Download free for 30 days
Sign in
Upload
Language (EN)
Support
Business
Mobile
Social Media
Marketing
Technology
Art & Photos
Career
Design
Education
Presentations & Public Speaking
Government & Nonprofit
Healthcare
Internet
Law
Leadership & Management
Automotive
Engineering
Software
Recruiting & HR
Retail
Sales
Services
Science
Small Business & Entrepreneurship
Food
Environment
Economy & Finance
Data & Analytics
Investor Relations
Sports
Spiritual
News & Politics
Travel
Self Improvement
Real Estate
Entertainment & Humor
Health & Medicine
Devices & Hardware
Lifestyle
Change Language
Language
English
Español
Português
Français
Deutsche
Cancel
Save
EN
Uploaded by
A Jorge Garcia
278 views
Computer Math Day 02+07 Converting Bases
Education
◦
Read more
0
Save
Share
Embed
Embed presentation
Download
Download to read offline
1
/ 13
2
/ 13
3
/ 13
4
/ 13
5
/ 13
6
/ 13
7
/ 13
8
/ 13
9
/ 13
10
/ 13
11
/ 13
12
/ 13
13
/ 13
More Related Content
PDF
ap calculus bc 805: integration by parts
by
A Jorge Garcia
PPTX
Ajm & usm
by
Himanshu Khulve
PDF
AP Calculus BC 705 More e^x and ln(x)!
by
A Jorge Garcia
PDF
Modul PdPR M3 - 01-07 FEB 2021
by
Sayshare
PDF
Reinvention before afters 2014
by
clubcorp
KEY
Jump into Rails3
by
Shinsaku Chikura
PDF
regulador con diodo zener
by
Hector Noguez Cruz
PDF
ตัวอย่างแผนธุรกิจทะเลซีฟู๊ด
by
Nattakorn Sunkdon
ap calculus bc 805: integration by parts
by
A Jorge Garcia
Ajm & usm
by
Himanshu Khulve
AP Calculus BC 705 More e^x and ln(x)!
by
A Jorge Garcia
Modul PdPR M3 - 01-07 FEB 2021
by
Sayshare
Reinvention before afters 2014
by
clubcorp
Jump into Rails3
by
Shinsaku Chikura
regulador con diodo zener
by
Hector Noguez Cruz
ตัวอย่างแผนธุรกิจทะเลซีฟู๊ด
by
Nattakorn Sunkdon
More from A Jorge Garcia
PDF
LIMACON 2023 Brochure
by
A Jorge Garcia
PDF
2022-RESUME-NEW
by
A Jorge Garcia
PDF
MAT122 DAY508 MEETING 44 of 45 2021.1217 FRIDAY
by
A Jorge Garcia
PDF
MAT122 DAY507 MEETING 43 of 45 2021.1216 THURSDAY
by
A Jorge Garcia
PDF
MAT122 DAY506 MEETING 42 of 45 2021.1215 WEDNESDAY
by
A Jorge Garcia
PDF
MAT122 DAY308 Lesson 26 of 45
by
A Jorge Garcia
PDF
MAT122 DAY307 Lesson 25 of 45
by
A Jorge Garcia
PDF
MAT122 DAY306 Lesson 24 of 45
by
A Jorge Garcia
PDF
MAT122 DAY305 Lesson 23 of 45
by
A Jorge Garcia
PDF
MAT122 DAY304 Lesson 22 of 45
by
A Jorge Garcia
PDF
MAT122 DAY303 Lesson 21 of 45
by
A Jorge Garcia
PDF
MAT122 DAY302 Lesson 20 of 45
by
A Jorge Garcia
PDF
MAT122 DAY301 Lesson 19 of 45
by
A Jorge Garcia
PDF
MAT122 DAY205
by
A Jorge Garcia
PDF
MAT122 DAY204
by
A Jorge Garcia
PDF
MAT122 DAY203
by
A Jorge Garcia
PDF
MAT122 DAY202
by
A Jorge Garcia
PDF
MAT122 DAY201
by
A Jorge Garcia
PDF
MAT122 DAY06
by
A Jorge Garcia
PDF
MAT122 DAY05
by
A Jorge Garcia
LIMACON 2023 Brochure
by
A Jorge Garcia
2022-RESUME-NEW
by
A Jorge Garcia
MAT122 DAY508 MEETING 44 of 45 2021.1217 FRIDAY
by
A Jorge Garcia
MAT122 DAY507 MEETING 43 of 45 2021.1216 THURSDAY
by
A Jorge Garcia
MAT122 DAY506 MEETING 42 of 45 2021.1215 WEDNESDAY
by
A Jorge Garcia
MAT122 DAY308 Lesson 26 of 45
by
A Jorge Garcia
MAT122 DAY307 Lesson 25 of 45
by
A Jorge Garcia
MAT122 DAY306 Lesson 24 of 45
by
A Jorge Garcia
MAT122 DAY305 Lesson 23 of 45
by
A Jorge Garcia
MAT122 DAY304 Lesson 22 of 45
by
A Jorge Garcia
MAT122 DAY303 Lesson 21 of 45
by
A Jorge Garcia
MAT122 DAY302 Lesson 20 of 45
by
A Jorge Garcia
MAT122 DAY301 Lesson 19 of 45
by
A Jorge Garcia
MAT122 DAY205
by
A Jorge Garcia
MAT122 DAY204
by
A Jorge Garcia
MAT122 DAY203
by
A Jorge Garcia
MAT122 DAY202
by
A Jorge Garcia
MAT122 DAY201
by
A Jorge Garcia
MAT122 DAY06
by
A Jorge Garcia
MAT122 DAY05
by
A Jorge Garcia
Recently uploaded
PDF
Judgement Regarding Land Acquisition Act not Applicable to Encroachers.pdf
by
ssuser9d8e4e
PDF
Orlando by Virginia Woolf: The Granite and The Rainbow
by
Adityarajsinh Gohil
PPTX
How to Change Shipping Label Size in Odoo 18 Inventory
by
Celine George
PPTX
Chapter 1: Introduction to Strategic Management.pptx
by
FJ M
PPTX
WEEK 2 (2).pptx TLE COOKERY 10 QUARTER 4
by
ResynFayeCortez2
PDF
Unit Plan and Unit Test-pdf-Dr. Rajashekhar Shirvalkar, Principal, SMRS B.Ed ...
