Comparison of grey water tests before and after treatment in
various locations around Monteverde
Elizabeth Coler
University of California Santa Cruz
Department of Ecology and Evolution
EAP Spring 2015
5 June 2015
Abstract
The primary purpose of this study was to observe the effectiveness of treatment
systems on the quality of grey water. To evaluate the quality of greywater, I collected samples
before and after treatment at four locations within the Monteverde and Cerro Plano regions:
Los Pinos, Monteverde Country Lodge, Bajo Del Tigre, and Monteverde Institute. I tested all the
samples in the lab to measure pH, specific conductivity, conductivity, total dissolved solids,
salinity, dissolved oxygen, temperature, and Nitrate Nitrogen levels. I found that the water
quality was not significantly different between the before and after samples. While in
comparison of the after samples, I found a significant difference in the specific conductivity,
conductivity, total dissolved solids, and salinity of the Monteverde Institute samples amongst
the other locations tested. This result could be because of higher amounts of sediment and soil
particles that come into the treatment, and due to stagnant water in the after treatment.
Lastly, I also observed a significantly higher concentration of Nitrate Nitrogen levels of the after
samples from the Monteverde Country Lodge in contrast with the other samples studied. This
could be as a result of the combination of grey and black water being treated in the system.
Resumen
El propósito principal de este estudio fue observar la efectividad del tratamiento
sistemas de la calidad del agua gris. Para evaluar la calidad de las aguas grises, recogí muestras
antes y después del tratamiento en cuatro lugares en Monteverde y Cerro Plano: Los Pinos,
Monteverde Country Lodge, Bajo del Tigre, y el Instituto Monteverde. Los parámetros que medí
fueronl pH, conductividad específica, conductividad, sólidos totales disueltos, salinidad, oxígeno
disuelto, la temperatura y los niveles de nitrato de nitrógeno. La calidad del agua no fue
significativamente diferente entre el antes y después de las muestras. Por otro lado, al
comparar los después de las muestras, encontré una diferencia significativa en la conductividad
específica, conductividad, sólidos totales disueltos, y la salinidad de las muestras del Instituto
Monteverde comparado con las otras ubicaciones. Este resultado podría ser debido a las altas
cantidades de sedimentos y las partículas de suelo estancadas en el agua. Por último, también
se observó una diferencia significativa en el nitrógeno de las muestras después del Monteverde
Country Lodge en contraste con las otras muestras estudiadas. Esto podría ser como resultado
de la combinación de agua grises y negras que se están tratando en el sistema.
Grey water comparison before and after treatment Coler2
Grey water is slowly becoming a more prevalent topic of concern in many communities
around the world, especially in less developed countries. Grey water is all the wastewater from
a household such as the kitchen, laundry, and bathroom, not including the water from toilets,
also known as black water (Morel and Diener 2006). Grey water from the kitchen is consistent
of dishwashing soaps, food ruminants, in addition to many sources of fats and oils. Laundry
gives off grey water concentrated with large amounts of chemicals, such as phosphates,
nitrates, and sodium. This grey water can also contain amounts of non-biodegradable elements
or solvents. On the other hand, bathroom grey water is considered to be the least polluted,
only containing deposits from shampoos, soaps, and other hygienic products (Moler and Diener
2006).
Run off of this grey water is becoming a concern to many communities because of its
negative effects on the public and the surrounding environment through pollution of the local
water sources and habitats. Nearly fifty percent of the wastewater discharged from a
household is made up of grey water (Bangladesh 2013), while roughly ‘forty percent of the
world’s population does not have adequate water sanitation’ (Bates 2014) to deal with this
runoff. This grey water pollution can cause damage to the environment through soil alteration
as well as harm to the surrounding plants and organisms. It can also become the cause of
disease outbreaks from bacteria that is within the water and may affect the water people drink
or use to water gardens or farms. If pathogens are ingested through the consumption of foods,
from a garden watered with inadequately treated grey water, it can be the source of disease
transmission (Morel and Diener 2006).
In Costa Rica, each person on average consumes approximately 187 liters of water per
day, eighty-seven percent of this becoming grey water and only four percent of this grey water
getting properly treated (Monteverde Institute 2015). Recently, research into grey water and its
treatment have become a very strong topic of interest, especially in Monteverde. A vast
majority of the community lets the untreated grey water from their household run off into the
streets, which can lead to further pollution of surrounding habitats. The Monteverde Institute
recently began a program in which they are working towards an objective to incorporate a grey
water treatment system into the community. Through multiple surveys and some
experimentation in treatment systems they are getting the essential information needed to
further work towards their goal. This has led me to wonder: How does the quality of greywater
compare before and after treatment and how do the results of this treatment differ between
the diverse systems at multiple locations?
My predictions of the results comparing the before and after treatment systems at each
location were that the pH values would be fairly alkaline, due to the high amounts of soap
(Greywater for Gardens 2009), and the levels of specific conductivity, conductivity, total
dissolved solids, and salinity would be higher in the before samples and less in the after
samples due to filtration and treatment. I did not have any predicted values for the
temperature or dissolved oxygen, although I did predict there to be measurable amounts of
Nitrate Nitrogen within each sample.
Grey water comparison before and after treatment Coler3
Materials and Methods
Study Sites
I collected grey water samples from before and after treatment at multiple locations:
Los Pinos, the Monteverde Country Lodge, Bajo Del Tigre, and the Monteverde Institute. The
systems at these various locations were all are constructed uniquely, either by students or
engineers, and deal with grey water from different sources.
