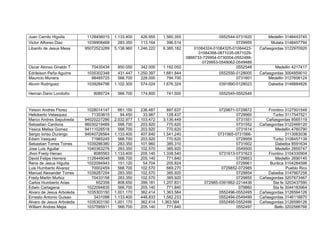
NOMBRE
Eduardo Restrepo Alzate
Llimer de Jesus Florez Graciano

CEDULA

INFRACCION

INTRES

V.TOTAL

70433802
70432572

357.067
2.966.453

188.440
1.373.225

545.507
4.339.678

1046952514

1.354.550

504.308

1.858.858

Gilberto Olmenis Cardona
Jose Arturo Monsalve Vasquez
Sebastian David Gomez
Andres Felipe Medina Giraldo

71988558
98502471
94031026347
93102221689

803.400
1.071.200
267.800
1.655.754

358.205
485.949
109.940
752.765

1.161.605
1.557.149
377.740
2.408.519

Jhon Faber Higuita Torres
Ana Maria Londoño Castañeda

1192765887
98082056238

535.600
1.071.200

238.803
439.761

774.403
1.510.961

Robinson Graciano Cartagena
Alirio esteban Zapata

94022825040
1035304075

803.400
2.083.770

339.283
726.174

1.142.683
2.809.944

Elkin Eduardo Bolivar Carmona
David Esteban Higuita Usuga

98012559542
93091329148

535.600
2.142.400

283.803
982.080

774.403
3.124.480

70435851
79707424
79675234
71774860
8418128
14704207
70435865
98614209
98772225
71021886

535.600
678.424
535.600
535.600
535.600
410.627
1.339.000
267.800
535.600
535.600

268.041
302.484
283.803
238.803
238.803
183.083
597.008
119.402
238.803
238.803

803.641
980.908
819.403
819.403
819.403
593.710
1.936.008
387.202
774.403
774.403

Oscar Armando Escobar

Carlos Alberto Vargas Cardona
Luis Paulino Garcia Becerra
Jhon Henry Gonzalez Murial
Alejandro Bustamante
Jorge Sepulveda Hurtado
Wilson Fernando Peña Guisao
Adrian Antonio Aguirre Jaramillo
Didier Torres Torres
Hernan Dario Correa Correa
Floriberto Tuberquia Carvajal

COMPARENDO
0391956-0135096
0868732-03920430389995-03896080290363-24836520127964-2482944
112362-03920420391850
0386278
0391841-0386261
0391973
0552505-03895820391970-0391855012771
0391877
0386285-03862870386286
0391831-0391832
0876837-010843560868820-07315960388506-03885070388522-0135062
0391811
0549068-03863450392037-0127958
0391822-0135100
0391823-0391824
0391825
0391826
0391868
0392048-0392049
0391845-0391844
0391846
0391872
0391873

DIRECCION
Cañasgordas - tel: 2932258
Cañasgordas

Cañasgordas cel: 3122122056
Cañasgordas cel: 3113912252
Cañasgordas cel: 3113416545
Cañasgordas cel: 3172175993
Cañasgordas tel: 8564036

Cañasgordas cel: 3113397293
Cañasgordas cel: 3137332123
Cañasgordas cel: 3216333279
Cañasgordas cel:3122290976

Cañasgordas cel: 3116649359
Cañasgordas cel: 3128389620
Cañasgordas cel: 3217028483
Cañasgordas Tel: 7323773
Cañasgordas Tel: 5212000
Cañasgordas
Cañasgordas Tel: 3112113
Cañasgordas Tel: 8280629
Cañasgordas
Cañasgordas Cel: 3113298120
Cañasgordas Cel: 3113298120
Cañasgordas
Yeison Ferney Pineda Durango

1038333765

1.339.000

587.546

1.926.546

Jhon Jairo Gutierrez Piedrahita
Wilson Santiago Osorio
TomasJose Rios Muñoz
Luis Beonarde Osorio Gomez
Jorge Eliecer Rojas Osorio
Mario Edilberto Garcia perez
Yeison Estidwar Gallego Quiroz