by
Rajashekhar Shirvalkar
PPTX
World cancer day 2026 4febuary united by unique
by
Dr Santosh Vishwakarma
PDF
Pharmaceutical Quality Assurance Unit 1 (BP606T)
by
Chetan Mali
PPTX
A brief introduction to Minor vegetable crops.pptx
by
UmeshTimilsina1
PDF
Bones by Sadu Kassam (play) story ppt pdf
by
RonnieMaeBorres
PPTX
How to Manage Closest Location in Odoo 18 Inventory
by
Celine George
PPTX
Biological source, chemical constituents, and therapeutic efficacy of the fol...
by
Sai Meer College of Pharmacy
PDF
Artificial Intelligence in Research and Academic Writing, Workshop on Researc...
by
Prof. Vinod Kumar Kanvaria
PDF
PHARMACOLOGY 1 ( BP 404 T) Unit 1 (Cology 1)
by
Chetan Mali
PDF
Chapter 05 Drugs Acting on the Central Nervous System: Anticonvulsant (Antiep...
by
SandeshSul
PPTX
Fluorimetric Analysis- Theory, Instrumentation and Application
by
Sayali Powar
PPTX
Modeling Simple Equation using Bar Model.pptx
by
shahanieabbat3
PPTX
Chapter 1: Introduction to Economics - Macroeconomics and Microeconomics.pptx
by
FJ M
PDF
Family and Marriage __ Sociology __ Jhasketan Kuanar __ NURSING VIBE ONLY .pdf
by
JK NURSING VIBES ONLY JHASKETAN KUANAR
PPTX
How to Add an Icon in Systray in Odoo 18
by
Celine George
Judgement Regarding Land Acquisition Act not Applicable to Encroachers.pdf
by
ssuser9d8e4e
Orlando by Virginia Woolf: The Granite and The Rainbow
by
Adityarajsinh Gohil
How to Change Shipping Label Size in Odoo 18 Inventory
by
Celine George
Chapter 1: Introduction to Strategic Management.pptx
by
FJ M
WEEK 2 (2).pptx TLE COOKERY 10 QUARTER 4
by
ResynFayeCortez2
Unit Plan and Unit Test-pdf-Dr. Rajashekhar Shirvalkar, Principal, SMRS B.Ed ...
by
Rajashekhar Shirvalkar
World cancer day 2026 4febuary united by unique
by
Dr Santosh Vishwakarma
Pharmaceutical Quality Assurance Unit 1 (BP606T)
by
Chetan Mali
A brief introduction to Minor vegetable crops.pptx
by
UmeshTimilsina1
Bones by Sadu Kassam (play) story ppt pdf
by
RonnieMaeBorres
How to Manage Closest Location in Odoo 18 Inventory
by
Celine George
Biological source, chemical constituents, and therapeutic efficacy of the fol...
by
Sai Meer College of Pharmacy
Artificial Intelligence in Research and Academic Writing, Workshop on Researc...
by
Prof. Vinod Kumar Kanvaria
PHARMACOLOGY 1 ( BP 404 T) Unit 1 (Cology 1)
by
Chetan Mali
Chapter 05 Drugs Acting on the Central Nervous System: Anticonvulsant (Antiep...
by
SandeshSul
Fluorimetric Analysis- Theory, Instrumentation and Application
by
Sayali Powar
Modeling Simple Equation using Bar Model.pptx
by
shahanieabbat3
Chapter 1: Introduction to Economics - Macroeconomics and Microeconomics.pptx
by
FJ M
Family and Marriage __ Sociology __ Jhasketan Kuanar __ NURSING VIBE ONLY .pdf
by
JK NURSING VIBES ONLY JHASKETAN KUANAR
How to Add an Icon in Systray in Odoo 18
by
Celine George
Computer Math Day 02+07 Converting Bases
1.
1
2.
2
3.
3
4.
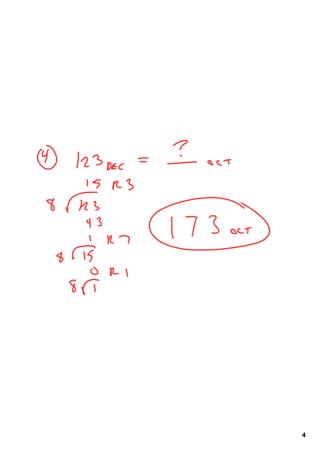
4
5.
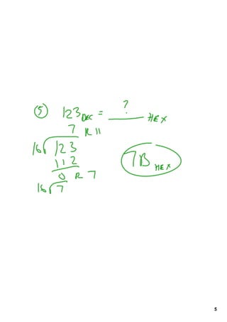
5
6.
6
7.
7
8.
8
9.
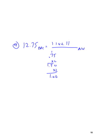
9
10.
10
11.
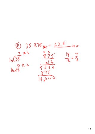
11
12.
12
13.
13
Download