Los Pinos utilizes a large serpentine tank that first filters the laundry water from the
hotel, and then allows the water to slowly travel through the switchbacks for further filtration
before entering the bio garden. Once the water is pumped into the bio garden, it filters down
through the different layers of sediment into the exit pipes that deliver water to a storage bin
at the end of the system. This bin then allows the treated water to drain out into the sewers.
Similar to Los Pinos, the system at Bajo Del Tigre starts off with a tank that sends the
lightly filtered bathroom sink water into a small biogarden to finish treatment. This tank only
has two chambers and a small channel for water to flow through, mean while allowing the
solids to get trapped in a shallow between the chambers. The final treated water then exits an
outflow pipe into a small patch of forest.
While the Institute uses a bio garden as the last step in their treatment system, just like
the previous two systems, they have a pipe filtration structure that combines the water from
the kitchen sinks as well as the bathroom sinks and shower. A small filtration trench outside the
kitchen separates the fats, oils, and solids from the water before it is mixed with the bathroom
water and sent to the biogarden where the water stops.
On the complete opposite end of the spectrum, the Monteverde Country Lodge has a
treatment plant designed by an engineer and accommodates large amounts of water from the
entire hotel, including a combination of grey and black water. This arrangement is mainly an
underground chamber system, in one of the chambers a chlorine chemical is added to the
water solution before it is filtered further. Since the chlorine is stable in storage and will, in
time, vaporize from the water after disinfection (Duttle, Marsha 1994) the water can then filter
through the sediment box and finally be used to water the lawn at the hotel.
Methodology
I collected samples once a day at each site, before and after treatment. I would fill the
sampling cups completely to the top so that there would not be an effect on the levels on
dissolved oxygen. I then transferred the samples back to the lab to run tests. I immediately
tested the samples with a YSI 556 probe to measure the pH, specific conductivity, conductivity,
total dissolved solids, salinity, temperature, and dissolved oxygen. I used a nitrate test kit to
determine the level of Nitrate Nitrogen within each sample of water.
Statistical Analysis
To statistically analyze the data I collected, I used a paired T-test to compare the before
and after, within the same treatment, of each location. I also used Kruskall Wallis to compare
the after values between the sites.
Grey water comparison before and after treatment Coler4
Results
The before and after results of this study are not significantly different for any of the
sites (Table 1). On the other hand, when comparing the after samples between treatments,
there were some significant differences.
There was very little variation of the pH values from the water samples before and after
treatment. The averages ranged between 5.396 (Monteverde Institute Before) and 7.516 (Bajo
Del Tigre After), and shift towards the acidic scale. Bajo Del Tigre (with the most neutral pH)
and the Monteverde Institute (with the most acidic pH) were the two locations to have the
most significant differences in pH level (Figure 1; X²=16.94, df=3, p<0.0007).
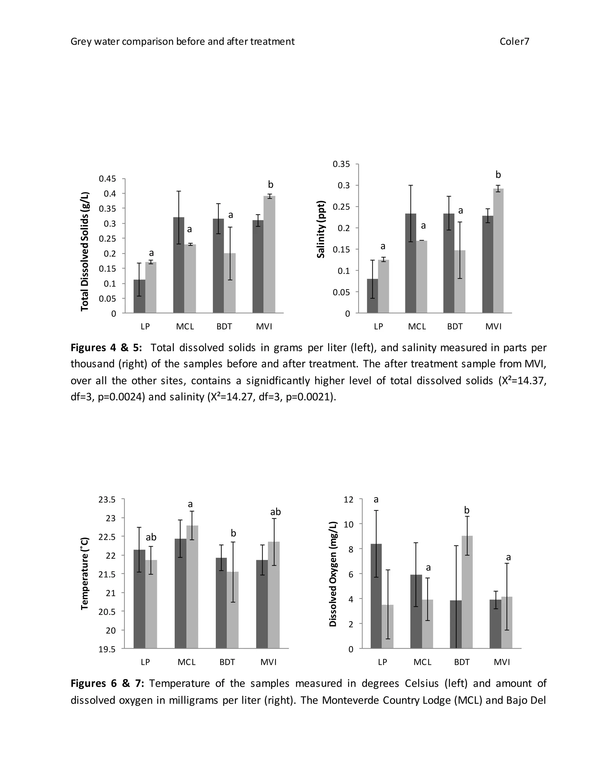
The specific conductivity (Figure 2; X²=14.434, df=3, p=0.0024), conductivity (Figure 3;
X²=14.33, df=3, p=0.002), total dissolved solids (Figure 4; X²=14.37, df=3, p=0.0024), salinity
(Figure 5; X²=14.27, df=3, p=0.0021), and dissolved oxygen were significantly different between
sites among the samples. The after treatment samples at the Institute had significantly higher
outcomes in total dissolved solids, salinity and both conductivity values than any other test site.
The Monteverde Country Lodge (22.794˚C, S.D=0.376) and Bajo Del Tigre (21.546˚C, S.D=0.806)
had temperatures that were significantly different, with a 1.248˚C diffence (Figure 6; X²=9.21,
df=3, p=0.03). The dissolved oxygen levels (Figure 7; X²=9.25, df=3, p=0.026) were significantly
higher in the water samples after treatment at Bajo Del Tigre, with 9.02 mg/L, than any other
sample from the various locations.
The location with the most significant level of Nitrate Nitrogen with an average of
1mg/L, was the Monteverde Country Lodge, while the every other test site had an average of
about 0.1- 0.2 mg/L (Figure 8; X²=12.92, df=3, p=0.0048).
