
LULUS 
TIDAK 
LULUS 
1.990 610207060 
2800001 
193427 
9824 66113000255 RINTO.S.HI 06-02-1980 ANALIS KEBIJAKAN 
PERTAMA LULUS TIDAK 
LULUS 
TIDAK 
LULUS 
1.991 610112040 
7910005 
206332 
6873 66112000863 RIO 04-07-1991 PERAWAT PELAKSANA LULUS TIDAK 
LULUS 
TIDAK 
LULUS 
1.992 617101041 
1830012 
130001 
0674 66113001609 RIO EKSAKTO, SP 04-11-1983 ANALIS KEBIJAKAN 
PERTAMA LULUS TIDAK 
LULUS 
TIDAK 
LULUS 
1.993 127107091 
0890001 
169988 
9718 66113001433 RIO JANNER 
SINULINGGA 09-10-1989 DOKTER PERTAMA LULUS TIDAK 
LULUS 
TIDAK 
LULUS 
1.994 611201210 
1870008 
118343 
3790 66113001036 RIO KURNIADI 21-01-1987 ANALIS KEBIJAKAN 
PERTAMA LULUS TIDAK 
LULUS 
TIDAK 
LULUS 
1.995 617105271 
2900001 
170708 
6268 66113001710 RIO KURNIAWAN 27-12-1990 PRANATA KOMPUTER 
PERTAMA 
ANALIS KEBIJAKAN 
PERTAMA LULUS TIDAK 
LULUS 
TIDAK 
LULUS 
1.996 617101290 
5860003 
155353 
2517 66112000567 RIO NIZAR 29-05-1986 PENGADMINISTRASI UMUM PENYUSUN RISALAH LULUS LULUS TIDAK 
LULUS
NO NIK 
NO 
REGIST 
ER 
NO PESERTA NAMA TANGGAL 
LAHIR PILIHAN JABATAN 1 NAMA JABATAN 2 NAMA JABATAN 3 STATUS 
PILIHAN 1 
STATUS 
PILIHAN 2 
STATUS 
PILIHAN 3 
1.997 617101021 
2810010 
166909 
1412 66113001803 RIO SULISTIONO 02-12-1981 ANALIS KEBIJAKAN 
PERTAMA PENATA RUANG PERTAMA SURVEYOR PEMETAAN 
PERTAMA LULUS LULUS LULUS 
1.998 611201090 
8890009 
192743 
9842 66113000228 RIONALDI AGUNG 
PRASMOYO 09-08-1989 TEKNIK PENYEHATAN 
LINGKUNGAN PERTAMA 
PENGAWAS LINGKUNGAN 
HIDUP PERTAMA 
PENGENDALI DAMPAK 
LINGKUNGAN PERTAMA LULUS LULUS LULUS 
1.999 617103700 
5890010 
169122 
3838 66112000337 RIRIN ANTIKA 30-05-1989 VERIFIKATOR KEUANGAN LULUS TIDAK 
LULUS 
TIDAK 
LULUS 
2.000 617201450 
4870004 
163638 
6212 66113000656 RIRIN APRIANI 05-04-1987 ANALIS KEBIJAKAN 
PERTAMA LULUS TIDAK 
LULUS 
TIDAK 
LULUS 
2.001 610806570 
2900003 
175101 
4287 66113000426 RIRIN SUSANTI 17-02-1990 GURU SEJARAH PERTAMA ANALIS KEBIJAKAN 
PERTAMA LULUS TIDAK 
LULUS 
TIDAK 
LULUS 
2.002 617102420 
9850008 
162578 
8322 66113000498 RIRIN WAHYUNINGSIH 02-09-1985 SANITARIAN PERTAMA LULUS TIDAK 
LULUS 
TIDAK 
LULUS 
2.003 610108641 
0910002 
111570 
3235 66112000346 RISA ARISANDY 24-10-1991 BIDAN PELAKSANA LULUS TIDAK 
LULUS 
TIDAK 
LULUS 
2.004 617105590 
8820011 
168221 
3840 66113000755 RISA ERLINA 19-08-1982 ANALIS ANGGARAN ANALIS KEBIJAKAN 
PERTAMA PENYULUH KOPERASI LULUS LULUS LULUS 
2.005 611201630 
5840012 
143550 
0525 66113000607 RISA GESARA 23-05-1984 PERENCANA PERTAMA ANALIS ANGGARAN ANALIS KEBIJAKAN 
PERTAMA LULUS LULUS LULUS 
2.006 611206150 
1910003 
102261 
1706 66112000428 RISA KARTIKO 15-01-1991 PERAWAT PELAKSANA LULUS TIDAK 
LULUS 
TIDAK 
LULUS 
2.007 617106630 
8880001 
166827 
1283 66113000492 RISA MAHDIYANI 23-08-1988 MEDIATOR HUBUNGAN 
INDUSTRIAL PERTAMA LULUS TIDAK 
LULUS 
TIDAK 
LULUS 
2.008 351912460 
1900001 
133944 
0468 66113000321 RISCA SUKMAWATI 06-01-1990 GURU MATEMATIKA 
PERTAMA 
ANALIS KEBIJAKAN 
PERTAMA LULUS TIDAK 
LULUS 
TIDAK 
LULUS 
2.009 327508491 
0810013 
101601 
1723 66113000993 RISKA ALFAYANI, SH 09-10-1981 ANALIS KEBIJAKAN 
PERTAMA ANALIS LAYANAN UMUM 
PENGAWAS 
KETENAGAKERJAAN 
PERTAMA 
LULUS LULUS LULUS 
2.010 610103710 
3930002 
136353 
7201 66112000544 RISKA CLAUDIA 31-03-1993 BIDAN PELAKSANA LULUS TIDAK 
LULUS 
TIDAK 
LULUS 
2.011 611201631 
0890005 
176304 
9671 66113000302 RISKA MAULUDIANA 23-10-1989 PENGAWAS LINGKUNGAN 
HIDUP PERTAMA 
PENGENDALI DAMPAK 
LINGKUNGAN PERTAMA 
TEKNIK PENYEHATAN 
LINGKUNGAN PERTAMA LULUS LULUS LULUS 
2.012 617103580 
3880001 
144057 
5930 66113000279 RISKA MUTHIA, SH 18-03-1988 ANALIS KEBIJAKAN 
PERTAMA 
PENGAWAS 
KETENAGAKERJAAN 
PERTAMA 
ANALIS LAYANAN UMUM LULUS LULUS LULUS 
2.013 617101590 
3910006 
201278 
9624 66112000820 RISKA RAMADHANI 
LUBIS 19-03-1991 PENGADMINISTRASI UMUM PENYUSUN RISALAH LULUS LULUS TIDAK 
LULUS 
2.014 611201591 
0870001 
129989 
2164 66113001805 RISKY OKTAVIANTI 19-10-1987 ANALIS KEBIJAKAN 
PERTAMA LULUS TIDAK 
LULUS 
TIDAK 
LULUS 
2.015 610416491 
0920003 
152774 
5108 66112000456 RISMA ARYANI 09-10-1992 PENYUSUN RISALAH PENGADMINISTRASI UMUM LULUS LULUS TIDAK 
LULUS 
2.016 611201560 
9820002 
161006 
8329 66112000755 RISMAHITA DAMANIK 16-09-1982 PERAWAT PELAKSANA LULUS TIDAK 
LULUS 
TIDAK 
LULUS
NO NIK 
NO 
REGIST 
ER 
NO PESERTA NAMA TANGGAL 
LAHIR PILIHAN JABATAN 1 NAMA JABATAN 2 NAMA JABATAN 3 STATUS 
PILIHAN 1 
STATUS 
PILIHAN 2 
STATUS 
PILIHAN 3 
2.017 611209640 
4810008 
191667 
7867 66112000395 RISMAULI HUTASOIT 24-04-1981 PERAWAT PELAKSANA LULUS TIDAK 
LULUS 
TIDAK 
LULUS 
2.018 611201410 
2890010 
144552 
5232 66113001001 RISNA DARMANTA 01-02-1989 ANALIS KEBIJAKAN 
PERTAMA PEKERJA SOSIAL PERTAMA PENYULUH SOSIAL 
PERTAMA LULUS TIDAK 
LULUS 
TIDAK 
LULUS 
2.019 610801240 
4870003 
124854 
9471 66113001685 RISNO 24-04-1987 PENATA RUANG PERTAMA SURVEYOR PEMETAAN 
PERTAMA 
ANALIS KEBIJAKAN 
PERTAMA LULUS LULUS LULUS 
2.020 617103530 
9860009 
187191 
5534 66113000186 RISSA MAYASARI 13-09-1986 GURU MATEMATIKA 
PERTAMA 
ANALIS KEBIJAKAN 
PERTAMA LULUS TIDAK 
LULUS 
TIDAK 
LULUS 
2.021 617104421 
2910014 
188800 
0732 66113000297 RISTIWATI EKA SARI 02-12-1991 GURU GEOGRAFI PERTAMA ANALIS KEBIJAKAN 
PERTAMA LULUS TIDAK 
LULUS 
TIDAK 
LULUS 
2.022 611201530 
8810005 
178509 
1132 66112000771 RITA GUSFITA 13-08-1981 PENYUSUN RISALAH PENGADMINISTRASI UMUM LULUS LULUS TIDAK 
LULUS 
2.023 617102640 
1900005 
155199 
8106 66112000101 RITA JAYANTI 24-01-1990 PENGADMINISTRASI UMUM PENYUSUN RISALAH LULUS LULUS TIDAK 
LULUS 
2.024 617101410 
9860503 
117962 
1713 66113001284 RITA LISAWATI 01-09-1986 PENYULUH SOSIAL PERTAMA PEKERJA SOSIAL PERTAMA ANALIS KEBIJAKAN 
PERTAMA LULUS LULUS LULUS 
2.025 617105520 
8830001 
121538 
0461 66113000654 RITA NOVITA 12-08-1983 ANALIS KEBIJAKAN 
PERTAMA LULUS TIDAK 
LULUS 
TIDAK 
LULUS 
2.026 610215410 
9850001 
206028 
7205 66113001252 RITA ZAHARA 01-09-1985 GURU FISIKA PERTAMA GURU IPA PERTAMA ANALIS KEBIJAKAN 
PERTAMA LULUS LULUS TIDAK 
LULUS 
2.027 617105480 
4840011 
164236 
0685 66113001636 RITA ZAHARA 08-04-1984 PERENCANA PERTAMA LULUS TIDAK 
LULUS 
TIDAK 
LULUS 
2.028 617201540 
9830005 
136622 
6544 66112000600 RITAWATI SINAMBELA 14-09-1983 PENGADMINISTRASI UMUM PENYUSUN RISALAH LULUS LULUS TIDAK 
LULUS 
2.029 611208200 
6910003 
114302 
7651 66112000308 RIYAN RESTU RINALDI 20-06-1991 PERAWAT PELAKSANA LULUS TIDAK 
LULUS 
TIDAK 
LULUS 
2.030 617105431 
2860008 
196647 
2490 66113000007 RIYANTI NURDIANA 03-12-1986 GURU MATEMATIKA 
PERTAMA LULUS LULUS LULUS 
2.031 610501040 
5900006 
147068 
0222 66112000465 RIYO SAPUTRA 04-05-1990 PERAWAT PELAKSANA LULUS TIDAK 
LULUS 
TIDAK 
LULUS 
2.032 330404100 
2880003 
126868 
0010 66113000025 RIZAL ALQODRI 10-02-1988 SURVEYOR PEMETAAN 
PERTAMA 
ANALIS KEBIJAKAN 
PERTAMA LULUS LULUS TIDAK 
LULUS 
2.033 611201480 
2910011 
131918 
2311 66113000941 RIZCA MAYASARI 08-02-1991 ANALIS ANGGARAN PERENCANA PERTAMA ANALIS KERJASAMA DAN 
PERMODALAN LULUS LULUS LULUS 
2.034 617104090 
4880014 
110216 
8889 66113001700 RIZKA WINATA 09-04-1988 GURU BIOLOGI PERTAMA ANALIS KEBIJAKAN 
PERTAMA GURU IPA PERTAMA LULUS TIDAK 
LULUS LULUS 
2.035 610807150 
5900003 
116202 
2767 66113000193 RIZKI AGUNG 15-05-1990 GURU IPA PERTAMA GURU FISIKA PERTAMA ANALIS KEBIJAKAN 
PERTAMA LULUS LULUS TIDAK 
LULUS 
2.036 611201681 
1890001 
194969 
1724 66113001146 RIZKI AMALIA 28-11-1989 ANALIS KEBIJAKAN 
PERTAMA LULUS TIDAK 
LULUS 
TIDAK 
LULUS
NO NIK 
NO 
REGIST 
ER 
NO PESERTA NAMA TANGGAL 
LAHIR PILIHAN JABATAN 1 NAMA JABATAN 2 NAMA JABATAN 3 STATUS 
PILIHAN 1 
STATUS 
PILIHAN 2 
STATUS 
PILIHAN 3 
2.037 617201530 
5920002 
190131 
7397 66112000243 RIZKI EKA SAFITRI 13-05-1992 BIDAN PELAKSANA LULUS TIDAK 
LULUS 
TIDAK 
LULUS 
2.038 617101030 
8840009 
124295 
0631 66113001708 RIZKI HANAFI LUBIS, 
SE 03-08-1984 PENYULUH KOPERASI ANALIS KERJASAMA DAN 
PERMODALAN 
ANALIS KEBIJAKAN 
PERTAMA LULUS LULUS LULUS 
2.039 617103660 
4860003 
199031 
2653 66112000601 RIZKY AMELIA.A.MD 24-04-1986 PENGADMINISTRASI UMUM PENYUSUN RISALAH LULUS LULUS TIDAK 
LULUS 
2.040 610601480 
8900001 
178374 
3943 66113000449 RIZKY EMILIA 08-08-1990 GURU FISIKA PERTAMA GURU IPA PERTAMA LULUS LULUS TIDAK 
LULUS 
2.041 617102040 
6900001 
205627 
3890 66113000410 RIZKY JUNIARDA 04-06-1990 GURU MATEMATIKA 
PERTAMA LULUS TIDAK 
LULUS 
TIDAK 
LULUS 
2.042 611201640 
6920003 
208545 
3734 66113000089 RIZKY KURNIAWATI 24-06-1992 GURU IPA PERTAMA ANALIS KEBIJAKAN 
PERTAMA GURU FISIKA PERTAMA LULUS TIDAK 
LULUS LULUS 
2.043 611201270 
8910007 
202297 
1239 66113001141 RIZKY PRABOWO 
RAHINO 27-08-1991 ANALIS KERJASAMA DAN 
PERMODALAN PENYULUH KOPERASI ANALIS ANGGARAN LULUS LULUS LULUS 
2.044 611201650 
6920003 
116203 
5505 66113000136 RIZKY SRI HAJJAR 
YUNEA 25-06-1992 GURU SOSIOLOGI PERTAMA ANALIS KEBIJAKAN 
PERTAMA LULUS TIDAK 
LULUS 
TIDAK 
LULUS 
2.045 617101630 
1880003 
154677 
5704 66113001622 RIZTA WAHYUNINGSIH 23-01-1988 ANALIS KEBIJAKAN 
PERTAMA LULUS TIDAK 
LULUS 
TIDAK 
LULUS 
2.046 617103120 
7840014 
144009 
4513 66113000615 RIZZALDI 01-07-1984 ANALIS KEBIJAKAN 
PERTAMA LULUS TIDAK 
LULUS 
TIDAK 
LULUS 
2.047 611209080 
4870004 
174239 
1156 66112000685 RO'IL 08-04-1987 PENGADMINISTRASI UMUM LULUS TIDAK 
LULUS 
TIDAK 
LULUS 
2.048 611201190 
1810005 
111567 
1114 66112000294 ROBERT SYARIFUDDIN 
KOLLMAN 19-01-1981 VERIFIKATOR KEUANGAN LULUS TIDAK 
LULUS 
TIDAK 
LULUS 
2.049 610105170 
2880006 
194927 
6959 66112000107 ROBI WAHYUDI 17-02-1988 PENGADMINISTRASI UMUM PENYUSUN RISALAH LULUS LULUS TIDAK 
LULUS 
2.050 617201200 
3850001 
138347 
3452 66113000094 ROBI, S. SOS. I 20-03-1985 ANALIS KEBIJAKAN 
PERTAMA LULUS TIDAK 
LULUS 
TIDAK 
LULUS 
2.051 617101310 
1910004 
134595 
5380 66113001688 ROBIE ASTA 31-01-1991 SURVEYOR PEMETAAN 
PERTAMA PENATA RUANG PERTAMA LULUS LULUS TIDAK 
LULUS 
2.052 617105121 
2790012 
210498 
1815 66113001798 ROBYANSYAH, SE 12-12-1979 PENYULUH KOPERASI ANALIS KERJASAMA DAN 
PERMODALAN ANALIS ANGGARAN LULUS LULUS LULUS 
2.053 611207540 
4930003 
159276 
0733 66112000471 ROCHIMAH 13-04-1993 PERAWAT PELAKSANA LULUS TIDAK 
LULUS 
TIDAK 
LULUS 
2.054 611203480 
5820002 
186253 
9219 66113001737 ROHANIYAH 08-05-1982 ANALIS KEBIJAKAN 
PERTAMA LULUS TIDAK 
LULUS 
TIDAK 
LULUS 
2.055 611208540 
2900002 
185668 
7065 66112000761 ROHILAH 14-08-1990 PERAWAT PELAKSANA LULUS TIDAK 
LULUS 
TIDAK 
LULUS 
2.056 617104211 
2860002 
191091 
0664 66112000360 ROHMA JAYA PURBA 21-12-1986 NUTRISIONIS PELAKSANA LULUS TIDAK 
LULUS 
TIDAK 
LULUS
NO NIK 
NO 
REGIST 
ER 
NO PESERTA NAMA TANGGAL 
LAHIR PILIHAN JABATAN 1 NAMA JABATAN 2 NAMA JABATAN 3 STATUS 
PILIHAN 1 
STATUS 
PILIHAN 2 
STATUS 
PILIHAN 3 
2.057 611207650 
3890001 
197765 
0009 66113000400 ROHMAIDATIN 25-03-1989 GURU MATEMATIKA 
PERTAMA LULUS TIDAK 
LULUS 
TIDAK 
LULUS 
2.058 611203530 
7900002 
170097 
1005 66113001358 ROHMATUL WASIAH 13-07-1990 ANALIS KEBIJAKAN 
PERTAMA LULUS TIDAK 
LULUS 
TIDAK 
LULUS 
2.059 611202490 
4860003 
173862 
5452 66113000316 ROKIBATUYYANAH 09-04-1986 GURU MATEMATIKA 
PERTAMA 
ANALIS KEBIJAKAN 
PERTAMA LULUS TIDAK 
LULUS 
TIDAK 
LULUS 
2.060 611201030 
8820003 
119470 
0011 66113001190 ROMI ZUANTO 03-08-1982 TEKNIK TATA BANGUNAN 
DAN PERUMAHAN PERTAMA LULUS TIDAK 
LULUS 
TIDAK 
LULUS 
2.061 617105501 
2850012 
180427 
4706 66113000913 RONA DESI ARISANDI 
S,SI 10-12-1985 ANALIS KEBIJAKAN 
PERTAMA LULUS TIDAK 
LULUS 
TIDAK 
LULUS 
2.062 210306111 
1920001 
168558 
6933 66112000033 RONI FASLAH 11-11-1992 PERAWAT PELAKSANA LULUS TIDAK 
LULUS 
TIDAK 
LULUS 
2.063 617103110 
4860003 
162774 
5577 66113001602 RONNY ARI INDRAWAN 11-04-1986 PRANATA KOMPUTER 
PERTAMA 
ANALIS KEBIJAKAN 
PERTAMA LULUS LULUS TIDAK 
LULUS 
2.064 611202571 
0900001 
200928 
3061 66112000217 RORIANA 17-10-1990 BIDAN PELAKSANA LULUS TIDAK 
LULUS 
TIDAK 
LULUS 
2.065 617102650 
3900003 
214578 
6188 66113000661 ROSA JENIRIA 25-03-1990 GURU SEJARAH PERTAMA ANALIS KEBIJAKAN 
PERTAMA LULUS TIDAK 
LULUS 
TIDAK 
LULUS 
2.066 317505601 
1800008 
158074 
5086 66113001524 ROSALINA HARAHAP 20-11-1980 ANALIS KEBIJAKAN 
PERTAMA GURU IPA PERTAMA GURU FISIKA PERTAMA TIDAK 
LULUS LULUS LULUS 
2.067 617101680 
5880006 
144408 
2235 66113001479 ROSALINA SITINJAK 28-05-1988 GURU BAHASA INGGRIS 
PERTAMA SMA 
GURU BAHASA INGGRIS 
PERTAMA SMP LULUS LULUS TIDAK 
LULUS 
2.068 610702640 
4820004 
133613 
1104 66112000632 ROSALINA TITIN 24-04-1982 PENGADMINISTRASI UMUM LULUS TIDAK 
LULUS 
TIDAK 
LULUS 
2.069 611201581 
0850004 
200956 
3434 66112000512 ROSE OCTA LINA 18-10-1985 NUTRISIONIS PELAKSANA LULUS TIDAK 
LULUS 
TIDAK 
LULUS 
2.070 617101460 
9820012 
191514 
8205 66112000834 ROSI PURWANTI 06-09-1982 NUTRISIONIS PELAKSANA LULUS TIDAK 
LULUS 
TIDAK 
LULUS 
2.071 610207511 
0900002 
179762 
1497 66113001588 ROSIDAH 11-10-1990 ANALIS KEBIJAKAN 
PERTAMA LULUS TIDAK 
LULUS 
TIDAK 
LULUS 
2.072 610201140 
4850008 
112433 
1747 66113001273 ROSIHAN SYITRABUDI 14-04-1985 GURU SEJARAH PERTAMA LULUS TIDAK 
LULUS 
TIDAK 
LULUS 
2.073 110712541 
0810002 
201457 
4697 66112000779 ROSINTA SIBURIAN 14-10-1981 PENGADMINISTRASI UMUM PENYUSUN RISALAH LULUS LULUS TIDAK 
LULUS 
2.074 617103660 
2890011 
207055 
4349 66113000422 ROSITA 26-02-1989 GURU BAHASA INGGRIS 
PERTAMA SMP 
GURU BAHASA INGGRIS 
PERTAMA SMA LULUS LULUS TIDAK 
LULUS 
2.075 617103670 
6870003 
194176 
1736 66113001006 ROSITA 27-06-1987 ANALIS KEBIJAKAN 
PERTAMA LULUS TIDAK 
LULUS 
TIDAK 
LULUS 
2.076 617101490 
6850509 
136081 
7126 66113001846 ROSITA JUNIDA 09-06-1985 ANALIS KEBIJAKAN 
PERTAMA LULUS TIDAK 
LULUS 
TIDAK 
LULUS
NO NIK 
NO 
REGIST 
ER 
NO PESERTA NAMA TANGGAL 
LAHIR PILIHAN JABATAN 1 NAMA JABATAN 2 NAMA JABATAN 3 STATUS 
PILIHAN 1 
STATUS 
PILIHAN 2 
STATUS 
PILIHAN 3 
2.077 611207600 
8870002 
168963 
2097 66113001672 ROSITASARI 20-08-1987 GURU MATEMATIKA 
PERTAMA LULUS TIDAK 
LULUS 
TIDAK 
LULUS 
2.078 611209630 
6900003 
184278 
9609 66113000852 ROSLINA 23-06-1990 GURU SEJARAH PERTAMA LULUS TIDAK 
LULUS 
TIDAK 
LULUS 
2.079 610501670 
3920001 
193796 
5060 66113000687 ROSMASARI SI RINGO 
RINGO 27-03-1992 PENGENDALI DAMPAK 
LINGKUNGAN PERTAMA 
PENGAWAS LINGKUNGAN 
HIDUP PERTAMA 
TEKNIK PENYEHATAN 
LINGKUNGAN PERTAMA LULUS LULUS LULUS 
2.080 617106440 
9840001 
178833 
4789 66112000743 ROSMEDIA AYUB 
SEMARA SIMAIBANG 04-09-1984 VERIFIKATOR KEUANGAN LULUS TIDAK 
LULUS 
TIDAK 
LULUS 
2.081 611002411 
2870001 
137501 
0993 66112000248 ROSMITA 01-12-1987 PERAWAT PELAKSANA LULUS TIDAK 
LULUS 
TIDAK 
LULUS 
2.082 610105270 
8880003 
131533 
5435 66113001801 ROSYANDI ZULFIKAR 27-08-1988 PRANATA KOMPUTER 
PERTAMA 
ANALIS KEBIJAKAN 
PERTAMA LULUS LULUS TIDAK 
LULUS 
2.083 617201651 
0830003 
100546 
9825 66113000142 ROTUA BR TAMBUNAN 
S.PD.ING 25-10-1983 GURU BAHASA INGGRIS 
PERTAMA SMA LULUS TIDAK 
LULUS 
TIDAK 
LULUS 
2.084 617201020 
9860001 
145623 
7814 66113000955 ROVI PERANTISA, ST 02-09-1986 TEKNIK TATA BANGUNAN 
DAN PERUMAHAN PERTAMA LULUS TIDAK 
LULUS 
TIDAK 
LULUS 
2.085 617105231 
2870003 
118534 
2895 66113001828 ROY FREDDY 
SIHOMBING 23-12-1987 ANALIS KEBIJAKAN 
PERTAMA LULUS TIDAK 
LULUS 
TIDAK 
LULUS 
2.086 611202640 
7910001 
141132 
8742 66113000442 ROZENILIA 24-07-1991 GURU MATEMATIKA 
PERTAMA 
ANALIS KEBIJAKAN 
PERTAMA LULUS TIDAK 
LULUS 
TIDAK 
LULUS 
2.087 611206101 
1910001 
170658 
7564 66113000155 RUBANGI 10-11-1991 GURU SEJARAH PERTAMA ANALIS KEBIJAKAN 
PERTAMA LULUS TIDAK 
LULUS 
TIDAK 
LULUS 
2.088 610807150 
2880004 
181355 
2154 66112000091 RUDI 01-01-1990 PENYUSUN RISALAH PENGADMINISTRASI UMUM LULUS LULUS TIDAK 
LULUS 
2.089 610113081 
0890002 
152527 
0550 66113000882 RUDI 08-10-1989 GURU MATEMATIKA 
PERTAMA 
ANALIS KEBIJAKAN 
PERTAMA LULUS TIDAK 
LULUS 
TIDAK 
LULUS 
2.090 617104190 
5890006 
189592 
8394 66112000148 RUDI TEGUH PRAYITNO 19-05-1989 VERIFIKATOR KEUANGAN LULUS TIDAK 
LULUS 
TIDAK 
LULUS 
2.091 617103260 
2890016 
150209 
7055 66113000360 RULLY FEBRIAN 26-02-1989 PERANCANG PERUNDANG-UNDANGAN 
PERTAMA 
PENGAWAS 
KETENAGAKERJAAN 
PERTAMA 
ANALIS LAYANAN UMUM LULUS LULUS LULUS 
2.092 610208040 
8850003 
168832 
6494 66112000830 RULLY PENALEMEN 
TARIGAN 04-08-1985 PENGADMINISTRASI UMUM LULUS TIDAK 
LULUS 
TIDAK 
LULUS 
2.093 611205520 
7880002 
187906 
9619 66112000725 RUMIAWATI 12-07-1988 PERAWAT PELAKSANA LULUS TIDAK 
LULUS 
TIDAK 
LULUS 
2.094 617105540 
5850005 
194006 
7875 66113001145 RUMLAH MUDIAWATI 14-05-1985 GURU MATEMATIKA 
PERTAMA LULUS TIDAK 
LULUS 
TIDAK 
LULUS 
2.095 611203530 
5890001 
128851 
1805 66113000554 RUPI'AH 13-05-1989 GURU GEOGRAFI PERTAMA LULUS TIDAK 
LULUS 
TIDAK 
LULUS 
2.096 611205240 
5890001 
181638 
8743 66113000035 RUSDIANTO 24-05-1989 GURU MATEMATIKA 
PERTAMA 
ANALIS KEBIJAKAN 
PERTAMA LULUS TIDAK 
LULUS 
TIDAK 
LULUS
NO NIK 
NO 
REGIST 
ER 
NO PESERTA NAMA TANGGAL 
LAHIR PILIHAN JABATAN 1 NAMA JABATAN 2 NAMA JABATAN 3 STATUS 
PILIHAN 1 
STATUS 
PILIHAN 2 
STATUS 
PILIHAN 3 
2.097 617201120 
3840007 
133234 
8186 66113000123 RUSDIMIN 12-03-1984 SURVEYOR PEMETAAN 
PERTAMA PENATA RUANG PERTAMA ANALIS KEBIJAKAN 
PERTAMA LULUS LULUS LULUS 
2.098 610412490 
6890006 
208629 
8291 66113001193 RUSLIA 09-06-1989 GURU SEJARAH PERTAMA ANALIS KEBIJAKAN 
PERTAMA LULUS TIDAK 
LULUS 
TIDAK 
LULUS 
2.099 611209680 
5910002 
128491 
2306 66112000707 RUSNAWATI 28-05-1991 PENYUSUN RISALAH PENGADMINISTRASI UMUM LULUS LULUS TIDAK 
LULUS 
2.100 610112511 
1890001 
137398 
0906 66113001431 RUSZMINA 11-11-1989 PEKERJA SOSIAL PERTAMA PENYULUH SOSIAL 
PERTAMA 
ANALIS KEBIJAKAN 
PERTAMA LULUS LULUS LULUS 
2.101 617201220 
5890002 
169222 
4759 66113001898 RYAN FERDI IRAWAN 22-05-1989 PRANATA KOMPUTER 
PERTAMA 
ANALIS KEBIJAKAN 
PERTAMA LULUS LULUS TIDAK 
LULUS 
2.102 617102230 
8900006 
169932 
6310 66113001165 RYAN ISKANDAR 23-08-1990 ANALIS KEBIJAKAN 
PERTAMA LULUS TIDAK 
LULUS 
TIDAK 
LULUS 
2.103 611201160 
6890004 
149076 
2603 66113000348 RYO YUDHA PRADITA 16-06-1989 TEKNIK TATA BANGUNAN 
DAN PERUMAHAN PERTAMA 
ANALIS KEBIJAKAN 
PERTAMA LULUS LULUS TIDAK 
LULUS 
2.104 617101490 
9910006 
205849 
1616 66112000258 RYSDA 
RESTYANINGRUM 09-09-1991 PENGADMINISTRASI UMUM PENYUSUN RISALAH LULUS LULUS TIDAK 
LULUS 
2.105 617101560 
1920007 
154922 
0248 66112000397 RYZKA ANANDA PUTRI 16-01-1992 BIDAN PELAKSANA LULUS TIDAK 
LULUS 
TIDAK 
LULUS 
2.106 610217501 
0900001 
199316 
5229 66113000981 S. SRI RAHAYU 10-10-1990 PENGAWAS LINGKUNGAN 
HIDUP PERTAMA 
ANALIS KEBIJAKAN 
PERTAMA 
PENGENDALI DAMPAK 
LINGKUNGAN PERTAMA LULUS LULUS LULUS 
2.107 617103611 
1850502 
140289 
0292 66113000301 SAADATUL AINI 21-11-1985 GURU MATEMATIKA 
PERTAMA LULUS TIDAK 
LULUS 
TIDAK 
LULUS 
2.108 611203590 
9840005 
131535 
5449 66112000426 SABANIAH,A.MD.KEP 19-09-1984 PERAWAT PELAKSANA LULUS TIDAK 
LULUS 
TIDAK 
LULUS 
2.109 611201450 
3830014 
178210 
2839 66113000034 SABARIAH 05-03-1983 ANALIS KEBIJAKAN 
PERTAMA LULUS TIDAK 
LULUS 
TIDAK 
LULUS 
2.110 617103120 
6820008 
180224 
6802 66113000748 SABARUDIN 12-06-1982 PENATA RUANG PERTAMA SURVEYOR PEMETAAN 
PERTAMA 
ANALIS KEBIJAKAN 
PERTAMA LULUS LULUS LULUS 
2.111 617106420 
1880003 
205486 
3507 66113001523 SABRINA FAJAR YANTI 
LINGGA 02-01-1988 GURU BAHASA INGGRIS 
PERTAMA SMP LULUS TIDAK 
LULUS 
TIDAK 
LULUS 
2.112 611205250 
9870001 
151217 
2081 66113001543 SAEFULHAQ 25-09-1987 GURU MATEMATIKA 
PERTAMA 
ANALIS KEBIJAKAN 
PERTAMA LULUS TIDAK 
LULUS 
TIDAK 
LULUS 
2.113 610207021 
0850001 
149293 
8653 66113001155 SAFARIANSYAH 02-10-1985 ANALIS KEBIJAKAN 
PERTAMA LULUS TIDAK 
LULUS 
TIDAK 
LULUS 
2.114 610201010 
1880017 
167297 
7899 66113000550 SAIPUL ANWAR 01-01-1988 GURU MATEMATIKA 
PERTAMA LULUS TIDAK 
LULUS 
TIDAK 
LULUS 
2.115 611205280 
2900002 
206490 
8291 66112000185 SALIHIN 28-02-1990 PERAWAT PELAKSANA LULUS TIDAK 
LULUS 
TIDAK 
LULUS 
2.116 617106031 
1860005 
148609 
8187 66113000682 SALIM,S.PD 03-11-1986 GURU IPA PERTAMA LULUS TIDAK 
LULUS 
TIDAK 
LULUS
NO NIK 
NO 
REGIST 
ER 
NO PESERTA NAMA TANGGAL 
LAHIR PILIHAN JABATAN 1 NAMA JABATAN 2 NAMA JABATAN 3 STATUS 
PILIHAN 1 
STATUS 
PILIHAN 2 
STATUS 
PILIHAN 3 
2.117 617105420 
4820011 
187324 
0813 66113000709 SALMAH 02-04-1982 GURU BAHASA INGGRIS 
PERTAMA SMP LULUS TIDAK 
LULUS 
TIDAK 
LULUS 
2.118 611209500 
9870004 
145916 
2208 66113001486 SALMAH 10-09-1987 GURU MATEMATIKA 
PERTAMA 
ANALIS KEBIJAKAN 
PERTAMA LULUS TIDAK 
LULUS 
TIDAK 
LULUS 
2.119 611209530 
5820002 
210040 
8755 66113001856 SALMAH 13-05-1982 PEKERJA SOSIAL PERTAMA PENYULUH SOSIAL 
PERTAMA 
ANALIS KEBIJAKAN 
PERTAMA LULUS LULUS LULUS 
2.120 611203040 
2870004 
207074 
5833 66113001533 SALMAN 04-02-1987 GURU MATEMATIKA 
PERTAMA 
ANALIS KEBIJAKAN 
PERTAMA LULUS TIDAK 
LULUS 
TIDAK 
LULUS 
2.121 611203440 
7860003 
156112 
5830 66113001785 SAMUNA AMINI 04-07-1986 ANALIS KEBIJAKAN 
PERTAMA LULUS TIDAK 
LULUS 
TIDAK 
LULUS 
2.122 611203190 
7880002 
201269 
8742 66113001556 SANDI AL-FATIH 19-07-1988 GURU MATEMATIKA 
PERTAMA 
ANALIS KEBIJAKAN 
PERTAMA LULUS TIDAK 
LULUS 
TIDAK 
LULUS 
2.123 611209410 
4870006 
160610 
9550 66113000704 SANTI NORMALASARI 01-04-1987 GURU MATEMATIKA 
PERTAMA 
ANALIS KEBIJAKAN 
PERTAMA LULUS TIDAK 
LULUS 
TIDAK 
LULUS 
2.124 120204471 
1920003 
132081 
5550 66112000158 SANTI NOVA SAMOSIR 07-11-1992 BIDAN PELAKSANA LULUS TIDAK 
LULUS 
TIDAK 
LULUS 
2.125 617104480 
9870008 
181052 
8507 66113001098 SANTI PURNAMA 
SIMANJUNTAK 08-09-1987 PENYULUH KOPERASI PERENCANA PERTAMA ANALIS ANGGARAN LULUS LULUS LULUS 
2.126 611201510 
4860008 
195058 
8097 66112000475 SANTI SOFIANA 11-04-1986 BIDAN PELAKSANA LULUS TIDAK 
LULUS 
TIDAK 
LULUS 
2.127 617103640 
9900006 
154367 
4410 66112000781 SANTI WIDASARI 24-09-1990 PENGADMINISTRASI UMUM PENYUSUN RISALAH LULUS LULUS TIDAK 
LULUS 
2.128 610901490 
9820006 
177561 
5623 66113001348 SANTI YULIUS 
YOLANDA 09-09-1982 PERENCANA PERTAMA ANALIS ANGGARAN ANALIS KEBIJAKAN 
PERTAMA LULUS LULUS LULUS 
2.129 617103580 
9800009 
209446 
1066 66113000773 SANTIANA 
AMRAINI,S.KOM 18-09-1980 PRANATA KOMPUTER 
PERTAMA LULUS TIDAK 
LULUS 
TIDAK 
LULUS 
2.130 617105100 
4830010 
131735 
6688 66113000549 SANTO YAKOBUS 10-04-1983 GURU BAHASA INDONESIA 
PERTAMA 
ANALIS KEBIJAKAN 
PERTAMA LULUS TIDAK 
LULUS 
TIDAK 
LULUS 
2.131 617102510 
2900007 
194990 
0514 66112000340 SANTRI UTAMI 11-02-1990 PENGADMINISTRASI UMUM PENYUSUN RISALAH LULUS LULUS TIDAK 
LULUS 
2.132 617102460 
6880007 
147513 
0941 66113000521 SANTY WIDYA PRATIWI 06-06-1988 GURU BAHASA INGGRIS 
PERTAMA SMP LULUS TIDAK 
LULUS 
TIDAK 
LULUS 
2.133 611205460 
6880003 
212460 
2293 66112000606 SAPARIYANI 06-06-1988 PERAWAT PELAKSANA LULUS TIDAK 
LULUS 
TIDAK 
LULUS 
2.134 610901410 
9900008 
189071 
4845 66113000675 SAPITRI ANGGERAYNI 01-09-1990 GURU SEJARAH PERTAMA LULUS TIDAK 
LULUS 
TIDAK 
LULUS 
2.135 610201430 
4890002 
138919 
3428 66113000211 SAPRIL YA 
DINIHARYANTY 03-04-1989 GURU SEJARAH PERTAMA ANALIS KEBIJAKAN 
PERTAMA LULUS TIDAK 
LULUS 
TIDAK 
LULUS 
2.136 617101260 
7820007 
162984 
2480 66113000509 SAPTO PUNGKASAN 26-07-1982 ANALIS KEBIJAKAN 
PERTAMA LULUS TIDAK 
LULUS 
TIDAK 
LULUS
NO NIK 
NO 
REGIST 
ER 
NO PESERTA NAMA TANGGAL 
LAHIR PILIHAN JABATAN 1 NAMA JABATAN 2 NAMA JABATAN 3 STATUS 
PILIHAN 1 
STATUS 
PILIHAN 2 
STATUS 
PILIHAN 3 
2.137 610218691 
1910001 
109215 
8012 66113001401 SARI AMRAINI 29-11-1991 GURU BAHASA INGGRIS 
PERTAMA SMP 
GURU BAHASA INGGRIS 
PERTAMA SMA 
ANALIS KEBIJAKAN 
PERTAMA LULUS LULUS TIDAK 
LULUS 
2.138 617105501 
0890004 
121773 
7672 66113001903 SARI HIDAYATI 10-10-1989 GURU SEJARAH PERTAMA LULUS TIDAK 
LULUS 
TIDAK 
LULUS 
2.139 611209420 
5900005 
156685 
1179 66113000911 SARI MAILANI 02-05-1990 GURU MATEMATIKA 
PERTAMA LULUS TIDAK 
LULUS 
TIDAK 
LULUS 
2.140 611201590 
6860014 
151685 
8972 66113000243 SARI NURDIANA 19-06-1986 GURU IPA PERTAMA GURU BIOLOGI PERTAMA ANALIS KEBIJAKAN 
PERTAMA LULUS LULUS TIDAK 
LULUS 
2.141 611201620 
9900005 
185324 
8180 66113001321 SARI SAPRIATI YUSNITA 22-09-1990 GURU SEJARAH PERTAMA LULUS TIDAK 
LULUS 
TIDAK 
LULUS 
2.142 617105500 
3840002 
197991 
9442 66113000534 SARIATI 10-03-1984 GURU BAHASA INGGRIS 
PERTAMA SMP 
GURU BAHASA INGGRIS 
PERTAMA SMA 
ANALIS KEBIJAKAN 
PERTAMA LULUS LULUS TIDAK 
LULUS 
2.143 611201410 
5870015 
158368 
2503 66113000315 SARIDAH 01-05-1987 GURU SEJARAH PERTAMA ANALIS KEBIJAKAN 
PERTAMA LULUS TIDAK 
LULUS 
TIDAK 
LULUS 
2.144 610119470 
7920001 
158959 
7812 66113000487 SARTIKA 07-07-1990 GURU SEJARAH PERTAMA ANALIS KEBIJAKAN 
PERTAMA LULUS TIDAK 
LULUS 
TIDAK 
LULUS 
2.145 617104571 
0870018 
162489 
6362 66113001228 SARTIKA 17-10-1987 ANALIS ANGGARAN ANALIS KERJASAMA DAN 
PERMODALAN PENYULUH KOPERASI LULUS LULUS LULUS 
2.146 611201070 
5830011 
212136 
7409 66113000500 SATFEN RONI YASNIA 
NOHALID 07-05-1983 PERENCANA PERTAMA PENYULUH KOPERASI ANALIS KEBIJAKAN 
PERTAMA LULUS LULUS LULUS 
2.147 611201250 
6880009 
188217 
0999 66113000124 SATRIA SUPRIADI 25-06-1988 ANALIS KEBIJAKAN 
PERTAMA 
GURU BAHASA INGGRIS 
PERTAMA SMP 
GURU BAHASA INGGRIS 
PERTAMA SMA 
TIDAK 
LULUS LULUS LULUS 
2.148 611202050 
6870001 
129575 
9603 66113000655 SAWANTONO 05-06-1987 PEKERJA SOSIAL PERTAMA PENYULUH SOSIAL 
PERTAMA 
ANALIS KEBIJAKAN 
PERTAMA LULUS LULUS LULUS 
2.149 610201120 
5800001 
174744 
2409 66112000546 SEBIANUS RUDI 12-05-1980 PENGADMINISTRASI UMUM LULUS TIDAK 
LULUS 
TIDAK 
LULUS 
2.150 610812670 
3920003 
153619 
2231 66112000096 SEKOLASTIKA MERRY 27-03-1992 BIDAN PELAKSANA LULUS TIDAK 
LULUS 
TIDAK 
LULUS 
2.151 611201620 
2900007 
151619 
7259 66113000108 SELLI UTAMI 22-02-1990 ANALIS KEBIJAKAN 
PERTAMA 
GURU MATEMATIKA 
PERTAMA 
TIDAK 
LULUS LULUS TIDAK 
LULUS 
2.152 617105570 
5930004 
202622 
8807 66112000689 SELLY WIJAYANTI 17-05-1993 VERIFIKATOR KEUANGAN LULUS TIDAK 
LULUS 
TIDAK 
LULUS 
2.153 611201640 
9850007 
184345 
0414 66112000331 SELVI SEPTIANI 24-09-1985 VERIFIKATOR KEUANGAN LULUS TIDAK 
LULUS 
TIDAK 
LULUS 
2.154 617105430 
3860007 
185274 
0556 66113000940 SELVIA SARTIKA 03-03-1986 PERENCANA PERTAMA PENYULUH KOPERASI ANALIS KERJASAMA DAN 
PERMODALAN LULUS LULUS LULUS 
2.155 611201541 
0870003 
192326 
2620 66112000639 SELVIAH OKTAVIANI 14-10-1987 VERIFIKATOR KEUANGAN LULUS TIDAK 
LULUS 
TIDAK 
LULUS 
2.156 617105711 
2910001 
210457 
9216 66112000581 SELVIANA MAHARANI 31-12-1991 VERIFIKATOR KEUANGAN LULUS TIDAK 
LULUS 
TIDAK 
LULUS
NO NIK 
NO 
REGIST 
ER 
NO PESERTA NAMA TANGGAL 
LAHIR PILIHAN JABATAN 1 NAMA JABATAN 2 NAMA JABATAN 3 STATUS 
PILIHAN 1 
STATUS 
PILIHAN 2 
STATUS 
PILIHAN 3 
2.157 617101521 
2890004 
147565 
0320 66112000525 SELVIANA NITA 12-12-1989 PENGADMINISTRASI UMUM LULUS TIDAK 
LULUS 
TIDAK 
LULUS 
2.158 610104511 
0920006 
159048 
3790 66112000190 SELVY DWI OCTARY 11-10-1992 PERAWAT PELAKSANA LULUS TIDAK 
LULUS 
TIDAK 
LULUS 
2.159 617106560 
7910001 
195971 
2554 66113000271 SENDI YULIANTI 16-07-1991 PENGAWAS LINGKUNGAN 
HIDUP PERTAMA 
PENGENDALI DAMPAK 
LINGKUNGAN PERTAMA LULUS LULUS TIDAK 
LULUS 
2.160 611201551 
0930003 
174267 
2804 66112000078 SENDY OCTAVIA 15-10-1993 BIDAN PELAKSANA LULUS TIDAK 
LULUS 
TIDAK 
LULUS 
2.161 617101061 
2890004 
168107 
2566 66113001144 SENDY RYAN ANUGRAH 06-12-1989 ANALIS KEBIJAKAN 
PERTAMA LULUS TIDAK 
LULUS 
TIDAK 
LULUS 
2.162 610201450 
3910003 
169618 
4868 66112000690 SENIMA 05-03-1991 PENGADMINISTRASI UMUM PENYUSUN RISALAH LULUS LULUS TIDAK 
LULUS 
2.163 610207610 
5870003 
186302 
7933 66112000112 SENJA KUSUMA DEWI 21-05-1987 VERIFIKATOR KEUANGAN LULUS TIDAK 
LULUS 
TIDAK 
LULUS 
2.164 617102410 
9920015 
177030 
5398 66112000174 SEPRIKA ULANDARI 01-09-1992 BIDAN PELAKSANA LULUS TIDAK 
LULUS 
TIDAK 
LULUS 
2.165 611209540 
9880005 
141810 
2846 66113000333 SEPTA NUR AFNI 14-09-1988 GURU BAHASA INGGRIS 
PERTAMA SMP 
GURU BAHASA INGGRIS 
PERTAMA SMA 
ANALIS KEBIJAKAN 
PERTAMA LULUS LULUS TIDAK 
LULUS 
2.166 617101690 
9920002 
199447 
9850 66112000151 SEPTI AN,NISAH 29-09-1992 PENGADMINISTRASI UMUM PENYUSUN RISALAH LULUS LULUS TIDAK 
LULUS 
2.167 610107500 
9910002 
176584 
9000 66112000758 SEPTI ARINI 10-09-1991 BIDAN PELAKSANA LULUS TIDAK 
LULUS 
TIDAK 
LULUS 
2.168 617203630 
9900001 
141414 
2809 66112000380 SEPTI NUGRAHANTI 23-09-1990 BIDAN PELAKSANA LULUS TIDAK 
LULUS 
TIDAK 
LULUS 
2.169 611209630 
9900001 
208800 
0187 66113001387 SEPTIA ANGGRAENI 23-09-1990 ANALIS KEBIJAKAN 
PERTAMA LULUS TIDAK 
LULUS 
TIDAK 
LULUS 
2.170 610301490 
9880002 
138133 
7015 66112000559 SEPTRI NURENI 09-09-1988 BIDAN PELAKSANA LULUS TIDAK 
LULUS 
TIDAK 
LULUS 
2.171 617101121 
0840010 
184868 
1738 66113000609 SEPTRI OKTARIANGGA, 
ST 12-10-1984 PENATA RUANG PERTAMA ANALIS KEBIJAKAN 
PERTAMA 
SURVEYOR PEMETAAN 
PERTAMA LULUS LULUS LULUS 
2.172 617103510 
5850011 
158613 
8746 66113001388 SERI HUMAIRAH 11-05-1985 ANALIS KEBIJAKAN 
PERTAMA LULUS TIDAK 
LULUS 
TIDAK 
LULUS 
2.173 617103640 
5850017 
132809 
5894 66113000933 SERI MULYANI 24-05-1985 ANALIS KEBIJAKAN 
PERTAMA LULUS TIDAK 
LULUS 
TIDAK 
LULUS 
2.174 340402570 
5880001 
175325 
7405 66113001507 SETIA FITRI RAHMAH 17-05-1988 GURU IPA PERTAMA GURU BIOLOGI PERTAMA ANALIS KEBIJAKAN 
PERTAMA LULUS LULUS TIDAK 
LULUS 
2.175 611203230 
7910003 
145302 
7788 66112000437 SETIAWAN SANTOSO 23-07-1991 PERAWAT PELAKSANA LULUS TIDAK 
LULUS 
TIDAK 
LULUS 
2.176 611201060 
6890005 
211441 
5582 66113001721 SETIYONO 06-06-1989 GURU MATEMATIKA 
PERTAMA 
ANALIS KEBIJAKAN 
PERTAMA LULUS TIDAK 
LULUS 
TIDAK 
LULUS
NO NIK 
NO 
REGIST 
ER 
NO PESERTA NAMA TANGGAL 
LAHIR PILIHAN JABATAN 1 NAMA JABATAN 2 NAMA JABATAN 3 STATUS 
PILIHAN 1 
STATUS 
PILIHAN 2 
STATUS 
PILIHAN 3 
2.177 611201640 
8850012 
148506 
9111 66113000743 SETYA SUSILAWATI 24-08-1985 PERENCANA PERTAMA PENYULUH KOPERASI ANALIS ANGGARAN LULUS LULUS LULUS 
2.178 617101140 
8920013 
163991 
2739 66112000495 SHAFARUDIN 14-08-1992 PERAWAT PELAKSANA LULUS TIDAK 
LULUS 
TIDAK 
LULUS 
2.179 617104160 
5870009 
172818 
5407 66113001360 SHAUM NUR RAHMAN 16-05-1987 PERENCANA PERTAMA PENYULUH KOPERASI ANALIS KERJASAMA DAN 
PERMODALAN LULUS LULUS LULUS 
2.180 617104690 
6900003 
192079 
8788 66112000201 SHERLY YUNIARTI 29-06-1990 BIDAN PELAKSANA LULUS TIDAK 
LULUS 
TIDAK 
LULUS 
2.181 611201510 
9930004 
202217 
8716 66112000171 SHINTA DEWI 
PURNAMASARI 11-09-1993 NUTRISIONIS PELAKSANA LULUS TIDAK 
LULUS 
TIDAK 
LULUS 
2.182 617105610 
4890001 
111675 
4723 66112000167 SHINTA PRATIWI, A. 
MD, KEB 21-04-1989 BIDAN PELAKSANA LULUS TIDAK 
LULUS 
TIDAK 
LULUS 
2.183 610108410 
2930004 
147405 
8921 66112000407 SHINTA SARI 01-02-1993 PERAWAT PELAKSANA LULUS TIDAK 
LULUS 
TIDAK 
LULUS 
2.184 340104080 
6890001 
192262 
9531 66113001725 SIDIN CAHYONO 08-06-1989 GURU BAHASA INDONESIA 
PERTAMA 
ANALIS KEBIJAKAN 
PERTAMA LULUS TIDAK 
LULUS 
TIDAK 
LULUS 
2.185 611207190 
2840002 
188149 
7034 66113001183 SIDIQ FATHUROHMAN 19-02-1984 ANALIS KEBIJAKAN 
PERTAMA LULUS TIDAK 
LULUS 
TIDAK 
LULUS 
2.186 610601631 
1870002 
167763 
0078 66112000285 SIJAH 23-11-1987 PENGADMINISTRASI UMUM PENYUSUN RISALAH LULUS LULUS TIDAK 
LULUS 
2.187 610803650 
6870001 
203091 
5184 66112000287 SILVERIA JUNITA ASRI 
KURNIASARI 25-06-1987 PERAWAT PELAKSANA LULUS TIDAK 
LULUS 
TIDAK 
LULUS 
2.188 610417621 
0880002 
134926 
0303 66113001251 SILVI OKTAVIANI 22-10-1988 GURU IPA PERTAMA GURU BIOLOGI PERTAMA ANALIS KEBIJAKAN 
PERTAMA LULUS LULUS TIDAK 
LULUS 
2.189 617105530 
8870004 
126362 
7104 66113000346 SILVIA ISDANELLY 
AGUSTI 13-08-1987 ANALIS KEBIJAKAN 
PERTAMA LULUS TIDAK 
LULUS 
TIDAK 
LULUS 
2.190 611201670 
2880003 
209444 
0539 66113001599 SILVIA WIJAYA 
KUSUMAH 27-02-1988 PENYULUH KOPERASI PERENCANA PERTAMA ANALIS KERJASAMA DAN 
PERMODALAN LULUS LULUS LULUS 
2.191 617105451 
2820022 
160522 
6657 66113000984 SILVIA YULIANTI 05-12-1982 ANALIS ANGGARAN PERENCANA PERTAMA ANALIS KEBIJAKAN 
PERTAMA LULUS LULUS LULUS 
2.192 617101620 
8820006 
160930 
1548 66113000827 SINTAN HANDAYANI, 
SH 22-08-1982 
PENGAWAS 
KETENAGAKERJAAN 
PERTAMA 
MEDIATOR HUBUNGAN 
INDUSTRIAL PERTAMA 
PENGANTAR KERJA 
PERTAMA LULUS LULUS LULUS 
2.193 340206480 
8840002 
184506 
0177 66113000753 SINTYA DEWI 
AGUSTINA, SE 08-08-1984 PERENCANA PERTAMA ANALIS ANGGARAN ANALIS KEBIJAKAN 
PERTAMA LULUS LULUS LULUS 
2.194 617105240 
8910008 
134979 
8589 66112000829 SIRES SUNTORY 24-08-1991 PENGADMINISTRASI UMUM PENYUSUN RISALAH LULUS LULUS TIDAK 
LULUS 
2.195 610311511 
1900003 
179357 
9727 66113000187 SISCA ASTUTY 11-11-1990 GURU SEJARAH PERTAMA ANALIS KEBIJAKAN 
PERTAMA LULUS TIDAK 
LULUS 
TIDAK 
LULUS 
2.196 617101490 
6890009 
140455 
6633 66113000257 SISILIA RIA INDRAWATI 09-06-1989 ANALIS KEBIJAKAN 
PERTAMA LULUS TIDAK 
LULUS 
TIDAK 
LULUS
NO NIK 
NO 
REGIST 
ER 
NO PESERTA NAMA TANGGAL 
LAHIR PILIHAN JABATAN 1 NAMA JABATAN 2 NAMA JABATAN 3 STATUS 
PILIHAN 1 
STATUS 
PILIHAN 2 
STATUS 
PILIHAN 3 
2.197 617104530 
6840007 
141478 
1991 66113000790 SISKA MUTIARA, S. 
KOM 13-06-1984 PRANATA KOMPUTER 
PERTAMA 
ANALIS KEBIJAKAN 
PERTAMA LULUS LULUS TIDAK 
LULUS 
2.198 610715521 
2880006 
143548 
6678 66112000715 SISKA OLIVIA NATALIA 
SIMANJUNTAK 12-12-1988 BIDAN PELAKSANA LULUS TIDAK 
LULUS 
TIDAK 
LULUS 
2.199 617106581 
1910001 
190361 
6043 66112000156 SISKA SAMPURNA 18-11-1991 PERAWAT PELAKSANA LULUS TIDAK 
LULUS 
TIDAK 
LULUS 
2.200 617101560 
9850009 
113629 
3429 66113001689 SISNAWATI 16-09-1985 ANALIS KEBIJAKAN 
PERTAMA LULUS TIDAK 
LULUS 
TIDAK 
LULUS 
2.201 617101131 
0790001 
199955 
8347 66113001637 SISWANTO, ST 13-10-1979 ANALIS KEBIJAKAN 
PERTAMA LULUS TIDAK 
LULUS 
TIDAK 
LULUS 
2.202 617105670 
6910002 
199169 
0548 66112000057 SITARESMI SETIOWATI 27-06-1991 BIDAN PELAKSANA LULUS TIDAK 
LULUS 
TIDAK 
LULUS 
2.203 617103560 
4900005 
139970 
6788 66112000448 SITI AISYAH 16-04-1990 BIDAN PELAKSANA LULUS TIDAK 
LULUS 
TIDAK 
LULUS 
2.204 617103560 
5890004 
193352 
6973 66113000719 SITI AISYAH 16-05-1989 GURU SEJARAH PERTAMA LULUS TIDAK 
LULUS 
TIDAK 
LULUS 
2.205 611203430 
1820008 
173578 
2817 66113001026 SITI AISYAH 03-01-1982 ANALIS KEBIJAKAN 
PERTAMA LULUS TIDAK 
LULUS 
TIDAK 
LULUS 
2.206 617103500 
2890016 
126557 
6076 66112000192 SITI AMINAH 10-02-1989 BIDAN PELAKSANA LULUS TIDAK 
LULUS 
TIDAK 
LULUS 
2.207 611201700 
9860012 
144804 
0534 66113000684 SITI ASIYAH 30-03-1986 GURU MATEMATIKA 
PERTAMA LULUS TIDAK 
LULUS 
TIDAK 
LULUS 
2.208 617101650 
3890005 
126938 
7234 66112000622 SITI AZIZAH 
NURHASANAH 25-03-1989 PENGADMINISTRASI UMUM PENYUSUN RISALAH LULUS LULUS TIDAK 
LULUS 
2.209 617106680 
2820001 
160383 
0769 66112000108 SITI BORNEAWATI,A.MD 28-02-1982 PENGADMINISTRASI UMUM PENYUSUN RISALAH LULUS LULUS TIDAK 
LULUS 
2.210 351317660 
6910025 
135337 
3244 66113000319 SITI FATIMAH 26-06-1991 GURU MATEMATIKA 
PERTAMA LULUS TIDAK 
LULUS 
TIDAK 
LULUS 
2.211 611205450 
5910003 
172611 
6944 66112000032 SITI HAFSAH 05-05-1991 BIDAN PELAKSANA LULUS TIDAK 
LULUS 
TIDAK 
LULUS 
2.212 610215640 
5880001 
159099 
6833 66112000663 SITI HARDIYANTI 24-05-1988 PENGADMINISTRASI UMUM PENYUSUN RISALAH LULUS LULUS TIDAK 
LULUS 
2.213 610201650 
9900003 
211606 
2473 66112000513 SITI HARYANI 
RAHMAWATI 25-09-1990 PENGADMINISTRASI UMUM PENYUSUN RISALAH LULUS LULUS TIDAK 
LULUS 
2.214 611201440 
2860020 
151314 
7621 66112000276 SITI HOTIMAH 04-02-1986 PERAWAT PELAKSANA LULUS TIDAK 
LULUS 
TIDAK 
LULUS 
2.215 617102551 
2830008 
198871 
0962 66113000954 SITI KALSUM 15-12-1983 ANALIS LAYANAN UMUM ANALIS KEBIJAKAN 
PERTAMA LULUS LULUS TIDAK 
LULUS 
2.216 331026651 
0890002 
178859 
3127 66113001555 SITI KHOTIJAH 25-10-1989 GURU MATEMATIKA 
PERTAMA LULUS TIDAK 
LULUS 
TIDAK 
LULUS
NO NIK 
NO 
REGIST 
ER 
NO PESERTA NAMA TANGGAL 
LAHIR PILIHAN JABATAN 1 NAMA JABATAN 2 NAMA JABATAN 3 STATUS 
PILIHAN 1 
STATUS 
PILIHAN 2 
STATUS 
PILIHAN 3 
2.217 611206471 
0840001 
101541 
1647 66112000210 SITI LAELATUL 
MASRUFAH 07-10-1984 PERAWAT PELAKSANA LULUS TIDAK 
LULUS 
TIDAK 
LULUS 
2.218 611202630 
8880001 
205867 
0322 66113000855 SITI MAISARAH 23-08-1988 GURU SEJARAH PERTAMA LULUS TIDAK 
LULUS 
TIDAK 
LULUS 
2.219 617103500 
3860012 
175846 
6973 66112000324 SITI MARDIANA 10-03-1986 PENGADMINISTRASI UMUM PENYUSUN RISALAH LULUS LULUS TIDAK 
LULUS 
2.220 617105420 
1870009 
176534 
9498 66112000604 SITI MARIYAM 02-01-1987 PENGADMINISTRASI UMUM PENYUSUN RISALAH LULUS LULUS TIDAK 
LULUS 
2.221 610401450 
8910002 
213963 
7293 66112000662 SITI MARIYANTI 05-08-1991 PENGADMINISTRASI UMUM LULUS TIDAK 
LULUS 
TIDAK 
LULUS 
2.222 617104700 
6910006 
194986 
8344 66112000511 SITI MARYAM 30-06-1991 BIDAN PELAKSANA LULUS TIDAK 
LULUS 
TIDAK 
LULUS 
2.223 617105520 
8940014 
125665 
3063 66112000011 SITI MASDAH 12-08-1994 BIDAN PELAKSANA LULUS TIDAK 
LULUS 
TIDAK 
LULUS 
2.224 611201700 
5890010 
119768 
3246 66112000817 SITI MASRUROH 30-05-1989 VERIFIKATOR KEUANGAN LULUS TIDAK 
LULUS 
TIDAK 
LULUS 
2.225 610804581 
1930001 
130174 
2007 66112000133 SITI NURANILA 18-11-1993 NUTRISIONIS PELAKSANA LULUS TIDAK 
LULUS 
TIDAK 
LULUS 
2.226 617103410 
2870017 
165626 
3402 66112000312 SITI NURHASANAH 01-02-1987 PENGADMINISTRASI UMUM PENYUSUN RISALAH LULUS LULUS TIDAK 
LULUS 
2.227 617104490 
8930010 
178822 
5705 66112000440 SITI NURMASITA 09-08-1993 NUTRISIONIS PELAKSANA LULUS TIDAK 
LULUS 
TIDAK 
LULUS 
2.228 627103681 
0890004 
209819 
0518 66113000463 SITI NURVIA YUNITA 28-10-1989 GURU BAHASA INGGRIS 
PERTAMA SMP 
GURU BAHASA INGGRIS 
PERTAMA SMA 
ANALIS KEBIJAKAN 
PERTAMA LULUS LULUS TIDAK 
LULUS 
2.229 611201610 
3930007 
144794 
9632 66112000195 SITI QADARIAH 21-03-1993 BIDAN PELAKSANA LULUS TIDAK 
LULUS 
TIDAK 
LULUS 
2.230 610216450 
7830001 
181401 
3414 66113000293 SITI RAHIMAH 05-07-1983 GURU MATEMATIKA 
PERTAMA LULUS TIDAK 
LULUS 
TIDAK 
LULUS 
2.231 610416590 
3900003 
161852 
3767 66113000877 SITI RAHMAWATI 19-03-1990 APOTEKER PERTAMA ANALIS KEBIJAKAN 
PERTAMA LULUS TIDAK 
LULUS 
TIDAK 
LULUS 
2.232 617102520 
6910002 
189982 
3999 66112000144 SITI ROCHMAYATI 12-06-1991 NUTRISIONIS PELAKSANA LULUS TIDAK 
LULUS 
TIDAK 
LULUS 
2.233 351909600 
5900001 
163937 
4178 66113000071 SITI ROFIATUL 
WAHIDAH 20-05-1990 GURU MATEMATIKA 
PERTAMA LULUS TIDAK 
LULUS 
TIDAK 
LULUS 
2.234 611201500 
9800007 
196648 
3656 66113000082 SITI SAMIATUN 10-09-1980 ANALIS KEBIJAKAN 
PERTAMA LULUS TIDAK 
LULUS 
TIDAK 
LULUS 
2.235 617201440 
1800002 
191515 
5541 66113001452 SITI SUWANTI, SE 04-01-1980 ANALIS ANGGARAN ANALIS KEBIJAKAN 
PERTAMA PERENCANA PERTAMA LULUS LULUS LULUS 
2.236 611201420 
8820007 
125488 
6048 66113000653 SITI UMIHANI'AH 02-08-1982 ANALIS KEBIJAKAN 
PERTAMA LULUS TIDAK 
LULUS 
TIDAK 
LULUS
NO NIK 
NO 
REGIST 
ER 
NO PESERTA NAMA TANGGAL 
LAHIR PILIHAN JABATAN 1 NAMA JABATAN 2 NAMA JABATAN 3 STATUS 
PILIHAN 1 
STATUS 
PILIHAN 2 
STATUS 
PILIHAN 3 
2.237 617102680 
6870002 
142249 
3321 66112000433 SITI WAJAH WAKAYAH 28-06-1987 PERAWAT PELAKSANA LULUS TIDAK 
LULUS 
TIDAK 
LULUS 
2.238 610206610 
4890003 
187216 
2071 66112000447 SITI WARSIH 21-04-1989 BIDAN PELAKSANA LULUS TIDAK 
LULUS 
TIDAK 
LULUS 
2.239 611205090 
5880003 
154785 
7380 66113000807 SOEPYANTO 09-05-1988 GURU SEJARAH PERTAMA LULUS TIDAK 
LULUS 
TIDAK 
LULUS 
2.240 610207531 
1840001 
198016 
1048 66113000547 SOFIA NURRIATI.S.PD. 13-11-1984 GURU MATEMATIKA 
PERTAMA LULUS TIDAK 
LULUS 
TIDAK 
LULUS 
2.241 617105660 
2860004 
115349 
0014 66113000997 SOFIA, SE 26-02-1986 PENYULUH KOPERASI PERENCANA PERTAMA ANALIS KEBIJAKAN 
PERTAMA LULUS LULUS LULUS 
2.242 611201640 
5800008 
180638 
6590 66113000266 SOLIHATIN 24-05-1980 ANALIS KERJASAMA DAN 
PERMODALAN PENYULUH KOPERASI PERENCANA PERTAMA LULUS LULUS LULUS 
2.243 611201310 
3870004 
191946 
6212 66113001078 SOLLAHUDIN 31-03-1987 PRANATA KOMPUTER 
PERTAMA 
ANALIS KEBIJAKAN 
PERTAMA LULUS LULUS TIDAK 
LULUS 
2.244 617105661 
2910005 
111179 
9023 66113000331 SONYA AMELIA 26-12-1991 GURU MATEMATIKA 
PERTAMA LULUS TIDAK 
LULUS 
TIDAK 
LULUS 
2.245 610309440 
4920004 
203109 
9523 66112000555 SOPIA SARI 04-04-1992 PERAWAT PELAKSANA LULUS TIDAK 
LULUS 
TIDAK 
LULUS 
2.246 610508520 
8880002 
136368 
2338 66113001546 SOPIANA 12-08-1988 GURU BIOLOGI PERTAMA GURU IPA PERTAMA ANALIS KEBIJAKAN 
PERTAMA LULUS LULUS TIDAK 
LULUS 
2.247 611203620 
7890001 
136497 
1129 66113001056 SORAYA 22-07-1989 ANALIS KEBIJAKAN 
PERTAMA LULUS TIDAK 
LULUS 
TIDAK 
LULUS 
2.248 617101671 
0880004 
131631 
1214 66113000542 SRI ASIH LESTARI 27-10-1988 GURU MATEMATIKA 
PERTAMA LULUS TIDAK 
LULUS 
TIDAK 
LULUS 
2.249 611209420 
7890005 
163982 
3042 66113000593 SRI AWALIYAH 02-07-1989 GURU SEJARAH PERTAMA ANALIS KEBIJAKAN 
PERTAMA LULUS TIDAK 
LULUS 
TIDAK 
LULUS 
2.250 617103640 
6890004 
195322 
4280 66112000680 SRI AYU INDRIANI 24-06-1989 PENGADMINISTRASI UMUM PENYUSUN RISALAH LULUS LULUS TIDAK 
LULUS 
2.251 617105670 
3920003 
123362 
7423 66113001503 SRI AZIZAH 
KURNIAWATI 27-03-1992 PRANATA KOMPUTER 
PERTAMA 
ANALIS KEBIJAKAN 
PERTAMA LULUS LULUS TIDAK 
LULUS 
2.252 617103560 
7890016 
137079 
4760 66112000423 SRI ENDANG 16-07-1989 BIDAN PELAKSANA LULUS TIDAK 
LULUS 
TIDAK 
LULUS 
2.253 617103630 
9870010 
212123 
2456 66113000937 SRI FATMAWATI 23-09-1987 ANALIS KEBIJAKAN 
PERTAMA LULUS TIDAK 
LULUS 
TIDAK 
LULUS 
2.254 617104621 
0900003 
207980 
2681 66113000206 SRI HARTATI 22-10-1990 GURU IPA PERTAMA GURU BIOLOGI PERTAMA LULUS LULUS TIDAK 
LULUS 
2.255 611201650 
1900004 
140827 
3813 66113000848 SRI HARTATI 25-01-1990 GURU MATEMATIKA 
PERTAMA LULUS TIDAK 
LULUS 
TIDAK 
LULUS 
2.256 617105620 
4850002 
130891 
1249 66113000879 SRI HARTATI MULYANI 22-04-1985 SANITARIAN PERTAMA LULUS TIDAK 
LULUS 
TIDAK 
LULUS
NO NIK 
NO 
REGIST 
ER 
NO PESERTA NAMA TANGGAL 
LAHIR PILIHAN JABATAN 1 NAMA JABATAN 2 NAMA JABATAN 3 STATUS 
PILIHAN 1 
STATUS 
PILIHAN 2 
STATUS 
PILIHAN 3 
2.257 611201571 
2810005 
196565 
0223 66113001639 SRI HARTATIK 17-12-1981 ANALIS KEBIJAKAN 
PERTAMA LULUS TIDAK 
LULUS 
TIDAK 
LULUS 
2.258 617104620 
9900017 
173342 
5745 66113001517 SRI HARTININGSIH 22-09-1990 GURU MATEMATIKA 
PERTAMA 
ANALIS KEBIJAKAN 
PERTAMA LULUS TIDAK 
LULUS 
TIDAK 
LULUS 
2.259 611201680 
3860009 
197699 
9722 66113000077 SRI HARYANTI 28-03-1986 ANALIS KEBIJAKAN 
PERTAMA PERENCANA PERTAMA ANALIS KERJASAMA DAN 
PERMODALAN LULUS LULUS LULUS 
2.260 611207590 
5800001 
167167 
1843 66113000884 SRI HAYATI 19-05-1980 GURU MATEMATIKA 
PERTAMA LULUS TIDAK 
LULUS 
TIDAK 
LULUS 
2.261 611201641 
1840002 
170521 
8008 66113000804 SRI HERAWATI 24-11-1984 GURU BAHASA INGGRIS 
PERTAMA SMP LULUS TIDAK 
LULUS 
TIDAK 
LULUS 
2.262 617103661 
0800010 
179867 
6592 66113001601 SRI MALINDA 26-10-1980 ANALIS KEBIJAKAN 
PERTAMA LULUS TIDAK 
LULUS 
TIDAK 
LULUS 
2.263 617201570 
3840001 
210832 
6832 66112000839 SRI MARYATI 17-03-1984 PENGADMINISTRASI UMUM PENYUSUN RISALAH LULUS LULUS TIDAK 
LULUS 
2.264 611209680 
3870002 
176102 
7191 66113000646 SRI MARYATI, SE 28-03-1987 ANALIS KEBIJAKAN 
PERTAMA LULUS TIDAK 
LULUS 
TIDAK 
LULUS 
2.265 611201701 
2830012 
153138 
4267 66113000899 SRI NARULLITA 30-12-1983 PRANATA KOMPUTER 
PERTAMA 
ANALIS KEBIJAKAN 
PERTAMA LULUS LULUS TIDAK 
LULUS 
2.266 611209660 
9880004 
104381 
9936 66113001154 SRI NOVITA FALUPI 26-09-1988 GURU BAHASA INGGRIS 
PERTAMA SMP LULUS TIDAK 
LULUS 
TIDAK 
LULUS 
2.267 611209510 
4880006 
146903 
4671 66112000852 SRI NURHAYATI 11-04-1988 PENYUSUN RISALAH PENGADMINISTRASI UMUM LULUS LULUS TIDAK 
LULUS 
2.268 611201410 
5800016 
209805 
5359 66113001236 SRI PRASTARIANTI, SE 01-05-1980 PERENCANA PERTAMA ANALIS ANGGARAN ANALIS KEBIJAKAN 
PERTAMA LULUS LULUS LULUS 
2.269 611209670 
4860006 
152142 
7130 66113000671 SRI PUJI ASTUTI 27-04-1986 GURU MATEMATIKA 
PERTAMA LULUS TIDAK 
LULUS 
TIDAK 
LULUS 
2.270 611201690 
8870008 
138932 
2001 66113000535 SRI RAHAYU 29-08-1987 GURU FISIKA PERTAMA GURU IPA PERTAMA ANALIS KEBIJAKAN 
PERTAMA LULUS LULUS TIDAK 
LULUS 
2.271 611201601 
1900005 
158934 
5867 66113000585 SRI RAHAYU 20-11-1990 GURU MATEMATIKA 
PERTAMA 
ANALIS KEBIJAKAN 
PERTAMA LULUS TIDAK 
LULUS 
TIDAK 
LULUS 
2.272 617103410 
9870510 
104996 
2528 66113000958 SRI RAHAYU 01-09-1987 GURU BAHASA INGGRIS 
PERTAMA SMP 
GURU BAHASA INGGRIS 
PERTAMA SMA 
ANALIS KEBIJAKAN 
PERTAMA LULUS LULUS TIDAK 
LULUS 
2.273 611201550 
4850017 
124337 
7884 66113001739 SRI RAHAYU 15-04-1985 PERENCANA PERTAMA ANALIS ANGGARAN ANALIS KEBIJAKAN 
PERTAMA LULUS LULUS LULUS 
2.274 611203500 
1910005 
173302 
3765 66112000710 SRI RATNAWATI 10-01-1991 BIDAN PELAKSANA LULUS TIDAK 
LULUS 
TIDAK 
LULUS 
2.275 617101471 
0880013 
212923 
0920 66113000450 SRI REZEKI DIANDORA 07-10-1988 GURU SEJARAH PERTAMA ANALIS KEBIJAKAN 
PERTAMA LULUS TIDAK 
LULUS 
TIDAK 
LULUS 
2.276 611201530 
9870012 
156067 
6690 66113001318 SRI ROGAYAH 13-09-1987 ANALIS KEBIJAKAN 
PERTAMA LULUS TIDAK 
LULUS 
TIDAK 
LULUS
NO NIK 
NO 
REGIST 
ER 
NO PESERTA NAMA TANGGAL 
LAHIR PILIHAN JABATAN 1 NAMA JABATAN 2 NAMA JABATAN 3 STATUS 
PILIHAN 1 
STATUS 
PILIHAN 2 
STATUS 
PILIHAN 3 
2.277 617105570 
9900010 
214146 
2949 66112000590 SRI RUSMIATI 17-09-1990 BIDAN PELAKSANA LULUS TIDAK 
LULUS 
TIDAK 
LULUS 
2.278 617104570 
6900001 
179947 
0429 66113000298 SRI SUKENGSI 17-06-1990 GURU MATEMATIKA 
PERTAMA 
ANALIS KEBIJAKAN 
PERTAMA LULUS TIDAK 
LULUS 
TIDAK 
LULUS 
2.279 617102630 
8910001 
150636 
4907 66112000173 SRI WAHYU NINGSIH 
SPM 23-08-1991 BIDAN PELAKSANA LULUS TIDAK 
LULUS 
TIDAK 
LULUS 
2.280 611209620 
8920007 
136404 
4505 66112000351 SRI WAHYUNI 22-08-1992 VERIFIKATOR KEUANGAN LULUS TIDAK 
LULUS 
TIDAK 
LULUS 
2.281 611201450 
1830020 
120531 
3567 66112000669 SRI WAHYUNI 05-01-1983 PENGADMINISTRASI UMUM PENYUSUN RISALAH LULUS LULUS TIDAK 
LULUS 
2.282 611201490 
9860010 
163025 
7538 66113000175 SRI WAHYUNI 09-09-1986 GURU BAHASA INGGRIS 
PERTAMA SMP 
GURU BAHASA INGGRIS 
PERTAMA SMA 
ANALIS KEBIJAKAN 
PERTAMA LULUS LULUS TIDAK 
LULUS 
2.283 617103601 
1890005 
192582 
5477 66113000313 SRI WAHYUNI 20-11-1989 GURU SEJARAH PERTAMA LULUS TIDAK 
LULUS 
TIDAK 
LULUS 
2.284 610212480 
6910001 
169530 
6499 66113000488 SRI WAHYUNI 08-06-1991 GURU MATEMATIKA 
PERTAMA 
ANALIS KEBIJAKAN 
PERTAMA LULUS TIDAK 
LULUS 
TIDAK 
LULUS 
2.285 617103581 
1860002 
150440 
9715 66113001468 SRI WAHYUNI 18-11-1986 GURU MATEMATIKA 
PERTAMA LULUS TIDAK 
LULUS 
TIDAK 
LULUS 
2.286 610301700 
6910004 
137341 
1740 66113001626 SRI WAHYUNI 30-06-1991 GURU MATEMATIKA 
PERTAMA 
ANALIS KEBIJAKAN 
PERTAMA LULUS TIDAK 
LULUS 
TIDAK 
LULUS 
2.287 617105410 
1830504 
198313 
5129 66113001677 SRI WAHYUNI 01-01-1983 GURU MATEMATIKA 
PERTAMA 
ANALIS KEBIJAKAN 
PERTAMA LULUS TIDAK 
LULUS 
TIDAK 
LULUS 
2.288 610218671 
2880002 
204286 
9064 66113000111 SRI WAHYUNI NINGSIH 27-12-1988 GURU SEJARAH PERTAMA ANALIS KEBIJAKAN 
PERTAMA LULUS TIDAK 
LULUS 
TIDAK 
LULUS 
2.289 617103590 
7800001 
181126 
4702 66113000353 SRI WAHYUNINGSIH 19-07-1980 ANALIS KEBIJAKAN 
PERTAMA LULUS TIDAK 
LULUS 
TIDAK 
LULUS 
2.290 617105470 
6800015 
151173 
1781 66113001784 SRI WIDAYATI 07-06-1980 PENGAWAS BIBIT TERNAK 
PERTAMA 
ANALIS KEBIJAKAN 
PERTAMA LULUS LULUS TIDAK 
LULUS 
2.291 611207540 
7900002 
162759 
3195 66113000715 SRI YULIYANTI 14-07-1990 GURU SEJARAH PERTAMA LULUS TIDAK 
LULUS 
TIDAK 
LULUS 
2.292 610212440 
2930002 
172825 
4396 66112000436 ST. RUQAIYAH 04-02-1993 BIDAN PELAKSANA LULUS TIDAK 
LULUS 
TIDAK 
LULUS 
2.293 617101221 
2880012 
117989 
7958 66113001042 SUBEKTI 22-12-1988 ANALIS KEBIJAKAN 
PERTAMA LULUS TIDAK 
LULUS 
TIDAK 
LULUS 
2.294 617104200 
4870017 
163307 
9841 66113001760 SUBHAN APRYANDI 20-04-1987 ANALIS KEBIJAKAN 
PERTAMA LULUS TIDAK 
LULUS 
TIDAK 
LULUS 
2.295 617101680 
1900011 
170414 
9900 66113000490 SUCI PUTRIACI 28-01-1990 PRANATA HUBUNGAN 
MASYARAKAT PERTAMA 
ANALIS KEBIJAKAN 
PERTAMA LULUS LULUS TIDAK 
LULUS 
2.296 617101640 
4890008 
211131 
5254 66113001705 SUCI RAHMA DANIAR 24-04-1989 GURU SEJARAH PERTAMA ANALIS KEBIJAKAN 
PERTAMA LULUS TIDAK 
LULUS 
TIDAK 
LULUS
NO NIK 
NO 
REGIST 
ER 
NO PESERTA NAMA TANGGAL 
LAHIR PILIHAN JABATAN 1 NAMA JABATAN 2 NAMA JABATAN 3 STATUS 
PILIHAN 1 
STATUS 
PILIHAN 2 
STATUS 
PILIHAN 3 
2.297 617201620 
7900002 
195178 
5979 66113001100 SUCI RAHMAWATI 22-07-1990 ANALIS KEBIJAKAN 
PERTAMA LULUS TIDAK 
LULUS 
TIDAK 
LULUS 
2.298 610501620 
2880003 
162017 
3139 66113000322 SUCI WAHYUNI 22-02-1988 GURU BAHASA INGGRIS 
PERTAMA SMP 
GURU BAHASA INGGRIS 
PERTAMA SMA 
ANALIS KEBIJAKAN 
PERTAMA LULUS LULUS TIDAK 
LULUS 
2.299 610416090 
5850007 
191736 
9735 66113000745 SUDARSOH 09-05-1985 SURVEYOR PEMETAAN 
PERTAMA PENATA RUANG PERTAMA ANALIS KEBIJAKAN 
PERTAMA LULUS LULUS LULUS 
2.300 617105240 
9900001 
166123 
5458 66113000579 SUDARWIN 24-09-1990 GURU SEJARAH PERTAMA ANALIS KEBIJAKAN 
PERTAMA LULUS TIDAK 
LULUS 
TIDAK 
LULUS 
2.301 611201070 
6860010 
165930 
8966 66113000054 SUGENG HARIYONO 07-06-1986 PERANCANG PERUNDANG-UNDANGAN 
PERTAMA 
PENGANTAR KERJA 
PERTAMA 
ANALIS KEBIJAKAN 
PERTAMA LULUS LULUS LULUS 
2.302 617103250 
6840001 
172946 
7716 66113001097 SUHAILI HADJARI 25-06-1984 ANALIS KEBIJAKAN 
PERTAMA LULUS TIDAK 
LULUS 
TIDAK 
LULUS 
2.303 611208120 
5910002 
143850 
8741 66112000688 SUHAIMI 12-05-1991 VERIFIKATOR KEUANGAN LULUS TIDAK 
LULUS 
TIDAK 
LULUS 
2.304 611209560 
1820003 
189394 
5848 66113001570 SUHAIMI,SE 16-01-1982 ANALIS ANGGARAN LULUS TIDAK 
LULUS 
TIDAK 
LULUS 
2.305 610616240 
8890001 
129515 
5216 66113001198 SUHARDI 24-08-1989 GURU IPA PERTAMA LULUS TIDAK 
LULUS 
TIDAK 
LULUS 
2.306 611207040 
4910003 
167163 
6392 66112000238 SUHARNO BASTIAN 04-04-1991 PERAWAT PELAKSANA LULUS TIDAK 
LULUS 
TIDAK 
LULUS 
2.307 610802031 
2790001 
208340 
5850 66112000029 SUHERMAN 03-12-1979 PENGADMINISTRASI UMUM PENYUSUN RISALAH LULUS LULUS TIDAK 
LULUS 
2.308 611203431 
0800001 
140043 
3314 66113001030 SUKIJEM 03-10-1980 GURU MATEMATIKA 
PERTAMA LULUS TIDAK 
LULUS 
TIDAK 
LULUS 
2.309 611201211 
2890008 
181798 
6313 66113000691 SUKIMAN 21-12-1989 PRANATA KOMPUTER 
PERTAMA 
ANALIS KEBIJAKAN 
PERTAMA LULUS LULUS TIDAK 
LULUS 
2.310 611201590 
6910005 
182641 
6138 66112000459 SUKMA DIANA WATI 19-06-1991 PENGADMINISTRASI UMUM PENYUSUN RISALAH LULUS LULUS TIDAK 
LULUS 
2.311 611209620 
5830002 
151499 
9152 66113001888 SUKMA TRIANINGSIH 22-05-1983 ANALIS KEBIJAKAN 
PERTAMA LULUS TIDAK 
LULUS 
TIDAK 
LULUS 
2.312 611209160 
3810001 
161104 
9663 66113001815 SUKRI 16-03-1981 ANALIS LAYANAN UMUM ANALIS KEBIJAKAN 
PERTAMA LULUS LULUS TIDAK 
LULUS 
2.313 611208690 
1810003 
153419 
1266 66112000461 SULASTRI 29-09-1981 PENGADMINISTRASI UMUM PENYUSUN RISALAH LULUS LULUS TIDAK 
LULUS 
2.314 610801680 
2860008 
196352 
6451 66113001148 SULASTRI 28-02-1986 ANALIS KEBIJAKAN 
PERTAMA LULUS TIDAK 
LULUS 
TIDAK 
LULUS 
2.315 611207470 
6850001 
202892 
8545 66113000106 SULIHA 07-06-1985 ANALIS KEBIJAKAN 
PERTAMA LULUS TIDAK 
LULUS 
TIDAK 
LULUS 
2.316 611201520 
8860001 
188894 
9863 66113000786 SULISTIA RINI 12-08-1986 ANALIS KEBIJAKAN 
PERTAMA LULUS TIDAK 
LULUS 
TIDAK 
LULUS
NO NIK 
NO 
REGIST 
ER 
NO PESERTA NAMA TANGGAL 
LAHIR PILIHAN JABATAN 1 NAMA JABATAN 2 NAMA JABATAN 3 STATUS 
PILIHAN 1 
STATUS 
PILIHAN 2 
STATUS 
PILIHAN 3 
2.317 610803700 
1830001 
155551 
5039 66113001810 SUMANTI NASRIA 
HASIBUAN 30-01-1983 ANALIS KEBIJAKAN 
PERTAMA 
PERANCANG PERUNDANG-UNDANGAN 
PERTAMA 
MEDIATOR HUBUNGAN 
INDUSTRIAL PERTAMA LULUS LULUS LULUS 
2.318 611205480 
5900004 
155432 
1642 66112000298 SUMARDIAH 08-05-1990 BIDAN PELAKSANA LULUS TIDAK 
LULUS 
TIDAK 
LULUS 
2.319 610804650 
2840003 
144606 
3437 66113001502 SUMARGINI 25-02-1984 PRANATA KOMPUTER 
PERTAMA 
ANALIS KEBIJAKAN 
PERTAMA LULUS LULUS TIDAK 
LULUS 
2.320 617106480 
3870001 
174621 
9861 66113000895 SUMARTINI KURTURI, 
SH 08-03-1987 
PENGAWAS 
KETENAGAKERJAAN 
PERTAMA 
ANALIS LAYANAN UMUM ANALIS KEBIJAKAN 
PERTAMA LULUS LULUS LULUS 
2.321 611201501 
1830011 
208203 
4918 66113000501 SUMIATI 10-11-1983 PERENCANA PERTAMA PENYULUH KOPERASI ANALIS ANGGARAN LULUS LULUS LULUS 
2.322 617105410 
6850004 
204514 
6224 66113000191 SUMINAH 01-06-1985 GURU BAHASA INGGRIS 
PERTAMA SMP 
GURU BAHASA INGGRIS 
PERTAMA SMA 
ANALIS KEBIJAKAN 
PERTAMA LULUS LULUS TIDAK 
LULUS 
2.323 611209500 
3810001 
140068 
5802 66113001476 SUMIYATI 10-03-1981 GURU MATEMATIKA 
PERTAMA 
ANALIS KEBIJAKAN 
PERTAMA LULUS TIDAK 
LULUS 
TIDAK 
LULUS 
2.324 617101580 
2830008 
187552 
4341 66112000336 SUNARTI 18-02-1983 PENYULUH PAJAK 
PELAKSANA LULUS TIDAK 
LULUS 
TIDAK 
LULUS 
2.325 610104550 
8880012 
182375 
5548 66112000675 SUNIARTI 15-08-1988 PENGADMINISTRASI UMUM PENYUSUN RISALAH LULUS LULUS TIDAK 
LULUS 
2.326 611203411 
1910003 
214161 
2691 66112000485 SUNITA 01-11-1991 VERIFIKATOR KEUANGAN LULUS TIDAK 
LULUS 
TIDAK 
LULUS 
2.327 617201620 
8880001 
148733 
7013 66112000658 SUNITA ISMAWATI 22-08-1988 PENYUSUN RISALAH PENGADMINISTRASI UMUM LULUS LULUS TIDAK 
LULUS 
2.328 611206250 
7920001 
197600 
3446 66112000015 SUPANDI 25-07-1992 PENGADMINISTRASI UMUM PENYUSUN RISALAH LULUS LULUS TIDAK 
LULUS 
2.329 617103501 
0880001 
145956 
6616 66113000961 SUPARTI 10-10-1988 GURU MATEMATIKA 
PERTAMA LULUS TIDAK 
LULUS 
TIDAK 
LULUS 
2.330 617101581 
1840011 
206068 
7244 66113001027 SUPARTINA MARGARITA 
BANU 18-11-1984 GURU BAHASA INGGRIS 
PERTAMA SMA 
ANALIS KEBIJAKAN 
PERTAMA 
GURU BAHASA INGGRIS 
PERTAMA SMP LULUS TIDAK 
LULUS LULUS 
2.331 611201260 
7930007 
173346 
6174 66112000696 SUPARTONO 26-07-1993 PERAWAT PELAKSANA LULUS TIDAK 
LULUS 
TIDAK 
LULUS 
2.332 617102450 
2850004 
157377 
5857 66113000621 SUPATMIYATI 05-02-1985 ANALIS KEBIJAKAN 
PERTAMA PERENCANA PERTAMA LULUS LULUS TIDAK 
LULUS 
2.333 617105070 
3800008 
202081 
5784 66113001871 SUPENO 07-03-1980 PENATA RUANG PERTAMA SURVEYOR PEMETAAN 
PERTAMA 
ANALIS KEBIJAKAN 
PERTAMA LULUS LULUS LULUS 
2.334 611201690 
7800006 
206942 
4128 66113001245 SUPRIHATIN, SE 29-07-1980 PENYULUH KOPERASI PERENCANA PERTAMA ANALIS KERJASAMA DAN 
PERMODALAN LULUS LULUS LULUS 
2.335 610201140 
8890003 
196245 
4472 66112000038 SUPRIYADI 14-08-1989 PENGADMINISTRASI UMUM PENYUSUN RISALAH LULUS LULUS TIDAK 
LULUS 
2.336 611201431 
1870007 
169907 
9840 66113000327 SURIANI 03-11-1987 GURU BAHASA INGGRIS 
PERTAMA SMP 
GURU BAHASA INGGRIS 
PERTAMA SMA LULUS LULUS TIDAK 
LULUS
NO NIK 
NO 
REGIST 
ER 
NO PESERTA NAMA TANGGAL 
LAHIR PILIHAN JABATAN 1 NAMA JABATAN 2 NAMA JABATAN 3 STATUS 
PILIHAN 1 
STATUS 
PILIHAN 2 
STATUS 
PILIHAN 3 
2.337 617105120 
4890003 
105428 
0125 66113000763 SURIANSYAH 12-04-1989 GURU BAHASA INGGRIS 
PERTAMA SMP 
GURU BAHASA INGGRIS 
PERTAMA SMA LULUS LULUS TIDAK 
LULUS 
2.338 610217470 
2900001 
202041 
2123 66113000928 SURIATI 07-02-1990 GURU SEJARAH PERTAMA LULUS TIDAK 
LULUS 
TIDAK 
LULUS 
2.339 611006410 
3930003 
156870 
1884 66112000136 SURIYANI 01-03-1993 PERAWAT PELAKSANA LULUS TIDAK 
LULUS 
TIDAK 
LULUS 
2.340 610208440 
4870004 
208174 
1698 66113000957 SURIYANTI 04-04-1987 GURU MATEMATIKA 
PERTAMA 
ANALIS KEBIJAKAN 
PERTAMA LULUS TIDAK 
LULUS 
TIDAK 
LULUS 
2.341 617102220 
3930004 
188154 
4331 66112000709 SURYA HADIWIJAYA 22-03-1993 PENGADMINISTRASI UMUM PENYUSUN RISALAH LULUS LULUS TIDAK 
LULUS 
2.342 610212700 
5810001 
204634 
6856 66112000588 SURYA NINGSIH 30-05-1981 PENGADMINISTRASI UMUM PENYUSUN RISALAH LULUS LULUS TIDAK 
LULUS 
2.343 610218480 
6910001 
132994 
6843 66113000692 SURYA SUHARYANTI 08-06-1991 GURU FISIKA PERTAMA GURU IPA PERTAMA ANALIS KEBIJAKAN 
PERTAMA LULUS LULUS TIDAK 
LULUS 
2.344 611204170 
4840001 
156606 
2814 66113000846 SURYADI 17-04-1984 GURU IPA PERTAMA GURU FISIKA PERTAMA LULUS LULUS TIDAK 
LULUS 
2.345 617101270 
6820007 
191454 
2472 66113001459 SURYADI 27-06-1982 ANALIS KEBIJAKAN 
PERTAMA PENYULUH KOPERASI ANALIS KERJASAMA DAN 
PERMODALAN LULUS LULUS LULUS 
2.346 617105041 
0840001 
145179 
6667 66113001619 SURYADI,SE 04-10-1984 PERENCANA PERTAMA PENYULUH KOPERASI ANALIS KEBIJAKAN 
PERTAMA LULUS LULUS LULUS 
2.347 611209650 
4860002 
208577 
2424 66113001031 SURYANA 25-04-1986 GURU SEJARAH PERTAMA LULUS TIDAK 
LULUS 
TIDAK 
LULUS 
2.348 611209501 
2880003 
190001 
4303 66112000021 SURYANI 10-12-1988 BIDAN PELAKSANA LULUS TIDAK 
LULUS 
TIDAK 
LULUS 
2.349 617202480 
9910001 
148414 
0408 66112000864 SURYATI 08-09-1991 BIDAN PELAKSANA LULUS TIDAK 
LULUS 
TIDAK 
LULUS 
2.350 331004491 
1820001 
130797 
3045 66112000847 SUSANTI 09-11-1982 PARAMEDIK VETERINER 
PELAKSANA LULUS TIDAK 
LULUS 
TIDAK 
LULUS 
2.351 617105640 
5800006 
104746 
9353 66113000829 SUSANTI 24-05-1980 PENILAI PAJAK BUMI DAN 
BANGUNAN PERTAMA LULUS TIDAK 
LULUS 
TIDAK 
LULUS 
2.352 611201651 
0810007 
130864 
0185 66113001080 SUSI 25-10-1981 MEDIATOR HUBUNGAN 
INDUSTRIAL PERTAMA 
PENGANTAR KERJA 
PERTAMA 
PENGAWAS 
KETENAGAKERJAAN 
PERTAMA 
LULUS LULUS LULUS 
2.353 610111670 
3880001 
158409 
7239 66113001488 SUSI ASTRIANI 27-03-1988 GURU SEJARAH PERTAMA LULUS TIDAK 
LULUS 
TIDAK 
LULUS 
2.354 610207450 
8900007 
191246 
7554 66113000214 SUSI SUSANTI 05-08-1990 GURU MATEMATIKA 
PERTAMA LULUS TIDAK 
LULUS 
TIDAK 
LULUS 
2.355 617101441 
1880006 
124441 
6467 66113000192 SUSI WAHYUNI 04-11-1988 GURU SEJARAH PERTAMA LULUS TIDAK 
LULUS 
TIDAK 
LULUS 
2.356 611207500 
9910003 
183464 
5270 66112000235 SUSILAWATI 10-09-1991 BIDAN PELAKSANA LULUS TIDAK 
LULUS 
TIDAK 
LULUS
NO NIK 
NO 
REGIST 
ER 
NO PESERTA NAMA TANGGAL 
LAHIR PILIHAN JABATAN 1 NAMA JABATAN 2 NAMA JABATAN 3 STATUS 
PILIHAN 1 
STATUS 
PILIHAN 2 
STATUS 
PILIHAN 3 
2.357 617105610 
9920004 
139155 
4549 66112000255 SUSILAWATI 21-09-1992 BIDAN PELAKSANA LULUS TIDAK 
LULUS 
TIDAK 
LULUS 
2.358 611203600 
1810001 
184740 
9837 66113001830 SUSILAWATI, SH 20-01-1981 PERANCANG PERUNDANG-UNDANGAN 
PERTAMA ANALIS LAYANAN UMUM 
PENGAWAS 
KETENAGAKERJAAN 
PERTAMA 
LULUS LULUS LULUS 
2.359 330507080 
1910003 
150194 
3859 66113000724 SUSILO EDY PURNOMO 08-01-1991 GURU IPA PERTAMA GURU FISIKA PERTAMA ANALIS KEBIJAKAN 
PERTAMA LULUS LULUS TIDAK 
LULUS 
2.360 611201211 
0820004 
200143 
2925 66113001013 SUTARYONO 21-10-1982 PEKERJA SOSIAL PERTAMA PENYULUH SOSIAL 
PERTAMA 
ANALIS KEBIJAKAN 
PERTAMA LULUS LULUS LULUS 
2.361 611203500 
8840007 
159508 
8251 66113001477 SUTIANA,S.PD 10-08-1984 GURU MATEMATIKA 
PERTAMA LULUS TIDAK 
LULUS 
TIDAK 
LULUS 
2.362 611205640 
2900001 
119734 
0296 66112000161 SUTIPAH TRANINGSIH 24-02-1990 BIDAN PELAKSANA LULUS TIDAK 
LULUS 
TIDAK 
LULUS 
2.363 610215240 
5910003 
131305 
7249 66112000303 SUTRIADI 24-05-1991 PRANATA LABORATORIUM 
KESEHATAN PERTAMA LULUS TIDAK 
LULUS 
TIDAK 
LULUS 
2.364 611205210 
1830006 
152955 
6364 66113000950 SUYATMONO, S.SOS 21-01-1983 PENYULUH SOSIAL PERTAMA PEKERJA SOSIAL PERTAMA ANALIS KEBIJAKAN 
PERTAMA LULUS LULUS LULUS 
2.365 617105240 
4910004 
133595 
7128 66113000216 SY. MUHAMMAD YUSUF 24-04-1991 ANALIS ANGGARAN PENYULUH KOPERASI ANALIS KEBIJAKAN 
PERTAMA LULUS LULUS LULUS 
2.366 617103080 
9840008 
196256 
1832 66113000280 SY. USMAN, ST 08-09-1984 TEKNIK JALAN DAN 
JEMBATAN PERTAMA 
ANALIS KEBIJAKAN 
PERTAMA LULUS LULUS TIDAK 
LULUS 
2.367 617101030 
5810012 
176870 
0088 66113001454 SY.FIRHAN 03-05-1981 PERENCANA PERTAMA ANALIS ANGGARAN ANALIS KEBIJAKAN 
PERTAMA LULUS LULUS LULUS 
2.368 610101121 
1830003 
160229 
7021 66113001113 SYAFARI 12-11-1983 ANALIS KEBIJAKAN 
PERTAMA LULUS TIDAK 
LULUS 
TIDAK 
LULUS 
2.369 617106541 
2800002 
168817 
3202 66113000310 SYAFARRANI,SP 14-12-1980 ANALIS KEBIJAKAN 
PERTAMA LULUS TIDAK 
LULUS 
TIDAK 
LULUS 
2.370 611201081 
2790007 
135872 
8284 66113001734 SYAH ABDUL KASNADI, 
S.SOS.I 08-12-1979 ANALIS KEBIJAKAN 
PERTAMA LULUS TIDAK 
LULUS 
TIDAK 
LULUS 
2.371 611002210 
4870004 
121607 
7783 66112000031 SYAHBANDI 21-04-1987 PERAWAT PELAKSANA LULUS TIDAK 
LULUS 
TIDAK 
LULUS 
2.372 610701290 
7900001 
156213 
3016 66113000657 SYAHBILAL MUHTADIN 29-07-1990 PERENCANA PERTAMA ANALIS ANGGARAN ANALIS KERJASAMA DAN 
PERMODALAN LULUS LULUS LULUS 
2.373 610607100 
9870002 
201764 
0005 66113001391 SYAHBUDIN 10-09-1987 PRANATA HUBUNGAN 
MASYARAKAT PERTAMA 
ANALIS KEBIJAKAN 
PERTAMA LULUS LULUS TIDAK 
LULUS 
2.374 617103710 
8870010 
126140 
3534 66113001371 SYAHIDA 31-08-1987 PEKERJA SOSIAL PERTAMA PENYULUH SOSIAL 
PERTAMA LULUS LULUS TIDAK 
LULUS 
2.375 617101070 
1830220 
195866 
7615 66113001820 SYAHRIZAL FATHWARI 
SIREGAR 07-01-1983 ANALIS KEBIJAKAN 
PERTAMA LULUS TIDAK 
LULUS 
TIDAK 
LULUS 
2.376 610218090 
6900002 
194672 
1289 66113000402 SYAHROMY 09-06-1990 GURU SOSIOLOGI PERTAMA LULUS TIDAK 
LULUS 
TIDAK 
LULUS
NO NIK 
NO 
REGIST 
ER 
NO PESERTA NAMA TANGGAL 
LAHIR PILIHAN JABATAN 1 NAMA JABATAN 2 NAMA JABATAN 3 STATUS 
PILIHAN 1 
STATUS 
PILIHAN 2 
STATUS 
PILIHAN 3 
2.377 617102080 
5880003 
140549 
1214 66113000207 SYAHRU RAMADHAN 08-05-1988 GURU MATEMATIKA 
PERTAMA 
ANALIS KEBIJAKAN 
PERTAMA LULUS TIDAK 
LULUS 
TIDAK 
LULUS 
2.378 610218050 
5870004 
115350 
2543 66113001424 SYAIFUL BAHTIAR 05-05-1987 GURU MATEMATIKA 
PERTAMA LULUS TIDAK 
LULUS 
TIDAK 
LULUS 
2.379 610701110 
7910002 
198516 
0587 66113001034 SYAIFULLAH 11-07-1991 GURU MATEMATIKA 
PERTAMA LULUS TIDAK 
LULUS 
TIDAK 
LULUS 
2.380 617103440 
2880009 
133137 
3150 66113001162 SYAMDIAH SARI 04-02-1988 PERENCANA PERTAMA PENYULUH KOPERASI ANALIS KERJASAMA DAN 
PERMODALAN LULUS LULUS LULUS 
2.381 611205230 
6870001 
189158 
9431 66112000775 SYAMSUDIN 23-06-1987 PERAWAT PELAKSANA LULUS TIDAK 
LULUS 
TIDAK 
LULUS 
2.382 611203101 
1850006 
189399 
1218 66113000952 SYAMSUNI 10-11-1985 ANALIS KEBIJAKAN 
PERTAMA LULUS TIDAK 
LULUS 
TIDAK 
LULUS 
2.383 617101701 
1810018 
170159 
2114 66113000721 SYAMSURYANA 30-11-1981 GURU BAHASA INGGRIS 
PERTAMA SMP 
GURU BAHASA INGGRIS 
PERTAMA SMA 
ANALIS KEBIJAKAN 
PERTAMA LULUS LULUS TIDAK 
LULUS 
2.384 617101160 
9850016 
105861 
6638 66113001483 SYANT JAYA PUTRA 
ANGELIMA 16-09-1985 ANALIS KEBIJAKAN 
PERTAMA 
GURU BAHASA INGGRIS 
PERTAMA SMP 
GURU BAHASA INGGRIS 
PERTAMA SMA 
TIDAK 
LULUS LULUS LULUS 
2.385 617201660 
6880007 
155248 
5901 66112000613 SYARI SUSANA 
PANJAITAN 26-06-1988 PENGADMINISTRASI UMUM PENYUSUN RISALAH LULUS LULUS TIDAK 
LULUS 
2.386 617105291 
0850014 
121091 
8525 66113001239 SYARIEF FERRY 
ALKADRIE 29-10-1985 ANALIS KEBIJAKAN 
PERTAMA LULUS TIDAK 
LULUS 
TIDAK 
LULUS 
2.387 611201471 
0860011 
195279 
0151 66112000363 SYARIFAH DWI 
OCTAVIANI, A.MD 07-10-1986 PENGADMINISTRASI UMUM PENYUSUN RISALAH LULUS LULUS TIDAK 
LULUS 
2.388 617102450 
5900002 
207412 
1591 66113000968 SYARIFAH HAMIDAH 05-05-1990 PRANATA KOMPUTER 
PERTAMA LULUS TIDAK 
LULUS 
TIDAK 
LULUS 
2.389 617102631 
0840004 
180945 
2133 66113000946 SYARIFAH HIEFRIDA, 
ST 23-10-1984 ANALIS KEBIJAKAN 
PERTAMA PENATA RUANG PERTAMA SURVEYOR PEMETAAN 
PERTAMA LULUS LULUS LULUS 
2.390 617102611 
0820003 
178989 