2976312
79965658
8406869
1040761411
8419856
15989232
1038336029

267.800
142.827
535.600
535.600
1.339.000
803.400
2.142.390

119.402
70.345
238.803
238.803
597.008
358.205
972.255

387.202
213.172
774.403
774.403
1.936.008
1.161.605
3.114.645

8416315
70432121

267.800
1.606.800

119.402
764.104

387.202
2.370.904

Jorge Euclides Arango E
Jairo Antonio Mira Garcia

0386283-03862810386282
0386288
0391953
0391849
0391954
0391879-0391878
0391880
0391964-03919650391966-039196700110558
0391882
0391883-05490570290429-2638250

Cañasgordas Cel:3104835953
Cañasgordas Cel:3217461086
Cañasgordas Tel: 8255594
Cañasgordas Tel: 5121418
Cañasgordas Cel: 3148943592
Cañasgordas Cel: 3128190788
Cañasgordas Cel: 3137528727
Cañasgordas Cel: 3122167849

Cañasgordas Cel: 3147218349
Cañasgordas Cel: 3136641405

Mes de Noviembre 2011

NOMBRE

CEDULA

INFRACCION

INTRES

V.TOTAL

COMPARENDO

Juan Luis Tamayo Higuita

70431642

767.694

339.934

1.107.628

Gisela Garces Gonzalez
Juan Sebastian Arias Polo

96021017130
96121812700

142.827
892.667

64.735
368.996

207.562
1.261.663

Diego Alejandro Restrepo Castaño

95112520806

1.160.467

584.447

1.744.914

Deibis Antonio Sanchez

70433948

803.400

430.253

1.233.653

0549142-05491410127719
0391971
0549137-05491360549138
0549131-05491320127741
0549130

Walter Ambrosio Arbelaez

98577646

357.067

180.295

537.362

0549124-0290387

1035302213
3431498

232.094
89.267

105.195
40.460

337.289
129.727

0549122-0549123
0549120

95010130302

1.214.027

514.650

1.728.677

0391892-03918950391894

Bibiana Andrea Cardenas Orrego
Rodrigo Antonio Usuga David
Brayan Camilo Manco

DIRECCION
Cañasgordas
Cañasgordas
Cañasgordas Tel: 8564220
Cañasgordas
Cañasgordas
Cel:3113307648
Cañasgordas Cel:
3204883201
Cañasgordas Tel: 8564942
Cañasgordas Cel:
3104126776
Cañasgordas Cel:
3136164327
David Esteban Higuita Usuga

93091329148

2.142.400

997.894

3.140.294

Libardo de Jesus Mesa Usuga

95072523289

5.138.960

1.119.566

6.258.526

Yeferson Arias Holguin

93123106405

803.400

364.731

1.168.131

Santiago Valencia Uribe

94041019942

3.023.550

1.138.393

4.161.943

142.827

64.841

207.668

0729971-05490270391897-03918170549028-0391817
0389676

Juan Diego David Cano
Duberney Cardona Giraldo
Luis Fernando Zapata Cardona

94011111828

0549068-03863450392037-0127958
01084423-010843980871035-08710290868733-07299540730004-05524880729953-05490620549489-0108432401084325
0389664-0389663

94083027643

535.600

243.154

778.754

0549083

1027943491

924.800

321.254

1.246.054

01084427-05490930389675-0290360
2202535-054905803896880-731628
0868751-05490610389758
0389662
0389660-0389659
0391893-0392047

Nicolas Pulgarin Ramirez

98459305

1.076.450

78.294

1.154.744

Luis Arturo Alvarez Cano

70430687

818.950

316.066

1.135.016

Luis Carlos Molina Layos
Jairo A. Usuga Aguirre
Andres D. Maya Florez

71.052.208
1035302826
1035304056

535.600
1.071.200
535.600

243.551
487.102
224.981

779.151
1.559.302
760.581

Gabriel Jaime Rodriguez Rojas
Ormedis de Js. Ramirez
Carlos Andres Mira
Carlos Alvarez Rodriguez

70435805
71798774
1035302465
1035302524

535.600
551.150
418.920
1.905.700

243.551
200.069
148.587
668.694

779.151
751.219
567.507
2.574.39408

Jhon Jairo Usuga Aguirre
Luis Eduardo Castaño Urrgo
Henrry Esquivel Babilonia
Carlos A. Zapata Puerta