Grey water comparison before and after treatment Coler5
Table 1: Average values and standard deviations, in parenthesis, for pH, specific conductivity
(S. Con), conductivity (Con), total dissolved solids (TDS), salinity (Sal), dissolved oxygen (DO),
temperature (Temp), and Nitrate Nitrogen (NO3) within grey water before and after treatment
at four different locations around the Monteverde and Cerro Plano regions.
Los Pinos
(LP)
Monteverde
Country Lodge
(MCL)
Bajo Del Tigre
(BDT)
Monteverde
Institute
(MVI)
BEFORE AFTER BEFORE AFTER BEFORE AFTER BEFORE AFTER
pH 6.642
(0.213)
6.632
(0.029)
6.902
(0.103)
6.68
(0.041)
7.038
(0.416)
7.516
(0.113)
5.396
(0.202)
6.128
(0.075)
S. Con
(mS/cm^c)
0.173
(0.085)
0.264
(0.009)
0.491
(0.136)
0.354
(0.004)
0.486
(0.077)
0.309
(0.137)
0.475
(0.029)
0.602
(0.011)
Con
(mS/cm)
0.164
(0.082)
0.248
(0.008)
0.468
(0.131)
0.339
(0.005)
0.457
(0.073)
0.291
(0.129)
0.447
(0.026)
0.575
(0.016)
TDS
(g/L)
0.112
(0.055)
0.171
(0.006)
0.319
(0.088)
0.229
(0.003)
0.316
(0.050)
0.2
(0.088)
0.309
(0.019)
0.391
(0.007)
Sal
(ppt)
0.08
(0.044)
0.126
(0.005)
0.234
(0.066)
0.17
(0)
0.234
(0.039)
0.148
(0.066)
0.228
(0.016)
0.292
(0.008)
DO
(mg/L)
8.412
(2.659)
3.522
(2.767)
5.92
(2.546)
3.934
(1.711)
3.896
(4.339)
9.05
(1.584)
3.924
(0.703)
4.164
(2.662)
Temp (˚C) 22.154
(0.599)
21.866
(0.371)
22.444
(0.500)
22.794
(0.376)
21.93
(0.350)
21.546
(0.806)
21.87
(0.410)
22.352
(0.623)
NO3
(mg/L)
0.1
(0.224)
0.2
(0.274)
0.2
(0.274)
1
(0)
0.2
(0.274)
0.2
(0.274)
0.1
(0.224)
0.1
(0.224)
Grey water comparison before and after treatment Coler6
Figure 1: Average pH values for both before and after
treatment of the water at all four locations. Bajo Del Tigre (BDT)
had a significantly higher after treatment pH than the Monteverde
Institute (MVI) (X²=16.94, df=3, p<0.0007).
Figures 2 & 3: Specific conductivity measured in mS/cmᶜ (left), which correlates with the
temperatre of the sample, and the regular conductivity measured in mS/cm (right). MVI had
significantly higher levels of both specific conductivity (X²=14.434, df=3, p=0.0024) and conductivity
(X²=14.33, df=3, p=0.002) than any other site.
0
1
2
3
4
5
6
7
8
9
LP MCL BDT MVI
AveragepH
Before Treatment
After Treatment
0
0.1
0.2
0.3
0.4
0.5
0.6
0.7
LP MCL BDT MVI
S.Conductivity(mS/cmᶜ)
0
0.1
0.2
0.3
0.4
0.5
0.6
0.7
LP MCL BDT MVI
Conductivity(mS/cm)
a
a
a
a
a
a
b
c
a
a
a
b b
Grey water comparison before and after treatment Coler7
Figures 4 & 5: Total dissolved solids in grams per liter (left), and salinity measured in parts per
thousand (right) of the samples before and after treatment. The after treatment sample from MVI,
over all the other sites, contains a signidficantly higher level of total dissolved solids (X²=14.37,
df=3, p=0.0024) and salinity (X²=14.27, df=3, p=0.0021).
Figures 6 & 7: Temperature of the samples measured in degrees Celsius (left) and amount of
dissolved oxygen in milligrams per liter (right). The Monteverde Country Lodge (MCL) and Bajo Del
0
0.05
0.1
0.15
0.2
0.25
0.3
0.35
0.4
0.45
LP MCL BDT MVI
TotalDissolvedSolids(g/L)
a
a
a
b
0
0.05
0.1
0.15
0.2
0.25
0.3
0.35
LP MCL BDT MVI
Salinity(ppt)
a
a
a
b
19.5
20
20.5
21
21.5
22
22.5
23
23.5
LP MCL BDT MVI
Temperature(˚C)
ab
a
b
ab
0
2
4
6
8
10
12
LP MCL BDT MVI
DissolvedOxygen(mg/L)
a
a
b
a
Grey water comparison before and after treatment Coler8
Tigre (BDT) have the most significantly different temperatures after treatment (X²=9.21, df=3,
p=0.03). BDT has considerably higher amounts of dissolved oxygen after treatment than any other
site (X²=9.25, df=3, p=0.026).
Figure 8: Nitrate Nitrogen levels found in each sample
measured in milligrams per liter. The Monteverde Country
Lodge has extremely higher levels of Nitrate Nitrogen in the
after treatment sample (X²=12.92, df=3, p=0.0048).
Discussion
The before and after samples for each location, were not significantly different,
however, I believe if there had been a larger sample set, a difference may have been evident. In
contrast, when the after treatment samples from each site were solely compared against each
other, I noted several significances among the samples.