8039 66113000588 SYARIFAH JUBAIDAH 21-10-1982 GURU MATEMATIKA 
PERTAMA 
ANALIS KEBIJAKAN 
PERTAMA LULUS TIDAK 
LULUS 
TIDAK 
LULUS 
2.391 617102470 
8830009 
211858 
2557 66113001158 SYARIFAH MARIAM 07-08-1983 GURU MATEMATIKA 
PERTAMA 
ANALIS KEBIJAKAN 
PERTAMA LULUS TIDAK 
LULUS 
TIDAK 
LULUS 
2.392 617102670 
9890002 
133802 
0239 66113001676 SYARIFAH NURUL 
HIDAYAH AL QADRI 27-09-1989 GURU FISIKA PERTAMA ANALIS KEBIJAKAN 
PERTAMA LULUS TIDAK 
LULUS 
TIDAK 
LULUS 
2.393 617102470 
1910503 
102093 
9834 66113000978 SYARIFAH RAUDA 
INTAN ALMUTAHAR 07-01-1991 PRANATA KOMPUTER 
PERTAMA 
ANALIS KEBIJAKAN 
PERTAMA LULUS LULUS TIDAK 
LULUS 
2.394 611201480 
9800007 
191358 
6063 66113001660 SYARIFAH SRI 
WAHYUNI 08-09-1980 PERANCANG PERUNDANG-UNDANGAN 
PERTAMA 
PENGANTAR KERJA 
PERTAMA 
ANALIS KEBIJAKAN 
PERTAMA LULUS LULUS LULUS 
2.395 617103710 
7840011 
161998 
4461 66113000604 SYARIFAH YULIANI 31-07-1984 ANALIS KEBIJAKAN 
PERTAMA LULUS TIDAK 
LULUS 
TIDAK 
LULUS 
2.396 617103451 
1800003 
204816 
2079 66112000089 SYF. ASIAH 05-11-1980 VERIFIKATOR KEUANGAN LULUS TIDAK 
LULUS 
TIDAK 
LULUS
NO NIK 
NO 
REGIST 
ER 
NO PESERTA NAMA TANGGAL 
LAHIR PILIHAN JABATAN 1 NAMA JABATAN 2 NAMA JABATAN 3 STATUS 
PILIHAN 1 
STATUS 
PILIHAN 2 
STATUS 
PILIHAN 3 
2.397 617104550 
7890007 
144436 
9820 66112000821 SYF. DEWI HANDAYANI 15-07-1989 PENGADMINISTRASI UMUM LULUS TIDAK 
LULUS 
TIDAK 
LULUS 
2.398 617102600 
5810003 
133777 
3852 66113001330 SYF. HERLINDA, SE 20-05-1981 ANALIS KERJASAMA DAN 
PERMODALAN PERENCANA PERTAMA PENYULUH KOPERASI LULUS LULUS LULUS 
2.399 611209570 
7920003 
160341 
8910 66113001545 SYF. NURLAILA 17-07-1992 GURU GEOGRAFI PERTAMA LULUS TIDAK 
LULUS 
TIDAK 
LULUS 
2.400 617103580 
8900003 
206782 
6905 66113001079 SYF. SHEILA RAEDHITA 19-08-1990 ANALIS LAYANAN UMUM ANALIS KEBIJAKAN 
PERTAMA LULUS LULUS TIDAK 
LULUS 
2.401 611209500 
5920009 
174557 
5624 66113001541 SYF. SITI KAMARIA 10-05-1992 GURU SEJARAH PERTAMA ANALIS KEBIJAKAN 
PERTAMA LULUS TIDAK 
LULUS 
TIDAK 
LULUS 
2.402 617102440 
9800005 
207816 
8148 66113000699 SYF. SYAHIRA 04-09-1980 GURU BAHASA INGGRIS 
PERTAMA SMP LULUS TIDAK 
LULUS 
TIDAK 
LULUS 
2.403 611201620 
5900002 
116238 
4931 66113000640 SYF.ARINI 22-05-1990 PENYULUH KOPERASI ANALIS ANGGARAN ANALIS KEBIJAKAN 
PERTAMA LULUS LULUS LULUS 
2.404 617104521 
2860003 
109469 
2837 66113001899 SYF.DESSI INDRIANI 12-12-1986 PEKERJA SOSIAL PERTAMA PENYULUH SOSIAL 
PERTAMA 
ANALIS KEBIJAKAN 
PERTAMA LULUS LULUS LULUS 
2.405 617102640 
8860001 
104068 
8840 66112000254 SYF.SELFIA,A.MD 24-08-1986 PENYUSUN RISALAH PENGADMINISTRASI UMUM LULUS LULUS TIDAK 
LULUS 
2.406 617103490 
1800009 
187085 
3135 66113001755 SYLVIA ARIYANI 
SULAYA 09-01-1980 PRANATA KOMPUTER 
PERTAMA LULUS TIDAK 
LULUS 
TIDAK 
LULUS 
2.407 617201480 
7920004 
159472 
8875 66113001539 SYLVIA KURNIA EKA 
PUTRI 08-07-1992 GURU SEJARAH PERTAMA LULUS TIDAK 
LULUS 
TIDAK 
LULUS 
2.408 611201060 
8890014 
186921 
5641 66113000595 TANSA FIRSTA 
NOVINDA 06-08-1989 GURU IPA PERTAMA GURU FISIKA PERTAMA LULUS LULUS TIDAK 
LULUS 
2.409 611202150 
2870002 
187892 
8024 66112000414 TAPYIN 15-02-1987 PENGADMINISTRASI UMUM PENYUSUN RISALAH LULUS LULUS TIDAK 
LULUS 
2.410 611201251 
0880007 
107045 
2459 66113001878 TATANG MULYADI 25-10-1988 PERANCANG PERUNDANG-UNDANGAN 
PERTAMA 
PENGAWAS 
KETENAGAKERJAAN 
PERTAMA 
ANALIS KEBIJAKAN 
PERTAMA LULUS LULUS LULUS 
2.411 611201490 
3830013 
213547 
2944 66112000773 TATI SUSILAWATI 09-03-1983 PENGADMINISTRASI UMUM LULUS TIDAK 
LULUS 
TIDAK 
LULUS 
2.412 617102010 
9890007 
201024 
1838 66113001480 TAUFIQ 01-09-1989 GURU SEJARAH PERTAMA ANALIS KEBIJAKAN 
PERTAMA LULUS TIDAK 
LULUS 
TIDAK 
LULUS 
2.413 611209200 
7880002 
129714 
6493 66113001658 TAUFIQ HIDAYAT 20-07-1988 GURU BAHASA INGGRIS 
PERTAMA SMP 
ANALIS KEBIJAKAN 
PERTAMA 
GURU BAHASA INGGRIS 
PERTAMA SMA LULUS TIDAK 
LULUS LULUS 
2.414 610906100 
8900003 
212527 
7170 66112000035 TEDI SUMARNO 10-08-1990 PENGADMINISTRASI UMUM PENYUSUN RISALAH LULUS LULUS TIDAK 
LULUS 
2.415 617101090 
9810016 
208460 
5071 66113001855 TEDY ZULKARNAEN 09-09-1981 PAMONG BUDAYA PERTAMA ANALIS KEBIJAKAN 
PERTAMA LULUS LULUS TIDAK 
LULUS 
2.416 617201310 
1890004 
152384 
5993 66113000240 TEGIE ARIAN PRATAMA 31-01-1989 ANALIS KEBIJAKAN 
PERTAMA PEKERJA SOSIAL PERTAMA PENYULUH SOSIAL 
PERTAMA LULUS LULUS LULUS
NO NIK 
NO 
REGIST 
ER 
NO PESERTA NAMA TANGGAL 
LAHIR PILIHAN JABATAN 1 NAMA JABATAN 2 NAMA JABATAN 3 STATUS 
PILIHAN 1 
STATUS 
PILIHAN 2 
STATUS 
PILIHAN 3 
2.417 610216210 
1890001 
148741 
6454 66112000181 TEGUH ARDIKA 21-01-1989 PERAWAT PELAKSANA LULUS TIDAK 
LULUS 
TIDAK 
LULUS 
2.418 610105090 
3840004 
202804 
1449 66113000902 TEGUH HERMAWAN 09-03-1984 PRANATA KOMPUTER 
PERTAMA 
ANALIS KEBIJAKAN 
PERTAMA LULUS LULUS TIDAK 
LULUS 
2.419 617101230 
7880010 
172757 
5047 66113001422 TEGUH HERMAWAN 23-07-1988 GURU MATEMATIKA 
PERTAMA LULUS TIDAK 
LULUS 
TIDAK 
LULUS 
2.420 617101071 
2890012 
163931 
6958 66112000046 TEGUH PRASETYA 07-12-1989 PERAWAT PELAKSANA LULUS TIDAK 
LULUS 
TIDAK 
LULUS 
2.421 617101081 
1860006 
157762 
6998 66113000023 TEJA LESMANA 08-11-1986 PRANATA HUBUNGAN 
MASYARAKAT PERTAMA 
ANALIS KEBIJAKAN 
PERTAMA LULUS LULUS TIDAK 
LULUS 
2.422 610218441 
0860004 
104578 
1367 66112000012 TENGKU 
MUSDHALIFAH 04-10-1986 PENGADMINISTRASI UMUM PENYUSUN RISALAH LULUS LULUS TIDAK 
LULUS 
2.423 347114480 
5830001 
199904 
6310 66113000460 TERISSURYANA 
NOVELLA 08-05-1983 APOTEKER PERTAMA LULUS TIDAK 
LULUS 
TIDAK 
LULUS 
2.424 617103620 
2810004 
114224 
7508 66112000739 TETIK SETIAWATI, AMD 22-02-1981 PENGADMINISTRASI UMUM PENYUSUN RISALAH LULUS LULUS TIDAK 
LULUS 
2.425 160213570 
8910001 
170045 
0636 66112000722 TETRANI SEDYANING 
TYAS 17-08-1991 BIDAN PELAKSANA LULUS TIDAK 
LULUS 
TIDAK 
LULUS 
2.426 120830650 
8900004 
175634 
6243 66112000307 TETY DINA TIAN HUI 
SIMATUPANG 25-08-1990 BIDAN PELAKSANA LULUS TIDAK 
LULUS 
TIDAK 
LULUS 
2.427 611207590 
4920003 
123800 
1196 66112000261 THAMY APRIANI 19-04-1992 PENGADMINISTRASI UMUM PENYUSUN RISALAH LULUS LULUS TIDAK 
LULUS 
2.428 610501050 
6930008 
107405 
0973 66112000810 THEO TRY YOSA 05-06-1993 PARAMEDIK VETERINER 
PELAKSANA LULUS TIDAK 
LULUS 
TIDAK 
LULUS 
2.429 617103511 
1900004 
104320 
8312 66112000388 THINI 11-11-1990 BIDAN PELAKSANA LULUS TIDAK 
LULUS 
TIDAK 
LULUS 
2.430 611201530 
8920006 
176018 
1840 66112000010 TIA AGUSTIANINGSIH 13-08-1992 BIDAN PELAKSANA LULUS TIDAK 
LULUS 
TIDAK 
LULUS 
2.431 611201600 
6900009 
127187 
5335 66113000840 TIA AMALIA 22-06-1990 GURU MATEMATIKA 
PERTAMA LULUS TIDAK 
LULUS 
TIDAK 
LULUS 
2.432 610101440 
4880005 
156519 
8437 66113001845 TIA APRIANI 04-04-1988 ANALIS KERJASAMA DAN 
PERMODALAN ANALIS ANGGARAN ANALIS KEBIJAKAN 
PERTAMA LULUS LULUS LULUS 
2.433 611207501 
2930003 
132603 
5473 66112000233 TIA DISTA ASTIATI 10-12-1993 PERAWAT PELAKSANA LULUS TIDAK 
LULUS 
TIDAK 
LULUS 
2.434 617201511 
0900001 
170497 
7674 66112000121 TIA RISTI UTAMI 11-10-1990 BIDAN PELAKSANA LULUS TIDAK 
LULUS 
TIDAK 
LULUS 
2.435 610501610 
5910006 
184734 
6709 66112000393 TIANA ATRININGSIH 21-05-1991 BIDAN PELAKSANA LULUS TIDAK 
LULUS 
TIDAK 
LULUS 
2.436 317306580 
8890001 
152027 
3309 66113001781 TIARA CITRA PRINIASTY 18-08-1989 ANALIS KEBIJAKAN 
PERTAMA LULUS TIDAK 
LULUS 
TIDAK 
LULUS
NO NIK 
NO 
REGIST 
ER 
NO PESERTA NAMA TANGGAL 
LAHIR PILIHAN JABATAN 1 NAMA JABATAN 2 NAMA JABATAN 3 STATUS 
PILIHAN 1 
STATUS 
PILIHAN 2 
STATUS 
PILIHAN 3 
2.437 617201560 
8910004 
116801 
6988 66112000278 TIARA LARASWATY 16-08-1991 PERAWAT PELAKSANA LULUS TIDAK 
LULUS 
TIDAK 
LULUS 
2.438 611201411 
2930010 
152187 
4788 66112000098 TIKA SUSILAWATI 01-12-1993 PERAWAT PELAKSANA LULUS TIDAK 
LULUS 
TIDAK 
LULUS 
2.439 617103441 
1840024 
139273 
6701 66113001438 TITI FRISTIA 04-11-1984 ANALIS ANGGARAN ANALIS KERJASAMA DAN 
PERMODALAN 
ANALIS KEBIJAKAN 
PERTAMA LULUS LULUS LULUS 
2.440 610503701 
1910003 
135704 
3677 66112000641 TITIK SETIOWATI 30-11-1991 PERAWAT PELAKSANA LULUS TIDAK 
LULUS 
TIDAK 
LULUS 
2.441 617105621 
0810007 
129866 
0146 66112000313 TITIN AWALIAH 22-10-1981 VERIFIKATOR KEUANGAN LULUS TIDAK 
LULUS 
TIDAK 
LULUS 
2.442 611201700 
8900004 
144559 
6161 66113000287 TITIN SUPRIHATINI 30-08-1990 GURU MATEMATIKA 
PERTAMA LULUS TIDAK 
LULUS 
TIDAK 
LULUS 
2.443 617103671 
1830009 
126678 
2667 66113001295 TITIN TRI PRABARATNA 27-11-1983 PENYULUH KOPERASI PERENCANA PERTAMA ANALIS KERJASAMA DAN 
PERMODALAN LULUS LULUS LULUS 
2.444 610302701 
2890001 
195483 
0693 66113001204 TIWIK ISTI NARSIWI 30-12-1989 GURU MATEMATIKA 
PERTAMA LULUS TIDAK 
LULUS 
TIDAK 
LULUS 
2.445 610212260 
9870003 
108241 
5139 66113000210 TOMI ARTA 26-09-1987 GURU SEJARAH PERTAMA LULUS TIDAK 
LULUS 
TIDAK 
LULUS 
2.446 610705050 
9870003 
200630 
1573 66112000813 TOMI SEPRIADI 05-09-1987 PERAWAT PELAKSANA LULUS TIDAK 
LULUS 
TIDAK 
LULUS 
2.447 617103180 
2910003 
113389 
6481 66112000686 TOMMY GALIH 
GUMILANG 18-02-1991 PENYUSUN RISALAH PENGADMINISTRASI UMUM LULUS LULUS TIDAK 
LULUS 
2.448 610321070 
3910001 
187894 
9742 66113000165 TOMMY HARDIANSYAH 07-03-1991 ANALIS KEBIJAKAN 
PERTAMA LULUS TIDAK 
LULUS 
TIDAK 
LULUS 
2.449 617105010 
3900009 
180903 
8242 66113001835 TOMMY TEGUH 
SAPUTRA 01-03-1990 PRANATA KOMPUTER 
PERTAMA 
ANALIS KEBIJAKAN 
PERTAMA LULUS LULUS TIDAK 
LULUS 
2.450 611201180 
4840022 
144978 
8868 66113001018 TONI 18-04-1984 ANALIS KEBIJAKAN 
PERTAMA LULUS TIDAK 
LULUS 
TIDAK 
LULUS 
2.451 611202020 
4900002 
172935 
4431 66113000892 TONO 02-04-1990 GURU SEJARAH PERTAMA ANALIS KEBIJAKAN 
PERTAMA LULUS TIDAK 
LULUS 
TIDAK 
LULUS 
2.452 611201130 
4860007 
202206 
8814 66113001551 TOTO TRI PRIHANTO 13-04-1986 GURU BAHASA INGGRIS 
PERTAMA SMA 
GURU BAHASA INGGRIS 
PERTAMA SMP 
ANALIS KEBIJAKAN 
PERTAMA LULUS LULUS TIDAK 
LULUS 
2.453 617103051 
2870008 
187617 
2696 66113000610 TOTOK SUGIANTORO 05-12-1987 ANALIS KEBIJAKAN 
PERTAMA LULUS TIDAK 
LULUS 
TIDAK 
LULUS 
2.454 610417680 
3890010 
173935 
8569 66113001071 TRI EKAWATI 28-03-1989 ANALIS KEBIJAKAN 
PERTAMA PERENCANA PERTAMA PENYULUH KOPERASI LULUS LULUS LULUS 
2.455 611201410 
2910012 
173993 
8386 66112000165 TRI FEBRIANI 01-02-1991 BIDAN PELAKSANA LULUS TIDAK 
LULUS 
TIDAK 
LULUS 
2.456 617104430 
9810016 
137369 
7760 66113001390 TRI HANANTI SULIANA 03-09-1981 PERENCANA PERTAMA ANALIS KEBIJAKAN 
PERTAMA 
ANALIS KERJASAMA DAN 
PERMODALAN LULUS LULUS LULUS
NO NIK 
NO 
REGIST 
ER 
NO PESERTA NAMA TANGGAL 
LAHIR PILIHAN JABATAN 1 NAMA JABATAN 2 NAMA JABATAN 3 STATUS 
PILIHAN 1 
STATUS 
PILIHAN 2 
STATUS 
PILIHAN 3 
2.457 611201410 
4890010 
163273 
9192 66113001135 TRI HERWANTI 01-04-1989 GURU MATEMATIKA 
PERTAMA LULUS TIDAK 
LULUS 
TIDAK 
LULUS 
2.458 617105631 
1890001 
179632 
6874 66113000730 TRI MULYANINGSIH 23-11-1989 GURU BAHASA INGGRIS 
PERTAMA SMP 
GURU BAHASA INGGRIS 
PERTAMA SMA 
ANALIS KEBIJAKAN 
PERTAMA LULUS LULUS TIDAK 
LULUS 
2.459 611203650 
3890001 
161158 
3191 66112000602 TRI MULYANTI 25-03-1989 PENGADMINISTRASI UMUM LULUS TIDAK 
LULUS 
TIDAK 
LULUS 
2.460 617104640 
5820009 
164725 
0392 66112000422 TRI MULYATI 24-05-1982 PERAWAT PELAKSANA LULUS TIDAK 
LULUS 
TIDAK 
LULUS 
2.461 611201440 
9840006 
185309 
8519 66113001779 TRI NARSIH 04-09-1984 ANALIS KEBIJAKAN 
PERTAMA LULUS TIDAK 
LULUS 
TIDAK 
LULUS 
2.462 610301530 
9890002 
158685 
5836 66112000552 TRI NUR UTAMI 13-09-1989 BIDAN PELAKSANA LULUS TIDAK 
LULUS 
TIDAK 
LULUS 
2.463 617105541 
0820007 
208878 
5633 66112000109 TRI OKFIADRIANI 14-10-1982 VERIFIKATOR KEUANGAN LULUS TIDAK 
LULUS 
TIDAK 
LULUS 
2.464 611209681 
0910002 
117066 
5246 66113001133 TRI OKTA WULANDARI 28-10-1991 GURU MATEMATIKA 
PERTAMA LULUS TIDAK 
LULUS 
TIDAK 
LULUS 
2.465 611201420 
4900021 
210053 
6367 66113001050 TRI PRAYA ANDAYANI 02-04-1990 PERENCANA PERTAMA ANALIS KEBIJAKAN 
PERTAMA PENYULUH KOPERASI LULUS LULUS LULUS 
2.466 611103441 
2880002 
156062 
6398 66113000014 TRI RAHAYU 04-12-1988 PERENCANA PERTAMA ANALIS ANGGARAN PENYULUH KOPERASI LULUS LULUS LULUS 
2.467 610801600 
5930006 
172608 
0760 66112000200 TRI RAODAWATI 20-05-1993 NUTRISIONIS PELAKSANA LULUS TIDAK 
LULUS 
TIDAK 
LULUS 
2.468 617101570 
5800023 
206596 
0052 66113001586 TRI RAZIASTUTI 17-05-1980 PENGANTAR KERJA 
PERTAMA 
ANALIS KEBIJAKAN 
PERTAMA LULUS LULUS TIDAK 
LULUS 
2.469 617104410 
8890007 
181999 
0095 66113001022 TRI REGIAN ASTUTI 01-08-1989 GURU SEJARAH PERTAMA ANALIS KEBIJAKAN 
PERTAMA LULUS TIDAK 
LULUS 
TIDAK 
LULUS 
2.470 617105570 
3820004 
192308 
7299 66113001498 TRI SUMARNI 17-03-1982 ANALIS KEBIJAKAN 
PERTAMA PENATA RUANG PERTAMA SURVEYOR PEMETAAN 
PERTAMA LULUS LULUS LULUS 
2.471 617101480 
2910006 
140214 
0262 66112000801 TRI WAHYUNI 08-02-1991 PENGADMINISTRASI UMUM LULUS TIDAK 
LULUS 
TIDAK 
LULUS 
2.472 617103710 
5890015 
109396 
2877 66113000203 TRI WATINI 31-05-1989 GURU BAHASA INGGRIS 
PERTAMA SMP LULUS TIDAK 
LULUS 
TIDAK 
LULUS 
2.473 617105590 
3850003 
134667 
2588 66112000807 TRI WIDIASTUTI 19-03-1985 PENYUSUN RISALAH LULUS TIDAK 
LULUS 
TIDAK 
LULUS 
2.474 611207480 
8830002 
141370 
4797 66113001255 TRI WULIYANI 08-08-1983 GURU IPA PERTAMA GURU BIOLOGI PERTAMA LULUS LULUS TIDAK 
LULUS 
2.475 617105520 
8900005 
141907 
5292 66112000502 TRI YANNI 12-08-1990 BIDAN PELAKSANA LULUS TIDAK 
LULUS 
TIDAK 
LULUS 
2.476 611209700 
5850006 
112301 
2739 66113000401 TRINITA 30-05-1985 GURU MATEMATIKA 
PERTAMA 
ANALIS KEBIJAKAN 
PERTAMA LULUS TIDAK 
LULUS 
TIDAK 
LULUS
NO NIK 
NO 
REGIST 
ER 
NO PESERTA NAMA TANGGAL 
LAHIR PILIHAN JABATAN 1 NAMA JABATAN 2 NAMA JABATAN 3 STATUS 
PILIHAN 1 
STATUS 
PILIHAN 2 
STATUS 
PILIHAN 3 
2.477 617103091 
0910009 
135825 
8344 66113001332 TRIO BAJA RINYUANG 09-10-1991 ANALIS KEBIJAKAN 
PERTAMA 
PRANATA KOMPUTER 
PERTAMA LULUS LULUS TIDAK 
LULUS 
2.478 617103260 
9880003 
107051 
5901 66112000309 TRISDARYADI RINARDI 24-05-1989 PERAWAT PELAKSANA LULUS TIDAK 
LULUS 
TIDAK 
LULUS 
2.479 611104210 
1910001 
140644 
3115 66113001904 TRISNA SANJAYA 21-01-1990 GURU SEJARAH PERTAMA ANALIS KEBIJAKAN 
PERTAMA LULUS TIDAK 
LULUS 
TIDAK 
LULUS 
2.480 617101551 
0860004 
134764 
4189 66112000379 TRISNAWATI 15-10-1986 PERAWAT PELAKSANA LULUS TIDAK 
LULUS 
TIDAK 
LULUS 
2.481 617103080 
8810006 
168970 
1978 66113000115 TRISULA ALAM 
CIPTADI, ST 08-08-1981 PENATA RUANG PERTAMA SURVEYOR PEMETAAN 
PERTAMA 
ANALIS KEBIJAKAN 
PERTAMA LULUS LULUS LULUS 
2.482 617105060 
3830012 
117590 
9821 66113001659 TUAH RIFKI 
PERKASA,SH 06-03-1983 PERANCANG PERUNDANG-UNDANGAN 
PERTAMA ANALIS LAYANAN UMUM ANALIS KEBIJAKAN 
PERTAMA LULUS LULUS LULUS 
2.483 617105130 
6820013 
134935 
0676 66113000557 TUKIJAN 13-06-1982 PENATA RUANG PERTAMA SURVEYOR PEMETAAN 
PERTAMA 
ANALIS KEBIJAKAN 
PERTAMA LULUS LULUS LULUS 
2.484 611207450 
4920002 
170228 
6855 66112000647 TUMINI 05-05-1992 BIDAN PELAKSANA LULUS TIDAK 
LULUS 
TIDAK 
LULUS 
2.485 210316090 
1860001 
111405 
7339 66113001758 TURYADI 09-01-1986 ANALIS KEBIJAKAN 
PERTAMA LULUS TIDAK 
LULUS 
TIDAK 
LULUS 
2.486 617103630 
3850509 
133293 
2810 66113001038 TUS PANGESTUNI 23-03-1985 GURU MATEMATIKA 
PERTAMA LULUS TIDAK 
LULUS 
TIDAK 
LULUS 
2.487 611209410 
1900006 
193235 
9850 66112000203 TUTI RAHAYU 01-01-1990 BIDAN PELAKSANA LULUS TIDAK 
LULUS 
TIDAK 
LULUS 
2.488 617101580 
8880013 
163671 
8068 66113001184 TUTUT HANDAYANI 
TETRUKO 18-08-1988 PERENCANA PERTAMA ANALIS ANGGARAN ANALIS KERJASAMA DAN 
PERMODALAN LULUS LULUS LULUS 
2.489 331212420 
9860001 
164793 
7162 66113001909 TUTUT LINA INDRASARI 02-09-1986 GURU IPA PERTAMA GURU FISIKA PERTAMA ANALIS KEBIJAKAN 
PERTAMA LULUS LULUS TIDAK 
LULUS 
2.490 610320450 
8910001 
121597 
9797 66112000420 UCI RUSMANTI 05-08-1991 PERAWAT PELAKSANA LULUS TIDAK 
LULUS 
TIDAK 
LULUS 
2.491 610102691 
1880002 
156523 
8840 66113001627 UDIAH 29-11-1988 GURU MATEMATIKA 
PERTAMA LULUS TIDAK 
LULUS 
TIDAK 
LULUS 
2.492 610801500 
5840010 
196528 
7025 66112000712 ULFAH APRIANI 10-05-1984 PERAWAT PELAKSANA LULUS TIDAK 
LULUS 
TIDAK 
LULUS 
2.493 611209491 
2870003 
176945 
5257 66113000381 ULFATUN 09-12-1987 ANALIS KEBIJAKAN 
PERTAMA LULUS TIDAK 
LULUS 
TIDAK 
LULUS 
2.494 617105040 
1910005 
133460 
9069 66112000314 ULI NUHA 04-01-1991 VERIFIKATOR KEUANGAN LULUS TIDAK 
LULUS 
TIDAK 
LULUS 
2.495 611201600 
3810004 
199971 
4494 66113001832 UMMI KALSUM 20-03-1981 ANALIS KEBIJAKAN 
PERTAMA PERENCANA PERTAMA ANALIS ANGGARAN LULUS LULUS LULUS 
2.496 610117440 
9890003 
138258 
9204 66113000676 UMMU KALSUM 04-09-1989 GURU SEJARAH PERTAMA LULUS TIDAK 
LULUS 
TIDAK 
LULUS
NO NIK 
NO 
REGIST 
ER 
NO PESERTA NAMA TANGGAL 
LAHIR PILIHAN JABATAN 1 NAMA JABATAN 2 NAMA JABATAN 3 STATUS 
PILIHAN 1 
STATUS 
PILIHAN 2 
STATUS 
PILIHAN 3 
2.497 617104640 
6890009 
168528 
9611 66113000726 UNNI MARITA 24-06-1989 GURU MATEMATIKA 
PERTAMA LULUS TIDAK 
LULUS 
TIDAK 
LULUS 
2.498 617102680 
4800003 
187105 
0259 66112000449 UPIK ISNANIAH 28-04-1980 NUTRISIONIS PELAKSANA LULUS TIDAK 
LULUS 
TIDAK 
LULUS 
2.499 610208020 
3910003 
175490 
2613 66113000802 URAI RIDWANA 03-03-1991 GURU BAHASA INDONESIA 
PERTAMA 
ANALIS KEBIJAKAN 
PERTAMA LULUS TIDAK 
LULUS 
TIDAK 
LULUS 
2.500 611209520 
3910005 
129615 
0359 66112000202 URAY ANGGRAINI 12-03-1991 BIDAN PELAKSANA LULUS TIDAK 
LULUS 
TIDAK 
LULUS 
2.501 617103020 
8890003 
184224 
5146 66112000522 URAY BELLA DHEKA 
PERMANA 02-08-1989 PENYUSUN RISALAH PENGADMINISTRASI UMUM LULUS LULUS TIDAK 
LULUS 
2.502 617201411 
2880001 
130517 
6742 66112000064 URAY MITA ARNIZA 01-12-1988 BIDAN PELAKSANA LULUS TIDAK 
LULUS 
TIDAK 
LULUS 
2.503 617105600 
1900009 
181337 
3171 66112000535 URAY MULTI 20-01-1990 PENGADMINISTRASI UMUM PENYUSUN RISALAH LULUS LULUS TIDAK 
LULUS 
2.504 611201431 
1910008 
167817 
8473 66112000832 URAY VIRNALIA 03-11-1991 PENGADMINISTRASI UMUM LULUS TIDAK 
LULUS 
TIDAK 
LULUS 
2.505 611201481 
1880001 
189355 
8130 66113001623 URAY WINDA NOVASARI 08-11-1988 PENYULUH KOPERASI ANALIS KERJASAMA DAN 
PERMODALAN PERENCANA PERTAMA LULUS LULUS LULUS 
2.506 610301121 
2910001 
151668 
6267 66112000455 USDIANRI KURTURA 12-12-1991 VERIFIKATOR KEUANGAN LULUS TIDAK 
LULUS 
TIDAK 
LULUS 
2.507 617102541 
2890001 
151697 
2965 66112000571 USWATUN HASANAH 14-12-1989 PENGADMINISTRASI UMUM PENYUSUN RISALAH LULUS LULUS TIDAK 
LULUS 
2.508 611201510 
7860009 
142147 
7514 66113000012 USWATUN HASANAH 11-07-1986 ANALIS ANGGARAN PERENCANA PERTAMA ANALIS KERJASAMA DAN 
PERMODALAN LULUS LULUS LULUS 
2.509 611201621 
0830008 
159544 
8451 66113001003 UTAMI OKTAVIA 
SUMARIANI 22-10-1983 ANALIS LAYANAN UMUM 
PENGAWAS 
KETENAGAKERJAAN 
PERTAMA 
PERANCANG PERUNDANG-UNDANGAN 
PERTAMA LULUS LULUS LULUS 
2.510 611209471 
2860004 
197207 
1264 66113001656 UTET DESSY CAROLINA 07-12-1986 GURU SEJARAH PERTAMA LULUS TIDAK 
LULUS 
TIDAK 
LULUS 
2.511 617105630 
2860005 
141583 
2605 66113001697 UTIN DEWI PEBRIYANA 23-02-1986 ANALIS KEBIJAKAN 
PERTAMA LULUS TIDAK 
LULUS 
TIDAK 
LULUS 
2.512 617104681 
2900005 
126538 
4099 66112000389 UTIN FRIKA DESY 
UTAMI 28-12-1990 PERAWAT PELAKSANA LULUS TIDAK 
LULUS 
TIDAK 
LULUS 
2.513 617105680 
4810005 
158572 
9020 66113000396 UTIN NUR AFRIANI 28-04-1981 GURU SEJARAH PERTAMA ANALIS KEBIJAKAN 
PERTAMA LULUS TIDAK 
LULUS 
TIDAK 
LULUS 
2.514 610301550 
8880003 
105365 
6005 66113001351 UTIN RAHMI MUTIA 
DEWI 15-08-1988 ANALIS ANGGARAN ANALIS KERJASAMA DAN 
PERMODALAN PERENCANA PERTAMA LULUS LULUS LULUS 
2.515 617103640 
7900005 
201263 
6960 66113000224 UTIN RINI ADE PUTRI 24-07-1990 PERANCANG PERUNDANG-UNDANGAN 
PERTAMA 
PENGAWAS 
KETENAGAKERJAAN 
PERTAMA 
ANALIS KEBIJAKAN 
PERTAMA LULUS LULUS LULUS 
2.516 611209410 
9850003 
136863 
1579 66112000295 UTIN VINA ROSANITA 
ISDIANA 01-09-1985 PENGADMINISTRASI UMUM LULUS TIDAK 
LULUS 
TIDAK 
LULUS
NO NIK 
NO 
REGIST 
ER 
NO PESERTA NAMA TANGGAL 
LAHIR PILIHAN JABATAN 1 NAMA JABATAN 2 NAMA JABATAN 3 STATUS 
PILIHAN 1 
STATUS 
PILIHAN 2 
STATUS 
PILIHAN 3 
2.517 611201451 
2850012 
211089 
7640 66112000267 UUN YUSLINNA UTIKA 05-12-1985 PERAWAT PELAKSANA LULUS TIDAK 
LULUS 
TIDAK 
LULUS 
2.518 610105501 
0840005 
129878 
9417 66112000003 UZAINATUL 
UMAMAH,A.MD 10-10-1984 VERIFIKATOR KEUANGAN LULUS TIDAK 
LULUS 
TIDAK 
LULUS 
2.519 610513681 
1790001 
159285 
7747 66112000357 UZLIFATUL JANAH 28-11-1979 PENGADMINISTRASI UMUM LULUS TIDAK 
LULUS 
TIDAK 
LULUS 
2.520 617103660 
7880006 
140145 
4997 66113000934 VALENTINA LATI 26-07-1988 PENATA RUANG PERTAMA SURVEYOR PEMETAAN 
PERTAMA 
ANALIS KEBIJAKAN 
PERTAMA LULUS LULUS LULUS 
2.521 610309640 
1900001 
121876 
7115 66113001333 VALENTINA PRAWITA 
ANGKASA PASARIBU 24-01-1990 ANALIS KEBIJAKAN 
PERTAMA LULUS TIDAK 
LULUS 
TIDAK 
LULUS 
2.522 610802661 
0900001 
119657 
9209 66112000837 VALENTINA VIA 26-10-1990 PERAWAT PELAKSANA LULUS TIDAK 
LULUS 
TIDAK 
LULUS 
2.523 617201020 
9890001 
211013 
9274 66113001834 VAZZIL SALTIANI 02-09-1989 ANALIS KEBIJAKAN 
PERTAMA LULUS TIDAK 
LULUS 
TIDAK 
LULUS 
2.524 611201470 
2850009 
106234 
8641 66113000962 VENNY CHINTIANI 07-02-1985 ANALIS ANGGARAN PENYULUH KOPERASI ANALIS KERJASAMA DAN 
PERMODALAN LULUS LULUS LULUS 
2.525 617105660 
3870001 
183473 
2183 66113000367 VENNY TRIWINATA 26-03-1987 PENYULUH KOPERASI PERENCANA PERTAMA ANALIS KEBIJAKAN 
PERTAMA LULUS LULUS LULUS 
2.526 130105630 
2900001 
115348 
9907 66112000855 VERA NIKA SARI 23-02-1990 BIDAN PELAKSANA LULUS TIDAK 
LULUS 
TIDAK 
LULUS 
2.527 610117450 
2890002 
159092 
1715 66112000191 VERA SRI HASTUTI 05-02-1989 NUTRISIONIS PELAKSANA LULUS TIDAK 
LULUS 
TIDAK 
LULUS 
2.528 611203590 
4930002 
159092 
7899 66112000131 VERINA FITRIANI 19-04-1992 BIDAN PELAKSANA LULUS TIDAK 
LULUS 
TIDAK 
LULUS 
2.529 617105420 
2880006 
190198 
7276 66113000073 VERMA FEBRI LESTARI 02-02-1988 GURU MATEMATIKA 
PERTAMA 
ANALIS KEBIJAKAN 
PERTAMA LULUS TIDAK 
LULUS 
TIDAK 
LULUS 
2.530 611201680 
8900007 
106865 
7573 66113000538 VERONIKA KRISTIANTI 28-08-1990 GURU BAHASA INGGRIS 
PERTAMA SMP 
GURU BAHASA INGGRIS 
PERTAMA SMA LULUS LULUS TIDAK 
LULUS 
2.531 617103530 
2840004 
179324 
0057 66113001482 VERONIKA SUHERNA 13-02-1984 GURU MATEMATIKA 
PERTAMA 
ANALIS KEBIJAKAN 
PERTAMA LULUS TIDAK 
LULUS 
TIDAK 
LULUS 
2.532 617102030 
3900005 
118165 
8527 66113000826 VIC ALBERT AYRIL 03-03-1990 ANALIS KERJASAMA DAN 
PERMODALAN PERENCANA PERTAMA ANALIS ANGGARAN LULUS LULUS LULUS 
2.533 610310550 
5940001 
159333 
0532 66112000642 VICTORIA ELI DAPIT 15-05-1994 PERAWAT PELAKSANA LULUS TIDAK 
LULUS 
TIDAK 
LULUS 
2.534 610807050 
9830006 
153115 
7130 66113000499 VICTORINUS PARANSO 
ANTON 05-09-1983 ANALIS KEBIJAKAN 
PERTAMA LULUS TIDAK 
LULUS 
TIDAK 
LULUS 
2.535 611201531 
1860002 
200570 
0043 66113000562 VIKTORINA BURI ALIAS 
FITRIA SALIMA 13-11-1986 GURU BAHASA INDONESIA 
PERTAMA LULUS TIDAK 
LULUS 
TIDAK 
LULUS 
2.536 610111670 
6860001 
149667 
5908 66113001854 VINA ETTI KOSSARI 27-06-1986 ANALIS KEBIJAKAN 
PERTAMA LULUS TIDAK 
LULUS 
TIDAK 
LULUS
NO NIK 
NO 
REGIST 
ER 
NO PESERTA NAMA TANGGAL 
LAHIR PILIHAN JABATAN 1 NAMA JABATAN 2 NAMA JABATAN 3 STATUS 
PILIHAN 1 
STATUS 
PILIHAN 2 
STATUS 
PILIHAN 3 
2.537 611201691 
2920005 
184616 
6392 66112000134 VINI DESYANTI 29-12-1992 BIDAN PELAKSANA LULUS TIDAK 
LULUS 
TIDAK 
LULUS 
2.538 617103441 
2910008 
164648 
9771 66112000166 VINNY PUTRISARI 04-12-1991 BIDAN PELAKSANA LULUS TIDAK 
LULUS 
TIDAK 
LULUS 
2.539 610601100 
6920001 
133516 
3128 66112000297 VINSENSIUS RONI 
SAMPURAI 10-09-1992 PERAWAT PELAKSANA LULUS TIDAK 
LULUS 
TIDAK 
LULUS 
2.540 617105200 
9870010 
206121 
2533 66113000919 VIRGO KARDINA 20-09-1987 GURU MATEMATIKA 
PERTAMA LULUS TIDAK 
LULUS 
TIDAK 
LULUS 
2.541 617102510 
4870006 
148449 
7177 66112000068 VIVI AFRIANTY AMD 
KEB 11-04-1987 BIDAN PELAKSANA LULUS TIDAK 
LULUS 
TIDAK 
LULUS 
2.542 611201630 
5890002 
154690 
6162 66112000533 VIVI ARIANI 23-05-1989 PENGADMINISTRASI UMUM PENYUSUN RISALAH LULUS LULUS TIDAK 
LULUS 
2.543 617101621 
1830006 
116086 
7227 66113000970 VIVI DEWI DAMAYANTI 22-11-1983 ANALIS KEBIJAKAN 
PERTAMA LULUS TIDAK 
LULUS 
TIDAK 
LULUS 
2.544 611206430 
2890002 
168211 
0520 66113001274 VIVI PUSPITASARI 03-02-1989 GURU BAHASA INGGRIS 
PERTAMA SMP 
GURU BAHASA INGGRIS 
PERTAMA SMA 
ANALIS KEBIJAKAN 
PERTAMA LULUS LULUS TIDAK 
LULUS 
2.545 610108710 
3890002 
113290 
7460 66113001453 VIVI SATRINA 31-03-1989 ANALIS KEBIJAKAN 
PERTAMA LULUS TIDAK 
LULUS 
TIDAK 
LULUS 
2.546 340301690 
1850002 
183432 
2553 66113001199 VIVIN NGESTI SUWASTI 29-01-1985 ANALIS KEBIJAKAN 
PERTAMA ANALIS LAYANAN UMUM 
PENGAWAS 
KETENAGAKERJAAN 
PERTAMA 
LULUS LULUS LULUS 
2.547 611206450 
4870002 
123228 
0768 66113000284 WAHDINI MIFTAHUL 
HUSNA 05-04-1987 GURU BAHASA INGGRIS 
PERTAMA SMP 
GURU BAHASA INGGRIS 
PERTAMA SMA 
ANALIS KEBIJAKAN 
PERTAMA LULUS LULUS TIDAK 
LULUS 
2.548 611207080 
8910002 
207362 
6274 66112000582 WAHONO 08-08-1991 PERAWAT PELAKSANA LULUS TIDAK 
LULUS 
TIDAK 
LULUS 
2.549 340215080 
7850004 
129794 
1969 66113000061 WAHYU AKBAR 08-07-1985 PRANATA HUBUNGAN 
MASYARAKAT PERTAMA LULUS TIDAK 
LULUS 
TIDAK 
LULUS 
2.550 617106521 
2870001 
199256 
4079 66113000359 WAHYU AMANI 12-12-1987 ANALIS KEBIJAKAN 
PERTAMA LULUS TIDAK 
LULUS 
TIDAK 
LULUS 
2.551 611207190 
1910001 
168777 
0112 66112000694 WAHYU ANDI SAPUTRO 19-01-1991 PRANATA LABORATORIUM 
KESEHATAN PERTAMA LULUS TIDAK 
LULUS 
TIDAK 
LULUS 
2.552 617104510 
8820003 
112045 
8845 66113001581 WAHYU ARIANY 11-08-1982 APOTEKER PERTAMA LULUS TIDAK 
LULUS 
TIDAK 
LULUS 
2.553 617105151 
2910002 
189891 
8011 66113001178 WAHYU ARIF 
MURTANDHO 15-12-1991 GURU KIMIA PERTAMA ANALIS KEBIJAKAN 
PERTAMA LULUS TIDAK 
LULUS 
TIDAK 
LULUS 
2.554 611201290 
4910001 
140510 
8328 66112000792 WAHYU BUDI KUSUMA 21-04-1991 PERAWAT PELAKSANA LULUS TIDAK 
LULUS 
TIDAK 
LULUS 
2.555 610501130 
3920004 
148337 
3676 66113001074 WAHYU HERMAWAN 13-03-1992 PRANATA KOMPUTER 
PERTAMA LULUS TIDAK 
LULUS 
TIDAK 
LULUS 
2.556 610117290 
7910001 
184667 
4423 66113000250 WAHYU MAULANA 29-07-1991 ANALIS KEBIJAKAN 
PERTAMA GURU SEJARAH PERTAMA TIDAK 
LULUS LULUS TIDAK 
LULUS
NO NIK 
NO 
REGIST 
ER 
NO PESERTA NAMA TANGGAL 
LAHIR PILIHAN JABATAN 1 NAMA JABATAN 2 NAMA JABATAN 3 STATUS 
PILIHAN 1 
STATUS 
PILIHAN 2 
STATUS 
PILIHAN 3 
2.557 617105451 
2910007 
206699 
0163 66113000164 WAHYU SAPUTRI 05-12-1991 GURU BIOLOGI PERTAMA GURU IPA PERTAMA LULUS LULUS TIDAK 
LULUS 
2.558 611202280 
4910001 
127213 
8261 66113000633 WAHYU SULISTIONO 28-04-1991 PERENCANA PERTAMA PENYULUH KOPERASI ANALIS KERJASAMA DAN 
PERMODALAN LULUS LULUS LULUS 
2.559 617101030 
2810017 
139818 
3403 66113000491 WAHYUDI 03-02-1981 ANALIS KEBIJAKAN 
PERTAMA LULUS TIDAK 
LULUS 
TIDAK 
LULUS 
2.560 610101631 
2890004 
140879 
0120 66112000176 WAHYUNI 23-12-1989 BIDAN PELAKSANA LULUS TIDAK 
LULUS 
TIDAK 
LULUS 
2.561 610215470 
3860002 
144197 
3560 66113000195 WAHYUNI 07-03-1986 GURU SEJARAH PERTAMA LULUS TIDAK 
LULUS 
TIDAK 
LULUS 
2.562 610116560 
8890003 
154884 
1312 66113001288 WAHYUNI 16-08-1989 GURU SEJARAH PERTAMA LULUS TIDAK 
LULUS 
TIDAK 
LULUS 
2.563 617101650 
2870007 
171202 
8641 66113000546 WALBURGA BETSIANA 
SARATING 25-02-1987 GURU SEJARAH PERTAMA LULUS TIDAK 
LULUS 
TIDAK 
LULUS 
2.564 610208560 
9920001 
172905 
1555 66112000353 WANA MAULINA 16-09-1992 BIDAN PELAKSANA LULUS TIDAK 
LULUS 
TIDAK 
LULUS 
2.565 617103600 
4900004 
201165 
3616 66112000480 WANARIA FITRI APRIANI 20-04-1990 NUTRISIONIS PELAKSANA LULUS TIDAK 
LULUS 
TIDAK 
LULUS 
2.566 617201201 
1900002 
197789 
1263 66113000857 WASIS PRAMUDI 20-11-1990 SANITARIAN PERTAMA ANALIS KEBIJAKAN 
PERTAMA LULUS TIDAK 
LULUS 
TIDAK 
LULUS 
2.567 610807530 
3880003 
189904 
6663 66112000306 WATI MANISOMA 13-03-1988 PERAWAT PELAKSANA LULUS TIDAK 
LULUS 
TIDAK 
LULUS 
2.568 611201180 
4840025 
125854 
6743 66113001276 WAWAN PRIANTORO 18-04-1984 GURU SEJARAH PERTAMA LULUS TIDAK 
LULUS 
TIDAK 
LULUS 
2.569 617104090 
2810003 
203674 
0205 66113001591 WAWAN PUTRAWANA. 
S.KOM 09-02-1981 PRANATA KOMPUTER 
PERTAMA 
ANALIS KEBIJAKAN 
PERTAMA LULUS LULUS TIDAK 
LULUS 
2.570 611207410 
6920002 
197959 
9513 66113000833 WELLY EMELDA 01-06-1992 GURU BAHASA INGGRIS 
PERTAMA SMP LULUS TIDAK 
LULUS 
TIDAK 
LULUS 
2.571 611203540 
1850002 
199380 
6103 66112000840 WENI PRIDA 14-01-1985 PENGADMINISTRASI UMUM PENYUSUN RISALAH LULUS LULUS TIDAK 
LULUS 
2.572 617104441 
2840007 
179906 
7163 66113000787 WENI PURNAMARESKI 04-12-1984 PERENCANA PERTAMA ANALIS ANGGARAN PENYULUH KOPERASI LULUS LULUS LULUS 
2.573 617104650 
4890008 
175559 
2717 66112000678 WENI WAHYUNINGSIH 25-04-1989 PENGADMINISTRASI UMUM PENYUSUN RISALAH LULUS LULUS TIDAK 
LULUS 
2.574 327201200 
7880001 
138994 
8221 66113000056 WERRY YASHIMA 
SAPUTRA 20-07-1988 APOTEKER PERTAMA LULUS TIDAK 
LULUS 
TIDAK 
LULUS 
2.575 320813620 
8870002 
111727 
5198 66113001015 WIDA RISANDI 22-08-1987 ANALIS KEBIJAKAN 
PERTAMA LULUS TIDAK 
LULUS 
TIDAK 
LULUS 
2.576 617101630 
7880001 
179685 
2197 66113000906 WIDHA YULIA ROSANTI 23-07-1988 PRANATA KOMPUTER 
PERTAMA 
ANALIS KEBIJAKAN 
PERTAMA LULUS LULUS TIDAK 
LULUS
NO NIK 
NO 
REGIST 
ER 
NO PESERTA NAMA TANGGAL 
LAHIR PILIHAN JABATAN 1 NAMA JABATAN 2 NAMA JABATAN 3 STATUS 
PILIHAN 1 
STATUS 
PILIHAN 2 
STATUS 
PILIHAN 3 
2.577 617105660 
3810009 
131594 
4499 66113001192 WIDIANTI 26-03-1981 ANALIS KEBIJAKAN 
PERTAMA PENATA RUANG PERTAMA SURVEYOR PEMETAAN 
PERTAMA LULUS LULUS LULUS 
2.578 617106461 
1840001 
210241 
5785 66113001058 WIDIASTUTI 06-11-1984 ANALIS KERJASAMA DAN 
PERMODALAN PERENCANA PERTAMA ANALIS KEBIJAKAN 
PERTAMA LULUS LULUS LULUS 
2.579 610208500 
8860001 
128949 
8611 66113000624 WIDIAWATI, S.P 10-08-1986 ANALIS KEBIJAKAN 
PERTAMA LULUS TIDAK 
LULUS 
TIDAK 
LULUS 
2.580 617105530 
4800003 
184614 
2767 66112000674 WIDYA ROSALINA, S.PD 13-04-1980 PENGADMINISTRASI UMUM PENYUSUN RISALAH LULUS LULUS TIDAK 
LULUS 
2.581 617103430 
7880010 
184166 
8838 66112000128 WIDYAWATI HARAHAP 03-07-1988 NUTRISIONIS PELAKSANA LULUS TIDAK 
LULUS 
TIDAK 
LULUS 
2.582 611209460 
8910004 
170608 
3799 66113001679 WIJI ASTUTI 06-08-1991 PUSTAKAWAN PERTAMA LULUS TIDAK 
LULUS 
TIDAK 
LULUS 
2.583 611209560 
1930001 
206758 
4124 66113001065 WIJI JENNIFER T.D.F 
NAPITUPULU 16-01-1993 PENGAWAS LINGKUNGAN 
HIDUP PERTAMA 
PENGENDALI DAMPAK 
LINGKUNGAN PERTAMA 
TEKNIK PENYEHATAN 
LINGKUNGAN PERTAMA LULUS LULUS LULUS 
2.584 617105420 
9840010 
181739 
4140 66113001434 WIJI RAHAYU, S.FARM, 
APT 02-09-1984 APOTEKER PERTAMA LULUS TIDAK 
LULUS 
TIDAK 
LULUS 
2.585 611201510 
8830005 
188471 
7877 66113001086 WIJIATI 11-08-1983 PENYULUH KOPERASI ANALIS ANGGARAN ANALIS KERJASAMA DAN 
PERMODALAN LULUS LULUS LULUS 
2.586 610806430 
4850009 
179846 
1661 66112000334 WILHELMINA 03-04-1985 PENGADMINISTRASI UMUM PENYUSUN RISALAH LULUS LULUS TIDAK 
LULUS 
2.587 617103180 
4850015 
121366 
7164 66113000553 WILMAR KURNIAWAN 18-04-1985 ANALIS KEBIJAKAN 
PERTAMA LULUS TIDAK 
LULUS 
TIDAK 
LULUS 
2.588 611206601 
1870001 
147492 
3946 66113001174 WILUTAMI BARKAH 
PRATIWI 20-11-1987 GURU MATEMATIKA 
PERTAMA 
ANALIS KEBIJAKAN 
PERTAMA LULUS TIDAK 
LULUS 
TIDAK 
LULUS 
2.589 617105641 
0850008 
178589 
2636 66113001195 WINARTI 24-10-1985 PENYULUH KOPERASI LULUS TIDAK 
LULUS 
TIDAK 
LULUS 
2.590 611201531 
0900008 
199208 
5465 66112000699 WINDA RAHAYU 13-10-1990 BIDAN PELAKSANA LULUS TIDAK 
LULUS 
TIDAK 
LULUS 
2.591 617105450 
9910009 
153717 
7779 66113001363 WINDA SARTIKA 05-09-1991 PRANATA KOMPUTER 
PERTAMA 
ANALIS KEBIJAKAN 
PERTAMA LULUS LULUS TIDAK 
LULUS 
2.592 611207600 
3900003 
208864 
4076 66113001535 WINDHI WITA MARLIA 20-03-1990 GURU MATEMATIKA 
PERTAMA LULUS TIDAK 
LULUS 
TIDAK 
LULUS 
2.593 617104680 
9890005 
144483 
9656 66113000626 WINDI SEPTIANI 28-09-1989 PRANATA HUBUNGAN 
MASYARAKAT PERTAMA 
ANALIS KEBIJAKAN 
PERTAMA LULUS LULUS TIDAK 
LULUS 
2.594 611201590 
7910001 
155263 
1384 66113000421 WINDI SUCITAWATI 19-07-1991 GURU BAHASA INGGRIS 
PERTAMA SMP 
ANALIS KEBIJAKAN 
PERTAMA 
GURU BAHASA INGGRIS 
PERTAMA SMA LULUS TIDAK 
LULUS LULUS 
2.595 610104630 
9890002 
183567 
7539 66112000489 WINDY ASTUTI 23-09-1989 NUTRISIONIS PELAKSANA LULUS TIDAK 
LULUS 
TIDAK 
LULUS 
2.596 617101470 
9890005 
154086 
3874 66113000885 WINNA TIAR 
SIMATUPANG,SE 07-09-1989 PERENCANA PERTAMA PENYULUH KOPERASI ANALIS ANGGARAN LULUS LULUS LULUS
NO NIK 
NO 
REGIST 
ER 
NO PESERTA NAMA TANGGAL 
LAHIR PILIHAN JABATAN 1 NAMA JABATAN 2 NAMA JABATAN 3 STATUS 
PILIHAN 1 
STATUS 
PILIHAN 2 
STATUS 
PILIHAN 3 
2.597 610105430 
1940003 
202402 
8204 66112000589 WINNI RAHMA PUTRI 03-01-1994 NUTRISIONIS PELAKSANA LULUS TIDAK 
LULUS 
TIDAK 
LULUS 
2.598 610706131 
2890002 
204976 
7145 66113000069 WIRA WIDIYANTORO 13-12-1989 GURU MATEMATIKA 
PERTAMA LULUS TIDAK 
LULUS 
TIDAK 
LULUS 
2.599 610810450 
7870002 
204547 
0264 66113000925 WITRI 05-07-1987 PUSTAKAWAN PERTAMA ANALIS KEBIJAKAN 
PERTAMA LULUS LULUS TIDAK 
LULUS 
2.600 611208420 
2920001 
161707 
2347 66112000596 WIWID ALAWIYAH 02-02-1992 BIDAN PELAKSANA LULUS TIDAK 
LULUS 
TIDAK 
LULUS 
2.601 617101240 
9890003 
208919 
3744 66113000908 WIWIED ADHYTYA 24-09-1989 TEKNIK PENYEHATAN 
LINGKUNGAN PERTAMA 
PENGENDALI DAMPAK 
LINGKUNGAN PERTAMA 
PENGAWAS LINGKUNGAN 
HIDUP PERTAMA LULUS LULUS LULUS 
2.602 610501440 
8900004 
196000 
5686 66112000001 WIWIEN DEWI JAYANTI 04-08-1990 BIDAN PELAKSANA LULUS LULUS LULUS 
2.603 611203560 
8900001 
158059 
0773 66112000780 WIWIK MUZAYYANAH 
ABDULLAH 16-08-1990 VERIFIKATOR KEUANGAN LULUS TIDAK 
LULUS 
TIDAK 
LULUS 
2.604 611203461 
0900001 
105820 
2975 66113000552 WIWIK OKTASARI 06-10-1990 GURU SEJARAH PERTAMA LULUS TIDAK 
LULUS 
TIDAK 
LULUS 
2.605 617103580 
2820011 
171450 
0388 66113000474 WIWIN ARI KRISTIANI 18-02-1982 PERENCANA PERTAMA LULUS TIDAK 
LULUS 
TIDAK 
LULUS 
2.606 611205550 
5870001 
165686 
9753 66113000197 WIWIN 
RAHAYUNINGSIH 15-05-1987 GURU SEJARAH PERTAMA LULUS TIDAK 
LULUS 
TIDAK 
LULUS 
2.607 617101411 
0890008 
168422 
2859 66113000703 WIWIN 
SUPRIATININGSIH 01-10-1989 GURU MATEMATIKA 
PERTAMA 
ANALIS KEBIJAKAN 
PERTAMA LULUS TIDAK 
LULUS 
TIDAK 
LULUS 
2.608 611201650 
4880005 
146774 
7875 66113000138 WIWIT TRIANI 25-04-1988 GURU BAHASA INDONESIA 
PERTAMA 
ANALIS KEBIJAKAN 
PERTAMA LULUS TIDAK 
LULUS 
TIDAK 
LULUS 
2.609 617105690 
1920005 
115914 
1449 66113000171 WULAN IKHTIARIKA 29-01-1992 GURU IPA PERTAMA GURU BIOLOGI PERTAMA LULUS LULUS TIDAK 
LULUS 
2.610 611201630 
3890009 
164280 
3269 66112000321 WULAN RAHAYU 23-03-1989 PENGADMINISTRASI UMUM PENYUSUN RISALAH LULUS LULUS TIDAK 
LULUS 
2.611 617103560 
9900004 
173073 
8865 66113001008 WULANDARI 16-09-1990 ANALIS KEBIJAKAN 
PERTAMA LULUS TIDAK 
LULUS 
TIDAK 
LULUS 
2.612 617105621 
0880009 
208427 
2940 66113001293 WULANDARI 22-10-1988 PERENCANA PERTAMA PENYULUH KOPERASI ANALIS KERJASAMA DAN 
PERMODALAN LULUS LULUS LULUS 
2.613 610809050 
3840001 
139230 
8280 66113001821 YA'SAHERI 05-03-1984 PRANATA HUBUNGAN 
MASYARAKAT PERTAMA 
ANALIS KEBIJAKAN 
PERTAMA LULUS LULUS TIDAK 
LULUS 
2.614 617101120 
3870015 
149923 
2788 66112000617 YADRI MANSYAH,A.MD 12-03-1987 PENGADMINISTRASI UMUM LULUS TIDAK 
LULUS 
TIDAK 
LULUS 
2.615 617103301 
1790005 
159681 
7230 66113000741 YAN BASTIAN 30-11-1979 PERENCANA PERTAMA PENYULUH KOPERASI ANALIS ANGGARAN LULUS LULUS LULUS 
2.616 617106100 
1840001 
148233 
8549 66113000708 YAN CHANDRA 10-01-1984 GURU MATEMATIKA 
PERTAMA LULUS TIDAK 
LULUS 
TIDAK 
LULUS
NO NIK 
NO 
REGIST 
ER 
NO PESERTA NAMA TANGGAL 
LAHIR PILIHAN JABATAN 1 NAMA JABATAN 2 NAMA JABATAN 3 STATUS 
PILIHAN 1 
STATUS 
PILIHAN 2 
STATUS 
PILIHAN 3 
2.617 617101430 
1880003 
150123 
6044 66113000355 YANI TRIYANA 03-01-1988 ANALIS KEBIJAKAN 
PERTAMA LULUS TIDAK 
LULUS 
TIDAK 
LULUS 
2.618 617201460 
1900003 
157875 
5946 66113001843 YANTI NURVIANA 06-01-1990 ANALIS ANGGARAN ANALIS KERJASAMA DAN 
PERMODALAN PENYULUH KOPERASI LULUS LULUS LULUS 
2.619 611201030 
6870019 
130003 
6196 66113000608 YANTO 03-06-1987 ANALIS KEBIJAKAN 
PERTAMA LULUS TIDAK 
LULUS 
TIDAK 
LULUS 
2.620 611207080 
8910001 
184690 
2537 66113000454 YANTO LEO 
SIMANJUNTAK 08-08-1991 GURU MATEMATIKA 
PERTAMA 
ANALIS KEBIJAKAN 
PERTAMA LULUS TIDAK 
LULUS 
TIDAK 
LULUS 
2.621 611201480 
6910013 
185938 
3957 66112000561 YASINTA WELLA 
SIMANGUNSONG 08-06-1991 NUTRISIONIS PELAKSANA LULUS TIDAK 
LULUS 
TIDAK 
LULUS 
2.622 611201210 
6820014 
119452 
6574 66113001352 YASINTUS,SH 21-06-1982 ANALIS LAYANAN UMUM MEDIATOR HUBUNGAN 
INDUSTRIAL PERTAMA 
PENGAWAS 
KETENAGAKERJAAN 
PERTAMA 
LULUS LULUS LULUS 
2.623 617101460 
6820030 
184823 
5275 66112000788 YASIRA JUM'AN 06-06-1982 PENGADMINISTRASI UMUM PENYUSUN RISALAH LULUS LULUS TIDAK 
LULUS 
2.624 611203020 
6870007 
202137 
3022 66113001751 YASRI 02-06-1987 ANALIS KEBIJAKAN 
PERTAMA LULUS TIDAK 
LULUS 
TIDAK 
LULUS 
2.625 617105641 
2790007 
187983 
9556 66113001142 
YAYUK 
KUSWAHYUNINGSIH, 
SE 
24-12-1979 PENYULUH KOPERASI PERENCANA PERTAMA ANALIS KEBIJAKAN 
PERTAMA LULUS LULUS LULUS 
2.626 610702450 
6840001 
193835 
9584 66113001286 YEFTANURMINA BR 
HASUGIAN 05-06-1984 GURU BAHASA INGGRIS 
PERTAMA SMP 
GURU BAHASA INGGRIS 
PERTAMA SMA LULUS LULUS TIDAK 
LULUS 
2.627 617102431 
1900010 
162672 
9630 66113001077 YEKTI PURWO ASIH 03-11-1990 ANALIS KEBIJAKAN 
PERTAMA LULUS TIDAK 
LULUS 
TIDAK 
LULUS 
2.628 611201451 
0810011 
173573 
4796 66113000116 YENI APRIYANI 05-10-1981 ANALIS KEBIJAKAN 
PERTAMA LULUS TIDAK 
LULUS 
TIDAK 
LULUS 
2.629 617103480 
2860013 
133471 
3503 66113000737 YENI DWI LESTARI 02-08-1986 ANALIS KEBIJAKAN 
PERTAMA PENYULUH KOPERASI ANALIS KERJASAMA DAN 
PERMODALAN LULUS LULUS LULUS 
2.630 610514610 
1840001 
134066 
7392 66113000841 YENI KUSUMAWATI 21-01-1984 GURU BAHASA INGGRIS 
PERTAMA SMA 
GURU BAHASA INGGRIS 
PERTAMA SMP 
ANALIS KEBIJAKAN 
PERTAMA LULUS LULUS TIDAK 
LULUS 
2.631 320108581 
1930001 
183750 
6082 66112000572 YENI MARYANI 18-11-1993 VERIFIKATOR KEUANGAN LULUS TIDAK 
LULUS 
TIDAK 
LULUS 
2.632 617102500 
4840001 
160317 
8065 66112000106 YENI REGITA 10-04-1984 PENGADMINISTRASI UMUM LULUS TIDAK 
LULUS 
TIDAK 
LULUS 
2.633 617201440 
7890003 
195459 
2047 66112000730 YENIE RIDYANTI 04-07-1989 BIDAN PELAKSANA LULUS TIDAK 
LULUS 
TIDAK 
LULUS 
2.634 611209420 
5850013 
144637 
0454 66113000005 YENNY SUSAN 02-05-1985 ANALIS KEBIJAKAN 
PERTAMA ANALIS ANGGARAN PERENCANA PERTAMA LULUS LULUS LULUS 
2.635 617105561 
1790007 
159777 
8547 66112000578 YESI HASRIYANI, A.MD 16-11-1979 PENGADMINISTRASI UMUM PENYUSUN RISALAH LULUS LULUS TIDAK 
LULUS 
2.636 611201581 
1880006 
176431 
2719 66113000548 YESICA SUBROTO 18-11-1988 GURU MATEMATIKA 
PERTAMA LULUS TIDAK 
LULUS 
TIDAK 
LULUS
NO NIK 
NO 
REGIST 
ER 
NO PESERTA NAMA TANGGAL 
LAHIR PILIHAN JABATAN 1 NAMA JABATAN 2 NAMA JABATAN 3 STATUS 
PILIHAN 1 
STATUS 
PILIHAN 2 
STATUS 
PILIHAN 3 
2.637 611201561 
2790002 
168566 
0160 66113000471 YESSY SUDIARTI 16-12-1979 PENATA RUANG PERTAMA SURVEYOR PEMETAAN 
PERTAMA 
ANALIS KEBIJAKAN 
PERTAMA LULUS LULUS LULUS 
2.638 611201630 
2800007 
195846 
7213 66113000820 YETI ROSDIANA 23-02-1980 PERENCANA PERTAMA ANALIS KERJASAMA DAN 
PERMODALAN 
ANALIS KEBIJAKAN 
PERTAMA LULUS LULUS LULUS 
2.639 611203440 
1870007 
170501 
8904 66113000288 YETI SRIYANTI 04-01-1987 GURU MATEMATIKA 
PERTAMA LULUS TIDAK 
LULUS 
TIDAK 
LULUS 
2.640 610201421 
0930001 
167597 
1328 66112000783 YETTI RATNASARI 02-10-1993 VERIFIKATOR KEUANGAN LULUS TIDAK 
LULUS 
TIDAK 
LULUS 
2.641 617104650 
5860008 
204033 
0563 66113000949 YEYEN RAHMADALIKA 25-05-1986 PERANCANG PERUNDANG-UNDANGAN 
PERTAMA 
PENGAWAS 
KETENAGAKERJAAN 
PERTAMA 
MEDIATOR HUBUNGAN 
INDUSTRIAL PERTAMA LULUS LULUS LULUS 
2.642 610306490 
1880001 
178992 
5967 66112000384 YISWI TRI SUSILAWATI 09-01-1988 PERAWAT PELAKSANA LULUS TIDAK 
LULUS 
TIDAK 
LULUS 
2.643 611201210 
3890011 
139616 
1545 66113001336 YOAKIM MARINUS 
HASIBUAN 21-03-1989 ANALIS KEBIJAKAN 
PERTAMA LULUS TIDAK 
LULUS 
TIDAK 
LULUS 
2.644 617105120 
8840006 
178279 
9383 66113001337 YOGA AGUS TRIONO 12-08-1984 ANALIS ANGGARAN LULUS TIDAK 
LULUS 
TIDAK 
LULUS 
2.645 610514280 
7900001 
143358 
6744 66112000083 YOGI BUDIARTO 28-07-1990 PERAWAT PELAKSANA LULUS TIDAK 
LULUS 
TIDAK 
LULUS 
2.646 610622030 
3810001 
197929 
4913 66113000506 YOHANES HERRI 03-03-1981 PRANATA KOMPUTER 
PERTAMA 
ANALIS KEBIJAKAN 
PERTAMA LULUS LULUS TIDAK 
LULUS 
2.647 611203141 
2850001 
132376 
6323 66113001160 YOHANES IREN 14-12-1985 MEDIATOR HUBUNGAN 
INDUSTRIAL PERTAMA 
PENGANTAR KERJA 
PERTAMA 
PENGAWAS 
KETENAGAKERJAAN 
PERTAMA 
LULUS LULUS LULUS 
2.648 617102060 
7880011 
132421 
8228 66113001443 YOHANES TRIYAN 
BAHTERA PUTRA 06-07-1988 PERENCANA PERTAMA ANALIS ANGGARAN ANALIS KERJASAMA DAN 
PERMODALAN LULUS LULUS LULUS 
2.649 617105030 
2800015 
209937 
4249 66113000951 YOPI ERIZA ARIFIN 03-02-1980 ANALIS KERJASAMA DAN 
PERMODALAN PERENCANA PERTAMA PENYULUH KOPERASI LULUS LULUS LULUS 
2.650 610802420 
8800001 
191015 
5957 66113000510 YOPITA 02-08-1980 ANALIS KEBIJAKAN 
PERTAMA LULUS TIDAK 
LULUS 
TIDAK 
LULUS 
2.651 617101611 
1840009 
125351 
7103 66113001775 YOSSY SYAFARIAH 21-11-1984 ANALIS KEBIJAKAN 
PERTAMA LULUS TIDAK 
LULUS 
TIDAK 
LULUS 
2.652 617101010 
7880047 
207546 
3238 66113001260 YOSVIANDRI 01-07-1988 PRANATA HUBUNGAN 
MASYARAKAT PERTAMA 
ANALIS KEBIJAKAN 
PERTAMA LULUS LULUS TIDAK 
LULUS 
2.653 611201660 
2810003 
188266 
1525 66113001640 YOVIANA LINDASARI 26-02-1981 PERENCANA PERTAMA ANALIS ANGGARAN PENYULUH KOPERASI LULUS LULUS LULUS 
2.654 617103130 
3870007 
205187 
6034 66113000458 YOVINUS TOPAN 13-03-1987 GURU BAHASA INGGRIS 
PERTAMA SMP LULUS TIDAK 
LULUS 
TIDAK 
LULUS 
2.655 611201540 
2900014 
176152 
8043 66113000707 YOVITA THEO 
FEBRUARINI 14-02-1990 GURU MATEMATIKA 
PERTAMA LULUS TIDAK 
LULUS 
TIDAK 
LULUS 
2.656 611201691 
2920011 
140371 
5626 66112000649 YUANATALIA CIBRO 29-12-1992 BIDAN PELAKSANA LULUS TIDAK 
LULUS 
TIDAK 
LULUS
NO NIK 
NO 
REGIST 
ER 
NO PESERTA NAMA TANGGAL 
LAHIR PILIHAN JABATAN 1 NAMA JABATAN 2 NAMA JABATAN 3 STATUS 
PILIHAN 1 
STATUS 
PILIHAN 2 
STATUS 
PILIHAN 3 
2.657 617103590 
7810013 
184313 
4079 66112000116 YUANITA 19-07-1981 PENGADMINISTRASI UMUM PENYUSUN RISALAH LULUS LULUS TIDAK 
LULUS 
2.658 610901050 
2880002 
176782 
2153 66113000448 YUDHI ANDRIYADI 05-02-1988 SANITARIAN PERTAMA ANALIS KEBIJAKAN 
PERTAMA LULUS TIDAK 
LULUS 
TIDAK 
LULUS 
2.659 617103660 
2830002 
174408 
2603 66113001218 YUDHISTARI, SH 26-02-1983 PENGANTAR KERJA 
PERTAMA 
ANALIS KEBIJAKAN 
PERTAMA 
PERANCANG PERUNDANG-UNDANGAN 
PERTAMA LULUS LULUS LULUS 
2.660 617106160 
6880002 
168548 
8908 66113001046 YUDHISTIRA PRIYATNA 16-06-1988 
PENGAWAS 
KETENAGAKERJAAN 
PERTAMA 
MEDIATOR HUBUNGAN 
INDUSTRIAL PERTAMA 
PENGANTAR KERJA 
PERTAMA LULUS LULUS LULUS 
2.661 617103090 
2870019 
143309 
7736 66113001780 YUDI FIBRIANSYAH 09-02-1987 ANALIS KEBIJAKAN 
PERTAMA LULUS TIDAK 
LULUS 
TIDAK 
LULUS 
2.662 617101160 
3830014 
139822 
1883 66113001913 YUDI MARIADI 16-03-1983 SANITARIAN PERTAMA LULUS TIDAK 
LULUS 
TIDAK 
LULUS 
2.663 610216171 
1840003 
106886 
7107 66113001412 YUDI SUPRIYANTO 17-11-1984 ANALIS KEBIJAKAN 
PERTAMA LULUS TIDAK 
LULUS 
TIDAK 
LULUS 
2.664 611201050 
5880002 
142554 
0467 66113000611 YUDIANSYAH 05-05-1988 ANALIS KEBIJAKAN 
PERTAMA LULUS TIDAK 
LULUS 
TIDAK 
LULUS 
2.665 611209010 
7880491 
181404 
7018 66113001108 YULI ARDIANSYAH 01-07-1988 PERENCANA PERTAMA ANALIS KERJASAMA DAN 
PERMODALAN 
ANALIS KEBIJAKAN 
PERTAMA LULUS LULUS LULUS 
2.666 617101530 
7890002 
127629 
0624 66112000697 YULI ELVINA 13-07-1989 BIDAN PELAKSANA LULUS TIDAK 
LULUS 
TIDAK 
LULUS 
2.667 617103660 
7890005 
175168 
3399 66113000717 YULI KUSUMASTUTI.S 26-07-1989 GURU MATEMATIKA 
PERTAMA 
ANALIS KEBIJAKAN 
PERTAMA LULUS TIDAK 
LULUS 
TIDAK 
LULUS 
2.668 617105710 
7800002 
204332 
8977 66113000732 YULIA AGUSTINA,SE 31-07-1980 ANALIS KEBIJAKAN 
PERTAMA LULUS TIDAK 
LULUS 
TIDAK 
LULUS 
2.669 617102430 
7860004 
164102 
2181 66113001081 YULIA ANGELINA 03-07-1986 PERENCANA PERTAMA ANALIS ANGGARAN ANALIS KERJASAMA DAN 
PERMODALAN LULUS LULUS LULUS 
2.670 617102420 
7900004 
177266 
1384 66112000848 YULIA RACHMAWATI 02-07-1990 PENGADMINISTRASI UMUM LULUS TIDAK 
LULUS 
TIDAK 
LULUS 
2.671 617104490 
8830015 
202524 
9242 66113000503 YULIA SIANA LINAWATI 09-08-1983 ANALIS KEBIJAKAN 
PERTAMA LULUS TIDAK 
LULUS 
TIDAK 
LULUS 
2.672 611201500 
7900013 
178608 
9427 66112000466 YULIA,AMD.KEB 10-07-1990 BIDAN PELAKSANA LULUS TIDAK 
LULUS 
TIDAK 
LULUS 
2.673 611209501 
1890017 
201711 
0501 66112000220 YULIANA 10-11-1989 BIDAN PELAKSANA LULUS TIDAK 
LULUS 
TIDAK 
LULUS 
2.674 611207700 
6830001 
175924 
2477 66113001818 YULIANA ERNA SARI 30-06-1983 ANALIS KEBIJAKAN 
PERTAMA LULUS TIDAK 
LULUS 
TIDAK 
LULUS 
2.675 617105460 
7890008 
193287 
1237 66113000910 YULIANA SIMANJUNTAK 06-07-1989 ANALIS KEBIJAKAN 
PERTAMA LULUS TIDAK 
LULUS 
TIDAK 
LULUS 
2.676 617105470 
7840007 
100903 
4821 66113000066 YULIANA TRI WAHYUNI 07-07-1984 ANALIS KEBIJAKAN 
PERTAMA LULUS TIDAK 
LULUS 
TIDAK 
LULUS
NO NIK 
NO 
REGIST 
ER 
NO PESERTA NAMA TANGGAL 
LAHIR PILIHAN JABATAN 1 NAMA JABATAN 2 NAMA JABATAN 3 STATUS 
PILIHAN 1 
STATUS 
PILIHAN 2 
STATUS 
PILIHAN 3 
2.677 610806450 
7850004 
206695 
3678 66112000850 YULIANI 05-07-1985 PENYUSUN RISALAH LULUS TIDAK 
LULUS 
TIDAK 
LULUS 
2.678 611201670 
7900004 
127842 
9632 66112000793 YULIANI DEPIYANTI 27-07-1990 BIDAN PELAKSANA LULUS TIDAK 
LULUS 
TIDAK 
LULUS 
2.679 617105440 
7890008 
167464 
7131 66113001257 YULIANTI 
PERMATASARI 04-07-1989 ANALIS ANGGARAN ANALIS KERJASAMA DAN 
PERMODALAN PERENCANA PERTAMA LULUS LULUS LULUS 
2.680 617103560 
7880004 
119000 
7208 66113000513 YULIANTINI 16-07-1988 GURU BAHASA INGGRIS 
PERTAMA SMP LULUS TIDAK 
LULUS 
TIDAK 
LULUS 
2.681 610803641 
0920003 
205317 
4295 66112000345 YULITA YUNI 24-10-1992 NUTRISIONIS PELAKSANA LULUS TIDAK 
LULUS 
TIDAK 
LULUS 
2.682 610206090 
7880001 
191318 
3922 66113000127 YULIUS JIMMI 
FERNANDEZ 09-07-1988 GURU IPA PERTAMA GURU BIOLOGI PERTAMA ANALIS KEBIJAKAN 
PERTAMA LULUS LULUS TIDAK 
LULUS 
2.683 617103270 
5880001 
142859 
4412 66113001365 YULIUS R. 
PANGGABEAN 27-05-1988 PRANATA KOMPUTER 
PERTAMA 
ANALIS KEBIJAKAN 
PERTAMA LULUS LULUS TIDAK 
LULUS 
2.684 611201190 
8820007 
189586 
5129 66113000567 YULIUS RIDWAN 19-08-1982 PERENCANA PERTAMA ANALIS ANGGARAN ANALIS KEBIJAKAN 
PERTAMA LULUS LULUS LULUS 
2.685 617101650 
6810009 
213941 
9771 66112000644 YULVIANA 25-06-1981 PENGADMINISTRASI UMUM PENYUSUN RISALAH LULUS LULUS TIDAK 
LULUS 
2.686 611209660 
6910004 
116831 
2217 66112000152 YUNI ARFISI 26-06-1991 VERIFIKATOR KEUANGAN LULUS TIDAK 
LULUS 
TIDAK 
LULUS 
2.687 617102680 
7910003 
153950 
3988 66112000339 YUNI ATIKA 28-07-1991 VERIFIKATOR KEUANGAN LULUS TIDAK 
LULUS 
TIDAK 
LULUS 
2.688 611201600 
9910009 
147238 
9312 66112000877 YUNI HARTI 20-09-1991 VERIFIKATOR KEUANGAN LULUS TIDAK 
LULUS 
TIDAK 
LULUS 
2.689 617105530 
6900003 
138923 
0794 66113001675 YUNI PRIHARTINI 13-06-1990 GURU MATEMATIKA 
PERTAMA 
ANALIS KEBIJAKAN 
PERTAMA LULUS TIDAK 
LULUS 
TIDAK 
LULUS 
2.690 327106570 
6810008 
124891 
7406 66113001786 YUNI PURWANTI 17-06-1981 ANALIS KEBIJAKAN 
PERTAMA 
PENGAWAS BIBIT TERNAK 
PERTAMA LULUS LULUS TIDAK 
LULUS 
2.691 611201560 
6880007 
150481 
0575 66113000365 YUNI SRI MARYATI 16-06-1988 ANALIS KEBIJAKAN 
PERTAMA LULUS TIDAK 
LULUS 
TIDAK 
LULUS 
2.692 617103460 
6800010 
129185 
9057 66113000112 YUNI TRIANA BALA'ATI 06-06-1980 PENYULUH KOPERASI ANALIS ANGGARAN ANALIS KERJASAMA DAN 
PERMODALAN LULUS LULUS LULUS 
2.693 610215620 
6900001 
140377 
1361 66112000728 YUNIAR 22-06-1990 PERAWAT PELAKSANA LULUS TIDAK 
LULUS 
TIDAK 
LULUS 
2.694 611201560 
6840007 
197057 
8047 66113001366 YUNIAR SUBEKTI 16-06-1984 ANALIS ANGGARAN LULUS TIDAK 
LULUS 
TIDAK 
LULUS 
2.695 320113410 
6880008 
165659 
1113 66113001717 YUNIARNY 01-06-1988 GURU BIOLOGI PERTAMA GURU IPA PERTAMA ANALIS KEBIJAKAN 
PERTAMA LULUS LULUS TIDAK 
LULUS 
2.696 611201600 
6870011 
107788 
8681 66113000592 YUNIARSIH 20-06-1987 GURU MATEMATIKA 
PERTAMA LULUS TIDAK 
LULUS 
TIDAK 
LULUS
NO NIK 
NO 
REGIST 
ER 
NO PESERTA NAMA TANGGAL 
LAHIR PILIHAN JABATAN 1 NAMA JABATAN 2 NAMA JABATAN 3 STATUS 
PILIHAN 1 
STATUS 
PILIHAN 2 
STATUS 
PILIHAN 3 
2.697 611206501 
1910001 
200899 
0109 66112000390 YUNIARTI 10-11-1991 BIDAN PELAKSANA LULUS TIDAK 
LULUS 
TIDAK 
LULUS 
2.698 617103450 
6890009 
210480 
2202 66113000245 YUNIARTI 05-06-1989 GURU SEJARAH PERTAMA LULUS TIDAK 
LULUS 
TIDAK 
LULUS 
2.699 617104620 
6810011 
120544 
7466 66113000818 YUNIDA 22-06-1981 APOTEKER PERTAMA ANALIS KEBIJAKAN 
PERTAMA LULUS TIDAK 
LULUS 
TIDAK 
LULUS 
2.700 617103680 
6830007 
157307 
6368 66113000666 YUNITA 28-06-1983 GURU MATEMATIKA 
PERTAMA LULUS TIDAK 
LULUS 
TIDAK 
LULUS 
2.701 611201430 
6920012 
170588 
2961 66112000097 YUNITA CARYANTINI 03-06-1992 BIDAN PELAKSANA LULUS TIDAK 
LULUS 
TIDAK 
LULUS 
2.702 617101420 
9890011 
152432 
3463 66113001166 YUNITA MULYANA 02-09-1989 PENGAWAS LINGKUNGAN 
HIDUP PERTAMA 
PENGENDALI DAMPAK 
LINGKUNGAN PERTAMA 
TEKNIK PENYEHATAN 
LINGKUNGAN PERTAMA LULUS LULUS LULUS 
2.703 610208590 
6870002 
161728 
5867 66113001492 YUNITA SARI 19-06-1987 GURU BAHASA INGGRIS 
PERTAMA SMP 
GURU BAHASA INGGRIS 
PERTAMA SMA 
ANALIS KEBIJAKAN 
PERTAMA LULUS LULUS TIDAK 
LULUS 
2.704 617101651 
0860004 
165117 
3179 66113000573 YUPITA PITA 25-10-1985 PERENCANA PERTAMA PENYULUH KOPERASI ANALIS KEBIJAKAN 
PERTAMA LULUS LULUS LULUS 
2.705 611201221 
0880001 
143455 
0664 66113001521 YURMILZA NANDA 22-10-1988 GURU MATEMATIKA 
PERTAMA 
ANALIS KEBIJAKAN 
PERTAMA LULUS TIDAK 
LULUS 
TIDAK 
LULUS 
2.706 611207060 
6860002 
209185 
1806 66113001024 YUS ARDIANTO 06-06-1986 ANALIS KEBIJAKAN 
PERTAMA LULUS TIDAK 
LULUS 
TIDAK 
LULUS 
2.707 610207201 
0880005 
141052 
8989 66113001536 YUSACK ANTONIO 
TALANGAS 20-10-1988 GURU IPA PERTAMA GURU FISIKA PERTAMA ANALIS KEBIJAKAN 
PERTAMA LULUS LULUS TIDAK 
LULUS 
2.708 617102490 
8840003 
185229 
4567 66113000242 YUSNITA 09-08-1984 ANALIS KEBIJAKAN 
PERTAMA LULUS TIDAK 
LULUS 
TIDAK 
LULUS 
2.709 611203461 
1870003 
111274 
8879 66113000638 YUSTINA 06-11-1987 ANALIS KEBIJAKAN 
PERTAMA LULUS TIDAK 
LULUS 
TIDAK 
LULUS 
2.710 617104570 
2840004 
124117 
1806 66112000766 YUYUN PARLINA, A.MD 17-02-1984 PENYUSUN RISALAH PENGADMINISTRASI UMUM LULUS LULUS TIDAK 
LULUS 
2.711 611205660 
7920001 
140663 
4134 66112000055 YUYUN TARI 26-07-1992 PERAWAT PELAKSANA LULUS TIDAK 
LULUS 
TIDAK 
LULUS 
2.712 611201490 
7900014 
170560 
8116 66112000413 YUYUN WAHYUNI 09-07-1990 VERIFIKATOR KEUANGAN LULUS TIDAK 
LULUS 
TIDAK 
LULUS 
2.713 610201640 
2860002 
119115 
4245 66113000043 YUYUN YUNIARTI 24-02-1986 GURU MATEMATIKA 
PERTAMA LULUS TIDAK 
LULUS 
TIDAK 
LULUS 
2.714 611209690 
6860002 
196707 
6520 66113001093 YUYUN YUNIARTIKA 29-06-1986 ANALIS KEBIJAKAN 
PERTAMA LULUS TIDAK 
LULUS 
TIDAK 
LULUS 
2.715 617103580 
4890001 
176727 
4498 66113001163 YUZANA PRATIWI 18-04-1989 PENGENDALI DAMPAK 
LINGKUNGAN PERTAMA 
PENGAWAS LINGKUNGAN 
HIDUP PERTAMA 
TEKNIK PENYEHATAN 
LINGKUNGAN PERTAMA LULUS LULUS LULUS 
2.716 611207100 
8870001 
151503 
2737 66113000437 ZAINAL ABIDIN 10-08-1987 GURU MATEMATIKA 
PERTAMA 
ANALIS KEBIJAKAN 
PERTAMA LULUS TIDAK 
LULUS 
TIDAK 
LULUS
NO NIK 
NO 
REGIST 
ER 
NO PESERTA NAMA TANGGAL 
LAHIR PILIHAN JABATAN 1 NAMA JABATAN 2 NAMA JABATAN 3 STATUS 
PILIHAN 1 
STATUS 
PILIHAN 2 
STATUS 
PILIHAN 3 
2.717 610412260 
8870001 
118604 
0407 66113000358 ZAINAL ARIPIN 26-08-1987 ANALIS KEBIJAKAN 
PERTAMA LULUS TIDAK 
LULUS 
TIDAK 
LULUS 
2.718 611208190 
4890002 
201290 
1057 66112000776 ZAINI ANWAR, AMD.KEP 19-04-1989 PERAWAT PELAKSANA LULUS TIDAK 
LULUS 
TIDAK 
LULUS 
2.719 210305010 
9890001 
115280 
7993 66113000452 ZAINUDDIN 01-09-1989 GURU MATEMATIKA 
PERTAMA 
ANALIS KEBIJAKAN 
PERTAMA LULUS TIDAK 
LULUS 
TIDAK 
LULUS 
2.720 617101200 
5800015 
175892 
5703 66113001802 ZAKARIA 20-05-1980 ANALIS KEBIJAKAN 
PERTAMA LULUS TIDAK 
LULUS 
TIDAK 
LULUS 
2.721 617101230 
4900001 
137242 
8594 66112000857 ZAKY PUTRA 23-04-1990 PENGADMINISTRASI UMUM PENYUSUN RISALAH LULUS LULUS TIDAK 
LULUS 
2.722 610113130 
9860004 
200750 
5864 66113000413 ZAR'AN 13-09-1986 GURU SEJARAH PERTAMA ANALIS KEBIJAKAN 
PERTAMA LULUS TIDAK 
LULUS 
TIDAK 
LULUS 
2.723 611201410 
7910234 
180760 
5632 66112000007 ZARA ZERIYANA 01-07-1991 PENGADMINISTRASI UMUM PENYUSUN RISALAH LULUS LULUS TIDAK 
LULUS 
2.724 611209640 
2860002 
159803 
0327 66113001872 ZENI AFI SOLICHAH 24-02-1986 PENYULUH SOSIAL PERTAMA LULUS TIDAK 
LULUS 
TIDAK 
LULUS 
2.725 611201270 
3910007 
194708 
2335 66113000013 ZUHAN ARIFIN 27-03-1991 PRANATA KOMPUTER 
PERTAMA 
ANALIS KEBIJAKAN 
PERTAMA LULUS LULUS TIDAK 
LULUS 
2.726 610301540 
7800003 
144123 
4282 66113001455 ZULFAHMI RAHMAH 14-07-1980 ANALIS KERJASAMA DAN 
PERMODALAN PENYULUH KOPERASI ANALIS ANGGARAN LULUS LULUS LULUS 
2.727 611201611 
2830004 
193199 
0838 66113001238 ZULIATIN 21-12-1983 ANALIS KEBIJAKAN 
PERTAMA LULUS TIDAK 
LULUS 
TIDAK 
LULUS 
2.728 611208060 
6910001 
174497 
1912 66112000538 ZULKIFLI 06-06-1991 PERAWAT PELAKSANA LULUS TIDAK 
LULUS 
TIDAK 
LULUS 
2.729 617104190 
8860004 
140020 
9826 66113001500 ZULKIFLI 19-08-1986 PERENCANA PERTAMA ANALIS ANGGARAN ANALIS KEBIJAKAN 
PERTAMA LULUS LULUS LULUS 
2.730 617101151 
1810013 
212697 
4228 66113000399 ZULKIFLI ASRI 15-11-1981 GURU SEJARAH PERTAMA LULUS TIDAK 
LULUS 
TIDAK 
LULUS 
2.731 610320451 
0890004 
206603 
8258 66112000179 ZUMAIROH 05-10-1989 BIDAN PELAKSANA LULUS TIDAK 
LULUS 
TIDAK 
LULUS 
BUPATI KUBU RAYA, 
HH.. RRUUSSMMAANN AALLII,, SSHH

Cpns 2014 lulus administrasi

  • 1.
    LAMPIRAN I NOMOR811/1157/BKD-C TENTANG NO NIK NO REGIST ER NO PESERTA NAMA TANGGAL LAHIR PILIHAN JABATAN 1 NAMA JABATAN 2 NAMA JABATAN 3 STATUS PILIHAN 1 STATUS PILIHAN 2 STATUS PILIHAN 3 1 611201060 6870002 197933 0515 66113001200 ABANG FINSA SYAFITRA 06-06-1987 ANALIS KERJASAMA DAN PERMODALAN PENYULUH KOPERASI ANALIS KEBIJAKAN PERTAMA LULUS LULUS LULUS 2 617106020 6830002 197283 4220 66113000262 ABANG ILHAMSYAH 02-06-1983 ANALIS KEBIJAKAN PERTAMA LULUS TIDAK LULUS TIDAK LULUS 3 611201310 8800004 133789 6506 66113000303 ABANG MAIZIR 31-08-1980 PENATA RUANG PERTAMA SURVEYOR PEMETAAN PERTAMA ANALIS KEBIJAKAN PERTAMA LULUS LULUS LULUS 4 617102260 3900003 139776 4167 66112000679 ABDUL AZIZ MS 26-03-1990 PENGADMINISTRASI UMUM LULUS TIDAK LULUS TIDAK LULUS PENGUMUMAN BUPATI KUBU RAYA PENGUMUMAN HASIL SELEKSI ADMINISTRASI PENERIMAAN CPNS FORMASI PELAMAR UMUM KABUPATEN KUBU RAYA TAHUN 2014 DAFTAR PELAMAR YANG DINYATAKAN LULUS SELEKSI ADMINISTRASI DAN BERHAK MENGIKUTI UJIAN SELEKSI CPNS FORMASI PELAMAR UMUM KABUPATEN KUBU RAYA TAHUN 2014 5 611203130 8840001 180448 3635 66113001767 ABDUL HADI 13-08-1984 GURU BAHASA INGGRIS PERTAMA SMP GURU BAHASA INGGRIS PERTAMA SMA LULUS LULUS TIDAK LULUS 6 611205280 4880002 147896 5506 66113000351 ABDUL HALIKURRAHMAN 28-04-1988 ANALIS KEBIJAKAN PERTAMA LULUS TIDAK LULUS TIDAK LULUS 7 520602181 0861002 207745 8409 66112000860 ABDUL HARIS 18-10-1986 NUTRISIONIS PELAKSANA LULUS TIDAK LULUS TIDAK LULUS 8 611205050 5900004 168437 7171 66113000665 ABDUL RAZAK 05-05-1990 GURU SEJARAH PERTAMA ANALIS KEBIJAKAN PERTAMA LULUS TIDAK LULUS TIDAK LULUS 9 611203180 4870003 134515 3109 66113001866 ABDUL RAZI 18-04-1987 GURU BAHASA INGGRIS PERTAMA SMP ANALIS KEBIJAKAN PERTAMA GURU BAHASA INGGRIS PERTAMA SMA LULUS TIDAK LULUS LULUS 10 611209130 1850002 150399 5482 66113000576 ABDULLAH 13-01-1985 ANALIS KEBIJAKAN PERTAMA LULUS TIDAK LULUS TIDAK LULUS 11 617101270 7860013 168333 8540 66113000845 ABDURRANI 27-07-1986 GURU SEJARAH PERTAMA LULUS TIDAK LULUS TIDAK LULUS 12 611209030 1880006 126569 9284 66113001709 ABDURROHIM 03-01-1988 PRANATA KOMPUTER PERTAMA ANALIS KEBIJAKAN PERTAMA LULUS LULUS TIDAK LULUS 13 611209060 1850008 177782 8798 66113001614 ABU BAKAR 06-01-1985 ANALIS KEBIJAKAN PERTAMA LULUS TIDAK LULUS TIDAK LULUS 14 611201111 2850011 163416 8123 66113001723 ACHMAD IROKI 11-12-1985 GURU BAHASA INGGRIS PERTAMA SMP GURU BAHASA INGGRIS PERTAMA SMA ANALIS KEBIJAKAN PERTAMA LULUS LULUS TIDAK LULUS 15 611201051 1870001 176040 1309 66113000272 ACHMAD SUKMA WIJAYANTO 05-11-1987 TEKNIK PENYEHATAN LINGKUNGAN PERTAMA PENGAWAS LINGKUNGAN HIDUP PERTAMA PENGENDALI DAMPAK LINGKUNGAN PERTAMA LULUS LULUS LULUS 16 611201500 3880014 147386 2766 66113000582 ADE DWI SETIAWATI, SE 10-03-1988 PERENCANA PERTAMA ANALIS ANGGARAN ANALIS KEBIJAKAN PERTAMA LULUS LULUS LULUS
  • 2.
    NO NIK NO REGIST ER NO PESERTA NAMA TANGGAL LAHIR PILIHAN JABATAN 1 NAMA JABATAN 2 NAMA JABATAN 3 STATUS PILIHAN 1 STATUS PILIHAN 2 STATUS PILIHAN 3 17 617101160 2910006 172365 7762 66113000771 ADE FEBRIAN SALIPUTRA 16-02-1991 PENGAWAS KETENAGAKERJAAN PERTAMA ANALIS LAYANAN UMUM ANALIS KEBIJAKAN PERTAMA LULUS LULUS LULUS 18 617105240 7830001 130181 6272 66113000237 ADE GUNAWAN HERIYANTO 24-07-1983 PERENCANA PERTAMA PENYULUH KOPERASI ANALIS KERJASAMA DAN PERMODALAN LULUS LULUS LULUS 19 617101490 4890005 169720 2295 66112000856 ADE IRMA SURYANI 09-04-1989 PENGADMINISTRASI UMUM PENYUSUN RISALAH LULUS LULUS TIDAK LULUS 20 617103050 9850504 178262 7701 66113000145 ADE RAHMANSYAH 05-09-1985 ANALIS KEBIJAKAN PERTAMA LULUS TIDAK LULUS TIDAK LULUS 21 617101200 2850008 194078 6004 66113001083 ADE SUWARDI 20-02-1985 ANALIS KEBIJAKAN PERTAMA LULUS TIDAK LULUS TIDAK LULUS 22 617103480 3900007 144407 0814 66113001716 ADELIA YUSNITA DEWI 08-03-1990 SANITARIAN PERTAMA ANALIS KEBIJAKAN PERTAMA LULUS TIDAK LULUS TIDAK LULUS 23 617103410 5840001 198136 0587 66113001067 ADEWATI 01-05-1984 ANALIS KEBIJAKAN PERTAMA LULUS TIDAK LULUS TIDAK LULUS 24 611201100 1860011 196140 2530 66113000481 ADHITYA FERNANDA 10-01-1986 PENGAWAS KETENAGAKERJAAN PERTAMA MEDIATOR HUBUNGAN INDUSTRIAL PERTAMA ANALIS KEBIJAKAN PERTAMA LULUS LULUS LULUS 25 611201231 1860003 154359 0752 66113001231 ADI NOVIARDI 23-11-1986 SURVEYOR PEMETAAN PERTAMA PENATA RUANG PERTAMA ANALIS KEBIJAKAN PERTAMA LULUS LULUS LULUS 26 617102240 6880001 156133 7112 66113001542 ADI PASAH KAHAR 24-06-1988 ANALIS KEBIJAKAN PERTAMA GURU BIOLOGI PERTAMA GURU IPA PERTAMA TIDAK LULUS LULUS LULUS 27 611209100 9890006 122204 7036 66113001772 ADI SASTRA 10-09-1989 GURU SEJARAH PERTAMA ANALIS KEBIJAKAN PERTAMA LULUS TIDAK LULUS TIDAK LULUS 28 611201250 8830006 177536 4076 66112000800 ADI SUPRIADI 25-08-1983 PENGADMINISTRASI UMUM PENYUSUN RISALAH LULUS LULUS TIDAK LULUS 29 611209251 0800006 162690 4936 66113001466 ADI TIRA,SE 25-10-1980 ANALIS KEBIJAKAN PERTAMA PERENCANA PERTAMA ANALIS ANGGARAN LULUS LULUS LULUS 30 611201220 2900003 110897 3131 66113001411 ADI WIBOWO 22-02-1990 SANITARIAN PERTAMA LULUS TIDAK LULUS TIDAK LULUS 31 610502080 9890005 153973 7604 66113000167 ADIANTO 08-09-1989 TEKNIK JALAN DAN JEMBATAN PERTAMA LULUS TIDAK LULUS TIDAK LULUS 32 611201020 4870006 182164 5127 66113001407 ADITYA HERMAWAN 02-04-1987 PRANATA KOMPUTER PERTAMA ANALIS KEBIJAKAN PERTAMA LULUS LULUS TIDAK LULUS 33 617103020 5900003 132983 8118 66113001222 ADITYA PRATAMA 02-05-1990 PRANATA KOMPUTER PERTAMA ANALIS KEBIJAKAN PERTAMA LULUS LULUS TIDAK LULUS 34 167101270 5910002 192707 8826 66112000576 ADITYO ARYA PUTRA 27-05-1991 PENGAWAS KESELAMATAN PELAYARAN PELAKSANA LULUS TIDAK LULUS TIDAK LULUS 35 617104190 8810007 177321 8682 66113001841 ADRIANUS CAHYO PURNOMO MAURE 19-08-1981 ANALIS KEBIJAKAN PERTAMA LULUS TIDAK LULUS TIDAK LULUS 36 611201050 5910003 165799 8702 66113000119 ADRIANUS YADI 05-05-1991 PERANCANG PERUNDANG-UNDANGAN PERTAMA PENGAWAS KETENAGAKERJAAN PERTAMA ANALIS KEBIJAKAN PERTAMA LULUS LULUS LULUS
  • 3.
    NO NIK NO REGIST ER NO PESERTA NAMA TANGGAL LAHIR PILIHAN JABATAN 1 NAMA JABATAN 2 NAMA JABATAN 3 STATUS PILIHAN 1 STATUS PILIHAN 2 STATUS PILIHAN 3 37 351022070 6940001 196007 5448 66112000811 ADY UGRA AGASTYA PRASADANA 07-06-1994 PENGUJI KENDARAAN BERMOTOR PELAKSANA LULUS TIDAK LULUS TIDAK LULUS 38 617103160 6800002 182256 7876 66113001596 AFNER ANDI MELKYAN 16-06-1980 ANALIS ANGGARAN PERENCANA PERTAMA ANALIS KEBIJAKAN PERTAMA LULUS LULUS LULUS 39 611203610 8910001 213526 6708 66113000963 AGNES DWI SUBANING 21-08-1991 GURU MATEMATIKA PERTAMA ANALIS KEBIJAKAN PERTAMA LULUS TIDAK LULUS TIDAK LULUS 40 617104111 2810011 155324 4898 66113000172 AGUNG NUSAPUTRA 11-12-1981 PENGENDALI DAMPAK LINGKUNGAN PERTAMA PENGAWAS LINGKUNGAN HIDUP PERTAMA TEKNIK PENYEHATAN LINGKUNGAN PERTAMA LULUS LULUS LULUS 41 611201020 8910010 180000 4530 66113000751 AGUNG PUJIONO 02-08-1991 PRANATA KOMPUTER PERTAMA ANALIS KEBIJAKAN PERTAMA LULUS LULUS TIDAK LULUS 42 647403150 2840001 154800 7504 66113001857 AGUNG WIBOWO ARI AJI 15-02-1984 ANALIS KEBIJAKAN PERTAMA LULUS TIDAK LULUS TIDAK LULUS 43 617106270 8880001 177154 7340 66113001426 AGUS ALATAS 27-08-1988 TEKNIK JALAN DAN JEMBATAN PERTAMA ANALIS KEBIJAKAN PERTAMA LULUS LULUS TIDAK LULUS 44 611201520 8900009 138570 9304 66112000157 AGUS AYUN IDAWATI 12-08-1990 BIDAN PELAKSANA LULUS TIDAK LULUS TIDAK LULUS 45 617103150 8830009 158083 3394 66112000565 AGUS DARWIN 15-08-1983 PENYULUH PAJAK PELAKSANA LULUS TIDAK LULUS TIDAK LULUS 46 617101210 8800009 201676 6822 66113001759 AGUS FITRIANTO 21-08-1980 ANALIS KEBIJAKAN PERTAMA LULUS TIDAK LULUS TIDAK LULUS 47 610108090 8890003 152676 8736 66113001548 AGUS GUNAWAN 09-08-1989 GURU FISIKA PERTAMA LULUS TIDAK LULUS TIDAK LULUS 48 617103220 8900004 148110 5900 66113000049 AGUS HANDRIYANTO 22-08-1990 PERANCANG PERUNDANG-UNDANGAN PERTAMA PENGAWAS KETENAGAKERJAAN PERTAMA ANALIS LAYANAN UMUM LULUS LULUS LULUS 49 617105180 8830004 198806 7470 66113000001 AGUS HENDRA, SE 18-08-1983 PERENCANA PERTAMA ANALIS ANGGARAN PENYULUH KOPERASI LULUS LULUS LULUS 50 617104560 8820008 201585 2751 66112000370 AGUS KIPTIANI 16-08-1982 PENYUSUN RISALAH PENGADMINISTRASI UMUM LULUS LULUS TIDAK LULUS 51 610603220 8890001 153394 9509 66113001180 AGUS KURNIAWI 22-08-1989 ANALIS KEBIJAKAN PERTAMA GURU SEJARAH PERTAMA TIDAK LULUS LULUS TIDAK LULUS 52 352902170 8850002 177049 9481 66112000424 AGUS PRIBADI 17-08-1985 PERAWAT PELAKSANA LULUS TIDAK LULUS TIDAK LULUS 53 610102300 9910004 133579 9331 66112000187 AGUS PURNOMO 30-09-1991 PERAWAT PELAKSANA LULUS TIDAK LULUS TIDAK LULUS 54 611201540 8930006 190487 3358 66112000194 AGUS SURYANI AS 14-08-1993 BIDAN PELAKSANA LULUS TIDAK LULUS TIDAK LULUS 55 611209031 2880003 141894 0170 66113001475 AGUS SURYANTO 03-12-1988 GURU SEJARAH PERTAMA LULUS TIDAK LULUS TIDAK LULUS 56 617104570 8910012 162086 1067 66112000352 AGUS SUSANTI 17-08-1991 PERAWAT PELAKSANA LULUS TIDAK LULUS TIDAK LULUS
  • 4.