1035302362
8413839
8169126
70434211

535.600
535.600
535.600
142.827

206.411
243.551
243.551
64.947

742.011
779.151
779.151
207.774

0389666
0817412-0389667
0731631-0389668
871037-54910350549102
0389669
0389670
0549051
0549054

Cañasgordas Cel:
3128389620

Cañasgordas Cel:
3128256334
Cañasgordas Cel:
3113402438
Cañasgordas Cel:
3137870495
Cañasgordas Cel:
3137599343
Frontino Las Partidas
Medellìn – Robledo
Cañasgordas- Cra.Santander
Medellìn- 4462686
C.gordas- 3146048660
La Balsita
8564918- 8569918 El Reten
C.gordas- 3128149346
La Bomba- 3146543998
C.gordas
C.gordas- 8564628
Medellìn- 5787192
C.gordas- 3133239179
El Porvenir- 3117964206
Wilder Puerta Cardona
Jairo Mira Garcia

1035303479
70432121

803.400
1.606.800

452.031
778.345

1.255.431
2.385.145

Deison f. Zapata Agudelo
Wilson Oliveros Puerta
Juan A. Holguin Urrego

86014728
71.791.664
8085708

267.800
142.827
267.800

121.775
64.947
121.775

389.575
207.774
389.575

Miguel A. Guisao Giraldo
Juan F. Suarez Jimenez

70434751
1035304123

285.654
2.389.600

147.895
1.249.893

433.549
3.639.493

Josè I. Aguirre Gomez
J. Camilo Londoño Sanchez
Luis Carlos Durango Giraldo

8.332.670
8063337
1035302352

267.800
267.800
1.365950

-0121.775
611.739

267.800
389.575
1923.689

70435779

1.372.300

448.844

1.821.144

Carlos Edison Arias V
Edgar de Js. Pelaez
Jorge Castañeda Munera
Josè O. Duarte Loaiza
Edwin E. Muñoz P

8419365
70064516
1035302160
71022020
70435839

551.150
1.071.200
267.800
267.800
1.967.900

220.478
501.149
121.974
104.175
786.383

751.628
1.572.349
389.774
371.975
2.754.283

Bibiana A. Cardenas Orrego
Milton Tangarife Vasquez
Efrain Rodriguez U

1035302213
1035303969
10993662

232.094
678.427
1.624.654

105.711
289.455
820.087

337.805
965.882
2.444.741

Jhon D. Restrepo Montoya

1036603526

1.586.200

896.158

2.482.358

15401123

267.800

121.974

389.774

71761610
8418683
71640943
1035302352

525.300
535.600
267.800
1.633.750

263.329
243.948
123.956
520.595

788.629
779.548
391.756
2.154.345

Josè A. Valderrama David

Guillermo L. Bran Cano
Rodrigo de Js Tangarife
Orlando de Js Torres
Jhon Jairo Muñoz Ospina
Luis Carlos Durango Giraldo

0549055-2650983
0391883-05490570290429-2638250
0549105
0549106
0549107
0549108-2638235
0389671-03896780389679-26382272565943
0389672
0549110
01084440-05490740389673-039200501348101084411-03896742483261
0817420-0549111
0549112-0389994
0549059
0549060
0549097-05490630552464
0549123-0549122
0549125-0128014
0549126-05491270127707-0127956
0549064-26509972650955
0549069
0549071
0549072
0549073
01084440-05490740389673-0392005-

Paso Arriba- 3136483453
Imantago 3136641405
El Roble- C.gordas
B.San Vicente- 3127858186
Frontino /Las Mercedes8595663
Los Balsos- 3123519945
San Isidro C.gordas- 8565119

El Reten- 3207414439
Apartado 8295952
Los Balsos- 3112552613

C.gordas- 3207750449
Vda Chorodo
Medellìn- 2126492
C.gordas
Moroto-3118921758
Insor- 3128795333
Imantago- 8564942
C.gordas
C.gordas- 8564862
La Planta3113590436
Sta Fe- Los Llanos3217585408
La CampiñaEl León- 3218487823
Medellìn- 2534985
Los Balsos –
Gildardo Quiroz Quiroz
Wilson Restrepo Hurtado
Gustavo A. Balbin Oquendo
Yony Alexander Ruiz Urrego
Ramon Vasquez Montoya
Yeison Correa J
Novaro H. Gomez Gonzalez
Jaime A. Quintero Puerta
Wilder De Js. Rengifo Lopez
Jhovanny Moreno Mosquera
Alvaro J. Mora Echavarria
Juan A. Lopez Ochoa
Josè Duvan Gonzalez Ramirez
Jhon Jairo Monsalve Durango
Virgilio Vargas Quiroz
Marco Enrrique Correa Carvajal