All the average pH values gathered, except for the water collected before treatment at
the Institute, fell within the usual expected range for grey water: 6.5-8.4 (Morel and Diener
2006). The Institute’s sample before treatment was more acidic (x=5.39, S.D=0.202), which
opposes the pH values I had predicted for the samples before treatment. This might be because
of the high amounts of coffee, tea and greatly acidic food particles; such as rice, meats and
dairy products (Acid/Alkaline Chart 2014) which are washed down the kitchen sinks. During the
time of my study, the amount of these acidic elements being washed down the kitchen sinks
could have been greatly increased because of the large amount of various student groups
residing at the Institute and the multipleactivities hosted there.
The significantly high levels of specific conductivity, conductivity, total dissolved solids
and salinity in the water sample after treatment from the Institute, was the opposite of what I
expected in my predictions. This differential outcome may be a result of the excessive amounts
0
0.2
0.4
0.6
0.8
1
1.2
LP MCl BDT MVI
NitrateNitrogen(mg/L)
a
b
a
a
Grey water comparison before and after treatment Coler9
of soil and sediment within the water sample. After filtering through the pipe system and bio
garden, the water becomes stagnant within the last checkpoint pipe. The water can then
become concentrated with the different particles from the rocks and sediment present,
specifically within the pipe. This trend of higher amounts of specific conductivity, conductivity,
total dissolved solids, and salinity can also be seen in the after sample of Los Pinos. Similarly,
this outcome could be because at times the water builds up at the end of the bio garden and
accumulates large amounts of leaf litter from the trees above, so even though there are no
significant differences between before and after samples, it may be that for instances the after
samples present different dissolved solids at the end of the pipe than at the beginning of it.
Dissolved oxygen is the amount of gaseous oxygen with in a given sample of water.
According to the Environmental Protection Agency’s (EPA) dissolved oxygen variation chart, the
amount of dissolved oxygen present correlates with the temperature of the water. When the
temperature is higher, the dissolved oxygen levels decline (EPA 2012). In Bajo Del Tigre’s
sample before treatment (x=3.89 mg/L, S.D= 4.339), the low average of dissolved oxygen
observed can be explained by the high temperature of the water. It could also be because the
water was extremely stagnant, so much so, that I witnessed an overwhelming presence of fly
larvae within the water. The water sample after treatment at Bajo Del Tigre, in opposition, is
significantly higher than all the others, this could be due to a correlation with Bajo Del Tigre’s
significantly lower temperature after treatment. The low temperature I observed could be
because the exit pipe flows into the nearby forest and is shaded by canopy cover.
The large significant difference in Nitrate Nitrogen levels between the Monteverde
Country Lodge and all the other sites can be clarified by one major factor. As stated previously,
the treatment plant at the lodge not only works with grey water, but treats a combination of
the hotel’s grey and black water. This vast amount of Nitrate Nitrogen present in the after
samples from the Lodge is caused by the high amount of nitrates; black water contains ninety
percent more nitrogen than grey water alone (Abedin and Rakib 2013). This may be the reason
why all the other water samples had Nitrate test results with extremely low values, usually from
0-0.5 mg/L, since these samples were consistent of grey water alone. This result contradicted
the values I expected to see during my study.
In conclusion, grey water is a large environmental issue that needs our attention. Further
tests should be conducted on site instead of sampling smaller portions of the water. Continued
research on the properties of grey water is critical in furthering our knowledge about this
environmental issue, especially studying the direct effects that untreated grey water has on
stream or river quality. As well as the effect it has on the habitats and organisms in the
surrounding area of a polluted stream or river (Morel and Diener 2006). Are the plants and
animals greatly harmed, could this problem cause a decrease in biodiversity of that area, or
could it be the site of a new disease outbreak? In addition, the research of bacteria within the
grey water could greatly increase our knowledge of the microorganisms that could be the cause
of disease outbreaks and possibly even help us to improve the treatment systems being used. If
water that is properly treated or less polluted to begin with is reused for watering flower
gardens, the nutrients in the grey water can be reclaimed and help to maintain the fertility of
the land (Ludwig 1997).
Grey water comparison before and after treatment Coler10
Acknowledgements
First I would like to give a big thank you to Sofia, my advisor, for all her support and
encouragement, also for all her help communicating and making connections. Thank you to
Emmie, my secondary advisor, and all the other EAP staff for all the support. Thank you to
Rafael and Bob for allowing me to test the grey water from their systems, as well as all the staff
at the Monteverde Country Lodge for allowing me to test samples from their treatment plant
and providing information. Thank you to Debbie, Francisco, and all the Institute staff for
allowing me to utilize the Institute as my work place, as well as helping me with any questions.
A special thank you to Jorge for being creative in helping me to extract water samples at the
Institute, as well as practicing Spanish with me. Many thanks to Danielle for letting me use the
lab and doing everything she could do to accommodate our every need with equipment. Nick
thanks for sharing the YSI 556 when my other equipment did not work out correctly. Lastly, an
incredibly huge thank you to my family back in California; for all the amazing support and
helping me be able to experience this amazing journey.
Literature Cited
-Abedin, S.B. and Rakib, Z. B. 2013. Generation and Quality of Analysis of Grey Water at Dhaka
City.
-Bates, S. E. 2014. The Journey to Developing Interpretive Materials for the Monteverde
Institute.
-Duttle, M. 1996. Safe Use of Household Greywater. Publication no. M-106. New Mexico State
University. College of Agricultural, Consumer and Environmental Sciences.
<http://aces.nmsu.edu/pubs/_m/M106.html>.
-EnvironmentalProtectionAgency(EPA). 2012. 5.2 Dissolved Oxygen and Biochemical Oxygen Demand.