    NO NIK NO REGIST ER NO PESERTA NAMA TANGGAL LAHIR PILIHAN JABATAN 1 NAMA JABATAN 2 NAMA JABATAN 3 STATUS PILIHAN 1 STATUS PILIHAN 2 STATUS PILIHAN 3 57 617101010 8870001 116553 4362 66113001300 AGUS SUSANTO, SE 01-08-1987 ANALIS KEBIJAKAN PERTAMA LULUS TIDAK LULUS TIDAK LULUS 58 611204010 4880002 145838 6833 66113000212 AGUS WAHYUDI 05-05-1986 GURU MATEMATIKA PERTAMA ANALIS KEBIJAKAN PERTAMA LULUS TIDAK LULUS TIDAK LULUS 59 611201410 8800020 170826 0957 66113001219 AGUSLIANTI 01-08-1980 PENATA RUANG PERTAMA SURVEYOR PEMETAAN PERTAMA ANALIS KEBIJAKAN PERTAMA LULUS LULUS LULUS 60 617101570 8880001 185955 3933 66112000009 AGUSTINA 17-08-1988 PENGADMINISTRASI UMUM PENYUSUN RISALAH LULUS LULUS TIDAK LULUS 61 611209560 8890003 197315 5479 66113000067 AGUSTINA 16-08-1989 GURU GEOGRAFI PERTAMA ANALIS KEBIJAKAN PERTAMA LULUS TIDAK LULUS TIDAK LULUS 62 610207670 8880001 180416 0195 66113001130 AGUSTINA 27-08-1988 GURU MATEMATIKA PERTAMA ANALIS KEBIJAKAN PERTAMA LULUS TIDAK LULUS TIDAK LULUS 63 610313560 8890001 143245 8019 66113001911 AGUSTINA IRA 16-08-1989 GURU BIOLOGI PERTAMA ANALIS KEBIJAKAN PERTAMA GURU IPA PERTAMA LULUS TIDAK LULUS LULUS 64 610901530 8890001 195766 7689 66113000423 AGUSTINI 13-08-1989 GURU SEJARAH PERTAMA ANALIS KEBIJAKAN PERTAMA LULUS TIDAK LULUS TIDAK LULUS 65 611201490 8830014 212686 7404 66113001259 AGUSTINI EKA SAPUTRI 09-08-1983 GURU MATEMATIKA PERTAMA LULUS TIDAK LULUS TIDAK LULUS 66 611105220 9820003 101797 0246 66113001662 AHMAD ADHARUDIN 22-09-1982 ANALIS KEBIJAKAN PERTAMA LULUS TIDAK LULUS TIDAK LULUS 67 611201241 1860008 157932 8444 66113001707 AHMAD DARWIS 24-11-1986 PEKERJA SOSIAL PERTAMA PENYULUH SOSIAL PERTAMA ANALIS KEBIJAKAN PERTAMA LULUS LULUS LULUS 68 610801221 1880001 139585 3701 66113000052 AHMAD EMHIKU 22-11-1988 ANALIS KEBIJAKAN PERTAMA PENYULUH SOSIAL PERTAMA PEKERJA SOSIAL PERTAMA LULUS LULUS LULUS 69 611207160 8890002 213454 1513 66113001862 AHMAD KASIM 16-08-1989 GURU MATEMATIKA PERTAMA ANALIS KEBIJAKAN PERTAMA LULUS TIDAK LULUS TIDAK LULUS 70 617102011 0870002 180271 1254 66113001732 AHMAD SUYUDI 01-10-1987 PRANATA KOMPUTER PERTAMA ANALIS KEBIJAKAN PERTAMA LULUS LULUS TIDAK LULUS 71 611201040 2890010 199947 2691 66113001442 AHMAD SYAIFUDDIN 04-02-1989 ANALIS ANGGARAN ANALIS KERJASAMA DAN PERMODALAN ANALIS KEBIJAKAN PERTAMA LULUS LULUS LULUS 72 611209140 3890005 202606 6105 66113000151 AHMAD SYARBAINI 14-03-1989 PENGAWAS KETENAGAKERJAAN PERTAMA ANALIS KEBIJAKAN PERTAMA PERANCANG PERUNDANG-UNDANGAN PERTAMA LULUS LULUS LULUS 73 611201130 8910006 207647 1252 66112000702 AHMAD ZAINUDIN 13-08-1991 PENYUSUN RISALAH PENGADMINISTRASI UMUM LULUS LULUS TIDAK LULUS 74 611202120 3880005 158313 5189 66113001504 AHMADI 12-03-1988 GURU MATEMATIKA PERTAMA ANALIS KEBIJAKAN PERTAMA LULUS TIDAK LULUS TIDAK LULUS 75 610208080 7830008 134215 9765 66113001617 AHMADI S 08-07-1983 ANALIS KEBIJAKAN PERTAMA LULUS TIDAK LULUS TIDAK LULUS 76 611201510 1910008 154825 3977 66112000123 AISYAH AZMI 11-01-1991 BIDAN PELAKSANA LULUS TIDAK LULUS TIDAK LULUS
  • 5.
    NO NIK NO REGIST ER NO PESERTA NAMA TANGGAL LAHIR PILIHAN JABATAN 1 NAMA JABATAN 2 NAMA JABATAN 3 STATUS PILIHAN 1 STATUS PILIHAN 2 STATUS PILIHAN 3 77 611205010 5900003 138587 7546 66113000686 AKBAR MALHAYATI 01-05-1990 GURU MATEMATIKA PERTAMA LULUS TIDAK LULUS TIDAK LULUS 78 617101040 4900005 134594 6232 66113001314 AKHMAD FUADI 04-04-1990 ANALIS KEBIJAKAN PERTAMA LULUS TIDAK LULUS TIDAK LULUS 79 617101260 8860001 175499 4025 66113001840 AKHMAD MAHFURI 26-08-1986 ANALIS KEBIJAKAN PERTAMA LULUS TIDAK LULUS TIDAK LULUS 80 617102100 5900002 139371 4711 66112000372 AKSAL MEITA 10-05-1990 PENYUSUN RISALAH PENGADMINISTRASI UMUM LULUS LULUS TIDAK LULUS 81 617101281 0880006 204286 7890 66113000714 AL HARITS 28-10-1988 GURU BAHASA INGGRIS PERTAMA SMP GURU BAHASA INGGRIS PERTAMA SMA ANALIS KEBIJAKAN PERTAMA LULUS LULUS TIDAK LULUS 82 617103701 2870008 176009 7884 66113000713 AL HUSNA 30-12-1987 GURU MATEMATIKA PERTAMA LULUS TIDAK LULUS TIDAK LULUS 83 610301170 6820006 162923 1049 66113000263 ALBERT MOSES BEGIN 17-06-1982 PENGAWAS LINGKUNGAN HIDUP PERTAMA PENGENDALI DAMPAK LINGKUNGAN PERTAMA TEKNIK PENYEHATAN LINGKUNGAN PERTAMA LULUS LULUS LULUS 84 617101280 8860010 197643 3536 66113001396 ALBERTUS IVAN RAY 28-08-1986 PRANATA KOMPUTER PERTAMA ANALIS KEBIJAKAN PERTAMA LULUS LULUS TIDAK LULUS 85 611206050 2920003 192915 0011 66113000156 ALBINUS TEJO SUNGKOWO 05-02-1992 GURU MATEMATIKA PERTAMA ANALIS KEBIJAKAN PERTAMA LULUS TIDAK LULUS TIDAK LULUS 86 331201210 4800005 139620 1409 66113000683 ALEX HARRIE WIBOWO 21-04-1980 GURU SEJARAH PERTAMA ANALIS KEBIJAKAN PERTAMA LULUS TIDAK LULUS TIDAK LULUS 87 610612040 8850001 113634 9837 66113001425 ALEXANDER ALEN 04-08-1985 GURU IPA PERTAMA GURU FISIKA PERTAMA ANALIS KEBIJAKAN PERTAMA LULUS LULUS TIDAK LULUS 88 617106280 7920001 172336 6619 66113000569 ALFIAN 28-07-1992 PRANATA KOMPUTER PERTAMA ANALIS KEBIJAKAN PERTAMA LULUS LULUS TIDAK LULUS 89 611203431 2920001 139658 9692 66112000681 ALFIANI NURUSSIYAM 03-12-1992 PENYUSUN RISALAH PENGADMINISTRASI UMUM LULUS LULUS TIDAK LULUS 90 617105420 4900009 164225 6174 66113001778 ALFIRA HEKSA RAMADANI 02-04-1990 ANALIS KEBIJAKAN PERTAMA LULUS TIDAK LULUS TIDAK LULUS 91 617205220 8870002 168460 4751 66113000795 ALFRED YONATHAN DIJU, ST 22-08-1987 PENATA RUANG PERTAMA SURVEYOR PEMETAAN PERTAMA ANALIS KEBIJAKAN PERTAMA LULUS LULUS LULUS 92 617103160 5840010 173641 8479 66113000486 ALI HARMOKO 16-05-1984 PENATA RUANG PERTAMA SURVEYOR PEMETAAN PERTAMA ANALIS KEBIJAKAN PERTAMA LULUS LULUS LULUS 93 617105450 2910009 122877 9447 66112000127 ALIFIA ANGGITA SARI 05-02-1991 BIDAN PELAKSANA LULUS TIDAK LULUS TIDAK LULUS 94 617103100 2860001 170049 0525 66113001451 ALJANI 10-02-1986 PRANATA KOMPUTER PERTAMA ANALIS KEBIJAKAN PERTAMA LULUS LULUS TIDAK LULUS 95 617103061 0890020 148643 4403 66112000023 ALVHI AL ANSYAR 06-10-1989 PENGADMINISTRASI UMUM PENYUSUN RISALAH LULUS LULUS TIDAK LULUS 96 617105630 9890002 132107 4728 66112000556 AMALIA DARMAYANTI 23-09-1989 PERAWAT PELAKSANA LULUS TIDAK LULUS TIDAK LULUS
  • 6.
    NO NIK NO REGIST ER NO PESERTA NAMA TANGGAL LAHIR PILIHAN JABATAN 1 NAMA JABATAN 2 NAMA JABATAN 3 STATUS PILIHAN 1 STATUS PILIHAN 2 STATUS PILIHAN 3 97 617101610 9910004 178133 0546 66112000394 AMBAR GUMILAH PARTIWI 21-09-1991 BIDAN PELAKSANA LULUS TIDAK LULUS TIDAK LULUS 98 617102010 8850010 132530 8245 66113001103 AMBAR SATRIYA 01-08-1985 ANALIS KEBIJAKAN PERTAMA LULUS TIDAK LULUS TIDAK LULUS 99 617103550 5900006 144880 8664 66112000240 AMELIA SARTIKA LINGGA 15-05-1990 BIDAN PELAKSANA LULUS TIDAK LULUS TIDAK LULUS 100 617105701 1810005 196932 0923 66112000375 AMELIA,A.MD 30-11-1981 PENGADMINISTRASI UMUM LULUS TIDAK LULUS TIDAK LULUS 101 617105500 4840005 169215 9318 66113000286 AMINAH 10-04-1984 GURU SEJARAH PERTAMA ANALIS KEBIJAKAN PERTAMA LULUS TIDAK LULUS TIDAK LULUS 102 611205020 1910003 172864 6942 66112000124 AMINULLAH 02-01-1991 PERAWAT PELAKSANA LULUS TIDAK LULUS TIDAK LULUS 103 617202280 1820002 163497 8681 66113001774 AMRULLAH, SP 28-01-1982 ANALIS KEBIJAKAN PERTAMA LULUS TIDAK LULUS TIDAK LULUS 104 611209590 5930001 153503 0079 66112000870 ANA MARIA 14-05-1993 PENGADMINISTRASI UMUM PENYUSUN RISALAH LULUS LULUS TIDAK LULUS 105 617101520 7870004 180936 6620 66113000110 ANA RITA NURHASANAH 12-07-1987 GURU IPA PERTAMA GURU BIOLOGI PERTAMA LULUS LULUS TIDAK LULUS 106 617103500 6830007 168182 6008 66113001124 ANAK AGUNG AYU PANJI LESTARI 10-06-1983 ANALIS ANGGARAN ANALIS KEBIJAKAN PERTAMA PERENCANA PERTAMA LULUS LULUS LULUS 107 611207490 1890002 213428 2163 66113001534 ANASTASIA DEWI 09-01-1989 GURU MATEMATIKA PERTAMA ANALIS KEBIJAKAN PERTAMA LULUS TIDAK LULUS TIDAK LULUS 108 610704550 2820001 189307 4684 66112000322 ANASTASIA PANCA SETIAWATI 15-02-1982 PENGADMINISTRASI UMUM PENYUSUN RISALAH LULUS LULUS TIDAK LULUS 109 611201700 4890007 173210 8508 66113000735 ANASTASIA TRI AFRIANI 30-04-1989 ANALIS KEBIJAKAN PERTAMA LULUS TIDAK LULUS TIDAK LULUS 110 617101570 9870004 197252 6984 66113001876 ANDI ARIENE ZAHRAWANI MUSTAHELE 17-09-1987 ANALIS KEBIJAKAN PERTAMA LULUS TIDAK LULUS TIDAK LULUS 111 611209051 1890002 187372 0833 66112000442 ANDI MADIOLO 09-07-1989 PERAWAT PELAKSANA LULUS TIDAK LULUS TIDAK LULUS 112 617102270 9840006 137601 7779 66113001579 ANDI MUHARDI 27-09-1984 ANALIS ANGGARAN PERENCANA PERTAMA ANALIS KEBIJAKAN PERTAMA LULUS LULUS LULUS 113 617104230 5850001 209114 3243 66112000218 ANDIKA RIAMIZAR 23-05-1985 VERIFIKATOR KEUANGAN LULUS TIDAK LULUS TIDAK LULUS 114 617103670 3840007 109303 3947 66112000087 ANDINI PURNAMASARI 27-03-1984 PENYUSUN RISALAH PENGADMINISTRASI UMUM LULUS LULUS TIDAK LULUS 115 617102521 0900013 177314 0341 66113000428 ANDINI SHEILA MALINI 12-10-1990 ANALIS KEBIJAKAN PERTAMA LULUS TIDAK LULUS TIDAK LULUS 116 617105040 7910010 131752 2363 66112000823 ANDREANSYAH NUGGRAHA 04-07-1991 PENGADMINISTRASI UMUM PENYUSUN RISALAH LULUS LULUS TIDAK LULUS
  • 7.
    NO NIK NO REGIST ER NO PESERTA NAMA TANGGAL LAHIR PILIHAN JABATAN 1 NAMA JABATAN 2 NAMA JABATAN 3 STATUS PILIHAN 1 STATUS PILIHAN 2 STATUS PILIHAN 3 117 617103240 5890005 180428 4089 66113001740 ANDREAS SUCIPTO 24-05-1989 ANALIS KEBIJAKAN PERTAMA GURU SEJARAH PERTAMA TIDAK LULUS LULUS TIDAK LULUS 118 611203041 0890004 163265 8332 66113000525 ANDRI ANDIKA 04-10-1989 GURU SEJARAH PERTAMA LULUS TIDAK LULUS TIDAK LULUS 119 617101130 3820009 179914 6399 66113000996 ANDRI GINTING 13-03-1982 ANALIS KEBIJAKAN PERTAMA LULUS TIDAK LULUS TIDAK LULUS 120 611201260 5880004 136758 3753 66112000371 ANDRI SETIAWAN 26-05-1988 PENGADMINISTRASI UMUM PENYUSUN RISALAH LULUS LULUS TIDAK LULUS 121 617103080 9860502 207133 5186 66113000345 ANDRI SUPRIANTO 08-09-1986 ANALIS ANGGARAN ANALIS KERJASAMA DAN PERMODALAN ANALIS KEBIJAKAN PERTAMA LULUS LULUS LULUS 122 617103300 7870003 196775 5437 66113000104 ANDRI ZULIANSYAH 30-07-1987 ANALIS KEBIJAKAN PERTAMA LULUS TIDAK LULUS TIDAK LULUS 123 611207101 2880003 205906 5708 66112000070 ANDRIANSYAH,A.MD.KE P 10-12-1988 PERAWAT PELAKSANA LULUS TIDAK LULUS TIDAK LULUS 124 611207180 4890001 143267 5725 66112000517 ANDRY KURNIAWAN 18-04-1989 PERAWAT PELAKSANA LULUS TIDAK LULUS TIDAK LULUS 125 611203021 0920006 142631 9154 66112000769 ANDY FIRMANSYAH 02-10-1992 PENGADMINISTRASI UMUM LULUS TIDAK LULUS TIDAK LULUS 126 610804520 1900002 121349 0490 66112000178 ANGELA 12-01-1990 PERAWAT PELAKSANA LULUS TIDAK LULUS TIDAK LULUS 127 617101150 8900006 213555 3378 66113001240 ANGGA HENDRA DHARMAWAN 15-08-1990 ANALIS KEBIJAKAN PERTAMA LULUS TIDAK LULUS TIDAK LULUS 128 611207250 9930001 150083 3833 66112000018 ANGGA IRNANDA 25-09-1993 PERAWAT PELAKSANA LULUS TIDAK LULUS TIDAK LULUS 129 617102220 2900002 164248 7394 66112000654 ANGGA PRASATIA 22-02-1990 PENGADMINISTRASI UMUM PENYUSUN RISALAH LULUS LULUS TIDAK LULUS 130 617106191 2910001 164156 5126 66113001384 ANGGA PRAYUDA 19-12-1991 TEKNIK JALAN DAN JEMBATAN PERTAMA ANALIS KEBIJAKAN PERTAMA LULUS LULUS TIDAK LULUS 131 617101581 0890007 135489 1084 66112000088 ANGGI ARISSANDY 18-10-1989 VERIFIKATOR KEUANGAN LULUS TIDAK LULUS TIDAK LULUS 132 617103130 5880004 194524 4903 66113000905 ANGGIE F. AL NUR 13-05-1988 ANALIS KEBIJAKAN PERTAMA LULUS TIDAK LULUS TIDAK LULUS 133 617105601 1850010 174029 6058 66113001143 ANGGIE KAMBARA YUDHA 20-11-1985 GURU MATEMATIKA PERTAMA LULUS TIDAK LULUS TIDAK LULUS 134 611204610 5900001 157985 1206 66113001076 ANGGRAENI AYUNING TYAS DS 21-05-1990 ANALIS KEBIJAKAN PERTAMA LULUS TIDAK LULUS TIDAK LULUS 135 617104451 0890001 133974 1200 66113000295 ANGGRAINI OCTAPRATAMI 05-10-1989 GURU MATEMATIKA PERTAMA LULUS TIDAK LULUS TIDAK LULUS 136 610207470 4830006 146950 8095 66113001264 ANGGRAINI SETYANINGSIH 07-04-1983 GURU IPA PERTAMA GURU BIOLOGI PERTAMA LULUS LULUS TIDAK LULUS
  • 8.
    NO NIK NO REGIST ER NO PESERTA NAMA TANGGAL LAHIR PILIHAN JABATAN 1 NAMA JABATAN 2 NAMA JABATAN 3 STATUS PILIHAN 1 STATUS PILIHAN 2 STATUS PILIHAN 3 137 611201670 8890014 155370 3226 66113001127 ANGGUN FATMASARI 27-08-1989 GURU MATEMATIKA PERTAMA ANALIS KEBIJAKAN PERTAMA LULUS TIDAK LULUS TIDAK LULUS 138 617105220 6870003 112069 4494 66113001068 ANGKY PARAMISWARA. D 22-06-1987 ANALIS KERJASAMA DAN PERMODALAN ANALIS KEBIJAKAN PERTAMA ANALIS ANGGARAN LULUS LULUS LULUS 139 330805600 8820005 150364 1359 66113001225 ANI NASHIROH 20-08-1982 APOTEKER PERTAMA LULUS TIDAK LULUS TIDAK LULUS 140 617101410 7800096 162592 2579 66113001234 ANI SARTIKA.SS 01-07-1980 ANALIS LAYANAN UMUM PENGAWAS KETENAGAKERJAAN PERTAMA ANALIS KEBIJAKAN PERTAMA LULUS LULUS LULUS 141 610901491 0850006 189184 2647 66113001427 ANI SULASTRI 09-10-1985 ANALIS KEBIJAKAN PERTAMA LULUS TIDAK LULUS TIDAK LULUS 142 611201680 1890008 169323 7724 66113001223 ANINDIAN SHINTA UTAMI 28-01-1989 PENGAWAS LINGKUNGAN HIDUP PERTAMA PENGENDALI DAMPAK LINGKUNGAN PERTAMA TEKNIK PENYEHATAN LINGKUNGAN PERTAMA LULUS LULUS LULUS 143 611201460 6900004 145481 6337 66113000109 ANITA 06-06-1990 GURU MATEMATIKA PERTAMA ANALIS KEBIJAKAN PERTAMA LULUS TIDAK LULUS TIDAK LULUS 144 611201450 7820022 213923 0177 66113001661 ANITA 05-07-1982 ANALIS KEBIJAKAN PERTAMA LULUS TIDAK LULUS TIDAK LULUS 145 617102590 8870007 148895 3600 66112000366 ANITA ANWAR 19-08-1987 PENGADMINISTRASI UMUM PENYUSUN RISALAH LULUS LULUS TIDAK LULUS 146 617102450 5800011 161642 8875 66113000281 ANITA CARLINA, SP 05-05-1980 ANALIS KEBIJAKAN PERTAMA LULUS TIDAK LULUS TIDAK LULUS 147 611206530 6860003 195809 7341 66112000564 ANITA JUNIAWATI 13-06-1986 BIDAN PELAKSANA LULUS TIDAK LULUS TIDAK LULUS 148 617105530 8880012 179139 6325 66113001385 ANITA NUR PRATIWI 13-08-1988 ANALIS ANGGARAN PENYULUH KOPERASI ANALIS KEBIJAKAN PERTAMA LULUS LULUS LULUS 149 617103550 9840005 165349 1207 66113000623 ANITA RIYANI 15-09-1984 PRANATA KOMPUTER PERTAMA ANALIS KEBIJAKAN PERTAMA LULUS LULUS TIDAK LULUS 150 611209420 9870001 110680 4343 66113001307 ANITA RIYANTI 02-09-1987 GURU MATEMATIKA PERTAMA LULUS TIDAK LULUS TIDAK LULUS 151 611201550 3910005 201678 9086 66112000831 ANITA WULANDARI 15-03-1991 PENGADMINISTRASI UMUM PENYUSUN RISALAH LULUS LULUS TIDAK LULUS 152 610111441 2870003 210044 9304 66113001294 ANITASMITA 04-12-1987 GURU SEJARAH PERTAMA ANALIS KEBIJAKAN PERTAMA LULUS TIDAK LULUS TIDAK LULUS 153 332811680 7920004 206880 0895 66113001049 ANNA RAHMATIKA 28-07-1992 STATISTISI PERTAMA ANALIS KEBIJAKAN PERTAMA LULUS LULUS TIDAK LULUS 154 617105411 2890005 143754 9446 66113001513 ANNISA 01-12-1989 GURU IPA PERTAMA GURU FISIKA PERTAMA ANALIS KEBIJAKAN PERTAMA LULUS LULUS TIDAK LULUS 155 611201630 8830009 154907 5924 66112000230 ANNIZAR 23-08-1983 PENGADMINISTRASI UMUM PENYUSUN RISALAH LULUS LULUS TIDAK LULUS 156 617103190 5800009 134101 1196 66113000004 ANSHORI ISMAIL, S.KOM 19-05-1980 PRANATA KOMPUTER PERTAMA ANALIS KEBIJAKAN PERTAMA LULUS LULUS LULUS
  • 9.
    NO NIK NO REGIST ER NO PESERTA NAMA TANGGAL LAHIR PILIHAN JABATAN 1 NAMA JABATAN 2 NAMA JABATAN 3 STATUS PILIHAN 1 STATUS PILIHAN 2 STATUS PILIHAN 3 157 611201010 9830012 207356 8378 66113001150 ANTON ILHAM 01-09-1983 PERENCANA PERTAMA ANALIS ANGGARAN ANALIS KERJASAMA DAN PERMODALAN LULUS LULUS LULUS 158 611207310 8910001 191123 4083 66112000529 ANTON SUPIANDI 31-08-1991 PERAWAT PELAKSANA LULUS TIDAK LULUS TIDAK LULUS 159 610311420 6870001 118665 1629 66113001069 ANTONIA ASUL 02-06-1987 PERENCANA PERTAMA LULUS TIDAK LULUS TIDAK LULUS 160 610510640 8890001 204862 2789 66113001376 ANTONIA SARI 24-08-1989 PENYULUH SOSIAL PERTAMA PEKERJA SOSIAL PERTAMA ANALIS KEBIJAKAN PERTAMA LULUS LULUS LULUS 161 617105040 3900009 193046 1088 66113000440 ANWAR SHODIQ 04-03-1990 GURU MATEMATIKA PERTAMA LULUS TIDAK LULUS TIDAK LULUS 162 617101510 4910002 137483 5859 66113001686 APREA WULAN DEWI 11-04-1991 ANALIS KEBIJAKAN PERTAMA LULUS TIDAK LULUS TIDAK LULUS 163 617101690 4850011 202691 5219 66113000994 APRELLA TRIOS 29-04-1985 PENYULUH KOPERASI ANALIS KERJASAMA DAN PERMODALAN ANALIS KEBIJAKAN PERTAMA LULUS LULUS LULUS 164 611205160 4880001 124895 2275 66112000605 APRI AIRANSYAH 16-04-1988 PERAWAT PELAKSANA LULUS TIDAK LULUS TIDAK LULUS 165 617106140 4820002 144168 0943 66112000266 APRIADI 14-04-1982 PENYULUH PAJAK PELAKSANA LULUS TIDAK LULUS TIDAK LULUS 166 611201550 4820017 207607 4151 66113000125 APRIANA 15-04-1982 GURU MATEMATIKA PERTAMA ANALIS KEBIJAKAN PERTAMA LULUS TIDAK LULUS TIDAK LULUS 167 610212700 4900002 192202 6548 66113000209 APRIANI 30-04-1990 GURU SEJARAH PERTAMA LULUS TIDAK LULUS TIDAK LULUS 168 610505420 4850001 210922 4829 66113000447 APRILIA SUSANTI 02-04-1985 GURU MATEMATIKA PERTAMA LULUS TIDAK LULUS TIDAK LULUS 169 611201690 4870004 182027 1889 66113001211 APRINDAH LUMBANTORUAN 29-04-1987 GURU BIOLOGI PERTAMA GURU IPA PERTAMA ANALIS KEBIJAKAN PERTAMA LULUS LULUS TIDAK LULUS 170 611201590 4840006 193817 8714 66113000342 APRIYANI 19-04-1984 PERENCANA PERTAMA PENYULUH KOPERASI ANALIS ANGGARAN LULUS LULUS LULUS 171 617103450 4900007 206094 5387 66112000125 APRIYANTI 05-04-1990 BIDAN PELAKSANA LULUS TIDAK LULUS TIDAK LULUS 172 617105190 8880003 172257 3784 66113000914 ARBA SUTOPO 19-08-1988 GURU SEJARAH PERTAMA ANALIS KEBIJAKAN PERTAMA LULUS TIDAK LULUS TIDAK LULUS 173 610201130 1910003 143605 1054 66113001444 ARDHIAN PRABARIANTO 13-01-1991 PRANATA KOMPUTER PERTAMA ANALIS KEBIJAKAN PERTAMA LULUS LULUS TIDAK LULUS 174 610104220 4910006 151884 5414 66113000725 ARI KURNIAWAN 22-04-1991 GURU MATEMATIKA PERTAMA ANALIS KEBIJAKAN PERTAMA LULUS TIDAK LULUS TIDAK LULUS 175 611201590 1920002 165677 8772 66113001421 ARI PRATIWI WAHYUNINGRUM 19-01-1992 GURU MATEMATIKA PERTAMA LULUS TIDAK LULUS TIDAK LULUS 176 617105500 2900008 100493 5697 66113000694 ARI PUJI ASTUTI 10-02-1990 GURU BAHASA INDONESIA PERTAMA LULUS TIDAK LULUS TIDAK LULUS
  • 10.
    NO NIK NO REGIST ER NO PESERTA NAMA TANGGAL LAHIR PILIHAN JABATAN 1 NAMA JABATAN 2 NAMA JABATAN 3 STATUS PILIHAN 1 STATUS PILIHAN 2 STATUS PILIHAN 3 177 617102480 8860001 202579 6143 66113001164 ARI PUJI JAYANTI 08-08-1986 GURU MATEMATIKA PERTAMA LULUS TIDAK LULUS TIDAK LULUS 178 610212220 5880001 122821 5168 66112000673 ARI RIANTO 22-05-1988 PENGADMINISTRASI UMUM PENYUSUN RISALAH LULUS LULUS TIDAK LULUS 179 611201441 2820009 113539 6031 66113001138 ARI SEBAWATI. S.PD 04-12-1982 GURU MATEMATIKA PERTAMA ANALIS KEBIJAKAN PERTAMA LULUS TIDAK LULUS TIDAK LULUS 180 617102520 9920014 169986 6081 66112000633 ARI SETIA HANDINI 12-09-1992 PENGADMINISTRASI UMUM PENYUSUN RISALAH LULUS LULUS TIDAK LULUS 181 617201120 6890001 154932 9512 66113001741 ARI WARDANA 12-06-1989 PRANATA KOMPUTER PERTAMA ANALIS KEBIJAKAN PERTAMA LULUS LULUS TIDAK LULUS 182 617105230 1880004 159673 2664 66113001608 ARI YUNALDI 23-01-1988 ANALIS KEBIJAKAN PERTAMA LULUS TIDAK LULUS TIDAK LULUS 183 611206420 6900002 165978 5022 66112000478 ARI YUNI ASTITI 02-06-1990 PERAWAT PELAKSANA LULUS TIDAK LULUS TIDAK LULUS 184 617102671 0910001 169097 7947 66113000938 ARIANI 27-10-1991 PEKERJA SOSIAL PERTAMA PENYULUH SOSIAL PERTAMA ANALIS KEBIJAKAN PERTAMA LULUS LULUS LULUS 185 611203161 2860005 177851 5838 66113000129 ARIANSAH 16-12-1986 GURU MATEMATIKA PERTAMA LULUS TIDAK LULUS TIDAK LULUS 186 317510011 0801001 131832 3175 66113000095 ARIANTO SIRINGORINGO 01-10-1980 PERENCANA PERTAMA ANALIS KERJASAMA DAN PERMODALAN PENYULUH KOPERASI LULUS LULUS LULUS 187 617101180 1880003 173906 5827 66113000969 ARIEF OBAJA 18-01-1988 ANALIS LAYANAN UMUM PENGAWAS KETENAGAKERJAAN PERTAMA PERANCANG PERUNDANG-UNDANGAN PERTAMA LULUS LULUS LULUS 188 617105171 0890002 209263 4650 66113000945 ARIEF PUTRA HERDINATA 17-10-1989 PENGAWAS KETENAGAKERJAAN PERTAMA PENGANTAR KERJA PERTAMA PERANCANG PERUNDANG-UNDANGAN PERTAMA LULUS LULUS LULUS 189 611201020 5890004 199431 9848 66113001170 ARIEF SETIAWAN 02-05-1989 GURU BAHASA INGGRIS PERTAMA SMP LULUS TIDAK LULUS TIDAK LULUS 190 617104020 8840005 105543 1119 66113001727 ARIES WIJAYANTO 02-08-1984 GURU SEJARAH PERTAMA LULUS TIDAK LULUS TIDAK LULUS 191 180210201 1850003 166608 7562 66113001792 ARIES YUNIAR 20-11-1985 PENGAWAS BIBIT TERNAK PERTAMA ANALIS KEBIJAKAN PERTAMA LULUS LULUS TIDAK LULUS 192 617103230 2910010 186953 5442 66113000570 ARIF DWI PUTRA 23-02-1991 PRANATA KOMPUTER PERTAMA ANALIS KEBIJAKAN PERTAMA LULUS LULUS TIDAK LULUS 193 611201180 1850001 157267 1715 66113000586 ARIF KURNIAWAN 18-01-1985 GURU BIOLOGI PERTAMA GURU IPA PERTAMA LULUS LULUS TIDAK LULUS 194 610417170 7870005 214639 2049 66112000595 ARIF PURWANTO 17-07-1987 VERIFIKATOR KEUANGAN LULUS TIDAK LULUS TIDAK LULUS 195 617105250 3860003 193949 8453 66112000819 ARIF TIRTANA, A.MD 25-03-1986 PENGADMINISTRASI UMUM PENYUSUN RISALAH LULUS LULUS TIDAK LULUS 196 611207280 3820002 188157 3157 66113000575 ARIFIN 28-03-1982 PERENCANA PERTAMA ANALIS ANGGARAN ANALIS KEBIJAKAN PERTAMA LULUS LULUS LULUS
  • 11.
    NO NIK NO REGIST ER NO PESERTA NAMA TANGGAL LAHIR PILIHAN JABATAN 1 NAMA JABATAN 2 NAMA JABATAN 3 STATUS PILIHAN 1 STATUS PILIHAN 2 STATUS PILIHAN 3 197 611201630 9900003 104810 6490 66113001563 ARINDA TRI WIGATI 23-09-1990 ANALIS KEBIJAKAN PERTAMA ANALIS ANGGARAN ANALIS KERJASAMA DAN PERMODALAN LULUS LULUS LULUS 198 617201581 0920002 152486 3416 66112000079 ARINDHA 18-10-1992 PERAWAT PELAKSANA LULUS TIDAK LULUS TIDAK LULUS 199 617105660 9880004 211729 1597 66113000705 ARINI WIRDA MALASARI 26-09-1988 GURU KIMIA PERTAMA ANALIS KEBIJAKAN PERTAMA LULUS TIDAK LULUS TIDAK LULUS 200 332410430 9890001 139667 5846 66112000751 ARIS ARDIYANI 03-09-1989 PERAWAT PELAKSANA LULUS TIDAK LULUS TIDAK LULUS 201 330910030 9840002 182732 2025 66113001908 ARIS BUDI SANTOSA 03-09-1984 GURU IPA PERTAMA GURU FISIKA PERTAMA ANALIS KEBIJAKAN PERTAMA LULUS LULUS TIDAK LULUS 202 617105010 2850009 134152 4089 66113001645 ARIS WARTIONO 01-02-1985 ANALIS KERJASAMA DAN PERMODALAN PERENCANA PERTAMA PENYULUH KOPERASI LULUS LULUS LULUS 203 617101700 6900003 157777 7980 66113001883 ARISTALIA YUNIARTI 30-06-1990 SANITARIAN PERTAMA ANALIS KEBIJAKAN PERTAMA LULUS TIDAK LULUS TIDAK LULUS 204 617105500 1900002 117600 7850 66112000536 ARIY PURWANTI 10-01-1989 PENGADMINISTRASI UMUM PENYUSUN RISALAH LULUS LULUS TIDAK LULUS 205 617102111 2850003 172452 1585 66113001381 ARIYANTO ALKADRIE 11-12-1985 TEKNIK JALAN DAN JEMBATAN PERTAMA ANALIS KEBIJAKAN PERTAMA LULUS LULUS TIDAK LULUS 206 611201660 3900004 169168 6249 66113000558 ARMI KARTIKA 26-03-1990 GURU MATEMATIKA PERTAMA ANALIS KEBIJAKAN PERTAMA LULUS TIDAK LULUS TIDAK LULUS 207 610104200 7890002 119047 1917 66113000312 ARPAN 20-07-1989 GURU SEJARAH PERTAMA ANALIS KEBIJAKAN PERTAMA LULUS TIDAK LULUS TIDAK LULUS 208 617101581 0910008 132485 2137 66113000759 ARVINA YULINDAR 18-10-1991 GURU FISIKA PERTAMA GURU IPA PERTAMA LULUS LULUS TIDAK LULUS 209 617101580 9900003 173918 8858 66112000738 ARY PURNAMA SARI 18-09-1990 VERIFIKATOR KEUANGAN LULUS TIDAK LULUS TIDAK LULUS 210 617101020 5860008 122479 9713 66113000731 AS'AD 02-05-1986 GURU BAHASA INDONESIA PERTAMA LULUS TIDAK LULUS TIDAK LULUS 211 611201011 0820007 115292 3577 66113000518 ASEP KURNIAWAN, SH 01-10-1982 PERANCANG PERUNDANG-UNDANGAN PERTAMA MEDIATOR HUBUNGAN INDUSTRIAL PERTAMA ANALIS KEBIJAKAN PERTAMA LULUS LULUS LULUS 212 611201520 8810009 113904 2990 66113001853 ASIAH 12-08-1981 ANALIS KEBIJAKAN PERTAMA LULUS TIDAK LULUS TIDAK LULUS 213 611203170 1860002 134917 0973 66113001449 ASLIASPANA 17-01-1986 PERANCANG PERUNDANG-UNDANGAN PERTAMA ANALIS KEBIJAKAN PERTAMA MEDIATOR HUBUNGAN INDUSTRIAL PERTAMA LULUS LULUS LULUS 214 611201101 0860010 114706 7628 66113000122 ASMADI 10-10-1986 ANALIS KEBIJAKAN PERTAMA LULUS TIDAK LULUS TIDAK LULUS 215 611203460 1880006 168881 5328 66113000641 ASMUDAH NUR QOMARIYAH 06-01-1988 ANALIS KEBIJAKAN PERTAMA LULUS TIDAK LULUS TIDAK LULUS 216 610903070 2850004 159677 7959 66113001262 ASMUNI RIADI 07-02-1985 GURU IPA PERTAMA GURU BIOLOGI PERTAMA ANALIS KEBIJAKAN PERTAMA LULUS LULUS TIDAK LULUS
  • 12.
    NO NIK NO REGIST ER NO PESERTA NAMA TANGGAL LAHIR PILIHAN JABATAN 1 NAMA JABATAN 2 NAMA JABATAN 3 STATUS PILIHAN 1 STATUS PILIHAN 2 STATUS PILIHAN 3 217 611205460 5900004 162098 5172 66112000496 ASNAH HARYANI 06-05-1990 BIDAN PELAKSANA LULUS TIDAK LULUS TIDAK LULUS 218 611201470 5850005 175618 1300 66113000275 ASNAWATI 07-05-1985 PERENCANA PERTAMA ANALIS ANGGARAN ANALIS KEBIJAKAN PERTAMA LULUS LULUS LULUS 219 617103501 2810016 163631 2049 66113000531 ASPARNI.AS, S.PD 10-12-1981 GURU MATEMATIKA PERTAMA ANALIS KEBIJAKAN PERTAMA LULUS TIDAK LULUS TIDAK LULUS 220 610501600 2810002 160534 1278 66112000851 ASRYANI SANTI 20-02-1981 PENGADMINISTRASI UMUM LULUS TIDAK LULUS TIDAK LULUS 221 617102420 9850001 152668 8889 66113001156 ASTERIA 02-09-1985 ANALIS KEBIJAKAN PERTAMA LULUS TIDAK LULUS TIDAK LULUS 222 611205660 8890002 152965 0675 66112000716 ASTI FURYANITA 26-08-1989 BIDAN PELAKSANA LULUS TIDAK LULUS TIDAK LULUS 223 617105490 9840001 123634 5911 66113001610 ASTI ROSWITA 09-09-1984 ANALIS KEBIJAKAN PERTAMA LULUS TIDAK LULUS TIDAK LULUS 224 611201450 9830008 132354 0618 66113000055 ASTRI 05-09-1983 PERENCANA PERTAMA PENYULUH KOPERASI ANALIS ANGGARAN LULUS LULUS LULUS 225 617103650 4880006 167079 3662 66113001467 ASTRID SEBAYANG 25-04-1988 ANALIS KEBIJAKAN PERTAMA PENGENDALI ORGANISME PENGGANGGU TUMBUHAN PERTAMA LULUS LULUS TIDAK LULUS 226 617102690 9860004 113486 8725 66112000530 ASTUTI 29-09-1986 BIDAN PELAKSANA LULUS TIDAK LULUS TIDAK LULUS 227 610806530 4930001 113419 5180 66112000277 ASYERA GERA 13-04-1993 PENGADMINISTRASI UMUM LULUS TIDAK LULUS TIDAK LULUS 228 617101540 4830010 153610 5009 66113001039 ATHIRAH,SE 14-04-1983 ANALIS KEBIJAKAN PERTAMA LULUS TIDAK LULUS TIDAK LULUS 229 327904611 1870001 140788 7823 66113001393 ATI HARTATI 21-11-1987 ANALIS KEBIJAKAN PERTAMA LULUS TIDAK LULUS TIDAK LULUS 230 617105580 7820011 145206 1386 66113001458 ATIKA DARA PRENSI 18-07-1982 ANALIS KEBIJAKAN PERTAMA LULUS TIDAK LULUS TIDAK LULUS 231 611201660 8900007 126054 6283 66113001799 ATMI AYU SISDAMANTRI 26-08-1990 TEKNIK PENYEHATAN LINGKUNGAN PERTAMA PENGAWAS LINGKUNGAN HIDUP PERTAMA ANALIS KEBIJAKAN PERTAMA LULUS LULUS LULUS 232 340111670 2860001 146629 9284 66113001702 ATUT BUDI LESTARI 27-02-1986 GURU BAHASA INGGRIS PERTAMA SMP GURU BAHASA INGGRIS PERTAMA SMA ANALIS KEBIJAKAN PERTAMA LULUS LULUS TIDAK LULUS 233 617101621 1910010 182476 9710 66112000562 AULIA CHAIRUNNISA 22-11-1991 BIDAN PELAKSANA LULUS TIDAK LULUS TIDAK LULUS 234 617205670 3910001 192268 8823 66113001270 AULIA HARMIYANTI, S.PD 27-03-1991 GURU BAHASA INGGRIS PERTAMA SMP GURU BAHASA INGGRIS PERTAMA SMA LULUS LULUS TIDAK LULUS 235 611201060 4880008 164411 8959 66113000336 AUNURRAHMAN 06-04-1988 PENGAWAS PERIKANAN PERTAMA ANALIS KEBIJAKAN PERTAMA LULUS LULUS TIDAK LULUS 236 617201160 6880001 156832 0238 66113000774 AWANG B. W 16-06-1988 PRANATA KOMPUTER PERTAMA ANALIS KEBIJAKAN PERTAMA LULUS LULUS TIDAK LULUS
  • 13.
    NO NIK NO REGIST ER NO PESERTA NAMA TANGGAL LAHIR PILIHAN JABATAN 1 NAMA JABATAN 2 NAMA JABATAN 3 STATUS PILIHAN 1 STATUS PILIHAN 2 STATUS PILIHAN 3 237 611207020 1830002 181160 2603 66113001241 AWANG KURNIAWAN,S.SOS 02-01-1983 ANALIS LAYANAN UMUM ANALIS KEBIJAKAN PERTAMA LULUS LULUS TIDAK LULUS 238 611209611 1930004 110760 5094 66112000557 AYU ANDIRA 21-11-1993 BIDAN PELAKSANA LULUS TIDAK LULUS TIDAK LULUS 239 610107431 2880003 206308 7314 66112000095 AYU FRADANASARI 03-12-1988 NUTRISIONIS PELAKSANA LULUS TIDAK LULUS TIDAK LULUS 240 617202630 6920001 199248 2299 66113001885 AYU GINTARI 23-06-1992 GURU SOSIOLOGI PERTAMA ANALIS KEBIJAKAN PERTAMA LULUS TIDAK LULUS TIDAK LULUS 241 617105450 7900001 117856 9777 66113000991 AYU KUSUMA WARDANI 05-07-1990 PENGAWAS KETENAGAKERJAAN PERTAMA PERANCANG PERUNDANG-UNDANGAN PERTAMA ANALIS KEBIJAKAN PERTAMA LULUS LULUS LULUS 242 610208520 5900001 119833 7911 66113000294 AYU MELLIYANI 12-05-1990 GURU MATEMATIKA PERTAMA LULUS TIDAK LULUS TIDAK LULUS 243 617105620 1900001 105494 7907 66112000735 AYU MURTIKA LARASATI, A.MD 22-01-1990 VERIFIKATOR KEUANGAN LULUS TIDAK LULUS TIDAK LULUS 244 617105661 2890007 203360 1111 66113000887 AYU PERMATA SARI 26-12-1989 ANALIS KEBIJAKAN PERTAMA LULUS TIDAK LULUS TIDAK LULUS 245 611208530 9890001 193121 9383 66112000209 AYU PUSPITASARI 13-09-1989 PERAWAT PELAKSANA LULUS TIDAK LULUS TIDAK LULUS 246 611201610 7900002 190190 5510 66112000804 AYU RAHAYU 21-07-1990 BIDAN PELAKSANA LULUS TIDAK LULUS TIDAK LULUS 247 617104570 9910004 165185 6767 66113000874 AYU SEFTYANINGTIAS 17-09-1991 GURU SEJARAH PERTAMA LULUS TIDAK LULUS TIDAK LULUS 248 610207550 9920001 141898 7580 66112000017 AYU SRI WAHYUNI 15-09-1992 NUTRISIONIS PELAKSANA LULUS TIDAK LULUS TIDAK LULUS 249 610102460 5910004 187157 3930 66112000162 AYU WANDIRA 06-05-1991 NUTRISIONIS PELAKSANA LULUS TIDAK LULUS TIDAK LULUS 250 611201540 8850014 129032 3913 66113001484 AYU WULANDARI 14-08-1985 GURU BAHASA INGGRIS PERTAMA SMP LULUS TIDAK LULUS TIDAK LULUS 251 617105201 0880001 190550 6228 66113000618 AZHARI 20-10-1988 TEKNIK JALAN DAN JEMBATAN PERTAMA LULUS TIDAK LULUS TIDAK LULUS 252 617105010 9830007 174663 4407 66112000520 AZLI 01-09-1983 PENGADMINISTRASI UMUM PENYUSUN RISALAH LULUS LULUS TIDAK LULUS 253 617105540 7880003 154668 9406 66113000536 AZLIATUL JANNAH 14-07-1988 GURU IPA PERTAMA GURU BIOLOGI PERTAMA ANALIS KEBIJAKAN PERTAMA LULUS LULUS TIDAK LULUS 254 611201090 5860011 176815 4456 66113001406 B. TIMOTIUS KUNZALI 09-05-1986 ANALIS KEBIJAKAN PERTAMA LULUS TIDAK LULUS TIDAK LULUS 255 611209461 2860004 103455 5593 66113001907 BADRIYEH 06-12-1986 PENGENDALI ORGANISME PENGGANGGU TUMBUHAN PERTAMA ANALIS KEBIJAKAN PERTAMA TIDAK LULUS LULUS TIDAK LULUS 256 617105050 3860014 190980 7101 66113001339 BAGUS PRASETYO 05-03-1986 ANALIS KEBIJAKAN PERTAMA LULUS TIDAK LULUS TIDAK LULUS
  • 14.
    NO NIK NO REGIST ER NO PESERTA NAMA TANGGAL LAHIR PILIHAN JABATAN 1 NAMA JABATAN 2 NAMA JABATAN 3 STATUS PILIHAN 1 STATUS PILIHAN 2 STATUS PILIHAN 3 257 611208060 7890002 133127 6565 66113000681 BAHARUDDIN 06-07-1989 GURU IPA PERTAMA GURU FISIKA PERTAMA ANALIS KEBIJAKAN PERTAMA LULUS LULUS TIDAK LULUS 258 610201060 1820001 167595 7487 66113000999 BAHARUDDIN, S. SOS. I 06-01-1982 ANALIS KEBIJAKAN PERTAMA LULUS TIDAK LULUS TIDAK LULUS 259 611205140 4890002 132309 8768 66112000359 BAHARUDIN 14-04-1989 PERAWAT PELAKSANA LULUS TIDAK LULUS TIDAK LULUS 260 610212421 1900001 129072 5812 66113001531 BAIRIYAH 02-11-1990 GURU BAHASA INGGRIS PERTAMA SMA GURU BAHASA INGGRIS PERTAMA SMP ANALIS KEBIJAKAN PERTAMA LULUS LULUS TIDAK LULUS 261 610301660 3860002 153044 4442 66113000276 BAKTI SETIAWATI 26-03-1986 PERENCANA PERTAMA ANALIS KEBIJAKAN PERTAMA ANALIS KERJASAMA DAN PERMODALAN LULUS LULUS LULUS 262 611203010 8920003 176646 9859 66113000643 BAMBANG ISWANTO 01-08-1992 PERENCANA PERTAMA ANALIS ANGGARAN ANALIS KERJASAMA DAN PERMODALAN LULUS LULUS LULUS 263 611207051 0900002 160301 6980 66113000650 BAMBANG SUKO WINARNO 05-10-1990 ANALIS KEBIJAKAN PERTAMA ANALIS LAYANAN UMUM LULUS LULUS TIDAK LULUS 264 617105620 7930003 182417 8283 66112000073 BANITIYA DWI PUSPITASARI 22-07-1993 NUTRISIONIS PELAKSANA LULUS TIDAK LULUS TIDAK LULUS 265 617106251 0860001 119383 1130 66113001213 BARRY CEASAR OKTARIADI 25-10-1986 PRANATA KOMPUTER PERTAMA ANALIS KEBIJAKAN PERTAMA LULUS LULUS TIDAK LULUS 266 210307060 6851005 176410 8638 66113001653 BARUNA PUTRA 06-06-1985 ANALIS LAYANAN UMUM ANALIS KEBIJAKAN PERTAMA LULUS LULUS TIDAK LULUS 267 617105250 3870002 157907 4878 66112000406 BAYU SETO WIBOWO 25-03-1987 PERAWAT PELAKSANA LULUS TIDAK LULUS TIDAK LULUS 268 617101070 2800022 137507 5614 66112000146 BAYU WIDIANARKO 07-02-1980 VERIFIKATOR KEUANGAN LULUS TIDAK LULUS TIDAK LULUS 269 610901480 3830002 152047 8250 66113000985 BEATA MILA MASLIN BANTALAGA 08-03-1983 ANALIS KEBIJAKAN PERTAMA LULUS TIDAK LULUS TIDAK LULUS 270 611207130 1940002 152088 4121 66112000514 BELLA HANDIKA PRASETYO 13-01-1994 PERAWAT PELAKSANA LULUS TIDAK LULUS TIDAK LULUS 271 617105070 3820004 115072 8733 66113001706 BENNY MURDANI 07-03-1982 PENYULUH KOPERASI ANALIS KERJASAMA DAN PERMODALAN ANALIS KEBIJAKAN PERTAMA LULUS LULUS LULUS 272 611201160 4800007 193146 4577 66113000936 BENNY TRIANTO 16-04-1980 ANALIS KEBIJAKAN PERTAMA ANALIS KERJASAMA DAN PERMODALAN PENYULUH KOPERASI LULUS LULUS LULUS 273 617104610 4860003 198552 7115 66113000987 BERNADETA SRI RAHAYU 21-04-1986 PERENCANA PERTAMA PENYULUH KOPERASI ANALIS KERJASAMA DAN PERMODALAN LULUS LULUS LULUS 274 610302181 2810001 198304 3585 66113000494 BERNADIUS NATALIANUS 18-12-1981 ANALIS KEBIJAKAN PERTAMA LULUS TIDAK LULUS TIDAK LULUS 275 610105221 0840005 194978 4323 66113001654 BERRY 22-10-1984 ANALIS KEBIJAKAN PERTAMA SURVEYOR PEMETAAN PERTAMA PENATA RUANG PERTAMA LULUS LULUS LULUS 276 617101440 1800006 189558 0557 66113001179 BERTHY ROSALINA PANJAITAN 04-01-1980 GURU MATEMATIKA PERTAMA ANALIS KEBIJAKAN PERTAMA LULUS TIDAK LULUS TIDAK LULUS
  • 15.
    NO NIK NO REGIST ER NO PESERTA NAMA TANGGAL LAHIR PILIHAN JABATAN 1 NAMA JABATAN 2 NAMA JABATAN 3 STATUS PILIHAN 1 STATUS PILIHAN 2 STATUS PILIHAN 3 277 611201080 6890006 171974 6455 66113001377 BERTO REKARAYA 08-06-1989 ANALIS KEBIJAKAN PERTAMA LULUS TIDAK LULUS TIDAK LULUS 278 617102431 2890007 188552 6824 66113001334 BETA RIZKI RASSANTI 03-12-1989 ANALIS KEBIJAKAN PERTAMA LULUS TIDAK LULUS TIDAK LULUS 279 610113580 3880004 204863 7694 66113001634 BETARIANA 18-03-1988 PERENCANA PERTAMA ANALIS ANGGARAN ANALIS KERJASAMA DAN PERMODALAN LULUS LULUS LULUS 280 611201240 4920006 209396 7611 66112000634 BISSERI MUSTOPA 24-04-1992 PERAWAT PELAKSANA LULUS TIDAK LULUS TIDAK LULUS 281 610104011 0900004 146790 2063 66113001561 BOB MAULIDAN ARUAN 01-10-1990 ANALIS KEBIJAKAN PERTAMA GURU MATEMATIKA PERTAMA TIDAK LULUS LULUS TIDAK LULUS 282 617105270 6850007 147962 5199 66113000225 BOBBY YUDHA ERLANGGA, SE 27-06-1985 ANALIS KEBIJAKAN PERTAMA LULUS TIDAK LULUS TIDAK LULUS 283 611201260 5840006 165258 9645 66113000417 BOBY KRISWIBOWO 26-05-1984 GURU BAHASA INDONESIA PERTAMA ANALIS KEBIJAKAN PERTAMA LULUS TIDAK LULUS TIDAK LULUS 284 610704101 1900002 199847 2227 66113000568 BONDAN NOVIANTO 10-11-1990 PRANATA KOMPUTER PERTAMA ANALIS KEBIJAKAN PERTAMA LULUS LULUS TIDAK LULUS 285 617105280 5870007 198179 5089 66113001696 BOY IRAWAN 28-05-1987 PENATA RUANG PERTAMA ANALIS KEBIJAKAN PERTAMA SURVEYOR PEMETAAN PERTAMA LULUS LULUS LULUS 286 617105200 5920011 167283 7548 66113001057 BOY RANGGA 20-05-1992 PENGAWAS LINGKUNGAN HIDUP PERTAMA PENGENDALI DAMPAK LINGKUNGAN PERTAMA ANALIS KEBIJAKAN PERTAMA LULUS LULUS LULUS 287 617105240 2860007 120373 3153 66113001344 BUDI ARI GUNAWAN 24-02-1986 PENATA RUANG PERTAMA SURVEYOR PEMETAAN PERTAMA ANALIS KEBIJAKAN PERTAMA LULUS LULUS LULUS 288 611201080 9850010 156484 2452 66113000858 BUDI PRANATA 08-09-1985 GURU SEJARAH PERTAMA LULUS TIDAK LULUS TIDAK LULUS 289 611206081 2810003 140720 1136 66113000472 BUDI Y S 08-12-1981 PERANCANG PERUNDANG-UNDANGAN PERTAMA ANALIS KEBIJAKAN PERTAMA PENGAWAS KETENAGAKERJAAN PERTAMA LULUS LULUS LULUS 290 610320220 7870001 193227 7592 66113000664 BUDIMAN 22-07-1987 PRANATA KOMPUTER PERTAMA ANALIS KEBIJAKAN PERTAMA LULUS LULUS TIDAK LULUS 291 617104170 2810002 191197 8928 66113000781 BUDIMAN 17-02-1981 ANALIS KEBIJAKAN PERTAMA SURVEYOR PEMETAAN PERTAMA PENATA RUANG PERTAMA LULUS LULUS LULUS 292 617101411 1810010 117753 6205 66113000379 BUNGA LISINIA 01-11-1981 ANALIS KEBIJAKAN PERTAMA LULUS TIDAK LULUS TIDAK LULUS 293 340401250 8820002 121507 3198 66113001715 C. AGENG BUDI NURCAHYO 25-08-1982 PENYULUH KOPERASI PERENCANA PERTAMA ANALIS KEBIJAKAN PERTAMA LULUS LULUS LULUS 294 610107710 8860002 210373 1002 66113000217 CAHRA TRISNAWATI, S.FAR.,APT 31-08-1986 APOTEKER PERTAMA LULUS TIDAK LULUS TIDAK LULUS 295 611201451 0870002 107574 3449 66113000738 CAHYA PRAMITA 05-10-1987 PRANATA KOMPUTER PERTAMA ANALIS KEBIJAKAN PERTAMA LULUS LULUS TIDAK LULUS 296 617103010 5860003 202528 5412 66113000883 CAHYO NUGROHO 01-05-1986 ANALIS KEBIJAKAN PERTAMA LULUS TIDAK LULUS TIDAK LULUS
  • 16.
    NO NIK NO REGIST ER NO PESERTA NAMA TANGGAL LAHIR PILIHAN JABATAN 1 NAMA JABATAN 2 NAMA JABATAN 3 STATUS PILIHAN 1 STATUS PILIHAN 2 STATUS PILIHAN 3 297 611201140 8910009 103712 7434 66113001621 CANDRA AGASTA 14-08-1991 ANALIS KEBIJAKAN PERTAMA LULUS TIDAK LULUS TIDAK LULUS 298 617103200 5860006 169687 8927 66113000778 CATUR RAMADHANI 30-05-1986 ANALIS KEBIJAKAN PERTAMA LULUS TIDAK LULUS TIDAK LULUS 299 611203211 0810001 194828 3046 66113001701 CATUR SASTRO HADI YANTO 21-10-1981 GURU BAHASA INGGRIS PERTAMA SMP GURU BAHASA INGGRIS PERTAMA SMA LULUS LULUS TIDAK LULUS 300 611209150 2850004 171925 1877 66113000273 CECEP BAYU NUR ALAM,SE 15-02-1985 PERENCANA PERTAMA ANALIS KEBIJAKAN PERTAMA ANALIS ANGGARAN LULUS LULUS LULUS 301 320523010 1840030 163320 0509 66113001394 CEP HILMAN, SP 01-01-1984 ANALIS KEBIJAKAN PERTAMA LULUS TIDAK LULUS TIDAK LULUS 302 610310540 9890003 172210 9779 66112000229 CH. MARIA EKAMISA 14-09-1989 PENGADMINISTRASI UMUM PENYUSUN RISALAH LULUS LULUS TIDAK LULUS 303 617102100 6880005 181091 3103 66113001671 CHAIRIL JOHANDIKA 10-06-1988 GURU SEJARAH PERTAMA ANALIS KEBIJAKAN PERTAMA LULUS TIDAK LULUS TIDAK LULUS 304 611201040 7900011 146227 9218 66113001678 CHAIRUL UMAM 04-07-1990 GURU IPA PERTAMA GURU BIOLOGI PERTAMA ANALIS KEBIJAKAN PERTAMA LULUS LULUS TIDAK LULUS 305 617103640 1870002 158792 1487 66113000395 CHAIRUN NISA 24-01-1987 GURU BAHASA INGGRIS PERTAMA SMP GURU BAHASA INGGRIS PERTAMA SMA ANALIS KEBIJAKAN PERTAMA LULUS LULUS TIDAK LULUS 306 617105520 2820027 168322 0754 66113001414 CHAIRUNNISYA 12-02-1982 ANALIS KEBIJAKAN PERTAMA LULUS TIDAK LULUS TIDAK LULUS 307 327508190 9800030 151765 8144 66113001577 CHANDRA ABRAR 19-09-1980 ANALIS KEBIJAKAN PERTAMA PENYULUH KOPERASI ANALIS KERJASAMA DAN PERMODALAN LULUS LULUS LULUS 308 210307060 6851006 141139 6971 66113001607 CHANDRA PUTRA 06-06-1985 ANALIS LAYANAN UMUM ANALIS KEBIJAKAN PERTAMA LULUS LULUS TIDAK LULUS 309 611209511 0880003 173037 0037 66113001254 CHECILIA L.A 11-10-1988 GURU SEJARAH PERTAMA ANALIS KEBIJAKAN PERTAMA LULUS TIDAK LULUS TIDAK LULUS 310 617103590 5850008 142429 1784 66112000368 CHICHI MUFIARA AWARDAMI 19-05-1985 PENGADMINISTRASI UMUM LULUS TIDAK LULUS TIDAK LULUS 311 617101460 5810014 195142 9244 66113000269 CHRISTAWURI PRISKILA HARYANTO 06-05-1981 ANALIS KEBIJAKAN PERTAMA LULUS TIDAK LULUS TIDAK LULUS 312 611201560 4870007 211714 0935 66113000511 CHRISTINE APRILLIA CORRY 16-04-1987 ANALIS KEBIJAKAN PERTAMA LULUS TIDAK LULUS TIDAK LULUS 313 617103550 6890012 183493 3535 66113000044 CIA MARDIA 15-06-1989 GURU MATEMATIKA PERTAMA LULUS TIDAK LULUS TIDAK LULUS 314 610504630 7940005 156197 0589 66112000537 CITRA AURELIA 23-07-1994 BIDAN PELAKSANA LULUS TIDAK LULUS TIDAK LULUS 315 611201521 1830010 213571 1119 66113000373 CITRA DEWI MAHARANI 12-11-1983 ANALIS KEBIJAKAN PERTAMA LULUS TIDAK LULUS TIDAK LULUS 316 617103661 1830014 202372 1330 66113000789 CITRA DWINOVA 26-11-1983 PRANATA KOMPUTER PERTAMA ANALIS KEBIJAKAN PERTAMA LULUS LULUS TIDAK LULUS
  • 17.
    NO NIK NO REGIST ER NO PESERTA NAMA TANGGAL LAHIR PILIHAN JABATAN 1 NAMA JABATAN 2 NAMA JABATAN 3 STATUS PILIHAN 1 STATUS PILIHAN 2 STATUS PILIHAN 3 317 617202560 6850003 150489 7326 66112000244 CITRA NURHANDAYANI 16-06-1985 BIDAN PELAKSANA LULUS TIDAK LULUS TIDAK LULUS 318 610207610 1910003 172810 8590 66113001514 CITRA UTAMI ARDHANINGTYAS 21-01-1991 GURU SEJARAH PERTAMA LULUS TIDAK LULUS TIDAK LULUS 319 617103530 8910008 214612 9557 66113000701 CRISTI VRIDA SITORUS 13-08-1991 GURU BAHASA INGGRIS PERTAMA SMP GURU BAHASA INGGRIS PERTAMA SMA ANALIS KEBIJAKAN PERTAMA LULUS LULUS TIDAK LULUS 320 611205460 5870004 211540 7236 66113000868 DAHLIA 06-05-1987 PERENCANA PERTAMA LULUS TIDAK LULUS TIDAK LULUS 321 611205180 3920003 111077 8936 66112000521 DAHRUL ULUM 18-03-1992 PERAWAT PELAKSANA LULUS TIDAK LULUS TIDAK LULUS 322 617101500 3870005 158462 3224 66112000462 DALU WARDHANY 10-03-1987 PENGADMINISTRASI UMUM LULUS TIDAK LULUS TIDAK LULUS 323 617101700 7870004 161331 7636 66113000901 DALUH INDAYANI, SH 31-07-1987 PERANCANG PERUNDANG-UNDANGAN PERTAMA ANALIS KEBIJAKAN PERTAMA PENGANTAR KERJA PERTAMA LULUS LULUS LULUS 324 617202600 9830004 204007 0028 66113001173 DAMAIYANTI 20-09-1983 ANALIS KEBIJAKAN PERTAMA LULUS TIDAK LULUS TIDAK LULUS 325 611209590 9850004 177382 7085 66113000917 DAMAYANTI 19-09-1985 GURU MATEMATIKA PERTAMA LULUS TIDAK LULUS TIDAK LULUS 326 611209510 3860008 201953 9898 66113000942 DAMAYANTI 11-03-1986 ANALIS KEBIJAKAN PERTAMA LULUS TIDAK LULUS TIDAK LULUS 327 617103650 5910010 202599 2410 66112000135 DAMAYANTI SINAGA 25-05-1991 BIDAN PELAKSANA LULUS TIDAK LULUS TIDAK LULUS 328 617104651 1870014 178879 1610 66113000563 DANA PRIHATINI 25-11-1987 GURU SEJARAH PERTAMA LULUS TIDAK LULUS TIDAK LULUS 329 610206310 7890002 130125 7664 66113001313 DANANG PRASETYO 31-07-1989 GURU SEJARAH PERTAMA LULUS TIDAK LULUS TIDAK LULUS 330 611207260 8920001 147808 8254 66112000727 DANIEL AGUSTA 26-08-1992 PERAWAT PELAKSANA LULUS TIDAK LULUS TIDAK LULUS 331 617103631 2870002 202449 8438 66113000003 DARLINAWATI 23-12-1987 GURU MATEMATIKA PERTAMA LULUS LULUS LULUS 332 520602471 0881004 154811 4934 66113001673 DARMAWATI 16-11-1989 GURU IPA PERTAMA LULUS TIDAK LULUS TIDAK LULUS 333 617101411 1820015 180690 8911 66113000921 DARNIATI 01-11-1982 GURU MATEMATIKA PERTAMA ANALIS KEBIJAKAN PERTAMA LULUS TIDAK LULUS TIDAK LULUS 334 332913280 5870002 174883 2795 66113001528 DARSONI 28-05-1987 GURU BAHASA INGGRIS PERTAMA SMP ANALIS KEBIJAKAN PERTAMA GURU BAHASA INGGRIS PERTAMA SMA LULUS TIDAK LULUS LULUS 335 610207451 2850003 211507 4789 66113000317 DARWANI 05-12-1985 GURU MATEMATIKA PERTAMA LULUS TIDAK LULUS TIDAK LULUS 336 610305671 0900001 198022 9894 66113000870 DAYANG EMA RAHMAWATI 27-10-1990 PERENCANA PERTAMA ANALIS ANGGARAN ANALIS KEBIJAKAN PERTAMA LULUS LULUS LULUS
  • 18.
    NO NIK NO REGIST ER NO PESERTA NAMA TANGGAL LAHIR PILIHAN JABATAN 1 NAMA JABATAN 2 NAMA JABATAN 3 STATUS PILIHAN 1 STATUS PILIHAN 2 STATUS PILIHAN 3 337 617105451 2830010 194751 9502 66113000779 DAYANG NINGSIH 05-12-1983 GURU MATEMATIKA PERTAMA LULUS TIDAK LULUS TIDAK LULUS 338 611201690 9880013 144243 1546 66113000169 DEASSY LISATRIANI SEI 29-09-1988 ANALIS KEBIJAKAN PERTAMA LULUS TIDAK LULUS TIDAK LULUS 339 611201611 0870006 151625 9996 66112000062 DEASY NUR RAHMAN OKTAVIYA 21-10-1987 BIDAN PELAKSANA LULUS TIDAK LULUS TIDAK LULUS 340 617102501 2860008 214127 1373 66113000135 DEASY SAGITA 10-12-1986 GURU BAHASA INGGRIS PERTAMA SMP GURU BAHASA INGGRIS PERTAMA SMA ANALIS KEBIJAKAN PERTAMA LULUS LULUS TIDAK LULUS 341 317203700 6910014 164590 8916 66113001839 DEBBY FERDIANA 30-06-1991 PERANCANG PERUNDANG-UNDANGAN PERTAMA MEDIATOR HUBUNGAN INDUSTRIAL PERTAMA ANALIS KEBIJAKAN PERTAMA LULUS LULUS LULUS 342 617103150 7890004 183295 3770 66113000086 DEBI 11-09-1989 TEKNIK JALAN DAN JEMBATAN PERTAMA ANALIS KEBIJAKAN PERTAMA LULUS LULUS TIDAK LULUS 343 611206201 2860003 176061 6017 66112000120 DEBI GUNAWAN 20-12-1986 PENYULUH PAJAK PELAKSANA LULUS TIDAK LULUS TIDAK LULUS 344 617101680 3890002 196096 8736 66112000103 DEBORA M. SIMANJUNTAK 28-03-1989 VERIFIKATOR KEUANGAN LULUS TIDAK LULUS TIDAK LULUS 345 617102560 1850002 130033 1948 66112000802 DEBY ARMINDA SARI, A.MD 16-01-1985 PENYUSUN RISALAH LULUS TIDAK LULUS TIDAK LULUS 346 617103460 8930009 146870 2474 66112000155 DEBY HIRAPURNAMA 06-08-1993 BIDAN PELAKSANA LULUS TIDAK LULUS TIDAK LULUS 347 617104211 0910009 199415 0931 66112000593 DECKY SUPRIYANTO 21-10-1991 PERAWAT PELAKSANA LULUS TIDAK LULUS TIDAK LULUS 348 617105060 4920004 151387 2380 66112000794 DEDDY FITRIYANSYAH 06-04-1992 PENGADMINISTRASI UMUM PENYUSUN RISALAH LULUS LULUS TIDAK LULUS 349 611201601 1920004 208833 8444 66112000256 DEDE SAPTIANA 20-11-1992 PERAWAT PELAKSANA LULUS TIDAK LULUS TIDAK LULUS 350 611209221 2930002 116140 5156 66112000749 DEDE SUJANA 21-12-1993 PENGAWAS KESELAMATAN PELAYARAN PELAKSANA LULUS TIDAK LULUS TIDAK LULUS 351 610113270 5900003 130078 6034 66113000444 DEDE SURYADI 27-05-1990 GURU FISIKA PERTAMA GURU IPA PERTAMA LULUS LULUS TIDAK LULUS 352 610112240 5910002 170744 0258 66113001530 DEDI SATIYA 24-05-1991 GURU IPA PERTAMA GURU BIOLOGI PERTAMA ANALIS KEBIJAKAN PERTAMA LULUS LULUS TIDAK LULUS 353 610307071 2880001 126208 1169 66113000740 DEDIANDREAS 07-12-1988 PEKERJA SOSIAL PERTAMA PENYULUH SOSIAL PERTAMA ANALIS KEBIJAKAN PERTAMA LULUS LULUS LULUS 354 611203071 1830002 191671 4773 66113001229 DEDY ARMAN,SH 07-11-1983 MEDIATOR HUBUNGAN INDUSTRIAL PERTAMA PENGAWAS KETENAGAKERJAAN PERTAMA PERANCANG PERUNDANG-UNDANGAN PERTAMA LULUS LULUS LULUS 355 610207281 2900006 207711 5990 66113000141 DEDY ASHARDI 28-12-1990 ANALIS KEBIJAKAN PERTAMA LULUS TIDAK LULUS TIDAK LULUS 356 617105121 0820002 186575 3345 66113000026 DEDY FAHRIAJI 12-10-1982 ANALIS KEBIJAKAN PERTAMA SURVEYOR PEMETAAN PERTAMA PENATA RUANG PERTAMA LULUS LULUS LULUS
  • 19.
    NO NIK NO REGIST ER NO PESERTA NAMA TANGGAL LAHIR PILIHAN JABATAN 1 NAMA JABATAN 2 NAMA JABATAN 3 STATUS PILIHAN 1 STATUS PILIHAN 2 STATUS PILIHAN 3 357 617101021 2850010 173456 8180 66113000479 DEDY WAHYU SAPUTRO 02-12-1985 ANALIS KEBIJAKAN PERTAMA LULUS TIDAK LULUS TIDAK LULUS 358 617105591 0800021 214480 9016 66113001226 DEKALUSANTI 19-10-1980 PRANATA KOMPUTER PERTAMA LULUS TIDAK LULUS TIDAK LULUS 359 617105141 1820003 177867 9476 66112000119 DEKY TAMARCE 14-11-1982 PENGADMINISTRASI UMUM PENYUSUN RISALAH LULUS LULUS TIDAK LULUS 360 617201521 2910003 176705 4774 66113001402 DELLY 12-12-1991 GURU FISIKA PERTAMA GURU IPA PERTAMA ANALIS KEBIJAKAN PERTAMA LULUS LULUS TIDAK LULUS 361 611201101 0900013 140960 7536 66113000388 DENDY PARTONO 10-10-1990 ANALIS KEPEGAWAIAN PERTAMA ANALIS KEPENDUDUKAN DAN PENCATATAN SIPIL ANALIS KEBIJAKAN PERTAMA LULUS LULUS LULUS 362 321605570 6840010 175967 6937 66113000027 DENI ANITA 17-06-1984 PERENCANA PERTAMA ANALIS ANGGARAN ANALIS KEBIJAKAN PERTAMA LULUS LULUS LULUS 363 611209040 1830004 206880 7845 66113000146 DENI HARIANTO, SH 04-01-1983 PENGAWAS KETENAGAKERJAAN PERTAMA ANALIS LAYANAN UMUM ANALIS KEBIJAKAN PERTAMA LULUS LULUS LULUS 364 611201041 1880002 201164 4815 66112000002 DENI NASRANI 04-11-1988 PERAWAT PELAKSANA LULUS LULUS LULUS 365 611204220 4890002 135089 0461 66112000264 DENI SUSANTO 22-04-1989 PERAWAT PELAKSANA LULUS TIDAK LULUS TIDAK LULUS 366 617102490 4900002 180586 4969 66113001851 DENYS MUTIARA GUSTI 09-04-1990 PRANATA KOMPUTER PERTAMA ANALIS KEBIJAKAN PERTAMA LULUS LULUS TIDAK LULUS 367 611201580 6820022 146318 9511 66112000400 DERMAWATI SIANIPAR 18-06-1982 PERAWAT PELAKSANA LULUS TIDAK LULUS TIDAK LULUS 368 617103110 1810010 143456 7754 66113001824 DERRY JANUARIZA, SH 11-01-1981 PENGANTAR KERJA PERTAMA PENGAWAS KETENAGAKERJAAN PERTAMA ANALIS KEBIJAKAN PERTAMA LULUS LULUS LULUS 369 617103480 2900007 207815 6632 66113000117 DERY DIAH SANTRIYANA 08-02-1990 PENGAWAS LINGKUNGAN HIDUP PERTAMA PENGENDALI DAMPAK LINGKUNGAN PERTAMA TEKNIK PENYEHATAN LINGKUNGAN PERTAMA LULUS LULUS LULUS 370 611201491 2900006 156797 2076 66113001047 DESI ANGRAINI 09-12-1990 ANALIS LAYANAN UMUM ANALIS KEBIJAKAN PERTAMA LULUS TIDAK LULUS LULUS 371 610215580 3890001 204634 2741 66113000453 DESI ANTIKA 18-03-1989 GURU MATEMATIKA PERTAMA ANALIS KEBIJAKAN PERTAMA LULUS TIDAK LULUS TIDAK LULUS 372 611209481 2890002 137118 0274 66113001181 DESI ASTUTI 08-12-1989 GURU SEJARAH PERTAMA LULUS TIDAK LULUS TIDAK LULUS 373 617105591 2890007 192067 4745 66112000401 DESI ASVIANI 19-12-1989 BIDAN PELAKSANA LULUS TIDAK LULUS TIDAK LULUS 374 617101451 0850005 207822 8135 66113001516 DESI FATIMAH 05-10-1985 GURU MATEMATIKA PERTAMA LULUS TIDAK LULUS TIDAK LULUS 375 610320591 2930001 156073 6626 66112000431 DESI FITRI PRATIWI 19-12-1993 BIDAN PELAKSANA LULUS TIDAK LULUS TIDAK LULUS 376 617105461 0870001 211149 9667 66112000734 DESI KOMALASARI, AMD.KEB 06-10-1987 BIDAN PELAKSANA LULUS TIDAK LULUS TIDAK LULUS
  • 20.
    NO NIK NO REGIST ER NO PESERTA NAMA TANGGAL LAHIR PILIHAN JABATAN 1 NAMA JABATAN 2 NAMA JABATAN 3 STATUS PILIHAN 1 STATUS PILIHAN 2 STATUS PILIHAN 3 377 617204651 2910001 178458 9977 66112000140 DESI KURNIAWATI 25-12-1991 NUTRISIONIS PELAKSANA LULUS TIDAK LULUS TIDAK LULUS 378 610201521 2870004 209262 7058 66112000170 DESI LISIANA 12-12-1987 NUTRISIONIS PELAKSANA LULUS TIDAK LULUS TIDAK LULUS 379 610104711 2860006 162883 1383 66112000693 DESI MUNIRA, AMD.KEP 31-12-1986 PERAWAT PELAKSANA LULUS TIDAK LULUS TIDAK LULUS 380 611205711 2910001 181749 7826 66112000836 DESI NOPITASARI 31-12-1991 BIDAN PELAKSANA LULUS TIDAK LULUS TIDAK LULUS 381 617105641 2890001 180871 3638 66113000822 DESI RAHAYU 24-12-1989 ANALIS KEBIJAKAN PERTAMA LULUS TIDAK LULUS TIDAK LULUS 382 610201500 1880002 122535 9706 66113001886 DESI RASYIDAH 10-01-1988 SANITARIAN PERTAMA ANALIS KEBIJAKAN PERTAMA LULUS TIDAK LULUS TIDAK LULUS 383 611201451 2870010 201836 3054 66112000427 DESI SUMANTRI, AMD. KEB 05-12-1987 BIDAN PELAKSANA LULUS TIDAK LULUS TIDAK LULUS 384 610113681 2890003 157008 5261 66113000821 DESI TRIANI 28-12-1989 ANALIS KEBIJAKAN PERTAMA LULUS TIDAK LULUS TIDAK LULUS 385 617104711 2850055 207830 0653 66113000299 DESILIA ELISABET 31-12-1985 GURU MATEMATIKA PERTAMA LULUS TIDAK LULUS TIDAK LULUS 386 611201451 2870009 141707 3846 66113001161 DESLI DIFA NORIA 05-12-1987 ANALIS KEBIJAKAN PERTAMA LULUS TIDAK LULUS TIDAK LULUS 387 617105481 2880012 121170 1240 66112000630 DESMINARTI 08-12-1988 BIDAN PELAKSANA LULUS TIDAK LULUS TIDAK LULUS 388 610713641 1860001 214615 6988 66112000474 DESSY CHRIS NATALIA 24-11-1986 PERAWAT PELAKSANA LULUS TIDAK LULUS TIDAK LULUS 389 611205431 2900004 148153 1143 66112000724 DESSY MULYANI 03-12-1990 NUTRISIONIS PELAKSANA LULUS TIDAK LULUS TIDAK LULUS 390 611209521 2860010 191470 3628 66113000881 DESTI DWI ASTUTI 12-12-1986 ANALIS KEBIJAKAN PERTAMA LULUS TIDAK LULUS TIDAK LULUS 391 611203071 2880004 181010 0180 66112000328 DESTIAN ARDINATA 07-12-1988 NUTRISIONIS PELAKSANA LULUS TIDAK LULUS TIDAK LULUS 392 340414421 2880001 190625 6880 66112000061 DESTIANA AFRIYANTI 02-12-1988 PERAWAT PELAKSANA LULUS TIDAK LULUS TIDAK LULUS 393 617105571 2860003 120277 0335 66113000959 DESTRI JAYANTI 17-12-1986 GURU MATEMATIKA PERTAMA LULUS TIDAK LULUS TIDAK LULUS 394 617105011 2840004 184523 4364 66113000105 DESTU WINDIPRIAWAN 01-12-1984 PERANCANG PERUNDANG-UNDANGAN PERTAMA MEDIATOR HUBUNGAN INDUSTRIAL PERTAMA ANALIS KEBIJAKAN PERTAMA LULUS LULUS LULUS 395 611201471 2870005 132028 6057 66113000201 DESY 07-12-1987 GURU MATEMATIKA PERTAMA LULUS TIDAK LULUS TIDAK LULUS 396 610417651 2860009 198950 8308 66113000148 DESY AMANASARI 25-12-1986 PERENCANA PERTAMA PENYULUH KOPERASI ANALIS ANGGARAN LULUS LULUS LULUS
  • 21.
    NO NIK NO REGIST ER NO PESERTA NAMA TANGGAL LAHIR PILIHAN JABATAN 1 NAMA JABATAN 2 NAMA JABATAN 3 STATUS PILIHAN 1 STATUS PILIHAN 2 STATUS PILIHAN 3 397 617102671 2850005 184301 7509 66112000234 DESY EKA LESTARI, A.MD. KEP 27-12-1985 PERAWAT PELAKSANA LULUS TIDAK LULUS TIDAK LULUS 398 617102411 2890002 102418 5466 66113001298 DESY FURWANTY 01-12-1989 ANALIS KEBIJAKAN PERTAMA LULUS TIDAK LULUS TIDAK LULUS 399 611209430 8850004 117373 4463 66113000929 DESY RACHMAWATI 03-08-1985 GURU KIMIA PERTAMA LULUS TIDAK LULUS TIDAK LULUS 400 617106421 2910003 154350 7563 66113000420 DESY SURYANA 02-12-1991 GURU SEJARAH PERTAMA LULUS TIDAK LULUS TIDAK LULUS 401 611203451 2920004 149999 0393 66113000839 DESY VITRIANA 05-12-1992 GURU MATEMATIKA PERTAMA LULUS TIDAK LULUS TIDAK LULUS 402 617101561 2860015 171097 9274 66113001833 DESY WAHYUNI 16-12-1986 ANALIS LAYANAN UMUM ANALIS KEBIJAKAN PERTAMA LULUS LULUS TIDAK LULUS 403 610201520 3930001 100515 1696 66112000104 DETA MARCHA AYUNDA WANING 12-03-1993 PENGADMINISTRASI UMUM LULUS TIDAK LULUS TIDAK LULUS 404 611201420 4910010 165069 5389 66113000512 DEVI AFRIANI 02-04-1991 ANALIS KEBIJAKAN PERTAMA ANALIS KERJASAMA DAN PERMODALAN PERENCANA PERTAMA LULUS LULUS LULUS 405 611209460 2900004 178633 0195 66113001327 DEVI ARISANTI 06-02-1990 GURU SOSIOLOGI PERTAMA LULUS TIDAK LULUS TIDAK LULUS 406 617102560 6870002 152014 6866 66113001766 DEVI ELIYANTI, S.PD 16-06-1987 GURU MATEMATIKA PERTAMA LULUS TIDAK LULUS TIDAK LULUS 407 610310650 5880002 191636 4071 66112000492 DEVI FITRIANI 25-05-1988 BIDAN PELAKSANA LULUS TIDAK LULUS TIDAK LULUS 408 611205550 7920002 142159 4985 66112000283 DEVI KARTIKA SARI 15-07-1993 BIDAN PELAKSANA LULUS TIDAK LULUS TIDAK LULUS 409 617101591 2900002 127266 3124 66113001731 DEVI NATALIA 19-12-1990 GURU BAHASA INGGRIS PERTAMA SMP LULUS TIDAK LULUS TIDAK LULUS 410 611201540 3890010 198589 9234 66112000082 DEVI NURBANI 14-03-1989 PERAWAT PELAKSANA LULUS TIDAK LULUS TIDAK LULUS 411 617103631 2890007 123812 0705 66113000597 DEVI PRAMITA 23-12-1989 GURU KIMIA PERTAMA LULUS TIDAK LULUS TIDAK LULUS 412 611205680 9900002 126878 1674 66112000862 DEVI YULIANTI 28-09-1990 BIDAN PELAKSANA LULUS TIDAK LULUS TIDAK LULUS 413 617103470 6900006 149590 1683 66112000869 DEVIA AYU WARDANI 07-06-1990 PENYUSUN RISALAH PENGADMINISTRASI UMUM LULUS LULUS TIDAK LULUS 414 617105690 7900006 140187 9917 66112000684 DEVIA DWI ASTUTI 29-07-1990 VERIFIKATOR KEUANGAN LULUS TIDAK LULUS TIDAK LULUS 415 617105420 5910007 159365 8033 66112000049 DEVY MEIVIRA PUTRI 02-05-1991 NUTRISIONIS PELAKSANA LULUS TIDAK LULUS TIDAK LULUS 416 611201590 8870003 168289 0798 66112000044 DEWI ANGGRENI 19-08-1987 NUTRISIONIS PELAKSANA LULUS TIDAK LULUS TIDAK LULUS
  • 22.
    NO NIK NO REGIST ER NO PESERTA NAMA TANGGAL LAHIR PILIHAN JABATAN 1 NAMA JABATAN 2 NAMA JABATAN 3 STATUS PILIHAN 1 STATUS PILIHAN 2 STATUS PILIHAN 3 417 611207700 8930001 189760 1142 66112000493 DEWI ASIYAH 30-08-1993 PERAWAT PELAKSANA LULUS TIDAK LULUS TIDAK LULUS 418 611201641 1920009 198932 9158 66113000011 DEWI AYU NINGSIH 24-11-1992 ANALIS ANGGARAN ANALIS KERJASAMA DAN PERMODALAN ANALIS KEBIJAKAN PERTAMA LULUS LULUS LULUS 419 127104711 0870003 176612 1564 66113001890 DEWI CHRISTINA SIJABAT 31-10-1987 PERENCANA PERTAMA PENYULUH KOPERASI ANALIS KEBIJAKAN PERTAMA LULUS LULUS LULUS 420 617105481 0900005 192358 3747 66113000660 DEWI CITRAWATI 08-10-1990 GURU SEJARAH PERTAMA ANALIS KEBIJAKAN PERTAMA LULUS TIDAK LULUS TIDAK LULUS 421 611201610 2800004 199968 6216 66113001217 DEWI FEBRIANTI 21-02-1980 PERENCANA PERTAMA ANALIS ANGGARAN ANALIS KERJASAMA DAN PERMODALAN LULUS LULUS LULUS 422 611207560 4910002 128978 5312 66112000048 DEWI FITRI ASTUTI 16-04-1991 BIDAN PELAKSANA LULUS TIDAK LULUS TIDAK LULUS 423 617101660 3840015 165162 5682 66112000458 DEWI HANDAYANI 26-03-1984 PENYUSUN RISALAH LULUS TIDAK LULUS TIDAK LULUS 424 611206601 0850002 184074 7176 66113001515 DEWI HIDAYATI 20-01-1985 PERENCANA PERTAMA ANALIS ANGGARAN ANALIS KERJASAMA DAN PERMODALAN LULUS LULUS LULUS 425 617103630 8840002 158428 1842 66112000657 DEWI JUNARTI AGUSTIN 23-08-1984 PENGADMINISTRASI UMUM PENYUSUN RISALAH LULUS LULUS TIDAK LULUS 426 610208490 9120001 117644 4417 66113001680 DEWI KURNIATI 10-10-1984 PRANATA KOMPUTER PERTAMA ANALIS KEBIJAKAN PERTAMA LULUS LULUS TIDAK LULUS 427 611201540 7910012 166123 8549 66112000418 DEWI LESTARI 14-07-1991 BIDAN PELAKSANA LULUS TIDAK LULUS TIDAK LULUS 428 611105560 4900002 157123 6338 66113001644 DEWI MAESAROH 16-04-1990 ANALIS ANGGARAN ANALIS KERJASAMA DAN PERMODALAN PENYULUH KOPERASI LULUS LULUS LULUS 429 617103670 2810004 170221 9256 66113000837 DEWI MARIYANI 27-02-1981 GURU MATEMATIKA PERTAMA ANALIS KEBIJAKAN PERTAMA LULUS TIDAK LULUS TIDAK LULUS 430 617102620 3850005 194553 4227 66113001052 DEWI MARLISA, SH 22-03-1985 PERANCANG PERUNDANG-UNDANGAN PERTAMA PENGAWAS KETENAGAKERJAAN PERTAMA MEDIATOR HUBUNGAN INDUSTRIAL PERTAMA LULUS LULUS LULUS 431 617105621 1810003 101694 4842 66113000973 DEWI NOVAEMI 22-11-1981 PERENCANA PERTAMA PENYULUH KOPERASI ANALIS KEBIJAKAN PERTAMA LULUS LULUS LULUS 432 617103701 1850005 133088 5092 66113001210 DEWI NOVIANTI 30-11-1985 TEKNIK PENYEHATAN LINGKUNGAN PERTAMA PENGAWAS LINGKUNGAN HIDUP PERTAMA PENGENDALI DAMPAK LINGKUNGAN PERTAMA LULUS LULUS LULUS 433 352216701 0890004 175977 9049 66113000328 DEWI PERMATASARI 30-10-1989 ANALIS KEBIJAKAN PERTAMA GURU BAHASA INDONESIA PERTAMA TIDAK LULUS LULUS TIDAK LULUS 434 611209651 1900005 109410 9496 66113000196 DEWI PURNAMASARI 25-11-1990 GURU SEJARAH PERTAMA ANALIS KEBIJAKAN PERTAMA LULUS TIDAK LULUS TIDAK LULUS 435 617103590 3880003 176579 5714 66112000737 DEWI PURWANTI, A.MD 19-03-1988 PENGADMINISTRASI UMUM PENYUSUN RISALAH LULUS LULUS TIDAK LULUS 436 617105690 6880002 152595 6858 66112000626 DEWI RAHMAWATI, AMD.KEB 29-06-1988 BIDAN PELAKSANA LULUS TIDAK LULUS TIDAK LULUS
  • 23.
    NO NIK NO REGIST ER NO PESERTA NAMA TANGGAL LAHIR PILIHAN JABATAN 1 NAMA JABATAN 2 NAMA JABATAN 3 STATUS PILIHAN 1 STATUS PILIHAN 2 STATUS PILIHAN 3 437 617103630 8850016 141634 2366 66113000467 DEWI RATNA KUSUMAH 23-08-1985 GURU MATEMATIKA PERTAMA ANALIS KEBIJAKAN PERTAMA LULUS TIDAK LULUS TIDAK LULUS 438 617105701 1870002 158410 8288 66113000596 DEWI RETNO, S.PD. 30-11-1987 GURU MATEMATIKA PERTAMA LULUS TIDAK LULUS TIDAK LULUS 439 617105521 2810014 172620 7229 66113000118 DEWI SARTIKA 12-12-1981 ANALIS KEBIJAKAN PERTAMA LULUS TIDAK LULUS TIDAK LULUS 440 617103660 5820001 150339 7233 66113001470 DEWI SARTIKA 26-05-1982 GURU MATEMATIKA PERTAMA ANALIS KEBIJAKAN PERTAMA LULUS TIDAK LULUS TIDAK LULUS 441 611201640 9910002 164501 9092 66113000477 DEWI SEPTIYANI 24-09-1991 ANALIS KEBIJAKAN PERTAMA LULUS TIDAK LULUS TIDAK LULUS 442 617101550 2840013 181434 5562 66113001817 DEWI SRI HARTINI 15-02-1984 ANALIS KEBIJAKAN PERTAMA ANALIS ANGGARAN ANALIS KERJASAMA DAN PERMODALAN LULUS LULUS LULUS 443 611201480 2830010 187636 4321 66112000874 DEWI SUMARNI 08-02-1982 PENGADMINISTRASI UMUM LULUS TIDAK LULUS TIDAK LULUS 444 611207681 2900003 150343 9632 66112000326 DEWI SUSANTI 28-12-1990 PERAWAT PELAKSANA LULUS TIDAK LULUS TIDAK LULUS 445 617103621 0850001 160289 6725 66113000539 DEWI SYAFRIATY 22-10-1985 APOTEKER PERTAMA ANALIS KEBIJAKAN PERTAMA LULUS TIDAK LULUS TIDAK LULUS 446 617201461 2920002 108518 9566 66112000030 DEWI SYAHARA 06-12-1992 BIDAN PELAKSANA LULUS TIDAK LULUS TIDAK LULUS 447 110206560 3920002 130892 4012 66112000373 DEWITA SARI 16-03-1992 BIDAN PELAKSANA LULUS TIDAK LULUS TIDAK LULUS 448 617105520 4920003 209787 7401 66113000459 DHANTY FITRIANTY 12-04-1992 GURU MATEMATIKA PERTAMA LULUS TIDAK LULUS TIDAK LULUS 449 617102250 7910004 207383 5123 66112000335 DHEAN ANDHIKA PUTRA 25-07-1991 PENGAWAS KESELAMATAN PELAYARAN PELAKSANA LULUS TIDAK LULUS TIDAK LULUS 450 611206270 9910003 203280 5975 66112000058 DHENI ARIPIN 27-09-1991 PERAWAT PELAKSANA LULUS TIDAK LULUS TIDAK LULUS 451 611201510 6890009 173112 6927 66113001457 DHORIEFAH NISWAH ELFIDAA 11-06-1989 ANALIS ANGGARAN PERENCANA PERTAMA ANALIS KEBIJAKAN PERTAMA LULUS LULUS LULUS 452 617103510 3930011 154145 6290 66112000421 DIA PRISTI ERTIANTI 11-03-1993 NUTRISIONIS PELAKSANA LULUS TIDAK LULUS TIDAK LULUS 453 611201461 1790011 197914 1100 66113001233 DIAH ASMARA INDAH 06-11-1979 PRANATA KOMPUTER PERTAMA LULUS TIDAK LULUS TIDAK LULUS 454 611209481 2920001 213696 2670 66113001139 DIAH BUDIARTI 08-12-1992 GURU MATEMATIKA PERTAMA LULUS TIDAK LULUS TIDAK LULUS 455 611201701 2890005 185817 0855 66112000472 DIAH EKA DESVIRA 30-12-1989 BIDAN PELAKSANA LULUS TIDAK LULUS TIDAK LULUS 456 617201660 2910001 181688 7890 66113001055 DIAH LESTARI 26-02-1991 ANALIS ANGGARAN PENYULUH KOPERASI PERENCANA PERTAMA LULUS LULUS LULUS
  • 24.
    NO NIK NO REGIST ER NO PESERTA NAMA TANGGAL LAHIR PILIHAN JABATAN 1 NAMA JABATAN 2 NAMA JABATAN 3 STATUS PILIHAN 1 STATUS PILIHAN 2 STATUS PILIHAN 3 457 617103460 3800016 190390 1488 66113001880 DIAH RETNA LESTARI, S.PD 06-03-1980 GURU SEJARAH PERTAMA ANALIS KEBIJAKAN PERTAMA LULUS TIDAK LULUS TIDAK LULUS 458 611201411 2870006 201308 8096 66113001729 DIAH RINDANI 01-12-1987 GURU MATEMATIKA PERTAMA ANALIS KEBIJAKAN PERTAMA LULUS TIDAK LULUS TIDAK LULUS 459 617105650 3800002 153064 5181 66113000932 DIAH SRI REZEKI HARNUM 25-03-1980 PENATA RUANG PERTAMA SURVEYOR PEMETAAN PERTAMA ANALIS KEBIJAKAN PERTAMA LULUS LULUS LULUS 460 617103191 0800008 123460 2372 66112000481 DIAN AKBAR RAHMADDIN,A.MD 19-10-1980 PENGADMINISTRASI UMUM PENYUSUN RISALAH LULUS LULUS TIDAK LULUS 461 610307640 6930001 155216 9223 66112000282 DIAN ARBIANTI 24-06-1993 BIDAN PELAKSANA LULUS TIDAK LULUS TIDAK LULUS 462 617101280 7910003 149545 6650 66113000571 DIAN ARFIANTO 28-07-1991 SURVEYOR PEMETAAN PERTAMA PENATA RUANG PERTAMA ANALIS KEBIJAKAN PERTAMA LULUS LULUS LULUS 463 617104630 8870006 103438 3978 66112000311 DIAN ARINI SUKMA 23-08-1987 PERAWAT PELAKSANA LULUS TIDAK LULUS TIDAK LULUS 464 617204680 1930001 156245 3959 66112000117 DIAN ARIYANI 28-01-1993 PENGADMINISTRASI UMUM PENYUSUN RISALAH LULUS LULUS TIDAK LULUS 465 617103540 6820009 198752 6529 66113001355 DIAN EKAWATI,SH 14-06-1982 PENGANTAR KERJA PERTAMA MEDIATOR HUBUNGAN INDUSTRIAL PERTAMA PENGAWAS KETENAGAKERJAAN PERTAMA LULUS LULUS LULUS 466 610416410 8920005 102726 7789 66112000052 DIAN GUSMI ARNI 01-08-1992 NUTRISIONIS PELAKSANA LULUS TIDAK LULUS TIDAK LULUS 467 610208571 2830004 137033 1631 66112000790 DIAN MAULINA 17-12-1983 PENGADMINISTRASI UMUM LULUS TIDAK LULUS TIDAK LULUS 468 611201630 5860008 119803 6236 66113000180 DIAN PISESHA 23-05-1986 PRANATA KOMPUTER PERTAMA ANALIS KEBIJAKAN PERTAMA LULUS LULUS TIDAK LULUS 469 617105670 8890007 186287 4372 66113000853 DIAN PURNAMA SARI 27-08-1989 GURU SEJARAH PERTAMA LULUS TIDAK LULUS TIDAK LULUS 470 611201470 2930014 154788 4799 66112000090 DIAN PURNAMASARI 07-02-1993 PENGADMINISTRASI UMUM PENYUSUN RISALAH LULUS LULUS TIDAK LULUS 471 611201700 1910011 190699 9761 66113000038 DIAN PUSPITA SARI 30-01-1991 GURU IPA PERTAMA GURU FISIKA PERTAMA ANALIS KEBIJAKAN PERTAMA LULUS LULUS TIDAK LULUS 472 617101491 0820017 209750 8586 66113001172 DIAN RAHAYU 09-10-1982 PERENCANA PERTAMA PENYULUH KOPERASI ANALIS KEBIJAKAN PERTAMA LULUS LULUS LULUS 473 617202420 7900001 107181 3824 66112000189 DIAN RIZKIANA 02-07-1990 BIDAN PELAKSANA LULUS TIDAK LULUS TIDAK LULUS 474 617202630 9900001 123284 3076 66113000875 DIAN SARTIKA 23-09-1990 APOTEKER PERTAMA ANALIS KEBIJAKAN PERTAMA LULUS TIDAK LULUS TIDAK LULUS 475 611201561 1830005 171822 9253 66112000625 DIAN SHINTA WAHYUNI 16-11-1983 PENGADMINISTRASI UMUM PENYUSUN RISALAH LULUS LULUS TIDAK LULUS 476 617101460 5910006 171107 4121 66113001185 DIAN TRI PUTRIANTY 06-05-1991 ANALIS KEBIJAKAN PERTAMA LULUS TIDAK LULUS TIDAK LULUS
  • 25.
    NO NIK NO REGIST ER NO PESERTA NAMA TANGGAL LAHIR PILIHAN JABATAN 1 NAMA JABATAN 2 NAMA JABATAN 3 STATUS PILIHAN 1 STATUS PILIHAN 2 STATUS PILIHAN 3 477 610102500 1920006 127445 2836 66112000405 DIAN YUDISTIKA 10-01-1992 PERAWAT PELAKSANA LULUS TIDAK LULUS TIDAK LULUS 478 610113480 1890001 156258 5088 66113001699 DIANA 08-01-1989 ANALIS KEBIJAKAN PERTAMA GURU MATEMATIKA PERTAMA TIDAK LULUS LULUS TIDAK LULUS 479 617101480 8810009 108736 2348 66113001202 DIANA FITRIANI 08-08-1981 ANALIS KEBIJAKAN PERTAMA LULUS TIDAK LULUS TIDAK LULUS 480 611201461 0860012 140392 5382 66113001416 DIANA STEVANI SITEPU 06-10-1986 ANALIS KEBIJAKAN PERTAMA LULUS TIDAK LULUS TIDAK LULUS 481 617103190 4830010 193497 5261 66112000878 DIDI KURNIAWAN 19-04-1983 PENGADMINISTRASI UMUM PENYUSUN RISALAH LULUS LULUS TIDAK LULUS 482 350709010 2910005 213305 2651 66113001271 DIDIK CAHYONO 01-02-1991 GURU IPA PERTAMA GURU FISIKA PERTAMA LULUS LULUS TIDAK LULUS 483 610310220 3820001 138914 9080 66113000639 DIDIMUS BENO SIBARANI 22-03-1982 ANALIS KEBIJAKAN PERTAMA LULUS TIDAK LULUS TIDAK LULUS 484 617101051 2860005 144146 0582 66113001378 DIDIN SUNARSO 05-12-1986 ANALIS KEBIJAKAN PERTAMA ANALIS ANGGARAN PENYULUH KOPERASI LULUS LULUS LULUS 485 617101490 2880011 191624 1656 66113001565 DIEN INDAH PUSPITASARI 09-02-1988 ANALIS LAYANAN UMUM ANALIS KEBIJAKAN PERTAMA LULUS LULUS TIDAK LULUS 486 611201020 3910002 128125 2059 66113000233 DIKSI MANDALA 02-03-1991 PERENCANA PERTAMA ANALIS ANGGARAN ANALIS KERJASAMA DAN PERMODALAN LULUS LULUS LULUS 487 611201301 0900009 209151 2083 66113000733 DIMAS OKTA PUJIARTO 31-10-1990 PERENCANA PERTAMA PENYULUH KOPERASI ANALIS KERJASAMA DAN PERMODALAN LULUS LULUS LULUS 488 617103480 1870002 206105 4530 66113000185 DINA DEFIANTI 08-01-1987 GURU BAHASA INGGRIS PERTAMA SMP GURU BAHASA INGGRIS PERTAMA SMA ANALIS KEBIJAKAN PERTAMA LULUS LULUS TIDAK LULUS 489 611201420 2890014 168598 5249 66113001182 DINA FEBRIANTI 02-02-1989 GURU MATEMATIKA PERTAMA LULUS TIDAK LULUS TIDAK LULUS 490 617102531 2800005 141846 9036 66113000785 DINA MARIANA 13-12-1980 PEKERJA SOSIAL PERTAMA PENYULUH SOSIAL PERTAMA ANALIS KEBIJAKAN PERTAMA LULUS LULUS LULUS 491 611209690 2920001 166514 1578 66113000476 DINA NURDIANA 29-02-1992 PENGAWAS KETENAGAKERJAAN PERTAMA PENGANTAR KERJA PERTAMA ANALIS LAYANAN UMUM LULUS LULUS LULUS 492 611201691 0890007 147142 8952 66113000339 DINA OKTOPANI 29-10-1989 ANALIS KEBIJAKAN PERTAMA LULUS TIDAK LULUS TIDAK LULUS 493 617101450 9930003 157957 1822 66112000629 DINA SEPTIANA 05-09-1993 PENYUSUN RISALAH PENGADMINISTRASI UMUM LULUS LULUS TIDAK LULUS 494 610201700 4850001 164435 8003 66113000362 DINA YUSPITASARI 30-04-1985 APOTEKER PERTAMA LULUS TIDAK LULUS TIDAK LULUS 495 617102521 2830004 100038 5231 66113001341 DINI AWALIAH 12-12-1983 PENATA RUANG PERTAMA SURVEYOR PEMETAAN PERTAMA ANALIS KEBIJAKAN PERTAMA LULUS LULUS LULUS 496 617103630 9870012 148358 1679 66113000577 DINI KARISMA 23-09-1987 ANALIS KEBIJAKAN PERTAMA LULUS TIDAK LULUS TIDAK LULUS
  • 26.
    NO NIK NO REGIST ER NO PESERTA NAMA TANGGAL LAHIR PILIHAN JABATAN 1 NAMA JABATAN 2 NAMA JABATAN 3 STATUS PILIHAN 1 STATUS PILIHAN 2 STATUS PILIHAN 3 497 617205660 8900002 163390 1288 66113000347 DINI PANGESTU 26-08-1990 TEKNIK PENYEHATAN LINGKUNGAN PERTAMA PENGAWAS LINGKUNGAN HIDUP PERTAMA ANALIS KEBIJAKAN PERTAMA LULUS LULUS LULUS 498 611201690 1910001 106232 3842 66112000086 DINNY NURLINDRIANI 29-01-1991 PENGADMINISTRASI UMUM PENYUSUN RISALAH LULUS LULUS TIDAK LULUS 499 611201530 9890002 131845 4335 66112000069 DINY SEFVYANTI 13-09-1989 PERAWAT PELAKSANA LULUS TIDAK LULUS TIDAK LULUS 500 611209680 2910003 201266 9352 66113000761 DITA ILVIANA 28-04-1991 GURU SEJARAH PERTAMA ANALIS KEBIJAKAN PERTAMA LULUS TIDAK LULUS TIDAK LULUS 501 160705660 4910004 152182 0165 66113001212 DITA WORO APRIANI 26-04-1991 GURU BAHASA INGGRIS PERTAMA SMA GURU BAHASA INGGRIS PERTAMA SMP ANALIS KEBIJAKAN PERTAMA LULUS LULUS TIDAK LULUS 502 350306431 1840005 155251 4541 66113001118 DIYAH RODHIATI SOFWAN 03-11-1984 PRANATA HUBUNGAN MASYARAKAT PERTAMA ANALIS KEBIJAKAN PERTAMA LULUS LULUS TIDAK LULUS 503 617102160 5820007 149077 3239 66112000355 DJAUHAR ARIFI AMD SSI 16-05-1982 PRANATA LABORATORIUM KESEHATAN PERTAMA LULUS TIDAK LULUS TIDAK LULUS 504 610310280 8920001 212090 5662 66112000279 DODI MAHARESTU 28-08-1992 PERAWAT PELAKSANA LULUS TIDAK LULUS TIDAK LULUS 505 611201061 0870007 107639 6464 66113001761 DODI ROJAYA BASRI 06-10-1987 GURU MATEMATIKA PERTAMA LULUS TIDAK LULUS TIDAK LULUS 506 617101080 6880015 103635 9423 66113000948 DODY IRAWAN 08-06-1988 ANALIS KEBIJAKAN PERTAMA LULUS TIDAK LULUS TIDAK LULUS 507 611207231 0880002 126304 6109 66113001242 DOMINIUS GERODA GAPUN 23-10-1988 PRANATA KOMPUTER PERTAMA LULUS TIDAK LULUS TIDAK LULUS 508 617202670 2890001 189634 5184 66112000723 DONA DORISA 27-02-1989 NUTRISIONIS PELAKSANA LULUS TIDAK LULUS TIDAK LULUS 509 610804110 1860003 113472 7893 66113000519 DONALD HERI DWI WAHYUDI 11-01-1986 PERANCANG PERUNDANG-UNDANGAN PERTAMA PENGAWAS KETENAGAKERJAAN PERTAMA MEDIATOR HUBUNGAN INDUSTRIAL PERTAMA LULUS LULUS LULUS 510 611201710 7870007 129528 5244 66113000566 DONATA RIKE 31-07-1987 SANITARIAN PERTAMA ANALIS KEBIJAKAN PERTAMA LULUS TIDAK LULUS TIDAK LULUS 511 610208141 1840005 191737 5934 66113000729 DONI RAMLI 14-11-1984 GURU BAHASA INGGRIS PERTAMA SMP GURU BAHASA INGGRIS PERTAMA SMA ANALIS KEBIJAKAN PERTAMA LULUS LULUS TIDAK LULUS 512 617105100 2810006 212846 8856 66113000053 DONNY FIBRYADI 10-02-1981 ANALIS KEBIJAKAN PERTAMA LULUS TIDAK LULUS TIDAK LULUS 513 617103540 5810007 159571 6905 66112000508 DUWI MARIANTI 14-05-1981 PENGADMINISTRASI UMUM LULUS TIDAK LULUS TIDAK LULUS 514 617103530 9880002 136349 6456 66112000362 DUWI SOFIANA 13-09-1988 NUTRISIONIS PELAKSANA LULUS TIDAK LULUS TIDAK LULUS 515 611201690 8890009 165518 0699 66113000047 DWI AQQUI ALNI 29-08-1989 PERENCANA PERTAMA LULUS TIDAK LULUS TIDAK LULUS 516 611209580 8890008 168270 3957 66113001189 DWI ARDHINI MERDEKA PUTRI 18-08-1989 GURU SEJARAH PERTAMA ANALIS KEBIJAKAN PERTAMA LULUS TIDAK LULUS TIDAK LULUS
  • 27.