70434581
70433604
70435951
70435613
70436037
1193069461
1039285159
1035302284
98766061
71353527
1023801669
1017163796
1045139805
98501440
3362910

535.600
535.600
739.600
267.800
803.400
535.600
410.627
535.600
267.800
267.800
267.800
267.800
142.827
267.800
1.606.800

247.912
247.912
248.304
124.152
372.456
248.304
168.624
248.304
124.152
124.152
124.152
124.152
66.215
124.125
744.912

783.512
783.512
987.904
391.952
1.175.856
783.904
579.251
783.904
391.952
391.952
391.952
391.952
209.042
391.952
2.351.712

71375823

830.350

279.066

1.109.416

013481-0131819
0549075
0549004
0549005-1244520
0549078
0549134-0549133
0549006
0549139-0549140
0549079
0549081
0549082
0549084
0549007
0549085
0389677
0389680-03896830389682-0389681
01084388-0389684

El Madero
Vda San Luis 3104879648
C.gordas- 8564507
Cristo Rey- 8564983
Versalles- 3127774805
San PascualMedellìn-3134041098
B/Aires- 3147562205
Bello- 4617377
Medellìn -3136894520
Bello- 2725907
San Pascual- 3103470104
Medellìn- 3115842354
Liborina- 3146572776
La BalsaEl Porvenir- 3122560029

COBROS MES DE DICIEMBRE /2011
Luis Fernando David
Brayan E. Aguirre Hoyos

1033646510
1035303765

89.267
3.649.967

38.360
875.819

127.627
4.525.786

Libardo De J. Mesa Usuga
Jhoan E. Quintero C
Jaime Navales Herrera
Arley de Js. Castaño T
Leon Dario Pulgarin
Argiro Lopez
Santiago Muñoz Escobar
Jesùs Emili Urrego
Jose Iganacio Roldan H
Eduardo Higuita Estrada
Jhon Jairo David Guerra

950725289
1001386260
70433991
15930660
71385523
70049610
1035304252
70434556
3484908
8085713
15286092

535.600
535.600
267.800
535.600
267.800
267.800
1.071.200
267.800
1.339.000
267.800

230.161
230.161
114.691
230.160
115.080
115.080
460.322
115.080
575.402
115.276

765.761
765.761
382.491
765.760
382.880
382.880
1.531.522
382.880
1.914.402
383.076

0549148
0549144-0549145-05491460549147-0549013
0549489
0389689
0389690
0389691
0389692-0389693
0389694
0389695
0389697- 0389698
0389700
0549086-0549087-0549088
0392202

V- Retiro-3117367494
El Reten
C.gordas
C.gordas 8564998
C.gordas- 8565119
Medellìn-313634126
Medellìn-3117103171
SanJeronimo-8582487
C.gordas-3113392014
Cestillal-3146656240
Frontino-8596157
Frontino-3143912539
Peque-8552022
Jose H. Campo Campo
José Belt Urbay
John Jairo Palacio Arenas
Leonardo Usuga Correa
Mauricio Benjumea
Valencia

70434435
1017180448
3482569
98614237
18517850

1.071.200
535.600
535.600
362.250
803.400

NOMBRE

CEDULA

JUAN CARDONA USUGA
HERNAN LOPERA ROLDA
WILDER PUERTA CARDONA
FERLEY ANTONIO VIDALES
IVAN DARIO VARGAS GONZALEZ
HUBERTO PUERTA URREGO
JORGE EVELIO BUIES
IVAN DARIO TANGARIFE
JORGE CARDONA GIRALDO
GERARDO DE JESUS GIRALDO
JONATAN GARCIA RIVERA
LLIMER DE JESUS FLOREZ
JHON FREDDY CORREA
VICTOR ZAMBRANO ROMERO
ALUVIN ALEXANDER RODIGUEZ
JORGE CASTAÑEDA MUNERA
JUAN CARLOS PALACIO