5.2 Dissolved Oxygen and Biochemical Oxygen Demand.
<http://water.epa.gov/type/rsl/monitoring/vms52.cfm>.
-Just Water Savers USA Inc. 2009. Graywater for Gardens, Effects of Graywater on Plants.
Graywater for Gardens, Effects of Graywater on Plants.
<http://www.graywatergardening.com/Graywater_for_Gardens.html>.
-Ludwig, A. 1997. Grey Water Central. Grey Water Information Central.
<http://oasisdesign.net/greywater/#safe>.
-Morel, A. and Diener, S. 2006. Greywater Management in Low and Middle-Income Countries.
Rep. no. 14/06. Dubendorf, Switzerland.
-Monteverde Institute. 2015. Biojardin walking tour.
-pH Miracle. 2014. Acid/Alkaline Food Chart. Acid/Alkaline Food Chart.
<https://www.phmiracleliving.com/t-food-chart.aspx>.
-What Is Dissolved Oxygen? What Is Dissolved Oxygen?
<http://www.mymobilebay.com/stationdata/whatisDO.htm>.

Coler-FinalSub

  • 1.
    Comparison of greywater tests before and after treatment in various locations around Monteverde Elizabeth Coler University of California Santa Cruz Department of Ecology and Evolution EAP Spring 2015 5 June 2015 Abstract The primary purpose of this study was to observe the effectiveness of treatment systems on the quality of grey water. To evaluate the quality of greywater, I collected samples before and after treatment at four locations within the Monteverde and Cerro Plano regions: Los Pinos, Monteverde Country Lodge, Bajo Del Tigre, and Monteverde Institute. I tested all the samples in the lab to measure pH, specific conductivity, conductivity, total dissolved solids, salinity, dissolved oxygen, temperature, and Nitrate Nitrogen levels. I found that the water quality was not significantly different between the before and after samples. While in comparison of the after samples, I found a significant difference in the specific conductivity, conductivity, total dissolved solids, and salinity of the Monteverde Institute samples amongst the other locations tested. This result could be because of higher amounts of sediment and soil particles that come into the treatment, and due to stagnant water in the after treatment. Lastly, I also observed a significantly higher concentration of Nitrate Nitrogen levels of the after samples from the Monteverde Country Lodge in contrast with the other samples studied. This could be as a result of the combination of grey and black water being treated in the system. Resumen El propósito principal de este estudio fue observar la efectividad del tratamiento sistemas de la calidad del agua gris. Para evaluar la calidad de las aguas grises, recogí muestras antes y después del tratamiento en cuatro lugares en Monteverde y Cerro Plano: Los Pinos, Monteverde Country Lodge, Bajo del Tigre, y el Instituto Monteverde. Los parámetros que medí fueronl pH, conductividad específica, conductividad, sólidos totales disueltos, salinidad, oxígeno disuelto, la temperatura y los niveles de nitrato de nitrógeno. La calidad del agua no fue significativamente diferente entre el antes y después de las muestras. Por otro lado, al comparar los después de las muestras, encontré una diferencia significativa en la conductividad específica, conductividad, sólidos totales disueltos, y la salinidad de las muestras del Instituto Monteverde comparado con las otras ubicaciones. Este resultado podría ser debido a las altas cantidades de sedimentos y las partículas de suelo estancadas en el agua. Por último, también se observó una diferencia significativa en el nitrógeno de las muestras después del Monteverde Country Lodge en contraste con las otras muestras estudiadas. Esto podría ser como resultado de la combinación de agua grises y negras que se están tratando en el sistema.
  • 2.
    Grey water comparisonbefore and after treatment Coler2 Grey water is slowly becoming a more prevalent topic of concern in many communities around the world, especially in less developed countries. Grey water is all the wastewater from a household such as the kitchen, laundry, and bathroom, not including the water from toilets, also known as black water (Morel and Diener 2006). Grey water from the kitchen is consistent of dishwashing soaps, food ruminants, in addition to many sources of fats and oils. Laundry gives off grey water concentrated with large amounts of chemicals, such as phosphates, nitrates, and sodium. This grey water can also contain amounts of non-biodegradable elements or solvents. On the other hand, bathroom grey water is considered to be the least polluted, only containing deposits from shampoos, soaps, and other hygienic products (Moler and Diener 2006). Run off of this grey water is becoming a concern to many communities because of its negative effects on the public and the surrounding environment through pollution of the local water sources and habitats. Nearly fifty percent of the wastewater discharged from a household is made up of grey water (Bangladesh 2013), while roughly ‘forty percent of the world’s population does not have adequate water sanitation’ (Bates 2014) to deal with this runoff. This grey water pollution can cause damage to the environment through soil alteration as well as harm to the surrounding plants and organisms. It can also become the cause of disease outbreaks from bacteria that is within the water and may affect the water people drink or use to water gardens or farms. If pathogens are ingested through the consumption of foods, from a garden watered with inadequately treated grey water, it can be the source of disease transmission (Morel and Diener 2006). In Costa Rica, each person on average consumes approximately 187 liters of water per day, eighty-seven percent of this becoming grey water and only four percent of this grey water getting properly treated (Monteverde Institute 2015). Recently, research into grey water and its treatment have become a very strong topic of interest, especially in Monteverde. A vast majority of the community lets the untreated grey water from their household run off into the streets, which can lead to further pollution of surrounding habitats. The Monteverde Institute recently began a program in which they are working towards an objective to incorporate a grey water treatment system into the community. Through multiple surveys and some experimentation in treatment systems they are getting the essential information needed to further work towards their goal. This has led me to wonder: How does the quality of greywater compare before and after treatment and how do the results of this treatment differ between the diverse systems at multiple locations? My predictions of the results comparing the before and after treatment systems at each location were that the pH values would be fairly alkaline, due to the high amounts of soap (Greywater for Gardens 2009), and the levels of specific conductivity, conductivity, total dissolved solids, and salinity would be higher in the before samples and less in the after samples due to filtration and treatment. I did not have any predicted values for the temperature or dissolved oxygen, although I did predict there to be measurable amounts of Nitrate Nitrogen within each sample.