    NO NIK NO REGIST ER NO PESERTA NAMA TANGGAL LAHIR PILIHAN JABATAN 1 NAMA JABATAN 2 NAMA JABATAN 3 STATUS PILIHAN 1 STATUS PILIHAN 2 STATUS PILIHAN 3 517 617101420 3920005 190446 4161 66113000200 DWI ASTUTI 02-03-1992 GURU MATEMATIKA PERTAMA ANALIS KEBIJAKAN PERTAMA LULUS TIDAK LULUS TIDAK LULUS 518 617103450 5890004 144988 8635 66113000332 DWI FITRIANA 05-05-1989 GURU SEJARAH PERTAMA ANALIS KEBIJAKAN PERTAMA LULUS TIDAK LULUS TIDAK LULUS 519 617102430 3900007 188782 4661 66112000270 DWI HANDAYANI 03-03-1990 PERAWAT PELAKSANA LULUS TIDAK LULUS TIDAK LULUS 520 611201280 8890009 174930 1007 66113000583 DWI INDRIANTO NUGROHO 28-08-1989 GURU SEJARAH PERTAMA LULUS TIDAK LULUS TIDAK LULUS 521 617106630 3870002 162458 8394 66113000992 DWI JAYANTI, SP 23-03-1987 PENGENDALI ORGANISME PENGGANGGU TUMBUHAN PERTAMA ANALIS KEBIJAKAN PERTAMA LULUS LULUS TIDAK LULUS 522 611201010 7870255 108828 4662 66112000705 DWI KUKUH WIBOWO 01-07-1987 PENGADMINISTRASI UMUM PENYUSUN RISALAH LULUS LULUS TIDAK LULUS 523 611201641 2900001 171562 9206 66113000561 DWI KURNIAWATI 24-12-1990 GURU KIMIA PERTAMA ANALIS KEBIJAKAN PERTAMA LULUS TIDAK LULUS TIDAK LULUS 524 611002520 1920002 204760 6029 66112000378 DWI LESTARI 12-01-1992 BIDAN PELAKSANA LULUS TIDAK LULUS TIDAK LULUS 525 617103470 3920004 150725 8470 66113000466 DWI MERCHIANA HADITYA 07-03-1992 GURU MATEMATIKA PERTAMA LULUS TIDAK LULUS TIDAK LULUS 526 617101570 8810009 101919 1170 66113001435 DWI MERDEKAWATI 17-08-1981 PENYULUH KOPERASI PERENCANA PERTAMA ANALIS KEBIJAKAN PERTAMA LULUS LULUS LULUS 527 617103131 0840007 208950 6005 66113001847 DWI OKTARIANTO UTOMO 13-10-1984 ANALIS KEBIJAKAN PERTAMA LULUS TIDAK LULUS TIDAK LULUS 528 611203521 2910003 214649 1071 66112000865 DWI PRAMUJIARTI 12-12-1991 PENGADMINISTRASI UMUM PENYUSUN RISALAH LULUS LULUS TIDAK LULUS 529 610201420 2870001 209563 0725 66113000042 DWI PRATIWI 02-02-1987 GURU MATEMATIKA PERTAMA LULUS TIDAK LULUS TIDAK LULUS 530 610307290 8890001 150543 2723 66113001473 DWI PURNAMA PUTRA 29-08-1989 GURU MATEMATIKA PERTAMA ANALIS KEBIJAKAN PERTAMA LULUS TIDAK LULUS TIDAK LULUS 531 610116670 2910001 163664 5037 66112000076 DWI PURNAMASARI 27-02-1991 PERAWAT PELAKSANA LULUS TIDAK LULUS TIDAK LULUS 532 611207040 4940002 192254 5967 66112000019 DWI PURWO SASMITO 04-04-1994 NUTRISIONIS PELAKSANA LULUS TIDAK LULUS TIDAK LULUS 533 617105530 5860003 184813 6330 66113000398 DWI PUSPA KENCANAWATY 13-05-1986 GURU MATEMATIKA PERTAMA ANALIS KEBIJAKAN PERTAMA LULUS TIDAK LULUS TIDAK LULUS 534 611201640 9900010 147143 9785 66113000079 DWI PUSPASARI NINGRUM 24-09-1990 ANALIS KERJASAMA DAN PERMODALAN ANALIS ANGGARAN PERENCANA PERTAMA LULUS LULUS LULUS 535 617104500 6820009 202871 4103 66113000419 DWI RAHAYU 10-06-1982 GURU BAHASA INGGRIS PERTAMA SMP GURU BAHASA INGGRIS PERTAMA SMA LULUS LULUS TIDAK LULUS 536 617102650 2890005 145352 5817 66113001140 DWI RAHAYU 25-02-1989 ANALIS KEBIJAKAN PERTAMA LULUS TIDAK LULUS TIDAK LULUS
  • 28.
    NO NIK NO REGIST ER NO PESERTA NAMA TANGGAL LAHIR PILIHAN JABATAN 1 NAMA JABATAN 2 NAMA JABATAN 3 STATUS PILIHAN 1 STATUS PILIHAN 2 STATUS PILIHAN 3 537 340304660 8890001 150103 0384 66113000696 DWI SARASWATI 26-08-1989 GURU BAHASA INGGRIS PERTAMA SMP ANALIS KEBIJAKAN PERTAMA GURU BAHASA INGGRIS PERTAMA SMA LULUS TIDAK LULUS LULUS 538 610110190 5910002 167321 2143 66113001902 DWI SETIAWAN 19-05-1991 GURU GEOGRAFI PERTAMA ANALIS KEBIJAKAN PERTAMA LULUS TIDAK LULUS TIDAK LULUS 539 611201600 2910016 159663 9759 66113000645 DWI SUKMA PERMATA SARI 20-02-1991 ANALIS KEBIJAKAN PERTAMA LULUS TIDAK LULUS TIDAK LULUS 540 617201650 4890002 115401 9623 66113001112 DWI YESSIE APRIYANI 25-04-1989 PERENCANA PERTAMA PENYULUH KOPERASI ANALIS KEBIJAKAN PERTAMA LULUS LULUS LULUS 541 610201481 1910002 146540 5120 66113001495 DWITA SARI 08-11-1991 PRANATA KOMPUTER PERTAMA ANALIS KEBIJAKAN PERTAMA LULUS LULUS TIDAK LULUS 542 611207640 5830004 103844 0549 66113001409 DWIYAH SUSILOWATI 24-05-1983 ANALIS ANGGARAN ANALIS KEBIJAKAN PERTAMA PERENCANA PERTAMA LULUS LULUS LULUS 543 617105420 5900001 145317 9574 66113001194 DYAN YUDISTIRA 02-05-1990 ANALIS KEBIJAKAN PERTAMA LULUS TIDAK LULUS TIDAK LULUS 544 610113211 1870002 155410 6101 66113000414 EDI SANJAYA 21-11-1987 GURU SEJARAH PERTAMA ANALIS KEBIJAKAN PERTAMA LULUS TIDAK LULUS TIDAK LULUS 545 610101010 7920013 178397 2568 66113001743 EDI SUPRIADI 01-07-1992 GURU BAHASA INGGRIS PERTAMA SMA GURU BAHASA INGGRIS PERTAMA SMP LULUS LULUS TIDAK LULUS 546 610103150 6880003 164445 8260 66112000284 EDLY KUSNADI 15-06-1988 PARAMEDIK VETERINER PELAKSANA LULUS TIDAK LULUS TIDAK LULUS 547 610207090 7800004 199251 1104 66113001070 EDWIN MARLIN 09-07-1980 ANALIS KEBIJAKAN PERTAMA LULUS TIDAK LULUS TIDAK LULUS 548 617103170 5880005 179393 3593 66113001417 EDY FITRIANSYAH 17-05-1988 PRANATA KOMPUTER PERTAMA ANALIS KEBIJAKAN PERTAMA LULUS LULUS TIDAK LULUS 549 611201210 2860003 199359 4056 66113000438 EDY SUKAMTO 21-02-1986 GURU MATEMATIKA PERTAMA ANALIS KEBIJAKAN PERTAMA LULUS TIDAK LULUS TIDAK LULUS 550 617101171 1820006 153259 0803 66113001683 EISYAFDI, ST 17-11-1982 ANALIS KEBIJAKAN PERTAMA PENATA RUANG PERTAMA SURVEYOR PEMETAAN PERTAMA LULUS LULUS LULUS 551 611201580 2910002 176018 8484 66112000868 EKA ARI YANTI 18-02-1991 PENGADMINISTRASI UMUM LULUS TIDAK LULUS TIDAK LULUS 552 611101500 9850003 108419 4516 66113000485 EKA DAHLIA INDRIANI 10-09-1985 ANALIS KEBIJAKAN PERTAMA PERENCANA PERTAMA PENYULUH KOPERASI LULUS LULUS LULUS 553 611201620 4900006 200578 5718 66113000408 EKA FITRIANA 22-04-1990 GURU SEJARAH PERTAMA ANALIS KEBIJAKAN PERTAMA LULUS TIDAK LULUS TIDAK LULUS 554 610218690 1900001 138094 7213 66112000027 EKA FITRIYANI 29-01-1990 BIDAN PELAKSANA LULUS TIDAK LULUS TIDAK LULUS 555 617103660 1860014 172766 6630 66113001064 EKA JAYANTI,SE 26-01-1986 ANALIS KEBIJAKAN PERTAMA LULUS TIDAK LULUS TIDAK LULUS 556 617104420 7880001 171751 5452 66112000816 EKA JULIAN SARI 02-07-1988 BIDAN PELAKSANA LULUS TIDAK LULUS TIDAK LULUS
  • 29.
    NO NIK NO REGIST ER NO PESERTA NAMA TANGGAL LAHIR PILIHAN JABATAN 1 NAMA JABATAN 2 NAMA JABATAN 3 STATUS PILIHAN 1 STATUS PILIHAN 2 STATUS PILIHAN 3 557 617104630 9800011 171170 5710 66113000163 EKA JUMIATI,SH 23-09-1980 ANALIS KEBIJAKAN PERTAMA LULUS TIDAK LULUS TIDAK LULUS 558 611206590 5910001 178775 7592 66112000627 EKA KARTIKA DEWI 19-05-1991 PERAWAT PELAKSANA LULUS TIDAK LULUS TIDAK LULUS 559 617104530 6820003 196732 5070 66112000300 EKA LILIANA 13-06-1982 PERAWAT PELAKSANA LULUS TIDAK LULUS TIDAK LULUS 560 617102690 9900005 173102 5553 66112000319 EKA MELINDA 29-09-1990 PENGADMINISTRASI UMUM PENYUSUN RISALAH LULUS LULUS TIDAK LULUS 561 617104550 2890017 190074 4872 66113001201 EKA MINARTI 15-02-1990 PERENCANA PERTAMA ANALIS ANGGARAN ANALIS KEBIJAKAN PERTAMA LULUS LULUS LULUS 562 610201490 7890003 136989 9273 66112000619 EKA MUTIA SARI 09-07-1989 PENGADMINISTRASI UMUM PENYUSUN RISALAH LULUS LULUS TIDAK LULUS 563 617101641 1870006 175059 6489 66112000253 EKA NOVITAWATI 24-11-1987 BIDAN PELAKSANA LULUS TIDAK LULUS TIDAK LULUS 564 611209650 5840007 170362 0998 66113001117 EKA NURSANTI 25-05-1984 ANALIS KEBIJAKAN PERTAMA LULUS TIDAK LULUS TIDAK LULUS 565 611201600 4830014 166832 0440 66113001220 EKA PERMATA 20-04-1983 ANALIS KEBIJAKAN PERTAMA LULUS TIDAK LULUS TIDAK LULUS 566 610215650 4900001 137790 8085 66113000462 EKA PRA FITRIANY 25-04-1990 GURU SEJARAH PERTAMA LULUS TIDAK LULUS TIDAK LULUS 567 611205160 4880002 138589 4434 66112000719 EKA RAHADI 16-04-1988 PERAWAT PELAKSANA LULUS TIDAK LULUS TIDAK LULUS 568 617105411 0840002 174137 7681 66113000390 EKA SAKTI DEWI PUSPITHA 01-10-1984 SANITARIAN PERTAMA LULUS TIDAK LULUS TIDAK LULUS 569 617106421 2800001 132946 7320 66113000746 EKA SAPUTRI 02-12-1980 ANALIS LAYANAN UMUM PERANCANG PERUNDANG-UNDANGAN PERTAMA ANALIS KEBIJAKAN PERTAMA LULUS LULUS LULUS 570 611201510 2870010 149399 5065 66113000300 EKA SARIYANTI 11-02-1987 GURU MATEMATIKA PERTAMA ANALIS KEBIJAKAN PERTAMA LULUS TIDAK LULUS TIDAK LULUS 571 620102690 1880001 178323 8561 66113000564 EKA SETIAWATI 29-01-1988 PERENCANA PERTAMA ANALIS ANGGARAN ANALIS KEBIJAKAN PERTAMA LULUS LULUS LULUS 572 617101241 1890010 132861 1683 66112000102 EKA SULISTIYO 24-11-1989 PENGADMINISTRASI UMUM PENYUSUN RISALAH LULUS LULUS TIDAK LULUS 573 611207481 1880001 137500 6562 66112000417 EKA SURYANI 08-11-1988 BIDAN PELAKSANA LULUS TIDAK LULUS TIDAK LULUS 574 611201611 2800007 136058 0581 66113001089 EKA SUSANTI 21-12-1980 ANALIS KEBIJAKAN PERTAMA PENATA RUANG PERTAMA SURVEYOR PEMETAAN PERTAMA LULUS LULUS LULUS 575 611203690 9870002 149317 8627 66113001624 EKA TITI HELDA 29-09-1987 GURU MATEMATIKA PERTAMA ANALIS KEBIJAKAN PERTAMA LULUS TIDAK LULUS TIDAK LULUS 576 617105610 6880002 121725 1530 66113000980 EKA TRIWAHYUNI 21-06-1988 PRANATA KOMPUTER PERTAMA ANALIS KEBIJAKAN PERTAMA LULUS LULUS TIDAK LULUS
  • 30.
    NO NIK NO REGIST ER NO PESERTA NAMA TANGGAL LAHIR PILIHAN JABATAN 1 NAMA JABATAN 2 NAMA JABATAN 3 STATUS PILIHAN 1 STATUS PILIHAN 2 STATUS PILIHAN 3 577 617101640 3890005 155590 7577 66113001474 EKA WAHYUNINGSIH 24-03-1989 GURU MATEMATIKA PERTAMA ANALIS KEBIJAKAN PERTAMA LULUS TIDAK LULUS TIDAK LULUS 578 611201570 5800013 151863 0785 66113001795 EKA WIDIANINGSIH,SE 17-05-1980 ANALIS ANGGARAN ANALIS KERJASAMA DAN PERMODALAN PENYULUH KOPERASI LULUS LULUS LULUS 579 611206680 8880003 141630 6391 66113000126 EKA WIDYAWATI 28-08-1988 GURU MATEMATIKA PERTAMA LULUS TIDAK LULUS TIDAK LULUS 580 617103701 0870005 132488 5828 66113000663 EKA WIJAYANTI 30-10-1987 GURU MATEMATIKA PERTAMA ANALIS KEBIJAKAN PERTAMA LULUS TIDAK LULUS TIDAK LULUS 581 617101620 7890006 194118 9250 66113000407 EKA YULIANI 22-07-1989 GURU BAHASA INGGRIS PERTAMA SMP GURU BAHASA INGGRIS PERTAMA SMA ANALIS KEBIJAKAN PERTAMA LULUS LULUS TIDAK LULUS 582 610108431 0920002 169321 8802 66113000843 EKAWATI 03-10-1992 GURU IPA PERTAMA GURU BIOLOGI PERTAMA LULUS LULUS TIDAK LULUS 583 617102140 5850006 132627 9384 66112000269 EKO 14-05-1985 VERIFIKATOR KEUANGAN LULUS TIDAK LULUS TIDAK LULUS 584 617105270 8840008 151692 5688 66113001765 EKO PRIO PANGESTONI 27-08-1984 PENATA RUANG PERTAMA ANALIS KEBIJAKAN PERTAMA SURVEYOR PEMETAAN PERTAMA LULUS LULUS LULUS 585 611205090 7890002 162683 6892 66113001508 EKO SUPARDI 09-07-1989 GURU GEOGRAFI PERTAMA LULUS TIDAK LULUS TIDAK LULUS 586 617105570 9910005 156475 9448 66113000304 ELA SEPTI LARASATI 17-09-1991 ANALIS KEPEGAWAIAN PERTAMA ANALIS KEPENDUDUKAN DAN PENCATATAN SIPIL ANALIS KEBIJAKAN PERTAMA LULUS LULUS LULUS 587 617103631 0880013 111020 3454 66113000239 ELDA SILVIANA 23-10-1988 GURU BAHASA INGGRIS PERTAMA SMA GURU BAHASA INGGRIS PERTAMA SMP ANALIS KEBIJAKAN PERTAMA LULUS LULUS TIDAK LULUS 588 617105500 6900018 134568 5940 66113000403 ELFATHIN RAHMI 10-06-1990 GURU MATEMATIKA PERTAMA LULUS TIDAK LULUS TIDAK LULUS 589 617106070 4860001 187582 9729 66113000750 ELFIN RAMDO 07-04-1986 ANALIS KEBIJAKAN PERTAMA LULUS TIDAK LULUS TIDAK LULUS 590 610113561 1870001 194407 8092 66113000219 ELI MAULINA 16-11-1987 PENYULUH SOSIAL PERTAMA PEKERJA SOSIAL PERTAMA ANALIS KEBIJAKAN PERTAMA LULUS LULUS LULUS 591 617102550 7850004 212043 9831 66113000983 ELIANA PUSPITA 15-07-1985 ANALIS KERJASAMA DAN PERMODALAN PERENCANA PERTAMA ANALIS KEBIJAKAN PERTAMA LULUS LULUS LULUS 592 617102510 4810003 124853 9538 66113000533 ELIDA YULITA, S.PD 11-04-1981 GURU MATEMATIKA PERTAMA ANALIS KEBIJAKAN PERTAMA LULUS TIDAK LULUS TIDAK LULUS 593 617101690 5870006 122454 4051 66113000587 ELIS NEVITA DEWI 29-05-1987 GURU BAHASA INGGRIS PERTAMA SMP LULUS TIDAK LULUS TIDAK LULUS 594 610807510 9900003 178194 2951 66113000078 ELISABET EKA 11-09-1990 ANALIS KEBIJAKAN PERTAMA LULUS TIDAK LULUS TIDAK LULUS 595 611201510 9850009 126798 9572 66113000688 ELISABETH NARU 11-09-1985 PERENCANA PERTAMA ANALIS ANGGARAN ANALIS KERJASAMA DAN PERMODALAN LULUS LULUS LULUS 596 611209470 8880003 151750 8137 66112000750 ELIZABET ERLINDA ANGGRAENI RAHMIA NINGRUM 07-08-1988 VERIFIKATOR KEUANGAN LULUS TIDAK LULUS TIDAK LULUS
  • 31.
    NO NIK NO REGIST ER NO PESERTA NAMA TANGGAL LAHIR PILIHAN JABATAN 1 NAMA JABATAN 2 NAMA JABATAN 3 STATUS PILIHAN 1 STATUS PILIHAN 2 STATUS PILIHAN 3 597 617101630 1840009 181466 5953 66112000548 ELLIYA SULASTRI 23-01-1984 PENGADMINISTRASI UMUM PENYUSUN RISALAH LULUS LULUS TIDAK LULUS 598 611201640 4860019 177321 8193 66112000842 ELLY ERMAWATI 24-04-1986 PENGADMINISTRASI UMUM PENYUSUN RISALAH LULUS LULUS TIDAK LULUS 599 617101600 2880005 166650 1117 66113000856 ELLY FEBRI ARYANI 20-02-1988 GURU MATEMATIKA PERTAMA ANALIS KEBIJAKAN PERTAMA LULUS TIDAK LULUS TIDAK LULUS 600 617103511 1850006 101451 0788 66113000278 ELLY HOTMAIDA LINGGA 11-11-1985 ANALIS ANGGARAN ANALIS KERJASAMA DAN PERMODALAN PERENCANA PERTAMA LULUS LULUS LULUS 601 611201560 3810005 121152 5350 66112000316 ELLY SUPIATI 16-03-1981 PENGADMINISTRASI UMUM PENYUSUN RISALAH LULUS LULUS TIDAK LULUS 602 617103440 4820015 206792 5584 66113000780 ELNITA 04-04-1982 ANALIS KEBIJAKAN PERTAMA PENATA RUANG PERTAMA SURVEYOR PEMETAAN PERTAMA LULUS LULUS LULUS 603 611201120 6900004 175106 5381 66113000594 ELPANDI 12-06-1990 GURU SEJARAH PERTAMA LULUS TIDAK LULUS TIDAK LULUS 604 617103510 4870008 163426 6516 66113000465 ELSA APRIZA KADRI 11-04-1987 GURU KIMIA PERTAMA LULUS TIDAK LULUS TIDAK LULUS 605 617106710 7870001 164278 9694 66113000792 ELSA JULIASTRIA 31-07-1987 ANALIS KEBIJAKAN PERTAMA LULUS TIDAK LULUS TIDAK LULUS 606 617104630 4820007 152405 0557 66113000797 ELSITA LISNAWATI 23-04-1982 ANALIS ANGGARAN PENYULUH KOPERASI ANALIS KERJASAMA DAN PERMODALAN LULUS LULUS LULUS 607 331409570 6900002 141712 8376 66112000584 ELVA PUTRI ARLITA 17-06-1990 BIDAN PELAKSANA LULUS TIDAK LULUS TIDAK LULUS 608 617103420 3900008 198814 4381 66112000747 ELVERA SANTY 02-03-1990 VERIFIKATOR KEUANGAN LULUS TIDAK LULUS TIDAK LULUS 609 610218670 5890002 178844 9478 66112000205 ELVIRA RIRIN KURNENGSIH 27-05-1989 BIDAN PELAKSANA LULUS TIDAK LULUS TIDAK LULUS 610 611201500 2850016 100153 8737 66113001771 ELY WAHYUNI 10-02-1985 PERENCANA PERTAMA ANALIS KEBIJAKAN PERTAMA ANALIS KERJASAMA DAN PERMODALAN LULUS LULUS LULUS 611 332418640 4880004 198611 0040 66113001420 ELYA DWI APRIYANI 24-04-1988 GURU BAHASA INGGRIS PERTAMA SMP GURU BAHASA INGGRIS PERTAMA SMA ANALIS KEBIJAKAN PERTAMA LULUS LULUS TIDAK LULUS 612 617101600 3820005 170029 4387 66113001243 EMA MAISYARAH, SH 20-03-1982 PERANCANG PERUNDANG-UNDANGAN PERTAMA MEDIATOR HUBUNGAN INDUSTRIAL PERTAMA PENGAWAS KETENAGAKERJAAN PERTAMA LULUS LULUS LULUS 613 617103440 3910012 211773 7585 66112000050 EMA MARSILIANA 04-03-1991 NUTRISIONIS PELAKSANA LULUS TIDAK LULUS TIDAK LULUS 614 617106410 4910001 140267 7495 66112000338 EMA RAMADHANI 01-04-1991 PENYUSUN RISALAH PENGADMINISTRASI UMUM LULUS LULUS TIDAK LULUS 615 611201670 8840006 144747 5142 66113000685 EMA RUSLIANTI 27-08-1984 GURU MATEMATIKA PERTAMA LULUS TIDAK LULUS TIDAK LULUS 616 611206631 1910002 147575 5601 66113000371 EMA SURATMI 23-11-1991 ANALIS KEBIJAKAN PERTAMA LULUS TIDAK LULUS TIDAK LULUS
  • 32.
    NO NIK NO REGIST ER NO PESERTA NAMA TANGGAL LAHIR PILIHAN JABATAN 1 NAMA JABATAN 2 NAMA JABATAN 3 STATUS PILIHAN 1 STATUS PILIHAN 2 STATUS PILIHAN 3 617 617103660 6840008 161173 5745 66112000867 EMA TRIYANI 26-06-1984 PENYUSUN RISALAH PENGADMINISTRASI UMUM LULUS LULUS TIDAK LULUS 618 617105451 1790011 131717 9785 66113001809 EMELIANA MELYANI LANJAB SONAN 05-11-1979 PENGANTAR KERJA PERTAMA LULUS TIDAK LULUS TIDAK LULUS 619 610807450 1820002 148896 0967 66113000977 EMELIANA NATALIA 05-01-1982 SURVEYOR PEMETAAN PERTAMA PENATA RUANG PERTAMA ANALIS KEBIJAKAN PERTAMA LULUS LULUS LULUS 620 910301071 1800001 154411 9941 66113001354 EMERSON PAKPAHAN 07-11-1980 PERENCANA PERTAMA PENYULUH KOPERASI ANALIS KERJASAMA DAN PERMODALAN LULUS LULUS LULUS 621 617101540 2880005 199022 3278 66112000499 EMI FEBRIANTI 14-02-1988 PENGADMINISTRASI UMUM PENYUSUN RISALAH LULUS LULUS TIDAK LULUS 622 617105661 1850006 125852 1232 66113001519 EMI KURNIAWATI, S.SI APT 26-11-1985 APOTEKER PERTAMA ANALIS KEBIJAKAN PERTAMA LULUS TIDAK LULUS TIDAK LULUS 623 611201510 4830012 172422 4159 66113000227 EMI SUNDARI 11-04-1983 ANALIS KEBIJAKAN PERTAMA LULUS TIDAK LULUS TIDAK LULUS 624 611204520 1860002 137829 3224 66113001552 EMI SURYANI 12-01-1986 GURU SEJARAH PERTAMA LULUS TIDAK LULUS TIDAK LULUS 625 617102421 2820001 210125 3084 66113000722 EMI TRISNA, SPD 02-12-1982 GURU MATEMATIKA PERTAMA LULUS TIDAK LULUS TIDAK LULUS 626 617101460 1830005 119842 2915 66113000599 EMILIA KURNIAWATI 06-01-1983 ANALIS KEBIJAKAN PERTAMA LULUS TIDAK LULUS TIDAK LULUS 627 611201591 1910009 117607 3808 66112000199 EMILIA VALENTINE 19-11-1991 NUTRISIONIS PELAKSANA LULUS TIDAK LULUS TIDAK LULUS 628 610503410 2920004 188853 7804 66112000249 EMILIANA NURIDA 01-02-1992 BIDAN PELAKSANA LULUS TIDAK LULUS TIDAK LULUS 629 610215670 8870002 186191 5194 66113001267 EMMY PURWANTI 27-08-1987 GURU MATEMATIKA PERTAMA LULUS TIDAK LULUS TIDAK LULUS 630 617105550 5800010 134397 6744 66113001325 EMY RODIYAWATI, S. PD 15-05-1980 GURU MATEMATIKA PERTAMA LULUS TIDAK LULUS TIDAK LULUS 631 617105050 5920008 135802 1345 66112000798 ENDA NANTA PRATAMA KEMING S 05-05-1992 PENGADMINISTRASI UMUM PENYUSUN RISALAH LULUS LULUS TIDAK LULUS 632 611203500 5890005 194356 2140 66112000435 ENDAH RETNO SUMILIR 10-05-1989 PERAWAT PELAKSANA LULUS TIDAK LULUS TIDAK LULUS 633 611207560 3830001 107505 2352 66112000616 ENDAH WAHYU PURNAMASARI,A.MD 16-03-1983 PENYUSUN RISALAH PENGADMINISTRASI UMUM LULUS LULUS TIDAK LULUS 634 611209550 3870005 110757 1805 66113000174 ENDAH WIDIYANTI 15-03-1987 ANALIS KEBIJAKAN PERTAMA LULUS TIDAK LULUS TIDAK LULUS 635 617105471 1860007 200320 3174 66113000267 ENDANG ESTAURINA 07-11-1986 ANALIS KERJASAMA DAN PERMODALAN PERENCANA PERTAMA ANALIS KEBIJAKAN PERTAMA LULUS LULUS LULUS 636 611203540 5930005 139905 4201 66112000609 ENDANG KUSUMA 14-05-1993 PERAWAT PELAKSANA LULUS TIDAK LULUS TIDAK LULUS
  • 33.
    NO NIK NO REGIST ER NO PESERTA NAMA TANGGAL LAHIR PILIHAN JABATAN 1 NAMA JABATAN 2 NAMA JABATAN 3 STATUS PILIHAN 1 STATUS PILIHAN 2 STATUS PILIHAN 3 637 611205611 2930002 202215 9615 66112000646 ENDANG SRI AMBARWATI 21-12-1993 PERAWAT PELAKSANA LULUS TIDAK LULUS TIDAK LULUS 638 610102111 1900003 139169 7456 66113001632 ENDI ERIANSYAH 11-11-1990 GURU SEJARAH PERTAMA LULUS TIDAK LULUS TIDAK LULUS 639 610302600 8850002 153577 0311 66112000676 ENENG MULYANINGSIH 20-08-1985 PERAWAT PELAKSANA LULUS TIDAK LULUS TIDAK LULUS 640 617101460 4840002 191562 8005 66113000229 ENGELIA, S.IP 06-04-1984 ANALIS LAYANAN UMUM ANALIS KEBIJAKAN PERTAMA LULUS LULUS TIDAK LULUS 641 611201590 7910007 203233 1388 66113001744 ENGGAR BUDI PUSPITA SARI 19-07-1991 ANALIS KEBIJAKAN PERTAMA LULUS TIDAK LULUS TIDAK LULUS 642 611209440 6890005 207475 7427 66112000568 ENI NOVIYANTI 04-06-1989 BIDAN PELAKSANA LULUS TIDAK LULUS TIDAK LULUS 643 610417500 7880004 134606 8536 66113001877 ENI YULIANINGSIH 10-07-1988 GURU BAHASA INGGRIS PERTAMA SMP GURU BAHASA INGGRIS PERTAMA SMA ANALIS KEBIJAKAN PERTAMA LULUS LULUS TIDAK LULUS 644 617104670 6880006 135103 2378 66113000909 ENNY JUNIARTI 27-06-1988 ANALIS KEBIJAKAN PERTAMA LULUS TIDAK LULUS TIDAK LULUS 645 617103230 9820001 135554 3267 66113000357 ENRA AULIAZULFA, ST 23-09-1982 PENATA RUANG PERTAMA LULUS TIDAK LULUS TIDAK LULUS 646 617102630 6830002 140512 0541 66113001244 ENRI YENI 23-06-1983 PENGANTAR KERJA PERTAMA PENGAWAS KETENAGAKERJAAN PERTAMA PERANCANG PERUNDANG-UNDANGAN PERTAMA LULUS LULUS LULUS 647 340407610 7850008 208899 8397 66112000778 ENY ARIA SETYASARI 21-07-1985 VERIFIKATOR KEUANGAN LULUS TIDAK LULUS TIDAK LULUS 648 617103431 0890001 167845 1141 66113001553 ENY MAULIDANI 03-10-1989 GURU MATEMATIKA PERTAMA ANALIS KEBIJAKAN PERTAMA LULUS TIDAK LULUS TIDAK LULUS 649 611203680 2850003 166842 9373 66112000113 ENY SETYOWATI 28-02-1985 VERIFIKATOR KEUANGAN LULUS TIDAK LULUS TIDAK LULUS 650 340407690 8870001 209801 8266 66113001441 ENY SUSANTI 29-08-1986 ANALIS KEBIJAKAN PERTAMA LULUS TIDAK LULUS TIDAK LULUS 651 617105520 7830013 176813 9992 66113001122 EPIFANIA YULIANTI,SE 12-07-1983 PERENCANA PERTAMA PENYULUH KOPERASI ANALIS ANGGARAN LULUS LULUS LULUS 652 611201500 4840017 132132 8357 66113000483 EPRILIANI 10-04-1984 PERENCANA PERTAMA ANALIS ANGGARAN PENYULUH KOPERASI LULUS LULUS LULUS 653 617201251 1900002 148197 6439 66113001718 ERDI GUNA UTAMA 25-11-1990 GURU IPA PERTAMA GURU FISIKA PERTAMA ANALIS KEBIJAKAN PERTAMA LULUS LULUS TIDAK LULUS 654 611201500 5900011 102715 7225 66113001430 ERDILA META NOVASARI 10-05-1990 PRANATA KOMPUTER PERTAMA ANALIS KEBIJAKAN PERTAMA LULUS LULUS TIDAK LULUS 655 611201250 5860008 178011 4600 66113001722 ERI 25-05-1986 GURU BAHASA INGGRIS PERTAMA SMP GURU BAHASA INGGRIS PERTAMA SMA ANALIS KEBIJAKAN PERTAMA LULUS LULUS TIDAK LULUS 656 610717080 3840001 117556 5310 66112000387 ERIK 08-03-1984 NUTRISIONIS PELAKSANA LULUS TIDAK LULUS TIDAK LULUS
  • 34.
    NO NIK NO REGIST ER NO PESERTA NAMA TANGGAL LAHIR PILIHAN JABATAN 1 NAMA JABATAN 2 NAMA JABATAN 3 STATUS PILIHAN 1 STATUS PILIHAN 2 STATUS PILIHAN 3 657 617106670 6880002 141162 0980 66113000064 ERIKA KARTIKANINGTIAS 27-06-1988 ANALIS KEBIJAKAN PERTAMA LULUS TIDAK LULUS TIDAK LULUS 658 617103120 6860007 204315 7208 66113000246 ERLANGGA 12-06-1986 PEKERJA SOSIAL PERTAMA PENYULUH SOSIAL PERTAMA ANALIS KEBIJAKAN PERTAMA LULUS LULUS LULUS 659 617103481 1850502 214302 8740 66113001051 ERLIN NOFRIANA 08-11-1985 APOTEKER PERTAMA LULUS TIDAK LULUS TIDAK LULUS 660 610207481 0860001 213558 6570 66113000062 ERLINA CAHYANA 08-10-1986 GURU IPA PERTAMA GURU BIOLOGI PERTAMA LULUS LULUS TIDAK LULUS 661 610212490 6890004 137505 2200 66113000249 ERMA KURNIASIH 09-06-1989 GURU MATEMATIKA PERTAMA LULUS TIDAK LULUS TIDAK LULUS 662 617105560 4840002 147536 4559 66112000273 ERMA SAGITA 16-04-1984 PENYUSUN RISALAH PENGADMINISTRASI UMUM LULUS LULUS TIDAK LULUS 663 617103480 3880006 188181 2704 66112000748 ERMIA SUPRIYANI 08-03-1988 PENGADMINISTRASI UMUM PENYUSUN RISALAH LULUS LULUS TIDAK LULUS 664 617103530 9820004 103644 2326 66113001106 ERMIS KURNIASIH 13-09-1982 ANALIS KEBIJAKAN PERTAMA LULUS TIDAK LULUS TIDAK LULUS 665 617105440 1920002 167881 3491 66113000374 ERMUNDARI 04-01-1992 ANALIS KEBIJAKAN PERTAMA LULUS TIDAK LULUS TIDAK LULUS 666 617105650 3840008 194274 9855 66113000234 ERNA NINGSIH 25-03-1984 ANALIS KEBIJAKAN PERTAMA PENATA RUANG PERTAMA SURVEYOR PEMETAAN PERTAMA LULUS LULUS LULUS 667 611201491 1820006 199103 6964 66112000438 ERNA SURYANI 09-11-1982 BIDAN PELAKSANA LULUS TIDAK LULUS TIDAK LULUS 668 611208411 0880001 212576 5957 66112000286 ERNAWATI 01-10-1988 BIDAN PELAKSANA LULUS TIDAK LULUS TIDAK LULUS 669 611209450 9890004 178793 8813 66112000402 ERNAWATI 05-09-1989 BIDAN PELAKSANA LULUS TIDAK LULUS TIDAK LULUS 670 611203501 2850001 148711 2822 66113000366 ERNAWATI 10-12-1985 PERENCANA PERTAMA PENYULUH KOPERASI ANALIS ANGGARAN LULUS LULUS LULUS 671 617104531 0880005 154484 7503 66113001400 ERNAWATI 13-10-1988 GURU KIMIA PERTAMA LULUS TIDAK LULUS TIDAK LULUS 672 610702541 0880002 185407 2054 66112000207 ERNI GLORIA 14-10-1988 NUTRISIONIS PELAKSANA LULUS TIDAK LULUS TIDAK LULUS 673 121704560 5880001 132076 9201 66113001529 ERNI MELINA SAMOSIR 16-05-1988 GURU IPA PERTAMA GURU FISIKA PERTAMA ANALIS KEBIJAKAN PERTAMA LULUS LULUS TIDAK LULUS 674 610301601 1800003 105697 7740 66113001004 ERNI SRI UTAMI 20-11-1980 PERENCANA PERTAMA ANALIS ANGGARAN ANALIS KEBIJAKAN PERTAMA LULUS LULUS LULUS 675 617201620 6900002 207122 3664 66112000392 ERNI SRI WAHYUNINGSIH 22-06-1990 PERAWAT PELAKSANA LULUS TIDAK LULUS TIDAK LULUS 676 617101520 9890006 103071 3720 66113000990 ERNI SULFANI 12-09-1989 PERANCANG PERUNDANG-UNDANGAN PERTAMA PENGAWAS KETENAGAKERJAAN PERTAMA ANALIS KEBIJAKAN PERTAMA LULUS LULUS LULUS
  • 35.
    NO NIK NO REGIST ER NO PESERTA NAMA TANGGAL LAHIR PILIHAN JABATAN 1 NAMA JABATAN 2 NAMA JABATAN 3 STATUS PILIHAN 1 STATUS PILIHAN 2 STATUS PILIHAN 3 677 611201511 1890012 167500 0092 66113000318 ERNITA NOVA LIA 11-11-1989 GURU GEOGRAFI PERTAMA LULUS TIDAK LULUS TIDAK LULUS 678 617103470 7920016 133346 6436 66112000361 ERRES RISTIA 07-07-1992 NUTRISIONIS PELAKSANA LULUS TIDAK LULUS TIDAK LULUS 679 352107570 7870002 181357 7190 66113000495 ERTIKA AULIANA DAINTI 17-07-1987 ANALIS KEBIJAKAN PERTAMA LULUS TIDAK LULUS TIDAK LULUS 680 610108520 2920003 152230 4559 66113000842 ERVI 12-02-1992 GURU BAHASA INGGRIS PERTAMA SMA GURU BAHASA INGGRIS PERTAMA SMP ANALIS KEBIJAKAN PERTAMA LULUS LULUS TIDAK LULUS 681 330115440 5920002 113753 3569 66112000717 ERVI RETNO WIDYASTUTI 04-05-1992 PERAWAT PELAKSANA LULUS TIDAK LULUS TIDAK LULUS 682 617103130 9870003 210725 1927 66113001756 ERVIN SEBASTIAN 13-09-1987 ANALIS KEBIJAKAN PERTAMA LULUS TIDAK LULUS TIDAK LULUS 683 617102540 7890001 198404 5874 66113001793 ERVINAWATI HADORI 14-07-1989 ANALIS KEBIJAKAN PERTAMA LULUS TIDAK LULUS TIDAK LULUS 684 617105420 6900002 202967 1915 66113001386 ERVITA RIANI 02-06-1990 ANALIS KEBIJAKAN PERTAMA PERANCANG PERUNDANG-UNDANGAN PERTAMA PENGAWAS KETENAGAKERJAAN PERTAMA LULUS LULUS LULUS 685 610702090 5870005 200450 1044 66112000835 ERWIN LIANUS 09-05-1987 PERAWAT PELAKSANA LULUS TIDAK LULUS TIDAK LULUS 686 611201310 8910010 174176 6182 66113001571 ERWIN MUHARJA 31-08-1991 PRANATA KOMPUTER PERTAMA ANALIS KEBIJAKAN PERTAMA LULUS LULUS TIDAK LULUS 687 617104130 9850007 111076 4699 66113001750 ERWIN ZULFIKAR 13-09-1985 PRANATA HUBUNGAN MASYARAKAT PERTAMA ANALIS KEBIJAKAN PERTAMA LULUS LULUS TIDAK LULUS 688 611206601 0910003 178268 6580 66112000219 ESI OKTAVIA 20-10-1991 BIDAN PELAKSANA LULUS TIDAK LULUS TIDAK LULUS 689 611203600 3860004 131444 1495 66112000169 ESILIYA 20-03-1986 PERAWAT PELAKSANA LULUS TIDAK LULUS TIDAK LULUS 690 610806411 0830003 166533 8301 66112000445 ESKA 01-10-1985 PERAWAT PELAKSANA LULUS TIDAK LULUS TIDAK LULUS 691 120808410 8860003 162725 2804 66113001247 ESTHER MARINI TAMBUNAN 01-08-1986 DOKTER PERTAMA LULUS TIDAK LULUS TIDAK LULUS 692 617101611 0890005 156600 1287 66112000301 ETHA OKTAVIANA 21-10-1989 PERAWAT PELAKSANA LULUS TIDAK LULUS TIDAK LULUS 693 617103550 8910011 209689 7422 66113001631 ETI PUSPITASARI 15-08-1991 GURU KIMIA PERTAMA ANALIS KEBIJAKAN PERTAMA LULUS TIDAK LULUS TIDAK LULUS 694 610208510 8920003 175592 3407 66112000224 ETIKA SAMUDRA WATI 11-08-1992 BIDAN PELAKSANA LULUS TIDAK LULUS TIDAK LULUS 695 617103580 9840006 161874 1876 66113001684 ETY KOS ENDANG, MH 18-09-1984 ANALIS ANGGARAN PERENCANA PERTAMA ANALIS KEBIJAKAN PERTAMA LULUS LULUS LULUS 696 611201560 1830002 202424 3786 66113001197 ETY KURNIATY 16-01-1983 PRANATA KOMPUTER PERTAMA LULUS TIDAK LULUS TIDAK LULUS
  • 36.
    NO NIK NO REGIST ER NO PESERTA NAMA TANGGAL LAHIR PILIHAN JABATAN 1 NAMA JABATAN 2 NAMA JABATAN 3 STATUS PILIHAN 1 STATUS PILIHAN 2 STATUS PILIHAN 3 697 610208690 6840002 178313 1542 66112000791 EUIS FITRIYANTI 29-06-1984 PENGADMINISTRASI UMUM LULUS TIDAK LULUS TIDAK LULUS 698 610302650 9860001 116107 6186 66113001895 EUIS NUR ASYUROH, S.KOM.I 25-09-1985 PRANATA HUBUNGAN MASYARAKAT PERTAMA ANALIS KEBIJAKAN PERTAMA LULUS LULUS TIDAK LULUS 699 617104431 0920002 143342 2588 66112000484 EUSEBIA OKTAVIANI CHORBETI 03-10-1992 BIDAN PELAKSANA LULUS TIDAK LULUS TIDAK LULUS 700 617103460 3850005 129578 5831 66113001291 EVA 06-03-1985 GURU BAHASA INGGRIS PERTAMA SMP GURU BAHASA INGGRIS PERTAMA SMA ANALIS KEBIJAKAN PERTAMA LULUS LULUS TIDAK LULUS 701 617201531 2900001 199227 3162 66112000354 EVA CHRISTIA ARYANTI 13-12-1990 PERAWAT PELAKSANA LULUS TIDAK LULUS TIDAK LULUS 702 610201590 6890004 195296 6257 66113000430 EVA DEVINA 19-06-1989 APOTEKER PERTAMA ANALIS KEBIJAKAN PERTAMA LULUS TIDAK LULUS TIDAK LULUS 703 617103430 1900009 207377 0787 66112000534 EVA FARADILLAH 03-01-1990 PENGADMINISTRASI UMUM PENYUSUN RISALAH LULUS LULUS TIDAK LULUS 704 617103590 8830008 187175 9214 66113001059 EVA FAUZIANA 19-08-1983 PERENCANA PERTAMA ANALIS KEBIJAKAN PERTAMA PENYULUH KOPERASI LULUS LULUS LULUS 705 611201610 3860003 117058 7030 66113001000 EVA MAWIRNA 21-03-1986 ANALIS LAYANAN UMUM ANALIS KEBIJAKAN PERTAMA LULUS LULUS TIDAK LULUS 706 611209551 1870004 149832 7540 66113001754 EVA NOVITA SARI,SE 15-11-1987 PERENCANA PERTAMA ANALIS KERJASAMA DAN PERMODALAN PENYULUH KOPERASI LULUS LULUS LULUS 707 611207460 4890003 201507 1795 66113001668 EVA SETYANINGRUM,S.PD.I 06-04-1989 GURU BAHASA INGGRIS PERTAMA SMA GURU BAHASA INGGRIS PERTAMA SMP ANALIS KEBIJAKAN PERTAMA LULUS LULUS TIDAK LULUS 708 617102420 7900006 181404 4030 66113001221 EVA YULIAN PUJIASTUTI 02-07-1990 PRANATA KOMPUTER PERTAMA ANALIS KEBIJAKAN PERTAMA LULUS LULUS TIDAK LULUS 709 611201580 6920008 137182 7010 66113001574 EVA YULYANA 18-07-1992 PENGAWAS KETENAGAKERJAAN PERTAMA MEDIATOR HUBUNGAN INDUSTRIAL PERTAMA PERANCANG PERUNDANG-UNDANGAN PERTAMA LULUS LULUS LULUS 710 611201450 5890007 137500 5761 66113001665 EVI FADRIANI MEYSILVANA NIA KATHY 05-05-1989 ANALIS KEBIJAKAN PERTAMA LULUS TIDAK LULUS TIDAK LULUS 711 611209491 2840002 122451 7753 66113000433 EVI JULIANA 09-12-1984 GURU BAHASA INGGRIS PERTAMA SMP GURU BAHASA INGGRIS PERTAMA SMA ANALIS KEBIJAKAN PERTAMA LULUS LULUS TIDAK LULUS 712 611201551 1850007 147911 2896 66112000611 EVI NOVIANTY 15-11-1985 PERAWAT PELAKSANA LULUS TIDAK LULUS TIDAK LULUS 713 617201501 0900005 160665 0830 66113001811 EVI OKTAVIANI 10-10-1990 PUSTAKAWAN PERTAMA ANALIS KEBIJAKAN PERTAMA LULUS TIDAK LULUS TIDAK LULUS 714 611207460 4890004 203164 0912 66113001667 EVI SETYANINGSIH,S.PD.I 06-04-1989 GURU BAHASA INGGRIS PERTAMA SMA GURU BAHASA INGGRIS PERTAMA SMP ANALIS KEBIJAKAN PERTAMA LULUS LULUS TIDAK LULUS 715 611209540 9830002 126334 6959 66112000583 EVI SUSANTI 14-09-1983 PENGADMINISTRASI UMUM PENYUSUN RISALAH LULUS LULUS TIDAK LULUS 716 617103700 4900002 142720 7796 66113001782 EVIKA YOLANDA 30-04-1990 ANALIS ANGGARAN ANALIS KERJASAMA DAN PERMODALAN PENYULUH KOPERASI LULUS LULUS LULUS
  • 37.
    NO NIK NO REGIST ER NO PESERTA NAMA TANGGAL LAHIR PILIHAN JABATAN 1 NAMA JABATAN 2 NAMA JABATAN 3 STATUS PILIHAN 1 STATUS PILIHAN 2 STATUS PILIHAN 3 717 611202690 2880002 209473 8557 66113000817 EVILISIANA ANGELA ANGEN 29-02-1988 SANITARIAN PERTAMA LULUS TIDAK LULUS TIDAK LULUS 718 617104460 6940020 209674 2801 66112000763 EVY ANDRI YUNI 06-06-1994 NUTRISIONIS PELAKSANA LULUS TIDAK LULUS TIDAK LULUS 719 611201670 3880005 211568 4474 66112000391 EVY YUSNASARI 27-03-1988 BIDAN PELAKSANA LULUS TIDAK LULUS TIDAK LULUS 720 610308040 5930002 165248 4257 66113001733 EZZY FAHREZA 04-05-1992 ANALIS KEBIJAKAN PERTAMA TEKNIK JALAN DAN JEMBATAN PERTAMA LULUS LULUS TIDAK LULUS 721 611201630 9850007 122360 3544 66112000843 F.BERTHA PANGARIBUAN,A.MD 23-09-1985 PENGADMINISTRASI UMUM PENYUSUN RISALAH LULUS LULUS TIDAK LULUS 722 611209210 8890003 161463 2229 66113000314 FACHREZA IDHAM 21-08-1989 GURU BAHASA INDONESIA PERTAMA LULUS TIDAK LULUS TIDAK LULUS 723 617102200 1870006 101662 9278 66112000122 FACHRUDIN 20-01-1987 PERAWAT PELAKSANA LULUS TIDAK LULUS TIDAK LULUS 724 610507670 1920001 212681 8341 66112000182 FADILA NURUL HISYARAH 27-01-1992 BIDAN PELAKSANA LULUS TIDAK LULUS TIDAK LULUS 725 617101690 8870011 101906 3602 66112000470 FADILLAH 29-08-1987 PENGADMINISTRASI UMUM PENYUSUN RISALAH LULUS LULUS TIDAK LULUS 726 617102210 2930002 175197 7679 66112000733 FAHMI ALHADY 21-02-1993 NUTRISIONIS PELAKSANA LULUS TIDAK LULUS TIDAK LULUS 727 617103090 3800004 203460 9987 66113000617 FAHRUDIN.S.SOS I 09-03-1980 ANALIS KEBIJAKAN PERTAMA LULUS TIDAK LULUS TIDAK LULUS 728 617102010 2920007 214283 0533 66113000037 FAILANIPUTRA 01-02-1992 ANALIS KEBIJAKAN PERTAMA LULUS TIDAK LULUS TIDAK LULUS 729 617105280 2880004 176775 5862 66112000024 FAJAR ASYHARI 28-02-1988 PENGADMINISTRASI UMUM PENYUSUN RISALAH LULUS LULUS TIDAK LULUS 730 350101230 8880001 148523 1021 66113001005 FAJAR DWI ANGGORO 23-08-1988 GURU BAHASA INGGRIS PERTAMA SMP GURU BAHASA INGGRIS PERTAMA SMA ANALIS KEBIJAKAN PERTAMA LULUS LULUS TIDAK LULUS 731 617102030 5840013 202563 4437 66113000956 FAJAR DWI HARTANTO 03-05-1984 PAMONG BUDAYA PERTAMA ANALIS KEBIJAKAN PERTAMA LULUS LULUS TIDAK LULUS 732 617102190 6850004 135539 3754 66112000198 FAJAR FITRIAN 19-06-1985 PERAWAT PELAKSANA LULUS TIDAK LULUS TIDAK LULUS 733 617103150 8860006 190382 8889 66113001073 FAJAR MUHAMMAD HAKIM, SE 15-08-1986 PERENCANA PERTAMA PENYULUH KOPERASI ANALIS KEBIJAKAN PERTAMA LULUS LULUS LULUS 734 611209270 6910002 117786 1115 66113001289 FAJAR PRASTIKO 27-06-1991 ANALIS KEPEGAWAIAN PERTAMA ANALIS KEBIJAKAN PERTAMA ANALIS KEPENDUDUKAN DAN PENCATATAN SIPIL LULUS LULUS LULUS 735 611201060 8850011 160685 0074 66113000252 FAJARUDIN 06-08-1985 GURU BIOLOGI PERTAMA LULUS TIDAK LULUS TIDAK LULUS 736 617102520 3880007 114420 0218 66113001043 FARDIANI 12-03-1988 GURU MATEMATIKA PERTAMA ANALIS KEBIJAKAN PERTAMA LULUS TIDAK LULUS TIDAK LULUS
  • 38.
    NO NIK NO REGIST ER NO PESERTA NAMA TANGGAL LAHIR PILIHAN JABATAN 1 NAMA JABATAN 2 NAMA JABATAN 3 STATUS PILIHAN 1 STATUS PILIHAN 2 STATUS PILIHAN 3 737 617105310 1830015 102196 1955 66113000782 FARID WAJDI 31-01-1983 PENYULUH KOPERASI ANALIS KEBIJAKAN PERTAMA PERENCANA PERTAMA LULUS LULUS LULUS 738 611201651 0850008 146919 0083 66113001002 FARIDA 25-10-1985 ANALIS ANGGARAN PERENCANA PERTAMA ANALIS KEBIJAKAN PERTAMA LULUS LULUS LULUS 739 611201630 9840005 181961 9685 66112000753 FARINA 23-09-1984 BIDAN PELAKSANA LULUS TIDAK LULUS TIDAK LULUS 740 617101620 7930003 154486 1938 66113001102 FARNIK SRI ASTUTI 22-07-1993 PRANATA KOMPUTER PERTAMA ANALIS KEBIJAKAN PERTAMA LULUS LULUS TIDAK LULUS 741 611203071 0870004 170517 8469 66113001540 FATHOLI 07-10-1987 GURU BAHASA INGGRIS PERTAMA SMP GURU BAHASA INGGRIS PERTAMA SMA LULUS LULUS TIDAK LULUS 742 620801110 4920001 132925 5651 66113001585 FATHUR RAHIM 11-04-1992 PRANATA KOMPUTER PERTAMA ANALIS KEBIJAKAN PERTAMA LULUS LULUS TIDAK LULUS 743 611201531 0890006 141059 1572 66113001773 FATHURRAHMAH 13-10-1989 ANALIS KEBIJAKAN PERTAMA PENYULUH KOPERASI ANALIS KERJASAMA DAN PERMODALAN LULUS LULUS LULUS 744 610207600 3880001 142815 1409 66112000434 FATIMAH 20-03-1988 BIDAN PELAKSANA LULUS TIDAK LULUS TIDAK LULUS 745 617103581 1900006 174343 9236 66113000177 FATIMAH RETNO ASTUTI 18-11-1990 GURU MATEMATIKA PERTAMA ANALIS KEBIJAKAN PERTAMA LULUS TIDAK LULUS TIDAK LULUS 746 617103590 9820003 162849 2399 66113000354 FATIMAWATI 19-09-1982 ANALIS KEBIJAKAN PERTAMA LULUS TIDAK LULUS TIDAK LULUS 747 611209491 1810004 163209 1300 66113000277 FATJERIDIANI 09-11-1981 ANALIS KEBIJAKAN PERTAMA LULUS TIDAK LULUS TIDAK LULUS 748 610101481 2910002 148553 4723 66112000547 FATMAWATI 08-12-1991 NUTRISIONIS PELAKSANA LULUS TIDAK LULUS TIDAK LULUS 749 611201660 4840011 186281 1205 66113000907 FATMAWATI 26-04-1984 PERENCANA PERTAMA ANALIS KEBIJAKAN PERTAMA ANALIS ANGGARAN LULUS LULUS LULUS 750 610807430 8870004 130693 5538 66113001380 FATRISIA LIAWATI 03-08-1987 PERENCANA PERTAMA PENYULUH KOPERASI ANALIS KEBIJAKAN PERTAMA LULUS LULUS LULUS 751 610810050 5880002 180440 1333 66113001317 FAUZAN 05-05-1988 GURU IPA PERTAMA GURU BIOLOGI PERTAMA ANALIS KEBIJAKAN PERTAMA LULUS LULUS TIDAK LULUS 752 611203150 6880005 140400 8671 66113001823 FAUZAN 15-06-1988 ANALIS KEBIJAKAN PERTAMA PENGAWAS KETENAGAKERJAAN PERTAMA ANALIS LAYANAN UMUM LULUS LULUS LULUS 753 611203641 2860002 137417 8877 66113000805 FAUZIAH 24-12-1986 GURU MATEMATIKA PERTAMA ANALIS KEBIJAKAN PERTAMA LULUS TIDAK LULUS TIDAK LULUS 754 617103530 2900008 197088 4174 66112000652 FEBBI YANTI 13-02-1990 VERIFIKATOR KEUANGAN LULUS TIDAK LULUS TIDAK LULUS 755 617105460 5890003 194683 9681 66113000541 FEBBY VIOLENDI, 06-05-1989 GURU MATEMATIKA PERTAMA LULUS TIDAK LULUS TIDAK LULUS 756 611201070 2900001 190286 1866 66112000164 FEBLI NOVIANTO. J. 07-02-1990 PERAWAT PELAKSANA LULUS TIDAK LULUS TIDAK LULUS
  • 39.
    NO NIK NO REGIST ER NO PESERTA NAMA TANGGAL LAHIR PILIHAN JABATAN 1 NAMA JABATAN 2 NAMA JABATAN 3 STATUS PILIHAN 1 STATUS PILIHAN 2 STATUS PILIHAN 3 757 617101030 2810016 188758 8891 66113001858 FEBRANNY PRIESTA KORAAG 03-02-1981 DOKTER PERTAMA LULUS TIDAK LULUS TIDAK LULUS 758 611209500 2860007 142105 1556 66112000037 FEBRI SANTRIYANA 10-02-1986 PENGADMINISTRASI UMUM LULUS TIDAK LULUS TIDAK LULUS 759 617105110 2860003 173649 3184 66113000659 FEBRI SURYAWARDANI 11-02-1986 ANALIS KEBIJAKAN PERTAMA LULUS TIDAK LULUS TIDAK LULUS 760 611209440 2890006 207810 0750 66112000327 FEBRIANA DAMAYANTI 04-02-1989 PERAWAT PELAKSANA LULUS TIDAK LULUS TIDAK LULUS 761 617102021 2900009 175317 5548 66112000374 FEBRIANSYAH 02-12-1990 VERIFIKATOR KEUANGAN LULUS TIDAK LULUS TIDAK LULUS 762 617101480 2890004 160546 7010 66113000619 FEBRIANTI 08-02-1989 ANALIS KEBIJAKAN PERTAMA LULUS TIDAK LULUS TIDAK LULUS 763 611201600 2910013 121922 3208 66112000114 FEBRIN VERA BULIN 20-02-1991 PENYUSUN RISALAH PENGADMINISTRASI UMUM LULUS LULUS TIDAK LULUS 764 617105500 2900009 153223 9917 66113001663 FEBRINA TRIUTARI 10-02-1990 PAMONG BUDAYA PERTAMA ANALIS KEBIJAKAN PERTAMA LULUS LULUS TIDAK LULUS 765 611201450 2900005 170654 2231 66113001752 FEBRY MAVICA 05-02-1990 GURU MATEMATIKA PERTAMA ANALIS KEBIJAKAN PERTAMA LULUS TIDAK LULUS TIDAK LULUS 766 611201200 2880013 181223 1085 66113000149 FEBTU DALUH ANGGA 20-02-1988 PRANATA KOMPUTER PERTAMA ANALIS KEBIJAKAN PERTAMA LULUS LULUS TIDAK LULUS 767 617103450 8880015 147175 4897 66112000143 FEGA ALHUTAMI 05-08-1988 NUTRISIONIS PELAKSANA LULUS TIDAK LULUS TIDAK LULUS 768 617104170 6840027 113712 0323 66113001860 FELISIANUS 17-06-1984 GURU MATEMATIKA PERTAMA LULUS TIDAK LULUS TIDAK LULUS 769 617104620 7910001 159021 5768 66112000849 FENI LISTIABUDIARTI 22-07-1991 PENGADMINISTRASI UMUM LULUS TIDAK LULUS TIDAK LULUS 770 617104710 1860003 105940 4092 66112000460 FENNY BUDI RAHAYU 31-01-1986 PENGADMINISTRASI UMUM PENYUSUN RISALAH LULUS LULUS TIDAK LULUS 771 617105591 2860003 116368 4559 66112000479 FENNY BUDIARTI 19-12-1986 PENGADMINISTRASI UMUM PENYUSUN RISALAH LULUS LULUS TIDAK LULUS 772 611201490 5860010 205250 5790 66113000897 FENNY MAISYARA 09-05-1986 ANALIS KEBIJAKAN PERTAMA LULUS TIDAK LULUS TIDAK LULUS 773 617105440 1880002 152240 0745 66113001203 FENNY VERANIKA 08-01-1988 GURU BAHASA INGGRIS PERTAMA SMP GURU BAHASA INGGRIS PERTAMA SMA ANALIS KEBIJAKAN PERTAMA LULUS LULUS TIDAK LULUS 774 611203451 1880004 105108 9861 66113001584 FENTRI SUNDARI 05-11-1988 ANALIS ANGGARAN PENYULUH KOPERASI PERENCANA PERTAMA LULUS LULUS LULUS 775 617103431 2830011 143909 4815 66113001826 FERA EKA SARI, SE 03-12-1983 ANALIS KEBIJAKAN PERTAMA LULUS TIDAK LULUS TIDAK LULUS 776 617204610 2880003 213183 7450 66113001110 FERAWATI 21-02-1988 PENGAWAS KETENAGAKERJAAN PERTAMA PERANCANG PERUNDANG-UNDANGAN PERTAMA ANALIS KEBIJAKAN PERTAMA LULUS LULUS LULUS
  • 40.
    NO NIK NO REGIST ER NO PESERTA NAMA TANGGAL LAHIR PILIHAN JABATAN 1 NAMA JABATAN 2 NAMA JABATAN 3 STATUS PILIHAN 1 STATUS PILIHAN 2 STATUS PILIHAN 3 777 610617100 1930001 199204 6079 66112000150 FERDI ILHAM SAPUTRA 10-01-1993 PENGADMINISTRASI UMUM PENYUSUN RISALAH LULUS LULUS TIDAK LULUS 778 611201080 2890014 131294 8349 66113000631 FERDIANSYAH 08-02-1989 PERENCANA PERTAMA ANALIS ANGGARAN ANALIS KERJASAMA DAN PERMODALAN LULUS LULUS LULUS 779 611201060 1870004 119824 1139 66113001129 FERIANTO 06-01-1987 ANALIS KEBIJAKAN PERTAMA LULUS TIDAK LULUS TIDAK LULUS 780 617104660 2910007 151831 2127 66113000523 FERIYANTI 26-02-1991 GURU MATEMATIKA PERTAMA LULUS TIDAK LULUS TIDAK LULUS 781 611201021 0870001 171434 8827 66113001278 FERIZA YUDHA PRASTAMA 02-10-1987 ANALIS KEBIJAKAN PERTAMA GURU BAHASA INGGRIS PERTAMA SMA GURU BAHASA INGGRIS PERTAMA SMP TIDAK LULUS LULUS LULUS 782 617103571 1890006 210705 4369 66113000727 FERRA NOVITA SARI 17-11-1989 GURU MATEMATIKA PERTAMA LULUS TIDAK LULUS TIDAK LULUS 783 617101240 4860012 130519 7056 66113001107 FERRY FADLY 24-04-1986 PERANCANG PERUNDANG-UNDANGAN PERTAMA PENGAWAS KETENAGAKERJAAN PERTAMA MEDIATOR HUBUNGAN INDUSTRIAL PERTAMA LULUS LULUS LULUS 784 617105110 4870502 201786 8927 66113001369 FERRY FAISAL VALERRY, S.SOS 11-04-1987 PEKERJA SOSIAL PERTAMA LULUS TIDAK LULUS TIDAK LULUS 785 610218200 2900001 158051 8990 66113001497 FERRY FEBRIAN WIJAYA 20-02-1990 PRANATA KOMPUTER PERTAMA ANALIS KEBIJAKAN PERTAMA LULUS LULUS TIDAK LULUS 786 611201011 0860006 147579 5776 66113000493 FERY WAHYUDI 01-10-1986 PERENCANA PERTAMA ANALIS KERJASAMA DAN PERMODALAN ANALIS KEBIJAKAN PERTAMA LULUS LULUS LULUS 787 617102180 8810008 134737 7679 66113001338 FERYANSYAH. ST 18-08-1981 ANALIS KEBIJAKAN PERTAMA LULUS TIDAK LULUS TIDAK LULUS 788 617102600 2850002 163040 2454 66113000812 FESTI HANDINI 20-02-1985 GURU MATEMATIKA PERTAMA LULUS TIDAK LULUS TIDAK LULUS 789 617101520 1840007 188473 6121 66112000452 FIESTY FATIKA 12-01-1984 PENGADMINISTRASI UMUM PENYUSUN RISALAH LULUS LULUS TIDAK LULUS 790 611203490 5920003 145544 3994 66112000464 FIFIT JASMIAH 09-05-1992 NUTRISIONIS PELAKSANA LULUS TIDAK LULUS TIDAK LULUS 791 617105650 9880004 202135 5757 66112000767 FIJALIANA 25-09-1988 VERIFIKATOR KEUANGAN LULUS TIDAK LULUS TIDAK LULUS 792 617103130 6810010 210394 5030 66113001753 FIKRI INDRAJATI 13-06-1981 PENATA RUANG PERTAMA SURVEYOR PEMETAAN PERTAMA LULUS LULUS TIDAK LULUS 793 610212550 2870002 175044 0229 66113000306 FINAWATI. SH 15-02-1987 PERANCANG PERUNDANG-UNDANGAN PERTAMA ANALIS LAYANAN UMUM MEDIATOR HUBUNGAN INDUSTRIAL PERTAMA LULUS LULUS LULUS 794 611209621 1930002 172485 9123 66112000782 FIRDHA AMALIA 22-11-1993 VERIFIKATOR KEUANGAN LULUS TIDAK LULUS TIDAK LULUS 795 610201660 7890002 183979 7202 66113001859 FIRLIA FAWINTA 26-07-1989 GURU MATEMATIKA PERTAMA LULUS TIDAK LULUS TIDAK LULUS 796 611201110 2880006 114310 8834 66113000900 FIRMANSYAH 11-02-1988 ANALIS KEBIJAKAN PERTAMA PEKERJA SOSIAL PERTAMA PENYULUH SOSIAL PERTAMA LULUS TIDAK LULUS TIDAK LULUS
  • 41.
    NO NIK NO REGIST ER NO PESERTA NAMA TANGGAL LAHIR PILIHAN JABATAN 1 NAMA JABATAN 2 NAMA JABATAN 3 STATUS PILIHAN 1 STATUS PILIHAN 2 STATUS PILIHAN 3 797 611207421 1930001 136965 8683 66112000072 FIRRANIA RANIPUSPITA 02-11-1993 NUTRISIONIS PELAKSANA LULUS TIDAK LULUS TIDAK LULUS 798 611207460 5920003 161180 5641 66113001419 FIRSARIA FITRA NILA 06-05-1992 GURU MATEMATIKA PERTAMA LULUS TIDAK LULUS TIDAK LULUS 799 617103280 3810005 148437 3424 66113001615 FITHRI RAHMADI 28-03-1981 PENATA RUANG PERTAMA SURVEYOR PEMETAAN PERTAMA ANALIS KEBIJAKAN PERTAMA LULUS LULUS LULUS 800 331420541 0920002 192377 5088 66112000085 FITHRI WULANDARI 14-10-1992 BIDAN PELAKSANA LULUS TIDAK LULUS TIDAK LULUS 801 617101420 7840010 195407 8114 66113000784 FITHROTUL UMMI,SE 02-07-1984 ANALIS KEBIJAKAN PERTAMA PERENCANA PERTAMA ANALIS KERJASAMA DAN PERMODALAN LULUS LULUS LULUS 802 617102131 0870005 183009 5082 66113000282 FITRA HERMAWAN 13-10-1987 ANALIS KEBIJAKAN PERTAMA LULUS TIDAK LULUS TIDAK LULUS 803 617102080 6860010 209973 3204 66113000097 FITRAH HIDAYATUR RAHMAN, SH 08-06-1986 PERANCANG PERUNDANG-UNDANGAN PERTAMA PENGAWAS KETENAGAKERJAAN PERTAMA ANALIS KEBIJAKAN PERTAMA LULUS LULUS LULUS 804 617105530 7830003 110749 2784 66113000330 FITRI ANNISA 13-07-1983 GURU SEJARAH PERTAMA LULUS TIDAK LULUS TIDAK LULUS 805 617106600 4920001 208194 6921 66112000515 FITRI APRI SARIATI 20-04-1992 PENGADMINISTRASI UMUM PENYUSUN RISALAH LULUS LULUS TIDAK LULUS 806 617101680 4870004 161953 9769 66113000712 FITRI APRILIASTUTI 28-04-1987 GURU SEJARAH PERTAMA LULUS TIDAK LULUS TIDAK LULUS 807 611209630 7890003 167571 2000 66113000194 FITRI HARYATI 23-07-1989 GURU MATEMATIKA PERTAMA ANALIS KEBIJAKAN PERTAMA LULUS TIDAK LULUS TIDAK LULUS 808 611209430 3910008 152949 6309 66112000872 FITRI RAHAYU 03-03-1991 BIDAN PELAKSANA LULUS TIDAK LULUS TIDAK LULUS 809 617104530 4890006 191363 3239 66113000891 FITRI RATNASARI 13-04-1989 PERENCANA PERTAMA ANALIS ANGGARAN ANALIS KERJASAMA DAN PERMODALAN LULUS LULUS LULUS 810 610715620 3920002 160797 8763 66112000063 FITRI WULANDARI 22-03-1992 NUTRISIONIS PELAKSANA LULUS TIDAK LULUS TIDAK LULUS 811 617104550 5880007 143636 8124 66112000149 FITRI YANI 15-05-1988 PENGADMINISTRASI UMUM PENYUSUN RISALAH LULUS LULUS TIDAK LULUS 812 617103410 3930006 205026 7285 66112000770 FITRI YANI 01-03-1993 VERIFIKATOR KEUANGAN LULUS TIDAK LULUS TIDAK LULUS 813 617103421 0810005 132519 9670 66113001897 FITRIA 02-10-1981 PUSTAKAWAN PERTAMA LULUS TIDAK LULUS TIDAK LULUS 814 611201430 7890008 134737 4156 66113000886 FITRIA ARISANTI 03-07-1989 GURU SEJARAH PERTAMA LULUS TIDAK LULUS TIDAK LULUS 815 610215440 4920001 131822 8060 66112000503 FITRIA KARYA NINGSI 04-04-1992 NUTRISIONIS PELAKSANA LULUS TIDAK LULUS TIDAK LULUS 816 611209710 5860001 101920 0787 66113001428 FITRIA MASYITA 31-05-1986 PERENCANA PERTAMA ANALIS ANGGARAN ANALIS KERJASAMA DAN PERMODALAN LULUS LULUS LULUS
  • 42.
    NO NIK NO REGIST ER NO PESERTA NAMA TANGGAL LAHIR PILIHAN JABATAN 1 NAMA JABATAN 2 NAMA JABATAN 3 STATUS PILIHAN 1 STATUS PILIHAN 2 STATUS PILIHAN 3 817 611201460 8810011 174727 5830 66113001616 FITRIA NINGRUM, SP 06-08-1981 ANALIS KEBIJAKAN PERTAMA LULUS TIDAK LULUS TIDAK LULUS 818 611201410 8910008 175694 9457 66113000329 FITRIA RATNASARI 01-08-1991 ANALIS KEBIJAKAN PERTAMA PERENCANA PERTAMA ANALIS ANGGARAN LULUS LULUS LULUS 819 617105580 6890001 105027 8267 66113000960 FITRIA YUNIARSIH 18-06-1989 GURU MATEMATIKA PERTAMA LULUS TIDAK LULUS TIDAK LULUS 820 611201490 6860012 136793 4174 66113001461 FITRIA YUNIWATI SARAGI 09-06-1986 PEKERJA SOSIAL PERTAMA PENYULUH SOSIAL PERTAMA ANALIS KEBIJAKAN PERTAMA LULUS LULUS LULUS 821 617101230 6850008 151099 4795 66112000487 FITRIAN 23-06-1985 PENGADMINISTRASI UMUM PENYUSUN RISALAH LULUS LULUS TIDAK LULUS 822 617105220 5880002 192766 6427 66113000998 FITRIAN WARDA SETIYO 22-05-1988 ANALIS ANGGARAN PENYULUH KOPERASI ANALIS KERJASAMA DAN PERMODALAN LULUS LULUS LULUS 823 610301690 3900001 156267 1452 66112000275 FITRIANA NOVITASARI 29-03-1990 PERAWAT PELAKSANA LULUS TIDAK LULUS TIDAK LULUS 824 611201290 5870006 190748 8943 66113000009 FITRIANDI 29-05-1987 GURU MATEMATIKA PERTAMA LULUS LULUS LULUS 825 610207480 4870004 141485 9739 66112000323 FITRIANI 08-04-1987 PENGADMINISTRASI UMUM PENYUSUN RISALAH LULUS LULUS TIDAK LULUS 826 617103530 5890002 142198 0582 66112000432 FITRIANI 13-05-1989 BIDAN PELAKSANA LULUS TIDAK LULUS TIDAK LULUS 827 617102451 1860006 212237 8040 66113000068 FITRIANI 05-11-1986 GURU MATEMATIKA PERTAMA ANALIS KEBIJAKAN PERTAMA LULUS TIDAK LULUS TIDAK LULUS 828 617104510 8880004 195050 1871 66113000451 FITRIANI 11-08-1988 GURU SEJARAH PERTAMA LULUS TIDAK LULUS TIDAK LULUS 829 617105681 2830008 106375 8971 66113001603 FITRIANI 28-12-1983 ANALIS KEBIJAKAN PERTAMA LULUS TIDAK LULUS TIDAK LULUS 830 611201580 3870008 160101 9099 66113000251 FITRIANI, SE 18-03-1987 PENYULUH KOPERASI ANALIS KERJASAMA DAN PERMODALAN PERENCANA PERTAMA LULUS LULUS LULUS 831 617102680 6870001 155172 9249 66113001432 FITRIANINGSIH 28-06-1987 PENGENDALI ORGANISME PENGGANGGU TUMBUHAN PERTAMA ANALIS KEBIJAKAN PERTAMA TIDAK LULUS LULUS TIDAK LULUS 832 610807700 7840002 105936 1617 66112000043 FITRIATI B 30-07-1984 NUTRISIONIS PELAKSANA LULUS TIDAK LULUS TIDAK LULUS 833 617101620 9890005 128467 8703 66112000026 FIZNISSA ADITYA 22-09-1989 BIDAN PELAKSANA LULUS TIDAK LULUS TIDAK LULUS 834 611201570 9890008 111439 8090 66113001094 FLAVIANA ARKE 17-09-1989 ANALIS KEBIJAKAN PERTAMA LULUS TIDAK LULUS TIDAK LULUS 835 611201280 5890006 132010 7010 66113000565 FLORENTIUS DOMI BORNEO 28-05-1989 PRANATA KOMPUTER PERTAMA ANALIS KEBIJAKAN PERTAMA LULUS LULUS TIDAK LULUS 836 617201071 1920003 168747 5948 66113000690 FRAKACHZUL HEROESDIKA 07-11-1992 GURU BAHASA INGGRIS PERTAMA SMP GURU BAHASA INGGRIS PERTAMA SMA ANALIS KEBIJAKAN PERTAMA LULUS LULUS TIDAK LULUS
  • 43.
    NO NIK NO REGIST ER NO PESERTA NAMA TANGGAL LAHIR PILIHAN JABATAN 1 NAMA JABATAN 2 NAMA JABATAN 3 STATUS PILIHAN 1 STATUS PILIHAN 2 STATUS PILIHAN 3 837 611201530 8890007 160114 9237 66113001418 FRAMITA 13-08-1989 PEKERJA SOSIAL PERTAMA PENYULUH SOSIAL PERTAMA ANALIS KEBIJAKAN PERTAMA LULUS LULUS LULUS 838 331810240 4850002 170646 2384 66113001562 FRANSISCUS SUDARTO 24-04-1985 TEKNIK JALAN DAN JEMBATAN PERTAMA ANALIS KEBIJAKAN PERTAMA LULUS LULUS TIDAK LULUS 839 610419520 2820001 165520 9309 66113001356 FRANSISKA RAHILA 12-02-1982 ANALIS KEBIJAKAN PERTAMA LULUS TIDAK LULUS TIDAK LULUS 840 617105470 9870503 104003 1878 66112000876 FRANSISKA SRIWATI 07-09-1987 PENGADMINISTRASI UMUM PENYUSUN RISALAH LULUS LULUS TIDAK LULUS 841 610106501 0820002 133415 3362 66113001613 FRANSISKA YUNITA 10-10-1982 PERENCANA PERTAMA PENYULUH KOPERASI ANALIS ANGGARAN LULUS LULUS LULUS 842 611203180 5930002 139650 9986 66112000080 FRANSISKUS WILLY BRODUS 18-05-1993 PERAWAT PELAKSANA LULUS TIDAK LULUS TIDAK LULUS 843 610104271 2890001 179488 6370 66113000995 FREDDY SUTRISNO 27-12-1989 PRANATA KOMPUTER PERTAMA LULUS TIDAK LULUS TIDAK LULUS 844 610807300 1850003 127612 9254 66113000867 FREDERIK TRINAURI 30-01-1985 PAMONG BUDAYA PERTAMA ANALIS KEBIJAKAN PERTAMA LULUS LULUS TIDAK LULUS 845 617105030 2940004 182433 4028 66112000858 FREDIANTONI 03-02-1994 PENGADMINISTRASI UMUM LULUS TIDAK LULUS TIDAK LULUS 846 617102200 9870004 129057 8044 66113000309 FREDRIK DOMINGGO GONSALES.N 20-09-1987 PRANATA KOMPUTER PERTAMA ANALIS KEBIJAKAN PERTAMA LULUS LULUS TIDAK LULUS 847 617102220 4810002 200353 0315 66113000143 FREDRIK LILIK 22-04-1981 GURU BAHASA INGGRIS PERTAMA SMP GURU BAHASA INGGRIS PERTAMA SMA ANALIS KEBIJAKAN PERTAMA LULUS LULUS TIDAK LULUS 848 610811410 4920002 139954 0238 66112000381 FRISKA BAYA 01-04-1992 PERAWAT PELAKSANA LULUS TIDAK LULUS TIDAK LULUS 849 611203490 2920003 173057 2895 66112000293 FRISKA DIAN ANDITA 09-02-1992 BIDAN PELAKSANA LULUS TIDAK LULUS TIDAK LULUS 850 611201520 3890022 198368 7773 66113000424 FUJI MAYASARI, S.PD 12-03-1989 GURU SEJARAH PERTAMA LULUS TIDAK LULUS TIDAK LULUS 851 611203601 0910003 194643 4059 66113000308 GABRYELLA OCTARIA PAMELA.M.SIMARMATA 20-10-1991 ANALIS KEPEGAWAIAN PERTAMA ANALIS KEPENDUDUKAN DAN PENCATATAN SIPIL ANALIS KEBIJAKAN PERTAMA LULUS LULUS LULUS 852 611201440 4890010 161171 6988 66113000378 GALUH IRMAWATI 04-04-1989 PERANCANG PERUNDANG-UNDANGAN PERTAMA ANALIS KEBIJAKAN PERTAMA PENGAWAS KETENAGAKERJAAN PERTAMA LULUS LULUS LULUS 853 611201430 6910006 123112 1344 66113000749 GANOVA EVLIN 03-06-1991 ANALIS KEBIJAKAN PERTAMA LULUS TIDAK LULUS TIDAK LULUS 854 610704530 1920006 154609 8485 66112000507 GARI YULINDA 01-01-1992 NUTRISIONIS PELAKSANA LULUS TIDAK LULUS TIDAK LULUS 855 611103120 4850002 212666 5500 66113000015 GATOT SUJARWADI 12-04-1985 ANALIS KEBIJAKAN PERTAMA LULUS TIDAK LULUS TIDAK LULUS 856 617101530 7900006 205015 5874 66112000042 GEMA SAFITRI 13-07-1990 NUTRISIONIS PELAKSANA LULUS TIDAK LULUS TIDAK LULUS
  • 44.
    NO NIK NO REGIST ER NO PESERTA NAMA TANGGAL LAHIR PILIHAN JABATAN 1 NAMA JABATAN 2 NAMA JABATAN 3 STATUS PILIHAN 1 STATUS PILIHAN 2 STATUS PILIHAN 3 857 610104010 7860046 171810 3832 66112000398 GENDRIONO 01-07-1986 PERAWAT PELAKSANA LULUS TIDAK LULUS TIDAK LULUS 858 120603410 7910049 202360 4541 66112000764 GEOVANI EPIOSEA BR SITEPU 04-04-1991 BIDAN PELAKSANA LULUS TIDAK LULUS TIDAK LULUS 859 611002051 0920003 200398 6242 66112000488 GERI OKTOHARIADI 05-10-1992 PERAWAT PELAKSANA LULUS TIDAK LULUS TIDAK LULUS 860 150117420 5910001 176320 4738 66113001279 GIARTI SASTRA DEWI 02-05-1991 GURU MATEMATIKA PERTAMA LULUS TIDAK LULUS TIDAK LULUS 861 611201440 1900011 204513 6340 66113001312 GIGIH TRI LESTARI 04-01-1990 GURU SEJARAH PERTAMA LULUS TIDAK LULUS TIDAK LULUS 862 610207420 3920004 130656 4340 66112000383 GITA GLORIA GINTING 02-03-1992 BIDAN PELAKSANA LULUS TIDAK LULUS TIDAK LULUS 863 610201500 2910001 133953 9258 66112000305 GITA PEBRIANDARI 10-02-1991 BIDAN PELAKSANA LULUS TIDAK LULUS TIDAK LULUS 864 611207171 2900003 140053 3912 66113001177 GITO PURWONO 17-12-1990 GURU KIMIA PERTAMA ANALIS KEBIJAKAN PERTAMA LULUS TIDAK LULUS TIDAK LULUS 865 611203440 5930002 139884 4895 66112000292 GLORIA 04-05-1993 BIDAN PELAKSANA LULUS TIDAK LULUS TIDAK LULUS 866 617104240 8900015 193543 3141 66113000377 GREGORIUS ANDRY AGUSTA 24-08-1990 ANALIS KEBIJAKAN PERTAMA LULUS TIDAK LULUS TIDAK LULUS 867 737114150 6890002 214126 3196 66113000002 GUNAWAN MP 15-06-1989 GURU BAHASA INGGRIS PERTAMA SMP GURU BAHASA INGGRIS PERTAMA SMA LULUS LULUS LULUS 868 617103160 5870007 188315 9954 66113001600 GUNAWAN NUGRAHA 16-05-1987 ANALIS KEBIJAKAN PERTAMA LULUS TIDAK LULUS TIDAK LULUS 869 610801201 1810004 115036 1094 66112000701 GUNTUR 20-11-1981 PENYUSUN RISALAH PENGADMINISTRASI UMUM LULUS LULUS TIDAK LULUS 870 611201261 0830003 176830 6589 66113001776 GUNTUR GUNAWAN 26-10-1983 PENYULUH KOPERASI LULUS TIDAK LULUS TIDAK LULUS 871 611201160 8850016 150671 0888 66113001745 GUSMADI 16-08-1985 ANALIS KEBIJAKAN PERTAMA LULUS TIDAK LULUS TIDAK LULUS 872 611201580 8910002 145932 6164 66112000358 GUSRINI 18-08-1991 BIDAN PELAKSANA LULUS TIDAK LULUS TIDAK LULUS 873 610507041 2840002 206495 2449 66112000446 GUSTI ANWAR 04-12-1984 PERAWAT PELAKSANA LULUS TIDAK LULUS TIDAK LULUS 874 610101430 1870005 130510 4346 66113000505 GUSTI AYU EVY RESTIANTY, SE 03-01-1987 PERENCANA PERTAMA ANALIS ANGGARAN PENYULUH KOPERASI LULUS LULUS LULUS 875 617103221 2900013 101106 4916 66112000506 GUSTI DENNY SUHENDRA 22-12-1990 VERIFIKATOR KEUANGAN LULUS TIDAK LULUS TIDAK LULUS 876 617105040 7840503 117563 2027 66113000220 GUSTI RONAL 04-07-1984 ANALIS KEBIJAKAN PERTAMA LULUS TIDAK LULUS TIDAK LULUS
  • 45.
    NO NIK NO REGIST ER NO PESERTA NAMA TANGGAL LAHIR PILIHAN JABATAN 1 NAMA JABATAN 2 NAMA JABATAN 3 STATUS PILIHAN 1 STATUS PILIHAN 2 STATUS PILIHAN 3 877 610201700 8900003 204858 8056 66113001472 GUSTIANA SAPUTRI 30-08-1990 GURU MATEMATIKA PERTAMA LULUS TIDAK LULUS TIDAK LULUS 878 610116660 8860003 141362 9331 66113000128 GUSTIANTI 26-08-1986 GURU SEJARAH PERTAMA LULUS TIDAK LULUS TIDAK LULUS 879 610102570 8930005 128763 0468 66112000429 GUSTINA 17-08-1993 PERAWAT PELAKSANA LULUS TIDAK LULUS TIDAK LULUS 880 610101570 8910004 145248 1398 66113000464 GUSTRI YENI 17-08-1991 GURU SEJARAH PERTAMA ANALIS KEBIJAKAN PERTAMA LULUS TIDAK LULUS TIDAK LULUS 881 617105060 6830008 150973 4552 66113000647 HABIBURRAHMAN 06-06-1983 PENATA RUANG PERTAMA SURVEYOR PEMETAAN PERTAMA ANALIS KEBIJAKAN PERTAMA LULUS LULUS LULUS 882 610320040 4850001 143645 0896 66113001569 HADI SUTJIPTO 04-04-1985 PRANATA KOMPUTER PERTAMA ANALIS KEBIJAKAN PERTAMA LULUS LULUS TIDAK LULUS 883 617103610 9800005 156307 3308 66113000765 HADNI HERLENA, SPD 21-09-1980 GURU MATEMATIKA PERTAMA LULUS TIDAK LULUS TIDAK LULUS 884 617105650 8910005 118660 0256 66112000060 HADRIYANTI DEWI LESTARI 25-08-1991 BIDAN PELAKSANA LULUS TIDAK LULUS TIDAK LULUS 885 617103520 4860505 177730 0065 66113000612 HAFIFAH, S.SI 12-04-1986 ANALIS KEBIJAKAN PERTAMA LULUS TIDAK LULUS TIDAK LULUS 886 617102681 1790001 143147 5232 66113001137 HAFIZAH, S.PD 28-11-1979 GURU MATEMATIKA PERTAMA LULUS TIDAK LULUS TIDAK LULUS 887 611201170 2870013 188431 7885 66113001816 HAIRUL 17-02-1987 PEKERJA SOSIAL PERTAMA PENYULUH SOSIAL PERTAMA ANALIS KEBIJAKAN PERTAMA LULUS LULUS LULUS 888 611209660 6900005 155536 1584 66113000443 HAJIZAH 26-06-1990 GURU MATEMATIKA PERTAMA LULUS TIDAK LULUS TIDAK LULUS 889 610416590 2920002 166185 7070 66112000348 HALIDA ZIA 19-02-1992 PENGADMINISTRASI UMUM PENYUSUN RISALAH LULUS LULUS TIDAK LULUS 890 617102440 8830005 180220 5455 66113001592 HALIFAH DARLIA, SE 04-08-1983 ANALIS KERJASAMA DAN PERMODALAN ANALIS KEBIJAKAN PERTAMA PENYULUH KOPERASI LULUS LULUS LULUS 891 617104680 2830011 199756 5887 66113000768 HALIMAH 28-02-1983 GURU MATEMATIKA PERTAMA ANALIS KEBIJAKAN PERTAMA LULUS TIDAK LULUS TIDAK LULUS 892 617101490 7900003 208067 4216 66113000964 HALIMATUS SA'DIAH 09-07-1990 GURU IPA PERTAMA GURU FISIKA PERTAMA LULUS LULUS TIDAK LULUS 893 617104671 2920008 100855 1616 66113000540 HALIPAH 27-12-1992 GURU BAHASA INDONESIA PERTAMA ANALIS KEBIJAKAN PERTAMA LULUS TIDAK LULUS TIDAK LULUS 894 611209580 6860004 168082 8781 66112000005 HAMBIYAH 18-06-1986 BIDAN PELAKSANA LULUS TIDAK LULUS TIDAK LULUS 895 617102170 5870001 134029 2207 66113000425 HAMDANI 17-05-1987 GURU MATEMATIKA PERTAMA ANALIS KEBIJAKAN PERTAMA LULUS TIDAK LULUS TIDAK LULUS 896 617103250 6840002 163292 0729 66113001361 HAMDANI 25-06-1984 ANALIS KEBIJAKAN PERTAMA LULUS TIDAK LULUS TIDAK LULUS
  • 46.
    NO NIK NO REGIST ER NO PESERTA NAMA TANGGAL LAHIR PILIHAN JABATAN 1 NAMA JABATAN 2 NAMA JABATAN 3 STATUS PILIHAN 1 STATUS PILIHAN 2 STATUS PILIHAN 3 897 610116131 0860001 180278 4043 66112000408 HAMILIN 13-10-1986 PERAWAT PELAKSANA LULUS TIDAK LULUS TIDAK LULUS 898 611209090 6830003 113268 5503 66113001248 HAMKA 09-06-1983 TEKNIK JALAN DAN JEMBATAN PERTAMA ANALIS KEBIJAKAN PERTAMA LULUS LULUS TIDAK LULUS 899 617101210 2870005 194670 1402 66113000603 HAMNI FEBRA DA'I FURHAN 21-02-1987 PENYULUH KOPERASI ANALIS KERJASAMA DAN PERMODALAN LULUS LULUS TIDAK LULUS 900 617105520 4870010 131543 0408 66113000508 HANA NURSIANA 12-04-1987 ANALIS KEBIJAKAN PERTAMA LULUS TIDAK LULUS TIDAK LULUS 901 610218010 3830003 146723 9671 66113000100 HANDRI WIJAYA, ST 01-03-1983 PENGAWAS LINGKUNGAN HIDUP PERTAMA PENGENDALI DAMPAK LINGKUNGAN PERTAMA TEKNIK PENYEHATAN LINGKUNGAN PERTAMA LULUS LULUS LULUS 902 611206081 2870002 191266 9782 66113001331 HANGGARA RYOPUTRA 08-12-1987 PERENCANA PERTAMA PENYULUH KOPERASI ANALIS KERJASAMA DAN PERMODALAN LULUS LULUS LULUS 903 617104550 8900007 109500 3158 66113001041 HANGGARINI ADITYA RUSIANTO 15-08-1990 GURU SEJARAH PERTAMA ANALIS KEBIJAKAN PERTAMA LULUS TIDAK LULUS TIDAK LULUS 904 611209230 7820001 141720 6901 66113001511 HANGGHA PRAYOGA 23-07-1982 GURU BAHASA INGGRIS PERTAMA SMP ANALIS KEBIJAKAN PERTAMA LULUS TIDAK LULUS TIDAK LULUS 905 611207500 8870002 126381 7304 66113001216 HANIMATUL KHOIRIYAH 10-08-1987 ANALIS KEBIJAKAN PERTAMA LULUS TIDAK LULUS TIDAK LULUS 906 347113210 3860001 165713 2647 66113001703 HAPIZAN 21-03-1986 GURU IPA PERTAMA ANALIS KEBIJAKAN PERTAMA GURU FISIKA PERTAMA LULUS TIDAK LULUS LULUS 907 617202410 1880006 138224 1486 66113000040 HARDIANA 01-01-1988 GURU BAHASA INGGRIS PERTAMA SMP GURU BAHASA INGGRIS PERTAMA SMA ANALIS KEBIJAKAN PERTAMA LULUS LULUS TIDAK LULUS 908 617105650 8890007 110112 0800 66113000343 HARDIYANTI RUKMANA 25-08-1989 ANALIS KEBIJAKAN PERTAMA PERENCANA PERTAMA ANALIS ANGGARAN LULUS LULUS LULUS 909 611203060 2870003 163006 0419 66113000742 HARI JUMAWAN 13-02-1987 ANALIS KEBIJAKAN PERTAMA LULUS TIDAK LULUS TIDAK LULUS 910 610803570 8820002 179933 4084 66113000634 HARIA PROLANI 17-08-1982 ANALIS KEBIJAKAN PERTAMA LULUS TIDAK LULUS TIDAK LULUS 911 617105250 4870003 204633 9398 66113000150 HARIS PRIYATMOKO 25-04-1987 PRANATA KOMPUTER PERTAMA ANALIS KEBIJAKAN PERTAMA LULUS LULUS TIDAK LULUS 912 611201200 7890005 103272 7170 66113000244 HARIS SETIAWAN 20-07-1989 ANALIS KEBIJAKAN PERTAMA LULUS TIDAK LULUS TIDAK LULUS 913 617105100 4820006 108932 5327 66113000258 HARIS TRISWANTO 10-04-1982 PERENCANA PERTAMA PENYULUH KOPERASI ANALIS KEBIJAKAN PERTAMA LULUS LULUS LULUS 914 610301250 2810005 187116 3930 66113000080 HARIYARDI. A 25-02-1981 PERANCANG PERUNDANG-UNDANGAN PERTAMA MEDIATOR HUBUNGAN INDUSTRIAL PERTAMA ANALIS KEBIJAKAN PERTAMA LULUS LULUS LULUS 915 617105410 1820503 157246 4724 66113001794 HARLINA, S.PI 01-01-1982 PENGAWAS PERIKANAN PERTAMA LULUS TIDAK LULUS TIDAK LULUS 916 617101150 9870001 204578 8189 66113001044 HARRIS CESARDARMANTYA 15-09-1987 PRANATA KOMPUTER PERTAMA ANALIS KEBIJAKAN PERTAMA LULUS LULUS TIDAK LULUS
  • 47.
    NO NIK NO REGIST ER NO PESERTA NAMA TANGGAL LAHIR PILIHAN JABATAN 1 NAMA JABATAN 2 NAMA JABATAN 3 STATUS PILIHAN 1 STATUS PILIHAN 2 STATUS PILIHAN 3 917 611201130 7910005 189569 9254 66113001693 HARSAMUDA 13-07-1991 PRANATA KOMPUTER PERTAMA ANALIS KEBIJAKAN PERTAMA LULUS LULUS TIDAK LULUS 918 611201251 0880003 161792 0534 66112000746 HARY MULIANA 25-10-1988 PENGADMINISTRASI UMUM PENYUSUN RISALAH LULUS LULUS TIDAK LULUS 919 617101500 7890003 212892 0034 66113000189 HARYANTI 10-07-1989 GURU MATEMATIKA PERTAMA ANALIS KEBIJAKAN PERTAMA LULUS TIDAK LULUS TIDAK LULUS 920 617204230 2920001 206128 2267 66113000972 HARYO SETO 23-02-1992 PENGAWAS KETENAGAKERJAAN PERTAMA MEDIATOR HUBUNGAN INDUSTRIAL PERTAMA PENGANTAR KERJA PERTAMA LULUS LULUS LULUS 921 617103050 5820022 176657 8595 66113000307 HASAN, S. SOS. I 05-05-1982 ANALIS KEBIJAKAN PERTAMA LULUS TIDAK LULUS TIDAK LULUS 922 617104690 9850013 171473 1286 66113001863 HASANAH 29-09-1985 GURU MATEMATIKA PERTAMA LULUS TIDAK LULUS TIDAK LULUS 923 611209030 3810006 185783 3124 66113001115 HASANUDDIN 03-03-1981 ANALIS KEBIJAKAN PERTAMA LULUS TIDAK LULUS TIDAK LULUS 924 611103041 1870001 130033 5764 66112000196 HASANUDIN 04-11-1987 PERAWAT PELAKSANA LULUS TIDAK LULUS TIDAK LULUS 925 611205160 4880006 181441 3755 66112000803 HASARUDDIN 16-04-1988 PERAWAT PELAKSANA LULUS TIDAK LULUS TIDAK LULUS 926 610320601 0870003 135359 6240 66113000461 HASIAN NAULI 20-10-1987 GURU MATEMATIKA PERTAMA ANALIS KEBIJAKAN PERTAMA LULUS TIDAK LULUS TIDAK LULUS 927 611105100 4910001 165296 7374 66113001169 HASIM ASHARI 10-04-1991 GURU SEJARAH PERTAMA ANALIS KEBIJAKAN PERTAMA LULUS TIDAK LULUS TIDAK LULUS 928 617103300 4820007 146208 6473 66113001629 HASMUNIANSYAH 30-04-1982 GURU MATEMATIKA PERTAMA LULUS TIDAK LULUS TIDAK LULUS 929 610606080 9830001 131233 8885 66112000315 HASRANI HADINI 08-09-1983 PERAWAT PELAKSANA LULUS TIDAK LULUS TIDAK LULUS 930 610105420 5890004 199840 8790 66113001465 HASRIANA FITRI 02-05-1988 PENGENDALI DAMPAK LINGKUNGAN PERTAMA TEKNIK PENYEHATAN LINGKUNGAN PERTAMA ANALIS KEBIJAKAN PERTAMA LULUS LULUS LULUS 931 611201120 6840016 202943 8473 66113000823 HASRUL RIZAL 12-06-1984 ANALIS KEBIJAKAN PERTAMA LULUS TIDAK LULUS TIDAK LULUS 932 617103470 2900015 172139 4916 66113001837 HASTY KURNIAWATI 07-02-1990 ANALIS KEBIJAKAN PERTAMA PERANCANG PERUNDANG-UNDANGAN PERTAMA PENGAWAS KETENAGAKERJAAN PERTAMA LULUS LULUS LULUS 933 611201650 5870018 148302 5110 66113001800 HATIKAH 25-05-1987 ANALIS KEBIJAKAN PERTAMA LULUS TIDAK LULUS TIDAK LULUS 934 611201600 1880008 130299 1398 66113000718 HAYATI WS 20-01-1988 GURU IPA PERTAMA ANALIS KEBIJAKAN PERTAMA LULUS TIDAK LULUS TIDAK LULUS 935 611206570 5870002 168568 4204 66113000285 HELENA MEI TRI ASTUTI SUDIBYO 17-05-1987 GURU MATEMATIKA PERTAMA ANALIS KEBIJAKAN PERTAMA LULUS TIDAK LULUS TIDAK LULUS 936 610804530 9890002 203096 8822 66113000762 HELENA TRI WAHYUNI 13-09-1989 GURU FISIKA PERTAMA GURU IPA PERTAMA LULUS LULUS TIDAK LULUS
  • 48.
    NO NIK NO REGIST ER NO PESERTA NAMA TANGGAL LAHIR PILIHAN JABATAN 1 NAMA JABATAN 2 NAMA JABATAN 3 STATUS PILIHAN 1 STATUS PILIHAN 2 STATUS PILIHAN 3 937 610803260 7890001 142139 0211 66113000584 HELIODORUS 26-07-1989 GURU IPA PERTAMA LULUS TIDAK LULUS TIDAK LULUS 938 611201080 9820007 177202 9751 66113000517 HELIS DARYANTO, SH 08-09-1982 ANALIS KEBIJAKAN PERTAMA PENGAWAS KETENAGAKERJAAN PERTAMA PENGANTAR KERJA PERTAMA LULUS LULUS LULUS 939 610207280 9850001 152983 7946 66113001159 HENDRA EFENDI 28-09-1985 ANALIS KEBIJAKAN PERTAMA LULUS TIDAK LULUS TIDAK LULUS 940 611201151 1870001 204676 6730 66113000236 HENDRA KURNIAWAN 15-11-1987 PRANATA KOMPUTER PERTAMA ANALIS KEBIJAKAN PERTAMA LULUS LULUS TIDAK LULUS 941 611209230 2850004 194525 6657 66113001017 HENDRA KUSUMA ILHAM 23-02-1985 GURU MATEMATIKA PERTAMA ANALIS KEBIJAKAN PERTAMA LULUS TIDAK LULUS TIDAK LULUS 942 610105310 5820003 144309 3883 66113001558 HENDRA MAIYUDI, SE 31-05-1982 PENYULUH KOPERASI LULUS TIDAK LULUS TIDAK LULUS 943 611209220 9850002 131819 9427 66113001353 HENDRA PERDANA 22-09-1985 ANALIS KEBIJAKAN PERTAMA LULUS TIDAK LULUS TIDAK LULUS 944 611209191 0890001 147529 8780 66113000190 HENDRI 19-10-1989 GURU SEJARAH PERTAMA ANALIS KEBIJAKAN PERTAMA LULUS TIDAK LULUS TIDAK LULUS 945 617105270 6890005 211619 1595 66113001227 HENDRI ZULKARNAIN 27-06-1989 PRANATA KOMPUTER PERTAMA ANALIS KEBIJAKAN PERTAMA LULUS LULUS TIDAK LULUS 946 611201170 7910006 142990 4776 66113000183 HENDRIKUS RIAN 17-07-1991 PRANATA KOMPUTER PERTAMA ANALIS KEBIJAKAN PERTAMA LULUS LULUS TIDAK LULUS 947 617105240 4900003 198845 6778 66113001463 HENDRO 24-04-1990 PRANATA KOMPUTER PERTAMA ANALIS KEBIJAKAN PERTAMA LULUS LULUS TIDAK LULUS 948 611201670 2800017 111801 8611 66113000986 HENI ARSANTI DEWI 27-02-1980 ANALIS KEBIJAKAN PERTAMA LULUS TIDAK LULUS TIDAK LULUS 949 617105640 4800007 167819 5462 66113001831 HENI HERIYAWATI 24-04-1980 ANALIS KEBIJAKAN PERTAMA LULUS TIDAK LULUS TIDAK LULUS 950 617103470 1870152 192751 0588 66112000598 HENI JANUARTI 07-01-1987 PENYUSUN RISALAH PENGADMINISTRASI UMUM LULUS LULUS TIDAK LULUS 951 617103680 1910006 199604 8022 66113000670 HENI NURVITASARI 28-01-1991 GURU BAHASA INGGRIS PERTAMA SMP ANALIS KEBIJAKAN PERTAMA GURU BAHASA INGGRIS PERTAMA SMA LULUS TIDAK LULUS LULUS 952 611201510 1870006 163969 2864 66113000096 HENI PUSPITA DEWI 11-01-1987 PERANCANG PERUNDANG-UNDANGAN PERTAMA PENGAWAS KETENAGAKERJAAN PERTAMA ANALIS KEBIJAKAN PERTAMA LULUS LULUS LULUS 953 617105550 9810015 194508 3691 66113000813 HENI SRI UTAMI 15-09-1981 GURU MATEMATIKA PERTAMA ANALIS KEBIJAKAN PERTAMA LULUS TIDAK LULUS TIDAK LULUS 954 617102470 9800006 200912 6419 66113001215 HENI SUSILAWATI, SP 07-09-1980 ANALIS KEBIJAKAN PERTAMA LULUS TIDAK LULUS TIDAK LULUS 955 611201451 2860025 172882 9540 66112000268 HENNI SUFRIYANI, A.MD 05-12-1986 NUTRISIONIS PELAKSANA LULUS TIDAK LULUS TIDAK LULUS 956 611201501 1820013 163950 4306 66112000805 HENNY 10-11-1982 VERIFIKATOR KEUANGAN LULUS TIDAK LULUS TIDAK LULUS
  • 49.
    NO NIK NO REGIST ER NO PESERTA NAMA TANGGAL LAHIR PILIHAN JABATAN 1 NAMA JABATAN 2 NAMA JABATAN 3 STATUS PILIHAN 1 STATUS PILIHAN 2 STATUS PILIHAN 3 957 611201620 8910001 200066 6097 66112000490 HENNY WAHYUNI 22-08-1991 PENGADMINISTRASI UMUM LULUS TIDAK LULUS TIDAK LULUS 958 617103660 7860011 174944 5940 66112000342 HENNY EVA JULIANA PASARIBU 26-07-1986 PENGADMINISTRASI UMUM PENYUSUN RISALAH LULUS LULUS TIDAK LULUS 959 611201490 3810011 107530 9636 66113000344 HENNY KRIS RIWAYATI 09-03-1981 ANALIS KEBIJAKAN PERTAMA LULUS TIDAK LULUS TIDAK LULUS 960 337413680 3850001 193869 0251 66113001900 HENNY SUS SETYO WARDANY 28-03-1985 GURU IPA PERTAMA GURU FISIKA PERTAMA LULUS LULUS TIDAK LULUS 961 617105130 6880008 140837 4706 66113001819 HENRI SINAGA 13-06-1988 PENYULUH SOSIAL PERTAMA PEKERJA SOSIAL PERTAMA LULUS LULUS TIDAK LULUS 962 611201570 4910013 103900 5525 66113001691 HENY FITRIANI 17-04-1991 APOTEKER PERTAMA ANALIS KEBIJAKAN PERTAMA LULUS TIDAK LULUS TIDAK LULUS 963 610417641 2840004 114550 6502 66113000700 HENY PUSPASARI 24-12-1985 APOTEKER PERTAMA ANALIS KEBIJAKAN PERTAMA LULUS TIDAK LULUS TIDAK LULUS 964 617101580 6880002 109067 4253 66113000030 HENY SETIOWATI 18-06-1988 ANALIS LAYANAN UMUM ANALIS KEBIJAKAN PERTAMA PERANCANG PERUNDANG-UNDANGAN PERTAMA LULUS LULUS LULUS 965 611201560 2890007 205828 7760 66113001060 HEPPY PEBRIANA 16-02-1989 PENYULUH KOPERASI ANALIS KERJASAMA DAN PERMODALAN LULUS LULUS TIDAK LULUS 966 611201550 8820014 182706 3270 66112000126 HEPPY RAWATI MANURUNG 15-08-1982 BIDAN PELAKSANA LULUS TIDAK LULUS TIDAK LULUS 967 611206601 1830001 125097 9720 66113000544 HERAWATI 20-11-1983 GURU MATEMATIKA PERTAMA ANALIS KEBIJAKAN PERTAMA LULUS TIDAK LULUS TIDAK LULUS 968 617103600 7890005 193449 2213 66113001275 HERAWATI 20-07-1989 GURU BAHASA INGGRIS PERTAMA SMP LULUS TIDAK LULUS TIDAK LULUS 969 611201300 5840006 164402 6638 66113001329 HERCULANUS HARIANTO 31-05-1984 ANALIS KEBIJAKAN PERTAMA LULUS TIDAK LULUS TIDAK LULUS 970 640213180 8891004 108338 6865 66113000796 HERDIANSYAH 18-08-1989 PERENCANA PERTAMA ANALIS KERJASAMA DAN PERMODALAN ANALIS KEBIJAKAN PERTAMA LULUS LULUS LULUS 971 617105120 4880008 155954 3684 66113001827 HERDIANSYAH 12-04-1988 ANALIS KEBIJAKAN PERTAMA LULUS TIDAK LULUS TIDAK LULUS 972 611209260 5840002 162140 1915 66113001735 HERI KURNIAWAN, ST 26-05-1984 ANALIS KEBIJAKAN PERTAMA LULUS TIDAK LULUS TIDAK LULUS 973 610705090 4880001 211756 2174 66113000268 HERI RUSTAMAN 09-04-1988 PERENCANA PERTAMA ANALIS ANGGARAN ANALIS KEBIJAKAN PERTAMA LULUS LULUS LULUS 974 610405050 3890004 144569 0533 66113000389 HERIANSYAH 05-03-1989 PRANATA KOMPUTER PERTAMA LULUS TIDAK LULUS TIDAK LULUS 975 617101300 4860007 202086 8059 66113001912 HERIDIANSYAH 30-04-1986 ANALIS KEBIJAKAN PERTAMA SANITARIAN PERTAMA TIDAK LULUS LULUS TIDAK LULUS 976 611201670 4820006 199894 5008 66112000826 HERKULANA EVI 27-04-1982 PENGADMINISTRASI UMUM PENYUSUN RISALAH LULUS LULUS TIDAK LULUS
  • 50.
    NO NIK NO REGIST ER NO PESERTA NAMA TANGGAL LAHIR PILIHAN JABATAN 1 NAMA JABATAN 2 NAMA JABATAN 3 STATUS PILIHAN 1 STATUS PILIHAN 2 STATUS PILIHAN 3 977 610806160 8870007 127073 4723 66112000736 HERKULANUS MARJANI 16-08-1987 VERIFIKATOR KEUANGAN LULUS TIDAK LULUS TIDAK LULUS 978 617102580 7900005 186459 4785 66112000430 HERLIA 18-07-1990 BIDAN PELAKSANA LULUS TIDAK LULUS TIDAK LULUS 979 617103710 3810008 137087 1929 66112000036 HERLIANI EKA 31-03-1981 PENGADMINISTRASI UMUM PENYUSUN RISALAH LULUS LULUS TIDAK LULUS 980 610607441 1840003 112873 1765 66112000364 HERLINA 04-11-1984 PENGADMINISTRASI UMUM PENYUSUN RISALAH LULUS LULUS TIDAK LULUS 981 610806411 0860005 185486 2847 66112000844 HERLINA 01-10-1986 PENGADMINISTRASI UMUM PENYUSUN RISALAH LULUS LULUS TIDAK LULUS 982 617105500 8810010 129846 3284 66113000320 HERLINA 10-08-1981 GURU SEJARAH PERTAMA ANALIS KEBIJAKAN PERTAMA LULUS TIDAK LULUS TIDAK LULUS 983 617202460 8880001 193958 2138 66113001410 HERLINA 06-08-1988 PENYULUH KOPERASI LULUS TIDAK LULUS TIDAK LULUS 984 617103560 6820003 211884 6331 66112000838 HERLINA MOMOI 16-06-1982 PENGADMINISTRASI UMUM PENYUSUN RISALAH LULUS LULUS TIDAK LULUS 985 611201520 4900007 105742 7780 66113001881 HERLIYANTI 12-04-1990 GURU SEJARAH PERTAMA ANALIS KEBIJAKAN PERTAMA LULUS TIDAK LULUS TIDAK LULUS 986 611002270 9920001 200287 5607 66112000494 HERMANSYAH 27-09-1992 PERAWAT PELAKSANA LULUS TIDAK LULUS TIDAK LULUS 987 617104600 7880007 117461 0181 66113001719 HERMAWATI JULIANA SIMANJUNTAK 20-07-1988 GURU SEJARAH PERTAMA LULUS TIDAK LULUS TIDAK LULUS 988 617103280 5810008 156495 4079 66113001010 HERMI HERMAWAN 28-05-1981 MEDIATOR HUBUNGAN INDUSTRIAL PERTAMA PENGAWAS KETENAGAKERJAAN PERTAMA PERANCANG PERUNDANG-UNDANGAN PERTAMA LULUS LULUS LULUS 989 610310700 9900001 168497 5921 66113001136 HERMINA ARITONANG 30-09-1990 PEKERJA SOSIAL PERTAMA PENYULUH SOSIAL PERTAMA ANALIS KEBIJAKAN PERTAMA LULUS LULUS LULUS 990 732603681 0860002 118689 9039 66113000927 HERNA RAMBUNG 28-10-1986 GURU BAHASA INGGRIS PERTAMA SMP GURU BAHASA INGGRIS PERTAMA SMA ANALIS KEBIJAKAN PERTAMA LULUS LULUS TIDAK LULUS 991 617103680 8890004 144651 8959 66113000088 HERNIKA 28-08-1989 GURU MATEMATIKA PERTAMA ANALIS KEBIJAKAN PERTAMA LULUS TIDAK LULUS TIDAK LULUS 992 610807030 8920003 100207 4334 66112000653 HERQULES FERDY TRIGUS 03-08-1992 PENGADMINISTRASI UMUM PENYUSUN RISALAH LULUS LULUS TIDAK LULUS 993 611201200 5860009 123831 4898 66113000369 HERRI BERTUS 20-05-1986 ANALIS KEBIJAKAN PERTAMA LULUS TIDAK LULUS TIDAK LULUS 994 611201101 1880016 186731 3579 66113000259 HERRY GUNAWAN 10-11-1988 PERENCANA PERTAMA ANALIS ANGGARAN ANALIS KERJASAMA DAN PERMODALAN LULUS LULUS LULUS 995 611201160 6910003 147575 9570 66112000695 HERRY JUNIANTO 16-06-1991 PERAWAT PELAKSANA LULUS TIDAK LULUS TIDAK LULUS 996 617103251 1880002 126824 7168 66113001655 HERRY NOVIAN 25-11-1988 ANALIS LAYANAN UMUM PENGAWAS KETENAGAKERJAAN PERTAMA MEDIATOR HUBUNGAN INDUSTRIAL PERTAMA LULUS LULUS LULUS
  • 51.
    NO NIK NO REGIST ER NO PESERTA NAMA TANGGAL LAHIR PILIHAN JABATAN 1 NAMA JABATAN 2 NAMA JABATAN 3 STATUS PILIHAN 1 STATUS PILIHAN 2 STATUS PILIHAN 3 997 611205271 1840001 124210 8037 66113001694 HERRY PRAWIRANTO 27-11-1984 PRANATA KOMPUTER PERTAMA ANALIS KEBIJAKAN PERTAMA LULUS LULUS TIDAK LULUS 998 617103220 8850024 182352 0158 66113001812 HERRY SOFARI, SE 22-08-1985 ANALIS KEBIJAKAN PERTAMA LULUS TIDAK LULUS TIDAK LULUS 999 611201701 2860010 198611 2242 66113001604 HERTINA SITORUS 30-12-1986 ANALIS KEBIJAKAN PERTAMA PENYULUH KOPERASI PERENCANA PERTAMA LULUS LULUS LULUS 1.000 611201200 4870002 186638 2809 66113000923 HERU GUNAWAN 20-04-1987 GURU MATEMATIKA PERTAMA LULUS TIDAK LULUS TIDAK LULUS 1.001 617101150 3870004 186494 7921 66113000677 HERU HARYONO 15-03-1987 ANALIS KEBIJAKAN PERTAMA LULUS TIDAK LULUS TIDAK LULUS 1.002 610103220 7920002 167631 1809 66112000416 HERU IRAWAN 22-07-1992 PERAWAT PELAKSANA LULUS TIDAK LULUS TIDAK LULUS 1.003 617103050 6820011 184996 2344 66112000624 HERU YUNIZAR 05-06-1982 PENGADMINISTRASI UMUM PENYUSUN RISALAH LULUS LULUS TIDAK LULUS 1.004 611207630 3890003 152720 7923 66113000642 HERVINA SARI 23-03-1989 PRANATA KOMPUTER PERTAMA ANALIS KEBIJAKAN PERTAMA LULUS LULUS TIDAK LULUS 1.005 617104140 1830019 118197 9240 66112000861 HERY IMANUEL SIAHAAN 14-01-1983 PERAWAT PELAKSANA LULUS TIDAK LULUS TIDAK LULUS 1.006 730203460 2910001 189860 2177 66113001557 HESTI PEBRIAYANI 06-02-1991 GURU IPA PERTAMA GURU FISIKA PERTAMA ANALIS KEBIJAKAN PERTAMA LULUS LULUS TIDAK LULUS 1.007 610417690 6910005 176921 4658 66112000216 HESTI RESTIANTI 29-06-1991 BIDAN PELAKSANA LULUS TIDAK LULUS TIDAK LULUS 1.008 611201640 7900005 204317 6605 66112000777 HESTY NINGSIH 24-07-1990 BIDAN PELAKSANA LULUS TIDAK LULUS TIDAK LULUS 1.009 617106681 0880001 203480 4356 66112000822 HESTY OKTAVIANTY 28-10-1988 PENGADMINISTRASI UMUM LULUS TIDAK LULUS TIDAK LULUS 1.010 610507641 1870001 133040 0273 66113001550 HESTY RIANA LEDES 24-11-1987 GURU SEJARAH PERTAMA LULUS TIDAK LULUS TIDAK LULUS 1.011 611207650 7860001 167587 2999 66112000396 HIDAYATUSSHOLIHAH 25-07-1986 PERAWAT PELAKSANA LULUS TIDAK LULUS TIDAK LULUS 1.012 617101070 1870097 198158 3144 66113001746 HILARIUS KATINGAN 07-01-1987 ANALIS KEBIJAKAN PERTAMA ANALIS LAYANAN UMUM PENGANTAR KERJA PERTAMA LULUS LULUS LULUS 1.013 611203170 7870006 178589 2679 66113001595 HODIANSYAH 17-07-1987 ANALIS KEBIJAKAN PERTAMA LULUS TIDAK LULUS TIDAK LULUS 1.014 617103100 6830008 135708 7248 66113000644 HOLLIL AZHARY 10-06-1983 PRANATA KOMPUTER PERTAMA ANALIS KEBIJAKAN PERTAMA LULUS LULUS TIDAK LULUS 1.015 617103160 1840008 133786 6143 66113000689 HUKSON HAMONANGAN PURBA 16-01-1984 ANALIS KEBIJAKAN PERTAMA PERENCANA PERTAMA PENYULUH KOPERASI LULUS LULUS LULUS 1.016 617103040 7910014 209015 3666 66113001048 HUSAIN 04-07-1991 ANALIS KEBIJAKAN PERTAMA LULUS TIDAK LULUS TIDAK LULUS
  • 52.
    NO NIK NO REGIST ER NO PESERTA NAMA TANGGAL LAHIR PILIHAN JABATAN 1 NAMA JABATAN 2 NAMA JABATAN 3 STATUS PILIHAN 1 STATUS PILIHAN 2 STATUS PILIHAN 3 1.017 617103701 1920008 152145 6921 66112000004 HUSNUL KHATIMAH 30-11-1992 BIDAN PELAKSANA LULUS TIDAK LULUS TIDAK LULUS 1.018 611201101 1890012 152423 8250 66113001151 I WAYAN KRESNA 10-11-1989 ANALIS KEBIJAKAN PERTAMA PERENCANA PERTAMA ANALIS KERJASAMA DAN PERMODALAN LULUS LULUS LULUS 1.019 611201090 5880002 151672 6141 66112000824 IBNU SUTOWO 09-05-1988 PENYUSUN RISALAH PENGADMINISTRASI UMUM LULUS LULUS TIDAK LULUS 1.020 327605271 0860007 214608 4807 66113000680 IBYADHUL FUADI 27-10-1986 GURU SEJARAH PERTAMA LULUS TIDAK LULUS TIDAK LULUS 1.021 617102660 9910002 123395 8854 66113000162 ICHA MONIKA 26-09-1991 GURU IPA PERTAMA GURU BIOLOGI PERTAMA LULUS LULUS TIDAK LULUS 1.022 617103481 1870009 141603 3347 66113000103 IDA AYU NOVI ASTUTI 08-11-1987 PRANATA KOMPUTER PERTAMA ANALIS KEBIJAKAN PERTAMA LULUS LULUS TIDAK LULUS 1.023 611206540 1890002 173918 2148 66113000140 IDA FARIDA 14-01-1989 GURU MATEMATIKA PERTAMA LULUS TIDAK LULUS TIDAK LULUS 1.024 617102530 9870011 143680 5839 66112000469 IDA SEPTIANI 13-09-1987 BIDAN PELAKSANA LULUS TIDAK LULUS TIDAK LULUS 1.025 611209630 2830006 152496 5496 66113000979 IDA SURYANI S,P 23-02-1983 ANALIS KEBIJAKAN PERTAMA LULUS TIDAK LULUS TIDAK LULUS 1.026 340104240 6860001 105345 1452 66113001713 IDRIS PURNOMO,SE. 24-06-1986 ANALIS KEBIJAKAN PERTAMA LULUS TIDAK LULUS TIDAK LULUS 1.027 610418170 1830003 193749 0953 66113000387 IDRUS 17-01-1983 ANALIS KEBIJAKAN PERTAMA LULUS TIDAK LULUS TIDAK LULUS 1.028 617101190 5820005 168655 5352 66113001875 IFAN SUJANA 19-05-1982 PERENCANA PERTAMA ANALIS ANGGARAN ANALIS KEBIJAKAN PERTAMA LULUS LULUS LULUS 1.029 611201290 7880010 112876 6194 66113000482 IGNASIUS YULIANTO 29-07-1988 ANALIS KEBIJAKAN PERTAMA LULUS TIDAK LULUS TIDAK LULUS 1.030 610806700 7860002 190157 5063 66113000514 IHYA ADDINIYAH 30-07-1986 ANALIS KEBIJAKAN PERTAMA LULUS TIDAK LULUS TIDAK LULUS 1.031 617105460 1890001 125664 6145 66113001277 IIK NURHIKMAH 06-01-1989 GURU BAHASA INGGRIS PERTAMA SMP GURU BAHASA INGGRIS PERTAMA SMA ANALIS KEBIJAKAN PERTAMA LULUS LULUS TIDAK LULUS 1.032 617201631 2910001 139609 5395 66112000242 IIN DEVITASARI 23-12-1991 BIDAN PELAKSANA LULUS TIDAK LULUS TIDAK LULUS 1.033 610501710 8900004 138345 9398 66113000876 IIN INDRAYANTI 31-08-1990 APOTEKER PERTAMA ANALIS KEBIJAKAN PERTAMA LULUS TIDAK LULUS TIDAK LULUS 1.034 617105421 0860006 186697 0605 66113000736 IIN RAHMAWATI 02-10-1986 PERENCANA PERTAMA ANALIS ANGGARAN ANALIS KERJASAMA DAN PERMODALAN LULUS LULUS LULUS 1.035 617103440 5840002 188804 9724 66113001749 IKA EVITASARI 04-05-1984 PENGAWAS KETENAGAKERJAAN PERTAMA PENGANTAR KERJA PERTAMA PERANCANG PERUNDANG-UNDANGAN PERTAMA LULUS LULUS LULUS 1.036 611207560 6870003 182476 7789 66112000212 IKA ROYKA WATI 16-06-1987 PERAWAT PELAKSANA LULUS TIDAK LULUS TIDAK LULUS
  • 53.
    NO NIK NO REGIST ER NO PESERTA NAMA TANGGAL LAHIR PILIHAN JABATAN 1 NAMA JABATAN 2 NAMA JABATAN 3 STATUS PILIHAN 1 STATUS PILIHAN 2 STATUS PILIHAN 3 1.037 617103520 6870506 195085 6634 66113000581 IKA TESALONIKA KRISTINA PUTRI 12-06-1987 GURU MATEMATIKA PERTAMA LULUS TIDAK LULUS TIDAK LULUS 1.038 617103711 0880003 137972 2775 66113000204 IKA TRISNA UTAMI 31-10-1988 GURU MATEMATIKA PERTAMA LULUS TIDAK LULUS TIDAK LULUS 1.039 617102591 0900005 184515 2564 66113000866 IKA UTAMININGSIH 19-10-1990 SANITARIAN PERTAMA LULUS TIDAK LULUS TIDAK LULUS 1.040 610212630 8860001 169107 5441 66113000716 IKA WIDYASTUTI, S. PD 23-08-1986 GURU MATEMATIKA PERTAMA ANALIS KEBIJAKAN PERTAMA LULUS TIDAK LULUS TIDAK LULUS 1.041 617101640 4830007 192894 5774 66113000720 IKE SUSANTI 24-04-1983 GURU BAHASA INGGRIS PERTAMA SMP LULUS TIDAK LULUS TIDAK LULUS 1.042 611207091 0860004 207000 6948 66113001342 IKO KUSUMA HADI 09-10-1986 ANALIS KEBIJAKAN PERTAMA LULUS TIDAK LULUS TIDAK LULUS 1.043 610104250 7900008 140106 5043 66113001471 ILHAM ANUGERAH 25-07-1990 GURU GEOGRAFI PERTAMA LULUS TIDAK LULUS TIDAK LULUS 1.044 611201270 3860009 209952 9433 66113001522 ILHAM KURNIAWAN 27-03-1986 GURU BAHASA INGGRIS PERTAMA SMP ANALIS KEBIJAKAN PERTAMA GURU BAHASA INGGRIS PERTAMA SMA LULUS TIDAK LULUS LULUS 1.045 617105100 5870001 146832 8561 66113001612 ILHAM SETIAWAN 10-05-1987 PAMONG BUDAYA PERTAMA ANALIS KEBIJAKAN PERTAMA LULUS LULUS TIDAK LULUS 1.046 610301660 3920001 118641 0457 66112000501 ILMI PARIDA 26-03-1992 PERAWAT PELAKSANA LULUS TIDAK LULUS TIDAK LULUS 1.047 611201480 8900010 171065 9541 66112000204 ILMIAH 08-08-1990 BIDAN PELAKSANA LULUS TIDAK LULUS TIDAK LULUS 1.048 617105300 4870007 189673 8961 66113001865 IMAM HADI MULYONO 30-04-1987 GURU BIOLOGI PERTAMA GURU IPA PERTAMA ANALIS KEBIJAKAN PERTAMA LULUS LULUS TIDAK LULUS 1.049 617101141 0820011 185040 4445 66113001186 IMAM PANJI SUDOMO 14-10-1982 ANALIS ANGGARAN PENYULUH KOPERASI ANALIS KERJASAMA DAN PERMODALAN LULUS LULUS LULUS 1.050 610320150 5920002 189611 9840 66112000726 IMAM SUHENDRA 15-05-1992 PERAWAT PELAKSANA LULUS TIDAK LULUS TIDAK LULUS 1.051 617104110 1840006 125906 5402 66113001509 IMAM THORIQ 11-01-1984 SANITARIAN PERTAMA ANALIS KEBIJAKAN PERTAMA LULUS TIDAK LULUS TIDAK LULUS 1.052 610416560 9870001 182855 2314 66113000323 IMAMAH MULYA 16-09-1987 GURU IPA PERTAMA GURU FISIKA PERTAMA ANALIS KEBIJAKAN PERTAMA LULUS LULUS TIDAK LULUS 1.053 617201291 2860002 130879 5194 66113000943 IMAN RAKHMADI 29-12-1986 ANALIS KEBIJAKAN PERTAMA LULUS TIDAK LULUS TIDAK LULUS 1.054 617105710 1850009 129480 7422 66113001861 IMELDA HELA SIDINANTAEGA 31-01-1985 GURU MATEMATIKA PERTAMA LULUS TIDAK LULUS TIDAK LULUS 1.055 611201171 1870003 187256 7950 66113001246 IMRON 17-11-1987 PERENCANA PERTAMA PENYULUH KOPERASI ANALIS KEBIJAKAN PERTAMA LULUS LULUS LULUS 1.056 611201581 2840005 135932 9288 66113001063 INA DESY SIANA 18-12-1984 ANALIS KEBIJAKAN PERTAMA LULUS TIDAK LULUS TIDAK LULUS
  • 54.
    NO NIK NO REGIST ER NO PESERTA NAMA TANGGAL LAHIR PILIHAN JABATAN 1 NAMA JABATAN 2 NAMA JABATAN 3 STATUS PILIHAN 1 STATUS PILIHAN 2 STATUS PILIHAN 3 1.057 617102620 6910003 101381 3844 66112000636 INDAH DEWI HADIANTI 22-06-1991 NUTRISIONIS PELAKSANA LULUS TIDAK LULUS TIDAK LULUS 1.058 617103570 9810008 197295 8897 66113001496 INDAH FITRIAH.A 17-09-1981 ANALIS KERJASAMA DAN PERMODALAN LULUS TIDAK LULUS TIDAK LULUS 1.059 610108550 2920001 178033 7143 66113000391 INDAH PERMATASARI 15-02-1992 SANITARIAN PERTAMA LULUS TIDAK LULUS TIDAK LULUS 1.060 617103490 5910015 195214 7072 66112000482 INDAH PRIMAYANTI 09-05-1991 BIDAN PELAKSANA LULUS TIDAK LULUS TIDAK LULUS 1.061 611201630 4860007 168297 8662 66112000486 INDAR DAINI,A.MD.KEB 23-04-1986 BIDAN PELAKSANA LULUS TIDAK LULUS TIDAK LULUS 1.062 610113140 1850002 201677 8798 66113000988 INDI, S.SOS.I 14-01-1985 ANALIS KEBIJAKAN PERTAMA LULUS TIDAK LULUS TIDAK LULUS 1.063 611201260 6850004 209271 0774 66113001704 INDRA JUNIARDY 26-06-1985 GURU MATEMATIKA PERTAMA LULUS TIDAK LULUS TIDAK LULUS 1.064 617103250 9870005 156979 7578 66113001370 INDRA MUHAMMAD EZWAR 25-09-1987 ANALIS KEBIJAKAN PERTAMA LULUS TIDAK LULUS TIDAK LULUS 1.065 340405590 2880001 128985 4365 66112000271 INDRA PURNA SARI 19-02-1988 VERIFIKATOR KEUANGAN LULUS TIDAK LULUS TIDAK LULUS 1.066 617101090 8890007 144590 2913 66112000288 INDRA SAPUTRO 09-08-1989 PERAWAT PELAKSANA LULUS TIDAK LULUS TIDAK LULUS 1.067 611203230 9820001 171637 6805 66113000752 INDRA. SE 22-03-1982 PERENCANA PERTAMA ANALIS KERJASAMA DAN PERMODALAN PENYULUH KOPERASI LULUS LULUS LULUS 1.068 610201560 2880002 122557 0992 66112000074 INDRI FEBRIANI 16-02-1988 NUTRISIONIS PELAKSANA LULUS TIDAK LULUS TIDAK LULUS 1.069 617104500 6820005 167167 1505 66113001053 INDRI HASTUTI, ST, MT 10-06-1982 PENATA RUANG PERTAMA ANALIS KEBIJAKAN PERTAMA SURVEYOR PEMETAAN PERTAMA LULUS LULUS LULUS 1.070 617101550 8870012 134907 5134 66113001560 INDRI KURNIASARI 15-08-1987 ANALIS KEBIJAKAN PERTAMA LULUS TIDAK LULUS TIDAK LULUS 1.071 617104481 0850010 199344 7045 66113001559 INDRI LISTARI.SE 08-10-1985 PENYULUH KOPERASI PERENCANA PERTAMA ANALIS KERJASAMA DAN PERMODALAN LULUS LULUS LULUS 1.072 617101420 8930011 213770 2230 66112000577 INDRI SAVITRI 02-08-1993 NUTRISIONIS PELAKSANA LULUS TIDAK LULUS TIDAK LULUS 1.073 611209590 6910001 122513 6450 66112000385 INDRI WANDIRA 19-06-1991 NUTRISIONIS PELAKSANA LULUS TIDAK LULUS TIDAK LULUS 1.074 617103480 4900003 148745 9207 66112000386 INDRY APRILIANA 08-04-1991 NUTRISIONIS PELAKSANA LULUS TIDAK LULUS TIDAK LULUS 1.075 140612570 5880002 102338 7057 66113001437 INEL FITRIANI 17-05-1988 PRANATA HUBUNGAN MASYARAKAT PERTAMA LULUS TIDAK LULUS TIDAK LULUS 1.076 617103620 9900005 154956 6239 66113000290 INGE PRAMITASARI 22-09-1990 APOTEKER PERTAMA LULUS TIDAK LULUS TIDAK LULUS
  • 55.
    NO NIK NO REGIST ER NO PESERTA NAMA TANGGAL LAHIR PILIHAN JABATAN 1 NAMA JABATAN 2 NAMA JABATAN 3 STATUS PILIHAN 1 STATUS PILIHAN 2 STATUS PILIHAN 3 1.077 617101701 0910006 174996 4174 66113000475 INKA OKTA PURNAWANTI 30-10-1991 ANALIS ANGGARAN ANALIS KERJASAMA DAN PERMODALAN ANALIS KEBIJAKAN PERTAMA LULUS LULUS LULUS 1.078 617105620 8880004 157365 5335 66113001494 INTAN GUSTARINA. T 22-08-1988 GURU SEJARAH PERTAMA LULUS TIDAK LULUS TIDAK LULUS 1.079 610708631 1920002 173683 3021 66112000137 INTAN PRIANTAMA PUTRI 23-11-1992 NUTRISIONIS PELAKSANA LULUS TIDAK LULUS TIDAK LULUS 1.080 617104421 2860012 175434 4031 66113000861 IQLIMA SRIFAYU INTAN 02-12-1986 GURU BAHASA INGGRIS PERTAMA SMP GURU BAHASA INGGRIS PERTAMA SMA LULUS LULUS TIDAK LULUS 1.081 617101500 5820025 150606 4005 66112000008 IRA APRIANI 10-05-1982 PENGADMINISTRASI UMUM PENYUSUN RISALAH LULUS LULUS TIDAK LULUS 1.082 617103690 4800008 127422 0478 66113001748 IRA ARIYANI,SE 29-04-1980 PERENCANA PERTAMA ANALIS ANGGARAN ANALIS KEBIJAKAN PERTAMA LULUS LULUS LULUS 1.083 617102660 7870007 149621 5679 66112000056 IRA JULIANA SARI 26-07-1987 NUTRISIONIS PELAKSANA LULUS TIDAK LULUS TIDAK LULUS 1.084 611207480 9900001 180084 7217 66113000766 IRA PURNAMA SARI 08-09-1990 GURU MATEMATIKA PERTAMA ANALIS KEBIJAKAN PERTAMA LULUS TIDAK LULUS TIDAK LULUS 1.085 611201650 4920006 122550 5590 66112000059 IRANI APRILINDA 25-04-1992 NUTRISIONIS PELAKSANA LULUS TIDAK LULUS TIDAK LULUS 1.086 610201580 1910001 185244 9792 66113001493 IRAWATI 18-01-1991 GURU SEJARAH PERTAMA LULUS TIDAK LULUS TIDAK LULUS 1.087 611201520 9810009 211937 5280 66113001789 IRAWATI 12-09-1981 ANALIS KEBIJAKAN PERTAMA LULUS TIDAK LULUS TIDAK LULUS 1.088 617101430 6850502 199448 5597 66113001389 IRAWATY RIZKI RAMADHANI 03-06-1985 ANALIS KEBIJAKAN PERTAMA LULUS TIDAK LULUS TIDAK LULUS 1.089 617101201 2850008 203581 4143 66113000903 IRFAN MULIAWAN, SH 20-12-1985 ANALIS KEBIJAKAN PERTAMA PERANCANG PERUNDANG-UNDANGAN PERTAMA PENGANTAR KERJA PERTAMA LULUS LULUS LULUS 1.090 610417100 9900001 163120 6182 66113001359 IRFANDA YUDISTIRA 10-09-1990 TEKNIK JALAN DAN JEMBATAN PERTAMA ANALIS KEBIJAKAN PERTAMA LULUS LULUS TIDAK LULUS 1.091 617103290 3860003 154838 8687 66113000372 IRFANSYAH 29-03-1986 ANALIS KEBIJAKAN PERTAMA LULUS TIDAK LULUS TIDAK LULUS 1.092 610105130 1850002 210576 2194 66113001092 IRIANDY 13-01-1985 PRANATA KOMPUTER PERTAMA ANALIS KEBIJAKAN PERTAMA LULUS LULUS TIDAK LULUS 1.093 611201420 1920018 112409 4320 66112000757 IRMA DWI JAYANTI 02-01-1992 BIDAN PELAKSANA LULUS TIDAK LULUS TIDAK LULUS 1.094 617101590 9800005 184454 4526 66113001814 IRMA HERIYANTI 19-09-1980 PERENCANA PERTAMA ANALIS ANGGARAN PENYULUH KOPERASI LULUS LULUS LULUS 1.095 617102570 5910007 188711 8954 66113000045 IRMA LESTARI 17-05-1991 GURU MATEMATIKA PERTAMA ANALIS KEBIJAKAN PERTAMA LULUS TIDAK LULUS TIDAK LULUS 1.096 617101560 6870003 198537 6755 66113000231 IRMA PRIMANDANI 16-06-1987 PEKERJA SOSIAL PERTAMA PENYULUH SOSIAL PERTAMA ANALIS KEBIJAKAN PERTAMA LULUS LULUS LULUS
  • 56.
    NO NIK NO REGIST ER NO PESERTA NAMA TANGGAL LAHIR PILIHAN JABATAN 1 NAMA JABATAN 2 NAMA JABATAN 3 STATUS PILIHAN 1 STATUS PILIHAN 2 STATUS PILIHAN 3 1.097 617105520 5850009 191481 2934 66113001281 IRMA SURYANI 12-05-1985 PERENCANA PERTAMA ANALIS ANGGARAN PENYULUH KOPERASI LULUS LULUS LULUS 1.098 611206610 1800001 185216 2633 66113001566 IRMA YUDA MAULIDIA 21-01-1980 ANALIS KEBIJAKAN PERTAMA PENATA RUANG PERTAMA SURVEYOR PEMETAAN PERTAMA LULUS LULUS LULUS 1.099 611209040 5850008 152234 2145 66113000208 IRMAIYANTO 04-05-1985 GURU BAHASA INGGRIS PERTAMA SMP LULUS TIDAK LULUS TIDAK LULUS 1.100 610201520 8880001 117542 8531 66112000664 IRNAMA ARI WASTIKA 12-08-1988 VERIFIKATOR KEUANGAN LULUS TIDAK LULUS TIDAK LULUS 1.101 611203010 1890006 208597 7392 66113000672 IRVAN 01-01-1989 ANALIS ANGGARAN ANALIS KERJASAMA DAN PERMODALAN PENYULUH KOPERASI LULUS LULUS LULUS 1.102 611209250 9900006 211264 1209 66113000825 IRWANTO 25-09-1990 PERENCANA PERTAMA PENYULUH KOPERASI ANALIS KERJASAMA DAN PERMODALAN LULUS LULUS LULUS 1.103 617103670 4890002 180281 7973 66113000008 ISKAPRIANI 27-04-1989 GURU SEJARAH PERTAMA LULUS LULUS LULUS 1.104 610216210 6860001 204995 5095 66113000652 ISMAIL 21-09-1986 PENGAWAS BIBIT TERNAK PERTAMA ANALIS KEBIJAKAN PERTAMA LULUS LULUS TIDAK LULUS 1.105 520601100 7851010 131039 8202 66113001256 ISMAIL 10-07-1985 GURU MATEMATIKA PERTAMA ANALIS KEBIJAKAN PERTAMA LULUS TIDAK LULUS TIDAK LULUS 1.106 611203160 6860004 174869 0521 66113001838 ISMAIL ASTAR 16-06-1986 ANALIS KEBIJAKAN PERTAMA LULUS TIDAK LULUS TIDAK LULUS 1.107 610301520 5880003 180929 0250 66113000031 ISMAWATI AULIA 12-05-1988 MEDIATOR HUBUNGAN INDUSTRIAL PERTAMA PENGAWAS KETENAGAKERJAAN PERTAMA ANALIS LAYANAN UMUM LULUS LULUS LULUS 1.108 610201221 0810003 166113 9225 66113001088 ISMUL AZAN 22-10-1981 PEKERJA SOSIAL PERTAMA PENYULUH SOSIAL PERTAMA ANALIS KEBIJAKAN PERTAMA LULUS LULUS LULUS 1.109 610117561 0870001 209499 8223 66113000854 ISNANI 16-10-1987 GURU SEJARAH PERTAMA LULUS TIDAK LULUS TIDAK LULUS 1.110 617101630 8800007 182783 3541 66113001646 ISTI DWI SAFITRI 23-08-1980 ANALIS KEBIJAKAN PERTAMA PENYULUH KOPERASI PERENCANA PERTAMA LULUS LULUS LULUS 1.111 617103610 9830005 121743 8779 66113001206 ISTIAZHAH 21-09-1983 ANALIS KEBIJAKAN PERTAMA LULUS TIDAK LULUS TIDAK LULUS 1.112 610110610 6910002 182240 2279 66112000193 ISTIQOMAH 21-06-1991 NUTRISIONIS PELAKSANA LULUS TIDAK LULUS TIDAK LULUS 1.113 610207430 2890002 144954 2563 66113000046 ISTIQOMAH 03-02-1989 GURU BAHASA INGGRIS PERTAMA SMP GURU BAHASA INGGRIS PERTAMA SMA ANALIS KEBIJAKAN PERTAMA LULUS LULUS TIDAK LULUS 1.114 610501520 4820007 213225 1210 66113000166 ISTIQOMAH 12-04-1982 ANALIS ANGGARAN PERENCANA PERTAMA LULUS LULUS TIDAK LULUS 1.115 610218110 2830003 209948 7678 66112000014 ISWANDI INANDAR, A.MD 11-02-1983 PENGADMINISTRASI UMUM PENYUSUN RISALAH LULUS LULUS TIDAK LULUS 1.116 611209530 5870002 171807 2557 66113000418 ITA LESTARI 13-05-1987 GURU MATEMATIKA PERTAMA LULUS TIDAK LULUS TIDAK LULUS
  • 57.
    NO NIK NO REGIST ER NO PESERTA NAMA TANGGAL LAHIR PILIHAN JABATAN 1 NAMA JABATAN 2 NAMA JABATAN 3 STATUS PILIHAN 1 STATUS PILIHAN 2 STATUS PILIHAN 3 1.117 617103590 3890004 159586 6938 66113001630 ITA WIDIASTUTI 19-03-1989 GURU MATEMATIKA PERTAMA ANALIS KEBIJAKAN PERTAMA LULUS TIDAK LULUS TIDAK LULUS 1.118 617103170 8840022 191988 4768 66113001573 IVAN AGUSTINUS 17-08-1984 ANALIS KEBIJAKAN PERTAMA LULUS TIDAK LULUS TIDAK LULUS 1.119 611201190 6910004 139950 8949 66113001364 IVAN KARTIKA YUDHA 19-06-1991 PRANATA KOMPUTER PERTAMA ANALIS KEBIJAKAN PERTAMA LULUS LULUS TIDAK LULUS 1.120 611209700 8880005 110063 2829 66113000673 IVNAWATI 30-08-1988 GURU SEJARAH PERTAMA LULUS TIDAK LULUS TIDAK LULUS 1.121 611201300 4840011 204408 0283 66113000218 IWAN SETIAWAN 30-04-1984 ANALIS KEBIJAKAN PERTAMA LULUS TIDAK LULUS TIDAK LULUS 1.122 617103550 8920003 132101 9339 66112000180 IZAH FARLIANI 15-08-1992 NUTRISIONIS PELAKSANA LULUS TIDAK LULUS TIDAK LULUS 1.123 610218610 7880003 161115 8123 66113000468 JAMALIAH 21-07-1988 GURU MATEMATIKA PERTAMA LULUS TIDAK LULUS TIDAK LULUS 1.124 611208420 4820002 124110 4775 66112000265 JAMALIAH,AMD.KEB 02-04-1982 BIDAN PELAKSANA LULUS TIDAK LULUS TIDAK LULUS 1.125 617103240 2820002 203671 9078 66113001104 JAMALUDDIN 24-02-1982 ANALIS ANGGARAN ANALIS KERJASAMA DAN PERMODALAN PENYULUH KOPERASI LULUS LULUS LULUS 1.126 611209500 6810006 163917 5958 66113000527 JAMIAH 10-06-1981 GURU BAHASA INGGRIS PERTAMA SMP GURU BAHASA INGGRIS PERTAMA SMA LULUS LULUS TIDAK LULUS 1.127 611201560 5850011 172500 5829 66113001324 JAMILAH WATI 16-05-1985 GURU BAHASA INDONESIA PERTAMA LULUS TIDAK LULUS TIDAK LULUS 1.128 617102280 6860002 208705 1282 66113001045 JANNATUN NAIM 28-06-1986 ANALIS KEBIJAKAN PERTAMA LULUS TIDAK LULUS TIDAK LULUS 1.129 340214430 1900001 121600 0974 66113000131 JANTI MARCHELA SARI 03-01-1990 GURU IPA PERTAMA GURU BIOLOGI PERTAMA LULUS LULUS TIDAK LULUS 1.130 617104130 1890009 179534 3981 66112000197 JANUAR 13-01-1989 PERAWAT PELAKSANA LULUS TIDAK LULUS TIDAK LULUS 1.131 617102161 2900005 194647 9849 66113001304 JANUARDI 16-12-1990 ANALIS ANGGARAN PENYULUH KOPERASI ANALIS KERJASAMA DAN PERMODALAN LULUS LULUS LULUS 1.132 611201690 1880008 137406 0834 66113000349 JARMAWATI PUTRI PAMUNGKAS 29-01-1988 PENGANTAR KERJA PERTAMA MEDIATOR HUBUNGAN INDUSTRIAL PERTAMA PENGAWAS KETENAGAKERJAAN PERTAMA LULUS LULUS LULUS 1.133 617105220 1830003 200668 6807 66113000264 JARWADI RAHARJO 22-01-1983 ANALIS KEBIJAKAN PERTAMA PERENCANA PERTAMA ANALIS KERJASAMA DAN PERMODALAN LULUS LULUS LULUS 1.134 610218450 1890002 196442 5159 66113000289 JASNIAR SUSILAWATI 05-01-1989 GURU MATEMATIKA PERTAMA LULUS TIDAK LULUS TIDAK LULUS 1.135 127203280 9870009 210687 1988 66113000412 JATENDRA MARULITUA SIDABUTAR 28-09-1987 GURU BAHASA INGGRIS PERTAMA SMP GURU BAHASA INGGRIS PERTAMA SMA ANALIS KEBIJAKAN PERTAMA LULUS LULUS TIDAK LULUS 1.136 617103581 2850504 207501 6989 66113000758 JATIMAH 18-12-1985 GURU MATEMATIKA PERTAMA LULUS TIDAK LULUS TIDAK LULUS
  • 58.
    NO NIK NO REGIST ER NO PESERTA NAMA TANGGAL LAHIR PILIHAN JABATAN 1 NAMA JABATAN 2 NAMA JABATAN 3 STATUS PILIHAN 1 STATUS PILIHAN 2 STATUS PILIHAN 3 1.137 610207450 4890002 136915 3452 66113000869 JAYA TRIMANDASARI 05-04-1989 ANALIS KEBIJAKAN PERTAMA LULUS TIDAK LULUS TIDAK LULUS 1.138 611209680 8870005 126270 5602 66113001791 JAYANTI PURNAMAWATI 28-08-1987 ANALIS KEBIJAKAN PERTAMA LULUS TIDAK LULUS TIDAK LULUS 1.139 611203440 5910003 162076 2100 66113000199 JAZILATUL ADAWIYAH 04-05-1991 GURU BAHASA INGGRIS PERTAMA SMP GURU BAHASA INGGRIS PERTAMA SMA ANALIS KEBIJAKAN PERTAMA LULUS LULUS TIDAK LULUS 1.140 120502470 3890002 196946 4307 66112000262 JELITA ANDELIA BR TAMBUN 07-03-1989 PERAWAT PELAKSANA LULUS TIDAK LULUS TIDAK LULUS 1.141 611207081 1900002 106911 1976 66112000854 JELLY JONATHAN SITORUS 11-08-1990 PENYUSUN RISALAH PENGADMINISTRASI UMUM LULUS LULUS TIDAK LULUS 1.142 617104450 8930013 183633 8600 66112000827 JENEVI AFRIYANTI 05-08-1993 PENYUSUN RISALAH PENGADMINISTRASI UMUM LULUS LULUS TIDAK LULUS 1.143 617103190 4860014 144548 4371 66113000629 JERY SUBANDI 19-04-1986 PENGAWAS KETENAGAKERJAAN PERTAMA MEDIATOR HUBUNGAN INDUSTRIAL PERTAMA PENGANTAR KERJA PERTAMA LULUS LULUS LULUS 1.144 611209640 2820002 178371 6170 66113000032 JETTY SUKMA, ST 24-02-1982 PENATA RUANG PERTAMA SURVEYOR PEMETAAN PERTAMA ANALIS KEBIJAKAN PERTAMA LULUS LULUS TIDAK LULUS 1.145 610103630 9870001 205633 4367 66112000825 JIDA 23-09-1987 PENYUSUN RISALAH PENGADMINISTRASI UMUM LULUS LULUS TIDAK LULUS 1.146 340216060 2940002 111219 4055 66112000377 JIJEIBA BENEA BEGUNO 06-02-1994 NUTRISIONIS PELAKSANA LULUS TIDAK LULUS TIDAK LULUS 1.147 617103010 8920010 145211 2301 66112000132 JOKO EKO WALUYO 01-08-1992 PERAWAT PELAKSANA LULUS TIDAK LULUS TIDAK LULUS 1.148 611204190 1890001 156959 3408 66112000656 JOKO SANTOSO 19-01-1989 PERAWAT PELAKSANA LULUS TIDAK LULUS TIDAK LULUS 1.149 611201101 2820016 153282 1708 66113001072 JONI 10-12-1982 PRANATA KOMPUTER PERTAMA ANALIS KEBIJAKAN PERTAMA LULUS LULUS TIDAK LULUS 1.150 611201050 1820009 169199 2455 66113001265 JONI 05-01-1982 PERENCANA PERTAMA PENYULUH KOPERASI ANALIS KEBIJAKAN PERTAMA LULUS LULUS LULUS 1.151 611201310 7880002 156806 9985 66113001747 JONI NASRAH 31-07-1988 MEDIATOR HUBUNGAN INDUSTRIAL PERTAMA PERANCANG PERUNDANG-UNDANGAN PERTAMA PENGAWAS KETENAGAKERJAAN PERTAMA LULUS LULUS LULUS 1.152 610112110 6910005 157054 8526 66112000543 JONO 11-06-1991 PENGADMINISTRASI UMUM PENYUSUN RISALAH LULUS LULUS TIDAK LULUS 1.153 610605050 1850001 155925 2433 66112000105 JUANDA 05-01-1985 PENYULUH PAJAK PELAKSANA LULUS TIDAK LULUS TIDAK LULUS 1.154 610106130 5850001 198414 3325 66113000074 JUANDA 13-05-1985 PRANATA KOMPUTER PERTAMA ANALIS KEBIJAKAN PERTAMA LULUS LULUS TIDAK LULUS 1.155 611209070 6860004 174366 4255 66113000625 JUHARI 07-06-1986 ANALIS KEBIJAKAN PERTAMA LULUS TIDAK LULUS TIDAK LULUS 1.156 617102450 7840007 153237 7735 66113001305 JULIANA 05-07-1984 ANALIS KEBIJAKAN PERTAMA PERENCANA PERTAMA ANALIS ANGGARAN LULUS LULUS LULUS
  • 59.
    NO NIK NO REGIST ER NO PESERTA NAMA TANGGAL LAHIR PILIHAN JABATAN 1 NAMA JABATAN 2 NAMA JABATAN 3 STATUS PILIHAN 1 STATUS PILIHAN 2 STATUS PILIHAN 3 1.157 611201501 2860002 207394 4414 66113001589 JULIANA 10-12-1986 ANALIS KEBIJAKAN PERTAMA LULUS TIDAK LULUS TIDAK LULUS 1.158 610617460 7890001 200353 0863 66113001012 JULIANSYAH PURNAMASARI 06-07-1989 GURU MATEMATIKA PERTAMA LULUS TIDAK LULUS TIDAK LULUS 1.159 611201420 7850009 179914 7545 66113001326 JULINA 02-07-1985 PRANATA KOMPUTER PERTAMA LULUS TIDAK LULUS TIDAK LULUS 1.160 611201500 6880013 157581 7811 66112000066 JULITA 10-06-1988 PERAWAT PELAKSANA LULUS TIDAK LULUS TIDAK LULUS 1.161 617103700 7880006 114930 1515 66112000668 JULITA DEWI WISUDANI SITORUS 30-07-1988 VERIFIKATOR KEUANGAN LULUS TIDAK LULUS TIDAK LULUS 1.162 610321490 7890001 143394 0214 66112000034 JULITA FREFTY 09-07-1989 PENYUSUN RISALAH PENGADMINISTRASI UMUM LULUS LULUS TIDAK LULUS 1.163 610215431 0890001 158197 0157 66113000247 JULMIA 03-10-1989 GURU MATEMATIKA PERTAMA LULUS TIDAK LULUS TIDAK LULUS 1.164 611201420 5820018 152211 8199 66112000541 JULPAH 02-05-1982 PERAWAT PELAKSANA LULUS TIDAK LULUS TIDAK LULUS 1.165 617105550 5840002 120523 2285 66113001349 JUMARTININGSIH, SE 15-05-1984 PERENCANA PERTAMA ANALIS ANGGARAN ANALIS KERJASAMA DAN PERMODALAN LULUS LULUS LULUS 1.166 611007551 1900001 143036 2897 66113001489 JUMIARSA 15-11-1990 GURU SEJARAH PERTAMA ANALIS KEBIJAKAN PERTAMA LULUS TIDAK LULUS TIDAK LULUS 1.167 610103670 2870003 151314 8319 66112000789 JUMIDA 27-02-1987 PENGADMINISTRASI UMUM PENYUSUN RISALAH LULUS LULUS TIDAK LULUS 1.168 617105520 1910005 198165 1343 66112000566 JUMRAH 12-01-1991 VERIFIKATOR KEUANGAN LULUS TIDAK LULUS TIDAK LULUS 1.169 617103060 8910011 213693 8055 66113000893 JUNAIDI 06-08-1991 GURU SEJARAH PERTAMA ANALIS KEBIJAKAN PERTAMA LULUS TIDAK LULUS TIDAK LULUS 1.170 611201060 6880011 160308 9845 66113001606 JUNI ARDIANSYAH 06-06-1988 ANALIS KEBIJAKAN PERTAMA LULUS TIDAK LULUS TIDAK LULUS 1.171 611207610 6920002 124842 8875 66112000318 JUNI DWI ASTUTI 21-06-1992 PENGADMINISTRASI UMUM LULUS TIDAK LULUS TIDAK LULUS 1.172 611201260 6880006 198974 9232 66113001769 JUNI HARDI 26-06-1988 GURU MATEMATIKA PERTAMA LULUS TIDAK LULUS TIDAK LULUS 1.173 611201290 6870010 148354 7863 66113001647 JUNI WICAKSONO 29-06-1987 TEKNIK TATA BANGUNAN DAN PERUMAHAN PERTAMA LULUS TIDAK LULUS TIDAK LULUS 1.174 610107190 6860002 109093 6951 66113001328 JUNIANSYAH 19-06-1986 PRANATA KOMPUTER PERTAMA ANALIS KEBIJAKAN PERTAMA LULUS LULUS TIDAK LULUS 1.175 610215711 2880001 159964 2580 66112000172 JUNIARTI 31-12-1988 BIDAN PELAKSANA LULUS TIDAK LULUS TIDAK LULUS 1.176 617102650 1840002 121105 2565 66113001297 JUNIARTI 25-01-1984 ANALIS KEBIJAKAN PERTAMA PERENCANA PERTAMA LULUS LULUS TIDAK LULUS
  • 60.
    NO NIK NO REGIST ER NO PESERTA NAMA TANGGAL LAHIR PILIHAN JABATAN 1 NAMA JABATAN 2 NAMA JABATAN 3 STATUS PILIHAN 1 STATUS PILIHAN 2 STATUS PILIHAN 3 1.177 617105200 8890009 126181 4592 66113001499 JUNIO ARMANDA 20-06-1989 ANALIS KEBIJAKAN PERTAMA LULUS TIDAK LULUS TIDAK LULUS 1.178 610703700 9870002 102841 7525 66112000744 JURIAH 30-09-1987 VERIFIKATOR KEUANGAN LULUS TIDAK LULUS TIDAK LULUS 1.179 611206440 3900004 128472 3362 66113000811 KABUL PANGESTUTI 04-03-1990 GURU SEJARAH PERTAMA LULUS TIDAK LULUS TIDAK LULUS 1.180 617105480 9900005 148530 0010 66113001310 KARINA RIZQA FADHLILAH 08-09-1990 GURU BAHASA INGGRIS PERTAMA SMP GURU BAHASA INGGRIS PERTAMA SMA ANALIS KEBIJAKAN PERTAMA LULUS LULUS TIDAK LULUS 1.181 611209570 8880017 183838 3933 66113001403 KARTIKA 17-08-1988 ANALIS LAYANAN UMUM MEDIATOR HUBUNGAN INDUSTRIAL PERTAMA PENGANTAR KERJA PERTAMA LULUS LULUS LULUS 1.182 611201470 4890014 179792 5125 66113000744 KARTIKA APRIANUGRAHASARI 07-04-1989 ANALIS KEBIJAKAN PERTAMA PENGAWAS KETENAGAKERJAAN PERTAMA MEDIATOR HUBUNGAN INDUSTRIAL PERTAMA LULUS LULUS LULUS 1.183 617105430 4900001 129766 3326 66113000863 KARTIKA HANDAYANI 03-04-1990 GURU MATEMATIKA PERTAMA ANALIS KEBIJAKAN PERTAMA LULUS TIDAK LULUS TIDAK LULUS 1.184 611201540 1920014 176911 2102 66112000259 KARTIKA PERMATA 14-01-1992 BIDAN PELAKSANA LULUS TIDAK LULUS TIDAK LULUS 1.185 611201430 4920015 163983 0107 66112000580 KARTIKA SULISTIAWATI 03-04-1992 BIDAN PELAKSANA LULUS TIDAK LULUS TIDAK LULUS 1.186 611209230 6880001 143124 0798 66113001670 KARTIKO PUJO PRASETYO 23-06-1988 PRANATA KOMPUTER PERTAMA ANALIS KEBIJAKAN PERTAMA LULUS LULUS TIDAK LULUS 1.187 610301640 7820002 156798 5583 66112000762 KARTINA 27-07-1988 BIDAN PELAKSANA LULUS TIDAK LULUS TIDAK LULUS 1.188 617103500 9920008 115576 1290 66112000236 KARTINA HARAHAP 30-09-1992 BIDAN PELAKSANA LULUS TIDAK LULUS TIDAK LULUS 1.189 617101510 8810011 109055 3766 66112000145 KARTINI 11-08-1981 PENGADMINISTRASI UMUM PENYUSUN RISALAH LULUS LULUS TIDAK LULUS 1.190 617101590 1840005 171461 4597 66113000760 KARTINI, S.PD 19-01-1984 GURU MATEMATIKA PERTAMA LULUS TIDAK LULUS TIDAK LULUS 1.191 611203460 7870005 155406 0761 66113000739 KATARINA NGENI 06-07-1987 ANALIS KEBIJAKAN PERTAMA PEKERJA SOSIAL PERTAMA PENYULUH SOSIAL PERTAMA LULUS LULUS LULUS 1.192 617105410 6840010 195368 8169 66112000772 KHAIRIAH 01-06-1984 PENGADMINISTRASI UMUM PENYUSUN RISALAH LULUS LULUS TIDAK LULUS 1.193 617102641 0880011 164328 6750 66112000051 KHAIRIAH OCTRISYANA 24-10-1988 BIDAN PELAKSANA LULUS TIDAK LULUS TIDAK LULUS 1.194 617101430 3870008 192703 7796 66113001910 KHAIRINI 03-03-1987 ANALIS KEBIJAKAN PERTAMA GURU SEJARAH PERTAMA TIDAK LULUS LULUS TIDAK LULUS 1.195 611209151 0850004 165596 6550 66113001525 KHAIRUL FUAD 15-10-1985 GURU MATEMATIKA PERTAMA ANALIS KEBIJAKAN PERTAMA LULUS TIDAK LULUS TIDAK LULUS 1.196 617101120 8850503 158866 5416 66113000159 KHAIRUL ZAMAN 12-08-1985 GURU BAHASA INGGRIS PERTAMA SMP GURU BAHASA INGGRIS PERTAMA SMA LULUS LULUS TIDAK LULUS
  • 61.
    NO NIK NO REGIST ER NO PESERTA NAMA TANGGAL LAHIR PILIHAN JABATAN 1 NAMA JABATAN 2 NAMA JABATAN 3 STATUS PILIHAN 1 STATUS PILIHAN 2 STATUS PILIHAN 3 1.197 611201451 1880004 164854 8823 66113001214 KHOLILAH 05-11-1988 ANALIS KEBIJAKAN PERTAMA PRANATA HUBUNGAN MASYARAKAT PERTAMA LULUS LULUS TIDAK LULUS 1.198 611209491 0910001 191446 6339 66112000563 KOKO ARUANA WIKI 09-10-1991 BIDAN PELAKSANA LULUS TIDAK LULUS TIDAK LULUS 1.199 617102030 5840010 187640 2443 66113001131 KONRADUS HASANTARIS TIBO 03-05-1984 PRANATA HUBUNGAN MASYARAKAT PERTAMA ANALIS KEBIJAKAN PERTAMA LULUS LULUS TIDAK LULUS 1.200 611201411 1880010 159442 1825 66113001440 KORINA NOVIANI, SE 01-11-1988 ANALIS KEBIJAKAN PERTAMA LULUS TIDAK LULUS TIDAK LULUS 1.201 610813670 4860001 142307 9689 66113000065 KORNELIA RUT RIZANAWATY 27-04-1986 GURU MATEMATIKA PERTAMA ANALIS KEBIJAKAN PERTAMA LULUS TIDAK LULUS TIDAK LULUS 1.202 332111540 3840001 108952 9281 66113000270 KRIESTY MAHARANI 14-03-1984 PERENCANA PERTAMA PENYULUH KOPERASI ANALIS ANGGARAN LULUS LULUS LULUS 1.203 611201510 7820020 135436 6831 66112000317 KRISNA JULI ASMI 11-07-1982 PENYUSUN RISALAH PENGADMINISTRASI UMUM LULUS LULUS TIDAK LULUS 1.204 611201680 4820005 131321 8783 66112000330 KRISPINA RISTI TUNTASARI 28-04-1982 PENGADMINISTRASI UMUM PENYUSUN RISALAH LULUS LULUS TIDAK LULUS 1.205 617103271 2800014 185114 9419 66113001011 KRISTIAN BINTARTO MARBUN, SE 27-12-1980 ANALIS KERJASAMA DAN PERMODALAN ANALIS KEBIJAKAN PERTAMA PERENCANA PERTAMA LULUS LULUS LULUS 1.206 327304691 2880001 161942 4811 66112000586 KRISTIN NATALIA G. 29-12-1988 BIDAN PELAKSANA LULUS TIDAK LULUS TIDAK LULUS 1.207 120109680 4870002 159756 2146 66113000132 KRISTINA MUNTHE 28-04-1987 GURU BAHASA INGGRIS PERTAMA SMP GURU BAHASA INGGRIS PERTAMA SMA ANALIS KEBIJAKAN PERTAMA LULUS LULUS TIDAK LULUS 1.208 352115210 6890002 178094 8672 66113001266 KUN EKWAN JUNIANTO 21-06-1989 GURU MATEMATIKA PERTAMA ANALIS KEBIJAKAN PERTAMA LULUS TIDAK LULUS TIDAK LULUS 1.209 610807470 5900010 146040 2288 66113000434 KURNIA FITRI 07-05-1990 GURU SEJARAH PERTAMA ANALIS KEBIJAKAN PERTAMA LULUS TIDAK LULUS TIDAK LULUS 1.210 617106441 0890001 158340 5240 66113000890 KURNIA MADELIATI 04-10-1988 GURU MATEMATIKA PERTAMA LULUS TIDAK LULUS TIDAK LULUS 1.211 617103680 1910014 173647 9217 66112000671 KURNIA NOFARY 28-01-1991 PENGADMINISTRASI UMUM PENYUSUN RISALAH LULUS LULUS TIDAK LULUS 1.212 611203080 9830002 137648 4140 66113001850 KURNIA RAHMAD HIDAYAT 08-09-1983 ANALIS KEBIJAKAN PERTAMA ANALIS KERJASAMA DAN PERMODALAN LULUS LULUS TIDAK LULUS 1.213 611203440 5870007 207707 9477 66113000630 KURNIA WIDI ASTUTI 04-05-1987 ANALIS KEBIJAKAN PERTAMA LULUS TIDAK LULUS TIDAK LULUS 1.214 617106240 4890001 135078 2071 66112000635 KURNIAWAN TIRTA WIJAYA, A.MD.KEP 24-04-1989 PERAWAT PELAKSANA LULUS TIDAK LULUS TIDAK LULUS 1.215 611201620 4820010 199478 0870 66113000598 KURNIAWATI,SE 22-04-1982 PENYULUH KOPERASI ANALIS ANGGARAN ANALIS KERJASAMA DAN PERMODALAN LULUS LULUS LULUS 1.216 617101571 0790009 104240 4879 66113001478 KURNIAWATY 17-10-1979 GURU MATEMATIKA PERTAMA ANALIS KEBIJAKAN PERTAMA LULUS TIDAK LULUS TIDAK LULUS
  • 62.
    NO NIK NO REGIST ER NO PESERTA NAMA TANGGAL LAHIR PILIHAN JABATAN 1 NAMA JABATAN 2 NAMA JABATAN 3 STATUS PILIHAN 1 STATUS PILIHAN 2 STATUS PILIHAN 3 1.217 617101050 8850010 180623 2395 66113000050 KUSMIANTO 05-08-1985 PERANCANG PERUNDANG-UNDANGAN PERTAMA PENGAWAS KETENAGAKERJAAN PERTAMA ANALIS LAYANAN UMUM LULUS LULUS LULUS 1.218 611201621 0850009 166089 9011 66113001397 KUSTINI HANDAYANI 22-10-1985 GURU SEJARAH PERTAMA ANALIS KEBIJAKAN PERTAMA LULUS TIDAK LULUS TIDAK LULUS 1.219 530305140 3880004 114283 6197 66113001152 LADISLAUS SENGKOEN 14-03-1988 GURU BAHASA INGGRIS PERTAMA SMP ANALIS KEBIJAKAN PERTAMA LULUS TIDAK LULUS TIDAK LULUS 1.220 611208620 3910001 169361 7467 66112000875 LAILI MUTAHARA 22-03-1991 PENYULUH PAJAK PELAKSANA LULUS TIDAK LULUS TIDAK LULUS 1.221 611201170 9850008 119796 5035 66112000655 LALU ZUHUDAYANA A.MD 17-09-1985 PENGADMINISTRASI UMUM PENYUSUN RISALAH LULUS LULUS TIDAK LULUS 1.222 611206501 1870011 209653 4538 66112000587 LAMRIA SILITONGA 10-11-1987 BIDAN PELAKSANA LULUS TIDAK LULUS TIDAK LULUS 1.223 121605550 5900006 190809 3543 66112000610 LAONMA SIHOMBING 15-05-1990 BIDAN PELAKSANA LULUS TIDAK LULUS TIDAK LULUS 1.224 617105520 3820003 155822 2569 66113001395 LARA NATALIA 12-03-1982 ANALIS KEBIJAKAN PERTAMA PENATA RUANG PERTAMA SURVEYOR PEMETAAN PERTAMA LULUS LULUS LULUS 1.225 617103020 6840015 197255 9281 66113001319 LASADI 02-06-1984 GURU SEJARAH PERTAMA LULUS TIDAK LULUS TIDAK LULUS 1.226 611201630 1830006 175277 0922 66112000760 LATIFATUL KHUSNA 23-01-1983 PERAWAT PELAKSANA LULUS TIDAK LULUS TIDAK LULUS 1.227 611201491 0900010 153683 3532 66113000524 LAURENSIA WINDA NOVIANI 09-10-1990 GURU SEJARAH PERTAMA LULUS TIDAK LULUS TIDAK LULUS 1.228 617102500 1900003 126065 2088 66113000436 LAURIKA LISANUARI SIMATUPANG 10-01-1990 ANALIS KEBIJAKAN PERTAMA GURU BAHASA INGGRIS PERTAMA SMP GURU BAHASA INGGRIS PERTAMA SMA TIDAK LULUS LULUS LULUS 1.229 611209170 4910004 133340 5037 66113000446 LEBRI YAFIT 17-04-1991 GURU MATEMATIKA PERTAMA LULUS TIDAK LULUS TIDAK LULUS 1.230 611201410 8800022 203236 0442 66113000791 LELLI SIMANJUNTAK 01-08-1980 ANALIS KERJASAMA DAN PERMODALAN PERENCANA PERTAMA ANALIS ANGGARAN LULUS LULUS LULUS 1.231 611201450 5900020 166703 9832 66112000281 LELY NURLAILY 05-05-1990 PERAWAT PELAKSANA LULUS TIDAK LULUS TIDAK LULUS 1.232 611201520 6810012 150249 1454 66112000410 LELY ULIYA ULPA 12-06-1981 PENGADMINISTRASI UMUM PENYUSUN RISALAH LULUS LULUS TIDAK LULUS 1.233 617103581 0870003 150218 9799 66113000808 LENA YUWITA 18-10-1987 GURU MATEMATIKA PERTAMA LULUS TIDAK LULUS TIDAK LULUS 1.234 611203620 2840003 146926 9660 66113001085 LENI SETIANI S 22-02-1984 ANALIS KEBIJAKAN PERTAMA LULUS TIDAK LULUS TIDAK LULUS 1.235 611203661 0810003 205054 1653 66113001091 LENNY ANGGRAINI 26-10-1981 ANALIS KEBIJAKAN PERTAMA LULUS TIDAK LULUS TIDAK LULUS 1.236 617103460 8880010 116626 6968 66113000072 LENNY DAMAYANTI 06-08-1988 GURU BAHASA INGGRIS PERTAMA SMP LULUS TIDAK LULUS TIDAK LULUS
  • 63.
    NO NIK NO REGIST ER NO PESERTA NAMA TANGGAL LAHIR PILIHAN JABATAN 1 NAMA JABATAN 2 NAMA JABATAN 3 STATUS PILIHAN 1 STATUS PILIHAN 2 STATUS PILIHAN 3 1.237 617101451 2820010 130821 2752 66112000025 LENNY MARISI PASARIBU 05-12-1982 PENGADMINISTRASI UMUM LULUS TIDAK LULUS TIDAK LULUS 1.238 617202650 1890003 174577 1889 66112000093 LENY HERLINA 25-01-1989 PENGADMINISTRASI UMUM PENYUSUN RISALAH LULUS LULUS TIDAK LULUS 1.239 611209681 0920002 141396 8153 66112000245 LENY MARLINA 28-10-1992 BIDAN PELAKSANA LULUS TIDAK LULUS TIDAK LULUS 1.240 617101080 7920006 197014 9810 66112000296 LEO S. ALIMIN 08-07-1992 PERAWAT PELAKSANA LULUS TIDAK LULUS TIDAK LULUS 1.241 610806060 3920003 167912 0366 66113001062 LEONARDO REGO 06-03-1992 PRANATA KOMPUTER PERTAMA ANALIS KEBIJAKAN PERTAMA LULUS LULUS TIDAK LULUS 1.242 611203130 8820003 211546 3728 66113000248 LEONARDO SETIAWAN, SH 13-08-1982 PENGAWAS KETENAGAKERJAAN PERTAMA PERANCANG PERUNDANG-UNDANGAN PERTAMA ANALIS KEBIJAKAN PERTAMA LULUS LULUS LULUS 1.243 611203061 1860002 183087 0980 66113000091 LEONARDUS PANE PARAYA 06-11-1986 GURU MATEMATIKA PERTAMA ANALIS KEBIJAKAN PERTAMA LULUS TIDAK LULUS TIDAK LULUS 1.244 617103490 6840003 203735 9565 66113001114 LESI NOVIDA, SE 09-06-1984 ANALIS KEBIJAKAN PERTAMA LULUS TIDAK LULUS TIDAK LULUS 1.245 617105450 5860016 132916 7120 66113000507 LESTARI 05-05-1986 ANALIS KEBIJAKAN PERTAMA LULUS TIDAK LULUS TIDAK LULUS 1.246 610104640 8870005 165010 4423 66113000614 LESTARI EVI KADARSIH,SH 21-08-1987 ANALIS KEBIJAKAN PERTAMA LULUS TIDAK LULUS TIDAK LULUS 1.247 617103420 4860504 177444 3012 66113000710 LESTARI HANDAYANI.S.PD 02-04-1986 GURU MATEMATIKA PERTAMA ANALIS KEBIJAKAN PERTAMA LULUS TIDAK LULUS TIDAK LULUS 1.248 611201501 0930012 175654 5209 66112000648 LEVY OLIVIA 10-10-1993 NUTRISIONIS PELAKSANA LULUS TIDAK LULUS TIDAK LULUS 1.249 610201210 3910001 134275 0195 66112000510 LEXY KUMARA 01-01-1991 NUTRISIONIS PELAKSANA LULUS TIDAK LULUS TIDAK LULUS 1.250 617102460 8910007 183545 0762 66112000252 LIA AMANDA PUTRI 06-08-1990 PERAWAT PELAKSANA LULUS TIDAK LULUS TIDAK LULUS 1.251 611201670 2890002 126531 6324 66113000431 LIA MAHANANI 27-02-1989 SANITARIAN PERTAMA LULUS TIDAK LULUS TIDAK LULUS 1.252 617104550 5910018 114030 7291 66112000592 LIA MINARTI 15-05-1991 BIDAN PELAKSANA LULUS TIDAK LULUS TIDAK LULUS 1.253 610201591 0880003 175030 1382 66113000213 LIA MULIA OKTAVIANI 19-10-1988 GURU MATEMATIKA PERTAMA LULUS TIDAK LULUS TIDAK LULUS 1.254 617105560 1880005 162077 7696 66112000687 LIA SAGITA 16-01-1988 PENYUSUN RISALAH PENGADMINISTRASI UMUM LULUS LULUS TIDAK LULUS 1.255 617103460 9840001 157119 0407 66113001692 LIA SUKMA, SKM 06-09-1984 SANITARIAN PERTAMA ANALIS KEBIJAKAN PERTAMA LULUS TIDAK LULUS TIDAK LULUS 1.256 610320520 8850002 161340 9952 66113000764 LIA SURYANI TUKANG 12-08-1985 GURU MATEMATIKA PERTAMA LULUS TIDAK LULUS TIDAK LULUS
  • 64.
    NO NIK NO REGIST ER NO PESERTA NAMA TANGGAL LAHIR PILIHAN JABATAN 1 NAMA JABATAN 2 NAMA JABATAN 3 STATUS PILIHAN 1 STATUS PILIHAN 2 STATUS PILIHAN 3 1.257 617105580 6870009 165938 6221 66113000384 LIA TRI WAHYUNI 18-06-1987 PERENCANA PERTAMA ANALIS ANGGARAN ANALIS KERJASAMA DAN PERMODALAN LULUS LULUS LULUS 1.258 617101530 3880005 109635 0498 66112000787 LIANA YUSTI 13-03-1988 PENYUSUN RISALAH PENGADMINISTRASI UMUM LULUS LULUS TIDAK LULUS 1.259 610513690 1860001 124066 6365 66112000528 LIBERATA JAYANTI 29-01-1986 BIDAN PELAKSANA LULUS TIDAK LULUS TIDAK LULUS 1.260 610703570 7930001 160689 6889 66112000859 LIDIA YUNIARTI 17-07-1993 PERAWAT PELAKSANA LULUS TIDAK LULUS TIDAK LULUS 1.261 617102530 7910006 173192 6998 66112000142 LIDYA KURNIAWATI 13-07-1991 NUTRISIONIS PELAKSANA LULUS TIDAK LULUS TIDAK LULUS 1.262 351418500 8870002 193234 9405 66113000515 LIGRINDA AMBARANIS 10-08-1987 ANALIS KEBIJAKAN PERTAMA LULUS TIDAK LULUS TIDAK LULUS 1.263 611201450 4840017 152688 7091 66113001464 LIKA AFRIANI 05-04-1984 ANALIS KEBIJAKAN PERTAMA LULUS TIDAK LULUS TIDAK LULUS 1.264 617205640 7890001 146292 9696 66112000411 LILI NUR INDAH SARI 24-07-1989 PENYUSUN RISALAH LULUS TIDAK LULUS TIDAK LULUS 1.265 617105661 2900010 202458 9921 66113000404 LILIANA 26-12-1990 GURU SEJARAH PERTAMA LULUS TIDAK LULUS TIDAK LULUS 1.266 617106081 1790001 182457 3140 66113001790 LILIK R. SETIAWAN 08-11-1979 ANALIS KEBIJAKAN PERTAMA LULUS TIDAK LULUS TIDAK LULUS 1.267 330919421 0909002 204395 7737 66113000747 LILIS SETYOWATI 02-10-1990 ANALIS KEBIJAKAN PERTAMA LULUS TIDAK LULUS TIDAK LULUS 1.268 610208521 0850004 118921 2019 66113000801 LILIS SURYANI 12-10-1985 GURU MATEMATIKA PERTAMA LULUS TIDAK LULUS TIDAK LULUS 1.269 611207581 0820001 178886 9108 66113001134 LILIS WIDYAWATI 18-10-1982 ANALIS KEBIJAKAN PERTAMA LULUS TIDAK LULUS TIDAK LULUS 1.270 610118420 8870002 148491 9254 66113000662 LILIYANTI 02-08-1987 GURU SEJARAH PERTAMA LULUS TIDAK LULUS TIDAK LULUS 1.271 610311630 8910001 199602 7704 66112000206 LINDA ASTUTI 23-08-1991 BIDAN PELAKSANA LULUS TIDAK LULUS TIDAK LULUS 1.272 617101550 3880004 204267 9908 66113001532 LINDA BUDIARSIH 15-03-1988 GURU BAHASA INGGRIS PERTAMA SMP ANALIS KEBIJAKAN PERTAMA LULUS TIDAK LULUS TIDAK LULUS 1.273 611201470 4890011 146707 1827 66113001119 LINDA MONITAWATI 07-04-1989 PRANATA KOMPUTER PERTAMA ANALIS KEBIJAKAN PERTAMA LULUS LULUS TIDAK LULUS 1.274 617103660 8850008 160385 5497 66113000099 LINDA PRADANA SARI 26-08-1985 PRANATA KOMPUTER PERTAMA ANALIS KEBIJAKAN PERTAMA LULUS LULUS TIDAK LULUS 1.275 617103510 1900008 120668 6402 66113000497 LINDA YANNURISKA 11-01-1990 ANALIS KEBIJAKAN PERTAMA LULUS TIDAK LULUS TIDAK LULUS 1.276 610306411 1920001 210268 6463 66113000075 LINDAWATI 01-11-1990 PEKERJA SOSIAL PERTAMA PENYULUH SOSIAL PERTAMA ANALIS KEBIJAKAN PERTAMA LULUS LULUS LULUS
  • 65.
    NO NIK NO REGIST ER NO PESERTA NAMA TANGGAL LAHIR PILIHAN JABATAN 1 NAMA JABATAN 2 NAMA JABATAN 3 STATUS PILIHAN 1 STATUS PILIHAN 2 STATUS PILIHAN 3 1.277 611209531 0910006 211988 3502 66112000500 LINDRAWATI 13-10-1991 PERAWAT PELAKSANA LULUS TIDAK LULUS TIDAK LULUS 1.278 611201700 7890002 163477 9571 66113001126 LINTAR TANIA 30-07-1989 PENYULUH KOPERASI PERENCANA PERTAMA ANALIS KEBIJAKAN PERTAMA LULUS LULUS LULUS 1.279 610201590 8900002 213791 8570 66112000041 LISA FUJAWATI 19-08-1990 NUTRISIONIS PELAKSANA LULUS TIDAK LULUS TIDAK LULUS 1.280 611207450 7870003 208142 3019 66112000759 LISA KHARO KATIN 05-07-1987 BIDAN PELAKSANA LULUS TIDAK LULUS TIDAK LULUS 1.281 617205500 8900001 151666 2003 66113000041 LISA MUHARIANI 10-08-1990 GURU SEJARAH PERTAMA ANALIS KEBIJAKAN PERTAMA LULUS TIDAK LULUS TIDAK LULUS 1.282 617103590 7860008 210470 6427 66113001269 LISA YULITA 19-07-1986 GURU BAHASA INGGRIS PERTAMA SMP GURU BAHASA INGGRIS PERTAMA SMA LULUS LULUS TIDAK LULUS 1.283 611209440 4920007 197747 8427 66112000573 LISAWATI 26-04-1992 BIDAN PELAKSANA LULUS TIDAK LULUS TIDAK LULUS 1.284 617102590 2880008 114105 6560 66113000261 LISBET MARYATI SIREGAR 19-02-1988 PENGAWAS KETENAGAKERJAAN PERTAMA PENGANTAR KERJA PERTAMA ANALIS KEBIJAKAN PERTAMA LULUS LULUS LULUS 1.285 610809631 0860001 107885 9083 66112000531 LISDA WANI 23-10-1986 PENYUSUN RISALAH LULUS TIDAK LULUS TIDAK LULUS 1.286 610116560 2920002 188520 4916 66112000159 LISDAYANTI 16-02-1992 PERAWAT PELAKSANA LULUS TIDAK LULUS TIDAK LULUS 1.287 610201570 4830001 202573 9893 66113001572 LISNA APRIYANTI, SEI 17-04-1983 ANALIS KEBIJAKAN PERTAMA LULUS TIDAK LULUS TIDAK LULUS 1.288 611201440 6810004 187133 1630 66113001335 LISNA YUNIARTI 04-06-1981 ANALIS KEBIJAKAN PERTAMA LULUS TIDAK LULUS TIDAK LULUS 1.289 611201421 0870002 165411 7834 66113001125 LISNAWATI. SEI 02-10-1987 ANALIS KEBIJAKAN PERTAMA PERENCANA PERTAMA ANALIS ANGGARAN LULUS LULUS LULUS 1.290 617105550 8890004 181249 7725 66113000819 LISTIA AGUSTIANA 15-08-1989 ANALIS KEBIJAKAN PERTAMA LULUS TIDAK LULUS TIDAK LULUS 1.291 617201510 1860002 144303 9536 66113000889 LITA MARDIANA 11-01-1986 ANALIS KEBIJAKAN PERTAMA LULUS TIDAK LULUS TIDAK LULUS 1.292 611209670 7880004 178243 5251 66113001491 LITA VENO VILIANTI 27-07-1988 GURU SEJARAH PERTAMA ANALIS KEBIJAKAN PERTAMA LULUS TIDAK LULUS TIDAK LULUS 1.293 617106420 4910001 147679 2577 66113000783 LIUS ANDREANI 02-04-1991 ANALIS ANGGARAN ANALIS KERJASAMA DAN PERMODALAN PERENCANA PERTAMA LULUS LULUS LULUS 1.294 611209551 2900005 181269 0113 66113000648 LIVIA ELA SAVITRI 15-12-1990 ANALIS KEBIJAKAN PERTAMA LULUS TIDAK LULUS TIDAK LULUS 1.295 611203610 2890002 179115 8122 66113001891 LIVIA LESTARI 21-02-1989 GURU SEJARAH PERTAMA ANALIS KEBIJAKAN PERTAMA LULUS TIDAK LULUS TIDAK LULUS 1.296 611201510 2910006 112598 2809 66112000614 LORENTIA ARKHINCIE 11-02-1991 PENGADMINISTRASI UMUM LULUS TIDAK LULUS TIDAK LULUS
  • 66.
    NO NIK NO REGIST ER NO PESERTA NAMA TANGGAL LAHIR PILIHAN JABATAN 1 NAMA JABATAN 2 NAMA JABATAN 3 STATUS PILIHAN 1 STATUS PILIHAN 2 STATUS PILIHAN 3 1.297 617104071 2890007 181745 8599 66112000067 LUKPI DULISLAM 07-12-1989 PERAWAT PELAKSANA LULUS TIDAK LULUS TIDAK LULUS 1.298 611006510 4910001 116900 7830 66113000799 LUKY BUDI HARTATI 11-04-1991 GURU SEJARAH PERTAMA LULUS TIDAK LULUS TIDAK LULUS 1.299 617104600 2930007 149280 7583 66112000139 LULU MARIFATUN KHUSNA 20-02-1993 NUTRISIONIS PELAKSANA LULUS TIDAK LULUS TIDAK LULUS 1.300 611206590 5830001 165343 1847 66112000022 LUPI ANDRIYANI 19-05-1983 PERAWAT PELAKSANA LULUS TIDAK LULUS TIDAK LULUS 1.301 611201650 6810011 125853 8043 66113001346 LUSIA IIN KARTIKA INDRIYANI PING 25-06-1981 PENGAWAS KETENAGAKERJAAN PERTAMA PERANCANG PERUNDANG-UNDANGAN PERTAMA MEDIATOR HUBUNGAN INDUSTRIAL PERTAMA LULUS LULUS LULUS 1.302 611203550 6820006 122368 6777 66112000618 LUSIA JUNIARTHA 15-06-1982 PENGADMINISTRASI UMUM PENYUSUN RISALAH LULUS LULUS TIDAK LULUS 1.303 611201700 5830007 131527 7800 66113000020 LUSIANA 30-05-1983 GURU BAHASA INGGRIS PERTAMA SMP LULUS TIDAK LULUS TIDAK LULUS 1.304 611203440 1850004 166625 4837 66112000768 LUSIANA LINA, A.MD 04-01-1985 PENGADMINISTRASI UMUM PENYUSUN RISALAH LULUS LULUS TIDAK LULUS 1.305 617102481 0920003 102682 2815 66113001578 LUTFHI FILDZA HARISNA 08-10-1992 PRANATA KOMPUTER PERTAMA ANALIS KEBIJAKAN PERTAMA LULUS LULUS TIDAK LULUS 1.306 611209460 6890004 145339 6710 66113001128 LUTFIYEH 06-06-1989 PERANCANG PERUNDANG-UNDANGAN PERTAMA MEDIATOR HUBUNGAN INDUSTRIAL PERTAMA LULUS LULUS TIDAK LULUS 1.307 617201560 1890001 145216 8753 66112000579 LUTPHY ETIKA, A.MD 16-01-1989 PENGADMINISTRASI UMUM LULUS TIDAK LULUS TIDAK LULUS 1.308 610702711 0900001 176692 8334 66112000053 LYA NARMITHA. CH 31-10-1990 NUTRISIONIS PELAKSANA LULUS TIDAK LULUS TIDAK LULUS 1.309 611207040 4830003 196632 9989 66113000931 M ULIL ABSOR 04-04-1983 PENYULUH KOPERASI ANALIS KERJASAMA DAN PERMODALAN ANALIS KEBIJAKAN PERTAMA LULUS LULUS LULUS 1.310 617103260 2890017 143573 7998 66113000241 M. AZMI 26-02-1989 GURU MATEMATIKA PERTAMA ANALIS KEBIJAKAN PERTAMA LULUS TIDAK LULUS TIDAK LULUS 1.311 610416160 3890005 144326 0790 66113001487 M. HARRIS TAUFIK 16-03-1989 GURU BAHASA INGGRIS PERTAMA SMA GURU BAHASA INGGRIS PERTAMA SMP ANALIS KEBIJAKAN PERTAMA LULUS LULUS TIDAK LULUS 1.312 611201110 9870009 135308 3603 66113001123 M. HASANUDIN 11-09-1987 PERANCANG PERUNDANG-UNDANGAN PERTAMA MEDIATOR HUBUNGAN INDUSTRIAL PERTAMA PENGAWAS KETENAGAKERJAAN PERTAMA LULUS LULUS LULUS 1.313 617103011 1810007 181186 9036 66112000665 M. HUDAYA, A.MD 01-11-1981 PENGADMINISTRASI UMUM PENYUSUN RISALAH LULUS LULUS TIDAK LULUS 1.314 127109170 1890002 144846 0087 66113000121 M. ISA HUTAMA 17-01-1989 PENGAWAS LINGKUNGAN HIDUP PERTAMA PENGENDALI DAMPAK LINGKUNGAN PERTAMA TEKNIK PENYEHATAN LINGKUNGAN PERTAMA LULUS LULUS LULUS 1.315 611203210 7850010 129887 4574 66113001770 M. LIHAN 21-07-1985 GURU BAHASA INGGRIS PERTAMA SMP LULUS TIDAK LULUS TIDAK LULUS 1.316 617103150 8820021 167602 6256 66113000265 M. MUCHLIS SAGIMAN 15-08-1982 PENATA RUANG PERTAMA SURVEYOR PEMETAAN PERTAMA ANALIS KEBIJAKAN PERTAMA LULUS LULUS LULUS
  • 67.
    NO NIK NO REGIST ER NO PESERTA NAMA TANGGAL LAHIR PILIHAN JABATAN 1 NAMA JABATAN 2 NAMA JABATAN 3 STATUS PILIHAN 1 STATUS PILIHAN 2 STATUS PILIHAN 3 1.317 617101080 7810016 197987 1725 66113001681 M. PANI PARDIANSYAH, ST 08-07-1981 PENATA RUANG PERTAMA SURVEYOR PEMETAAN PERTAMA ANALIS KEBIJAKAN PERTAMA LULUS LULUS LULUS 1.318 617104260 6870015 119223 5003 66113001028 M. RIZA EFENDI. SE 26-06-1987 PERENCANA PERTAMA ANALIS KEBIJAKAN PERTAMA ANALIS ANGGARAN LULUS LULUS LULUS 1.319 611203140 4830002 202124 6476 66113001490 M. RUDI 14-04-1983 GURU BAHASA INGGRIS PERTAMA SMP GURU BAHASA INGGRIS PERTAMA SMA ANALIS KEBIJAKAN PERTAMA LULUS LULUS TIDAK LULUS 1.320 617105210 9870002 166652 9404 66113000232 M. TEJA MAGHRIBY 21-09-1987 PEKERJA SOSIAL PERTAMA PENYULUH SOSIAL PERTAMA ANALIS KEBIJAKAN PERTAMA LULUS LULUS LULUS 1.321 617103030 9850507 118940 4646 66112000621 M.Y. SALIMIN 03-09-1985 PENGADMINISTRASI UMUM PENYUSUN RISALAH LULUS LULUS TIDAK LULUS 1.322 610208240 3820001 143518 1858 66113001292 MADHOPI 24-03-1982 ANALIS KEBIJAKAN PERTAMA LULUS TIDAK LULUS TIDAK LULUS 1.323 617104411 2890003 169968 2870 66112000483 MADILAWANA YASHIFA 01-12-1989 BIDAN PELAKSANA LULUS TIDAK LULUS TIDAK LULUS 1.324 610512690 9870003 207649 0610 66112000607 MAGDALENA 29-09-1987 BIDAN PELAKSANA LULUS TIDAK LULUS TIDAK LULUS 1.325 610807600 2910006 166875 2470 66112000419 MAGDALENA DELISA 20-02-1991 PERAWAT PELAKSANA LULUS TIDAK LULUS TIDAK LULUS 1.326 610320650 1890002 176034 1054 66113000953 MAHAYANA AKHMAD NDOSO 25-01-1989 ANALIS KEBIJAKAN PERTAMA LULUS TIDAK LULUS TIDAK LULUS 1.327 610218691 2870002 135747 6665 66113001207 MAHFUZA 29-12-1987 GURU BAHASA INGGRIS PERTAMA SMA GURU BAHASA INGGRIS PERTAMA SMP ANALIS KEBIJAKAN PERTAMA LULUS LULUS TIDAK LULUS 1.328 617103140 7810013 133464 4273 66113001188 MAHMUD, SE 14-07-1981 PERENCANA PERTAMA ANALIS KERJASAMA DAN PERMODALAN ANALIS KEBIJAKAN PERTAMA LULUS LULUS LULUS 1.329 611103140 9880001 128254 9128 66112000721 MAHMUDI 14-09-1988 PERAWAT PELAKSANA LULUS TIDAK LULUS TIDAK LULUS 1.330 611201181 1850004 209080 1154 66113000775 MAHMUDI 18-11-1985 GURU BAHASA INGGRIS PERTAMA SMP GURU BAHASA INGGRIS PERTAMA SMA ANALIS KEBIJAKAN PERTAMA LULUS LULUS TIDAK LULUS 1.331 617104640 4920002 138378 8968 66113001763 MAI SITA 24-04-1992 GURU MATEMATIKA PERTAMA LULUS TIDAK LULUS TIDAK LULUS 1.332 350503570 5880004 169823 2518 66113001887 MAIKA WIDA SAFITRI 17-05-1988 GURU FISIKA PERTAMA GURU IPA PERTAMA ANALIS KEBIJAKAN PERTAMA LULUS LULUS TIDAK LULUS 1.333 610207420 2830007 155534 0940 66113000235 MAILAMAH 02-02-1983 PRANATA KOMPUTER PERTAMA LULUS TIDAK LULUS TIDAK LULUS 1.334 617201440 5840002 208282 3916 66113000364 MAILINA 04-05-1984 ANALIS KEBIJAKAN PERTAMA LULUS TIDAK LULUS TIDAK LULUS 1.335 617103440 9920003 184083 1811 66112000815 MALINDA ULI DOLOKSARIBU 04-09-1992 BIDAN PELAKSANA LULUS TIDAK LULUS TIDAK LULUS 1.336 610104690 5920002 131880 4872 66113001762 MALIZA 29-05-1992 GURU MATEMATIKA PERTAMA LULUS TIDAK LULUS TIDAK LULUS
  • 68.
    NO NIK NO REGIST ER NO PESERTA NAMA TANGGAL LAHIR PILIHAN JABATAN 1 NAMA JABATAN 2 NAMA JABATAN 3 STATUS PILIHAN 1 STATUS PILIHAN 2 STATUS PILIHAN 3 1.337 617104090 2900017 202767 5431 66113001669 MANGIRING PASARIBU 09-02-1990 PENGENDALI DAMPAK LINGKUNGAN PERTAMA PENGAWAS LINGKUNGAN HIDUP PERTAMA TEKNIK PENYEHATAN LINGKUNGAN PERTAMA LULUS LULUS LULUS 1.338 610104440 9910005 157955 9208 66112000188 MANILA 04-09-1991 PERAWAT PELAKSANA LULUS TIDAK LULUS TIDAK LULUS 1.339 611201280 6880011 193354 2409 66113000470 MANIRI 28-06-1988 ANALIS KEBIJAKAN PERTAMA LULUS TIDAK LULUS TIDAK LULUS 1.340 610201120 5860002 142484 7063 66113000551 MANSUR 12-05-1986 GURU MATEMATIKA PERTAMA LULUS TIDAK LULUS TIDAK LULUS 1.341 611209200 4920010 199183 7682 66112000280 MANSYURUDDIN 20-04-1992 PERAWAT PELAKSANA LULUS TIDAK LULUS TIDAK LULUS 1.342 617103040 1920001 101880 5197 66113001309 MARANATHA YOHANES SINAGA 04-01-1992 TEKNIK JALAN DAN JEMBATAN PERTAMA ANALIS KEBIJAKAN PERTAMA LULUS TIDAK LULUS TIDAK LULUS 1.343 610201450 3810002 185946 1778 66112000013 MARCE MAKAILIPESSY 05-03-1981 PENGADMINISTRASI UMUM LULUS TIDAK LULUS TIDAK LULUS 1.344 617105520 3890002 178855 8274 66112000453 MARDA LENAWATI 12-03-1989 PENGADMINISTRASI UMUM PENYUSUN RISALAH LULUS LULUS TIDAK LULUS 1.345 617103480 7800009 162208 0209 66113001605 MARDHIA SYAHMAD, S.KOM 08-07-1980 PRANATA KOMPUTER PERTAMA ANALIS KEBIJAKAN PERTAMA LULUS LULUS TIDAK LULUS 1.346 611201460 3830026 206843 2899 66113000560 MARDIANA 06-03-1983 ANALIS KEBIJAKAN PERTAMA LULUS TIDAK LULUS TIDAK LULUS 1.347 617101451 0820003 117939 2506 66113001501 MARDIANA KARMILA, S.SI 05-10-1982 APOTEKER PERTAMA LULUS TIDAK LULUS TIDAK LULUS 1.348 611209670 3900005 194603 6254 66113000202 MARDIYANI 27-03-1990 GURU MATEMATIKA PERTAMA ANALIS KEBIJAKAN PERTAMA LULUS TIDAK LULUS TIDAK LULUS 1.349 611209680 3910003 173522 5260 66113001230 MARETA CRISTIANA 28-03-1991 PRANATA KOMPUTER PERTAMA ANALIS KEBIJAKAN PERTAMA LULUS LULUS TIDAK LULUS 1.350 611206120 5890006 212278 7873 66112000040 MARGA ADI SENO SAPUTRA 12-05-1989 PERAWAT PELAKSANA LULUS TIDAK LULUS TIDAK LULUS 1.351 610807610 7870002 189999 1268 66113001167 MARGARETA FLANTIKA 21-07-1987 ANALIS KEBIJAKAN PERTAMA LULUS TIDAK LULUS TIDAK LULUS 1.352 611205421 1910001 122553 5392 66113000920 MARHENI 01-11-1991 GURU MATEMATIKA PERTAMA ANALIS KEBIJAKAN PERTAMA LULUS TIDAK LULUS TIDAK LULUS 1.353 617103711 2900013 128518 5889 66112000711 MARIA CAROLINA DESGATRIA 31-12-1990 BIDAN PELAKSANA LULUS TIDAK LULUS TIDAK LULUS 1.354 617101490 1920003 157274 1869 66113001852 MARIA CECILIA 09-01-1992 ANALIS ANGGARAN PERENCANA PERTAMA ANALIS KEBIJAKAN PERTAMA LULUS LULUS LULUS 1.355 611201490 3870009 178908 9169 66112000065 MARIA DARMAWATI 09-03-1987 BIDAN PELAKSANA LULUS TIDAK LULUS TIDAK LULUS 1.356 617101551 0880001 210682 1195 66113001518 MARIA GINA VENERANDA 15-10-1988 GURU BAHASA INGGRIS PERTAMA SMP ANALIS KEBIJAKAN PERTAMA GURU BAHASA INGGRIS PERTAMA SMA LULUS TIDAK LULUS LULUS
  • 69.
    NO NIK NO REGIST ER NO PESERTA NAMA TANGGAL LAHIR PILIHAN JABATAN 1 NAMA JABATAN 2 NAMA JABATAN 3 STATUS PILIHAN 1 STATUS PILIHAN 2 STATUS PILIHAN 3 1.357 610419440 1910002 138793 2857 66113000530 MARIA JANDI VICTAURIA 04-01-1991 GURU SEJARAH PERTAMA LULUS TIDAK LULUS TIDAK LULUS 1.358 617104600 7920003 116770 1221 66113001303 MARIA POPPI 20-07-1992 ANALIS KERJASAMA DAN PERMODALAN PERENCANA PERTAMA PENYULUH KOPERASI LULUS LULUS LULUS 1.359 610611620 3860001 203231 9986 66112000365 MARIA RISWANI 22-03-1986 PENYUSUN RISALAH PENGADMINISTRASI UMUM LULUS LULUS TIDAK LULUS 1.360 610208621 1920003 142790 5389 66112000799 MARIANA 22-11-1992 PENGADMINISTRASI UMUM LULUS TIDAK LULUS TIDAK LULUS 1.361 611205651 0880002 192013 2732 66113000455 MARIANA 25-10-1988 GURU MATEMATIKA PERTAMA LULUS TIDAK LULUS TIDAK LULUS 1.362 617202620 2900002 194820 7476 66113000668 MARIANA 22-02-1990 PUSTAKAWAN PERTAMA ANALIS KEBIJAKAN PERTAMA LULUS LULUS TIDAK LULUS 1.363 610313470 1910001 103933 8154 66112000873 MARIANA ANA 07-01-1991 PENGADMINISTRASI UMUM LULUS TIDAK LULUS TIDAK LULUS 1.364 611206690 7890003 185856 4081 66113000134 MARIANA DWI YULIASTUTI 29-07-1989 GURU MATEMATIKA PERTAMA LULUS TIDAK LULUS TIDAK LULUS 1.365 610807480 1840004 149933 0811 66112000343 MARIANCE 08-01-1984 PENGADMINISTRASI UMUM PENYUSUN RISALAH LULUS LULUS TIDAK LULUS 1.366 611201551 1800006 185911 5106 66113000427 MARIATI 15-11-1980 ANALIS ANGGARAN PENYULUH KOPERASI ANALIS KEBIJAKAN PERTAMA LULUS LULUS LULUS 1.367 617104660 5850007 198196 6039 66113001822 MARIAWATI HASIBUAN 26-05-1985 ANALIS KEBIJAKAN PERTAMA PERANCANG PERUNDANG-UNDANGAN PERTAMA PENGAWAS KETENAGAKERJAAN PERTAMA LULUS LULUS LULUS 1.368 617103490 3820007 172919 1577 66113001894 MARIETHA LISA ROKUVAWATI,S.SOS 09-03-1982 ANALIS LAYANAN UMUM ANALIS KEBIJAKAN PERTAMA TIDAK LULUS LULUS TIDAK LULUS 1.369 611207061 1830003 178596 0477 66113000341 MARIO ARNOV, SE 06-11-1983 ANALIS ANGGARAN ANALIS KEBIJAKAN PERTAMA ANALIS KERJASAMA DAN PERMODALAN LULUS LULUS LULUS 1.370 617105610 3920003 161017 7436 66113000238 MARIOLET YOAN ASHARI 21-03-1992 ANALIS ANGGARAN PENYULUH KOPERASI PERENCANA PERTAMA LULUS LULUS LULUS 1.371 610417030 3850005 189007 2725 66113001168 MARIYADI HAS 03-03-1985 PENYULUH KOPERASI ANALIS KERJASAMA DAN PERMODALAN ANALIS KEBIJAKAN PERTAMA LULUS LULUS LULUS 1.372 610501550 1850003 157428 6295 66113001642 MARIYATUL QIBTIYAH 15-01-1985 ANALIS KEBIJAKAN PERTAMA LULUS TIDAK LULUS TIDAK LULUS 1.373 610717281 1880002 209228 6054 66113001674 MARJETO 28-11-1988 GURU MATEMATIKA PERTAMA LULUS TIDAK LULUS TIDAK LULUS 1.374 610217141 0810001 134060 1948 66113001285 MARJONI,ST 14-10-1981 PENATA RUANG PERTAMA SURVEYOR PEMETAAN PERTAMA ANALIS KEBIJAKAN PERTAMA LULUS LULUS LULUS 1.375 610207540 7820002 111488 7264 66113000469 MARLENI 14-07-1982 GURU MATEMATIKA PERTAMA LULUS TIDAK LULUS TIDAK LULUS 1.376 611206270 7920002 152995 5648 66113000291 MARLIN BARCELONA PANJAITAN 26-07-1992 GURU MATEMATIKA PERTAMA ANALIS KEBIJAKAN PERTAMA LULUS TIDAK LULUS TIDAK LULUS
  • 70.
    NO NIK NO REGIST ER NO PESERTA NAMA TANGGAL LAHIR PILIHAN JABATAN 1 NAMA JABATAN 2 NAMA JABATAN 3 STATUS PILIHAN 1 STATUS PILIHAN 2 STATUS PILIHAN 3 1.377 617104470 6820019 110003 6274 66112000666 MARLINAWATI PAKPAHAN 07-06-1982 PENGADMINISTRASI UMUM PENYUSUN RISALAH LULUS LULUS TIDAK LULUS 1.378 617103460 3860503 139389 8593 66112000845 MARLINDA MAYASARI 06-03-1986 PENGADMINISTRASI UMUM PENYUSUN RISALAH LULUS LULUS TIDAK LULUS 1.379 330507241 1820003 202683 3621 66113001618 MARNO 24-11-1982 ANALIS KERJASAMA DAN PERMODALAN PENYULUH KOPERASI PERENCANA PERTAMA LULUS LULUS LULUS 1.380 610510520 5880002 203608 9331 66112000382 MARSALINA 12-05-1988 PERAWAT PELAKSANA LULUS TIDAK LULUS TIDAK LULUS 1.381 610206420 3930002 128267 1662 66112000291 MARSELINA FIRANIA ICHABELLA 02-03-1993 BIDAN PELAKSANA LULUS TIDAK LULUS TIDAK LULUS 1.382 610208471 2830001 133157 1311 66113000254 MARSELINA LAMANG 07-12-1983 PRANATA KOMPUTER PERTAMA LULUS TIDAK LULUS TIDAK LULUS 1.383 617103410 3930002 123874 8922 66112000784 MARSELINA RAHMAWATI 01-03-1993 VERIFIKATOR KEUANGAN LULUS TIDAK LULUS TIDAK LULUS 1.384 617101520 5900009 168634 2439 66112000524 MARSELLA SUNARDI 12-05-1990 PENYUSUN RISALAH PENGADMINISTRASI UMUM LULUS LULUS TIDAK LULUS 1.385 610508600 8900002 161259 1557 66113001757 MARTA YULITA 20-08-1990 GURU MATEMATIKA PERTAMA LULUS TIDAK LULUS TIDAK LULUS 1.386 610304590 1900001 196689 7280 66113000947 MARTHA LIA 19-01-1990 ANALIS KEBIJAKAN PERTAMA LULUS TIDAK LULUS TIDAK LULUS 1.387 611207560 5830001 144537 1568 66112000729 MARTINA 16-05-1983 BIDAN PELAKSANA LULUS TIDAK LULUS TIDAK LULUS 1.388 617103630 9820007 200981 0769 66113000380 MARTINI 23-09-1982 APOTEKER PERTAMA LULUS TIDAK LULUS TIDAK LULUS 1.389 610312220 4910001 106008 8890 66113000580 MARTIUS 22-04-1991 GURU IPA PERTAMA GURU BIOLOGI PERTAMA ANALIS KEBIJAKAN PERTAMA LULUS LULUS TIDAK LULUS 1.390 611208550 2900001 192319 9673 66113001340 MARWIYAH 15-02-1990 ANALIS KERJASAMA DAN PERMODALAN PENYULUH KOPERASI PERENCANA PERTAMA LULUS LULUS LULUS 1.391 610113590 6910002 157056 7628 66112000545 MARYA ULFA 19-06-1991 NUTRISIONIS PELAKSANA LULUS TIDAK LULUS TIDAK LULUS 1.392 611209571 0840003 152670 0428 66113001597 MARYANAH 17-10-1984 ANALIS ANGGARAN ANALIS KERJASAMA DAN PERMODALAN PERENCANA PERTAMA LULUS LULUS LULUS 1.393 617101600 9840014 151214 2553 66112000092 MARYANI 20-09-1984 PENGADMINISTRASI UMUM LULUS TIDAK LULUS TIDAK LULUS 1.394 611209430 4910007 194311 7689 66112000130 MARYANI 03-04-1991 BIDAN PELAKSANA LULUS TIDAK LULUS TIDAK LULUS 1.395 617101530 3900006 196311 1064 66113000543 MARYANTI 13-03-1990 GURU BAHASA INGGRIS PERTAMA SMP GURU BAHASA INGGRIS PERTAMA SMA ANALIS KEBIJAKAN PERTAMA LULUS LULUS TIDAK LULUS 1.396 611209490 1860005 104703 4973 66113000649 MARYANTI 09-01-1986 PEKERJA SOSIAL PERTAMA PENYULUH SOSIAL PERTAMA ANALIS KEBIJAKAN PERTAMA LULUS LULUS LULUS
  • 71.