  • 3.
    Grey water comparisonbefore and after treatment Coler3 Materials and Methods Study Sites I collected grey water samples from before and after treatment at multiple locations: Los Pinos, the Monteverde Country Lodge, Bajo Del Tigre, and the Monteverde Institute. The systems at these various locations were all are constructed uniquely, either by students or engineers, and deal with grey water from different sources. Los Pinos utilizes a large serpentine tank that first filters the laundry water from the hotel, and then allows the water to slowly travel through the switchbacks for further filtration before entering the bio garden. Once the water is pumped into the bio garden, it filters down through the different layers of sediment into the exit pipes that deliver water to a storage bin at the end of the system. This bin then allows the treated water to drain out into the sewers. Similar to Los Pinos, the system at Bajo Del Tigre starts off with a tank that sends the lightly filtered bathroom sink water into a small biogarden to finish treatment. This tank only has two chambers and a small channel for water to flow through, mean while allowing the solids to get trapped in a shallow between the chambers. The final treated water then exits an outflow pipe into a small patch of forest. While the Institute uses a bio garden as the last step in their treatment system, just like the previous two systems, they have a pipe filtration structure that combines the water from the kitchen sinks as well as the bathroom sinks and shower. A small filtration trench outside the kitchen separates the fats, oils, and solids from the water before it is mixed with the bathroom water and sent to the biogarden where the water stops. On the complete opposite end of the spectrum, the Monteverde Country Lodge has a treatment plant designed by an engineer and accommodates large amounts of water from the entire hotel, including a combination of grey and black water. This arrangement is mainly an underground chamber system, in one of the chambers a chlorine chemical is added to the water solution before it is filtered further. Since the chlorine is stable in storage and will, in time, vaporize from the water after disinfection (Duttle, Marsha 1994) the water can then filter through the sediment box and finally be used to water the lawn at the hotel. Methodology I collected samples once a day at each site, before and after treatment. I would fill the sampling cups completely to the top so that there would not be an effect on the levels on dissolved oxygen. I then transferred the samples back to the lab to run tests. I immediately tested the samples with a YSI 556 probe to measure the pH, specific conductivity, conductivity, total dissolved solids, salinity, temperature, and dissolved oxygen. I used a nitrate test kit to determine the level of Nitrate Nitrogen within each sample of water. Statistical Analysis To statistically analyze the data I collected, I used a paired T-test to compare the before and after, within the same treatment, of each location. I also used Kruskall Wallis to compare the after values between the sites.
  • 4.
    Grey water comparisonbefore and after treatment Coler4 Results The before and after results of this study are not significantly different for any of the sites (Table 1). On the other hand, when comparing the after samples between treatments, there were some significant differences. There was very little variation of the pH values from the water samples before and after treatment. The averages ranged between 5.396 (Monteverde Institute Before) and 7.516 (Bajo Del Tigre After), and shift towards the acidic scale. Bajo Del Tigre (with the most neutral pH) and the Monteverde Institute (with the most acidic pH) were the two locations to have the most significant differences in pH level (Figure 1; X²=16.94, df=3, p<0.0007). The specific conductivity (Figure 2; X²=14.434, df=3, p=0.0024), conductivity (Figure 3; X²=14.33, df=3, p=0.002), total dissolved solids (Figure 4; X²=14.37, df=3, p=0.0024), salinity (Figure 5; X²=14.27, df=3, p=0.0021), and dissolved oxygen were significantly different between sites among the samples. The after treatment samples at the Institute had significantly higher outcomes in total dissolved solids, salinity and both conductivity values than any other test site. The Monteverde Country Lodge (22.794˚C, S.D=0.376) and Bajo Del Tigre (21.546˚C, S.D=0.806) had temperatures that were significantly different, with a 1.248˚C diffence (Figure 6; X²=9.21, df=3, p=0.03). The dissolved oxygen levels (Figure 7; X²=9.25, df=3, p=0.026) were significantly higher in the water samples after treatment at Bajo Del Tigre, with 9.02 mg/L, than any other sample from the various locations. The location with the most significant level of Nitrate Nitrogen with an average of 1mg/L, was the Monteverde Country Lodge, while the every other test site had an average of about 0.1- 0.2 mg/L (Figure 8; X²=12.92, df=3, p=0.0048).
  • 5.