    NO NIK NO REGIST ER NO PESERTA NAMA TANGGAL LAHIR PILIHAN JABATAN 1 NAMA JABATAN 2 NAMA JABATAN 3 STATUS PILIHAN 1 STATUS PILIHAN 2 STATUS PILIHAN 3 1.397 611209110 4850003 181163 3534 66113000221 MARYANTO.ST 11-04-1985 SURVEYOR PEMETAAN PERTAMA PENATA RUANG PERTAMA ANALIS KEBIJAKAN PERTAMA LULUS LULUS LULUS 1.398 610701530 4900004 147266 1152 66113001485 MARYATI 13-04-1990 GURU SEJARAH PERTAMA LULUS TIDAK LULUS TIDAK LULUS 1.399 611203230 1930002 185555 8152 66112000084 MARZUQI 23-01-1993 PERAWAT PELAKSANA LULUS TIDAK LULUS TIDAK LULUS 1.400 610208651 1860001 206456 8282 66112000160 MAS RANA ASTRIANA 25-11-1986 BIDAN PELAKSANA LULUS TIDAK LULUS TIDAK LULUS 1.401 610201621 2800001 195346 0714 66112000785 MASITAH RAHMAH, A.MD 22-12-1980 PENGADMINISTRASI UMUM PENYUSUN RISALAH LULUS LULUS TIDAK LULUS 1.402 610606410 8880001 130290 1005 66113000179 MASJINAN 01-08-1988 ANALIS KEBIJAKAN PERTAMA PERENCANA PERTAMA ANALIS KERJASAMA DAN PERMODALAN LULUS LULUS LULUS 1.403 610513130 3850001 163892 3559 66113000632 MASNGUD ZAUZI 13-03-1985 ANALIS KEBIJAKAN PERTAMA LULUS TIDAK LULUS TIDAK LULUS 1.404 611205050 4820004 146755 6378 66112000774 MASRURI 05-04-1982 PERAWAT PELAKSANA LULUS TIDAK LULUS TIDAK LULUS 1.405 617104111 1910003 187715 8806 66112000797 MASTUR 11-11-1991 PENGADMINISTRASI UMUM PENYUSUN RISALAH LULUS LULUS TIDAK LULUS 1.406 610501450 7900010 197134 6116 66113001456 MATILDA RELU LAMA TOKAN 05-07-1990 TEKNIK TATA BANGUNAN DAN PERUMAHAN PERTAMA ANALIS KEBIJAKAN PERTAMA LULUS LULUS TIDAK LULUS 1.407 617101130 2870006 198277 8906 66113001035 MAULANDHY FEBRIAN SURRAMANRA 13-02-1987 TEKNIK PENYEHATAN LINGKUNGAN PERTAMA PENGENDALI DAMPAK LINGKUNGAN PERTAMA PENGAWAS LINGKUNGAN HIDUP PERTAMA LULUS LULUS LULUS 1.408 610105161 1910004 171908 5094 66112000457 MAULIDI 16-11-1991 PENGADMINISTRASI UMUM PENYUSUN RISALAH LULUS LULUS TIDAK LULUS 1.409 610701221 0900002 175945 8258 66113000894 MAULIDIN 22-10-1990 PRANATA KOMPUTER PERTAMA ANALIS KEBIJAKAN PERTAMA LULUS LULUS TIDAK LULUS 1.410 617101551 0900003 157324 7310 66112000425 MAULIDINI ULMUL HAIR 15-10-1990 PERAWAT PELAKSANA LULUS TIDAK LULUS TIDAK LULUS 1.411 617101490 9860006 103611 8849 66113000158 MAULINA 19-09-1986 GURU BAHASA INGGRIS PERTAMA SMP LULUS TIDAK LULUS TIDAK LULUS 1.412 617103061 0890019 154823 6761 66113001874 MAULVHI AL ANSYOR 06-10-1989 PENGENDALI ORGANISME PENGGANGGU TUMBUHAN PERTAMA ANALIS KEBIJAKAN PERTAMA TIDAK LULUS LULUS TIDAK LULUS 1.413 610304620 9860002 140749 3820 66113000651 MAURISIA TRISIL 22-09-1986 PERENCANA PERTAMA ANALIS ANGGARAN PENYULUH KOPERASI LULUS LULUS LULUS 1.414 610502470 1860001 197311 5537 66113001025 MAYA CHRISTINA VIDYA VIJAYANTI 07-01-1986 GURU BIOLOGI PERTAMA GURU IPA PERTAMA ANALIS KEBIJAKAN PERTAMA LULUS LULUS TIDAK LULUS 1.415 611206551 0900002 178959 3636 66113000441 MAYA DESI WULANDARI 15-10-1990 GURU MATEMATIKA PERTAMA LULUS TIDAK LULUS TIDAK LULUS 1.416 617103440 3860013 107361 9273 66113001864 MAYA RIAWATI 04-03-1986 GURU BAHASA INGGRIS PERTAMA SMP GURU BAHASA INGGRIS PERTAMA SMA ANALIS KEBIJAKAN PERTAMA LULUS LULUS TIDAK LULUS
  • 72.
    NO NIK NO REGIST ER NO PESERTA NAMA TANGGAL LAHIR PILIHAN JABATAN 1 NAMA JABATAN 2 NAMA JABATAN 3 STATUS PILIHAN 1 STATUS PILIHAN 2 STATUS PILIHAN 3 1.417 617201430 5900002 145588 5445 66113000361 MAYA WIDIYANTIANA 03-05-1990 APOTEKER PERTAMA ANALIS KEBIJAKAN PERTAMA LULUS TIDAK LULUS TIDAK LULUS 1.418 617102620 4870001 178511 4570 66113000048 MAYANG AMBIKA 22-04-1987 ANALIS KEBIJAKAN PERTAMA LULUS TIDAK LULUS TIDAK LULUS 1.419 617101591 2890004 148802 1156 66112000638 MAYASARI 19-12-1989 PENGADMINISTRASI UMUM PENYUSUN RISALAH LULUS LULUS TIDAK LULUS 1.420 140309520 5920001 116156 5433 66113001111 MAYASARI SURAYYA DEWI 12-05-1992 PRANATA KOMPUTER PERTAMA ANALIS KEBIJAKAN PERTAMA LULUS LULUS TIDAK LULUS 1.421 617103670 2900008 134964 7526 66113000083 MAYSARAH 27-02-1990 ANALIS KEBIJAKAN PERTAMA LULUS TIDAK LULUS TIDAK LULUS 1.422 617103441 2860003 172886 1063 66113000912 MEGA 04-12-1987 PERENCANA PERTAMA PENYULUH KOPERASI ANALIS KERJASAMA DAN PERMODALAN LULUS LULUS LULUS 1.423 610101540 4890004 214524 6169 66113001510 MEGA APRISASMITA 14-04-1989 APOTEKER PERTAMA ANALIS KEBIJAKAN PERTAMA LULUS TIDAK LULUS TIDAK LULUS 1.424 611201501 0840027 172884 8601 66112000477 MEGA KARTIKA,AMD.KEB 10-10-1984 BIDAN PELAKSANA LULUS TIDAK LULUS TIDAK LULUS 1.425 617104700 6900010 161075 9611 66113000188 MEGA PURANI NAINGGOLAN 30-06-1990 GURU MATEMATIKA PERTAMA LULUS TIDAK LULUS TIDAK LULUS 1.426 610101631 2880002 158639 1063 66113000334 MEGARIANA 23-12-1988 PRANATA HUBUNGAN MASYARAKAT PERTAMA ANALIS KEBIJAKAN PERTAMA LULUS LULUS TIDAK LULUS 1.427 617103640 5850005 181944 2113 66113000815 MEGAWATI 24-05-1985 GURU BAHASA INGGRIS PERTAMA SMP GURU BAHASA INGGRIS PERTAMA SMA ANALIS KEBIJAKAN PERTAMA LULUS LULUS TIDAK LULUS 1.428 611203081 0890005 179907 5042 66113000974 MEGGI YANTO 08-10-1989 ANALIS KEBIJAKAN PERTAMA LULUS TIDAK LULUS TIDAK LULUS 1.429 611203530 5930002 117229 1012 66112000692 MEI LINDA 13-05-1993 BIDAN PELAKSANA LULUS TIDAK LULUS TIDAK LULUS 1.430 610208600 5870002 131765 4995 66113001554 MEI RATNA LESTARI 20-05-1987 GURU MATEMATIKA PERTAMA ANALIS KEBIJAKAN PERTAMA LULUS TIDAK LULUS TIDAK LULUS 1.431 611203440 5850006 143974 1993 66113000406 MEI TIKAWATI 04-05-1985 GURU MATEMATIKA PERTAMA ANALIS KEBIJAKAN PERTAMA LULUS TIDAK LULUS TIDAK LULUS 1.432 617103570 5840003 191429 3456 66113001804 MEIFIYANTI IRINMANTYA 17-05-1984 ANALIS KEBIJAKAN PERTAMA LULUS TIDAK LULUS TIDAK LULUS 1.433 617103540 5920005 185453 3431 66113001061 MEIGY CHRISANTY TAMBUNAN 14-05-1992 PENGAWAS KETENAGAKERJAAN PERTAMA PENGANTAR KERJA PERTAMA ANALIS LAYANAN UMUM LULUS LULUS LULUS 1.434 617101440 3910504 142444 0894 66112000186 MEILDA PRATIWI 04-03-1991 NUTRISIONIS PELAKSANA LULUS TIDAK LULUS TIDAK LULUS 1.435 617102460 5880006 189953 6887 66112000866 MEILI SUMIATI 06-05-1988 PENYUSUN RISALAH PENGADMINISTRASI UMUM LULUS LULUS TIDAK LULUS 1.436 617101540 4900009 100667 0973 66113000338 MEISHYTAH EKA APRILIANTI 14-04-1990 PRANATA KOMPUTER PERTAMA ANALIS KEBIJAKAN PERTAMA LULUS LULUS TIDAK LULUS
  • 73.
    NO NIK NO REGIST ER NO PESERTA NAMA TANGGAL LAHIR PILIHAN JABATAN 1 NAMA JABATAN 2 NAMA JABATAN 3 STATUS PILIHAN 1 STATUS PILIHAN 2 STATUS PILIHAN 3 1.437 147104620 5900001 192573 6368 66113000613 MEITA RIANITA 22-05-1990 PRANATA KOMPUTER PERTAMA ANALIS KEBIJAKAN PERTAMA LULUS LULUS TIDAK LULUS 1.438 617105670 5850012 165469 6315 66113001587 MEITA SAMTIA 27-05-1985 ANALIS KEBIJAKAN PERTAMA PERENCANA PERTAMA ANALIS KERJASAMA DAN PERMODALAN LULUS LULUS LULUS 1.439 127119450 4800002 203458 6682 66113001408 MELATI ERNI SHARON HTPEA 05-04-1980 ANALIS KEBIJAKAN PERTAMA LULUS TIDAK LULUS TIDAK LULUS 1.440 611103650 5920002 159584 6321 66112000645 MELDA NOVITASARI 25-05-1992 BIDAN PELAKSANA LULUS TIDAK LULUS TIDAK LULUS 1.441 611206410 5920003 214039 4503 66113001054 MELI 01-05-1992 ANALIS ANGGARAN PERENCANA PERTAMA ANALIS KERJASAMA DAN PERMODALAN LULUS LULUS LULUS 1.442 611205470 2870002 101348 9468 66113000435 MELIA 07-11-1987 GURU MATEMATIKA PERTAMA LULUS TIDAK LULUS TIDAK LULUS 1.443 617104711 2900035 205056 5837 66113000370 MELIN 31-12-1990 PRANATA KOMPUTER PERTAMA ANALIS KEBIJAKAN PERTAMA LULUS LULUS TIDAK LULUS 1.444 617103480 5870009 174920 2411 66113000182 MELINA ROMATUA ARITONANG 08-05-1987 ANALIS LAYANAN UMUM PENGANTAR KERJA PERTAMA ANALIS KEBIJAKAN PERTAMA LULUS LULUS LULUS 1.445 617104430 5920020 147740 3066 66113000397 MELINDA PRAWATI 03-05-1992 GURU BAHASA INGGRIS PERTAMA SMP GURU BAHASA INGGRIS PERTAMA SMA ANALIS KEBIJAKAN PERTAMA LULUS LULUS TIDAK LULUS 1.446 617103560 6800005 134932 4921 66113000556 MELINDA SARI 16-06-1980 GURU MATEMATIKA PERTAMA ANALIS KEBIJAKAN PERTAMA LULUS TIDAK LULUS TIDAK LULUS 1.447 611209551 2910002 206867 8618 66113001176 MELISA GIAHELLA WERDAMURTI 15-12-1991 GURU BAHASA INGGRIS PERTAMA SMP GURU BAHASA INGGRIS PERTAMA SMA ANALIS KEBIJAKAN PERTAMA LULUS LULUS TIDAK LULUS 1.448 617101690 3820005 174775 1817 66113001813 MELISA RUSMINDA 29-03-1982 ANALIS KEBIJAKAN PERTAMA PERENCANA PERTAMA ANALIS KERJASAMA DAN PERMODALAN LULUS LULUS LULUS 1.449 611203440 5880006 156176 8888 66113000529 MELIYANTI 04-05-1988 GURU BAHASA INGGRIS PERTAMA SMA GURU BAHASA INGGRIS PERTAMA SMP ANALIS KEBIJAKAN PERTAMA LULUS LULUS TIDAK LULUS 1.450 611201160 4860009 162425 1509 66113000798 MELKIOR 16-04-1986 PRANATA KOMPUTER PERTAMA ANALIS KEBIJAKAN PERTAMA LULUS LULUS TIDAK LULUS 1.451 611201490 1940004 121423 3919 66112000153 MELLY DAMERIA BORU RITONGA 09-01-1994 BIDAN PELAKSANA LULUS TIDAK LULUS TIDAK LULUS 1.452 617103130 5800002 124525 2686 66113001439 MELTHAZIR THAMRIN, SP 13-05-1980 ANALIS KEBIJAKAN PERTAMA LULUS TIDAK LULUS TIDAK LULUS 1.453 617106570 4870001 180409 7560 66112000415 MELTI LIANA 17-04-1987 VERIFIKATOR KEUANGAN LULUS TIDAK LULUS TIDAK LULUS 1.454 610501440 5850003 144505 2150 66113001892 MELY RAHMAWATI SAWUN 04-05-1985 ANALIS KEBIJAKAN PERTAMA LULUS TIDAK LULUS TIDAK LULUS 1.455 617105570 6930003 192715 8986 66112000828 MELYANA SAFITRI 17-06-1993 PENYUSUN RISALAH LULUS TIDAK LULUS TIDAK LULUS 1.456 611201561 1840007 118237 5483 66113000283 MELYSA VENESA SIAHAAN 16-11-1984 ANALIS KEBIJAKAN PERTAMA LULUS TIDAK LULUS TIDAK LULUS
  • 74.
    NO NIK NO REGIST ER NO PESERTA NAMA TANGGAL LAHIR PILIHAN JABATAN 1 NAMA JABATAN 2 NAMA JABATAN 3 STATUS PILIHAN 1 STATUS PILIHAN 2 STATUS PILIHAN 3 1.457 120519710 5920001 206572 6653 66112000498 MERLIN NOPITARIA BR TARIGAN 30-05-1992 BIDAN PELAKSANA LULUS TIDAK LULUS TIDAK LULUS 1.458 617102410 1870004 211813 4012 66112000476 MERRY CHERISNAWATI,AMD.K EP 01-01-1987 PERAWAT PELAKSANA LULUS TIDAK LULUS TIDAK LULUS 1.459 611203660 3900001 122070 3132 66113001383 MERRY HARFIANI 26-03-1990 PENGAWAS KETENAGAKERJAAN PERTAMA ANALIS LAYANAN UMUM PERANCANG PERUNDANG-UNDANGAN PERTAMA LULUS LULUS LULUS 1.460 617102660 9860002 151770 5538 66113000114 MERTHA Y. DJANGGU 26-09-1986 PRANATA HUBUNGAN MASYARAKAT PERTAMA LULUS TIDAK LULUS TIDAK LULUS 1.461 610301450 5810009 114792 6726 66112000742 MERY HENDRIANA 05-05-1981 PENGADMINISTRASI UMUM LULUS TIDAK LULUS TIDAK LULUS 1.462 611201590 5880007 123741 7824 66113000093 MERY SAFITRI 19-05-1988 PERENCANA PERTAMA ANALIS ANGGARAN ANALIS KERJASAMA DAN PERMODALAN LULUS LULUS LULUS 1.463 610215460 8900001 115757 7919 66113000415 MERYANA 06-08-1990 GURU SEJARAH PERTAMA LULUS TIDAK LULUS TIDAK LULUS 1.464 610216540 5900001 213683 6630 66113000832 META SUMARLINA 14-05-1990 GURU FISIKA PERTAMA LULUS TIDAK LULUS TIDAK LULUS 1.465 611201450 5830016 212080 9375 66113001783 METHA NILA SARI 05-05-1983 PERENCANA PERTAMA PENYULUH KOPERASI ANALIS ANGGARAN LULUS LULUS LULUS 1.466 617101451 0870010 146842 9430 66113000502 METI OCTARINI 05-10-1987 GURU BAHASA INGGRIS PERTAMA SMP LULUS TIDAK LULUS TIDAK LULUS 1.467 317407580 5850002 178813 3790 66113001447 MEY MELANIA 18-05-1985 APOTEKER PERTAMA LULUS TIDAK LULUS TIDAK LULUS 1.468 617104670 5890008 132147 4658 66113000036 MEYLISA ANGGRAINI WULANDARI 27-05-1989 GURU BAHASA INDONESIA PERTAMA ANALIS KEBIJAKAN PERTAMA LULUS TIDAK LULUS TIDAK LULUS 1.469 617101621 1900007 174734 1818 66112000660 MIA ADMIKA 22-11-1990 PENGADMINISTRASI UMUM PENYUSUN RISALAH LULUS LULUS TIDAK LULUS 1.470 617102540 3820007 196328 6979 66113001638 MIA ANDRIANI 14-03-1982 ANALIS KEBIJAKAN PERTAMA LULUS TIDAK LULUS TIDAK LULUS 1.471 617102570 7890004 160232 7342 66112000752 MIA KAMARIAH 17-07-1989 NUTRISIONIS PELAKSANA LULUS TIDAK LULUS TIDAK LULUS 1.472 617105510 5900009 132072 7808 66112000239 MIA WINDA LESTARI 11-05-1990 PENGADMINISTRASI UMUM LULUS TIDAK LULUS TIDAK LULUS 1.473 611201440 3910014 132758 2999 66113000133 MIFTAHATUSSALAMAH 04-03-1991 PERENCANA PERTAMA PENYULUH KOPERASI ANALIS KEBIJAKAN PERTAMA LULUS LULUS LULUS 1.474 611209691 2910001 146629 9179 66113000967 MIFTAHUL JANNAH 29-12-1991 ANALIS KEBIJAKAN PERTAMA LULUS TIDAK LULUS TIDAK LULUS 1.475 617101500 4910005 198881 3024 66113000965 MIFTAHUL JANNATI 10-04-1991 GURU MATEMATIKA PERTAMA ANALIS KEBIJAKAN PERTAMA LULUS TIDAK LULUS TIDAK LULUS 1.476 611201470 2860012 145670 9825 66113001690 MIFTAHULJANNAH 07-02-1986 ANALIS KEBIJAKAN PERTAMA LULUS TIDAK LULUS TIDAK LULUS
  • 75.
    NO NIK NO REGIST ER NO PESERTA NAMA TANGGAL LAHIR PILIHAN JABATAN 1 NAMA JABATAN 2 NAMA JABATAN 3 STATUS PILIHAN 1 STATUS PILIHAN 2 STATUS PILIHAN 3 1.477 617103140 3830023 160187 3419 66112000612 MIFTAHUSSALIHIN, A.MD KEP 14-03-1983 PERAWAT PELAKSANA LULUS TIDAK LULUS TIDAK LULUS 1.478 617105260 8880004 175012 9414 66113001272 MIKA HATIGORAN MANALU 26-08-1988 GURU BAHASA INGGRIS PERTAMA SMP ANALIS KEBIJAKAN PERTAMA GURU BAHASA INGGRIS PERTAMA SMA LULUS TIDAK LULUS LULUS 1.479 611209460 5870002 172571 3360 66113000076 MIKA LASNI ROHA SARAGIH 06-05-1987 ANALIS KEBIJAKAN PERTAMA LULUS TIDAK LULUS TIDAK LULUS 1.480 617104420 1850017 180070 5841 66113001628 MIKE TRISNAWATI 02-01-1985 GURU BAHASA INGGRIS PERTAMA SMP GURU BAHASA INGGRIS PERTAMA SMA ANALIS KEBIJAKAN PERTAMA LULUS LULUS TIDAK LULUS 1.481 610417160 6890006 213747 6371 66113001362 MIKHAEL MAREO BRANNEDI 14-06-1989 TEKNIK JALAN DAN JEMBATAN PERTAMA ANALIS KEBIJAKAN PERTAMA LULUS LULUS TIDAK LULUS 1.482 610706461 2900002 158891 2542 66113000335 MILA 06-12-1990 PEKERJA SOSIAL PERTAMA PENYULUH SOSIAL PERTAMA ANALIS KEBIJAKAN PERTAMA LULUS LULUS LULUS 1.483 617105651 1810005 123861 1017 66113000754 MILAWATI 25-11-1981 PRANATA KOMPUTER PERTAMA ANALIS KEBIJAKAN PERTAMA LULUS LULUS TIDAK LULUS 1.484 610807570 5890004 166722 2268 66113001147 MILKHA RIPKHA TAMEON 17-05-1989 ANALIS KEBIJAKAN PERTAMA LULUS TIDAK LULUS TIDAK LULUS 1.485 611201430 2830002 151986 1297 66113001392 MINA 03-02-1983 GURU BAHASA INGGRIS PERTAMA SMP LULUS TIDAK LULUS TIDAK LULUS 1.486 617202580 1900001 134745 9045 66112000094 MINARNI 18-01-1990 VERIFIKATOR KEUANGAN LULUS TIDAK LULUS TIDAK LULUS 1.487 611201481 0850007 158509 1601 66113001714 MIRANTI 08-10-1985 ANALIS KEBIJAKAN PERTAMA LULUS TIDAK LULUS TIDAK LULUS 1.488 617103470 5830019 126174 4749 66113000831 MIRINDA SALIM, SH 05-07-1983 PENGAWAS KETENAGAKERJAAN PERTAMA MEDIATOR HUBUNGAN INDUSTRIAL PERTAMA PERANCANG PERUNDANG-UNDANGAN PERTAMA LULUS LULUS LULUS 1.489 610102501 2890005 106642 5722 66112000718 MIRNA WATI 10-12-1989 BIDAN PELAKSANA LULUS TIDAK LULUS TIDAK LULUS 1.490 611201560 6920011 156846 0201 66113000405 MIRNAWATI 16-06-1992 GURU SEJARAH PERTAMA LULUS TIDAK LULUS TIDAK LULUS 1.491 611201300 9890005 109756 3921 66113001567 MIRZA PRATAMA 30-09-1989 MEDIATOR HUBUNGAN INDUSTRIAL PERTAMA PENGAWAS KETENAGAKERJAAN PERTAMA PERANCANG PERUNDANG-UNDANGAN PERTAMA LULUS LULUS LULUS 1.492 610117411 1930003 186068 3340 66112000344 MISDA 01-11-1993 NUTRISIONIS PELAKSANA LULUS TIDAK LULUS TIDAK LULUS 1.493 610218450 6870002 171028 2204 66113001232 MISTATI 05-06-1987 ANALIS KEBIJAKAN PERTAMA PERENCANA PERTAMA PENYULUH KOPERASI LULUS LULUS LULUS 1.494 611201540 8930008 213105 7401 66112000369 MITA DEWI ASTUTI 14-08-1993 NUTRISIONIS PELAKSANA LULUS TIDAK LULUS TIDAK LULUS 1.495 610717440 1910002 193520 1321 66113001187 MITRA ZENDI KARMILA SARI.P 04-01-1991 PRANATA KOMPUTER PERTAMA ANALIS KEBIJAKAN PERTAMA LULUS LULUS TIDAK LULUS 1.496 352309250 5900002 132502 1231 66113000605 MOCH. HADI SUSILO 25-05-1990 PRANATA KOMPUTER PERTAMA ANALIS KEBIJAKAN PERTAMA LULUS LULUS TIDAK LULUS
  • 76.
    NO NIK NO REGIST ER NO PESERTA NAMA TANGGAL LAHIR PILIHAN JABATAN 1 NAMA JABATAN 2 NAMA JABATAN 3 STATUS PILIHAN 1 STATUS PILIHAN 2 STATUS PILIHAN 3 1.497 617105160 7930006 123068 5414 66112000871 MOCHAMMAD IQBAL 16-07-1993 PENGADMINISTRASI UMUM PENYUSUN RISALAH LULUS LULUS TIDAK LULUS 1.498 617103111 1870013 159756 4569 66113000087 MOH. BIDAR BAIHAQI 11-11-1987 GURU SEJARAH PERTAMA ANALIS KEBIJAKAN PERTAMA LULUS TIDAK LULUS TIDAK LULUS 1.499 320406201 2850006 186059 8932 66113000989 MOHAMMAD IDHAM BAIHAQI 20-12-1985 PUSTAKAWAN PERTAMA LULUS TIDAK LULUS TIDAK LULUS 1.500 617105060 8800009 200058 2025 66113001429 MOHAMMAD RIDWAN.ST 06-08-1980 ANALIS KEBIJAKAN PERTAMA PENATA RUANG PERTAMA SURVEYOR PEMETAAN PERTAMA LULUS LULUS LULUS 1.501 617105060 1820007 171869 3494 66113000496 MOHD. GUNTUR VACHRUDDIN TRONA 06-01-1982 PENGAWAS KETENAGAKERJAAN PERTAMA ANALIS KEBIJAKAN PERTAMA PENGANTAR KERJA PERTAMA LULUS LULUS LULUS 1.502 617105610 6920009 169816 3775 66112000732 MONA LESTARI 21-06-1992 BIDAN PELAKSANA LULUS TIDAK LULUS TIDAK LULUS 1.503 610501510 4920003 165777 3755 66112000006 MONICA BETRYC PANGEMANAN 11-04-1992 BIDAN PELAKSANA LULUS TIDAK LULUS TIDAK LULUS 1.504 610309600 4920001 181874 7811 66112000290 MONIKA ROSI PURNAMA SARI 20-04-1992 BIDAN PELAKSANA LULUS TIDAK LULUS TIDAK LULUS 1.505 617101580 4920006 148599 9405 66113000416 MONITHA GERALDINE 18-04-1992 GURU BAHASA INGGRIS PERTAMA SMP LULUS TIDAK LULUS TIDAK LULUS 1.506 520313010 1800017 211215 4067 66113001302 MUALLANI RIADI 01-01-1980 ANALIS KEBIJAKAN PERTAMA PENGAWAS KETENAGAKERJAAN PERTAMA LULUS TIDAK LULUS LULUS 1.507 617205021 2890001 182066 4330 66113000350 MUDYO WILOSO 02-12-1989 PENGAWAS PERIKANAN PERTAMA LULUS TIDAK LULUS TIDAK LULUS 1.508 610201280 7860003 206494 2981 66113001848 MUFLIH ISNAIN A.MD 28-07-1986 ANALIS KERJASAMA DAN PERMODALAN PENYULUH KOPERASI ANALIS KEBIJAKAN PERTAMA LULUS LULUS LULUS 1.509 617104020 1850016 176351 6402 66113001590 MUHAIMIN 02-01-1985 ANALIS ANGGARAN ANALIS KEBIJAKAN PERTAMA PERENCANA PERTAMA LULUS LULUS LULUS 1.510 611209250 5890003 150761 7475 66112000299 MUHAIMIN SANI 25-05-1989 PERAWAT PELAKSANA LULUS TIDAK LULUS TIDAK LULUS 1.511 617103230 8900004 140519 7715 66113001643 MUHAMMAD AGUS SAFRI 23-08-1990 ANALIS KEBIJAKAN PERTAMA LULUS TIDAK LULUS TIDAK LULUS 1.512 617105120 6910010 130548 8652 66113001343 MUHAMMAD ALDO 12-06-1991 PERANCANG PERUNDANG-UNDANGAN PERTAMA PENGAWAS KETENAGAKERJAAN PERTAMA ANALIS LAYANAN UMUM LULUS LULUS LULUS 1.513 611207030 5830003 148056 4188 66113001635 MUHAMMAD AMIN 03-05-1983 ANALIS KEBIJAKAN PERTAMA LULUS TIDAK LULUS TIDAK LULUS 1.514 617103150 3880006 124288 3942 66113000181 MUHAMMAD ANDI JUPRIANTO 15-03-1988 GURU BAHASA INGGRIS PERTAMA SMP ANALIS KEBIJAKAN PERTAMA GURU BAHASA INGGRIS PERTAMA SMA LULUS TIDAK LULUS LULUS 1.515 617105261 0870001 198262 4207 66113001448 MUHAMMAD ARIS 26-10-1987 PEKERJA SOSIAL PERTAMA PENYULUH SOSIAL PERTAMA ANALIS KEBIJAKAN PERTAMA LULUS LULUS LULUS 1.516 617105020 5820017 213517 5921 66113000178 MUHAMMAD ARMEINIE 02-05-1982 ANALIS KEBIJAKAN PERTAMA SURVEYOR PEMETAAN PERTAMA PENATA RUANG PERTAMA LULUS LULUS LULUS
  • 77.
    NO NIK NO REGIST ER NO PESERTA NAMA TANGGAL LAHIR PILIHAN JABATAN 1 NAMA JABATAN 2 NAMA JABATAN 3 STATUS PILIHAN 1 STATUS PILIHAN 2 STATUS PILIHAN 3 1.517 617103110 7920011 175880 0107 66113000292 MUHAMMAD ASYURA 11-07-1992 GURU BAHASA INDONESIA PERTAMA ANALIS KEBIJAKAN PERTAMA LULUS TIDAK LULUS TIDAK LULUS 1.518 610207110 2920004 153785 8120 66112000289 MUHAMMAD AZIZI 11-02-1992 PERAWAT PELAKSANA LULUS TIDAK LULUS TIDAK LULUS 1.519 617104231 2810002 197409 7440 66113001884 MUHAMMAD BUSRO 23-12-1981 ANALIS KEBIJAKAN PERTAMA LULUS TIDAK LULUS TIDAK LULUS 1.520 611201040 4900006 152790 2535 66113001029 MUHAMMAD HARI ARDIANSYAH 04-04-1990 PENATA RUANG PERTAMA ANALIS KEBIJAKAN PERTAMA SURVEYOR PEMETAAN PERTAMA LULUS LULUS LULUS 1.521 611205010 3840002 199503 8834 66113000788 MUHAMMAD ILYAS 01-03-1984 PENYULUH KOPERASI LULUS TIDAK LULUS TIDAK LULUS 1.522 610804170 4860001 175440 2190 66112000439 MUHAMMAD IMANSYAH 17-04-1986 PERAWAT PELAKSANA LULUS TIDAK LULUS TIDAK LULUS 1.523 617101070 2870005 110718 9845 66113000628 MUHAMMAD IQBAL 07-02-1987 PENATA RUANG PERTAMA SURVEYOR PEMETAAN PERTAMA ANALIS KEBIJAKAN PERTAMA LULUS LULUS LULUS 1.524 611209280 8880002 194064 1696 66112000451 MUHAMMAD IRHAMI 28-08-1988 PERAWAT PELAKSANA LULUS TIDAK LULUS TIDAK LULUS 1.525 617103190 4840003 127520 4006 66112000263 MUHAMMAD KHAIRUDDIN 19-04-1984 VERIFIKATOR KEUANGAN LULUS TIDAK LULUS TIDAK LULUS 1.526 610208051 1800002 206088 6767 66112000880 MUHAMMAD KHENDRI 05-11-1980 PENGADMINISTRASI UMUM PENYUSUN RISALAH LULUS LULUS TIDAK LULUS 1.527 610212050 6890004 206868 3789 66113000253 MUHAMMAD MUNADI 05-06-1989 GURU MATEMATIKA PERTAMA LULUS TIDAK LULUS TIDAK LULUS 1.528 317410270 4840008 119706 9001 66113001090 MUHAMMAD NURCHOLIS 27-04-1984 PRANATA KOMPUTER PERTAMA ANALIS KEBIJAKAN PERTAMA LULUS LULUS TIDAK LULUS 1.529 611201180 2940006 160104 6944 66112000473 MUHAMMAD RAMANDA 18-02-1994 PERAWAT PELAKSANA LULUS TIDAK LULUS TIDAK LULUS 1.530 617103150 6820021 181327 0462 66113000898 MUHAMMAD RAYHANY, SH 15-06-1982 PENGAWAS KETENAGAKERJAAN PERTAMA MEDIATOR HUBUNGAN INDUSTRIAL PERTAMA PERANCANG PERUNDANG-UNDANGAN PERTAMA LULUS LULUS LULUS 1.531 617103190 4890003 153203 1975 66113000480 MUHAMMAD REZA RAMADAN 19-04-1989 ANALIS LAYANAN UMUM ANALIS KEBIJAKAN PERTAMA PENGAWAS KETENAGAKERJAAN PERTAMA LULUS LULUS LULUS 1.532 617105140 7920007 213388 4200 66113001836 MUHAMMAD RHEZA TAWAKKAL 14-07-1992 ANALIS KEBIJAKAN PERTAMA LULUS TIDAK LULUS TIDAK LULUS 1.533 617102280 1900006 169207 6926 66112000677 MUHAMMAD RIYANSYAH 28-01-1990 VERIFIKATOR KEUANGAN LULUS TIDAK LULUS TIDAK LULUS 1.534 317503151 2850014 156597 1555 66113001520 MUHAMMAD SATURI 15-12-1985 GURU BAHASA INGGRIS PERTAMA SMP LULUS TIDAK LULUS TIDAK LULUS 1.535 617106290 6820002 119065 8449 66113000622 MUHAMMAD SOFIYANI, SH 29-06-1982 MEDIATOR HUBUNGAN INDUSTRIAL PERTAMA PENGAWAS KETENAGAKERJAAN PERTAMA ANALIS LAYANAN UMUM LULUS LULUS LULUS 1.536 617103081 0830004 178247 0364 66113001736 MUHARDI ERAZ 08-10-1983 ANALIS KEBIJAKAN PERTAMA LULUS TIDAK LULUS TIDAK LULUS
  • 78.
    NO NIK NO REGIST ER NO PESERTA NAMA TANGGAL LAHIR PILIHAN JABATAN 1 NAMA JABATAN 2 NAMA JABATAN 3 STATUS PILIHAN 1 STATUS PILIHAN 2 STATUS PILIHAN 3 1.537 617101540 8880002 179986 0188 66113000606 MUHARFIANI LESTARI 14-08-1988 ANALIS KEBIJAKAN PERTAMA LULUS TIDAK LULUS TIDAK LULUS 1.538 617103140 8880005 134358 4393 66113001415 MUHARRAMUN IHSAN 14-08-1988 PRANATA KOMPUTER PERTAMA ANALIS KEBIJAKAN PERTAMA LULUS LULUS TIDAK LULUS 1.539 617103481 0830002 164235 1630 66113000324 MUHTRININGSIH, S.PD 08-10-1983 GURU MATEMATIKA PERTAMA LULUS TIDAK LULUS TIDAK LULUS 1.540 617105550 2830008 178959 3813 66112000454 MUJI HARTINI 15-02-1983 PENYULUH PAJAK PELAKSANA LULUS TIDAK LULUS TIDAK LULUS 1.541 611207560 5810001 201832 4968 66112000708 MUJIATI 16-05-1981 PENGADMINISTRASI UMUM PENYUSUN RISALAH LULUS LULUS TIDAK LULUS 1.542 611203470 2800003 131345 8592 66113001250 MUJIATIN. SP 07-02-1980 ANALIS KEBIJAKAN PERTAMA LULUS TIDAK LULUS TIDAK LULUS 1.543 611201090 8800008 156521 0496 66113001796 MUKHAJIR 09-08-1980 ANALIS KEBIJAKAN PERTAMA LULUS TIDAK LULUS TIDAK LULUS 1.544 617105091 1800011 146853 9573 66113000368 MUKTI ANFAL 09-11-1980 ANALIS KEBIJAKAN PERTAMA LULUS TIDAK LULUS TIDAK LULUS 1.545 617104480 3920010 200426 3423 66112000441 MUKTISARI SURYANINGRUM 08-03-1992 NUTRISIONIS PELAKSANA LULUS TIDAK LULUS TIDAK LULUS 1.546 120807250 2890002 125458 1220 66113000363 MULIONO 25-02-1989 ANALIS KEBIJAKAN PERTAMA LULUS TIDAK LULUS TIDAK LULUS 1.547 617103101 1880022 149799 7917 66113001084 MULLY HIDAYAT 10-11-1988 ANALIS KEBIJAKAN PERTAMA LULUS TIDAK LULUS TIDAK LULUS 1.548 347102241 0820001 172670 6277 66113001806 MULYAWARMAN AR 24-10-1982 ANALIS KEBIJAKAN PERTAMA PERANCANG PERUNDANG-UNDANGAN PERTAMA ANALIS LAYANAN UMUM LULUS LULUS LULUS 1.549 617101710 8850002 100627 7173 66113000356 MUNAUWARAH 31-08-1985 PERENCANA PERTAMA ANALIS ANGGARAN ANALIS KEBIJAKAN PERTAMA LULUS LULUS LULUS 1.550 617104500 3890008 202974 3780 66112000332 MUNAWAROH 10-09-1989 PENGADMINISTRASI UMUM LULUS TIDAK LULUS TIDAK LULUS 1.551 617103141 1880006 191720 4008 66113001538 MUNAWIR DAMIRI 14-11-1988 GURU SEJARAH PERTAMA LULUS TIDAK LULUS TIDAK LULUS 1.552 617202050 2840003 198474 7899 66113001777 MURAHADI, SE 05-02-1984 ANALIS KEBIJAKAN PERTAMA PERENCANA PERTAMA ANALIS ANGGARAN LULUS LULUS LULUS 1.553 617105711 2900008 164086 7864 66113000173 MURIE ARDIANI 31-12-1990 GURU SEJARAH PERTAMA LULUS TIDAK LULUS TIDAK LULUS 1.554 611201260 6810007 175010 0906 66113000152 MURJANI 26-06-1981 PENYULUH KOPERASI ANALIS ANGGARAN ANALIS KEBIJAKAN PERTAMA LULUS LULUS LULUS 1.555 617104520 6840023 142391 5565 66112000099 MURNIATI 12-06-1984 NUTRISIONIS PELAKSANA LULUS TIDAK LULUS TIDAK LULUS 1.556 610320410 3910001 162342 0809 66112000698 MURNINI 01-03-1991 BIDAN PELAKSANA LULUS TIDAK LULUS TIDAK LULUS
  • 79.
    NO NIK NO REGIST ER NO PESERTA NAMA TANGGAL LAHIR PILIHAN JABATAN 1 NAMA JABATAN 2 NAMA JABATAN 3 STATUS PILIHAN 1 STATUS PILIHAN 2 STATUS PILIHAN 3 1.557 611201150 5880009 163884 7984 66113001021 MURTADO 15-05-1988 ANALIS KEBIJAKAN PERTAMA LULUS TIDAK LULUS TIDAK LULUS 1.558 611201081 0830014 174469 1216 66113000144 MUS JUPRIADI 08-10-1983 PERENCANA PERTAMA PENYULUH KOPERASI ANALIS KEBIJAKAN PERTAMA LULUS LULUS LULUS 1.559 610107131 1850003 211766 9718 66113001120 MUSLIADI 13-11-1985 ANALIS KEBIJAKAN PERTAMA LULUS TIDAK LULUS TIDAK LULUS 1.560 617105450 2850006 108437 5186 66112000659 MUSLIMAH 05-02-1985 PENGADMINISTRASI UMUM PENYUSUN RISALAH LULUS LULUS TIDAK LULUS 1.561 617104170 7880004 167770 3071 66112000558 MUSTAKIM 17-07-1988 PERAWAT PELAKSANA LULUS TIDAK LULUS TIDAK LULUS 1.562 610208221 2880003 188735 9402 66113000409 MUSTAKIM 22-12-1988 GURU MATEMATIKA PERTAMA LULUS TIDAK LULUS TIDAK LULUS 1.563 611209230 9880002 157021 6303 66113001450 MUSTAPA 23-09-1988 PERENCANA PERTAMA PENYULUH KOPERASI ANALIS KERJASAMA DAN PERMODALAN LULUS LULUS LULUS 1.564 611201430 8850009 156322 0821 66113000627 MUSTIAWATI NINGSIH 03-08-1985 PERENCANA PERTAMA ANALIS ANGGARAN ANALIS KERJASAMA DAN PERMODALAN LULUS LULUS LULUS 1.565 611201230 7870007 166207 6783 66113000847 MUSTOFA 23-07-1987 GURU MATEMATIKA PERTAMA ANALIS KEBIJAKAN PERTAMA LULUS TIDAK LULUS TIDAK LULUS 1.566 617101070 9910007 137692 4063 66112000841 MUSTOPA 07-09-1991 VERIFIKATOR KEUANGAN LULUS TIDAK LULUS TIDAK LULUS 1.567 617101420 4910005 142309 4628 66113000944 MUTIA ANDARI 02-04-1991 MEDIATOR HUBUNGAN INDUSTRIAL PERTAMA PENGANTAR KERJA PERTAMA PENGAWAS KETENAGAKERJAAN PERTAMA LULUS LULUS LULUS 1.568 617103600 3810003 196311 1202 66113000828 MUTIA ELFIANI, SH 20-03-1981 MEDIATOR HUBUNGAN INDUSTRIAL PERTAMA PENGAWAS KETENAGAKERJAAN PERTAMA PERANCANG PERUNDANG-UNDANGAN PERTAMA LULUS LULUS LULUS 1.569 611201541 2840007 175208 7039 66113001009 MUTIA MAULIDYA, SH 14-12-1984 PENGAWAS KETENAGAKERJAAN PERTAMA MEDIATOR HUBUNGAN INDUSTRIAL PERTAMA LULUS LULUS TIDAK LULUS 1.570 617104570 4880011 181007 6949 66113001593 MUTIA SARI 17-04-1988 ANALIS KERJASAMA DAN PERMODALAN PERENCANA PERTAMA PENYULUH KOPERASI LULUS LULUS LULUS 1.571 610104700 3880002 132704 5517 66113000926 NAHRUL HAYATI 30-03-1988 GURU SEJARAH PERTAMA ANALIS KEBIJAKAN PERTAMA LULUS TIDAK LULUS TIDAK LULUS 1.572 617103291 0880001 124159 8369 66113000504 NAHWAN NUR FIRDAUS 29-10-1988 ANALIS KERJASAMA DAN PERMODALAN PERENCANA PERTAMA ANALIS ANGGARAN LULUS LULUS LULUS 1.573 617103660 6800010 205919 7687 66113001019 NAILA CITRASARI 26-06-1980 ANALIS KEBIJAKAN PERTAMA LULUS TIDAK LULUS TIDAK LULUS 1.574 611201411 2840006 175607 2206 66113000429 NANA MAULIDIAH 01-12-1984 ANALIS KEBIJAKAN PERTAMA ANALIS ANGGARAN ANALIS KERJASAMA DAN PERMODALAN LULUS LULUS LULUS 1.575 611202260 1870001 132890 0689 66113000157 NANANG KOSIM 26-01-1987 GURU BAHASA INGGRIS PERTAMA SMP GURU BAHASA INGGRIS PERTAMA SMA ANALIS KEBIJAKAN PERTAMA LULUS LULUS TIDAK LULUS 1.576 610101630 1930002 173056 9123 66112000138 NANDA DISTRINA 23-01-1993 NUTRISIONIS PELAKSANA LULUS TIDAK LULUS TIDAK LULUS
  • 80.
    NO NIK NO REGIST ER NO PESERTA NAMA TANGGAL LAHIR PILIHAN JABATAN 1 NAMA JABATAN 2 NAMA JABATAN 3 STATUS PILIHAN 1 STATUS PILIHAN 2 STATUS PILIHAN 3 1.577 611201681 2910001 108688 3595 66112000260 NANDA WULANSARI 28-12-1991 VERIFIKATOR KEUANGAN LULUS TIDAK LULUS TIDAK LULUS 1.578 611201660 5900003 174608 6325 66112000745 NANI ARYANI 26-05-1990 VERIFIKATOR KEUANGAN LULUS TIDAK LULUS TIDAK LULUS 1.579 611209531 0900004 192733 3514 66112000594 NANI NURAINI 13-10-1990 PERAWAT PELAKSANA LULUS TIDAK LULUS TIDAK LULUS 1.580 611209510 1900006 115814 3769 66113001249 NANI ROSDIANA 11-01-1990 GURU KIMIA PERTAMA ANALIS KEBIJAKAN PERTAMA LULUS TIDAK LULUS TIDAK LULUS 1.581 617105490 8910009 180221 5045 66112000670 NANI YUSTIAR 09-08-1991 PENGADMINISTRASI UMUM PENYUSUN RISALAH LULUS LULUS TIDAK LULUS 1.582 610105670 1890004 146658 6589 66112000177 NANIN 27-01-1989 NUTRISIONIS PELAKSANA LULUS TIDAK LULUS TIDAK LULUS 1.583 611201020 7840004 190946 2662 66113001368 NANO SUPRIYATNO 02-07-1984 ANALIS KEBIJAKAN PERTAMA LULUS TIDAK LULUS TIDAK LULUS 1.584 611207501 1880003 136049 0561 66113001879 NARWASTU LARASSATIE 10-11-1988 PENGENDALI ORGANISME PENGGANGGU TUMBUHAN PERTAMA ANALIS KEBIJAKAN PERTAMA LULUS LULUS TIDAK LULUS 1.585 611209410 5820005 192630 8754 66112000215 NASRI WAHYUNI 01-05-1982 BIDAN PELAKSANA LULUS TIDAK LULUS TIDAK LULUS 1.586 617103251 2870010 188355 4873 66112000539 NASRUL ADITYA ANUGRAH 25-12-1986 PENGADMINISTRASI UMUM PENYUSUN RISALAH LULUS LULUS TIDAK LULUS 1.587 610206651 2820002 110081 2295 66112000741 NATALIA EKA ANDRIANI 25-12-1982 PENGADMINISTRASI UMUM LULUS TIDAK LULUS TIDAK LULUS 1.588 611001441 2910002 197052 3575 66113000223 NATALIA ESTER 04-12-1991 ANALIS KEBIJAKAN PERTAMA ANALIS ANGGARAN ANALIS KERJASAMA DAN PERMODALAN LULUS LULUS LULUS 1.589 610804671 2840003 192708 0364 66113001404 NATALIA SURIANTI 27-12-1984 ANALIS KEBIJAKAN PERTAMA PERENCANA PERTAMA ANALIS KERJASAMA DAN PERMODALAN LULUS LULUS LULUS 1.590 617201590 8920001 151436 9038 66112000409 NAVILLA RAVAIE 19-08-1992 BIDAN PELAKSANA LULUS TIDAK LULUS TIDAK LULUS 1.591 617103170 6880001 210881 3395 66113000591 NEKI FAHTOMIAJI 17-06-1988 GURU BIOLOGI PERTAMA GURU IPA PERTAMA LULUS LULUS TIDAK LULUS 1.592 611201671 0850002 118885 8876 66112000246 NELA PIOFACILE 27-10-1985 PENGADMINISTRASI UMUM PENYUSUN RISALAH LULUS LULUS TIDAK LULUS 1.593 610501680 5810001 188922 6359 66113000520 NELI 28-05-1981 GURU BAHASA INGGRIS PERTAMA SMP LULUS TIDAK LULUS TIDAK LULUS 1.594 611209510 4870002 204210 0986 66113000198 NELI AGUSTINI 11-04-1987 GURU SEJARAH PERTAMA LULUS TIDAK LULUS TIDAK LULUS 1.595 617106590 9900001 164302 3328 66112000505 NELLA AMALIA 19-09-1990 NUTRISIONIS PELAKSANA LULUS TIDAK LULUS TIDAK LULUS 1.596 611201680 8870014 168954 9948 66112000349 NELLA GUSTINI 28-08-1987 PENGADMINISTRASI UMUM PENYUSUN RISALAH LULUS LULUS TIDAK LULUS
  • 81.
    NO NIK NO REGIST ER NO PESERTA NAMA TANGGAL LAHIR PILIHAN JABATAN 1 NAMA JABATAN 2 NAMA JABATAN 3 STATUS PILIHAN 1 STATUS PILIHAN 2 STATUS PILIHAN 3 1.597 617105480 3880006 128771 1063 66113000702 NELLI WIANSUCI 08-03-1988 GURU MATEMATIKA PERTAMA LULUS TIDAK LULUS TIDAK LULUS 1.598 617106600 7840001 192463 0564 66113001768 NELLY HERLENA 20-07-1984 GURU BAHASA INGGRIS PERTAMA SMP LULUS TIDAK LULUS TIDAK LULUS 1.599 610703431 2910002 159497 7485 66113000757 NELLY PUSPITA ANGGRAINI 03-12-1991 GURU MATEMATIKA PERTAMA LULUS TIDAK LULUS TIDAK LULUS 1.600 611201660 1870005 192258 9066 66113001505 NENENG JULPIANA, ST 26-01-1987 ANALIS KEBIJAKAN PERTAMA LULUS TIDAK LULUS TIDAK LULUS 1.601 611209581 1900002 210083 5704 66112000399 NENGSIH BR. SIREGAR 18-11-1990 BIDAN PELAKSANA LULUS TIDAK LULUS TIDAK LULUS 1.602 617106541 0850001 177720 8193 66112000765 NENI HARIYANTI 14-10-1985 NUTRISIONIS PELAKSANA LULUS TIDAK LULUS TIDAK LULUS 1.603 617103420 3860006 202216 3214 66113001032 NENI MARNIYATI 02-03-1986 GURU MATEMATIKA PERTAMA LULUS TIDAK LULUS TIDAK LULUS 1.604 610108510 1890004 167829 0395 66113000776 NENI QOMARIAH 11-01-1989 ANALIS KEBIJAKAN PERTAMA LULUS TIDAK LULUS TIDAK LULUS 1.605 617105550 3930005 174190 6490 66112000320 NENI SULASTRI 15-03-1993 VERIFIKATOR KEUANGAN LULUS TIDAK LULUS TIDAK LULUS 1.606 611201640 6910005 148052 9984 66112000241 NENI YUNIAR 24-06-1991 BIDAN PELAKSANA LULUS TIDAK LULUS TIDAK LULUS 1.607 617104450 4890015 208932 6010 66113000809 NENNY APRIYANTI 05-04-1989 GURU MATEMATIKA PERTAMA ANALIS KEBIJAKAN PERTAMA LULUS TIDAK LULUS TIDAK LULUS 1.608 617102530 1850009 150221 9900 66113000830 NENNY HENDAYANI, S.P. 13-01-1985 ANALIS KEBIJAKAN PERTAMA LULUS TIDAK LULUS TIDAK LULUS 1.609 617101410 4830018 160631 8003 66113001808 NENY APRIANI 01-04-1983 PENATA RUANG PERTAMA ANALIS KEBIJAKAN PERTAMA SURVEYOR PEMETAAN PERTAMA LULUS LULUS LULUS 1.610 610212550 8920001 122305 8181 66112000020 NETA RIYANA 15-08-1992 NUTRISIONIS PELAKSANA LULUS TIDAK LULUS TIDAK LULUS 1.611 617106490 4800001 212338 0047 66113000924 NETI IRAWATI, S. PD 09-04-1980 GURU MATEMATIKA PERTAMA LULUS TIDAK LULUS TIDAK LULUS 1.612 617101561 0890008 206379 4524 66113001235 NETTY MAULINA.SS 16-10-1989 ANALIS KERJASAMA DAN PERMODALAN PENYULUH KOPERASI ANALIS KEBIJAKAN PERTAMA LULUS LULUS LULUS 1.613 610201500 7870006 214067 2739 66113000385 NETTY SUMARNI 10-07-1987 SURVEYOR PEMETAAN PERTAMA PENATA RUANG PERTAMA ANALIS KEBIJAKAN PERTAMA LULUS LULUS LULUS 1.614 617104460 4870015 104834 1780 66113001598 NI MADE CANDRA SANJANI 06-04-1987 ANALIS ANGGARAN ANALIS KERJASAMA DAN PERMODALAN ANALIS KEBIJAKAN PERTAMA LULUS LULUS LULUS 1.615 617103591 2820005 192252 1454 66113000693 NI MADE DIAH ANGGRENI 19-12-1982 GURU MATEMATIKA PERTAMA LULUS TIDAK LULUS TIDAK LULUS 1.616 611203641 0890002 158408 7613 66113001372 NIA ELISA PEGAS 24-10-1989 PENYULUH KOPERASI PERENCANA PERTAMA ANALIS KERJASAMA DAN PERMODALAN LULUS LULUS LULUS
  • 82.
    NO NIK NO REGIST ER NO PESERTA NAMA TANGGAL LAHIR PILIHAN JABATAN 1 NAMA JABATAN 2 NAMA JABATAN 3 STATUS PILIHAN 1 STATUS PILIHAN 2 STATUS PILIHAN 3 1.617 357701590 7910001 204985 5826 66113001308 NIA SURYA WIJAYANTI 19-07-1991 GURU IPA PERTAMA GURU BIOLOGI PERTAMA LULUS LULUS TIDAK LULUS 1.618 610108550 6870003 193788 3151 66112000367 NIAR PURNAMASARI 15-06-1987 PENGADMINISTRASI UMUM LULUS TIDAK LULUS TIDAK LULUS 1.619 617103460 5850010 124432 2727 66113001666 NIATURRAHMAH 06-05-1985 PRANATA KOMPUTER PERTAMA ANALIS KEBIJAKAN PERTAMA LULUS LULUS TIDAK LULUS 1.620 617101560 5940004 182892 9261 66112000039 NICKHITA MELATI MONTANA 16-05-1994 NUTRISIONIS PELAKSANA LULUS TIDAK LULUS TIDAK LULUS 1.621 611201710 7850003 131218 5927 66113001633 NIKA WAHYUNI 31-07-1985 GURU BAHASA INGGRIS PERTAMA SMP LULUS TIDAK LULUS TIDAK LULUS 1.622 610417681 2870006 146716 2048 66113001399 NIKAWATI, S.PD 28-12-1987 GURU KIMIA PERTAMA LULUS TIDAK LULUS TIDAK LULUS 1.623 611203251 2920003 127149 3643 66112000814 NIKKOLAS FASKALIS 21-03-1992 PERAWAT PELAKSANA LULUS TIDAK LULUS TIDAK LULUS 1.624 617105101 2840009 165178 5884 66113000637 NIKOLAUS LUMA KIKI 10-12-1984 ANALIS KEBIJAKAN PERTAMA LULUS TIDAK LULUS TIDAK LULUS 1.625 611209440 8910003 202798 2785 66113000184 NINA ANGRENI 04-08-1991 GURU BAHASA INGGRIS PERTAMA SMP ANALIS KEBIJAKAN PERTAMA GURU BAHASA INGGRIS PERTAMA SMA LULUS TIDAK LULUS LULUS 1.626 611201640 9890003 177053 7801 66112000463 NINA SAFARINA 24-09-1989 VERIFIKATOR KEUANGAN LULUS TIDAK LULUS TIDAK LULUS 1.627 617103701 1880006 209363 9005 66113000296 NINA SUFIYANA 30-11-1988 GURU SEJARAH PERTAMA LULUS TIDAK LULUS TIDAK LULUS 1.628 617103540 4810007 148489 6820 66113000698 NINI HIJRIANI 14-04-1981 GURU BAHASA INGGRIS PERTAMA SMP GURU BAHASA INGGRIS PERTAMA SMA ANALIS KEBIJAKAN PERTAMA LULUS LULUS TIDAK LULUS 1.629 617104560 9850014 137456 0326 66113000589 NINI LESTARI 16-09-1985 ANALIS KEBIJAKAN PERTAMA LULUS TIDAK LULUS TIDAK LULUS 1.630 617103510 6830007 166079 0683 66113001901 NISRINA 11-06-1983 APOTEKER PERTAMA ANALIS KEBIJAKAN PERTAMA LULUS TIDAK LULUS TIDAK LULUS 1.631 331614701 1920001 129685 9904 66113001469 NISSA LISTYA UTAMI 30-11-1992 GURU IPA PERTAMA GURU FISIKA PERTAMA ANALIS KEBIJAKAN PERTAMA LULUS LULUS TIDAK LULUS 1.632 611209650 2900006 112155 1236 66113001764 NISWATUS SHALIHAH 25-02-1990 GURU SEJARAH PERTAMA LULUS TIDAK LULUS TIDAK LULUS 1.633 331312711 0840001 146969 8888 66113001711 NITA OKTAVIA ADIYANI 31-10-1984 APOTEKER PERTAMA ANALIS KEBIJAKAN PERTAMA LULUS TIDAK LULUS TIDAK LULUS 1.634 610102620 9870003 130311 4265 66112000540 NITA PRATIWI LESTARI,A.MD.GIZI 22-09-1987 NUTRISIONIS PELAKSANA LULUS TIDAK LULUS TIDAK LULUS 1.635 617103441 1820009 180022 8623 66113001849 NIVERA SATRYA DELIMA SIRAIT 04-11-1982 ANALIS KEBIJAKAN PERTAMA LULUS TIDAK LULUS TIDAK LULUS 1.636 617105470 9810007 165917 0087 66113001323 NIZA NURLIANA, SH 07-09-1981 ANALIS KEBIJAKAN PERTAMA LULUS TIDAK LULUS TIDAK LULUS
  • 83.
    NO NIK NO REGIST ER NO PESERTA NAMA TANGGAL LAHIR PILIHAN JABATAN 1 NAMA JABATAN 2 NAMA JABATAN 3 STATUS PILIHAN 1 STATUS PILIHAN 2 STATUS PILIHAN 3 1.637 611207441 1880003 212781 0989 66113000728 NOERMALA NOVA SIRLY LUDIANA 04-11-1988 GURU MATEMATIKA PERTAMA ANALIS KEBIJAKAN PERTAMA LULUS TIDAK LULUS TIDAK LULUS 1.638 611201421 1850009 186051 4550 66112000450 NOFA HARDIANTY 02-11-1985 NUTRISIONIS PELAKSANA LULUS TIDAK LULUS TIDAK LULUS 1.639 617103560 8920008 115966 2667 66112000226 NOFIA SETYAWATI 16-08-1992 NUTRISIONIS PELAKSANA LULUS TIDAK LULUS TIDAK LULUS 1.640 617103641 0910004 179633 3071 66112000247 NOLLY NOVICASARI 24-10-1991 BIDAN PELAKSANA LULUS TIDAK LULUS TIDAK LULUS 1.641 617101490 7820009 139919 0065 66113001007 NONI HARFIYANTI 09-07-1982 PENGENDALI DAMPAK LINGKUNGAN PERTAMA PENGAWAS LINGKUNGAN HIDUP PERTAMA ANALIS KEBIJAKAN PERTAMA LULUS LULUS LULUS 1.642 611209031 1840007 180562 8755 66113000274 NOPAN DWIKASNI 03-11-1984 ANALIS KEBIJAKAN PERTAMA LULUS TIDAK LULUS TIDAK LULUS 1.643 617105420 5910006 187690 9668 66113000794 NOR PAISAH 02-05-1991 GURU BAHASA INDONESIA PERTAMA LULUS TIDAK LULUS TIDAK LULUS 1.644 617105640 8870002 149458 8024 66113000090 NORMA KHOTIJAH 24-08-1987 GURU SEJARAH PERTAMA ANALIS KEBIJAKAN PERTAMA LULUS TIDAK LULUS TIDAK LULUS 1.645 610717540 4910001 166216 2805 66113000865 NORMA PANGESTUTI 14-04-1991 GURU MATEMATIKA PERTAMA LULUS TIDAK LULUS TIDAK LULUS 1.646 610115471 0870002 209816 5532 66113001020 NORMA SULASTRI 07-10-1987 ANALIS KEBIJAKAN PERTAMA LULUS TIDAK LULUS TIDAK LULUS 1.647 610310140 7840001 149313 3339 66113000602 NORMAN FITRAH 14-07-1984 ANALIS KEBIJAKAN PERTAMA ANALIS KERJASAMA DAN PERMODALAN PENYULUH KOPERASI LULUS LULUS LULUS 1.648 617104610 7870004 208485 0743 66112000570 NOVA JULIANTI 21-07-1988 PENGADMINISTRASI UMUM PENYUSUN RISALAH LULUS LULUS TIDAK LULUS 1.649 611209141 1920003 136755 2064 66112000221 NOVA SAPUTRA 14-11-1992 PERAWAT PELAKSANA LULUS TIDAK LULUS TIDAK LULUS 1.650 610306411 1890001 108701 3575 66113000674 NOVA YURIKA TRIANA 01-11-1989 GURU SEJARAH PERTAMA LULUS TIDAK LULUS TIDAK LULUS 1.651 120811411 2910001 122505 3113 66112000691 NOVE INDAH YANI MANURUNG 01-12-1991 BIDAN PELAKSANA LULUS TIDAK LULUS TIDAK LULUS 1.652 617103631 1870012 172272 4286 66113000838 NOVI ARDIYANTI 23-11-1987 GURU IPA PERTAMA GURU BIOLOGI PERTAMA ANALIS KEBIJAKAN PERTAMA LULUS LULUS TIDAK LULUS 1.653 617204491 1870002 190468 5986 66112000404 NOVI AVRIANTI 09-11-1987 PERAWAT PELAKSANA LULUS TIDAK LULUS TIDAK LULUS 1.654 617101691 1870005 199898 5903 66112000304 NOVI CAHYANI 29-11-1987 BIDAN PELAKSANA LULUS TIDAK LULUS TIDAK LULUS 1.655 617103470 3840012 121538 5538 66113000935 NOVI FEBRIYANTI 07-03-1984 ANALIS KEBIJAKAN PERTAMA PENYULUH KOPERASI ANALIS KERJASAMA DAN PERMODALAN LULUS LULUS LULUS 1.656 611201591 1850004 153933 7180 66113000590 NOVI GIOWATI 19-11-1985 GURU BAHASA INGGRIS PERTAMA SMP GURU BAHASA INGGRIS PERTAMA SMA ANALIS KEBIJAKAN PERTAMA LULUS LULUS TIDAK LULUS
  • 84.
    NO NIK NO REGIST ER NO PESERTA NAMA TANGGAL LAHIR PILIHAN JABATAN 1 NAMA JABATAN 2 NAMA JABATAN 3 STATUS PILIHAN 1 STATUS PILIHAN 2 STATUS PILIHAN 3 1.657 611201631 1830007 151136 3896 66113001829 NOVI LIBERTY,SP 23-11-1983 PENGENDALI ORGANISME PENGGANGGU TUMBUHAN PERTAMA ANALIS KEBIJAKAN PERTAMA TIDAK LULUS LULUS TIDAK LULUS 1.658 617105691 1870002 155650 5728 66113000851 NOVI MARSELA 29-11-1987 GURU SEJARAH PERTAMA LULUS TIDAK LULUS TIDAK LULUS 1.659 611207201 1880001 172843 5624 66113000814 NOVI TRIANTO 20-11-1988 DOKTER PERTAMA LULUS TIDAK LULUS TIDAK LULUS 1.660 610306411 1890002 187104 0261 66113001258 NOVI YURIKA TRIANI 01-11-1989 GURU SEJARAH PERTAMA LULUS TIDAK LULUS TIDAK LULUS 1.661 617105561 1910003 201179 4929 66112000211 NOVIA PERMATA SABATINI 16-11-1991 NUTRISIONIS PELAKSANA LULUS TIDAK LULUS TIDAK LULUS 1.662 617105521 1910001 175388 0378 66112000620 NOVIA RATNA SARI 12-11-1991 VERIFIKATOR KEUANGAN LULUS TIDAK LULUS TIDAK LULUS 1.663 611201011 1870007 190187 1663 66113001121 NOVIAN BAYU HERLINGGA 01-11-1987 PERANCANG PERUNDANG-UNDANGAN PERTAMA PENGAWAS KETENAGAKERJAAN PERTAMA ANALIS KEBIJAKAN PERTAMA LULUS LULUS LULUS 1.664 617102531 1870003 174540 7529 66113000092 NOVIANA 11-01-1987 GURU MATEMATIKA PERTAMA ANALIS KEBIJAKAN PERTAMA LULUS TIDAK LULUS TIDAK LULUS 1.665 617103691 1900009 214620 1887 66112000637 NOVIANA SULISKAWATI 29-11-1990 PENGADMINISTRASI UMUM PENYUSUN RISALAH LULUS LULUS TIDAK LULUS 1.666 610101591 1890002 176887 2272 66112000542 NOVIANTI 19-11-1989 BIDAN PELAKSANA LULUS TIDAK LULUS TIDAK LULUS 1.667 617104521 1840005 196244 4468 66113001040 NOVIANTI SAFARINI 12-11-1984 PEKERJA SOSIAL PERTAMA PENYULUH SOSIAL PERTAMA ANALIS KEBIJAKAN PERTAMA LULUS LULUS LULUS 1.668 331909261 1900001 153213 7075 66112000129 NOVIDA PAMUNGKAS 26-11-1990 PERAWAT PELAKSANA LULUS TIDAK LULUS TIDAK LULUS 1.669 617101701 1800009 140696 7488 66112000599 NOVIE RAFIANTI 30-11-1980 PENGADMINISTRASI UMUM PENYUSUN RISALAH LULUS LULUS TIDAK LULUS 1.670 617105651 1890007 203208 1869 66113000697 NOVIEN DITA TIARA 25-11-1989 GURU BAHASA INGGRIS PERTAMA SMP GURU BAHASA INGGRIS PERTAMA SMA ANALIS KEBIJAKAN PERTAMA LULUS LULUS TIDAK LULUS 1.671 610208551 1860007 131711 3586 66113000756 NOVITA 15-11-1986 GURU MATEMATIKA PERTAMA ANALIS KEBIJAKAN PERTAMA LULUS TIDAK LULUS TIDAK LULUS 1.672 611209701 1860002 166402 7932 66113000793 NOVITA ARYUNTINI 30-11-1986 GURU BAHASA INGGRIS PERTAMA SMP GURU BAHASA INGGRIS PERTAMA SMA LULUS LULUS TIDAK LULUS 1.673 617105651 1890003 116206 5193 66112000225 NOVITA AYU PUTRI HARYATI 25-11-1989 PENGADMINISTRASI UMUM LULUS TIDAK LULUS TIDAK LULUS 1.674 617103511 1890510 169115 1445 66113000835 NOVITA LESTARI 11-11-1989 GURU MATEMATIKA PERTAMA ANALIS KEBIJAKAN PERTAMA LULUS TIDAK LULUS TIDAK LULUS 1.675 617102530 5900002 172954 1601 66113000767 NOVITA SARI 13-05-1990 GURU MATEMATIKA PERTAMA ANALIS KEBIJAKAN PERTAMA LULUS TIDAK LULUS TIDAK LULUS 1.676 611209471 1870006 188599 0367 66113001322 NOVITA SARI 07-11-1987 GURU BAHASA INDONESIA PERTAMA LULUS TIDAK LULUS TIDAK LULUS
  • 85.
    NO NIK NO REGIST ER NO PESERTA NAMA TANGGAL LAHIR PILIHAN JABATAN 1 NAMA JABATAN 2 NAMA JABATAN 3 STATUS PILIHAN 1 STATUS PILIHAN 2 STATUS PILIHAN 3 1.677 617101481 1870009 152215 9934 66112000683 NOVITASARI 08-11-1987 PENGADMINISTRASI UMUM PENYUSUN RISALAH LULUS LULUS TIDAK LULUS 1.678 611203131 1860003 125616 3110 66113000230 NOVIYARDI 13-11-1986 ANALIS KEBIJAKAN PERTAMA ANALIS ANGGARAN PENYULUH KOPERASI LULUS LULUS LULUS 1.679 610701231 1900001 138114 6984 66113000930 NOVRIANSYAH 23-11-1990 PRANATA KOMPUTER PERTAMA ANALIS KEBIJAKAN PERTAMA LULUS LULUS TIDAK LULUS 1.680 617105420 3880007 202055 3673 66112000720 NUNIK PRAMITA 02-03-1988 NUTRISIONIS PELAKSANA LULUS TIDAK LULUS TIDAK LULUS 1.681 611205550 5890004 193955 4301 66113001099 NUNING SUHARTI 15-05-1989 PEKERJA SOSIAL PERTAMA PENYULUH SOSIAL PERTAMA ANALIS KEBIJAKAN PERTAMA LULUS LULUS LULUS 1.682 617205611 0890004 169270 5309 66113001379 NUNU ANUGRAH 21-10-1989 ANALIS KEBIJAKAN PERTAMA LULUS TIDAK LULUS TIDAK LULUS 1.683 617104560 5820011 102692 1069 66113000260 NUNUK HERAWATI S.P. 16-05-1982 ANALIS KEBIJAKAN PERTAMA LULUS TIDAK LULUS TIDAK LULUS 1.684 610201561 0900002 193048 6746 66112000054 NUNUNG RIZKI 16-10-1990 BIDAN PELAKSANA LULUS TIDAK LULUS TIDAK LULUS 1.685 611207410 1920005 132561 6403 66112000444 NUR AFIFAH 01-01-1992 BIDAN PELAKSANA LULUS TIDAK LULUS TIDAK LULUS 1.686 611209620 3840004 101685 6240 66112000376 NUR AMBRIANI 22-03-1984 BIDAN PELAKSANA LULUS TIDAK LULUS TIDAK LULUS 1.687 617101151 1890006 210190 9118 66113001374 NUR BASKORO 15-11-1989 ANALIS KEBIJAKAN PERTAMA LULUS TIDAK LULUS TIDAK LULUS 1.688 611201480 7880010 194242 9141 66113001132 NUR ENDAH YUDIASTUTI 08-07-1988 ANALIS KEBIJAKAN PERTAMA PERENCANA PERTAMA ANALIS ANGGARAN LULUS LULUS LULUS 1.689 617103630 2900004 120338 1136 66112000100 NUR FIBRY RAMBANI 23-02-1990 VERIFIKATOR KEUANGAN LULUS TIDAK LULUS TIDAK LULUS 1.690 610101680 7920003 194732 4824 66112000183 NUR FUTRI 28-07-1992 PERAWAT PELAKSANA LULUS TIDAK LULUS TIDAK LULUS 1.691 610201421 1910001 168761 7083 66113000411 NUR GAYATRI JATININGRUM 02-11-1991 GURU MATEMATIKA PERTAMA LULUS TIDAK LULUS TIDAK LULUS 1.692 610104560 7870004 148741 9404 66112000608 NUR HADIATIK 17-07-1987 BIDAN PELAKSANA LULUS TIDAK LULUS TIDAK LULUS 1.693 611201540 1900009 190013 9898 66112000274 NUR HALIMAH 14-01-1990 BIDAN PELAKSANA LULUS TIDAK LULUS TIDAK LULUS 1.694 611201681 2860004 138292 5161 66113000386 NUR HASANAH 28-12-1986 PENATA RUANG PERTAMA SURVEYOR PEMETAAN PERTAMA ANALIS KEBIJAKAN PERTAMA LULUS LULUS LULUS 1.695 611201500 9910014 178585 7825 66112000756 NUR HAVVIZA 10-09-1991 PERAWAT PELAKSANA LULUS TIDAK LULUS TIDAK LULUS 1.696 611201560 1890014 207255 7496 66113000966 NUR INDAH SARI 16-01-1989 GURU MATEMATIKA PERTAMA ANALIS KEBIJAKAN PERTAMA LULUS TIDAK LULUS TIDAK LULUS
  • 86.
    NO NIK NO REGIST ER NO PESERTA NAMA TANGGAL LAHIR PILIHAN JABATAN 1 NAMA JABATAN 2 NAMA JABATAN 3 STATUS PILIHAN 1 STATUS PILIHAN 2 STATUS PILIHAN 3 1.697 617101600 3870006 168848 9239 66112000310 NUR INSAN 20-09-1987 PERAWAT PELAKSANA LULUS TIDAK LULUS TIDAK LULUS 1.698 617104560 2820005 167820 9092 66113001290 NUR JANAH 16-02-1982 ANALIS KEBIJAKAN PERTAMA PENGAWAS KETENAGAKERJAAN PERTAMA MEDIATOR HUBUNGAN INDUSTRIAL PERTAMA LULUS LULUS LULUS 1.699 611201690 5920002 120699 7365 66113000800 NUR METASARI 29-05-1992 GURU BAHASA INDONESIA PERTAMA LULUS TIDAK LULUS TIDAK LULUS 1.700 610302620 6910001 106637 9128 66113000859 NUR RIZKA 22-06-1991 GURU MATEMATIKA PERTAMA LULUS TIDAK LULUS TIDAK LULUS 1.701 611207470 7870003 144025 4298 66113000147 NUR RIZKIYAH 07-07-1987 ANALIS KEBIJAKAN PERTAMA LULUS TIDAK LULUS TIDAK LULUS 1.702 617101480 3900001 135128 7018 66112000672 NUR SANTIA NINGRUM 08-03-1990 PENGADMINISTRASI UMUM PENYUSUN RISALAH LULUS LULUS TIDAK LULUS 1.703 320920550 2870008 141098 4476 66113001544 NUR TRI KARTINI 15-02-1987 GURU SEJARAH PERTAMA LULUS TIDAK LULUS TIDAK LULUS 1.704 330601570 7890003 199323 9743 66113001664 NUR UJI ROKHANI 17-07-1989 ANALIS KEBIJAKAN PERTAMA LULUS TIDAK LULUS TIDAK LULUS 1.705 617106520 5910001 184945 2651 66113001087 NUR ZUHRUFI 12-05-1991 PUSTAKAWAN PERTAMA ANALIS KEBIJAKAN PERTAMA LULUS LULUS TIDAK LULUS 1.706 617102561 2850003 126806 7368 66113001280 NURAISYAH ANWAR 16-12-1985 GURU MATEMATIKA PERTAMA ANALIS KEBIJAKAN PERTAMA LULUS TIDAK LULUS TIDAK LULUS 1.707 610215520 2920001 165223 2197 66112000504 NURAZIKIN 12-02-1992 PERAWAT PELAKSANA LULUS TIDAK LULUS TIDAK LULUS 1.708 617102681 2840001 148316 6979 66112000527 NURAZMI,A.MD 28-12-1984 VERIFIKATOR KEUANGAN LULUS TIDAK LULUS TIDAK LULUS 1.709 611201410 4850017 169542 3591 66113001825 NURBAETI 01-04-1985 PERENCANA PERTAMA ANALIS ANGGARAN PENYULUH KOPERASI LULUS LULUS LULUS 1.710 610208551 1930002 212973 2903 66112000075 NURBAITI 15-11-1993 NUTRISIONIS PELAKSANA LULUS TIDAK LULUS TIDAK LULUS 1.711 617106560 5900001 205001 1849 66112000111 NURBANI 16-05-1990 PENGADMINISTRASI UMUM PENYUSUN RISALAH LULUS LULUS TIDAK LULUS 1.712 617103560 3830016 185845 6800 66113000432 NURBANI,S.PD 16-03-1983 GURU BAHASA INGGRIS PERTAMA SMP GURU BAHASA INGGRIS PERTAMA SMA LULUS LULUS TIDAK LULUS 1.713 610102501 1920004 114839 8505 66112000603 NURDIANA 10-11-1992 NUTRISIONIS PELAKSANA LULUS TIDAK LULUS TIDAK LULUS 1.714 617103010 1830016 105581 0173 66113001224 NURDIANSYAH,SH 01-01-1983 ANALIS KEBIJAKAN PERTAMA PENGAWAS KETENAGAKERJAAN PERTAMA PERANCANG PERUNDANG-UNDANGAN PERTAMA LULUS LULUS LULUS 1.715 617103500 6880006 175008 4508 66113000205 NURFADILAH 10-06-1988 GURU IPA PERTAMA ANALIS KEBIJAKAN PERTAMA GURU BIOLOGI PERTAMA LULUS TIDAK LULUS LULUS 1.716 617202541 0790002 182453 6317 66113001347 NURFAH LENI,SH 14-10-1979 MEDIATOR HUBUNGAN INDUSTRIAL PERTAMA PENGAWAS KETENAGAKERJAAN PERTAMA LULUS LULUS TIDAK LULUS
  • 87.
    NO NIK NO REGIST ER NO PESERTA NAMA TANGGAL LAHIR PILIHAN JABATAN 1 NAMA JABATAN 2 NAMA JABATAN 3 STATUS PILIHAN 1 STATUS PILIHAN 2 STATUS PILIHAN 3 1.717 617103681 2870009 125396 8635 66113001075 NURFAHLIMA 28-12-1987 ANALIS KEBIJAKAN PERTAMA PRANATA KOMPUTER PERTAMA LULUS LULUS TIDAK LULUS 1.718 617104601 1890002 133526 4177 66113001797 NURFITRI AMINA 20-11-1989 GURU MATEMATIKA PERTAMA LULUS TIDAK LULUS TIDAK LULUS 1.719 617102491 1870001 113081 9908 66113001196 NURHASANAH 09-11-1987 ANALIS KEBIJAKAN PERTAMA LULUS TIDAK LULUS TIDAK LULUS 1.720 611201500 6900006 158134 3854 66113001261 NURHASANAH 10-06-1990 GURU BAHASA INDONESIA PERTAMA LULUS TIDAK LULUS TIDAK LULUS 1.721 610715690 3820001 158732 6126 66112000806 NURHAYATI 29-03-1982 PENGADMINISTRASI UMUM PENYUSUN RISALAH LULUS LULUS TIDAK LULUS 1.722 617201680 7860001 214695 1667 66113000101 NURHAYATI 28-07-1986 PRANATA KOMPUTER PERTAMA ANALIS KEBIJAKAN PERTAMA LULUS LULUS TIDAK LULUS 1.723 610101510 3860004 131714 4599 66113000382 NURHAYATI 11-03-1986 PERENCANA PERTAMA PENYULUH KOPERASI ANALIS ANGGARAN LULUS LULUS LULUS 1.724 611209460 6890005 110640 9361 66113000489 NURHAYATI 06-06-1989 PERENCANA PERTAMA LULUS TIDAK LULUS TIDAK LULUS 1.725 617105630 5820012 130612 4939 66113000734 NURHAYATI 23-05-1982 PENGANTAR KERJA PERTAMA MEDIATOR HUBUNGAN INDUSTRIAL PERTAMA PENGAWAS KETENAGAKERJAAN PERTAMA LULUS LULUS LULUS 1.726 611203480 4900004 196186 3633 66113001023 NURHAYATI 08-04-1990 ANALIS KEBIJAKAN PERTAMA LULUS TIDAK LULUS TIDAK LULUS 1.727 611209410 7890429 179604 7706 66113000711 NURHAYATI 04-06-1989 GURU BAHASA INDONESIA PERTAMA ANALIS KEBIJAKAN PERTAMA LULUS TIDAK LULUS TIDAK LULUS 1.728 120919550 7930004 131587 2133 66112000251 NURHAYATI NOVITA ELISABET SIHOMBING 15-11-1993 BIDAN PELAKSANA LULUS TIDAK LULUS TIDAK LULUS 1.729 611209570 6870002 134235 9640 66113000439 NURHIDAYATI 25-06-1987 GURU BAHASA INGGRIS PERTAMA SMP LULUS TIDAK LULUS TIDAK LULUS 1.730 611209670 3910002 124991 9374 66112000213 NURI RAHAYUNI 27-03-1991 NUTRISIONIS PELAKSANA LULUS TIDAK LULUS TIDAK LULUS 1.731 610501681 0820004 140152 2140 66113000107 NURICA MARGEYANTI SINTA OKTAVIA 28-10-1982 APOTEKER PERTAMA LULUS TIDAK LULUS TIDAK LULUS 1.732 617103460 2840002 205761 4005 66112000786 NURIKA HASANAH 06-02-1984 PENGADMINISTRASI UMUM PENYUSUN RISALAH LULUS LULUS TIDAK LULUS 1.733 617103430 7900001 147922 5809 66113000393 NURILIL HAWA DESI 03-07-1990 GURU MATEMATIKA PERTAMA ANALIS KEBIJAKAN PERTAMA LULUS TIDAK LULUS TIDAK LULUS 1.734 610201541 2900001 171107 3630 66112000223 NURIMA, A.MD.KEP 14-12-1990 PERAWAT PELAKSANA LULUS TIDAK LULUS TIDAK LULUS 1.735 617103561 0890012 212106 9784 66113000706 NURJANA 16-10-1989 GURU MATEMATIKA PERTAMA ANALIS KEBIJAKAN PERTAMA LULUS TIDAK LULUS TIDAK LULUS 1.736 617105690 4900003 194972 2276 66113000982 NURJANNAH HASIBUAN 29-04-1990 PRANATA KOMPUTER PERTAMA ANALIS KEBIJAKAN PERTAMA LULUS LULUS TIDAK LULUS
  • 88.
    NO NIK NO REGIST ER NO PESERTA NAMA TANGGAL LAHIR PILIHAN JABATAN 1 NAMA JABATAN 2 NAMA JABATAN 3 STATUS PILIHAN 1 STATUS PILIHAN 2 STATUS PILIHAN 3 1.737 617106540 2820001 145904 5487 66113001728 NURJAYANTI 14-02-1982 ANALIS KEBIJAKAN PERTAMA LULUS TIDAK LULUS TIDAK LULUS 1.738 610218690 7910003 198134 3501 66113001882 NURKAMARIAH 29-07-1991 GURU MATEMATIKA PERTAMA ANALIS KEBIJAKAN PERTAMA LULUS TIDAK LULUS TIDAK LULUS 1.739 617105540 1900010 140862 6947 66113000545 NURKHADIJAH RAMBE 14-01-1990 GURU BAHASA INGGRIS PERTAMA SMP GURU BAHASA INGGRIS PERTAMA SMA ANALIS KEBIJAKAN PERTAMA LULUS LULUS TIDAK LULUS 1.740 350912600 5800003 169791 5263 66112000519 NURLAILA 20-05-1980 PENGADMINISTRASI UMUM PENYUSUN RISALAH LULUS LULUS TIDAK LULUS 1.741 611207570 8900003 200211 6320 66112000597 NURLAILIYAH MERDEKAWATI 17-08-1990 BIDAN PELAKSANA LULUS TIDAK LULUS TIDAK LULUS 1.742 611201710 5900003 105216 1133 66113001787 NURLAILY JUMRATI HANDAYANI 31-05-1990 ANALIS ANGGARAN PERENCANA PERTAMA ANALIS KERJASAMA DAN PERMODALAN LULUS LULUS LULUS 1.743 617101690 1870001 133594 2474 66113000772 NURLELA 29-01-1987 SURVEYOR PEMETAAN PERTAMA PENATA RUANG PERTAMA ANALIS KEBIJAKAN PERTAMA LULUS LULUS LULUS 1.744 611207640 4890001 200621 4506 66113001209 NURLIHA 24-05-1989 GURU MATEMATIKA PERTAMA LULUS TIDAK LULUS TIDAK LULUS 1.745 617102510 9830003 189781 1019 66113000678 NURMALA 11-09-1983 GURU MATEMATIKA PERTAMA ANALIS KEBIJAKAN PERTAMA LULUS TIDAK LULUS TIDAK LULUS 1.746 617201420 1920002 126888 8669 66113000256 NURMALIA 02-01-1992 PUSTAKAWAN PERTAMA ANALIS KEBIJAKAN PERTAMA LULUS LULUS TIDAK LULUS 1.747 611201660 7800007 162751 1331 66113001868 NURMI YULIANA 26-07-1980 PERENCANA PERTAMA ANALIS ANGGARAN PENYULUH KOPERASI LULUS LULUS LULUS 1.748 617105100 3820009 158039 1529 66113000139 NURRAHMAN HAKIM 10-03-1982 PERENCANA PERTAMA ANALIS KEBIJAKAN PERTAMA PENYULUH KOPERASI LULUS LULUS LULUS 1.749 611208440 5900001 183128 8773 66113000667 NURSAFIDA FITRI 04-05-1990 GURU SEJARAH PERTAMA LULUS TIDAK LULUS TIDAK LULUS 1.750 617105550 6920004 135691 5903 66112000228 NURSAHADAT HASIBUAN 15-06-1992 PENGADMINISTRASI UMUM PENYUSUN RISALAH LULUS LULUS TIDAK LULUS 1.751 617102600 8850001 129221 0553 66112000818 NURSAMSIAH, A.MD 20-08-1985 PARAMEDIK VETERINER PELAKSANA LULUS TIDAK LULUS TIDAK LULUS 1.752 617104680 7850014 207706 0284 66113000537 NURSIAH 28-07-1985 GURU MATEMATIKA PERTAMA ANALIS KEBIJAKAN PERTAMA LULUS TIDAK LULUS TIDAK LULUS 1.753 611209410 1900018 130137 8614 66113000803 NURSIAH 01-01-1990 GURU SEJARAH PERTAMA LULUS TIDAK LULUS TIDAK LULUS 1.754 611201451 1900003 192538 8895 66113001512 NURSIAH 05-11-1990 GURU KIMIA PERTAMA ANALIS KEBIJAKAN PERTAMA LULUS TIDAK LULUS TIDAK LULUS 1.755 617105030 4860004 151788 9014 66113001375 NURTIMAN 03-04-1986 PERENCANA PERTAMA ANALIS KERJASAMA DAN PERMODALAN ANALIS KEBIJAKAN PERTAMA LULUS LULUS LULUS 1.756 610117410 2810004 167954 2304 66113001650 NURUL AFIDAH 01-02-1981 ANALIS KEBIJAKAN PERTAMA LULUS TIDAK LULUS TIDAK LULUS
  • 89.
    NO NIK NO REGIST ER NO PESERTA NAMA TANGGAL LAHIR PILIHAN JABATAN 1 NAMA JABATAN 2 NAMA JABATAN 3 STATUS PILIHAN 1 STATUS PILIHAN 2 STATUS PILIHAN 3 1.757 617201540 5880003 187426 3485 66113001582 NURUL FARISA 14-05-1984 APOTEKER PERTAMA LULUS TIDAK LULUS TIDAK LULUS 1.758 611208481 2880003 132095 6444 66113000456 NURUL FATHONAH 08-12-1988 GURU MATEMATIKA PERTAMA ANALIS KEBIJAKAN PERTAMA LULUS TIDAK LULUS TIDAK LULUS 1.759 617102520 5900003 189014 7496 66113000669 NURUL FATHONAH 12-05-1990 GURU KIMIA PERTAMA LULUS TIDAK LULUS TIDAK LULUS 1.760 610417481 0870001 126480 8134 66112000713 NURUL FITRIA ISKANDAR 08-10-1987 BIDAN PELAKSANA LULUS TIDAK LULUS TIDAK LULUS 1.761 617105430 9910010 182527 3978 66112000341 NURUL FITRIANI 03-09-1991 PENGADMINISTRASI UMUM LULUS TIDAK LULUS TIDAK LULUS 1.762 611209550 3860008 149422 4039 66113001171 NURUL HAJARIAH 15-03-1986 GURU MATEMATIKA PERTAMA LULUS TIDAK LULUS TIDAK LULUS 1.763 611201450 8920008 153166 2398 66113000325 NURUL KURNIA 05-08-1992 GURU SOSIOLOGI PERTAMA ANALIS KEBIJAKAN PERTAMA LULUS TIDAK LULUS TIDAK LULUS 1.764 611207430 7920002 152572 1417 66112000412 NURUL QUR'ANI 03-07-1992 PENGADMINISTRASI UMUM PENYUSUN RISALAH LULUS LULUS TIDAK LULUS 1.765 611209571 1910002 157756 7387 66113000872 NURUL UTAMI 17-11-1991 GURU SEJARAH PERTAMA LULUS TIDAK LULUS TIDAK LULUS 1.766 617104420 4910003 199507 9276 66113001320 NURUL WIJI LESTARI 02-04-1991 GURU BAHASA INDONESIA PERTAMA ANALIS KEBIJAKAN PERTAMA LULUS TIDAK LULUS TIDAK LULUS 1.767 611203411 1820002 191163 6774 66113001413 NURVIANA 01-11-1982 SANITARIAN PERTAMA ANALIS KEBIJAKAN PERTAMA LULUS TIDAK LULUS TIDAK LULUS 1.768 340111481 0840002 208097 8426 66113001698 NURVIDAYANTI S.PD 08-10-1984 GURU SEJARAH PERTAMA LULUS TIDAK LULUS TIDAK LULUS 1.769 617101650 9850003 104497 7420 66113000226 NURWANTY NINGSIH 25-09-1985 ANALIS KEBIJAKAN PERTAMA LULUS TIDAK LULUS TIDAK LULUS 1.770 611207200 6820001 208617 5407 66113000975 NURYADIN HARIS 20-06-1982 PRANATA KOMPUTER PERTAMA ANALIS KEBIJAKAN PERTAMA LULUS LULUS TIDAK LULUS 1.771 617102650 4900002 121165 7264 66113001311 NURYANA SARI 25-04-1990 GURU MATEMATIKA PERTAMA LULUS TIDAK LULUS TIDAK LULUS 1.772 611206701 0880003 147968 3363 66113000850 NURYANAH 30-10-1988 GURU BAHASA INDONESIA PERTAMA LULUS TIDAK LULUS TIDAK LULUS 1.773 617104641 2930007 182992 2008 66112000141 NYEMAS EVA SANTRI DEWI 24-12-1993 NUTRISIONIS PELAKSANA LULUS TIDAK LULUS TIDAK LULUS 1.774 611201281 0780008 145468 5167 66113001575 OCTOVIANUS PASORONG 28-10-1978 ANALIS ANGGARAN ANALIS KERJASAMA DAN PERMODALAN ANALIS KEBIJAKAN PERTAMA LULUS LULUS LULUS 1.775 617101310 1890003 136467 4074 66113001648 ODILO TARIGASA 31-01-1989 PENGENDALI ORGANISME PENGGANGGU TUMBUHAN PERTAMA ANALIS KEBIJAKAN PERTAMA TIDAK LULUS LULUS TIDAK LULUS 1.776 617106571 1830001 211094 1259 66113001299 OEIJ SUAN FIFI 17-11-1983 PERENCANA PERTAMA PENYULUH KOPERASI ANALIS KERJASAMA DAN PERMODALAN LULUS LULUS LULUS
  • 90.
    NO NIK NO REGIST ER NO PESERTA NAMA TANGGAL LAHIR PILIHAN JABATAN 1 NAMA JABATAN 2 NAMA JABATAN 3 STATUS PILIHAN 1 STATUS PILIHAN 2 STATUS PILIHAN 3 1.777 611206481 0930001 138572 5372 66112000549 OKTAFIANI KATRIN 08-10-1993 BIDAN PELAKSANA LULUS TIDAK LULUS TIDAK LULUS 1.778 610802461 0850002 209295 0013 66112000754 OKTAVIANA NUNGSALIANI 06-10-1987 NUTRISIONIS PELAKSANA LULUS TIDAK LULUS TIDAK LULUS 1.779 611201481 0830009 108400 5532 66112000509 OKTAVIANTI 08-10-1983 PENGADMINISTRASI UMUM LULUS TIDAK LULUS TIDAK LULUS 1.780 610117110 6890001 101172 9322 66113000849 OMI 11-06-1989 GURU MATEMATIKA PERTAMA ANALIS KEBIJAKAN PERTAMA LULUS TIDAK LULUS TIDAK LULUS 1.781 120212281 0800003 108472 3269 66113001481 OPER SIMANJUNTAK 28-10-1980 GURU BAHASA INDONESIA PERTAMA ANALIS KEBIJAKAN PERTAMA LULUS TIDAK LULUS TIDAK LULUS 1.782 617105280 3890003 155322 7780 66113000383 ORYZA SURYA PRADITYO 28-03-1989 ANALIS KEPEGAWAIAN PERTAMA ANALIS KEPENDUDUKAN DAN PENCATATAN SIPIL ANALIS KEBIJAKAN PERTAMA LULUS LULUS LULUS 1.783 617101070 9830010 156877 2821 66113001208 OSKAR KHARISMA 07-09-1983 PRANATA KOMPUTER PERTAMA ANALIS KEBIJAKAN PERTAMA LULUS LULUS TIDAK LULUS 1.784 610201050 6910001 189203 0043 66112000846 PANCA ROLANDA 05-06-1991 PENGADMINISTRASI UMUM LULUS TIDAK LULUS TIDAK LULUS 1.785 611209020 8890002 212354 1912 66113000051 PANDI 02-08-1989 PENGAWAS KETENAGAKERJAAN PERTAMA ANALIS LAYANAN UMUM PERANCANG PERUNDANG-UNDANGAN PERTAMA LULUS LULUS LULUS 1.786 332815240 1900004 185876 7632 66112000650 PANJI PRABANCANA LESTARI 24-01-1990 PENGUJI KENDARAAN BERMOTOR PELAKSANA LULUS TIDAK LULUS TIDAK LULUS 1.787 610103490 5920002 166880 4366 66112000554 PARAMUDITA 05-09-1992 BIDAN PELAKSANA LULUS TIDAK LULUS TIDAK LULUS 1.788 610103550 7900003 206720 9892 66112000812 PARIDAH 15-07-1990 BIDAN PELAKSANA LULUS TIDAK LULUS TIDAK LULUS 1.789 610208190 5860001 191842 1671 66113000636 PARLINDUNGAN PAKPAHAN 19-05-1986 PENYULUH KOPERASI ANALIS KERJASAMA DAN PERMODALAN ANALIS KEBIJAKAN PERTAMA LULUS LULUS LULUS 1.790 617105050 4820013 173619 6351 66113001576 PASKALIS 05-04-1982 PAMONG BUDAYA PERTAMA ANALIS KEBIJAKAN PERTAMA LULUS LULUS TIDAK LULUS 1.791 617102430 8910007 161807 3307 66112000560 PATMAWATI 03-08-1991 PERAWAT PELAKSANA LULUS TIDAK LULUS TIDAK LULUS 1.792 611101060 2880002 121097 1571 66113001620 PEBRIANTO GUNAWAN 06-02-1988 ANALIS KEBIJAKAN PERTAMA PERENCANA PERTAMA ANALIS ANGGARAN LULUS LULUS LULUS 1.793 610622560 4910001 183213 2030 66113000971 PEGGY VIONNA 16-04-1991 SANITARIAN PERTAMA LULUS TIDAK LULUS TIDAK LULUS 1.794 611201440 5820029 172156 3641 66113000392 PEMILIA SITI ZAHARA,S.PD 04-05-1982 GURU MATEMATIKA PERTAMA ANALIS KEBIJAKAN PERTAMA LULUS TIDAK LULUS TIDAK LULUS 1.795 610111080 2900003 180925 9882 66112000704 PERIADI 08-02-1990 PENYUSUN RISALAH PENGADMINISTRASI UMUM LULUS LULUS TIDAK LULUS 1.796 611202581 1880001 168478 4003 66113001263 PERONICA DEWI 18-11-1988 GURU SEJARAH PERTAMA ANALIS KEBIJAKAN PERTAMA LULUS TIDAK LULUS TIDAK LULUS
  • 91.
    NO NIK NO REGIST ER NO PESERTA NAMA TANGGAL LAHIR PILIHAN JABATAN 1 NAMA JABATAN 2 NAMA JABATAN 3 STATUS PILIHAN 1 STATUS PILIHAN 2 STATUS PILIHAN 3 1.797 617104010 6840007 129848 9951 66113001580 PETRAMA YUNI RYAN 01-06-1984 ANALIS KEBIJAKAN PERTAMA LULUS TIDAK LULUS TIDAK LULUS 1.798 617103480 6820005 212467 7296 66113000574 PETRONELA SOEHARTI LARA DE ROSSA, SH 08-06-1982 MEDIATOR HUBUNGAN INDUSTRIAL PERTAMA PENGAWAS KETENAGAKERJAAN PERTAMA PERANCANG PERUNDANG-UNDANGAN PERTAMA LULUS LULUS LULUS 1.799 617103460 5850017 149184 6594 66113001649 PIKA PURBANI 06-05-1985 GURU MATEMATIKA PERTAMA ANALIS KEBIJAKAN PERTAMA LULUS TIDAK LULUS TIDAK LULUS 1.800 617103200 1890007 181923 6977 66113001082 PIKRUS AULIA RAHMAN 20-01-1989 ANALIS KEBIJAKAN PERTAMA LULUS TIDAK LULUS TIDAK LULUS 1.801 340407700 6890001 190868 6893 66113001101 PINKA ATRISTASARI 30-06-1989 PRANATA HUBUNGAN MASYARAKAT PERTAMA ANALIS KEBIJAKAN PERTAMA LULUS LULUS TIDAK LULUS 1.802 610804190 1890002 147873 3297 66112000833 PIPIANDO BARAS BANYU PUTRA 19-01-1989 PERAWAT PELAKSANA LULUS TIDAK LULUS TIDAK LULUS 1.803 611201460 9900006 208779 7622 66112000551 PIPIT WAHYU SEPTYANA 06-09-1990 BIDAN PELAKSANA LULUS TIDAK LULUS TIDAK LULUS 1.804 130106490 9890004 120825 0995 66113001283 PITRI AYU 09-09-1989 GURU BAHASA INGGRIS PERTAMA SMA GURU BAHASA INGGRIS PERTAMA SMP LULUS LULUS TIDAK LULUS 1.805 611201470 7830016 133942 2410 66112000350 PITRIYA 07-07-1983 PENGADMINISTRASI UMUM PENYUSUN RISALAH LULUS LULUS TIDAK LULUS 1.806 610801510 2840002 142777 9758 66113001350 PONNI 11-02-1984 PERENCANA PERTAMA ANALIS KERJASAMA DAN PERMODALAN ANALIS KEBIJAKAN PERTAMA LULUS LULUS LULUS 1.807 611201440 9880009 168077 2622 66112000682 PRAHESTI 04-09-1988 PENGADMINISTRASI UMUM PENYUSUN RISALAH LULUS LULUS TIDAK LULUS 1.808 332410080 9880004 193345 2894 66113001651 PRAMUDYA WAHYU SETYAJI 08-09-1988 PENGAWAS BIBIT TERNAK PERTAMA LULUS TIDAK LULUS TIDAK LULUS 1.809 611201250 8910010 152011 9659 66113000918 PRASETYO ADHI NUGROHO 25-08-1991 PENGAWAS KETENAGAKERJAAN PERTAMA PENGANTAR KERJA PERTAMA PERANCANG PERUNDANG-UNDANGAN PERTAMA LULUS LULUS LULUS 1.810 611203051 0910002 164720 3555 66113001687 PRIANGGA 05-10-1991 PRANATA KOMPUTER PERTAMA ANALIS KEBIJAKAN PERTAMA LULUS LULUS TIDAK LULUS 1.811 611201150 4820011 103888 6952 66113000033 PRIHARTANTO 15-04-1982 ANALIS KEBIJAKAN PERTAMA LULUS TIDAK LULUS TIDAK LULUS 1.812 610218641 2800003 111864 6881 66112000231 PRIMADINNI,A.MD 24-01-1980 PENGADMINISTRASI UMUM PENYUSUN RISALAH LULUS LULUS TIDAK LULUS 1.813 611203280 7820001 124239 5235 66112000168 PRIO SAMBIONO 28-07-1982 PERAWAT PELAKSANA LULUS TIDAK LULUS TIDAK LULUS 1.814 611201230 2870002 161182 0531 66113001382 PRIYO FEBRIANTO, ST 23-02-1987 ANALIS KEBIJAKAN PERTAMA LULUS TIDAK LULUS TIDAK LULUS 1.815 617105570 8920004 176107 1578 66112000550 PROKERINA BORU SIBARANI 17-08-1992 BIDAN PELAKSANA LULUS TIDAK LULUS TIDAK LULUS 1.816 611207700 1870002 149766 6992 66113001175 PUJI RAHAYU 30-01-1987 GURU MATEMATIKA PERTAMA LULUS TIDAK LULUS TIDAK LULUS
  • 92.
    NO NIK NO REGIST ER NO PESERTA NAMA TANGGAL LAHIR PILIHAN JABATAN 1 NAMA JABATAN 2 NAMA JABATAN 3 STATUS PILIHAN 1 STATUS PILIHAN 2 STATUS PILIHAN 3 1.817 617105490 2880001 108245 3939 66113000834 PUJIATI 09-02-1988 GURU SEJARAH PERTAMA LULUS TIDAK LULUS TIDAK LULUS 1.818 617105660 1890005 143875 4763 66113000862 PUPUT ANGGIA PUTRI 26-01-1989 GURU MATEMATIKA PERTAMA LULUS TIDAK LULUS TIDAK LULUS 1.819 617105701 0890009 151112 6804 66113001873 PURI OKVIA SARI 30-10-1989 PENGANTAR KERJA PERTAMA ANALIS KEBIJAKAN PERTAMA LULUS LULUS TIDAK LULUS 1.820 617104460 6910003 160075 4407 66113000522 PURNAMAWATI 06-06-1991 GURU MATEMATIKA PERTAMA LULUS TIDAK LULUS TIDAK LULUS 1.821 611201550 4830008 148428 3176 66112000329 PURWANTIWI RAHAYU 15-04-1983 PENGADMINISTRASI UMUM PENYUSUN RISALAH LULUS LULUS TIDAK LULUS 1.822 617101100 8870502 197735 6043 66113000484 PURWANTO AJI DINIYANTO 10-08-1987 ANALIS KEBIJAKAN PERTAMA LULUS TIDAK LULUS TIDAK LULUS 1.823 617202670 9890005 174737 6847 66113000120 PUSPA SETYO RINI 27-09-1989 PENGENDALI DAMPAK LINGKUNGAN PERTAMA PENGAWAS LINGKUNGAN HIDUP PERTAMA TEKNIK PENYEHATAN LINGKUNGAN PERTAMA LULUS LULUS LULUS 1.824 611203440 2920004 176128 5279 66112000118 PUSPASARI 04-02-1992 PENGADMINISTRASI UMUM PENYUSUN RISALAH LULUS LULUS TIDAK LULUS 1.825 617102461 2910005 181860 7525 66113001105 PUTRI ASDIANTI 06-12-1991 PRANATA KOMPUTER PERTAMA ANALIS KEBIJAKAN PERTAMA LULUS LULUS TIDAK LULUS 1.826 617103540 9910007 149546 0821 66112000443 PUTRI FAJAR PERTIWI 14-09-1991 BIDAN PELAKSANA LULUS TIDAK LULUS TIDAK LULUS 1.827 611201540 2910010 177063 7778 66113001423 PUTRI FEBRINA DEKANITA 14-02-1991 GURU SEJARAH PERTAMA LULUS TIDAK LULUS TIDAK LULUS 1.828 617106710 1910001 165372 1327 66113001625 PUTRI FIBRIANI 31-01-1991 GURU SEJARAH PERTAMA ANALIS KEBIJAKAN PERTAMA LULUS TIDAK LULUS TIDAK LULUS 1.829 611203570 9900003 206174 1605 66112000523 PUTRI PERMALA DEWI 17-09-1990 VERIFIKATOR KEUANGAN LULUS TIDAK LULUS TIDAK LULUS 1.830 617201480 7900002 202574 1840 66113000340 PUTRI YULI UTAMI 08-07-1990 PRANATA KOMPUTER PERTAMA ANALIS KEBIJAKAN PERTAMA LULUS LULUS TIDAK LULUS 1.831 610807040 8830007 200216 9937 66113000601 RABIANTO 04-06-1983 PEKERJA SOSIAL PERTAMA PENYULUH SOSIAL PERTAMA ANALIS KEBIJAKAN PERTAMA LULUS LULUS LULUS 1.832 617103230 7850002 146956 0344 66113001867 RACHMAD DARMAWAN 23-07-1985 GURU BAHASA INGGRIS PERTAMA SMA GURU BAHASA INGGRIS PERTAMA SMP ANALIS KEBIJAKAN PERTAMA LULUS LULUS TIDAK LULUS 1.833 611201140 6870003 204953 6926 66112000591 RACHMAD HIDAYAT, A.MD 14-06-1987 VERIFIKATOR KEUANGAN LULUS TIDAK LULUS TIDAK LULUS 1.834 611201550 4900004 117270 7202 66113000896 RACHMAWATI FITRI HASAN 15-04-1990 PERENCANA PERTAMA ANALIS ANGGARAN ANALIS KERJASAMA DAN PERMODALAN LULUS LULUS LULUS 1.835 610218631 2870001 198643 6849 66112000232 RADIANA 23-12-1987 VERIFIKATOR KEUANGAN LULUS TIDAK LULUS TIDAK LULUS 1.836 611207071 1900002 139063 8260 66113001720 RADIANSYAH 07-11-1990 GURU SEJARAH PERTAMA ANALIS KEBIJAKAN PERTAMA LULUS TIDAK LULUS TIDAK LULUS
  • 93.
    NO NIK NO REGIST ER NO PESERTA NAMA TANGGAL LAHIR PILIHAN JABATAN 1 NAMA JABATAN 2 NAMA JABATAN 3 STATUS PILIHAN 1 STATUS PILIHAN 2 STATUS PILIHAN 3 1.837 611201610 6900002 184452 8326 66113000532 RADNI KEMALA SARI 21-06-1990 GURU SEJARAH PERTAMA LULUS TIDAK LULUS TIDAK LULUS 1.838 617101650 1840004 194653 6528 66112000016 RAFIDAH 25-01-1984 PENGADMINISTRASI UMUM PENYUSUN RISALAH LULUS LULUS TIDAK LULUS 1.839 611203050 8920001 158307 6800 66113001398 RAGA PATRIA 05-08-1992 GURU IPA PERTAMA GURU FISIKA PERTAMA ANALIS KEBIJAKAN PERTAMA LULUS LULUS TIDAK LULUS 1.840 610103500 4880001 132713 5040 66112000467 RAHAYU PUJI LESTARI 10-04-1988 VERIFIKATOR KEUANGAN LULUS TIDAK LULUS TIDAK LULUS 1.841 611201411 2940013 144246 0369 66112000214 RAHMA EKA SULISTYAWATI 01-12-1994 PRANATA LABORATORIUM KESEHATAN PERTAMA LULUS TIDAK LULUS TIDAK LULUS 1.842 617106570 4830002 154113 4987 66113000620 RAHMA SUSANTI 17-04-1983 MEDIATOR HUBUNGAN INDUSTRIAL PERTAMA PERANCANG PERUNDANG-UNDANGAN PERTAMA ANALIS KEBIJAKAN PERTAMA LULUS LULUS LULUS 1.843 610103050 6860006 163503 3698 66113001037 RAHMAD 05-06-1986 GURU SEJARAH PERTAMA LULUS TIDAK LULUS TIDAK LULUS 1.844 617106080 8900002 146469 5878 66113001730 RAHMAD 08-08-1990 GURU MATEMATIKA PERTAMA LULUS TIDAK LULUS TIDAK LULUS 1.845 610212150 6920004 199480 0052 66112000808 RAHMAD ARIFIN 15-06-1992 PENGADMINISTRASI UMUM LULUS TIDAK LULUS TIDAK LULUS 1.846 617103021 0870015 102325 3322 66113001652 RAHMAN SAPARULLAH 02-10-1987 ANALIS ANGGARAN PERENCANA PERTAMA PENYULUH KOPERASI LULUS LULUS LULUS 1.847 610104120 1930009 175351 4930 66112000047 RAHMANI 12-01-1993 PERAWAT PELAKSANA LULUS TIDAK LULUS TIDAK LULUS 1.848 617104190 2880010 174417 4653 66113000559 RAHMAT 19-02-1988 GURU SEJARAH PERTAMA LULUS TIDAK LULUS TIDAK LULUS 1.849 611201190 3900006 134584 6856 66113000922 RAHMAT DEVI IRAWAN 19-03-1990 ANALIS LAYANAN UMUM PERANCANG PERUNDANG-UNDANGAN PERTAMA PENGANTAR KERJA PERTAMA LULUS LULUS LULUS 1.850 611201281 0820003 144581 7726 66112000526 RAHMAT HIDAYAT 28-10-1982 PENGADMINISTRASI UMUM PENYUSUN RISALAH LULUS LULUS TIDAK LULUS 1.851 611201410 2800012 133143 4244 66112000700 RAHMAWATI 01-02-1980 PENGADMINISTRASI UMUM PENYUSUN RISALAH LULUS LULUS TIDAK LULUS 1.852 617101530 8800007 154066 5667 66113001306 RAHMAWATI 13-08-1980 PENATA RUANG PERTAMA ANALIS KEBIJAKAN PERTAMA SURVEYOR PEMETAAN PERTAMA LULUS LULUS LULUS 1.853 610117570 7870002 148022 1729 66113001547 RAHMAWATI 17-07-1987 GURU IPA PERTAMA LULUS TIDAK LULUS TIDAK LULUS 1.854 611201680 8890007 172199 8532 66113001657 RAHMAYUNI 28-08-1989 GURU BAHASA INGGRIS PERTAMA SMP LULUS TIDAK LULUS TIDAK LULUS 1.855 610218480 1910002 168578 4199 66112000250 RAHMI MURNI 08-01-1991 BIDAN PELAKSANA LULUS TIDAK LULUS TIDAK LULUS 1.856 617105500 5920009 198920 7976 66112000110 RAHMI NANDA PRIMADANTI 10-05-1992 VERIFIKATOR KEUANGAN LULUS TIDAK LULUS TIDAK LULUS
  • 94.
    NO NIK NO REGIST ER NO PESERTA NAMA TANGGAL LAHIR PILIHAN JABATAN 1 NAMA JABATAN 2 NAMA JABATAN 3 STATUS PILIHAN 1 STATUS PILIHAN 2 STATUS PILIHAN 3 1.857 611201700 1910008 151106 9196 66113000860 RAHMI REZEKI AULIA 31-01-1991 GURU SEJARAH PERTAMA LULUS TIDAK LULUS TIDAK LULUS 1.858 617106540 8870002 182909 0618 66113001153 RAHMI SARI DEWI 14-08-1987 ANALIS KEBIJAKAN PERTAMA PENYULUH KOPERASI PERENCANA PERTAMA LULUS LULUS LULUS 1.859 617103690 8860502 173520 5038 66113001066 RAINI RIANTI, SE 29-08-1986 PERENCANA PERTAMA ANALIS ANGGARAN ANALIS KEBIJAKAN PERTAMA LULUS LULUS LULUS 1.860 610201421 1910003 184728 4274 66112000575 RAISA SAWITRI 02-11-1991 BIDAN PELAKSANA LULUS TIDAK LULUS TIDAK LULUS 1.861 611203070 4910004 194691 9763 66113000473 RAKHMAT RAMADHAN 07-04-1991 PRANATA KOMPUTER PERTAMA ANALIS KEBIJAKAN PERTAMA LULUS LULUS TIDAK LULUS 1.862 611205160 5850002 160764 3306 66112000714 RAMDANI 16-05-1985 PERAWAT PELAKSANA LULUS TIDAK LULUS TIDAK LULUS 1.863 611209240 5880002 195074 2118 66113000616 RAMLI 24-05-1988 ANALIS KEBIJAKAN PERTAMA LULUS TIDAK LULUS TIDAK LULUS 1.864 617106460 9860001 189209 3740 66112000643 RANNY MEKAR SARI 06-09-1986 PENGADMINISTRASI UMUM PENYUSUN RISALAH LULUS LULUS TIDAK LULUS 1.865 617101700 7910003 124764 0717 66112000147 RANNY YULIANI 30-07-1991 VERIFIKATOR KEUANGAN LULUS TIDAK LULUS TIDAK LULUS 1.866 617101530 4850005 130909 2779 66113001157 RANTI HENDRAWATI 13-04-1985 PERENCANA PERTAMA PENYULUH KOPERASI ANALIS ANGGARAN LULUS LULUS LULUS 1.867 617105700 9870004 160861 5524 66113000600 RANTY RUSVINARA 30-09-1987 ANALIS KEBIJAKAN PERTAMA LULUS TIDAK LULUS TIDAK LULUS 1.868 617105620 7850007 202034 0997 66112000574 RANU SHIRATO 22-07-1985 PENYULUH PAJAK PELAKSANA LULUS TIDAK LULUS TIDAK LULUS 1.869 611201491 0840013 180333 0760 66113001906 RAPEAH, S.PI 09-10-1984 PENGAWAS PERIKANAN PERTAMA ANALIS KEBIJAKAN PERTAMA LULUS LULUS TIDAK LULUS 1.870 120723500 4860010 127719 9789 66113000864 RASIANNA PANJAITAN 10-04-1986 GURU SEJARAH PERTAMA ANALIS KEBIJAKAN PERTAMA LULUS TIDAK LULUS TIDAK LULUS 1.871 610503501 2870005 187221 9690 66113000215 RASMIYANA 10-12-1987 GURU SEJARAH PERTAMA LULUS TIDAK LULUS TIDAK LULUS 1.872 611201700 6880012 137080 7829 66112000796 RATIH 30-06-1988 PENGADMINISTRASI UMUM PENYUSUN RISALAH LULUS LULUS TIDAK LULUS 1.873 617101450 4880011 179533 8416 66113000445 RATIH KARTIKA 05-04-1988 GURU BAHASA INGGRIS PERTAMA SMA GURU BAHASA INGGRIS PERTAMA SMP ANALIS KEBIJAKAN PERTAMA LULUS LULUS TIDAK LULUS 1.874 610105680 7870002 174536 8870 66113001462 RATIH NURHANDAYANI 28-07-1987 ANALIS KEBIJAKAN PERTAMA LULUS TIDAK LULUS TIDAK LULUS 1.875 617105480 1860001 210703 8288 66112000516 RATIKAWATY 08-01-1986 PENGADMINISTRASI UMUM LULUS TIDAK LULUS TIDAK LULUS 1.876 617104651 1850002 110194 2863 66113000222 RATNA MADYA KALSUM 25-11-1985 ANALIS KEBIJAKAN PERTAMA LULUS TIDAK LULUS TIDAK LULUS
  • 95.
    NO NIK NO REGIST ER NO PESERTA NAMA TANGGAL LAHIR PILIHAN JABATAN 1 NAMA JABATAN 2 NAMA JABATAN 3 STATUS PILIHAN 1 STATUS PILIHAN 2 STATUS PILIHAN 3 1.877 617101710 1890012 211162 6525 66113000555 RATNA NINGRUM 23-01-1989 GURU IPA PERTAMA GURU FISIKA PERTAMA LULUS LULUS TIDAK LULUS 1.878 611209500 6900012 211354 1177 66113000679 RATNA SARI 10-06-1990 GURU BAHASA INDONESIA PERTAMA LULUS TIDAK LULUS TIDAK LULUS 1.879 610218551 2860001 206908 9545 66113000572 RATNA SARI AMALIA 15-12-1986 ANALIS KEBIJAKAN PERTAMA LULUS TIDAK LULUS TIDAK LULUS 1.880 611203690 9900003 133015 8519 66112000585 RATNA SUPARNINGSIH 29-09-1990 BIDAN PELAKSANA LULUS TIDAK LULUS TIDAK LULUS 1.881 617101540 1840004 206750 5237 66113000816 RATNA VIVENSIA 14-01-1984 APOTEKER PERTAMA LULUS TIDAK LULUS TIDAK LULUS 1.882 611201681 0830009 148847 4003 66113001583 RATNAWATI 28-10-1983 ANALIS KERJASAMA DAN PERMODALAN ANALIS KEBIJAKAN PERTAMA LULUS LULUS TIDAK LULUS 1.883 610708100 7880001 194057 8852 66112000491 RATNO DEBY 10-07-1988 PERAWAT PELAKSANA LULUS TIDAK LULUS TIDAK LULUS 1.884 617105560 8900007 207706 0900 66113000168 RATRI KURNIAWATI 16-08-1990 GURU MATEMATIKA PERTAMA ANALIS KEBIJAKAN PERTAMA LULUS TIDAK LULUS TIDAK LULUS 1.885 617105630 7840001 155711 3930 66113001914 RATRI WULANDARI 23-07-1984 ANALIS KEBIJAKAN PERTAMA LULUS TIDAK LULUS TIDAK LULUS 1.886 610320190 3880001 176192 5977 66113001287 RAY MUNNUS RIKO 19-03-1988 PENYULUH KOPERASI ANALIS KEBIJAKAN PERTAMA ANALIS KERJASAMA DAN PERMODALAN LULUS LULUS LULUS 1.887 611209430 5890006 203104 4018 66112000731 RAYHANI MEIZATRI 03-05-1989 BIDAN PELAKSANA LULUS TIDAK LULUS TIDAK LULUS 1.888 617105610 2900005 158756 2154 66113001695 REDHA FEBRYANA 21-02-1990 PERENCANA PERTAMA ANALIS ANGGARAN ANALIS KERJASAMA DAN PERMODALAN LULUS LULUS LULUS 1.889 617105061 1840503 150576 5283 66112000302 REDHO YASSIN 06-11-1984 NUTRISIONIS PELAKSANA LULUS TIDAK LULUS TIDAK LULUS 1.890 611201171 0880006 189064 8609 66113001842 REDY CHANDRA OKTAVELANY 17-10-1988 ANALIS LAYANAN UMUM PENGANTAR KERJA PERTAMA PENGAWAS KETENAGAKERJAAN PERTAMA LULUS LULUS LULUS 1.891 617103220 1880002 137500 8766 66113001109 REKI PRAWINATA 22-01-1988 PERANCANG PERUNDANG-UNDANGAN PERTAMA PENGAWAS KETENAGAKERJAAN PERTAMA ANALIS KEBIJAKAN PERTAMA LULUS LULUS LULUS 1.892 617101620 1910002 166260 8464 66113000824 RENDITA ANUGRAH UTAMI 22-01-1991 ANALIS KEBIJAKAN PERTAMA LULUS TIDAK LULUS TIDAK LULUS 1.893 610105201 0920002 150429 5514 66112000227 RENDRA APRISKA 20-10-1992 PENGADMINISTRASI UMUM LULUS TIDAK LULUS TIDAK LULUS 1.894 610715570 8900004 168629 2384 66112000497 RENI KURNIA SARI 17-08-1990 BIDAN PELAKSANA LULUS TIDAK LULUS TIDAK LULUS 1.895 611201460 9910008 195650 2474 66113000311 RENITA 06-09-1991 GURU SEJARAH PERTAMA LULUS TIDAK LULUS TIDAK LULUS 1.896 611201440 9880015 188871 1133 66112000257 RENITA NASUTION 04-09-1988 BIDAN PELAKSANA LULUS TIDAK LULUS TIDAK LULUS
  • 96.
    NO NIK NO REGIST ER NO PESERTA NAMA TANGGAL LAHIR PILIHAN JABATAN 1 NAMA JABATAN 2 NAMA JABATAN 3 STATUS PILIHAN 1 STATUS PILIHAN 2 STATUS PILIHAN 3 1.897 617103431 2890005 214718 2008 66113000695 RENNI IZZATI 03-12-1989 GURU MATEMATIKA PERTAMA LULUS TIDAK LULUS TIDAK LULUS 1.898 617101681 1880004 137475 0167 66113000102 RENNY JAYANTI 28-11-1988 PERENCANA PERTAMA PENYULUH KOPERASI LULUS LULUS TIDAK LULUS 1.899 611201411 1830005 214601 1664 66113001357 RENNY KASTARI 01-11-1983 ANALIS KEBIJAKAN PERTAMA LULUS TIDAK LULUS TIDAK LULUS 1.900 617201651 0870002 187124 0971 66113001096 RENNY RULYANTI 25-10-1987 MEDIATOR HUBUNGAN INDUSTRIAL PERTAMA ANALIS KEBIJAKAN PERTAMA PENGAWAS KETENAGAKERJAAN PERTAMA LULUS LULUS LULUS 1.901 617103490 5860007 124083 2302 66113001712 RENNY SAVITRI 09-05-1986 ANALIS KEBIJAKAN PERTAMA LULUS TIDAK LULUS TIDAK LULUS 1.902 610218180 4870001 174039 4747 66113000888 RERI SUGIARTO 18-04-1987 GURU IPA PERTAMA GURU FISIKA PERTAMA LULUS LULUS TIDAK LULUS 1.903 317505510 5880004 193078 0458 66113000457 RESDITA AGNESIA 11-05-1988 GURU BAHASA INGGRIS PERTAMA SMP GURU BAHASA INGGRIS PERTAMA SMA ANALIS KEBIJAKAN PERTAMA LULUS LULUS TIDAK LULUS 1.904 617103670 3910006 145285 2651 66112000628 RESINTA 27-03-1991 PENGADMINISTRASI UMUM PENYUSUN RISALAH LULUS LULUS TIDAK LULUS 1.905 610417430 8890009 166143 1967 66112000163 RESSY RIA SUHARTIKA 03-08-1989 NUTRISIONIS PELAKSANA LULUS TIDAK LULUS TIDAK LULUS 1.906 611201670 5840013 177836 4915 66113000806 RESTITUTA RIKKA NOVIYANTI 27-05-1984 GURU BAHASA INGGRIS PERTAMA SMP GURU BAHASA INGGRIS PERTAMA SMA ANALIS KEBIJAKAN PERTAMA LULUS LULUS TIDAK LULUS 1.907 617103710 1910005 207749 0931 66112000028 RESTY HERTANTI 31-01-1991 BIDAN PELAKSANA LULUS TIDAK LULUS TIDAK LULUS 1.908 617201470 3880001 214695 9981 66112000623 RETMA SAPTAWATI, AMD. SST 07-03-1988 VERIFIKATOR KEUANGAN LULUS TIDAK LULUS TIDAK LULUS 1.909 617105460 3910010 172642 3108 66113001149 RETMILIANY SUKANTI 06-03-1991 GURU MATEMATIKA PERTAMA LULUS TIDAK LULUS TIDAK LULUS 1.910 617105480 3910016 168000 5516 66112000208 RETNA SABRINA 08-03-1991 NUTRISIONIS PELAKSANA LULUS TIDAK LULUS TIDAK LULUS 1.911 121606540 9870002 129582 0305 66113000113 RETNIKA PASARIBU 14-09-1987 GURU BAHASA INGGRIS PERTAMA SMP LULUS TIDAK LULUS TIDAK LULUS 1.912 611201490 3830014 169677 2638 66113000352 RETNO BUDIASIH 09-03-1983 ANALIS KEBIJAKAN PERTAMA LULUS TIDAK LULUS TIDAK LULUS 1.913 611201630 3840003 187938 3210 66112000651 RETNO PREHATINI 23-03-1984 PENGADMINISTRASI UMUM LULUS TIDAK LULUS TIDAK LULUS 1.914 611207490 4840002 134015 6853 66113001237 RETNO SARI ANGGRAENI 09-04-1984 ANALIS LAYANAN UMUM ANALIS KEBIJAKAN PERTAMA LULUS LULUS TIDAK LULUS 1.915 617105441 1880002 203741 6747 66113001268 RETNO SETIO MANDASARI 05-11-1988 GURU MATEMATIKA PERTAMA LULUS TIDAK LULUS TIDAK LULUS 1.916 617103570 6820007 171858 2026 66112000077 RETNO WAHYUNI 17-06-1982 BIDAN PELAKSANA LULUS TIDAK LULUS TIDAK LULUS
  • 97.
    NO NIK NO REGIST ER NO PESERTA NAMA TANGGAL LAHIR PILIHAN JABATAN 1 NAMA JABATAN 2 NAMA JABATAN 3 STATUS PILIHAN 1 STATUS PILIHAN 2 STATUS PILIHAN 3 1.917 617105710 3890002 123459 4023 66113000880 RETNO WAHYUNI 03-03-1989 GURU MATEMATIKA PERTAMA ANALIS KEBIJAKAN PERTAMA LULUS TIDAK LULUS TIDAK LULUS 1.918 617201500 6900001 184432 6672 66113001405 RETNO WULANDARI 10-06-1990 PERENCANA PERTAMA PENYULUH KOPERASI ANALIS ANGGARAN LULUS LULUS LULUS 1.919 617101540 3860010 187807 1539 66113000939 RETRI HERAYU 14-03-1986 PRANATA HUBUNGAN MASYARAKAT PERTAMA ANALIS KEBIJAKAN PERTAMA LULUS LULUS TIDAK LULUS 1.920 611203590 3930005 208341 6719 66112000081 RETYANA ANTONIA 19-03-1993 PERAWAT PELAKSANA LULUS TIDAK LULUS TIDAK LULUS 1.921 617105290 9890003 129629 4168 66112000706 REYNANDHA WIGUNA 29-09-1989 PENGADMINISTRASI UMUM PENYUSUN RISALAH LULUS LULUS TIDAK LULUS 1.922 611209190 5910004 180632 4518 66112000045 REZA FAKHRURRAZI 19-05-1991 PERAWAT PELAKSANA LULUS TIDAK LULUS TIDAK LULUS 1.923 617103690 9890005 183908 1975 66113001527 REZKIE ZULKARNAIN 29-09-1989 GURU MATEMATIKA PERTAMA ANALIS KEBIJAKAN PERTAMA LULUS TIDAK LULUS TIDAK LULUS 1.924 617202171 1830001 165216 9199 66112000661 REZZI DIANATUR 17-11-1983 PENGADMINISTRASI UMUM LULUS TIDAK LULUS TIDAK LULUS 1.925 610208460 2920001 198885 4032 66112000403 RHADIYA 06-02-1992 BIDAN PELAKSANA LULUS TIDAK LULUS TIDAK LULUS 1.926 611203050 3810002 145661 4574 66113000871 RHINO PURWANTO 05-03-1981 ANALIS KEBIJAKAN PERTAMA LULUS TIDAK LULUS TIDAK LULUS 1.927 610105460 1930002 112721 6966 66112000071 RIA JANUARTI 06-01-1993 NUTRISIONIS PELAKSANA LULUS TIDAK LULUS TIDAK LULUS 1.928 617101580 3900004 187305 5787 66112000631 RIA ANDRIANI 18-03-1990 BIDAN PELAKSANA LULUS TIDAK LULUS TIDAK LULUS 1.929 617103561 0910006 190782 9843 66112000237 RIA ASTUTI 16-10-1991 BIDAN PELAKSANA LULUS TIDAK LULUS TIDAK LULUS 1.930 611201520 8890011 145938 9888 66113001594 RIA DWI ASTUTI 12-08-1989 ANALIS KERJASAMA DAN PERMODALAN ANALIS ANGGARAN PERENCANA PERTAMA LULUS LULUS LULUS 1.931 617101480 7860504 204182 1742 66112000853 RIA FALINA 08-07-1986 PENGADMINISTRASI UMUM PENYUSUN RISALAH LULUS LULUS TIDAK LULUS 1.932 610301410 2910003 124798 7199 66112000175 RIA FEBRIANI 01-02-1991 BIDAN PELAKSANA LULUS TIDAK LULUS TIDAK LULUS 1.933 617201540 2900001 204389 6538 66112000795 RIA FEBRIYANTI 14-02-1990 PENYUSUN RISALAH PENGADMINISTRASI UMUM LULUS LULUS TIDAK LULUS 1.934 611201690 5870001 114577 5874 66113000160 RIA FHITRIATY 29-05-1987 GURU BAHASA INGGRIS PERTAMA SMP GURU BAHASA INGGRIS PERTAMA SMA ANALIS KEBIJAKAN PERTAMA LULUS LULUS TIDAK LULUS 1.935 617103611 0880007 134446 7209 66113000516 RIA MAURINA 21-10-1988 GURU BAHASA INGGRIS PERTAMA SMP LULUS TIDAK LULUS TIDAK LULUS 1.936 611201410 4880015 116414 3814 66113001889 RIA MONICA 01-04-1988 ANALIS KEBIJAKAN PERTAMA SANITARIAN PERTAMA TIDAK LULUS LULUS TIDAK LULUS
  • 98.
    NO NIK NO REGIST ER NO PESERTA NAMA TANGGAL LAHIR PILIHAN JABATAN 1 NAMA JABATAN 2 NAMA JABATAN 3 STATUS PILIHAN 1 STATUS PILIHAN 2 STATUS PILIHAN 3 1.937 611207550 2910004 158424 4089 66113000904 RIA RINARTI 15-02-1991 ANALIS KEBIJAKAN PERTAMA LULUS TIDAK LULUS TIDAK LULUS 1.938 610806591 0850003 208314 5596 66113001564 RIA SARI 12-10-1985 PEKERJA SOSIAL PERTAMA PENYULUH SOSIAL PERTAMA ANALIS KEBIJAKAN PERTAMA LULUS LULUS LULUS 1.939 611201460 5860004 198730 6267 66113000777 RIA SISCA SUSANTI 06-05-1986 PENGAWAS KETENAGAKERJAAN PERTAMA PENGANTAR KERJA PERTAMA ANALIS KEBIJAKAN PERTAMA LULUS LULUS LULUS 1.940 611201600 5810003 129223 3813 66112000333 RIA SUSANTI 20-05-1981 PENGADMINISTRASI UMUM PENYUSUN RISALAH LULUS LULUS TIDAK LULUS 1.941 617103480 2860004 112525 9740 66113000170 RIAN FIBRIANI 08-02-1986 ANALIS KEBIJAKAN PERTAMA LULUS TIDAK LULUS TIDAK LULUS 1.942 610201580 9810001 181003 6504 66112000879 RIANA BR.KARO 18-09-1981 PENGADMINISTRASI UMUM PENYUSUN RISALAH LULUS LULUS TIDAK LULUS 1.943 617105480 3830002 152168 4946 66113000873 RIANTI 08-03-1983 PERENCANA PERTAMA PENYULUH KOPERASI ANALIS KERJASAMA DAN PERMODALAN LULUS LULUS LULUS 1.944 617104030 7840002 178876 1358 66113001253 RIANTO 03-07-1984 GURU MATEMATIKA PERTAMA ANALIS KEBIJAKAN PERTAMA LULUS TIDAK LULUS TIDAK LULUS 1.945 610801170 3880002 157970 7512 66113000176 RICCI TAMSEN 17-03-1988 ANALIS KEBIJAKAN PERTAMA LULUS TIDAK LULUS TIDAK LULUS 1.946 617102230 5860004 152679 9563 66113000635 RICCY RAMDANI 23-05-1986 PENYULUH KOPERASI ANALIS ANGGARAN ANALIS KEBIJAKAN PERTAMA LULUS LULUS LULUS 1.947 610102180 1890002 184386 2225 66113001549 RICKY ASTRIADI 18-01-1989 GURU SEJARAH PERTAMA LULUS TIDAK LULUS TIDAK LULUS 1.948 610102040 9900007 160695 7780 66112000325 RICY PRATAMA 04-09-1990 NUTRISIONIS PELAKSANA LULUS TIDAK LULUS TIDAK LULUS 1.949 617205090 2900001 146425 0392 66112000222 RIDHA HARIS MUNANDAR, A.MD KEP 09-02-1990 PERAWAT PELAKSANA LULUS TIDAK LULUS TIDAK LULUS 1.950 611201280 9830011 119200 0216 66113000305 RIDHO KURNIAWAN 28-09-1983 PENYULUH KOPERASI ANALIS ANGGARAN ANALIS KERJASAMA DAN PERMODALAN LULUS LULUS LULUS 1.951 610303050 5850002 163934 6075 66113001460 RIDUAN RAHMAN 05-05-1985 ANALIS KEBIJAKAN PERTAMA LULUS TIDAK LULUS TIDAK LULUS 1.952 610215220 5910001 125665 7032 66113000326 RIDWANSYAH 22-05-1991 GURU MATEMATIKA PERTAMA ANALIS KEBIJAKAN PERTAMA LULUS TIDAK LULUS TIDAK LULUS 1.953 611201660 3930002 170477 8916 66113000028 RIESKA PRATIWI 26-03-1993 ANALIS KEBIJAKAN PERTAMA ANALIS LAYANAN UMUM LULUS LULUS TIDAK LULUS 1.954 617201500 4810003 150043 4548 66113001724 RIESTAWIDA 10-04-1981 GURU BAHASA INGGRIS PERTAMA SMP ANALIS KEBIJAKAN PERTAMA GURU BAHASA INGGRIS PERTAMA SMA LULUS TIDAK LULUS LULUS 1.955 610207560 3880004 108379 6929 66112000184 RIESTHA MEGA SYARI 16-03-1988 NUTRISIONIS PELAKSANA LULUS TIDAK LULUS TIDAK LULUS 1.956 617102131 2890004 122476 2889 66113000723 RIFQI 13-12-1989 GURU MATEMATIKA PERTAMA LULUS TIDAK LULUS TIDAK LULUS
  • 99.
    NO NIK NO REGIST ER NO PESERTA NAMA TANGGAL LAHIR PILIHAN JABATAN 1 NAMA JABATAN 2 NAMA JABATAN 3 STATUS PILIHAN 1 STATUS PILIHAN 2 STATUS PILIHAN 3 1.957 617101480 1920006 151726 1408 66113000810 RIKA DWI ANGGRAINI 08-01-1992 GURU MATEMATIKA PERTAMA ANALIS KEBIJAKAN PERTAMA LULUS TIDAK LULUS TIDAK LULUS 1.958 617103670 7840013 104331 6838 66113001316 RIKA HAZANITA 27-07-1984 GURU SEJARAH PERTAMA ANALIS KEBIJAKAN PERTAMA LULUS TIDAK LULUS TIDAK LULUS 1.959 611201460 1860009 187663 6321 66113001526 RIKA JANIARSI 06-01-1986 SANITARIAN PERTAMA ANALIS KEBIJAKAN PERTAMA LULUS TIDAK LULUS TIDAK LULUS 1.960 617103510 9820011 186163 2294 66113001014 RIKA LAURINA, SH 11-09-1982 PERANCANG PERUNDANG-UNDANGAN PERTAMA PENGAWAS KETENAGAKERJAAN PERTAMA ANALIS KEBIJAKAN PERTAMA LULUS LULUS LULUS 1.961 610803030 9870006 145036 0170 66113001296 RIKI SUGIARTO 03-09-1987 GURU BIOLOGI PERTAMA GURU IPA PERTAMA ANALIS KEBIJAKAN PERTAMA LULUS LULUS TIDAK LULUS 1.962 617101270 7830007 206276 8361 66113001436 RIKI SUKMAN,S.SOS.I 27-07-1983 ANALIS KEBIJAKAN PERTAMA LULUS TIDAK LULUS TIDAK LULUS 1.963 617103410 6850006 192629 8130 66113000337 RILLIANI MARTA SASNITA 01-06-1985 ANALIS KEBIJAKAN PERTAMA LULUS TIDAK LULUS TIDAK LULUS 1.964 617103440 4850013 171519 8515 66113001893 RIMA APRIYANI 04-04-1985 ANALIS KEBIJAKAN PERTAMA LULUS TIDAK LULUS TIDAK LULUS 1.965 611209650 7870004 171469 7278 66112000468 RINA 25-07-1987 BIDAN PELAKSANA LULUS TIDAK LULUS TIDAK LULUS 1.966 617201700 8880003 175838 3593 66113000394 RINA 30-08-1988 GURU BAHASA INGGRIS PERTAMA SMP GURU BAHASA INGGRIS PERTAMA SMA ANALIS KEBIJAKAN PERTAMA LULUS LULUS TIDAK LULUS 1.967 617103691 1810007 144219 8786 66113001205 RINA KUMALASARI, S.PD 29-11-1981 GURU MATEMATIKA PERTAMA LULUS TIDAK LULUS TIDAK LULUS 1.968 611207430 6910002 192084 2519 66112000640 RINA LESTARI 03-06-1991 PERAWAT PELAKSANA LULUS TIDAK LULUS TIDAK LULUS 1.969 617102550 2890002 193717 5703 66112000272 RINA NOVIANA 15-02-1989 NUTRISIONIS PELAKSANA LULUS TIDAK LULUS TIDAK LULUS 1.970 617102621 0830004 178694 4587 66113000844 RINA SUKARNINGSIH 22-10-1983 GURU MATEMATIKA PERTAMA ANALIS KEBIJAKAN PERTAMA LULUS TIDAK LULUS TIDAK LULUS 1.971 611201640 9880001 116284 0592 66113000915 RINDI DARMANITA, S.PD 24-09-1988 GURU BAHASA INGGRIS PERTAMA SMP GURU BAHASA INGGRIS PERTAMA SMA LULUS LULUS TIDAK LULUS 1.972 611201540 6920006 146771 7584 66112000115 RINI ANGGRAINI 14-06-1992 PENYUSUN RISALAH PENGADMINISTRASI UMUM LULUS LULUS TIDAK LULUS 1.973 617102450 7810006 154419 1845 66113000137 RINI ANGGREINI 05-07-1981 ANALIS KEBIJAKAN PERTAMA LULUS TIDAK LULUS TIDAK LULUS 1.974 617101480 4820005 172153 4880 66112000615 RINI APRIYANTI 08-04-1982 PENGADMINISTRASI UMUM PENYUSUN RISALAH LULUS LULUS TIDAK LULUS 1.975 610810691 1890001 160131 1792 66112000356 RINI HANDINI 29-11-1989 PERAWAT PELAKSANA LULUS TIDAK LULUS TIDAK LULUS 1.976 617103620 4870005 165071 4454 66113000006 RINI KARTINI 22-04-1987 PERANCANG PERUNDANG-UNDANGAN PERTAMA ANALIS KEBIJAKAN PERTAMA PENGAWAS KETENAGAKERJAAN PERTAMA LULUS LULUS LULUS
  • 100.
    NO NIK NO REGIST ER NO PESERTA NAMA TANGGAL LAHIR PILIHAN JABATAN 1 NAMA JABATAN 2 NAMA JABATAN 3 STATUS PILIHAN 1 STATUS PILIHAN 2 STATUS PILIHAN 3 1.977 610807411 1840001 141163 9296 66113001367 RINI NIA NIRI 01-11-1984 PRANATA KOMPUTER PERTAMA ANALIS KEBIJAKAN PERTAMA LULUS LULUS TIDAK LULUS 1.978 617105571 1880005 188783 3813 66113000836 RINI NURINDAHSARI, 17-11-1988 GURU MATEMATIKA PERTAMA LULUS TIDAK LULUS TIDAK LULUS 1.979 617101460 5830010 123959 8528 66112000518 RINI PRIHARYANTI 06-05-1983 PENYUSUN RISALAH LULUS TIDAK LULUS TIDAK LULUS 1.980 617103600 2870006 146103 1431 66113001301 RINI PRIMA ANGGRAINI 20-02-1987 APOTEKER PERTAMA LULUS TIDAK LULUS TIDAK LULUS 1.981 617101500 5890007 174268 4734 66113000161 RINI RISKI 10-05-1989 PENYULUH KOPERASI PERENCANA PERTAMA ANALIS KERJASAMA DAN PERMODALAN LULUS LULUS LULUS 1.982 617105500 8810014 194150 3451 66112000703 RINI SUJANA 10-08-1981 PENGADMINISTRASI UMUM PENYUSUN RISALAH LULUS LULUS TIDAK LULUS 1.983 611209590 2800003 193060 5782 66113001282 RINI SULASTRI,SE 19-02-1980 ANALIS KEBIJAKAN PERTAMA LULUS TIDAK LULUS TIDAK LULUS 1.984 611209670 7810002 179621 9177 66113001568 RINI SUMARYANTI 27-07-1981 ANALIS KEBIJAKAN PERTAMA PERENCANA PERTAMA ANALIS ANGGARAN LULUS LULUS LULUS 1.985 610310490 7800002 181087 7750 66113001345 RINI SUMIATI 09-07-1980 ANALIS KEBIJAKAN PERTAMA LULUS TIDAK LULUS TIDAK LULUS 1.986 617101610 1870015 158563 5000 66113001373 RINI SURTILANI 21-01-1987 PEKERJA SOSIAL PERTAMA ANALIS KEBIJAKAN PERTAMA PENYULUH SOSIAL PERTAMA LULUS LULUS LULUS 1.987 611207661 0920002 151613 2640 66112000532 RINI UMI URMILLA 26-10-1992 VERIFIKATOR KEUANGAN LULUS TIDAK LULUS TIDAK LULUS 1.988 611209620 1920008 179883 7437 66113001726 RINIDA MARLIYANI 22-01-1992 GURU SEJARAH PERTAMA ANALIS KEBIJAKAN PERTAMA LULUS TIDAK LULUS TIDAK LULUS 1.989 611201210 4920008 121447 6083 66112000154 RINTO 21-04-1992 PERAWAT PELAKSANA LULUS TIDAK LULUS TIDAK LULUS 1.990 610207060 2800001 193427 9824 66113000255 RINTO.S.HI 06-02-1980 ANALIS KEBIJAKAN PERTAMA LULUS TIDAK LULUS TIDAK LULUS 1.991 610112040 7910005 206332 6873 66112000863 RIO 04-07-1991 PERAWAT PELAKSANA LULUS TIDAK LULUS TIDAK LULUS 1.992 617101041 1830012 130001 0674 66113001609 RIO EKSAKTO, SP 04-11-1983 ANALIS KEBIJAKAN PERTAMA LULUS TIDAK LULUS TIDAK LULUS 1.993 127107091 0890001 169988 9718 66113001433 RIO JANNER SINULINGGA 09-10-1989 DOKTER PERTAMA LULUS TIDAK LULUS TIDAK LULUS 1.994 611201210 1870008 118343 3790 66113001036 RIO KURNIADI 21-01-1987 ANALIS KEBIJAKAN PERTAMA LULUS TIDAK LULUS TIDAK LULUS 1.995 617105271 2900001 170708 6268 66113001710 RIO KURNIAWAN 27-12-1990 PRANATA KOMPUTER PERTAMA ANALIS KEBIJAKAN PERTAMA LULUS TIDAK LULUS TIDAK LULUS 1.996 617101290 5860003 155353 2517 66112000567 RIO NIZAR 29-05-1986 PENGADMINISTRASI UMUM PENYUSUN RISALAH LULUS LULUS TIDAK LULUS
  • 101.
    NO NIK NO REGIST ER NO PESERTA NAMA TANGGAL LAHIR PILIHAN JABATAN 1 NAMA JABATAN 2 NAMA JABATAN 3 STATUS PILIHAN 1 STATUS PILIHAN 2 STATUS PILIHAN 3 1.997 617101021 2810010 166909 1412 66113001803 RIO SULISTIONO 02-12-1981 ANALIS KEBIJAKAN PERTAMA PENATA RUANG PERTAMA SURVEYOR PEMETAAN PERTAMA LULUS LULUS LULUS 1.998 611201090 8890009 192743 9842 66113000228 RIONALDI AGUNG PRASMOYO 09-08-1989 TEKNIK PENYEHATAN LINGKUNGAN PERTAMA PENGAWAS LINGKUNGAN HIDUP PERTAMA PENGENDALI DAMPAK LINGKUNGAN PERTAMA LULUS LULUS LULUS 1.999 617103700 5890010 169122 3838 66112000337 RIRIN ANTIKA 30-05-1989 VERIFIKATOR KEUANGAN LULUS TIDAK LULUS TIDAK LULUS 2.000 617201450 4870004 163638 6212 66113000656 RIRIN APRIANI 05-04-1987 ANALIS KEBIJAKAN PERTAMA LULUS TIDAK LULUS TIDAK LULUS 2.001 610806570 2900003 175101 4287 66113000426 RIRIN SUSANTI 17-02-1990 GURU SEJARAH PERTAMA ANALIS KEBIJAKAN PERTAMA LULUS TIDAK LULUS TIDAK LULUS 2.002 617102420 9850008 162578 8322 66113000498 RIRIN WAHYUNINGSIH 02-09-1985 SANITARIAN PERTAMA LULUS TIDAK LULUS TIDAK LULUS 2.003 610108641 0910002 111570 3235 66112000346 RISA ARISANDY 24-10-1991 BIDAN PELAKSANA LULUS TIDAK LULUS TIDAK LULUS 2.004 617105590 8820011 168221 3840 66113000755 RISA ERLINA 19-08-1982 ANALIS ANGGARAN ANALIS KEBIJAKAN PERTAMA PENYULUH KOPERASI LULUS LULUS LULUS 2.005 611201630 5840012 143550 0525 66113000607 RISA GESARA 23-05-1984 PERENCANA PERTAMA ANALIS ANGGARAN ANALIS KEBIJAKAN PERTAMA LULUS LULUS LULUS 2.006 611206150 1910003 102261 1706 66112000428 RISA KARTIKO 15-01-1991 PERAWAT PELAKSANA LULUS TIDAK LULUS TIDAK LULUS 2.007 617106630 8880001 166827 1283 66113000492 RISA MAHDIYANI 23-08-1988 MEDIATOR HUBUNGAN INDUSTRIAL PERTAMA LULUS TIDAK LULUS TIDAK LULUS 2.008 351912460 1900001 133944 0468 66113000321 RISCA SUKMAWATI 06-01-1990 GURU MATEMATIKA PERTAMA ANALIS KEBIJAKAN PERTAMA LULUS TIDAK LULUS TIDAK LULUS 2.009 327508491 0810013 101601 1723 66113000993 RISKA ALFAYANI, SH 09-10-1981 ANALIS KEBIJAKAN PERTAMA ANALIS LAYANAN UMUM PENGAWAS KETENAGAKERJAAN PERTAMA LULUS LULUS LULUS 2.010 610103710 3930002 136353 7201 66112000544 RISKA CLAUDIA 31-03-1993 BIDAN PELAKSANA LULUS TIDAK LULUS TIDAK LULUS 2.011 611201631 0890005 176304 9671 66113000302 RISKA MAULUDIANA 23-10-1989 PENGAWAS LINGKUNGAN HIDUP PERTAMA PENGENDALI DAMPAK LINGKUNGAN PERTAMA TEKNIK PENYEHATAN LINGKUNGAN PERTAMA LULUS LULUS LULUS 2.012 617103580 3880001 144057 5930 66113000279 RISKA MUTHIA, SH 18-03-1988 ANALIS KEBIJAKAN PERTAMA PENGAWAS KETENAGAKERJAAN PERTAMA ANALIS LAYANAN UMUM LULUS LULUS LULUS 2.013 617101590 3910006 201278 9624 66112000820 RISKA RAMADHANI LUBIS 19-03-1991 PENGADMINISTRASI UMUM PENYUSUN RISALAH LULUS LULUS TIDAK LULUS 2.014 611201591 0870001 129989 2164 66113001805 RISKY OKTAVIANTI 19-10-1987 ANALIS KEBIJAKAN PERTAMA LULUS TIDAK LULUS TIDAK LULUS 2.015 610416491 0920003 152774 5108 66112000456 RISMA ARYANI 09-10-1992 PENYUSUN RISALAH PENGADMINISTRASI UMUM LULUS LULUS TIDAK LULUS 2.016 611201560 9820002 161006 8329 66112000755 RISMAHITA DAMANIK 16-09-1982 PERAWAT PELAKSANA LULUS TIDAK LULUS TIDAK LULUS
  • 102.
    NO NIK NO REGIST ER NO PESERTA NAMA TANGGAL LAHIR PILIHAN JABATAN 1 NAMA JABATAN 2 NAMA JABATAN 3 STATUS PILIHAN 1 STATUS PILIHAN 2 STATUS PILIHAN 3 2.017 611209640 4810008 191667 7867 66112000395 RISMAULI HUTASOIT 24-04-1981 PERAWAT PELAKSANA LULUS TIDAK LULUS TIDAK LULUS 2.018 611201410 2890010 144552 5232 66113001001 RISNA DARMANTA 01-02-1989 ANALIS KEBIJAKAN PERTAMA PEKERJA SOSIAL PERTAMA PENYULUH SOSIAL PERTAMA LULUS TIDAK LULUS TIDAK LULUS 2.019 610801240 4870003 124854 9471 66113001685 RISNO 24-04-1987 PENATA RUANG PERTAMA SURVEYOR PEMETAAN PERTAMA ANALIS KEBIJAKAN PERTAMA LULUS LULUS LULUS 2.020 617103530 9860009 187191 5534 66113000186 RISSA MAYASARI 13-09-1986 GURU MATEMATIKA PERTAMA ANALIS KEBIJAKAN PERTAMA LULUS TIDAK LULUS TIDAK LULUS 2.021 617104421 2910014 188800 0732 66113000297 RISTIWATI EKA SARI 02-12-1991 GURU GEOGRAFI PERTAMA ANALIS KEBIJAKAN PERTAMA LULUS TIDAK LULUS TIDAK LULUS 2.022 611201530 8810005 178509 1132 66112000771 RITA GUSFITA 13-08-1981 PENYUSUN RISALAH PENGADMINISTRASI UMUM LULUS LULUS TIDAK LULUS 2.023 617102640 1900005 155199 8106 66112000101 RITA JAYANTI 24-01-1990 PENGADMINISTRASI UMUM PENYUSUN RISALAH LULUS LULUS TIDAK LULUS 2.024 617101410 9860503 117962 1713 66113001284 RITA LISAWATI 01-09-1986 PENYULUH SOSIAL PERTAMA PEKERJA SOSIAL PERTAMA ANALIS KEBIJAKAN PERTAMA LULUS LULUS LULUS 2.025 617105520 8830001 121538 0461 66113000654 RITA NOVITA 12-08-1983 ANALIS KEBIJAKAN PERTAMA LULUS TIDAK LULUS TIDAK LULUS 2.026 610215410 9850001 206028 7205 66113001252 RITA ZAHARA 01-09-1985 GURU FISIKA PERTAMA GURU IPA PERTAMA ANALIS KEBIJAKAN PERTAMA LULUS LULUS TIDAK LULUS 2.027 617105480 4840011 164236 0685 66113001636 RITA ZAHARA 08-04-1984 PERENCANA PERTAMA LULUS TIDAK LULUS TIDAK LULUS 2.028 617201540 9830005 136622 6544 66112000600 RITAWATI SINAMBELA 14-09-1983 PENGADMINISTRASI UMUM PENYUSUN RISALAH LULUS LULUS TIDAK LULUS 2.029 611208200 6910003 114302 7651 66112000308 RIYAN RESTU RINALDI 20-06-1991 PERAWAT PELAKSANA LULUS TIDAK LULUS TIDAK LULUS 2.030 617105431 2860008 196647 2490 66113000007 RIYANTI NURDIANA 03-12-1986 GURU MATEMATIKA PERTAMA LULUS LULUS LULUS 2.031 610501040 5900006 147068 0222 66112000465 RIYO SAPUTRA 04-05-1990 PERAWAT PELAKSANA LULUS TIDAK LULUS TIDAK LULUS 2.032 330404100 2880003 126868 0010 66113000025 RIZAL ALQODRI 10-02-1988 SURVEYOR PEMETAAN PERTAMA ANALIS KEBIJAKAN PERTAMA LULUS LULUS TIDAK LULUS 2.033 611201480 2910011 131918 2311 66113000941 RIZCA MAYASARI 08-02-1991 ANALIS ANGGARAN PERENCANA PERTAMA ANALIS KERJASAMA DAN PERMODALAN LULUS LULUS LULUS 2.034 617104090 4880014 110216 8889 66113001700 RIZKA WINATA 09-04-1988 GURU BIOLOGI PERTAMA ANALIS KEBIJAKAN PERTAMA GURU IPA PERTAMA LULUS TIDAK LULUS LULUS 2.035 610807150 5900003 116202 2767 66113000193 RIZKI AGUNG 15-05-1990 GURU IPA PERTAMA GURU FISIKA PERTAMA ANALIS KEBIJAKAN PERTAMA LULUS LULUS TIDAK LULUS 2.036 611201681 1890001 194969 1724 66113001146 RIZKI AMALIA 28-11-1989 ANALIS KEBIJAKAN PERTAMA LULUS TIDAK LULUS TIDAK LULUS
  • 103.
    NO NIK NO REGIST ER NO PESERTA NAMA TANGGAL LAHIR PILIHAN JABATAN 1 NAMA JABATAN 2 NAMA JABATAN 3 STATUS PILIHAN 1 STATUS PILIHAN 2 STATUS PILIHAN 3 2.037 617201530 5920002 190131 7397 66112000243 RIZKI EKA SAFITRI 13-05-1992 BIDAN PELAKSANA LULUS TIDAK LULUS TIDAK LULUS 2.038 617101030 8840009 124295 0631 66113001708 RIZKI HANAFI LUBIS, SE 03-08-1984 PENYULUH KOPERASI ANALIS KERJASAMA DAN PERMODALAN ANALIS KEBIJAKAN PERTAMA LULUS LULUS LULUS 2.039 617103660 4860003 199031 2653 66112000601 RIZKY AMELIA.A.MD 24-04-1986 PENGADMINISTRASI UMUM PENYUSUN RISALAH LULUS LULUS TIDAK LULUS 2.040 610601480 8900001 178374 3943 66113000449 RIZKY EMILIA 08-08-1990 GURU FISIKA PERTAMA GURU IPA PERTAMA LULUS LULUS TIDAK LULUS 2.041 617102040 6900001 205627 3890 66113000410 RIZKY JUNIARDA 04-06-1990 GURU MATEMATIKA PERTAMA LULUS TIDAK LULUS TIDAK LULUS 2.042 611201640 6920003 208545 3734 66113000089 RIZKY KURNIAWATI 24-06-1992 GURU IPA PERTAMA ANALIS KEBIJAKAN PERTAMA GURU FISIKA PERTAMA LULUS TIDAK LULUS LULUS 2.043 611201270 8910007 202297 1239 66113001141 RIZKY PRABOWO RAHINO 27-08-1991 ANALIS KERJASAMA DAN PERMODALAN PENYULUH KOPERASI ANALIS ANGGARAN LULUS LULUS LULUS 2.044 611201650 6920003 116203 5505 66113000136 RIZKY SRI HAJJAR YUNEA 25-06-1992 GURU SOSIOLOGI PERTAMA ANALIS KEBIJAKAN PERTAMA LULUS TIDAK LULUS TIDAK LULUS 2.045 617101630 1880003 154677 5704 66113001622 RIZTA WAHYUNINGSIH 23-01-1988 ANALIS KEBIJAKAN PERTAMA LULUS TIDAK LULUS TIDAK LULUS 2.046 617103120 7840014 144009 4513 66113000615 RIZZALDI 01-07-1984 ANALIS KEBIJAKAN PERTAMA LULUS TIDAK LULUS TIDAK LULUS 2.047 611209080 4870004 174239 1156 66112000685 RO'IL 08-04-1987 PENGADMINISTRASI UMUM LULUS TIDAK LULUS TIDAK LULUS 2.048 611201190 1810005 111567 1114 66112000294 ROBERT SYARIFUDDIN KOLLMAN 19-01-1981 VERIFIKATOR KEUANGAN LULUS TIDAK LULUS TIDAK LULUS 2.049 610105170 2880006 194927 6959 66112000107 ROBI WAHYUDI 17-02-1988 PENGADMINISTRASI UMUM PENYUSUN RISALAH LULUS LULUS TIDAK LULUS 2.050 617201200 3850001 138347 3452 66113000094 ROBI, S. SOS. I 20-03-1985 ANALIS KEBIJAKAN PERTAMA LULUS TIDAK LULUS TIDAK LULUS 2.051 617101310 1910004 134595 5380 66113001688 ROBIE ASTA 31-01-1991 SURVEYOR PEMETAAN PERTAMA PENATA RUANG PERTAMA LULUS LULUS TIDAK LULUS 2.052 617105121 2790012 210498 1815 66113001798 ROBYANSYAH, SE 12-12-1979 PENYULUH KOPERASI ANALIS KERJASAMA DAN PERMODALAN ANALIS ANGGARAN LULUS LULUS LULUS 2.053 611207540 4930003 159276 0733 66112000471 ROCHIMAH 13-04-1993 PERAWAT PELAKSANA LULUS TIDAK LULUS TIDAK LULUS 2.054 611203480 5820002 186253 9219 66113001737 ROHANIYAH 08-05-1982 ANALIS KEBIJAKAN PERTAMA LULUS TIDAK LULUS TIDAK LULUS 2.055 611208540 2900002 185668 7065 66112000761 ROHILAH 14-08-1990 PERAWAT PELAKSANA LULUS TIDAK LULUS TIDAK LULUS 2.056 617104211 2860002 191091 0664 66112000360 ROHMA JAYA PURBA 21-12-1986 NUTRISIONIS PELAKSANA LULUS TIDAK LULUS TIDAK LULUS
  • 104.
    NO NIK NO REGIST ER NO PESERTA NAMA TANGGAL LAHIR PILIHAN JABATAN 1 NAMA JABATAN 2 NAMA JABATAN 3 STATUS PILIHAN 1 STATUS PILIHAN 2 STATUS PILIHAN 3 2.057 611207650 3890001 197765 0009 66113000400 ROHMAIDATIN 25-03-1989 GURU MATEMATIKA PERTAMA LULUS TIDAK LULUS TIDAK LULUS 2.058 611203530 7900002 170097 1005 66113001358 ROHMATUL WASIAH 13-07-1990 ANALIS KEBIJAKAN PERTAMA LULUS TIDAK LULUS TIDAK LULUS 2.059 611202490 4860003 173862 5452 66113000316 ROKIBATUYYANAH 09-04-1986 GURU MATEMATIKA PERTAMA ANALIS KEBIJAKAN PERTAMA LULUS TIDAK LULUS TIDAK LULUS 2.060 611201030 8820003 119470 0011 66113001190 ROMI ZUANTO 03-08-1982 TEKNIK TATA BANGUNAN DAN PERUMAHAN PERTAMA LULUS TIDAK LULUS TIDAK LULUS 2.061 617105501 2850012 180427 4706 66113000913 RONA DESI ARISANDI S,SI 10-12-1985 ANALIS KEBIJAKAN PERTAMA LULUS TIDAK LULUS TIDAK LULUS 2.062 210306111 1920001 168558 6933 66112000033 RONI FASLAH 11-11-1992 PERAWAT PELAKSANA LULUS TIDAK LULUS TIDAK LULUS 2.063 617103110 4860003 162774 5577 66113001602 RONNY ARI INDRAWAN 11-04-1986 PRANATA KOMPUTER PERTAMA ANALIS KEBIJAKAN PERTAMA LULUS LULUS TIDAK LULUS 2.064 611202571 0900001 200928 3061 66112000217 RORIANA 17-10-1990 BIDAN PELAKSANA LULUS TIDAK LULUS TIDAK LULUS 2.065 617102650 3900003 214578 6188 66113000661 ROSA JENIRIA 25-03-1990 GURU SEJARAH PERTAMA ANALIS KEBIJAKAN PERTAMA LULUS TIDAK LULUS TIDAK LULUS 2.066 317505601 1800008 158074 5086 66113001524 ROSALINA HARAHAP 20-11-1980 ANALIS KEBIJAKAN PERTAMA GURU IPA PERTAMA GURU FISIKA PERTAMA TIDAK LULUS LULUS LULUS 2.067 617101680 5880006 144408 2235 66113001479 ROSALINA SITINJAK 28-05-1988 GURU BAHASA INGGRIS PERTAMA SMA GURU BAHASA INGGRIS PERTAMA SMP LULUS LULUS TIDAK LULUS 2.068 610702640 4820004 133613 1104 66112000632 ROSALINA TITIN 24-04-1982 PENGADMINISTRASI UMUM LULUS TIDAK LULUS TIDAK LULUS 2.069 611201581 0850004 200956 3434 66112000512 ROSE OCTA LINA 18-10-1985 NUTRISIONIS PELAKSANA LULUS TIDAK LULUS TIDAK LULUS 2.070 617101460 9820012 191514 8205 66112000834 ROSI PURWANTI 06-09-1982 NUTRISIONIS PELAKSANA LULUS TIDAK LULUS TIDAK LULUS 2.071 610207511 0900002 179762 1497 66113001588 ROSIDAH 11-10-1990 ANALIS KEBIJAKAN PERTAMA LULUS TIDAK LULUS TIDAK LULUS 2.072 610201140 4850008 112433 1747 66113001273 ROSIHAN SYITRABUDI 14-04-1985 GURU SEJARAH PERTAMA LULUS TIDAK LULUS TIDAK LULUS 2.073 110712541 0810002 201457 4697 66112000779 ROSINTA SIBURIAN 14-10-1981 PENGADMINISTRASI UMUM PENYUSUN RISALAH LULUS LULUS TIDAK LULUS 2.074 617103660 2890011 207055 4349 66113000422 ROSITA 26-02-1989 GURU BAHASA INGGRIS PERTAMA SMP GURU BAHASA INGGRIS PERTAMA SMA LULUS LULUS TIDAK LULUS 2.075 617103670 6870003 194176 1736 66113001006 ROSITA 27-06-1987 ANALIS KEBIJAKAN PERTAMA LULUS TIDAK LULUS TIDAK LULUS 2.076 617101490 6850509 136081 7126 66113001846 ROSITA JUNIDA 09-06-1985 ANALIS KEBIJAKAN PERTAMA LULUS TIDAK LULUS TIDAK LULUS
  • 105.
    NO NIK NO REGIST ER NO PESERTA NAMA TANGGAL LAHIR PILIHAN JABATAN 1 NAMA JABATAN 2 NAMA JABATAN 3 STATUS PILIHAN 1 STATUS PILIHAN 2 STATUS PILIHAN 3 2.077 611207600 8870002 168963 2097 66113001672 ROSITASARI 20-08-1987 GURU MATEMATIKA PERTAMA LULUS TIDAK LULUS TIDAK LULUS 2.078 611209630 6900003 184278 9609 66113000852 ROSLINA 23-06-1990 GURU SEJARAH PERTAMA LULUS TIDAK LULUS TIDAK LULUS 2.079 610501670 3920001 193796 5060 66113000687 ROSMASARI SI RINGO RINGO 27-03-1992 PENGENDALI DAMPAK LINGKUNGAN PERTAMA PENGAWAS LINGKUNGAN HIDUP PERTAMA TEKNIK PENYEHATAN LINGKUNGAN PERTAMA LULUS LULUS LULUS 2.080 617106440 9840001 178833 4789 66112000743 ROSMEDIA AYUB SEMARA SIMAIBANG 04-09-1984 VERIFIKATOR KEUANGAN LULUS TIDAK LULUS TIDAK LULUS 2.081 611002411 2870001 137501 0993 66112000248 ROSMITA 01-12-1987 PERAWAT PELAKSANA LULUS TIDAK LULUS TIDAK LULUS 2.082 610105270 8880003 131533 5435 66113001801 ROSYANDI ZULFIKAR 27-08-1988 PRANATA KOMPUTER PERTAMA ANALIS KEBIJAKAN PERTAMA LULUS LULUS TIDAK LULUS 2.083 617201651 0830003 100546 9825 66113000142 ROTUA BR TAMBUNAN S.PD.ING 25-10-1983 GURU BAHASA INGGRIS PERTAMA SMA LULUS TIDAK LULUS TIDAK LULUS 2.084 617201020 9860001 145623 7814 66113000955 ROVI PERANTISA, ST 02-09-1986 TEKNIK TATA BANGUNAN DAN PERUMAHAN PERTAMA LULUS TIDAK LULUS TIDAK LULUS 2.085 617105231 2870003 118534 2895 66113001828 ROY FREDDY SIHOMBING 23-12-1987 ANALIS KEBIJAKAN PERTAMA LULUS TIDAK LULUS TIDAK LULUS 2.086 611202640 7910001 141132 8742 66113000442 ROZENILIA 24-07-1991 GURU MATEMATIKA PERTAMA ANALIS KEBIJAKAN PERTAMA LULUS TIDAK LULUS TIDAK LULUS 2.087 611206101 1910001 170658 7564 66113000155 RUBANGI 10-11-1991 GURU SEJARAH PERTAMA ANALIS KEBIJAKAN PERTAMA LULUS TIDAK LULUS TIDAK LULUS 2.088 610807150 2880004 181355 2154 66112000091 RUDI 01-01-1990 PENYUSUN RISALAH PENGADMINISTRASI UMUM LULUS LULUS TIDAK LULUS 2.089 610113081 0890002 152527 0550 66113000882 RUDI 08-10-1989 GURU MATEMATIKA PERTAMA ANALIS KEBIJAKAN PERTAMA LULUS TIDAK LULUS TIDAK LULUS 2.090 617104190 5890006 189592 8394 66112000148 RUDI TEGUH PRAYITNO 19-05-1989 VERIFIKATOR KEUANGAN LULUS TIDAK LULUS TIDAK LULUS 2.091 617103260 2890016 150209 7055 66113000360 RULLY FEBRIAN 26-02-1989 PERANCANG PERUNDANG-UNDANGAN PERTAMA PENGAWAS KETENAGAKERJAAN PERTAMA ANALIS LAYANAN UMUM LULUS LULUS LULUS 2.092 610208040 8850003 168832 6494 66112000830 RULLY PENALEMEN TARIGAN 04-08-1985 PENGADMINISTRASI UMUM LULUS TIDAK LULUS TIDAK LULUS 2.093 611205520 7880002 187906 9619 66112000725 RUMIAWATI 12-07-1988 PERAWAT PELAKSANA LULUS TIDAK LULUS TIDAK LULUS 2.094 617105540 5850005 194006 7875 66113001145 RUMLAH MUDIAWATI 14-05-1985 GURU MATEMATIKA PERTAMA LULUS TIDAK LULUS TIDAK LULUS 2.095 611203530 5890001 128851 1805 66113000554 RUPI'AH 13-05-1989 GURU GEOGRAFI PERTAMA LULUS TIDAK LULUS TIDAK LULUS 2.096 611205240 5890001 181638 8743 66113000035 RUSDIANTO 24-05-1989 GURU MATEMATIKA PERTAMA ANALIS KEBIJAKAN PERTAMA LULUS TIDAK LULUS TIDAK LULUS
  • 106.
    NO NIK NO REGIST ER NO PESERTA NAMA TANGGAL LAHIR PILIHAN JABATAN 1 NAMA JABATAN 2 NAMA JABATAN 3 STATUS PILIHAN 1 STATUS PILIHAN 2 STATUS PILIHAN 3 2.097 617201120 3840007 133234 8186 66113000123 RUSDIMIN 12-03-1984 SURVEYOR PEMETAAN PERTAMA PENATA RUANG PERTAMA ANALIS KEBIJAKAN PERTAMA LULUS LULUS LULUS 2.098 610412490 6890006 208629 8291 66113001193 RUSLIA 09-06-1989 GURU SEJARAH PERTAMA ANALIS KEBIJAKAN PERTAMA LULUS TIDAK LULUS TIDAK LULUS 2.099 611209680 5910002 128491 2306 66112000707 RUSNAWATI 28-05-1991 PENYUSUN RISALAH PENGADMINISTRASI UMUM LULUS LULUS TIDAK LULUS 2.100 610112511 1890001 137398 0906 66113001431 RUSZMINA 11-11-1989 PEKERJA SOSIAL PERTAMA PENYULUH SOSIAL PERTAMA ANALIS KEBIJAKAN PERTAMA LULUS LULUS LULUS 2.101 617201220 5890002 169222 4759 66113001898 RYAN FERDI IRAWAN 22-05-1989 PRANATA KOMPUTER PERTAMA ANALIS KEBIJAKAN PERTAMA LULUS LULUS TIDAK LULUS 2.102 617102230 8900006 169932 6310 66113001165 RYAN ISKANDAR 23-08-1990 ANALIS KEBIJAKAN PERTAMA LULUS TIDAK LULUS TIDAK LULUS 2.103 611201160 6890004 149076 2603 66113000348 RYO YUDHA PRADITA 16-06-1989 TEKNIK TATA BANGUNAN DAN PERUMAHAN PERTAMA ANALIS KEBIJAKAN PERTAMA LULUS LULUS TIDAK LULUS 2.104 617101490 9910006 205849 1616 66112000258 RYSDA RESTYANINGRUM 09-09-1991 PENGADMINISTRASI UMUM PENYUSUN RISALAH LULUS LULUS TIDAK LULUS 2.105 617101560 1920007 154922 0248 66112000397 RYZKA ANANDA PUTRI 16-01-1992 BIDAN PELAKSANA LULUS TIDAK LULUS TIDAK LULUS 2.106 610217501 0900001 199316 5229 66113000981 S. SRI RAHAYU 10-10-1990 PENGAWAS LINGKUNGAN HIDUP PERTAMA ANALIS KEBIJAKAN PERTAMA PENGENDALI DAMPAK LINGKUNGAN PERTAMA LULUS LULUS LULUS 2.107 617103611 1850502 140289 0292 66113000301 SAADATUL AINI 21-11-1985 GURU MATEMATIKA PERTAMA LULUS TIDAK LULUS TIDAK LULUS 2.108 611203590 9840005 131535 5449 66112000426 SABANIAH,A.MD.KEP 19-09-1984 PERAWAT PELAKSANA LULUS TIDAK LULUS TIDAK LULUS 2.109 611201450 3830014 178210 2839 66113000034 SABARIAH 05-03-1983 ANALIS KEBIJAKAN PERTAMA LULUS TIDAK LULUS TIDAK LULUS 2.110 617103120 6820008 180224 6802 66113000748 SABARUDIN 12-06-1982 PENATA RUANG PERTAMA SURVEYOR PEMETAAN PERTAMA ANALIS KEBIJAKAN PERTAMA LULUS LULUS LULUS 2.111 617106420 1880003 205486 3507 66113001523 SABRINA FAJAR YANTI LINGGA 02-01-1988 GURU BAHASA INGGRIS PERTAMA SMP LULUS TIDAK LULUS TIDAK LULUS 2.112 611205250 9870001 151217 2081 66113001543 SAEFULHAQ 25-09-1987 GURU MATEMATIKA PERTAMA ANALIS KEBIJAKAN PERTAMA LULUS TIDAK LULUS TIDAK LULUS 2.113 610207021 0850001 149293 8653 66113001155 SAFARIANSYAH 02-10-1985 ANALIS KEBIJAKAN PERTAMA LULUS TIDAK LULUS TIDAK LULUS 2.114 610201010 1880017 167297 7899 66113000550 SAIPUL ANWAR 01-01-1988 GURU MATEMATIKA PERTAMA LULUS TIDAK LULUS TIDAK LULUS 2.115 611205280 2900002 206490 8291 66112000185 SALIHIN 28-02-1990 PERAWAT PELAKSANA LULUS TIDAK LULUS TIDAK LULUS 2.116 617106031 1860005 148609 8187 66113000682 SALIM,S.PD 03-11-1986 GURU IPA PERTAMA LULUS TIDAK LULUS TIDAK LULUS
  • 107.
    NO NIK NO REGIST ER NO PESERTA NAMA TANGGAL LAHIR PILIHAN JABATAN 1 NAMA JABATAN 2 NAMA JABATAN 3 STATUS PILIHAN 1 STATUS PILIHAN 2 STATUS PILIHAN 3 2.117 617105420 4820011 187324 0813 66113000709 SALMAH 02-04-1982 GURU BAHASA INGGRIS PERTAMA SMP LULUS TIDAK LULUS TIDAK LULUS 2.118 611209500 9870004 145916 2208 66113001486 SALMAH 10-09-1987 GURU MATEMATIKA PERTAMA ANALIS KEBIJAKAN PERTAMA LULUS TIDAK LULUS TIDAK LULUS 2.119 611209530 5820002 210040 8755 66113001856 SALMAH 13-05-1982 PEKERJA SOSIAL PERTAMA PENYULUH SOSIAL PERTAMA ANALIS KEBIJAKAN PERTAMA LULUS LULUS LULUS 2.120 611203040 2870004 207074 5833 66113001533 SALMAN 04-02-1987 GURU MATEMATIKA PERTAMA ANALIS KEBIJAKAN PERTAMA LULUS TIDAK LULUS TIDAK LULUS 2.121 611203440 7860003 156112 5830 66113001785 SAMUNA AMINI 04-07-1986 ANALIS KEBIJAKAN PERTAMA LULUS TIDAK LULUS TIDAK LULUS 2.122 611203190 7880002 201269 8742 66113001556 SANDI AL-FATIH 19-07-1988 GURU MATEMATIKA PERTAMA ANALIS KEBIJAKAN PERTAMA LULUS TIDAK LULUS TIDAK LULUS 2.123 611209410 4870006 160610 9550 66113000704 SANTI NORMALASARI 01-04-1987 GURU MATEMATIKA PERTAMA ANALIS KEBIJAKAN PERTAMA LULUS TIDAK LULUS TIDAK LULUS 2.124 120204471 1920003 132081 5550 66112000158 SANTI NOVA SAMOSIR 07-11-1992 BIDAN PELAKSANA LULUS TIDAK LULUS TIDAK LULUS 2.125 617104480 9870008 181052 8507 66113001098 SANTI PURNAMA SIMANJUNTAK 08-09-1987 PENYULUH KOPERASI PERENCANA PERTAMA ANALIS ANGGARAN LULUS LULUS LULUS 2.126 611201510 4860008 195058 8097 66112000475 SANTI SOFIANA 11-04-1986 BIDAN PELAKSANA LULUS TIDAK LULUS TIDAK LULUS 2.127 617103640 9900006 154367 4410 66112000781 SANTI WIDASARI 24-09-1990 PENGADMINISTRASI UMUM PENYUSUN RISALAH LULUS LULUS TIDAK LULUS 2.128 610901490 9820006 177561 5623 66113001348 SANTI YULIUS YOLANDA 09-09-1982 PERENCANA PERTAMA ANALIS ANGGARAN ANALIS KEBIJAKAN PERTAMA LULUS LULUS LULUS 2.129 617103580 9800009 209446 1066 66113000773 SANTIANA AMRAINI,S.KOM 18-09-1980 PRANATA KOMPUTER PERTAMA LULUS TIDAK LULUS TIDAK LULUS 2.130 617105100 4830010 131735 6688 66113000549 SANTO YAKOBUS 10-04-1983 GURU BAHASA INDONESIA PERTAMA ANALIS KEBIJAKAN PERTAMA LULUS TIDAK LULUS TIDAK LULUS 2.131 617102510 2900007 194990 0514 66112000340 SANTRI UTAMI 11-02-1990 PENGADMINISTRASI UMUM PENYUSUN RISALAH LULUS LULUS TIDAK LULUS 2.132 617102460 6880007 147513 0941 66113000521 SANTY WIDYA PRATIWI 06-06-1988 GURU BAHASA INGGRIS PERTAMA SMP LULUS TIDAK LULUS TIDAK LULUS 2.133 611205460 6880003 212460 2293 66112000606 SAPARIYANI 06-06-1988 PERAWAT PELAKSANA LULUS TIDAK LULUS TIDAK LULUS 2.134 610901410 9900008 189071 4845 66113000675 SAPITRI ANGGERAYNI 01-09-1990 GURU SEJARAH PERTAMA LULUS TIDAK LULUS TIDAK LULUS 2.135 610201430 4890002 138919 3428 66113000211 SAPRIL YA DINIHARYANTY 03-04-1989 GURU SEJARAH PERTAMA ANALIS KEBIJAKAN PERTAMA LULUS TIDAK LULUS TIDAK LULUS 2.136 617101260 7820007 162984 2480 66113000509 SAPTO PUNGKASAN 26-07-1982 ANALIS KEBIJAKAN PERTAMA LULUS TIDAK LULUS TIDAK LULUS
  • 108.
    NO NIK NO REGIST ER NO PESERTA NAMA TANGGAL LAHIR PILIHAN JABATAN 1 NAMA JABATAN 2 NAMA JABATAN 3 STATUS PILIHAN 1 STATUS PILIHAN 2 STATUS PILIHAN 3 2.137 610218691 1910001 109215 8012 66113001401 SARI AMRAINI 29-11-1991 GURU BAHASA INGGRIS PERTAMA SMP GURU BAHASA INGGRIS PERTAMA SMA ANALIS KEBIJAKAN PERTAMA LULUS LULUS TIDAK LULUS 2.138 617105501 0890004 121773 7672 66113001903 SARI HIDAYATI 10-10-1989 GURU SEJARAH PERTAMA LULUS TIDAK LULUS TIDAK LULUS 2.139 611209420 5900005 156685 1179 66113000911 SARI MAILANI 02-05-1990 GURU MATEMATIKA PERTAMA LULUS TIDAK LULUS TIDAK LULUS 2.140 611201590 6860014 151685 8972 66113000243 SARI NURDIANA 19-06-1986 GURU IPA PERTAMA GURU BIOLOGI PERTAMA ANALIS KEBIJAKAN PERTAMA LULUS LULUS TIDAK LULUS 2.141 611201620 9900005 185324 8180 66113001321 SARI SAPRIATI YUSNITA 22-09-1990 GURU SEJARAH PERTAMA LULUS TIDAK LULUS TIDAK LULUS 2.142 617105500 3840002 197991 9442 66113000534 SARIATI 10-03-1984 GURU BAHASA INGGRIS PERTAMA SMP GURU BAHASA INGGRIS PERTAMA SMA ANALIS KEBIJAKAN PERTAMA LULUS LULUS TIDAK LULUS 2.143 611201410 5870015 158368 2503 66113000315 SARIDAH 01-05-1987 GURU SEJARAH PERTAMA ANALIS KEBIJAKAN PERTAMA LULUS TIDAK LULUS TIDAK LULUS 2.144 610119470 7920001 158959 7812 66113000487 SARTIKA 07-07-1990 GURU SEJARAH PERTAMA ANALIS KEBIJAKAN PERTAMA LULUS TIDAK LULUS TIDAK LULUS 2.145 617104571 0870018 162489 6362 66113001228 SARTIKA 17-10-1987 ANALIS ANGGARAN ANALIS KERJASAMA DAN PERMODALAN PENYULUH KOPERASI LULUS LULUS LULUS 2.146 611201070 5830011 212136 7409 66113000500 SATFEN RONI YASNIA NOHALID 07-05-1983 PERENCANA PERTAMA PENYULUH KOPERASI ANALIS KEBIJAKAN PERTAMA LULUS LULUS LULUS 2.147 611201250 6880009 188217 0999 66113000124 SATRIA SUPRIADI 25-06-1988 ANALIS KEBIJAKAN PERTAMA GURU BAHASA INGGRIS PERTAMA SMP GURU BAHASA INGGRIS PERTAMA SMA TIDAK LULUS LULUS LULUS 2.148 611202050 6870001 129575 9603 66113000655 SAWANTONO 05-06-1987 PEKERJA SOSIAL PERTAMA PENYULUH SOSIAL PERTAMA ANALIS KEBIJAKAN PERTAMA LULUS LULUS LULUS 2.149 610201120 5800001 174744 2409 66112000546 SEBIANUS RUDI 12-05-1980 PENGADMINISTRASI UMUM LULUS TIDAK LULUS TIDAK LULUS 2.150 610812670 3920003 153619 2231 66112000096 SEKOLASTIKA MERRY 27-03-1992 BIDAN PELAKSANA LULUS TIDAK LULUS TIDAK LULUS 2.151 611201620 2900007 151619 7259 66113000108 SELLI UTAMI 22-02-1990 ANALIS KEBIJAKAN PERTAMA GURU MATEMATIKA PERTAMA TIDAK LULUS LULUS TIDAK LULUS 2.152 617105570 5930004 202622 8807 66112000689 SELLY WIJAYANTI 17-05-1993 VERIFIKATOR KEUANGAN LULUS TIDAK LULUS TIDAK LULUS 2.153 611201640 9850007 184345 0414 66112000331 SELVI SEPTIANI 24-09-1985 VERIFIKATOR KEUANGAN LULUS TIDAK LULUS TIDAK LULUS 2.154 617105430 3860007 185274 0556 66113000940 SELVIA SARTIKA 03-03-1986 PERENCANA PERTAMA PENYULUH KOPERASI ANALIS KERJASAMA DAN PERMODALAN LULUS LULUS LULUS 2.155 611201541 0870003 192326 2620 66112000639 SELVIAH OKTAVIANI 14-10-1987 VERIFIKATOR KEUANGAN LULUS TIDAK LULUS TIDAK LULUS 2.156 617105711 2910001 210457 9216 66112000581 SELVIANA MAHARANI 31-12-1991 VERIFIKATOR KEUANGAN LULUS TIDAK LULUS TIDAK LULUS
  • 109.
    NO NIK NO REGIST ER NO PESERTA NAMA TANGGAL LAHIR PILIHAN JABATAN 1 NAMA JABATAN 2 NAMA JABATAN 3 STATUS PILIHAN 1 STATUS PILIHAN 2 STATUS PILIHAN 3 2.157 617101521 2890004 147565 0320 66112000525 SELVIANA NITA 12-12-1989 PENGADMINISTRASI UMUM LULUS TIDAK LULUS TIDAK LULUS 2.158 610104511 0920006 159048 3790 66112000190 SELVY DWI OCTARY 11-10-1992 PERAWAT PELAKSANA LULUS TIDAK LULUS TIDAK LULUS 2.159 617106560 7910001 195971 2554 66113000271 SENDI YULIANTI 16-07-1991 PENGAWAS LINGKUNGAN HIDUP PERTAMA PENGENDALI DAMPAK LINGKUNGAN PERTAMA LULUS LULUS TIDAK LULUS 2.160 611201551 0930003 174267 2804 66112000078 SENDY OCTAVIA 15-10-1993 BIDAN PELAKSANA LULUS TIDAK LULUS TIDAK LULUS 2.161 617101061 2890004 168107 2566 66113001144 SENDY RYAN ANUGRAH 06-12-1989 ANALIS KEBIJAKAN PERTAMA LULUS TIDAK LULUS TIDAK LULUS 2.162 610201450 3910003 169618 4868 66112000690 SENIMA 05-03-1991 PENGADMINISTRASI UMUM PENYUSUN RISALAH LULUS LULUS TIDAK LULUS 2.163 610207610 5870003 186302 7933 66112000112 SENJA KUSUMA DEWI 21-05-1987 VERIFIKATOR KEUANGAN LULUS TIDAK LULUS TIDAK LULUS 2.164 617102410 9920015 177030 5398 66112000174 SEPRIKA ULANDARI 01-09-1992 BIDAN PELAKSANA LULUS TIDAK LULUS TIDAK LULUS 2.165 611209540 9880005 141810 2846 66113000333 SEPTA NUR AFNI 14-09-1988 GURU BAHASA INGGRIS PERTAMA SMP GURU BAHASA INGGRIS PERTAMA SMA ANALIS KEBIJAKAN PERTAMA LULUS LULUS TIDAK LULUS 2.166 617101690 9920002 199447 9850 66112000151 SEPTI AN,NISAH 29-09-1992 PENGADMINISTRASI UMUM PENYUSUN RISALAH LULUS LULUS TIDAK LULUS 2.167 610107500 9910002 176584 9000 66112000758 SEPTI ARINI 10-09-1991 BIDAN PELAKSANA LULUS TIDAK LULUS TIDAK LULUS 2.168 617203630 9900001 141414 2809 66112000380 SEPTI NUGRAHANTI 23-09-1990 BIDAN PELAKSANA LULUS TIDAK LULUS TIDAK LULUS 2.169 611209630 9900001 208800 0187 66113001387 SEPTIA ANGGRAENI 23-09-1990 ANALIS KEBIJAKAN PERTAMA LULUS TIDAK LULUS TIDAK LULUS 2.170 610301490 9880002 138133 7015 66112000559 SEPTRI NURENI 09-09-1988 BIDAN PELAKSANA LULUS TIDAK LULUS TIDAK LULUS 2.171 617101121 0840010 184868 1738 66113000609 SEPTRI OKTARIANGGA, ST 12-10-1984 PENATA RUANG PERTAMA ANALIS KEBIJAKAN PERTAMA SURVEYOR PEMETAAN PERTAMA LULUS LULUS LULUS 2.172 617103510 5850011 158613 8746 66113001388 SERI HUMAIRAH 11-05-1985 ANALIS KEBIJAKAN PERTAMA LULUS TIDAK LULUS TIDAK LULUS 2.173 617103640 5850017 132809 5894 66113000933 SERI MULYANI 24-05-1985 ANALIS KEBIJAKAN PERTAMA LULUS TIDAK LULUS TIDAK LULUS 2.174 340402570 5880001 175325 7405 66113001507 SETIA FITRI RAHMAH 17-05-1988 GURU IPA PERTAMA GURU BIOLOGI PERTAMA ANALIS KEBIJAKAN PERTAMA LULUS LULUS TIDAK LULUS 2.175 611203230 7910003 145302 7788 66112000437 SETIAWAN SANTOSO 23-07-1991 PERAWAT PELAKSANA LULUS TIDAK LULUS TIDAK LULUS 2.176 611201060 6890005 211441 5582 66113001721 SETIYONO 06-06-1989 GURU MATEMATIKA PERTAMA ANALIS KEBIJAKAN PERTAMA LULUS TIDAK LULUS TIDAK LULUS
  • 110.
    NO NIK NO REGIST ER NO PESERTA NAMA TANGGAL LAHIR PILIHAN JABATAN 1 NAMA JABATAN 2 NAMA JABATAN 3 STATUS PILIHAN 1 STATUS PILIHAN 2 STATUS PILIHAN 3 2.177 611201640 8850012 148506 9111 66113000743 SETYA SUSILAWATI 24-08-1985 PERENCANA PERTAMA PENYULUH KOPERASI ANALIS ANGGARAN LULUS LULUS LULUS 2.178 617101140 8920013 163991 2739 66112000495 SHAFARUDIN 14-08-1992 PERAWAT PELAKSANA LULUS TIDAK LULUS TIDAK LULUS 2.179 617104160 5870009 172818 5407 66113001360 SHAUM NUR RAHMAN 16-05-1987 PERENCANA PERTAMA PENYULUH KOPERASI ANALIS KERJASAMA DAN PERMODALAN LULUS LULUS LULUS 2.180 617104690 6900003 192079 8788 66112000201 SHERLY YUNIARTI 29-06-1990 BIDAN PELAKSANA LULUS TIDAK LULUS TIDAK LULUS 2.181 611201510 9930004 202217 8716 66112000171 SHINTA DEWI PURNAMASARI 11-09-1993 NUTRISIONIS PELAKSANA LULUS TIDAK LULUS TIDAK LULUS 2.182 617105610 4890001 111675 4723 66112000167 SHINTA PRATIWI, A. MD, KEB 21-04-1989 BIDAN PELAKSANA LULUS TIDAK LULUS TIDAK LULUS 2.183 610108410 2930004 147405 8921 66112000407 SHINTA SARI 01-02-1993 PERAWAT PELAKSANA LULUS TIDAK LULUS TIDAK LULUS 2.184 340104080 6890001 192262 9531 66113001725 SIDIN CAHYONO 08-06-1989 GURU BAHASA INDONESIA PERTAMA ANALIS KEBIJAKAN PERTAMA LULUS TIDAK LULUS TIDAK LULUS 2.185 611207190 2840002 188149 7034 66113001183 SIDIQ FATHUROHMAN 19-02-1984 ANALIS KEBIJAKAN PERTAMA LULUS TIDAK LULUS TIDAK LULUS 2.186 610601631 1870002 167763 0078 66112000285 SIJAH 23-11-1987 PENGADMINISTRASI UMUM PENYUSUN RISALAH LULUS LULUS TIDAK LULUS 2.187 610803650 6870001 203091 5184 66112000287 SILVERIA JUNITA ASRI KURNIASARI 25-06-1987 PERAWAT PELAKSANA LULUS TIDAK LULUS TIDAK LULUS 2.188 610417621 0880002 134926 0303 66113001251 SILVI OKTAVIANI 22-10-1988 GURU IPA PERTAMA GURU BIOLOGI PERTAMA ANALIS KEBIJAKAN PERTAMA LULUS LULUS TIDAK LULUS 2.189 617105530 8870004 126362 7104 66113000346 SILVIA ISDANELLY AGUSTI 13-08-1987 ANALIS KEBIJAKAN PERTAMA LULUS TIDAK LULUS TIDAK LULUS 2.190 611201670 2880003 209444 0539 66113001599 SILVIA WIJAYA KUSUMAH 27-02-1988 PENYULUH KOPERASI PERENCANA PERTAMA ANALIS KERJASAMA DAN PERMODALAN LULUS LULUS LULUS 2.191 617105451 2820022 160522 6657 66113000984 SILVIA YULIANTI 05-12-1982 ANALIS ANGGARAN PERENCANA PERTAMA ANALIS KEBIJAKAN PERTAMA LULUS LULUS LULUS 2.192 617101620 8820006 160930 1548 66113000827 SINTAN HANDAYANI, SH 22-08-1982 PENGAWAS KETENAGAKERJAAN PERTAMA MEDIATOR HUBUNGAN INDUSTRIAL PERTAMA PENGANTAR KERJA PERTAMA LULUS LULUS LULUS 2.193 340206480 8840002 184506 0177 66113000753 SINTYA DEWI AGUSTINA, SE 08-08-1984 PERENCANA PERTAMA ANALIS ANGGARAN ANALIS KEBIJAKAN PERTAMA LULUS LULUS LULUS 2.194 617105240 8910008 134979 8589 66112000829 SIRES SUNTORY 24-08-1991 PENGADMINISTRASI UMUM PENYUSUN RISALAH LULUS LULUS TIDAK LULUS 2.195 610311511 1900003 179357 9727 66113000187 SISCA ASTUTY 11-11-1990 GURU SEJARAH PERTAMA ANALIS KEBIJAKAN PERTAMA LULUS TIDAK LULUS TIDAK LULUS 2.196 617101490 6890009 140455 6633 66113000257 SISILIA RIA INDRAWATI 09-06-1989 ANALIS KEBIJAKAN PERTAMA LULUS TIDAK LULUS TIDAK LULUS
  • 111.
    NO NIK NO REGIST ER NO PESERTA NAMA TANGGAL LAHIR PILIHAN JABATAN 1 NAMA JABATAN 2 NAMA JABATAN 3 STATUS PILIHAN 1 STATUS PILIHAN 2 STATUS PILIHAN 3 2.197 617104530 6840007 141478 1991 66113000790 SISKA MUTIARA, S. KOM 13-06-1984 PRANATA KOMPUTER PERTAMA ANALIS KEBIJAKAN PERTAMA LULUS LULUS TIDAK LULUS 2.198 610715521 2880006 143548 6678 66112000715 SISKA OLIVIA NATALIA SIMANJUNTAK 12-12-1988 BIDAN PELAKSANA LULUS TIDAK LULUS TIDAK LULUS 2.199 617106581 1910001 190361 6043 66112000156 SISKA SAMPURNA 18-11-1991 PERAWAT PELAKSANA LULUS TIDAK LULUS TIDAK LULUS 2.200 617101560 9850009 113629 3429 66113001689 SISNAWATI 16-09-1985 ANALIS KEBIJAKAN PERTAMA LULUS TIDAK LULUS TIDAK LULUS 2.201 617101131 0790001 199955 8347 66113001637 SISWANTO, ST 13-10-1979 ANALIS KEBIJAKAN PERTAMA LULUS TIDAK LULUS TIDAK LULUS 2.202 617105670 6910002 199169 0548 66112000057 SITARESMI SETIOWATI 27-06-1991 BIDAN PELAKSANA LULUS TIDAK LULUS TIDAK LULUS 2.203 617103560 4900005 139970 6788 66112000448 SITI AISYAH 16-04-1990 BIDAN PELAKSANA LULUS TIDAK LULUS TIDAK LULUS 2.204 617103560 5890004 193352 6973 66113000719 SITI AISYAH 16-05-1989 GURU SEJARAH PERTAMA LULUS TIDAK LULUS TIDAK LULUS 2.205 611203430 1820008 173578 2817 66113001026 SITI AISYAH 03-01-1982 ANALIS KEBIJAKAN PERTAMA LULUS TIDAK LULUS TIDAK LULUS 2.206 617103500 2890016 126557 6076 66112000192 SITI AMINAH 10-02-1989 BIDAN PELAKSANA LULUS TIDAK LULUS TIDAK LULUS 2.207 611201700 9860012 144804 0534 66113000684 SITI ASIYAH 30-03-1986 GURU MATEMATIKA PERTAMA LULUS TIDAK LULUS TIDAK LULUS 2.208 617101650 3890005 126938 7234 66112000622 SITI AZIZAH NURHASANAH 25-03-1989 PENGADMINISTRASI UMUM PENYUSUN RISALAH LULUS LULUS TIDAK LULUS 2.209 617106680 2820001 160383 0769 66112000108 SITI BORNEAWATI,A.MD 28-02-1982 PENGADMINISTRASI UMUM PENYUSUN RISALAH LULUS LULUS TIDAK LULUS 2.210 351317660 6910025 135337 3244 66113000319 SITI FATIMAH 26-06-1991 GURU MATEMATIKA PERTAMA LULUS TIDAK LULUS TIDAK LULUS 2.211 611205450 5910003 172611 6944 66112000032 SITI HAFSAH 05-05-1991 BIDAN PELAKSANA LULUS TIDAK LULUS TIDAK LULUS 2.212 610215640 5880001 159099 6833 66112000663 SITI HARDIYANTI 24-05-1988 PENGADMINISTRASI UMUM PENYUSUN RISALAH LULUS LULUS TIDAK LULUS 2.213 610201650 9900003 211606 2473 66112000513 SITI HARYANI RAHMAWATI 25-09-1990 PENGADMINISTRASI UMUM PENYUSUN RISALAH LULUS LULUS TIDAK LULUS 2.214 611201440 2860020 151314 7621 66112000276 SITI HOTIMAH 04-02-1986 PERAWAT PELAKSANA LULUS TIDAK LULUS TIDAK LULUS 2.215 617102551 2830008 198871 0962 66113000954 SITI KALSUM 15-12-1983 ANALIS LAYANAN UMUM ANALIS KEBIJAKAN PERTAMA LULUS LULUS TIDAK LULUS 2.216 331026651 0890002 178859 3127 66113001555 SITI KHOTIJAH 25-10-1989 GURU MATEMATIKA PERTAMA LULUS TIDAK LULUS TIDAK LULUS
  • 112.
    NO NIK NO REGIST ER NO PESERTA NAMA TANGGAL LAHIR PILIHAN JABATAN 1 NAMA JABATAN 2 NAMA JABATAN 3 STATUS PILIHAN 1 STATUS PILIHAN 2 STATUS PILIHAN 3 2.217 611206471 0840001 101541 1647 66112000210 SITI LAELATUL MASRUFAH 07-10-1984 PERAWAT PELAKSANA LULUS TIDAK LULUS TIDAK LULUS 2.218 611202630 8880001 205867 0322 66113000855 SITI MAISARAH 23-08-1988 GURU SEJARAH PERTAMA LULUS TIDAK LULUS TIDAK LULUS 2.219 617103500 3860012 175846 6973 66112000324 SITI MARDIANA 10-03-1986 PENGADMINISTRASI UMUM PENYUSUN RISALAH LULUS LULUS TIDAK LULUS 2.220 617105420 1870009 176534 9498 66112000604 SITI MARIYAM 02-01-1987 PENGADMINISTRASI UMUM PENYUSUN RISALAH LULUS LULUS TIDAK LULUS 2.221 610401450 8910002 213963 7293 66112000662 SITI MARIYANTI 05-08-1991 PENGADMINISTRASI UMUM LULUS TIDAK LULUS TIDAK LULUS 2.222 617104700 6910006 194986 8344 66112000511 SITI MARYAM 30-06-1991 BIDAN PELAKSANA LULUS TIDAK LULUS TIDAK LULUS 2.223 617105520 8940014 125665 3063 66112000011 SITI MASDAH 12-08-1994 BIDAN PELAKSANA LULUS TIDAK LULUS TIDAK LULUS 2.224 611201700 5890010 119768 3246 66112000817 SITI MASRUROH 30-05-1989 VERIFIKATOR KEUANGAN LULUS TIDAK LULUS TIDAK LULUS 2.225 610804581 1930001 130174 2007 66112000133 SITI NURANILA 18-11-1993 NUTRISIONIS PELAKSANA LULUS TIDAK LULUS TIDAK LULUS 2.226 617103410 2870017 165626 3402 66112000312 SITI NURHASANAH 01-02-1987 PENGADMINISTRASI UMUM PENYUSUN RISALAH LULUS LULUS TIDAK LULUS 2.227 617104490 8930010 178822 5705 66112000440 SITI NURMASITA 09-08-1993 NUTRISIONIS PELAKSANA LULUS TIDAK LULUS TIDAK LULUS 2.228 627103681 0890004 209819 0518 66113000463 SITI NURVIA YUNITA 28-10-1989 GURU BAHASA INGGRIS PERTAMA SMP GURU BAHASA INGGRIS PERTAMA SMA ANALIS KEBIJAKAN PERTAMA LULUS LULUS TIDAK LULUS 2.229 611201610 3930007 144794 9632 66112000195 SITI QADARIAH 21-03-1993 BIDAN PELAKSANA LULUS TIDAK LULUS TIDAK LULUS 2.230 610216450 7830001 181401 3414 66113000293 SITI RAHIMAH 05-07-1983 GURU MATEMATIKA PERTAMA LULUS TIDAK LULUS TIDAK LULUS 2.231 610416590 3900003 161852 3767 66113000877 SITI RAHMAWATI 19-03-1990 APOTEKER PERTAMA ANALIS KEBIJAKAN PERTAMA LULUS TIDAK LULUS TIDAK LULUS 2.232 617102520 6910002 189982 3999 66112000144 SITI ROCHMAYATI 12-06-1991 NUTRISIONIS PELAKSANA LULUS TIDAK LULUS TIDAK LULUS 2.233 351909600 5900001 163937 4178 66113000071 SITI ROFIATUL WAHIDAH 20-05-1990 GURU MATEMATIKA PERTAMA LULUS TIDAK LULUS TIDAK LULUS 2.234 611201500 9800007 196648 3656 66113000082 SITI SAMIATUN 10-09-1980 ANALIS KEBIJAKAN PERTAMA LULUS TIDAK LULUS TIDAK LULUS 2.235 617201440 1800002 191515 5541 66113001452 SITI SUWANTI, SE 04-01-1980 ANALIS ANGGARAN ANALIS KEBIJAKAN PERTAMA PERENCANA PERTAMA LULUS LULUS LULUS 2.236 611201420 8820007 125488 6048 66113000653 SITI UMIHANI'AH 02-08-1982 ANALIS KEBIJAKAN PERTAMA LULUS TIDAK LULUS TIDAK LULUS
  • 113.
    NO NIK NO REGIST ER NO PESERTA NAMA TANGGAL LAHIR PILIHAN JABATAN 1 NAMA JABATAN 2 NAMA JABATAN 3 STATUS PILIHAN 1 STATUS PILIHAN 2 STATUS PILIHAN 3 2.237 617102680 6870002 142249 3321 66112000433 SITI WAJAH WAKAYAH 28-06-1987 PERAWAT PELAKSANA LULUS TIDAK LULUS TIDAK LULUS 2.238 610206610 4890003 187216 2071 66112000447 SITI WARSIH 21-04-1989 BIDAN PELAKSANA LULUS TIDAK LULUS TIDAK LULUS 2.239 611205090 5880003 154785 7380 66113000807 SOEPYANTO 09-05-1988 GURU SEJARAH PERTAMA LULUS TIDAK LULUS TIDAK LULUS 2.240 610207531 1840001 198016 1048 66113000547 SOFIA NURRIATI.S.PD. 13-11-1984 GURU MATEMATIKA PERTAMA LULUS TIDAK LULUS TIDAK LULUS 2.241 617105660 2860004 115349 0014 66113000997 SOFIA, SE 26-02-1986 PENYULUH KOPERASI PERENCANA PERTAMA ANALIS KEBIJAKAN PERTAMA LULUS LULUS LULUS 2.242 611201640 5800008 180638 6590 66113000266 SOLIHATIN 24-05-1980 ANALIS KERJASAMA DAN PERMODALAN PENYULUH KOPERASI PERENCANA PERTAMA LULUS LULUS LULUS 2.243 611201310 3870004 191946 6212 66113001078 SOLLAHUDIN 31-03-1987 PRANATA KOMPUTER PERTAMA ANALIS KEBIJAKAN PERTAMA LULUS LULUS TIDAK LULUS 2.244 617105661 2910005 111179 9023 66113000331 SONYA AMELIA 26-12-1991 GURU MATEMATIKA PERTAMA LULUS TIDAK LULUS TIDAK LULUS 2.245 610309440 4920004 203109 9523 66112000555 SOPIA SARI 04-04-1992 PERAWAT PELAKSANA LULUS TIDAK LULUS TIDAK LULUS 2.246 610508520 8880002 136368 2338 66113001546 SOPIANA 12-08-1988 GURU BIOLOGI PERTAMA GURU IPA PERTAMA ANALIS KEBIJAKAN PERTAMA LULUS LULUS TIDAK LULUS 2.247 611203620 7890001 136497 1129 66113001056 SORAYA 22-07-1989 ANALIS KEBIJAKAN PERTAMA LULUS TIDAK LULUS TIDAK LULUS 2.248 617101671 0880004 131631 1214 66113000542 SRI ASIH LESTARI 27-10-1988 GURU MATEMATIKA PERTAMA LULUS TIDAK LULUS TIDAK LULUS 2.249 611209420 7890005 163982 3042 66113000593 SRI AWALIYAH 02-07-1989 GURU SEJARAH PERTAMA ANALIS KEBIJAKAN PERTAMA LULUS TIDAK LULUS TIDAK LULUS 2.250 617103640 6890004 195322 4280 66112000680 SRI AYU INDRIANI 24-06-1989 PENGADMINISTRASI UMUM PENYUSUN RISALAH LULUS LULUS TIDAK LULUS 2.251 617105670 3920003 123362 7423 66113001503 SRI AZIZAH KURNIAWATI 27-03-1992 PRANATA KOMPUTER PERTAMA ANALIS KEBIJAKAN PERTAMA LULUS LULUS TIDAK LULUS 2.252 617103560 7890016 137079 4760 66112000423 SRI ENDANG 16-07-1989 BIDAN PELAKSANA LULUS TIDAK LULUS TIDAK LULUS 2.253 617103630 9870010 212123 2456 66113000937 SRI FATMAWATI 23-09-1987 ANALIS KEBIJAKAN PERTAMA LULUS TIDAK LULUS TIDAK LULUS 2.254 617104621 0900003 207980 2681 66113000206 SRI HARTATI 22-10-1990 GURU IPA PERTAMA GURU BIOLOGI PERTAMA LULUS LULUS TIDAK LULUS 2.255 611201650 1900004 140827 3813 66113000848 SRI HARTATI 25-01-1990 GURU MATEMATIKA PERTAMA LULUS TIDAK LULUS TIDAK LULUS 2.256 617105620 4850002 130891 1249 66113000879 SRI HARTATI MULYANI 22-04-1985 SANITARIAN PERTAMA LULUS TIDAK LULUS TIDAK LULUS
  • 114.
    NO NIK NO REGIST ER NO PESERTA NAMA TANGGAL LAHIR PILIHAN JABATAN 1 NAMA JABATAN 2 NAMA JABATAN 3 STATUS PILIHAN 1 STATUS PILIHAN 2 STATUS PILIHAN 3 2.257 611201571 2810005 196565 0223 66113001639 SRI HARTATIK 17-12-1981 ANALIS KEBIJAKAN PERTAMA LULUS TIDAK LULUS TIDAK LULUS 2.258 617104620 9900017 173342 5745 66113001517 SRI HARTININGSIH 22-09-1990 GURU MATEMATIKA PERTAMA ANALIS KEBIJAKAN PERTAMA LULUS TIDAK LULUS TIDAK LULUS 2.259 611201680 3860009 197699 9722 66113000077 SRI HARYANTI 28-03-1986 ANALIS KEBIJAKAN PERTAMA PERENCANA PERTAMA ANALIS KERJASAMA DAN PERMODALAN LULUS LULUS LULUS 2.260 611207590 5800001 167167 1843 66113000884 SRI HAYATI 19-05-1980 GURU MATEMATIKA PERTAMA LULUS TIDAK LULUS TIDAK LULUS 2.261 611201641 1840002 170521 8008 66113000804 SRI HERAWATI 24-11-1984 GURU BAHASA INGGRIS PERTAMA SMP LULUS TIDAK LULUS TIDAK LULUS 2.262 617103661 0800010 179867 6592 66113001601 SRI MALINDA 26-10-1980 ANALIS KEBIJAKAN PERTAMA LULUS TIDAK LULUS TIDAK LULUS 2.263 617201570 3840001 210832 6832 66112000839 SRI MARYATI 17-03-1984 PENGADMINISTRASI UMUM PENYUSUN RISALAH LULUS LULUS TIDAK LULUS 2.264 611209680 3870002 176102 7191 66113000646 SRI MARYATI, SE 28-03-1987 ANALIS KEBIJAKAN PERTAMA LULUS TIDAK LULUS TIDAK LULUS 2.265 611201701 2830012 153138 4267 66113000899 SRI NARULLITA 30-12-1983 PRANATA KOMPUTER PERTAMA ANALIS KEBIJAKAN PERTAMA LULUS LULUS TIDAK LULUS 2.266 611209660 9880004 104381 9936 66113001154 SRI NOVITA FALUPI 26-09-1988 GURU BAHASA INGGRIS PERTAMA SMP LULUS TIDAK LULUS TIDAK LULUS 2.267 611209510 4880006 146903 4671 66112000852 SRI NURHAYATI 11-04-1988 PENYUSUN RISALAH PENGADMINISTRASI UMUM LULUS LULUS TIDAK LULUS 2.268 611201410 5800016 209805 5359 66113001236 SRI PRASTARIANTI, SE 01-05-1980 PERENCANA PERTAMA ANALIS ANGGARAN ANALIS KEBIJAKAN PERTAMA LULUS LULUS LULUS 2.269 611209670 4860006 152142 7130 66113000671 SRI PUJI ASTUTI 27-04-1986 GURU MATEMATIKA PERTAMA LULUS TIDAK LULUS TIDAK LULUS 2.270 611201690 8870008 138932 2001 66113000535 SRI RAHAYU 29-08-1987 GURU FISIKA PERTAMA GURU IPA PERTAMA ANALIS KEBIJAKAN PERTAMA LULUS LULUS TIDAK LULUS 2.271 611201601 1900005 158934 5867 66113000585 SRI RAHAYU 20-11-1990 GURU MATEMATIKA PERTAMA ANALIS KEBIJAKAN PERTAMA LULUS TIDAK LULUS TIDAK LULUS 2.272 617103410 9870510 104996 2528 66113000958 SRI RAHAYU 01-09-1987 GURU BAHASA INGGRIS PERTAMA SMP GURU BAHASA INGGRIS PERTAMA SMA ANALIS KEBIJAKAN PERTAMA LULUS LULUS TIDAK LULUS 2.273 611201550 4850017 124337 7884 66113001739 SRI RAHAYU 15-04-1985 PERENCANA PERTAMA ANALIS ANGGARAN ANALIS KEBIJAKAN PERTAMA LULUS LULUS LULUS 2.274 611203500 1910005 173302 3765 66112000710 SRI RATNAWATI 10-01-1991 BIDAN PELAKSANA LULUS TIDAK LULUS TIDAK LULUS 2.275 617101471 0880013 212923 0920 66113000450 SRI REZEKI DIANDORA 07-10-1988 GURU SEJARAH PERTAMA ANALIS KEBIJAKAN PERTAMA LULUS TIDAK LULUS TIDAK LULUS 2.276 611201530 9870012 156067 6690 66113001318 SRI ROGAYAH 13-09-1987 ANALIS KEBIJAKAN PERTAMA LULUS TIDAK LULUS TIDAK LULUS
  • 115.
    NO NIK NO REGIST ER NO PESERTA NAMA TANGGAL LAHIR PILIHAN JABATAN 1 NAMA JABATAN 2 NAMA JABATAN 3 STATUS PILIHAN 1 STATUS PILIHAN 2 STATUS PILIHAN 3 2.277 617105570 9900010 214146 2949 66112000590 SRI RUSMIATI 17-09-1990 BIDAN PELAKSANA LULUS TIDAK LULUS TIDAK LULUS 2.278 617104570 6900001 179947 0429 66113000298 SRI SUKENGSI 17-06-1990 GURU MATEMATIKA PERTAMA ANALIS KEBIJAKAN PERTAMA LULUS TIDAK LULUS TIDAK LULUS 2.279 617102630 8910001 150636 4907 66112000173 SRI WAHYU NINGSIH SPM 23-08-1991 BIDAN PELAKSANA LULUS TIDAK LULUS TIDAK LULUS 2.280 611209620 8920007 136404 4505 66112000351 SRI WAHYUNI 22-08-1992 VERIFIKATOR KEUANGAN LULUS TIDAK LULUS TIDAK LULUS 2.281 611201450 1830020 120531 3567 66112000669 SRI WAHYUNI 05-01-1983 PENGADMINISTRASI UMUM PENYUSUN RISALAH LULUS LULUS TIDAK LULUS 2.282 611201490 9860010 163025 7538 66113000175 SRI WAHYUNI 09-09-1986 GURU BAHASA INGGRIS PERTAMA SMP GURU BAHASA INGGRIS PERTAMA SMA ANALIS KEBIJAKAN PERTAMA LULUS LULUS TIDAK LULUS 2.283 617103601 1890005 192582 5477 66113000313 SRI WAHYUNI 20-11-1989 GURU SEJARAH PERTAMA LULUS TIDAK LULUS TIDAK LULUS 2.284 610212480 6910001 169530 6499 66113000488 SRI WAHYUNI 08-06-1991 GURU MATEMATIKA PERTAMA ANALIS KEBIJAKAN PERTAMA LULUS TIDAK LULUS TIDAK LULUS 2.285 617103581 1860002 150440 9715 66113001468 SRI WAHYUNI 18-11-1986 GURU MATEMATIKA PERTAMA LULUS TIDAK LULUS TIDAK LULUS 2.286 610301700 6910004 137341 1740 66113001626 SRI WAHYUNI 30-06-1991 GURU MATEMATIKA PERTAMA ANALIS KEBIJAKAN PERTAMA LULUS TIDAK LULUS TIDAK LULUS 2.287 617105410 1830504 198313 5129 66113001677 SRI WAHYUNI 01-01-1983 GURU MATEMATIKA PERTAMA ANALIS KEBIJAKAN PERTAMA LULUS TIDAK LULUS TIDAK LULUS 2.288 610218671 2880002 204286 9064 66113000111 SRI WAHYUNI NINGSIH 27-12-1988 GURU SEJARAH PERTAMA ANALIS KEBIJAKAN PERTAMA LULUS TIDAK LULUS TIDAK LULUS 2.289 617103590 7800001 181126 4702 66113000353 SRI WAHYUNINGSIH 19-07-1980 ANALIS KEBIJAKAN PERTAMA LULUS TIDAK LULUS TIDAK LULUS 2.290 617105470 6800015 151173 1781 66113001784 SRI WIDAYATI 07-06-1980 PENGAWAS BIBIT TERNAK PERTAMA ANALIS KEBIJAKAN PERTAMA LULUS LULUS TIDAK LULUS 2.291 611207540 7900002 162759 3195 66113000715 SRI YULIYANTI 14-07-1990 GURU SEJARAH PERTAMA LULUS TIDAK LULUS TIDAK LULUS 2.292 610212440 2930002 172825 4396 66112000436 ST. RUQAIYAH 04-02-1993 BIDAN PELAKSANA LULUS TIDAK LULUS TIDAK LULUS 2.293 617101221 2880012 117989 7958 66113001042 SUBEKTI 22-12-1988 ANALIS KEBIJAKAN PERTAMA LULUS TIDAK LULUS TIDAK LULUS 2.294 617104200 4870017 163307 9841 66113001760 SUBHAN APRYANDI 20-04-1987 ANALIS KEBIJAKAN PERTAMA LULUS TIDAK LULUS TIDAK LULUS 2.295 617101680 1900011 170414 9900 66113000490 SUCI PUTRIACI 28-01-1990 PRANATA HUBUNGAN MASYARAKAT PERTAMA ANALIS KEBIJAKAN PERTAMA LULUS LULUS TIDAK LULUS 2.296 617101640 4890008 211131 5254 66113001705 SUCI RAHMA DANIAR 24-04-1989 GURU SEJARAH PERTAMA ANALIS KEBIJAKAN PERTAMA LULUS TIDAK LULUS TIDAK LULUS
  • 116.