    Grey water comparisonbefore and after treatment Coler5 Table 1: Average values and standard deviations, in parenthesis, for pH, specific conductivity (S. Con), conductivity (Con), total dissolved solids (TDS), salinity (Sal), dissolved oxygen (DO), temperature (Temp), and Nitrate Nitrogen (NO3) within grey water before and after treatment at four different locations around the Monteverde and Cerro Plano regions. Los Pinos (LP) Monteverde Country Lodge (MCL) Bajo Del Tigre (BDT) Monteverde Institute (MVI) BEFORE AFTER BEFORE AFTER BEFORE AFTER BEFORE AFTER pH 6.642 (0.213) 6.632 (0.029) 6.902 (0.103) 6.68 (0.041) 7.038 (0.416) 7.516 (0.113) 5.396 (0.202) 6.128 (0.075) S. Con (mS/cm^c) 0.173 (0.085) 0.264 (0.009) 0.491 (0.136) 0.354 (0.004) 0.486 (0.077) 0.309 (0.137) 0.475 (0.029) 0.602 (0.011) Con (mS/cm) 0.164 (0.082) 0.248 (0.008) 0.468 (0.131) 0.339 (0.005) 0.457 (0.073) 0.291 (0.129) 0.447 (0.026) 0.575 (0.016) TDS (g/L) 0.112 (0.055) 0.171 (0.006) 0.319 (0.088) 0.229 (0.003) 0.316 (0.050) 0.2 (0.088) 0.309 (0.019) 0.391 (0.007) Sal (ppt) 0.08 (0.044) 0.126 (0.005) 0.234 (0.066) 0.17 (0) 0.234 (0.039) 0.148 (0.066) 0.228 (0.016) 0.292 (0.008) DO (mg/L) 8.412 (2.659) 3.522 (2.767) 5.92 (2.546) 3.934 (1.711) 3.896 (4.339) 9.05 (1.584) 3.924 (0.703) 4.164 (2.662) Temp (˚C) 22.154 (0.599) 21.866 (0.371) 22.444 (0.500) 22.794 (0.376) 21.93 (0.350) 21.546 (0.806) 21.87 (0.410) 22.352 (0.623) NO3 (mg/L) 0.1 (0.224) 0.2 (0.274) 0.2 (0.274) 1 (0) 0.2 (0.274) 0.2 (0.274) 0.1 (0.224) 0.1 (0.224)
  • 6.
    Grey water comparisonbefore and after treatment Coler6 Figure 1: Average pH values for both before and after treatment of the water at all four locations. Bajo Del Tigre (BDT) had a significantly higher after treatment pH than the Monteverde Institute (MVI) (X²=16.94, df=3, p<0.0007). Figures 2 & 3: Specific conductivity measured in mS/cmᶜ (left), which correlates with the temperatre of the sample, and the regular conductivity measured in mS/cm (right). MVI had significantly higher levels of both specific conductivity (X²=14.434, df=3, p=0.0024) and conductivity (X²=14.33, df=3, p=0.002) than any other site. 0 1 2 3 4 5 6 7 8 9 LP MCL BDT MVI AveragepH Before Treatment After Treatment 0 0.1 0.2 0.3 0.4 0.5 0.6 0.7 LP MCL BDT MVI S.Conductivity(mS/cmᶜ) 0 0.1 0.2 0.3 0.4 0.5 0.6 0.7 LP MCL BDT MVI Conductivity(mS/cm) a a a a a a b c a a a b b
  • 7.
    Grey water comparisonbefore and after treatment Coler7 Figures 4 & 5: Total dissolved solids in grams per liter (left), and salinity measured in parts per thousand (right) of the samples before and after treatment. The after treatment sample from MVI, over all the other sites, contains a signidficantly higher level of total dissolved solids (X²=14.37, df=3, p=0.0024) and salinity (X²=14.27, df=3, p=0.0021). Figures 6 & 7: Temperature of the samples measured in degrees Celsius (left) and amount of dissolved oxygen in milligrams per liter (right). The Monteverde Country Lodge (MCL) and Bajo Del 0 0.05 0.1 0.15 0.2 0.25 0.3 0.35 0.4 0.45 LP MCL BDT MVI TotalDissolvedSolids(g/L) a a a b 0 0.05 0.1 0.15 0.2 0.25 0.3 0.35 LP MCL BDT MVI Salinity(ppt) a a a b 19.5 20 20.5 21 21.5 22 22.5 23 23.5 LP MCL BDT MVI Temperature(˚C) ab a b ab 0 2 4 6 8 10 12 LP MCL BDT MVI DissolvedOxygen(mg/L) a a b a
  • 8.
    Grey water comparisonbefore and after treatment Coler8 Tigre (BDT) have the most significantly different temperatures after treatment (X²=9.21, df=3, p=0.03). BDT has considerably higher amounts of dissolved oxygen after treatment than any other site (X²=9.25, df=3, p=0.026). Figure 8: Nitrate Nitrogen levels found in each sample measured in milligrams per liter. The Monteverde Country Lodge has extremely higher levels of Nitrate Nitrogen in the after treatment sample (X²=12.92, df=3, p=0.0048). Discussion The before and after samples for each location, were not significantly different, however, I believe if there had been a larger sample set, a difference may have been evident. In contrast, when the after treatment samples from each site were solely compared against each other, I noted several significances among the samples. All the average pH values gathered, except for the water collected before treatment at the Institute, fell within the usual expected range for grey water: 6.5-8.4 (Morel and Diener 2006). The Institute’s sample before treatment was more acidic (x=5.39, S.D=0.202), which opposes the pH values I had predicted for the samples before treatment. This might be because of the high amounts of coffee, tea and greatly acidic food particles; such as rice, meats and dairy products (Acid/Alkaline Chart 2014) which are washed down the kitchen sinks. During the time of my study, the amount of these acidic elements being washed down the kitchen sinks could have been greatly increased because of the large amount of various student groups residing at the Institute and the multipleactivities hosted there. The significantly high levels of specific conductivity, conductivity, total dissolved solids and salinity in the water sample after treatment from the Institute, was the opposite of what I expected in my predictions. This differential outcome may be a result of the excessive amounts 0 0.2 0.4 0.6 0.8 1 1.2 LP MCl BDT MVI NitrateNitrogen(mg/L) a b a a
  • 9.