    NO NIK NO REGIST ER NO PESERTA NAMA TANGGAL LAHIR PILIHAN JABATAN 1 NAMA JABATAN 2 NAMA JABATAN 3 STATUS PILIHAN 1 STATUS PILIHAN 2 STATUS PILIHAN 3 2.297 617201620 7900002 195178 5979 66113001100 SUCI RAHMAWATI 22-07-1990 ANALIS KEBIJAKAN PERTAMA LULUS TIDAK LULUS TIDAK LULUS 2.298 610501620 2880003 162017 3139 66113000322 SUCI WAHYUNI 22-02-1988 GURU BAHASA INGGRIS PERTAMA SMP GURU BAHASA INGGRIS PERTAMA SMA ANALIS KEBIJAKAN PERTAMA LULUS LULUS TIDAK LULUS 2.299 610416090 5850007 191736 9735 66113000745 SUDARSOH 09-05-1985 SURVEYOR PEMETAAN PERTAMA PENATA RUANG PERTAMA ANALIS KEBIJAKAN PERTAMA LULUS LULUS LULUS 2.300 617105240 9900001 166123 5458 66113000579 SUDARWIN 24-09-1990 GURU SEJARAH PERTAMA ANALIS KEBIJAKAN PERTAMA LULUS TIDAK LULUS TIDAK LULUS 2.301 611201070 6860010 165930 8966 66113000054 SUGENG HARIYONO 07-06-1986 PERANCANG PERUNDANG-UNDANGAN PERTAMA PENGANTAR KERJA PERTAMA ANALIS KEBIJAKAN PERTAMA LULUS LULUS LULUS 2.302 617103250 6840001 172946 7716 66113001097 SUHAILI HADJARI 25-06-1984 ANALIS KEBIJAKAN PERTAMA LULUS TIDAK LULUS TIDAK LULUS 2.303 611208120 5910002 143850 8741 66112000688 SUHAIMI 12-05-1991 VERIFIKATOR KEUANGAN LULUS TIDAK LULUS TIDAK LULUS 2.304 611209560 1820003 189394 5848 66113001570 SUHAIMI,SE 16-01-1982 ANALIS ANGGARAN LULUS TIDAK LULUS TIDAK LULUS 2.305 610616240 8890001 129515 5216 66113001198 SUHARDI 24-08-1989 GURU IPA PERTAMA LULUS TIDAK LULUS TIDAK LULUS 2.306 611207040 4910003 167163 6392 66112000238 SUHARNO BASTIAN 04-04-1991 PERAWAT PELAKSANA LULUS TIDAK LULUS TIDAK LULUS 2.307 610802031 2790001 208340 5850 66112000029 SUHERMAN 03-12-1979 PENGADMINISTRASI UMUM PENYUSUN RISALAH LULUS LULUS TIDAK LULUS 2.308 611203431 0800001 140043 3314 66113001030 SUKIJEM 03-10-1980 GURU MATEMATIKA PERTAMA LULUS TIDAK LULUS TIDAK LULUS 2.309 611201211 2890008 181798 6313 66113000691 SUKIMAN 21-12-1989 PRANATA KOMPUTER PERTAMA ANALIS KEBIJAKAN PERTAMA LULUS LULUS TIDAK LULUS 2.310 611201590 6910005 182641 6138 66112000459 SUKMA DIANA WATI 19-06-1991 PENGADMINISTRASI UMUM PENYUSUN RISALAH LULUS LULUS TIDAK LULUS 2.311 611209620 5830002 151499 9152 66113001888 SUKMA TRIANINGSIH 22-05-1983 ANALIS KEBIJAKAN PERTAMA LULUS TIDAK LULUS TIDAK LULUS 2.312 611209160 3810001 161104 9663 66113001815 SUKRI 16-03-1981 ANALIS LAYANAN UMUM ANALIS KEBIJAKAN PERTAMA LULUS LULUS TIDAK LULUS 2.313 611208690 1810003 153419 1266 66112000461 SULASTRI 29-09-1981 PENGADMINISTRASI UMUM PENYUSUN RISALAH LULUS LULUS TIDAK LULUS 2.314 610801680 2860008 196352 6451 66113001148 SULASTRI 28-02-1986 ANALIS KEBIJAKAN PERTAMA LULUS TIDAK LULUS TIDAK LULUS 2.315 611207470 6850001 202892 8545 66113000106 SULIHA 07-06-1985 ANALIS KEBIJAKAN PERTAMA LULUS TIDAK LULUS TIDAK LULUS 2.316 611201520 8860001 188894 9863 66113000786 SULISTIA RINI 12-08-1986 ANALIS KEBIJAKAN PERTAMA LULUS TIDAK LULUS TIDAK LULUS
  • 117.
    NO NIK NO REGIST ER NO PESERTA NAMA TANGGAL LAHIR PILIHAN JABATAN 1 NAMA JABATAN 2 NAMA JABATAN 3 STATUS PILIHAN 1 STATUS PILIHAN 2 STATUS PILIHAN 3 2.317 610803700 1830001 155551 5039 66113001810 SUMANTI NASRIA HASIBUAN 30-01-1983 ANALIS KEBIJAKAN PERTAMA PERANCANG PERUNDANG-UNDANGAN PERTAMA MEDIATOR HUBUNGAN INDUSTRIAL PERTAMA LULUS LULUS LULUS 2.318 611205480 5900004 155432 1642 66112000298 SUMARDIAH 08-05-1990 BIDAN PELAKSANA LULUS TIDAK LULUS TIDAK LULUS 2.319 610804650 2840003 144606 3437 66113001502 SUMARGINI 25-02-1984 PRANATA KOMPUTER PERTAMA ANALIS KEBIJAKAN PERTAMA LULUS LULUS TIDAK LULUS 2.320 617106480 3870001 174621 9861 66113000895 SUMARTINI KURTURI, SH 08-03-1987 PENGAWAS KETENAGAKERJAAN PERTAMA ANALIS LAYANAN UMUM ANALIS KEBIJAKAN PERTAMA LULUS LULUS LULUS 2.321 611201501 1830011 208203 4918 66113000501 SUMIATI 10-11-1983 PERENCANA PERTAMA PENYULUH KOPERASI ANALIS ANGGARAN LULUS LULUS LULUS 2.322 617105410 6850004 204514 6224 66113000191 SUMINAH 01-06-1985 GURU BAHASA INGGRIS PERTAMA SMP GURU BAHASA INGGRIS PERTAMA SMA ANALIS KEBIJAKAN PERTAMA LULUS LULUS TIDAK LULUS 2.323 611209500 3810001 140068 5802 66113001476 SUMIYATI 10-03-1981 GURU MATEMATIKA PERTAMA ANALIS KEBIJAKAN PERTAMA LULUS TIDAK LULUS TIDAK LULUS 2.324 617101580 2830008 187552 4341 66112000336 SUNARTI 18-02-1983 PENYULUH PAJAK PELAKSANA LULUS TIDAK LULUS TIDAK LULUS 2.325 610104550 8880012 182375 5548 66112000675 SUNIARTI 15-08-1988 PENGADMINISTRASI UMUM PENYUSUN RISALAH LULUS LULUS TIDAK LULUS 2.326 611203411 1910003 214161 2691 66112000485 SUNITA 01-11-1991 VERIFIKATOR KEUANGAN LULUS TIDAK LULUS TIDAK LULUS 2.327 617201620 8880001 148733 7013 66112000658 SUNITA ISMAWATI 22-08-1988 PENYUSUN RISALAH PENGADMINISTRASI UMUM LULUS LULUS TIDAK LULUS 2.328 611206250 7920001 197600 3446 66112000015 SUPANDI 25-07-1992 PENGADMINISTRASI UMUM PENYUSUN RISALAH LULUS LULUS TIDAK LULUS 2.329 617103501 0880001 145956 6616 66113000961 SUPARTI 10-10-1988 GURU MATEMATIKA PERTAMA LULUS TIDAK LULUS TIDAK LULUS 2.330 617101581 1840011 206068 7244 66113001027 SUPARTINA MARGARITA BANU 18-11-1984 GURU BAHASA INGGRIS PERTAMA SMA ANALIS KEBIJAKAN PERTAMA GURU BAHASA INGGRIS PERTAMA SMP LULUS TIDAK LULUS LULUS 2.331 611201260 7930007 173346 6174 66112000696 SUPARTONO 26-07-1993 PERAWAT PELAKSANA LULUS TIDAK LULUS TIDAK LULUS 2.332 617102450 2850004 157377 5857 66113000621 SUPATMIYATI 05-02-1985 ANALIS KEBIJAKAN PERTAMA PERENCANA PERTAMA LULUS LULUS TIDAK LULUS 2.333 617105070 3800008 202081 5784 66113001871 SUPENO 07-03-1980 PENATA RUANG PERTAMA SURVEYOR PEMETAAN PERTAMA ANALIS KEBIJAKAN PERTAMA LULUS LULUS LULUS 2.334 611201690 7800006 206942 4128 66113001245 SUPRIHATIN, SE 29-07-1980 PENYULUH KOPERASI PERENCANA PERTAMA ANALIS KERJASAMA DAN PERMODALAN LULUS LULUS LULUS 2.335 610201140 8890003 196245 4472 66112000038 SUPRIYADI 14-08-1989 PENGADMINISTRASI UMUM PENYUSUN RISALAH LULUS LULUS TIDAK LULUS 2.336 611201431 1870007 169907 9840 66113000327 SURIANI 03-11-1987 GURU BAHASA INGGRIS PERTAMA SMP GURU BAHASA INGGRIS PERTAMA SMA LULUS LULUS TIDAK LULUS
  • 118.
    NO NIK NO REGIST ER NO PESERTA NAMA TANGGAL LAHIR PILIHAN JABATAN 1 NAMA JABATAN 2 NAMA JABATAN 3 STATUS PILIHAN 1 STATUS PILIHAN 2 STATUS PILIHAN 3 2.337 617105120 4890003 105428 0125 66113000763 SURIANSYAH 12-04-1989 GURU BAHASA INGGRIS PERTAMA SMP GURU BAHASA INGGRIS PERTAMA SMA LULUS LULUS TIDAK LULUS 2.338 610217470 2900001 202041 2123 66113000928 SURIATI 07-02-1990 GURU SEJARAH PERTAMA LULUS TIDAK LULUS TIDAK LULUS 2.339 611006410 3930003 156870 1884 66112000136 SURIYANI 01-03-1993 PERAWAT PELAKSANA LULUS TIDAK LULUS TIDAK LULUS 2.340 610208440 4870004 208174 1698 66113000957 SURIYANTI 04-04-1987 GURU MATEMATIKA PERTAMA ANALIS KEBIJAKAN PERTAMA LULUS TIDAK LULUS TIDAK LULUS 2.341 617102220 3930004 188154 4331 66112000709 SURYA HADIWIJAYA 22-03-1993 PENGADMINISTRASI UMUM PENYUSUN RISALAH LULUS LULUS TIDAK LULUS 2.342 610212700 5810001 204634 6856 66112000588 SURYA NINGSIH 30-05-1981 PENGADMINISTRASI UMUM PENYUSUN RISALAH LULUS LULUS TIDAK LULUS 2.343 610218480 6910001 132994 6843 66113000692 SURYA SUHARYANTI 08-06-1991 GURU FISIKA PERTAMA GURU IPA PERTAMA ANALIS KEBIJAKAN PERTAMA LULUS LULUS TIDAK LULUS 2.344 611204170 4840001 156606 2814 66113000846 SURYADI 17-04-1984 GURU IPA PERTAMA GURU FISIKA PERTAMA LULUS LULUS TIDAK LULUS 2.345 617101270 6820007 191454 2472 66113001459 SURYADI 27-06-1982 ANALIS KEBIJAKAN PERTAMA PENYULUH KOPERASI ANALIS KERJASAMA DAN PERMODALAN LULUS LULUS LULUS 2.346 617105041 0840001 145179 6667 66113001619 SURYADI,SE 04-10-1984 PERENCANA PERTAMA PENYULUH KOPERASI ANALIS KEBIJAKAN PERTAMA LULUS LULUS LULUS 2.347 611209650 4860002 208577 2424 66113001031 SURYANA 25-04-1986 GURU SEJARAH PERTAMA LULUS TIDAK LULUS TIDAK LULUS 2.348 611209501 2880003 190001 4303 66112000021 SURYANI 10-12-1988 BIDAN PELAKSANA LULUS TIDAK LULUS TIDAK LULUS 2.349 617202480 9910001 148414 0408 66112000864 SURYATI 08-09-1991 BIDAN PELAKSANA LULUS TIDAK LULUS TIDAK LULUS 2.350 331004491 1820001 130797 3045 66112000847 SUSANTI 09-11-1982 PARAMEDIK VETERINER PELAKSANA LULUS TIDAK LULUS TIDAK LULUS 2.351 617105640 5800006 104746 9353 66113000829 SUSANTI 24-05-1980 PENILAI PAJAK BUMI DAN BANGUNAN PERTAMA LULUS TIDAK LULUS TIDAK LULUS 2.352 611201651 0810007 130864 0185 66113001080 SUSI 25-10-1981 MEDIATOR HUBUNGAN INDUSTRIAL PERTAMA PENGANTAR KERJA PERTAMA PENGAWAS KETENAGAKERJAAN PERTAMA LULUS LULUS LULUS 2.353 610111670 3880001 158409 7239 66113001488 SUSI ASTRIANI 27-03-1988 GURU SEJARAH PERTAMA LULUS TIDAK LULUS TIDAK LULUS 2.354 610207450 8900007 191246 7554 66113000214 SUSI SUSANTI 05-08-1990 GURU MATEMATIKA PERTAMA LULUS TIDAK LULUS TIDAK LULUS 2.355 617101441 1880006 124441 6467 66113000192 SUSI WAHYUNI 04-11-1988 GURU SEJARAH PERTAMA LULUS TIDAK LULUS TIDAK LULUS 2.356 611207500 9910003 183464 5270 66112000235 SUSILAWATI 10-09-1991 BIDAN PELAKSANA LULUS TIDAK LULUS TIDAK LULUS
  • 119.
    NO NIK NO REGIST ER NO PESERTA NAMA TANGGAL LAHIR PILIHAN JABATAN 1 NAMA JABATAN 2 NAMA JABATAN 3 STATUS PILIHAN 1 STATUS PILIHAN 2 STATUS PILIHAN 3 2.357 617105610 9920004 139155 4549 66112000255 SUSILAWATI 21-09-1992 BIDAN PELAKSANA LULUS TIDAK LULUS TIDAK LULUS 2.358 611203600 1810001 184740 9837 66113001830 SUSILAWATI, SH 20-01-1981 PERANCANG PERUNDANG-UNDANGAN PERTAMA ANALIS LAYANAN UMUM PENGAWAS KETENAGAKERJAAN PERTAMA LULUS LULUS LULUS 2.359 330507080 1910003 150194 3859 66113000724 SUSILO EDY PURNOMO 08-01-1991 GURU IPA PERTAMA GURU FISIKA PERTAMA ANALIS KEBIJAKAN PERTAMA LULUS LULUS TIDAK LULUS 2.360 611201211 0820004 200143 2925 66113001013 SUTARYONO 21-10-1982 PEKERJA SOSIAL PERTAMA PENYULUH SOSIAL PERTAMA ANALIS KEBIJAKAN PERTAMA LULUS LULUS LULUS 2.361 611203500 8840007 159508 8251 66113001477 SUTIANA,S.PD 10-08-1984 GURU MATEMATIKA PERTAMA LULUS TIDAK LULUS TIDAK LULUS 2.362 611205640 2900001 119734 0296 66112000161 SUTIPAH TRANINGSIH 24-02-1990 BIDAN PELAKSANA LULUS TIDAK LULUS TIDAK LULUS 2.363 610215240 5910003 131305 7249 66112000303 SUTRIADI 24-05-1991 PRANATA LABORATORIUM KESEHATAN PERTAMA LULUS TIDAK LULUS TIDAK LULUS 2.364 611205210 1830006 152955 6364 66113000950 SUYATMONO, S.SOS 21-01-1983 PENYULUH SOSIAL PERTAMA PEKERJA SOSIAL PERTAMA ANALIS KEBIJAKAN PERTAMA LULUS LULUS LULUS 2.365 617105240 4910004 133595 7128 66113000216 SY. MUHAMMAD YUSUF 24-04-1991 ANALIS ANGGARAN PENYULUH KOPERASI ANALIS KEBIJAKAN PERTAMA LULUS LULUS LULUS 2.366 617103080 9840008 196256 1832 66113000280 SY. USMAN, ST 08-09-1984 TEKNIK JALAN DAN JEMBATAN PERTAMA ANALIS KEBIJAKAN PERTAMA LULUS LULUS TIDAK LULUS 2.367 617101030 5810012 176870 0088 66113001454 SY.FIRHAN 03-05-1981 PERENCANA PERTAMA ANALIS ANGGARAN ANALIS KEBIJAKAN PERTAMA LULUS LULUS LULUS 2.368 610101121 1830003 160229 7021 66113001113 SYAFARI 12-11-1983 ANALIS KEBIJAKAN PERTAMA LULUS TIDAK LULUS TIDAK LULUS 2.369 617106541 2800002 168817 3202 66113000310 SYAFARRANI,SP 14-12-1980 ANALIS KEBIJAKAN PERTAMA LULUS TIDAK LULUS TIDAK LULUS 2.370 611201081 2790007 135872 8284 66113001734 SYAH ABDUL KASNADI, S.SOS.I 08-12-1979 ANALIS KEBIJAKAN PERTAMA LULUS TIDAK LULUS TIDAK LULUS 2.371 611002210 4870004 121607 7783 66112000031 SYAHBANDI 21-04-1987 PERAWAT PELAKSANA LULUS TIDAK LULUS TIDAK LULUS 2.372 610701290 7900001 156213 3016 66113000657 SYAHBILAL MUHTADIN 29-07-1990 PERENCANA PERTAMA ANALIS ANGGARAN ANALIS KERJASAMA DAN PERMODALAN LULUS LULUS LULUS 2.373 610607100 9870002 201764 0005 66113001391 SYAHBUDIN 10-09-1987 PRANATA HUBUNGAN MASYARAKAT PERTAMA ANALIS KEBIJAKAN PERTAMA LULUS LULUS TIDAK LULUS 2.374 617103710 8870010 126140 3534 66113001371 SYAHIDA 31-08-1987 PEKERJA SOSIAL PERTAMA PENYULUH SOSIAL PERTAMA LULUS LULUS TIDAK LULUS 2.375 617101070 1830220 195866 7615 66113001820 SYAHRIZAL FATHWARI SIREGAR 07-01-1983 ANALIS KEBIJAKAN PERTAMA LULUS TIDAK LULUS TIDAK LULUS 2.376 610218090 6900002 194672 1289 66113000402 SYAHROMY 09-06-1990 GURU SOSIOLOGI PERTAMA LULUS TIDAK LULUS TIDAK LULUS
  • 120.
    NO NIK NO REGIST ER NO PESERTA NAMA TANGGAL LAHIR PILIHAN JABATAN 1 NAMA JABATAN 2 NAMA JABATAN 3 STATUS PILIHAN 1 STATUS PILIHAN 2 STATUS PILIHAN 3 2.377 617102080 5880003 140549 1214 66113000207 SYAHRU RAMADHAN 08-05-1988 GURU MATEMATIKA PERTAMA ANALIS KEBIJAKAN PERTAMA LULUS TIDAK LULUS TIDAK LULUS 2.378 610218050 5870004 115350 2543 66113001424 SYAIFUL BAHTIAR 05-05-1987 GURU MATEMATIKA PERTAMA LULUS TIDAK LULUS TIDAK LULUS 2.379 610701110 7910002 198516 0587 66113001034 SYAIFULLAH 11-07-1991 GURU MATEMATIKA PERTAMA LULUS TIDAK LULUS TIDAK LULUS 2.380 617103440 2880009 133137 3150 66113001162 SYAMDIAH SARI 04-02-1988 PERENCANA PERTAMA PENYULUH KOPERASI ANALIS KERJASAMA DAN PERMODALAN LULUS LULUS LULUS 2.381 611205230 6870001 189158 9431 66112000775 SYAMSUDIN 23-06-1987 PERAWAT PELAKSANA LULUS TIDAK LULUS TIDAK LULUS 2.382 611203101 1850006 189399 1218 66113000952 SYAMSUNI 10-11-1985 ANALIS KEBIJAKAN PERTAMA LULUS TIDAK LULUS TIDAK LULUS 2.383 617101701 1810018 170159 2114 66113000721 SYAMSURYANA 30-11-1981 GURU BAHASA INGGRIS PERTAMA SMP GURU BAHASA INGGRIS PERTAMA SMA ANALIS KEBIJAKAN PERTAMA LULUS LULUS TIDAK LULUS 2.384 617101160 9850016 105861 6638 66113001483 SYANT JAYA PUTRA ANGELIMA 16-09-1985 ANALIS KEBIJAKAN PERTAMA GURU BAHASA INGGRIS PERTAMA SMP GURU BAHASA INGGRIS PERTAMA SMA TIDAK LULUS LULUS LULUS 2.385 617201660 6880007 155248 5901 66112000613 SYARI SUSANA PANJAITAN 26-06-1988 PENGADMINISTRASI UMUM PENYUSUN RISALAH LULUS LULUS TIDAK LULUS 2.386 617105291 0850014 121091 8525 66113001239 SYARIEF FERRY ALKADRIE 29-10-1985 ANALIS KEBIJAKAN PERTAMA LULUS TIDAK LULUS TIDAK LULUS 2.387 611201471 0860011 195279 0151 66112000363 SYARIFAH DWI OCTAVIANI, A.MD 07-10-1986 PENGADMINISTRASI UMUM PENYUSUN RISALAH LULUS LULUS TIDAK LULUS 2.388 617102450 5900002 207412 1591 66113000968 SYARIFAH HAMIDAH 05-05-1990 PRANATA KOMPUTER PERTAMA LULUS TIDAK LULUS TIDAK LULUS 2.389 617102631 0840004 180945 2133 66113000946 SYARIFAH HIEFRIDA, ST 23-10-1984 ANALIS KEBIJAKAN PERTAMA PENATA RUANG PERTAMA SURVEYOR PEMETAAN PERTAMA LULUS LULUS LULUS 2.390 617102611 0820003 178989 8039 66113000588 SYARIFAH JUBAIDAH 21-10-1982 GURU MATEMATIKA PERTAMA ANALIS KEBIJAKAN PERTAMA LULUS TIDAK LULUS TIDAK LULUS 2.391 617102470 8830009 211858 2557 66113001158 SYARIFAH MARIAM 07-08-1983 GURU MATEMATIKA PERTAMA ANALIS KEBIJAKAN PERTAMA LULUS TIDAK LULUS TIDAK LULUS 2.392 617102670 9890002 133802 0239 66113001676 SYARIFAH NURUL HIDAYAH AL QADRI 27-09-1989 GURU FISIKA PERTAMA ANALIS KEBIJAKAN PERTAMA LULUS TIDAK LULUS TIDAK LULUS 2.393 617102470 1910503 102093 9834 66113000978 SYARIFAH RAUDA INTAN ALMUTAHAR 07-01-1991 PRANATA KOMPUTER PERTAMA ANALIS KEBIJAKAN PERTAMA LULUS LULUS TIDAK LULUS 2.394 611201480 9800007 191358 6063 66113001660 SYARIFAH SRI WAHYUNI 08-09-1980 PERANCANG PERUNDANG-UNDANGAN PERTAMA PENGANTAR KERJA PERTAMA ANALIS KEBIJAKAN PERTAMA LULUS LULUS LULUS 2.395 617103710 7840011 161998 4461 66113000604 SYARIFAH YULIANI 31-07-1984 ANALIS KEBIJAKAN PERTAMA LULUS TIDAK LULUS TIDAK LULUS 2.396 617103451 1800003 204816 2079 66112000089 SYF. ASIAH 05-11-1980 VERIFIKATOR KEUANGAN LULUS TIDAK LULUS TIDAK LULUS
  • 121.
    NO NIK NO REGIST ER NO PESERTA NAMA TANGGAL LAHIR PILIHAN JABATAN 1 NAMA JABATAN 2 NAMA JABATAN 3 STATUS PILIHAN 1 STATUS PILIHAN 2 STATUS PILIHAN 3 2.397 617104550 7890007 144436 9820 66112000821 SYF. DEWI HANDAYANI 15-07-1989 PENGADMINISTRASI UMUM LULUS TIDAK LULUS TIDAK LULUS 2.398 617102600 5810003 133777 3852 66113001330 SYF. HERLINDA, SE 20-05-1981 ANALIS KERJASAMA DAN PERMODALAN PERENCANA PERTAMA PENYULUH KOPERASI LULUS LULUS LULUS 2.399 611209570 7920003 160341 8910 66113001545 SYF. NURLAILA 17-07-1992 GURU GEOGRAFI PERTAMA LULUS TIDAK LULUS TIDAK LULUS 2.400 617103580 8900003 206782 6905 66113001079 SYF. SHEILA RAEDHITA 19-08-1990 ANALIS LAYANAN UMUM ANALIS KEBIJAKAN PERTAMA LULUS LULUS TIDAK LULUS 2.401 611209500 5920009 174557 5624 66113001541 SYF. SITI KAMARIA 10-05-1992 GURU SEJARAH PERTAMA ANALIS KEBIJAKAN PERTAMA LULUS TIDAK LULUS TIDAK LULUS 2.402 617102440 9800005 207816 8148 66113000699 SYF. SYAHIRA 04-09-1980 GURU BAHASA INGGRIS PERTAMA SMP LULUS TIDAK LULUS TIDAK LULUS 2.403 611201620 5900002 116238 4931 66113000640 SYF.ARINI 22-05-1990 PENYULUH KOPERASI ANALIS ANGGARAN ANALIS KEBIJAKAN PERTAMA LULUS LULUS LULUS 2.404 617104521 2860003 109469 2837 66113001899 SYF.DESSI INDRIANI 12-12-1986 PEKERJA SOSIAL PERTAMA PENYULUH SOSIAL PERTAMA ANALIS KEBIJAKAN PERTAMA LULUS LULUS LULUS 2.405 617102640 8860001 104068 8840 66112000254 SYF.SELFIA,A.MD 24-08-1986 PENYUSUN RISALAH PENGADMINISTRASI UMUM LULUS LULUS TIDAK LULUS 2.406 617103490 1800009 187085 3135 66113001755 SYLVIA ARIYANI SULAYA 09-01-1980 PRANATA KOMPUTER PERTAMA LULUS TIDAK LULUS TIDAK LULUS 2.407 617201480 7920004 159472 8875 66113001539 SYLVIA KURNIA EKA PUTRI 08-07-1992 GURU SEJARAH PERTAMA LULUS TIDAK LULUS TIDAK LULUS 2.408 611201060 8890014 186921 5641 66113000595 TANSA FIRSTA NOVINDA 06-08-1989 GURU IPA PERTAMA GURU FISIKA PERTAMA LULUS LULUS TIDAK LULUS 2.409 611202150 2870002 187892 8024 66112000414 TAPYIN 15-02-1987 PENGADMINISTRASI UMUM PENYUSUN RISALAH LULUS LULUS TIDAK LULUS 2.410 611201251 0880007 107045 2459 66113001878 TATANG MULYADI 25-10-1988 PERANCANG PERUNDANG-UNDANGAN PERTAMA PENGAWAS KETENAGAKERJAAN PERTAMA ANALIS KEBIJAKAN PERTAMA LULUS LULUS LULUS 2.411 611201490 3830013 213547 2944 66112000773 TATI SUSILAWATI 09-03-1983 PENGADMINISTRASI UMUM LULUS TIDAK LULUS TIDAK LULUS 2.412 617102010 9890007 201024 1838 66113001480 TAUFIQ 01-09-1989 GURU SEJARAH PERTAMA ANALIS KEBIJAKAN PERTAMA LULUS TIDAK LULUS TIDAK LULUS 2.413 611209200 7880002 129714 6493 66113001658 TAUFIQ HIDAYAT 20-07-1988 GURU BAHASA INGGRIS PERTAMA SMP ANALIS KEBIJAKAN PERTAMA GURU BAHASA INGGRIS PERTAMA SMA LULUS TIDAK LULUS LULUS 2.414 610906100 8900003 212527 7170 66112000035 TEDI SUMARNO 10-08-1990 PENGADMINISTRASI UMUM PENYUSUN RISALAH LULUS LULUS TIDAK LULUS 2.415 617101090 9810016 208460 5071 66113001855 TEDY ZULKARNAEN 09-09-1981 PAMONG BUDAYA PERTAMA ANALIS KEBIJAKAN PERTAMA LULUS LULUS TIDAK LULUS 2.416 617201310 1890004 152384 5993 66113000240 TEGIE ARIAN PRATAMA 31-01-1989 ANALIS KEBIJAKAN PERTAMA PEKERJA SOSIAL PERTAMA PENYULUH SOSIAL PERTAMA LULUS LULUS LULUS
  • 122.
    NO NIK NO REGIST ER NO PESERTA NAMA TANGGAL LAHIR PILIHAN JABATAN 1 NAMA JABATAN 2 NAMA JABATAN 3 STATUS PILIHAN 1 STATUS PILIHAN 2 STATUS PILIHAN 3 2.417 610216210 1890001 148741 6454 66112000181 TEGUH ARDIKA 21-01-1989 PERAWAT PELAKSANA LULUS TIDAK LULUS TIDAK LULUS 2.418 610105090 3840004 202804 1449 66113000902 TEGUH HERMAWAN 09-03-1984 PRANATA KOMPUTER PERTAMA ANALIS KEBIJAKAN PERTAMA LULUS LULUS TIDAK LULUS 2.419 617101230 7880010 172757 5047 66113001422 TEGUH HERMAWAN 23-07-1988 GURU MATEMATIKA PERTAMA LULUS TIDAK LULUS TIDAK LULUS 2.420 617101071 2890012 163931 6958 66112000046 TEGUH PRASETYA 07-12-1989 PERAWAT PELAKSANA LULUS TIDAK LULUS TIDAK LULUS 2.421 617101081 1860006 157762 6998 66113000023 TEJA LESMANA 08-11-1986 PRANATA HUBUNGAN MASYARAKAT PERTAMA ANALIS KEBIJAKAN PERTAMA LULUS LULUS TIDAK LULUS 2.422 610218441 0860004 104578 1367 66112000012 TENGKU MUSDHALIFAH 04-10-1986 PENGADMINISTRASI UMUM PENYUSUN RISALAH LULUS LULUS TIDAK LULUS 2.423 347114480 5830001 199904 6310 66113000460 TERISSURYANA NOVELLA 08-05-1983 APOTEKER PERTAMA LULUS TIDAK LULUS TIDAK LULUS 2.424 617103620 2810004 114224 7508 66112000739 TETIK SETIAWATI, AMD 22-02-1981 PENGADMINISTRASI UMUM PENYUSUN RISALAH LULUS LULUS TIDAK LULUS 2.425 160213570 8910001 170045 0636 66112000722 TETRANI SEDYANING TYAS 17-08-1991 BIDAN PELAKSANA LULUS TIDAK LULUS TIDAK LULUS 2.426 120830650 8900004 175634 6243 66112000307 TETY DINA TIAN HUI SIMATUPANG 25-08-1990 BIDAN PELAKSANA LULUS TIDAK LULUS TIDAK LULUS 2.427 611207590 4920003 123800 1196 66112000261 THAMY APRIANI 19-04-1992 PENGADMINISTRASI UMUM PENYUSUN RISALAH LULUS LULUS TIDAK LULUS 2.428 610501050 6930008 107405 0973 66112000810 THEO TRY YOSA 05-06-1993 PARAMEDIK VETERINER PELAKSANA LULUS TIDAK LULUS TIDAK LULUS 2.429 617103511 1900004 104320 8312 66112000388 THINI 11-11-1990 BIDAN PELAKSANA LULUS TIDAK LULUS TIDAK LULUS 2.430 611201530 8920006 176018 1840 66112000010 TIA AGUSTIANINGSIH 13-08-1992 BIDAN PELAKSANA LULUS TIDAK LULUS TIDAK LULUS 2.431 611201600 6900009 127187 5335 66113000840 TIA AMALIA 22-06-1990 GURU MATEMATIKA PERTAMA LULUS TIDAK LULUS TIDAK LULUS 2.432 610101440 4880005 156519 8437 66113001845 TIA APRIANI 04-04-1988 ANALIS KERJASAMA DAN PERMODALAN ANALIS ANGGARAN ANALIS KEBIJAKAN PERTAMA LULUS LULUS LULUS 2.433 611207501 2930003 132603 5473 66112000233 TIA DISTA ASTIATI 10-12-1993 PERAWAT PELAKSANA LULUS TIDAK LULUS TIDAK LULUS 2.434 617201511 0900001 170497 7674 66112000121 TIA RISTI UTAMI 11-10-1990 BIDAN PELAKSANA LULUS TIDAK LULUS TIDAK LULUS 2.435 610501610 5910006 184734 6709 66112000393 TIANA ATRININGSIH 21-05-1991 BIDAN PELAKSANA LULUS TIDAK LULUS TIDAK LULUS 2.436 317306580 8890001 152027 3309 66113001781 TIARA CITRA PRINIASTY 18-08-1989 ANALIS KEBIJAKAN PERTAMA LULUS TIDAK LULUS TIDAK LULUS
  • 123.
    NO NIK NO REGIST ER NO PESERTA NAMA TANGGAL LAHIR PILIHAN JABATAN 1 NAMA JABATAN 2 NAMA JABATAN 3 STATUS PILIHAN 1 STATUS PILIHAN 2 STATUS PILIHAN 3 2.437 617201560 8910004 116801 6988 66112000278 TIARA LARASWATY 16-08-1991 PERAWAT PELAKSANA LULUS TIDAK LULUS TIDAK LULUS 2.438 611201411 2930010 152187 4788 66112000098 TIKA SUSILAWATI 01-12-1993 PERAWAT PELAKSANA LULUS TIDAK LULUS TIDAK LULUS 2.439 617103441 1840024 139273 6701 66113001438 TITI FRISTIA 04-11-1984 ANALIS ANGGARAN ANALIS KERJASAMA DAN PERMODALAN ANALIS KEBIJAKAN PERTAMA LULUS LULUS LULUS 2.440 610503701 1910003 135704 3677 66112000641 TITIK SETIOWATI 30-11-1991 PERAWAT PELAKSANA LULUS TIDAK LULUS TIDAK LULUS 2.441 617105621 0810007 129866 0146 66112000313 TITIN AWALIAH 22-10-1981 VERIFIKATOR KEUANGAN LULUS TIDAK LULUS TIDAK LULUS 2.442 611201700 8900004 144559 6161 66113000287 TITIN SUPRIHATINI 30-08-1990 GURU MATEMATIKA PERTAMA LULUS TIDAK LULUS TIDAK LULUS 2.443 617103671 1830009 126678 2667 66113001295 TITIN TRI PRABARATNA 27-11-1983 PENYULUH KOPERASI PERENCANA PERTAMA ANALIS KERJASAMA DAN PERMODALAN LULUS LULUS LULUS 2.444 610302701 2890001 195483 0693 66113001204 TIWIK ISTI NARSIWI 30-12-1989 GURU MATEMATIKA PERTAMA LULUS TIDAK LULUS TIDAK LULUS 2.445 610212260 9870003 108241 5139 66113000210 TOMI ARTA 26-09-1987 GURU SEJARAH PERTAMA LULUS TIDAK LULUS TIDAK LULUS 2.446 610705050 9870003 200630 1573 66112000813 TOMI SEPRIADI 05-09-1987 PERAWAT PELAKSANA LULUS TIDAK LULUS TIDAK LULUS 2.447 617103180 2910003 113389 6481 66112000686 TOMMY GALIH GUMILANG 18-02-1991 PENYUSUN RISALAH PENGADMINISTRASI UMUM LULUS LULUS TIDAK LULUS 2.448 610321070 3910001 187894 9742 66113000165 TOMMY HARDIANSYAH 07-03-1991 ANALIS KEBIJAKAN PERTAMA LULUS TIDAK LULUS TIDAK LULUS 2.449 617105010 3900009 180903 8242 66113001835 TOMMY TEGUH SAPUTRA 01-03-1990 PRANATA KOMPUTER PERTAMA ANALIS KEBIJAKAN PERTAMA LULUS LULUS TIDAK LULUS 2.450 611201180 4840022 144978 8868 66113001018 TONI 18-04-1984 ANALIS KEBIJAKAN PERTAMA LULUS TIDAK LULUS TIDAK LULUS 2.451 611202020 4900002 172935 4431 66113000892 TONO 02-04-1990 GURU SEJARAH PERTAMA ANALIS KEBIJAKAN PERTAMA LULUS TIDAK LULUS TIDAK LULUS 2.452 611201130 4860007 202206 8814 66113001551 TOTO TRI PRIHANTO 13-04-1986 GURU BAHASA INGGRIS PERTAMA SMA GURU BAHASA INGGRIS PERTAMA SMP ANALIS KEBIJAKAN PERTAMA LULUS LULUS TIDAK LULUS 2.453 617103051 2870008 187617 2696 66113000610 TOTOK SUGIANTORO 05-12-1987 ANALIS KEBIJAKAN PERTAMA LULUS TIDAK LULUS TIDAK LULUS 2.454 610417680 3890010 173935 8569 66113001071 TRI EKAWATI 28-03-1989 ANALIS KEBIJAKAN PERTAMA PERENCANA PERTAMA PENYULUH KOPERASI LULUS LULUS LULUS 2.455 611201410 2910012 173993 8386 66112000165 TRI FEBRIANI 01-02-1991 BIDAN PELAKSANA LULUS TIDAK LULUS TIDAK LULUS 2.456 617104430 9810016 137369 7760 66113001390 TRI HANANTI SULIANA 03-09-1981 PERENCANA PERTAMA ANALIS KEBIJAKAN PERTAMA ANALIS KERJASAMA DAN PERMODALAN LULUS LULUS LULUS
  • 124.
    NO NIK NO REGIST ER NO PESERTA NAMA TANGGAL LAHIR PILIHAN JABATAN 1 NAMA JABATAN 2 NAMA JABATAN 3 STATUS PILIHAN 1 STATUS PILIHAN 2 STATUS PILIHAN 3 2.457 611201410 4890010 163273 9192 66113001135 TRI HERWANTI 01-04-1989 GURU MATEMATIKA PERTAMA LULUS TIDAK LULUS TIDAK LULUS 2.458 617105631 1890001 179632 6874 66113000730 TRI MULYANINGSIH 23-11-1989 GURU BAHASA INGGRIS PERTAMA SMP GURU BAHASA INGGRIS PERTAMA SMA ANALIS KEBIJAKAN PERTAMA LULUS LULUS TIDAK LULUS 2.459 611203650 3890001 161158 3191 66112000602 TRI MULYANTI 25-03-1989 PENGADMINISTRASI UMUM LULUS TIDAK LULUS TIDAK LULUS 2.460 617104640 5820009 164725 0392 66112000422 TRI MULYATI 24-05-1982 PERAWAT PELAKSANA LULUS TIDAK LULUS TIDAK LULUS 2.461 611201440 9840006 185309 8519 66113001779 TRI NARSIH 04-09-1984 ANALIS KEBIJAKAN PERTAMA LULUS TIDAK LULUS TIDAK LULUS 2.462 610301530 9890002 158685 5836 66112000552 TRI NUR UTAMI 13-09-1989 BIDAN PELAKSANA LULUS TIDAK LULUS TIDAK LULUS 2.463 617105541 0820007 208878 5633 66112000109 TRI OKFIADRIANI 14-10-1982 VERIFIKATOR KEUANGAN LULUS TIDAK LULUS TIDAK LULUS 2.464 611209681 0910002 117066 5246 66113001133 TRI OKTA WULANDARI 28-10-1991 GURU MATEMATIKA PERTAMA LULUS TIDAK LULUS TIDAK LULUS 2.465 611201420 4900021 210053 6367 66113001050 TRI PRAYA ANDAYANI 02-04-1990 PERENCANA PERTAMA ANALIS KEBIJAKAN PERTAMA PENYULUH KOPERASI LULUS LULUS LULUS 2.466 611103441 2880002 156062 6398 66113000014 TRI RAHAYU 04-12-1988 PERENCANA PERTAMA ANALIS ANGGARAN PENYULUH KOPERASI LULUS LULUS LULUS 2.467 610801600 5930006 172608 0760 66112000200 TRI RAODAWATI 20-05-1993 NUTRISIONIS PELAKSANA LULUS TIDAK LULUS TIDAK LULUS 2.468 617101570 5800023 206596 0052 66113001586 TRI RAZIASTUTI 17-05-1980 PENGANTAR KERJA PERTAMA ANALIS KEBIJAKAN PERTAMA LULUS LULUS TIDAK LULUS 2.469 617104410 8890007 181999 0095 66113001022 TRI REGIAN ASTUTI 01-08-1989 GURU SEJARAH PERTAMA ANALIS KEBIJAKAN PERTAMA LULUS TIDAK LULUS TIDAK LULUS 2.470 617105570 3820004 192308 7299 66113001498 TRI SUMARNI 17-03-1982 ANALIS KEBIJAKAN PERTAMA PENATA RUANG PERTAMA SURVEYOR PEMETAAN PERTAMA LULUS LULUS LULUS 2.471 617101480 2910006 140214 0262 66112000801 TRI WAHYUNI 08-02-1991 PENGADMINISTRASI UMUM LULUS TIDAK LULUS TIDAK LULUS 2.472 617103710 5890015 109396 2877 66113000203 TRI WATINI 31-05-1989 GURU BAHASA INGGRIS PERTAMA SMP LULUS TIDAK LULUS TIDAK LULUS 2.473 617105590 3850003 134667 2588 66112000807 TRI WIDIASTUTI 19-03-1985 PENYUSUN RISALAH LULUS TIDAK LULUS TIDAK LULUS 2.474 611207480 8830002 141370 4797 66113001255 TRI WULIYANI 08-08-1983 GURU IPA PERTAMA GURU BIOLOGI PERTAMA LULUS LULUS TIDAK LULUS 2.475 617105520 8900005 141907 5292 66112000502 TRI YANNI 12-08-1990 BIDAN PELAKSANA LULUS TIDAK LULUS TIDAK LULUS 2.476 611209700 5850006 112301 2739 66113000401 TRINITA 30-05-1985 GURU MATEMATIKA PERTAMA ANALIS KEBIJAKAN PERTAMA LULUS TIDAK LULUS TIDAK LULUS
  • 125.
    NO NIK NO REGIST ER NO PESERTA NAMA TANGGAL LAHIR PILIHAN JABATAN 1 NAMA JABATAN 2 NAMA JABATAN 3 STATUS PILIHAN 1 STATUS PILIHAN 2 STATUS PILIHAN 3 2.477 617103091 0910009 135825 8344 66113001332 TRIO BAJA RINYUANG 09-10-1991 ANALIS KEBIJAKAN PERTAMA PRANATA KOMPUTER PERTAMA LULUS LULUS TIDAK LULUS 2.478 617103260 9880003 107051 5901 66112000309 TRISDARYADI RINARDI 24-05-1989 PERAWAT PELAKSANA LULUS TIDAK LULUS TIDAK LULUS 2.479 611104210 1910001 140644 3115 66113001904 TRISNA SANJAYA 21-01-1990 GURU SEJARAH PERTAMA ANALIS KEBIJAKAN PERTAMA LULUS TIDAK LULUS TIDAK LULUS 2.480 617101551 0860004 134764 4189 66112000379 TRISNAWATI 15-10-1986 PERAWAT PELAKSANA LULUS TIDAK LULUS TIDAK LULUS 2.481 617103080 8810006 168970 1978 66113000115 TRISULA ALAM CIPTADI, ST 08-08-1981 PENATA RUANG PERTAMA SURVEYOR PEMETAAN PERTAMA ANALIS KEBIJAKAN PERTAMA LULUS LULUS LULUS 2.482 617105060 3830012 117590 9821 66113001659 TUAH RIFKI PERKASA,SH 06-03-1983 PERANCANG PERUNDANG-UNDANGAN PERTAMA ANALIS LAYANAN UMUM ANALIS KEBIJAKAN PERTAMA LULUS LULUS LULUS 2.483 617105130 6820013 134935 0676 66113000557 TUKIJAN 13-06-1982 PENATA RUANG PERTAMA SURVEYOR PEMETAAN PERTAMA ANALIS KEBIJAKAN PERTAMA LULUS LULUS LULUS 2.484 611207450 4920002 170228 6855 66112000647 TUMINI 05-05-1992 BIDAN PELAKSANA LULUS TIDAK LULUS TIDAK LULUS 2.485 210316090 1860001 111405 7339 66113001758 TURYADI 09-01-1986 ANALIS KEBIJAKAN PERTAMA LULUS TIDAK LULUS TIDAK LULUS 2.486 617103630 3850509 133293 2810 66113001038 TUS PANGESTUNI 23-03-1985 GURU MATEMATIKA PERTAMA LULUS TIDAK LULUS TIDAK LULUS 2.487 611209410 1900006 193235 9850 66112000203 TUTI RAHAYU 01-01-1990 BIDAN PELAKSANA LULUS TIDAK LULUS TIDAK LULUS 2.488 617101580 8880013 163671 8068 66113001184 TUTUT HANDAYANI TETRUKO 18-08-1988 PERENCANA PERTAMA ANALIS ANGGARAN ANALIS KERJASAMA DAN PERMODALAN LULUS LULUS LULUS 2.489 331212420 9860001 164793 7162 66113001909 TUTUT LINA INDRASARI 02-09-1986 GURU IPA PERTAMA GURU FISIKA PERTAMA ANALIS KEBIJAKAN PERTAMA LULUS LULUS TIDAK LULUS 2.490 610320450 8910001 121597 9797 66112000420 UCI RUSMANTI 05-08-1991 PERAWAT PELAKSANA LULUS TIDAK LULUS TIDAK LULUS 2.491 610102691 1880002 156523 8840 66113001627 UDIAH 29-11-1988 GURU MATEMATIKA PERTAMA LULUS TIDAK LULUS TIDAK LULUS 2.492 610801500 5840010 196528 7025 66112000712 ULFAH APRIANI 10-05-1984 PERAWAT PELAKSANA LULUS TIDAK LULUS TIDAK LULUS 2.493 611209491 2870003 176945 5257 66113000381 ULFATUN 09-12-1987 ANALIS KEBIJAKAN PERTAMA LULUS TIDAK LULUS TIDAK LULUS 2.494 617105040 1910005 133460 9069 66112000314 ULI NUHA 04-01-1991 VERIFIKATOR KEUANGAN LULUS TIDAK LULUS TIDAK LULUS 2.495 611201600 3810004 199971 4494 66113001832 UMMI KALSUM 20-03-1981 ANALIS KEBIJAKAN PERTAMA PERENCANA PERTAMA ANALIS ANGGARAN LULUS LULUS LULUS 2.496 610117440 9890003 138258 9204 66113000676 UMMU KALSUM 04-09-1989 GURU SEJARAH PERTAMA LULUS TIDAK LULUS TIDAK LULUS
  • 126.
    NO NIK NO REGIST ER NO PESERTA NAMA TANGGAL LAHIR PILIHAN JABATAN 1 NAMA JABATAN 2 NAMA JABATAN 3 STATUS PILIHAN 1 STATUS PILIHAN 2 STATUS PILIHAN 3 2.497 617104640 6890009 168528 9611 66113000726 UNNI MARITA 24-06-1989 GURU MATEMATIKA PERTAMA LULUS TIDAK LULUS TIDAK LULUS 2.498 617102680 4800003 187105 0259 66112000449 UPIK ISNANIAH 28-04-1980 NUTRISIONIS PELAKSANA LULUS TIDAK LULUS TIDAK LULUS 2.499 610208020 3910003 175490 2613 66113000802 URAI RIDWANA 03-03-1991 GURU BAHASA INDONESIA PERTAMA ANALIS KEBIJAKAN PERTAMA LULUS TIDAK LULUS TIDAK LULUS 2.500 611209520 3910005 129615 0359 66112000202 URAY ANGGRAINI 12-03-1991 BIDAN PELAKSANA LULUS TIDAK LULUS TIDAK LULUS 2.501 617103020 8890003 184224 5146 66112000522 URAY BELLA DHEKA PERMANA 02-08-1989 PENYUSUN RISALAH PENGADMINISTRASI UMUM LULUS LULUS TIDAK LULUS 2.502 617201411 2880001 130517 6742 66112000064 URAY MITA ARNIZA 01-12-1988 BIDAN PELAKSANA LULUS TIDAK LULUS TIDAK LULUS 2.503 617105600 1900009 181337 3171 66112000535 URAY MULTI 20-01-1990 PENGADMINISTRASI UMUM PENYUSUN RISALAH LULUS LULUS TIDAK LULUS 2.504 611201431 1910008 167817 8473 66112000832 URAY VIRNALIA 03-11-1991 PENGADMINISTRASI UMUM LULUS TIDAK LULUS TIDAK LULUS 2.505 611201481 1880001 189355 8130 66113001623 URAY WINDA NOVASARI 08-11-1988 PENYULUH KOPERASI ANALIS KERJASAMA DAN PERMODALAN PERENCANA PERTAMA LULUS LULUS LULUS 2.506 610301121 2910001 151668 6267 66112000455 USDIANRI KURTURA 12-12-1991 VERIFIKATOR KEUANGAN LULUS TIDAK LULUS TIDAK LULUS 2.507 617102541 2890001 151697 2965 66112000571 USWATUN HASANAH 14-12-1989 PENGADMINISTRASI UMUM PENYUSUN RISALAH LULUS LULUS TIDAK LULUS 2.508 611201510 7860009 142147 7514 66113000012 USWATUN HASANAH 11-07-1986 ANALIS ANGGARAN PERENCANA PERTAMA ANALIS KERJASAMA DAN PERMODALAN LULUS LULUS LULUS 2.509 611201621 0830008 159544 8451 66113001003 UTAMI OKTAVIA SUMARIANI 22-10-1983 ANALIS LAYANAN UMUM PENGAWAS KETENAGAKERJAAN PERTAMA PERANCANG PERUNDANG-UNDANGAN PERTAMA LULUS LULUS LULUS 2.510 611209471 2860004 197207 1264 66113001656 UTET DESSY CAROLINA 07-12-1986 GURU SEJARAH PERTAMA LULUS TIDAK LULUS TIDAK LULUS 2.511 617105630 2860005 141583 2605 66113001697 UTIN DEWI PEBRIYANA 23-02-1986 ANALIS KEBIJAKAN PERTAMA LULUS TIDAK LULUS TIDAK LULUS 2.512 617104681 2900005 126538 4099 66112000389 UTIN FRIKA DESY UTAMI 28-12-1990 PERAWAT PELAKSANA LULUS TIDAK LULUS TIDAK LULUS 2.513 617105680 4810005 158572 9020 66113000396 UTIN NUR AFRIANI 28-04-1981 GURU SEJARAH PERTAMA ANALIS KEBIJAKAN PERTAMA LULUS TIDAK LULUS TIDAK LULUS 2.514 610301550 8880003 105365 6005 66113001351 UTIN RAHMI MUTIA DEWI 15-08-1988 ANALIS ANGGARAN ANALIS KERJASAMA DAN PERMODALAN PERENCANA PERTAMA LULUS LULUS LULUS 2.515 617103640 7900005 201263 6960 66113000224 UTIN RINI ADE PUTRI 24-07-1990 PERANCANG PERUNDANG-UNDANGAN PERTAMA PENGAWAS KETENAGAKERJAAN PERTAMA ANALIS KEBIJAKAN PERTAMA LULUS LULUS LULUS 2.516 611209410 9850003 136863 1579 66112000295 UTIN VINA ROSANITA ISDIANA 01-09-1985 PENGADMINISTRASI UMUM LULUS TIDAK LULUS TIDAK LULUS
  • 127.
    NO NIK NO REGIST ER NO PESERTA NAMA TANGGAL LAHIR PILIHAN JABATAN 1 NAMA JABATAN 2 NAMA JABATAN 3 STATUS PILIHAN 1 STATUS PILIHAN 2 STATUS PILIHAN 3 2.517 611201451 2850012 211089 7640 66112000267 UUN YUSLINNA UTIKA 05-12-1985 PERAWAT PELAKSANA LULUS TIDAK LULUS TIDAK LULUS 2.518 610105501 0840005 129878 9417 66112000003 UZAINATUL UMAMAH,A.MD 10-10-1984 VERIFIKATOR KEUANGAN LULUS TIDAK LULUS TIDAK LULUS 2.519 610513681 1790001 159285 7747 66112000357 UZLIFATUL JANAH 28-11-1979 PENGADMINISTRASI UMUM LULUS TIDAK LULUS TIDAK LULUS 2.520 617103660 7880006 140145 4997 66113000934 VALENTINA LATI 26-07-1988 PENATA RUANG PERTAMA SURVEYOR PEMETAAN PERTAMA ANALIS KEBIJAKAN PERTAMA LULUS LULUS LULUS 2.521 610309640 1900001 121876 7115 66113001333 VALENTINA PRAWITA ANGKASA PASARIBU 24-01-1990 ANALIS KEBIJAKAN PERTAMA LULUS TIDAK LULUS TIDAK LULUS 2.522 610802661 0900001 119657 9209 66112000837 VALENTINA VIA 26-10-1990 PERAWAT PELAKSANA LULUS TIDAK LULUS TIDAK LULUS 2.523 617201020 9890001 211013 9274 66113001834 VAZZIL SALTIANI 02-09-1989 ANALIS KEBIJAKAN PERTAMA LULUS TIDAK LULUS TIDAK LULUS 2.524 611201470 2850009 106234 8641 66113000962 VENNY CHINTIANI 07-02-1985 ANALIS ANGGARAN PENYULUH KOPERASI ANALIS KERJASAMA DAN PERMODALAN LULUS LULUS LULUS 2.525 617105660 3870001 183473 2183 66113000367 VENNY TRIWINATA 26-03-1987 PENYULUH KOPERASI PERENCANA PERTAMA ANALIS KEBIJAKAN PERTAMA LULUS LULUS LULUS 2.526 130105630 2900001 115348 9907 66112000855 VERA NIKA SARI 23-02-1990 BIDAN PELAKSANA LULUS TIDAK LULUS TIDAK LULUS 2.527 610117450 2890002 159092 1715 66112000191 VERA SRI HASTUTI 05-02-1989 NUTRISIONIS PELAKSANA LULUS TIDAK LULUS TIDAK LULUS 2.528 611203590 4930002 159092 7899 66112000131 VERINA FITRIANI 19-04-1992 BIDAN PELAKSANA LULUS TIDAK LULUS TIDAK LULUS 2.529 617105420 2880006 190198 7276 66113000073 VERMA FEBRI LESTARI 02-02-1988 GURU MATEMATIKA PERTAMA ANALIS KEBIJAKAN PERTAMA LULUS TIDAK LULUS TIDAK LULUS 2.530 611201680 8900007 106865 7573 66113000538 VERONIKA KRISTIANTI 28-08-1990 GURU BAHASA INGGRIS PERTAMA SMP GURU BAHASA INGGRIS PERTAMA SMA LULUS LULUS TIDAK LULUS 2.531 617103530 2840004 179324 0057 66113001482 VERONIKA SUHERNA 13-02-1984 GURU MATEMATIKA PERTAMA ANALIS KEBIJAKAN PERTAMA LULUS TIDAK LULUS TIDAK LULUS 2.532 617102030 3900005 118165 8527 66113000826 VIC ALBERT AYRIL 03-03-1990 ANALIS KERJASAMA DAN PERMODALAN PERENCANA PERTAMA ANALIS ANGGARAN LULUS LULUS LULUS 2.533 610310550 5940001 159333 0532 66112000642 VICTORIA ELI DAPIT 15-05-1994 PERAWAT PELAKSANA LULUS TIDAK LULUS TIDAK LULUS 2.534 610807050 9830006 153115 7130 66113000499 VICTORINUS PARANSO ANTON 05-09-1983 ANALIS KEBIJAKAN PERTAMA LULUS TIDAK LULUS TIDAK LULUS 2.535 611201531 1860002 200570 0043 66113000562 VIKTORINA BURI ALIAS FITRIA SALIMA 13-11-1986 GURU BAHASA INDONESIA PERTAMA LULUS TIDAK LULUS TIDAK LULUS 2.536 610111670 6860001 149667 5908 66113001854 VINA ETTI KOSSARI 27-06-1986 ANALIS KEBIJAKAN PERTAMA LULUS TIDAK LULUS TIDAK LULUS
  • 128.
    NO NIK NO REGIST ER NO PESERTA NAMA TANGGAL LAHIR PILIHAN JABATAN 1 NAMA JABATAN 2 NAMA JABATAN 3 STATUS PILIHAN 1 STATUS PILIHAN 2 STATUS PILIHAN 3 2.537 611201691 2920005 184616 6392 66112000134 VINI DESYANTI 29-12-1992 BIDAN PELAKSANA LULUS TIDAK LULUS TIDAK LULUS 2.538 617103441 2910008 164648 9771 66112000166 VINNY PUTRISARI 04-12-1991 BIDAN PELAKSANA LULUS TIDAK LULUS TIDAK LULUS 2.539 610601100 6920001 133516 3128 66112000297 VINSENSIUS RONI SAMPURAI 10-09-1992 PERAWAT PELAKSANA LULUS TIDAK LULUS TIDAK LULUS 2.540 617105200 9870010 206121 2533 66113000919 VIRGO KARDINA 20-09-1987 GURU MATEMATIKA PERTAMA LULUS TIDAK LULUS TIDAK LULUS 2.541 617102510 4870006 148449 7177 66112000068 VIVI AFRIANTY AMD KEB 11-04-1987 BIDAN PELAKSANA LULUS TIDAK LULUS TIDAK LULUS 2.542 611201630 5890002 154690 6162 66112000533 VIVI ARIANI 23-05-1989 PENGADMINISTRASI UMUM PENYUSUN RISALAH LULUS LULUS TIDAK LULUS 2.543 617101621 1830006 116086 7227 66113000970 VIVI DEWI DAMAYANTI 22-11-1983 ANALIS KEBIJAKAN PERTAMA LULUS TIDAK LULUS TIDAK LULUS 2.544 611206430 2890002 168211 0520 66113001274 VIVI PUSPITASARI 03-02-1989 GURU BAHASA INGGRIS PERTAMA SMP GURU BAHASA INGGRIS PERTAMA SMA ANALIS KEBIJAKAN PERTAMA LULUS LULUS TIDAK LULUS 2.545 610108710 3890002 113290 7460 66113001453 VIVI SATRINA 31-03-1989 ANALIS KEBIJAKAN PERTAMA LULUS TIDAK LULUS TIDAK LULUS 2.546 340301690 1850002 183432 2553 66113001199 VIVIN NGESTI SUWASTI 29-01-1985 ANALIS KEBIJAKAN PERTAMA ANALIS LAYANAN UMUM PENGAWAS KETENAGAKERJAAN PERTAMA LULUS LULUS LULUS 2.547 611206450 4870002 123228 0768 66113000284 WAHDINI MIFTAHUL HUSNA 05-04-1987 GURU BAHASA INGGRIS PERTAMA SMP GURU BAHASA INGGRIS PERTAMA SMA ANALIS KEBIJAKAN PERTAMA LULUS LULUS TIDAK LULUS 2.548 611207080 8910002 207362 6274 66112000582 WAHONO 08-08-1991 PERAWAT PELAKSANA LULUS TIDAK LULUS TIDAK LULUS 2.549 340215080 7850004 129794 1969 66113000061 WAHYU AKBAR 08-07-1985 PRANATA HUBUNGAN MASYARAKAT PERTAMA LULUS TIDAK LULUS TIDAK LULUS 2.550 617106521 2870001 199256 4079 66113000359 WAHYU AMANI 12-12-1987 ANALIS KEBIJAKAN PERTAMA LULUS TIDAK LULUS TIDAK LULUS 2.551 611207190 1910001 168777 0112 66112000694 WAHYU ANDI SAPUTRO 19-01-1991 PRANATA LABORATORIUM KESEHATAN PERTAMA LULUS TIDAK LULUS TIDAK LULUS 2.552 617104510 8820003 112045 8845 66113001581 WAHYU ARIANY 11-08-1982 APOTEKER PERTAMA LULUS TIDAK LULUS TIDAK LULUS 2.553 617105151 2910002 189891 8011 66113001178 WAHYU ARIF MURTANDHO 15-12-1991 GURU KIMIA PERTAMA ANALIS KEBIJAKAN PERTAMA LULUS TIDAK LULUS TIDAK LULUS 2.554 611201290 4910001 140510 8328 66112000792 WAHYU BUDI KUSUMA 21-04-1991 PERAWAT PELAKSANA LULUS TIDAK LULUS TIDAK LULUS 2.555 610501130 3920004 148337 3676 66113001074 WAHYU HERMAWAN 13-03-1992 PRANATA KOMPUTER PERTAMA LULUS TIDAK LULUS TIDAK LULUS 2.556 610117290 7910001 184667 4423 66113000250 WAHYU MAULANA 29-07-1991 ANALIS KEBIJAKAN PERTAMA GURU SEJARAH PERTAMA TIDAK LULUS LULUS TIDAK LULUS
  • 129.
    NO NIK NO REGIST ER NO PESERTA NAMA TANGGAL LAHIR PILIHAN JABATAN 1 NAMA JABATAN 2 NAMA JABATAN 3 STATUS PILIHAN 1 STATUS PILIHAN 2 STATUS PILIHAN 3 2.557 617105451 2910007 206699 0163 66113000164 WAHYU SAPUTRI 05-12-1991 GURU BIOLOGI PERTAMA GURU IPA PERTAMA LULUS LULUS TIDAK LULUS 2.558 611202280 4910001 127213 8261 66113000633 WAHYU SULISTIONO 28-04-1991 PERENCANA PERTAMA PENYULUH KOPERASI ANALIS KERJASAMA DAN PERMODALAN LULUS LULUS LULUS 2.559 617101030 2810017 139818 3403 66113000491 WAHYUDI 03-02-1981 ANALIS KEBIJAKAN PERTAMA LULUS TIDAK LULUS TIDAK LULUS 2.560 610101631 2890004 140879 0120 66112000176 WAHYUNI 23-12-1989 BIDAN PELAKSANA LULUS TIDAK LULUS TIDAK LULUS 2.561 610215470 3860002 144197 3560 66113000195 WAHYUNI 07-03-1986 GURU SEJARAH PERTAMA LULUS TIDAK LULUS TIDAK LULUS 2.562 610116560 8890003 154884 1312 66113001288 WAHYUNI 16-08-1989 GURU SEJARAH PERTAMA LULUS TIDAK LULUS TIDAK LULUS 2.563 617101650 2870007 171202 8641 66113000546 WALBURGA BETSIANA SARATING 25-02-1987 GURU SEJARAH PERTAMA LULUS TIDAK LULUS TIDAK LULUS 2.564 610208560 9920001 172905 1555 66112000353 WANA MAULINA 16-09-1992 BIDAN PELAKSANA LULUS TIDAK LULUS TIDAK LULUS 2.565 617103600 4900004 201165 3616 66112000480 WANARIA FITRI APRIANI 20-04-1990 NUTRISIONIS PELAKSANA LULUS TIDAK LULUS TIDAK LULUS 2.566 617201201 1900002 197789 1263 66113000857 WASIS PRAMUDI 20-11-1990 SANITARIAN PERTAMA ANALIS KEBIJAKAN PERTAMA LULUS TIDAK LULUS TIDAK LULUS 2.567 610807530 3880003 189904 6663 66112000306 WATI MANISOMA 13-03-1988 PERAWAT PELAKSANA LULUS TIDAK LULUS TIDAK LULUS 2.568 611201180 4840025 125854 6743 66113001276 WAWAN PRIANTORO 18-04-1984 GURU SEJARAH PERTAMA LULUS TIDAK LULUS TIDAK LULUS 2.569 617104090 2810003 203674 0205 66113001591 WAWAN PUTRAWANA. S.KOM 09-02-1981 PRANATA KOMPUTER PERTAMA ANALIS KEBIJAKAN PERTAMA LULUS LULUS TIDAK LULUS 2.570 611207410 6920002 197959 9513 66113000833 WELLY EMELDA 01-06-1992 GURU BAHASA INGGRIS PERTAMA SMP LULUS TIDAK LULUS TIDAK LULUS 2.571 611203540 1850002 199380 6103 66112000840 WENI PRIDA 14-01-1985 PENGADMINISTRASI UMUM PENYUSUN RISALAH LULUS LULUS TIDAK LULUS 2.572 617104441 2840007 179906 7163 66113000787 WENI PURNAMARESKI 04-12-1984 PERENCANA PERTAMA ANALIS ANGGARAN PENYULUH KOPERASI LULUS LULUS LULUS 2.573 617104650 4890008 175559 2717 66112000678 WENI WAHYUNINGSIH 25-04-1989 PENGADMINISTRASI UMUM PENYUSUN RISALAH LULUS LULUS TIDAK LULUS 2.574 327201200 7880001 138994 8221 66113000056 WERRY YASHIMA SAPUTRA 20-07-1988 APOTEKER PERTAMA LULUS TIDAK LULUS TIDAK LULUS 2.575 320813620 8870002 111727 5198 66113001015 WIDA RISANDI 22-08-1987 ANALIS KEBIJAKAN PERTAMA LULUS TIDAK LULUS TIDAK LULUS 2.576 617101630 7880001 179685 2197 66113000906 WIDHA YULIA ROSANTI 23-07-1988 PRANATA KOMPUTER PERTAMA ANALIS KEBIJAKAN PERTAMA LULUS LULUS TIDAK LULUS
  • 130.
    NO NIK NO REGIST ER NO PESERTA NAMA TANGGAL LAHIR PILIHAN JABATAN 1 NAMA JABATAN 2 NAMA JABATAN 3 STATUS PILIHAN 1 STATUS PILIHAN 2 STATUS PILIHAN 3 2.577 617105660 3810009 131594 4499 66113001192 WIDIANTI 26-03-1981 ANALIS KEBIJAKAN PERTAMA PENATA RUANG PERTAMA SURVEYOR PEMETAAN PERTAMA LULUS LULUS LULUS 2.578 617106461 1840001 210241 5785 66113001058 WIDIASTUTI 06-11-1984 ANALIS KERJASAMA DAN PERMODALAN PERENCANA PERTAMA ANALIS KEBIJAKAN PERTAMA LULUS LULUS LULUS 2.579 610208500 8860001 128949 8611 66113000624 WIDIAWATI, S.P 10-08-1986 ANALIS KEBIJAKAN PERTAMA LULUS TIDAK LULUS TIDAK LULUS 2.580 617105530 4800003 184614 2767 66112000674 WIDYA ROSALINA, S.PD 13-04-1980 PENGADMINISTRASI UMUM PENYUSUN RISALAH LULUS LULUS TIDAK LULUS 2.581 617103430 7880010 184166 8838 66112000128 WIDYAWATI HARAHAP 03-07-1988 NUTRISIONIS PELAKSANA LULUS TIDAK LULUS TIDAK LULUS 2.582 611209460 8910004 170608 3799 66113001679 WIJI ASTUTI 06-08-1991 PUSTAKAWAN PERTAMA LULUS TIDAK LULUS TIDAK LULUS 2.583 611209560 1930001 206758 4124 66113001065 WIJI JENNIFER T.D.F NAPITUPULU 16-01-1993 PENGAWAS LINGKUNGAN HIDUP PERTAMA PENGENDALI DAMPAK LINGKUNGAN PERTAMA TEKNIK PENYEHATAN LINGKUNGAN PERTAMA LULUS LULUS LULUS 2.584 617105420 9840010 181739 4140 66113001434 WIJI RAHAYU, S.FARM, APT 02-09-1984 APOTEKER PERTAMA LULUS TIDAK LULUS TIDAK LULUS 2.585 611201510 8830005 188471 7877 66113001086 WIJIATI 11-08-1983 PENYULUH KOPERASI ANALIS ANGGARAN ANALIS KERJASAMA DAN PERMODALAN LULUS LULUS LULUS 2.586 610806430 4850009 179846 1661 66112000334 WILHELMINA 03-04-1985 PENGADMINISTRASI UMUM PENYUSUN RISALAH LULUS LULUS TIDAK LULUS 2.587 617103180 4850015 121366 7164 66113000553 WILMAR KURNIAWAN 18-04-1985 ANALIS KEBIJAKAN PERTAMA LULUS TIDAK LULUS TIDAK LULUS 2.588 611206601 1870001 147492 3946 66113001174 WILUTAMI BARKAH PRATIWI 20-11-1987 GURU MATEMATIKA PERTAMA ANALIS KEBIJAKAN PERTAMA LULUS TIDAK LULUS TIDAK LULUS 2.589 617105641 0850008 178589 2636 66113001195 WINARTI 24-10-1985 PENYULUH KOPERASI LULUS TIDAK LULUS TIDAK LULUS 2.590 611201531 0900008 199208 5465 66112000699 WINDA RAHAYU 13-10-1990 BIDAN PELAKSANA LULUS TIDAK LULUS TIDAK LULUS 2.591 617105450 9910009 153717 7779 66113001363 WINDA SARTIKA 05-09-1991 PRANATA KOMPUTER PERTAMA ANALIS KEBIJAKAN PERTAMA LULUS LULUS TIDAK LULUS 2.592 611207600 3900003 208864 4076 66113001535 WINDHI WITA MARLIA 20-03-1990 GURU MATEMATIKA PERTAMA LULUS TIDAK LULUS TIDAK LULUS 2.593 617104680 9890005 144483 9656 66113000626 WINDI SEPTIANI 28-09-1989 PRANATA HUBUNGAN MASYARAKAT PERTAMA ANALIS KEBIJAKAN PERTAMA LULUS LULUS TIDAK LULUS 2.594 611201590 7910001 155263 1384 66113000421 WINDI SUCITAWATI 19-07-1991 GURU BAHASA INGGRIS PERTAMA SMP ANALIS KEBIJAKAN PERTAMA GURU BAHASA INGGRIS PERTAMA SMA LULUS TIDAK LULUS LULUS 2.595 610104630 9890002 183567 7539 66112000489 WINDY ASTUTI 23-09-1989 NUTRISIONIS PELAKSANA LULUS TIDAK LULUS TIDAK LULUS 2.596 617101470 9890005 154086 3874 66113000885 WINNA TIAR SIMATUPANG,SE 07-09-1989 PERENCANA PERTAMA PENYULUH KOPERASI ANALIS ANGGARAN LULUS LULUS LULUS
  • 131.
    NO NIK NO REGIST ER NO PESERTA NAMA TANGGAL LAHIR PILIHAN JABATAN 1 NAMA JABATAN 2 NAMA JABATAN 3 STATUS PILIHAN 1 STATUS PILIHAN 2 STATUS PILIHAN 3 2.597 610105430 1940003 202402 8204 66112000589 WINNI RAHMA PUTRI 03-01-1994 NUTRISIONIS PELAKSANA LULUS TIDAK LULUS TIDAK LULUS 2.598 610706131 2890002 204976 7145 66113000069 WIRA WIDIYANTORO 13-12-1989 GURU MATEMATIKA PERTAMA LULUS TIDAK LULUS TIDAK LULUS 2.599 610810450 7870002 204547 0264 66113000925 WITRI 05-07-1987 PUSTAKAWAN PERTAMA ANALIS KEBIJAKAN PERTAMA LULUS LULUS TIDAK LULUS 2.600 611208420 2920001 161707 2347 66112000596 WIWID ALAWIYAH 02-02-1992 BIDAN PELAKSANA LULUS TIDAK LULUS TIDAK LULUS 2.601 617101240 9890003 208919 3744 66113000908 WIWIED ADHYTYA 24-09-1989 TEKNIK PENYEHATAN LINGKUNGAN PERTAMA PENGENDALI DAMPAK LINGKUNGAN PERTAMA PENGAWAS LINGKUNGAN HIDUP PERTAMA LULUS LULUS LULUS 2.602 610501440 8900004 196000 5686 66112000001 WIWIEN DEWI JAYANTI 04-08-1990 BIDAN PELAKSANA LULUS LULUS LULUS 2.603 611203560 8900001 158059 0773 66112000780 WIWIK MUZAYYANAH ABDULLAH 16-08-1990 VERIFIKATOR KEUANGAN LULUS TIDAK LULUS TIDAK LULUS 2.604 611203461 0900001 105820 2975 66113000552 WIWIK OKTASARI 06-10-1990 GURU SEJARAH PERTAMA LULUS TIDAK LULUS TIDAK LULUS 2.605 617103580 2820011 171450 0388 66113000474 WIWIN ARI KRISTIANI 18-02-1982 PERENCANA PERTAMA LULUS TIDAK LULUS TIDAK LULUS 2.606 611205550 5870001 165686 9753 66113000197 WIWIN RAHAYUNINGSIH 15-05-1987 GURU SEJARAH PERTAMA LULUS TIDAK LULUS TIDAK LULUS 2.607 617101411 0890008 168422 2859 66113000703 WIWIN SUPRIATININGSIH 01-10-1989 GURU MATEMATIKA PERTAMA ANALIS KEBIJAKAN PERTAMA LULUS TIDAK LULUS TIDAK LULUS 2.608 611201650 4880005 146774 7875 66113000138 WIWIT TRIANI 25-04-1988 GURU BAHASA INDONESIA PERTAMA ANALIS KEBIJAKAN PERTAMA LULUS TIDAK LULUS TIDAK LULUS 2.609 617105690 1920005 115914 1449 66113000171 WULAN IKHTIARIKA 29-01-1992 GURU IPA PERTAMA GURU BIOLOGI PERTAMA LULUS LULUS TIDAK LULUS 2.610 611201630 3890009 164280 3269 66112000321 WULAN RAHAYU 23-03-1989 PENGADMINISTRASI UMUM PENYUSUN RISALAH LULUS LULUS TIDAK LULUS 2.611 617103560 9900004 173073 8865 66113001008 WULANDARI 16-09-1990 ANALIS KEBIJAKAN PERTAMA LULUS TIDAK LULUS TIDAK LULUS 2.612 617105621 0880009 208427 2940 66113001293 WULANDARI 22-10-1988 PERENCANA PERTAMA PENYULUH KOPERASI ANALIS KERJASAMA DAN PERMODALAN LULUS LULUS LULUS 2.613 610809050 3840001 139230 8280 66113001821 YA'SAHERI 05-03-1984 PRANATA HUBUNGAN MASYARAKAT PERTAMA ANALIS KEBIJAKAN PERTAMA LULUS LULUS TIDAK LULUS 2.614 617101120 3870015 149923 2788 66112000617 YADRI MANSYAH,A.MD 12-03-1987 PENGADMINISTRASI UMUM LULUS TIDAK LULUS TIDAK LULUS 2.615 617103301 1790005 159681 7230 66113000741 YAN BASTIAN 30-11-1979 PERENCANA PERTAMA PENYULUH KOPERASI ANALIS ANGGARAN LULUS LULUS LULUS 2.616 617106100 1840001 148233 8549 66113000708 YAN CHANDRA 10-01-1984 GURU MATEMATIKA PERTAMA LULUS TIDAK LULUS TIDAK LULUS
  • 132.
    NO NIK NO REGIST ER NO PESERTA NAMA TANGGAL LAHIR PILIHAN JABATAN 1 NAMA JABATAN 2 NAMA JABATAN 3 STATUS PILIHAN 1 STATUS PILIHAN 2 STATUS PILIHAN 3 2.617 617101430 1880003 150123 6044 66113000355 YANI TRIYANA 03-01-1988 ANALIS KEBIJAKAN PERTAMA LULUS TIDAK LULUS TIDAK LULUS 2.618 617201460 1900003 157875 5946 66113001843 YANTI NURVIANA 06-01-1990 ANALIS ANGGARAN ANALIS KERJASAMA DAN PERMODALAN PENYULUH KOPERASI LULUS LULUS LULUS 2.619 611201030 6870019 130003 6196 66113000608 YANTO 03-06-1987 ANALIS KEBIJAKAN PERTAMA LULUS TIDAK LULUS TIDAK LULUS 2.620 611207080 8910001 184690 2537 66113000454 YANTO LEO SIMANJUNTAK 08-08-1991 GURU MATEMATIKA PERTAMA ANALIS KEBIJAKAN PERTAMA LULUS TIDAK LULUS TIDAK LULUS 2.621 611201480 6910013 185938 3957 66112000561 YASINTA WELLA SIMANGUNSONG 08-06-1991 NUTRISIONIS PELAKSANA LULUS TIDAK LULUS TIDAK LULUS 2.622 611201210 6820014 119452 6574 66113001352 YASINTUS,SH 21-06-1982 ANALIS LAYANAN UMUM MEDIATOR HUBUNGAN INDUSTRIAL PERTAMA PENGAWAS KETENAGAKERJAAN PERTAMA LULUS LULUS LULUS 2.623 617101460 6820030 184823 5275 66112000788 YASIRA JUM'AN 06-06-1982 PENGADMINISTRASI UMUM PENYUSUN RISALAH LULUS LULUS TIDAK LULUS 2.624 611203020 6870007 202137 3022 66113001751 YASRI 02-06-1987 ANALIS KEBIJAKAN PERTAMA LULUS TIDAK LULUS TIDAK LULUS 2.625 617105641 2790007 187983 9556 66113001142 YAYUK KUSWAHYUNINGSIH, SE 24-12-1979 PENYULUH KOPERASI PERENCANA PERTAMA ANALIS KEBIJAKAN PERTAMA LULUS LULUS LULUS 2.626 610702450 6840001 193835 9584 66113001286 YEFTANURMINA BR HASUGIAN 05-06-1984 GURU BAHASA INGGRIS PERTAMA SMP GURU BAHASA INGGRIS PERTAMA SMA LULUS LULUS TIDAK LULUS 2.627 617102431 1900010 162672 9630 66113001077 YEKTI PURWO ASIH 03-11-1990 ANALIS KEBIJAKAN PERTAMA LULUS TIDAK LULUS TIDAK LULUS 2.628 611201451 0810011 173573 4796 66113000116 YENI APRIYANI 05-10-1981 ANALIS KEBIJAKAN PERTAMA LULUS TIDAK LULUS TIDAK LULUS 2.629 617103480 2860013 133471 3503 66113000737 YENI DWI LESTARI 02-08-1986 ANALIS KEBIJAKAN PERTAMA PENYULUH KOPERASI ANALIS KERJASAMA DAN PERMODALAN LULUS LULUS LULUS 2.630 610514610 1840001 134066 7392 66113000841 YENI KUSUMAWATI 21-01-1984 GURU BAHASA INGGRIS PERTAMA SMA GURU BAHASA INGGRIS PERTAMA SMP ANALIS KEBIJAKAN PERTAMA LULUS LULUS TIDAK LULUS 2.631 320108581 1930001 183750 6082 66112000572 YENI MARYANI 18-11-1993 VERIFIKATOR KEUANGAN LULUS TIDAK LULUS TIDAK LULUS 2.632 617102500 4840001 160317 8065 66112000106 YENI REGITA 10-04-1984 PENGADMINISTRASI UMUM LULUS TIDAK LULUS TIDAK LULUS 2.633 617201440 7890003 195459 2047 66112000730 YENIE RIDYANTI 04-07-1989 BIDAN PELAKSANA LULUS TIDAK LULUS TIDAK LULUS 2.634 611209420 5850013 144637 0454 66113000005 YENNY SUSAN 02-05-1985 ANALIS KEBIJAKAN PERTAMA ANALIS ANGGARAN PERENCANA PERTAMA LULUS LULUS LULUS 2.635 617105561 1790007 159777 8547 66112000578 YESI HASRIYANI, A.MD 16-11-1979 PENGADMINISTRASI UMUM PENYUSUN RISALAH LULUS LULUS TIDAK LULUS 2.636 611201581 1880006 176431 2719 66113000548 YESICA SUBROTO 18-11-1988 GURU MATEMATIKA PERTAMA LULUS TIDAK LULUS TIDAK LULUS
  • 133.
    NO NIK NO REGIST ER NO PESERTA NAMA TANGGAL LAHIR PILIHAN JABATAN 1 NAMA JABATAN 2 NAMA JABATAN 3 STATUS PILIHAN 1 STATUS PILIHAN 2 STATUS PILIHAN 3 2.637 611201561 2790002 168566 0160 66113000471 YESSY SUDIARTI 16-12-1979 PENATA RUANG PERTAMA SURVEYOR PEMETAAN PERTAMA ANALIS KEBIJAKAN PERTAMA LULUS LULUS LULUS 2.638 611201630 2800007 195846 7213 66113000820 YETI ROSDIANA 23-02-1980 PERENCANA PERTAMA ANALIS KERJASAMA DAN PERMODALAN ANALIS KEBIJAKAN PERTAMA LULUS LULUS LULUS 2.639 611203440 1870007 170501 8904 66113000288 YETI SRIYANTI 04-01-1987 GURU MATEMATIKA PERTAMA LULUS TIDAK LULUS TIDAK LULUS 2.640 610201421 0930001 167597 1328 66112000783 YETTI RATNASARI 02-10-1993 VERIFIKATOR KEUANGAN LULUS TIDAK LULUS TIDAK LULUS 2.641 617104650 5860008 204033 0563 66113000949 YEYEN RAHMADALIKA 25-05-1986 PERANCANG PERUNDANG-UNDANGAN PERTAMA PENGAWAS KETENAGAKERJAAN PERTAMA MEDIATOR HUBUNGAN INDUSTRIAL PERTAMA LULUS LULUS LULUS 2.642 610306490 1880001 178992 5967 66112000384 YISWI TRI SUSILAWATI 09-01-1988 PERAWAT PELAKSANA LULUS TIDAK LULUS TIDAK LULUS 2.643 611201210 3890011 139616 1545 66113001336 YOAKIM MARINUS HASIBUAN 21-03-1989 ANALIS KEBIJAKAN PERTAMA LULUS TIDAK LULUS TIDAK LULUS 2.644 617105120 8840006 178279 9383 66113001337 YOGA AGUS TRIONO 12-08-1984 ANALIS ANGGARAN LULUS TIDAK LULUS TIDAK LULUS 2.645 610514280 7900001 143358 6744 66112000083 YOGI BUDIARTO 28-07-1990 PERAWAT PELAKSANA LULUS TIDAK LULUS TIDAK LULUS 2.646 610622030 3810001 197929 4913 66113000506 YOHANES HERRI 03-03-1981 PRANATA KOMPUTER PERTAMA ANALIS KEBIJAKAN PERTAMA LULUS LULUS TIDAK LULUS 2.647 611203141 2850001 132376 6323 66113001160 YOHANES IREN 14-12-1985 MEDIATOR HUBUNGAN INDUSTRIAL PERTAMA PENGANTAR KERJA PERTAMA PENGAWAS KETENAGAKERJAAN PERTAMA LULUS LULUS LULUS 2.648 617102060 7880011 132421 8228 66113001443 YOHANES TRIYAN BAHTERA PUTRA 06-07-1988 PERENCANA PERTAMA ANALIS ANGGARAN ANALIS KERJASAMA DAN PERMODALAN LULUS LULUS LULUS 2.649 617105030 2800015 209937 4249 66113000951 YOPI ERIZA ARIFIN 03-02-1980 ANALIS KERJASAMA DAN PERMODALAN PERENCANA PERTAMA PENYULUH KOPERASI LULUS LULUS LULUS 2.650 610802420 8800001 191015 5957 66113000510 YOPITA 02-08-1980 ANALIS KEBIJAKAN PERTAMA LULUS TIDAK LULUS TIDAK LULUS 2.651 617101611 1840009 125351 7103 66113001775 YOSSY SYAFARIAH 21-11-1984 ANALIS KEBIJAKAN PERTAMA LULUS TIDAK LULUS TIDAK LULUS 2.652 617101010 7880047 207546 3238 66113001260 YOSVIANDRI 01-07-1988 PRANATA HUBUNGAN MASYARAKAT PERTAMA ANALIS KEBIJAKAN PERTAMA LULUS LULUS TIDAK LULUS 2.653 611201660 2810003 188266 1525 66113001640 YOVIANA LINDASARI 26-02-1981 PERENCANA PERTAMA ANALIS ANGGARAN PENYULUH KOPERASI LULUS LULUS LULUS 2.654 617103130 3870007 205187 6034 66113000458 YOVINUS TOPAN 13-03-1987 GURU BAHASA INGGRIS PERTAMA SMP LULUS TIDAK LULUS TIDAK LULUS 2.655 611201540 2900014 176152 8043 66113000707 YOVITA THEO FEBRUARINI 14-02-1990 GURU MATEMATIKA PERTAMA LULUS TIDAK LULUS TIDAK LULUS 2.656 611201691 2920011 140371 5626 66112000649 YUANATALIA CIBRO 29-12-1992 BIDAN PELAKSANA LULUS TIDAK LULUS TIDAK LULUS
  • 134.
    NO NIK NO REGIST ER NO PESERTA NAMA TANGGAL LAHIR PILIHAN JABATAN 1 NAMA JABATAN 2 NAMA JABATAN 3 STATUS PILIHAN 1 STATUS PILIHAN 2 STATUS PILIHAN 3 2.657 617103590 7810013 184313 4079 66112000116 YUANITA 19-07-1981 PENGADMINISTRASI UMUM PENYUSUN RISALAH LULUS LULUS TIDAK LULUS 2.658 610901050 2880002 176782 2153 66113000448 YUDHI ANDRIYADI 05-02-1988 SANITARIAN PERTAMA ANALIS KEBIJAKAN PERTAMA LULUS TIDAK LULUS TIDAK LULUS 2.659 617103660 2830002 174408 2603 66113001218 YUDHISTARI, SH 26-02-1983 PENGANTAR KERJA PERTAMA ANALIS KEBIJAKAN PERTAMA PERANCANG PERUNDANG-UNDANGAN PERTAMA LULUS LULUS LULUS 2.660 617106160 6880002 168548 8908 66113001046 YUDHISTIRA PRIYATNA 16-06-1988 PENGAWAS KETENAGAKERJAAN PERTAMA MEDIATOR HUBUNGAN INDUSTRIAL PERTAMA PENGANTAR KERJA PERTAMA LULUS LULUS LULUS 2.661 617103090 2870019 143309 7736 66113001780 YUDI FIBRIANSYAH 09-02-1987 ANALIS KEBIJAKAN PERTAMA LULUS TIDAK LULUS TIDAK LULUS 2.662 617101160 3830014 139822 1883 66113001913 YUDI MARIADI 16-03-1983 SANITARIAN PERTAMA LULUS TIDAK LULUS TIDAK LULUS 2.663 610216171 1840003 106886 7107 66113001412 YUDI SUPRIYANTO 17-11-1984 ANALIS KEBIJAKAN PERTAMA LULUS TIDAK LULUS TIDAK LULUS 2.664 611201050 5880002 142554 0467 66113000611 YUDIANSYAH 05-05-1988 ANALIS KEBIJAKAN PERTAMA LULUS TIDAK LULUS TIDAK LULUS 2.665 611209010 7880491 181404 7018 66113001108 YULI ARDIANSYAH 01-07-1988 PERENCANA PERTAMA ANALIS KERJASAMA DAN PERMODALAN ANALIS KEBIJAKAN PERTAMA LULUS LULUS LULUS 2.666 617101530 7890002 127629 0624 66112000697 YULI ELVINA 13-07-1989 BIDAN PELAKSANA LULUS TIDAK LULUS TIDAK LULUS 2.667 617103660 7890005 175168 3399 66113000717 YULI KUSUMASTUTI.S 26-07-1989 GURU MATEMATIKA PERTAMA ANALIS KEBIJAKAN PERTAMA LULUS TIDAK LULUS TIDAK LULUS 2.668 617105710 7800002 204332 8977 66113000732 YULIA AGUSTINA,SE 31-07-1980 ANALIS KEBIJAKAN PERTAMA LULUS TIDAK LULUS TIDAK LULUS 2.669 617102430 7860004 164102 2181 66113001081 YULIA ANGELINA 03-07-1986 PERENCANA PERTAMA ANALIS ANGGARAN ANALIS KERJASAMA DAN PERMODALAN LULUS LULUS LULUS 2.670 617102420 7900004 177266 1384 66112000848 YULIA RACHMAWATI 02-07-1990 PENGADMINISTRASI UMUM LULUS TIDAK LULUS TIDAK LULUS 2.671 617104490 8830015 202524 9242 66113000503 YULIA SIANA LINAWATI 09-08-1983 ANALIS KEBIJAKAN PERTAMA LULUS TIDAK LULUS TIDAK LULUS 2.672 611201500 7900013 178608 9427 66112000466 YULIA,AMD.KEB 10-07-1990 BIDAN PELAKSANA LULUS TIDAK LULUS TIDAK LULUS 2.673 611209501 1890017 201711 0501 66112000220 YULIANA 10-11-1989 BIDAN PELAKSANA LULUS TIDAK LULUS TIDAK LULUS 2.674 611207700 6830001 175924 2477 66113001818 YULIANA ERNA SARI 30-06-1983 ANALIS KEBIJAKAN PERTAMA LULUS TIDAK LULUS TIDAK LULUS 2.675 617105460 7890008 193287 1237 66113000910 YULIANA SIMANJUNTAK 06-07-1989 ANALIS KEBIJAKAN PERTAMA LULUS TIDAK LULUS TIDAK LULUS 2.676 617105470 7840007 100903 4821 66113000066 YULIANA TRI WAHYUNI 07-07-1984 ANALIS KEBIJAKAN PERTAMA LULUS TIDAK LULUS TIDAK LULUS
  • 135.
    NO NIK NO REGIST ER NO PESERTA NAMA TANGGAL LAHIR PILIHAN JABATAN 1 NAMA JABATAN 2 NAMA JABATAN 3 STATUS PILIHAN 1 STATUS PILIHAN 2 STATUS PILIHAN 3 2.677 610806450 7850004 206695 3678 66112000850 YULIANI 05-07-1985 PENYUSUN RISALAH LULUS TIDAK LULUS TIDAK LULUS 2.678 611201670 7900004 127842 9632 66112000793 YULIANI DEPIYANTI 27-07-1990 BIDAN PELAKSANA LULUS TIDAK LULUS TIDAK LULUS 2.679 617105440 7890008 167464 7131 66113001257 YULIANTI PERMATASARI 04-07-1989 ANALIS ANGGARAN ANALIS KERJASAMA DAN PERMODALAN PERENCANA PERTAMA LULUS LULUS LULUS 2.680 617103560 7880004 119000 7208 66113000513 YULIANTINI 16-07-1988 GURU BAHASA INGGRIS PERTAMA SMP LULUS TIDAK LULUS TIDAK LULUS 2.681 610803641 0920003 205317 4295 66112000345 YULITA YUNI 24-10-1992 NUTRISIONIS PELAKSANA LULUS TIDAK LULUS TIDAK LULUS 2.682 610206090 7880001 191318 3922 66113000127 YULIUS JIMMI FERNANDEZ 09-07-1988 GURU IPA PERTAMA GURU BIOLOGI PERTAMA ANALIS KEBIJAKAN PERTAMA LULUS LULUS TIDAK LULUS 2.683 617103270 5880001 142859 4412 66113001365 YULIUS R. PANGGABEAN 27-05-1988 PRANATA KOMPUTER PERTAMA ANALIS KEBIJAKAN PERTAMA LULUS LULUS TIDAK LULUS 2.684 611201190 8820007 189586 5129 66113000567 YULIUS RIDWAN 19-08-1982 PERENCANA PERTAMA ANALIS ANGGARAN ANALIS KEBIJAKAN PERTAMA LULUS LULUS LULUS 2.685 617101650 6810009 213941 9771 66112000644 YULVIANA 25-06-1981 PENGADMINISTRASI UMUM PENYUSUN RISALAH LULUS LULUS TIDAK LULUS 2.686 611209660 6910004 116831 2217 66112000152 YUNI ARFISI 26-06-1991 VERIFIKATOR KEUANGAN LULUS TIDAK LULUS TIDAK LULUS 2.687 617102680 7910003 153950 3988 66112000339 YUNI ATIKA 28-07-1991 VERIFIKATOR KEUANGAN LULUS TIDAK LULUS TIDAK LULUS 2.688 611201600 9910009 147238 9312 66112000877 YUNI HARTI 20-09-1991 VERIFIKATOR KEUANGAN LULUS TIDAK LULUS TIDAK LULUS 2.689 617105530 6900003 138923 0794 66113001675 YUNI PRIHARTINI 13-06-1990 GURU MATEMATIKA PERTAMA ANALIS KEBIJAKAN PERTAMA LULUS TIDAK LULUS TIDAK LULUS 2.690 327106570 6810008 124891 7406 66113001786 YUNI PURWANTI 17-06-1981 ANALIS KEBIJAKAN PERTAMA PENGAWAS BIBIT TERNAK PERTAMA LULUS LULUS TIDAK LULUS 2.691 611201560 6880007 150481 0575 66113000365 YUNI SRI MARYATI 16-06-1988 ANALIS KEBIJAKAN PERTAMA LULUS TIDAK LULUS TIDAK LULUS 2.692 617103460 6800010 129185 9057 66113000112 YUNI TRIANA BALA'ATI 06-06-1980 PENYULUH KOPERASI ANALIS ANGGARAN ANALIS KERJASAMA DAN PERMODALAN LULUS LULUS LULUS 2.693 610215620 6900001 140377 1361 66112000728 YUNIAR 22-06-1990 PERAWAT PELAKSANA LULUS TIDAK LULUS TIDAK LULUS 2.694 611201560 6840007 197057 8047 66113001366 YUNIAR SUBEKTI 16-06-1984 ANALIS ANGGARAN LULUS TIDAK LULUS TIDAK LULUS 2.695 320113410 6880008 165659 1113 66113001717 YUNIARNY 01-06-1988 GURU BIOLOGI PERTAMA GURU IPA PERTAMA ANALIS KEBIJAKAN PERTAMA LULUS LULUS TIDAK LULUS 2.696 611201600 6870011 107788 8681 66113000592 YUNIARSIH 20-06-1987 GURU MATEMATIKA PERTAMA LULUS TIDAK LULUS TIDAK LULUS
  • 136.
    NO NIK NO REGIST ER NO PESERTA NAMA TANGGAL LAHIR PILIHAN JABATAN 1 NAMA JABATAN 2 NAMA JABATAN 3 STATUS PILIHAN 1 STATUS PILIHAN 2 STATUS PILIHAN 3 2.697 611206501 1910001 200899 0109 66112000390 YUNIARTI 10-11-1991 BIDAN PELAKSANA LULUS TIDAK LULUS TIDAK LULUS 2.698 617103450 6890009 210480 2202 66113000245 YUNIARTI 05-06-1989 GURU SEJARAH PERTAMA LULUS TIDAK LULUS TIDAK LULUS 2.699 617104620 6810011 120544 7466 66113000818 YUNIDA 22-06-1981 APOTEKER PERTAMA ANALIS KEBIJAKAN PERTAMA LULUS TIDAK LULUS TIDAK LULUS 2.700 617103680 6830007 157307 6368 66113000666 YUNITA 28-06-1983 GURU MATEMATIKA PERTAMA LULUS TIDAK LULUS TIDAK LULUS 2.701 611201430 6920012 170588 2961 66112000097 YUNITA CARYANTINI 03-06-1992 BIDAN PELAKSANA LULUS TIDAK LULUS TIDAK LULUS 2.702 617101420 9890011 152432 3463 66113001166 YUNITA MULYANA 02-09-1989 PENGAWAS LINGKUNGAN HIDUP PERTAMA PENGENDALI DAMPAK LINGKUNGAN PERTAMA TEKNIK PENYEHATAN LINGKUNGAN PERTAMA LULUS LULUS LULUS 2.703 610208590 6870002 161728 5867 66113001492 YUNITA SARI 19-06-1987 GURU BAHASA INGGRIS PERTAMA SMP GURU BAHASA INGGRIS PERTAMA SMA ANALIS KEBIJAKAN PERTAMA LULUS LULUS TIDAK LULUS 2.704 617101651 0860004 165117 3179 66113000573 YUPITA PITA 25-10-1985 PERENCANA PERTAMA PENYULUH KOPERASI ANALIS KEBIJAKAN PERTAMA LULUS LULUS LULUS 2.705 611201221 0880001 143455 0664 66113001521 YURMILZA NANDA 22-10-1988 GURU MATEMATIKA PERTAMA ANALIS KEBIJAKAN PERTAMA LULUS TIDAK LULUS TIDAK LULUS 2.706 611207060 6860002 209185 1806 66113001024 YUS ARDIANTO 06-06-1986 ANALIS KEBIJAKAN PERTAMA LULUS TIDAK LULUS TIDAK LULUS 2.707 610207201 0880005 141052 8989 66113001536 YUSACK ANTONIO TALANGAS 20-10-1988 GURU IPA PERTAMA GURU FISIKA PERTAMA ANALIS KEBIJAKAN PERTAMA LULUS LULUS TIDAK LULUS 2.708 617102490 8840003 185229 4567 66113000242 YUSNITA 09-08-1984 ANALIS KEBIJAKAN PERTAMA LULUS TIDAK LULUS TIDAK LULUS 2.709 611203461 1870003 111274 8879 66113000638 YUSTINA 06-11-1987 ANALIS KEBIJAKAN PERTAMA LULUS TIDAK LULUS TIDAK LULUS 2.710 617104570 2840004 124117 1806 66112000766 YUYUN PARLINA, A.MD 17-02-1984 PENYUSUN RISALAH PENGADMINISTRASI UMUM LULUS LULUS TIDAK LULUS 2.711 611205660 7920001 140663 4134 66112000055 YUYUN TARI 26-07-1992 PERAWAT PELAKSANA LULUS TIDAK LULUS TIDAK LULUS 2.712 611201490 7900014 170560 8116 66112000413 YUYUN WAHYUNI 09-07-1990 VERIFIKATOR KEUANGAN LULUS TIDAK LULUS TIDAK LULUS 2.713 610201640 2860002 119115 4245 66113000043 YUYUN YUNIARTI 24-02-1986 GURU MATEMATIKA PERTAMA LULUS TIDAK LULUS TIDAK LULUS 2.714 611209690 6860002 196707 6520 66113001093 YUYUN YUNIARTIKA 29-06-1986 ANALIS KEBIJAKAN PERTAMA LULUS TIDAK LULUS TIDAK LULUS 2.715 617103580 4890001 176727 4498 66113001163 YUZANA PRATIWI 18-04-1989 PENGENDALI DAMPAK LINGKUNGAN PERTAMA PENGAWAS LINGKUNGAN HIDUP PERTAMA TEKNIK PENYEHATAN LINGKUNGAN PERTAMA LULUS LULUS LULUS 2.716 611207100 8870001 151503 2737 66113000437 ZAINAL ABIDIN 10-08-1987 GURU MATEMATIKA PERTAMA ANALIS KEBIJAKAN PERTAMA LULUS TIDAK LULUS TIDAK LULUS
  • 137.
    NO NIK NO REGIST ER NO PESERTA NAMA TANGGAL LAHIR PILIHAN JABATAN 1 NAMA JABATAN 2 NAMA JABATAN 3 STATUS PILIHAN 1 STATUS PILIHAN 2 STATUS PILIHAN 3 2.717 610412260 8870001 118604 0407 66113000358 ZAINAL ARIPIN 26-08-1987 ANALIS KEBIJAKAN PERTAMA LULUS TIDAK LULUS TIDAK LULUS 2.718 611208190 4890002 201290 1057 66112000776 ZAINI ANWAR, AMD.KEP 19-04-1989 PERAWAT PELAKSANA LULUS TIDAK LULUS TIDAK LULUS 2.719 210305010 9890001 115280 7993 66113000452 ZAINUDDIN 01-09-1989 GURU MATEMATIKA PERTAMA ANALIS KEBIJAKAN PERTAMA LULUS TIDAK LULUS TIDAK LULUS 2.720 617101200 5800015 175892 5703 66113001802 ZAKARIA 20-05-1980 ANALIS KEBIJAKAN PERTAMA LULUS TIDAK LULUS TIDAK LULUS 2.721 617101230 4900001 137242 8594 66112000857 ZAKY PUTRA 23-04-1990 PENGADMINISTRASI UMUM PENYUSUN RISALAH LULUS LULUS TIDAK LULUS 2.722 610113130 9860004 200750 5864 66113000413 ZAR'AN 13-09-1986 GURU SEJARAH PERTAMA ANALIS KEBIJAKAN PERTAMA LULUS TIDAK LULUS TIDAK LULUS 2.723 611201410 7910234 180760 5632 66112000007 ZARA ZERIYANA 01-07-1991 PENGADMINISTRASI UMUM PENYUSUN RISALAH LULUS LULUS TIDAK LULUS 2.724 611209640 2860002 159803 0327 66113001872 ZENI AFI SOLICHAH 24-02-1986 PENYULUH SOSIAL PERTAMA LULUS TIDAK LULUS TIDAK LULUS 2.725 611201270 3910007 194708 2335 66113000013 ZUHAN ARIFIN 27-03-1991 PRANATA KOMPUTER PERTAMA ANALIS KEBIJAKAN PERTAMA LULUS LULUS TIDAK LULUS 2.726 610301540 7800003 144123 4282 66113001455 ZULFAHMI RAHMAH 14-07-1980 ANALIS KERJASAMA DAN PERMODALAN PENYULUH KOPERASI ANALIS ANGGARAN LULUS LULUS LULUS 2.727 611201611 2830004 193199 0838 66113001238 ZULIATIN 21-12-1983 ANALIS KEBIJAKAN PERTAMA LULUS TIDAK LULUS TIDAK LULUS 2.728 611208060 6910001 174497 1912 66112000538 ZULKIFLI 06-06-1991 PERAWAT PELAKSANA LULUS TIDAK LULUS TIDAK LULUS 2.729 617104190 8860004 140020 9826 66113001500 ZULKIFLI 19-08-1986 PERENCANA PERTAMA ANALIS ANGGARAN ANALIS KEBIJAKAN PERTAMA LULUS LULUS LULUS 2.730 617101151 1810013 212697 4228 66113000399 ZULKIFLI ASRI 15-11-1981 GURU SEJARAH PERTAMA LULUS TIDAK LULUS TIDAK LULUS 2.731 610320451 0890004 206603 8258 66112000179 ZUMAIROH 05-10-1989 BIDAN PELAKSANA LULUS TIDAK LULUS TIDAK LULUS BUPATI KUBU RAYA, HH.. RRUUSSMMAANN AALLII,, SSHH