    Grey water comparisonbefore and after treatment Coler9 of soil and sediment within the water sample. After filtering through the pipe system and bio garden, the water becomes stagnant within the last checkpoint pipe. The water can then become concentrated with the different particles from the rocks and sediment present, specifically within the pipe. This trend of higher amounts of specific conductivity, conductivity, total dissolved solids, and salinity can also be seen in the after sample of Los Pinos. Similarly, this outcome could be because at times the water builds up at the end of the bio garden and accumulates large amounts of leaf litter from the trees above, so even though there are no significant differences between before and after samples, it may be that for instances the after samples present different dissolved solids at the end of the pipe than at the beginning of it. Dissolved oxygen is the amount of gaseous oxygen with in a given sample of water. According to the Environmental Protection Agency’s (EPA) dissolved oxygen variation chart, the amount of dissolved oxygen present correlates with the temperature of the water. When the temperature is higher, the dissolved oxygen levels decline (EPA 2012). In Bajo Del Tigre’s sample before treatment (x=3.89 mg/L, S.D= 4.339), the low average of dissolved oxygen observed can be explained by the high temperature of the water. It could also be because the water was extremely stagnant, so much so, that I witnessed an overwhelming presence of fly larvae within the water. The water sample after treatment at Bajo Del Tigre, in opposition, is significantly higher than all the others, this could be due to a correlation with Bajo Del Tigre’s significantly lower temperature after treatment. The low temperature I observed could be because the exit pipe flows into the nearby forest and is shaded by canopy cover. The large significant difference in Nitrate Nitrogen levels between the Monteverde Country Lodge and all the other sites can be clarified by one major factor. As stated previously, the treatment plant at the lodge not only works with grey water, but treats a combination of the hotel’s grey and black water. This vast amount of Nitrate Nitrogen present in the after samples from the Lodge is caused by the high amount of nitrates; black water contains ninety percent more nitrogen than grey water alone (Abedin and Rakib 2013). This may be the reason why all the other water samples had Nitrate test results with extremely low values, usually from 0-0.5 mg/L, since these samples were consistent of grey water alone. This result contradicted the values I expected to see during my study. In conclusion, grey water is a large environmental issue that needs our attention. Further tests should be conducted on site instead of sampling smaller portions of the water. Continued research on the properties of grey water is critical in furthering our knowledge about this environmental issue, especially studying the direct effects that untreated grey water has on stream or river quality. As well as the effect it has on the habitats and organisms in the surrounding area of a polluted stream or river (Morel and Diener 2006). Are the plants and animals greatly harmed, could this problem cause a decrease in biodiversity of that area, or could it be the site of a new disease outbreak? In addition, the research of bacteria within the grey water could greatly increase our knowledge of the microorganisms that could be the cause of disease outbreaks and possibly even help us to improve the treatment systems being used. If water that is properly treated or less polluted to begin with is reused for watering flower gardens, the nutrients in the grey water can be reclaimed and help to maintain the fertility of the land (Ludwig 1997).
  • 10.
    Grey water comparisonbefore and after treatment Coler10 Acknowledgements First I would like to give a big thank you to Sofia, my advisor, for all her support and encouragement, also for all her help communicating and making connections. Thank you to Emmie, my secondary advisor, and all the other EAP staff for all the support. Thank you to Rafael and Bob for allowing me to test the grey water from their systems, as well as all the staff at the Monteverde Country Lodge for allowing me to test samples from their treatment plant and providing information. Thank you to Debbie, Francisco, and all the Institute staff for allowing me to utilize the Institute as my work place, as well as helping me with any questions. A special thank you to Jorge for being creative in helping me to extract water samples at the Institute, as well as practicing Spanish with me. Many thanks to Danielle for letting me use the lab and doing everything she could do to accommodate our every need with equipment. Nick thanks for sharing the YSI 556 when my other equipment did not work out correctly. Lastly, an incredibly huge thank you to my family back in California; for all the amazing support and helping me be able to experience this amazing journey. Literature Cited -Abedin, S.B. and Rakib, Z. B. 2013. Generation and Quality of Analysis of Grey Water at Dhaka City. -Bates, S. E. 2014. The Journey to Developing Interpretive Materials for the Monteverde Institute. -Duttle, M. 1996. Safe Use of Household Greywater. Publication no. M-106. New Mexico State University. College of Agricultural, Consumer and Environmental Sciences. <http://aces.nmsu.edu/pubs/_m/M106.html>. -EnvironmentalProtectionAgency(EPA). 2012. 5.2 Dissolved Oxygen and Biochemical Oxygen Demand. 5.2 Dissolved Oxygen and Biochemical Oxygen Demand. <http://water.epa.gov/type/rsl/monitoring/vms52.cfm>. -Just Water Savers USA Inc. 2009. Graywater for Gardens, Effects of Graywater on Plants. Graywater for Gardens, Effects of Graywater on Plants. <http://www.graywatergardening.com/Graywater_for_Gardens.html>. -Ludwig, A. 1997. Grey Water Central. Grey Water Information Central. <http://oasisdesign.net/greywater/#safe>. -Morel, A. and Diener, S. 2006. Greywater Management in Low and Middle-Income Countries. Rep. no. 14/06. Dubendorf, Switzerland. -Monteverde Institute. 2015. Biojardin walking tour. -pH Miracle. 2014. Acid/Alkaline Food Chart. Acid/Alkaline Food Chart. <https://www.phmiracleliving.com/t-food-chart.aspx>. -What Is Dissolved Oxygen? What Is Dissolved Oxygen? <http://www.mymobilebay.com/stationdata/whatisDO.htm>.