1035302694
15504312
1035303479
70434707
15388518
70435854
70430884
70436007
1035304125
98460446
71258410
70432572
71766258
92518009
1039284796
1035302160
1017182507

MANUEL ALCIDES SANCHEZ
JUAN CAMILO HENAO
JESUS EMILIO USUGA USUGA
ALEJANDRA LONDOÑO GUISAO

70436021
8032289
98613741
1128427247

V.INFRAC
CION
1.481.827
142.827
803.400
3.153.131
267.800
267.800
1.780.727
535.600
803.400
267.800
267.800
2.829.120
267.800
267.800
2.709.100
267.800
1.874.600
6.945.277
267.800
267.800
535.600

486.088
255.526
230.553
142.272
345.828

1.557.288
791.126
766.153
504.522
1.149.228

V.INTERES

V.TOTAL

DIRECCION – No. COMPARENDO

670.708
77.756
394.584
1.114.757
145.979
145.979
733.280
292.131
437.937
145.979
119.081
1.196.005
146.152
146.152
1.175.549
102.626
992.498

2.152.535
220.683
1.197.984
4.267.888
413.779
413.779
2.14.007
827.731
1.241.337
413.779
386.881
4.025.125
413.952
413.952
3.886.649
370.426
2.867.098

Partida frontino- 3146577961 -2638209
Cll 94 #48-56 san Javier – 4921830 -2650967
Vereda la balsita- 3146896560 - 2650963
El retén2638205
- 2650964
Barrio el edén cañasgordas- 2650748
Vereda Cañasgordas - 2482942
Cra Santander - 2482941
Vereda los naranjos cañasgordas – 2650972
paso arriba cañasgordas- 2638207- 2638206
3137114383- 2638204
Carepa- 3143644015 – 2482945Cr sucre cañasgordas– 2482944
Cr 43 #108-28 M/LIN -3188973358-2482949
Medellin-3116521937 -2482948
Dabeiba- 3148884826 – 2650979-2650971
Cr Santander – 2638216

1.287.477
0
146.152
292.304

8.232.754
267.800
413.952
827.904

0549488
0549091
0549092
0549490
0392212-0392211-0392210

Insor- 3143743885
Dabeiba-3128569683
Frontino-3104075676
Uramita-3104300194
Medellìn-4260823

Cañasgordas– 2638212-2650982-2650984
2650974
Medellín B-Francisco Antonio Zea 2650970
Uramita vereda peñas bancas – 2650961
Cll 78c #53-06B el bosque-5166191- 2650957
RUBEN EVELIO USUGA YEPES
SEBASTIAN RIOS USUGA
CARLOS ENRIQUE MUÑOZ
MARILUZ GIL CARVAJAL
JUAN DAVID PALACIO TABARES
CARLOS MARIO MONCADA
JHON EBER HOLGUIN QUINTERO
CARLOS MARIO JIMENEZ
ANDRES SAIN ROLDAN TAPIAS
UBIER ALEXANDER MAZO DAVID
JUAN CARLOS PALACIO LOPEZ
HECTOR ALIRIO GOEZ HIGUITA
CONRADO ALBERTO RAMIREZ
JUAN FELIPE GARCIA
IVAN ARGIRO PINEDA
ANIBAL DURANGO VARGAS
ARLEY ALGARIN QUIÑONEZ
ANDRES ANTONIO RAMIREZ
WILLINTON RUIZ MARTINEZ
FABIO NELSON PULIDO MORA
ELKIN ANDRES MARIN PULGARIN
JHON FERNANDO RUIZ PUERTA
EDWIN LEONARDO SANCHEZ
WILDEMAN OAMPO MURILLO
FRANK DARIO MEJIA
JHON DAVID RESTREPO
JAIRO DE JESUS CARMONA
ALFREDO ANTONIO VELASQUEZ
KIMBERLY DURANGO GIRALDO
EDWIN DAVID RAMIREZ G

70433010
1040736475
70435877
43780924
97085117126
94020227286
94022408850
70434263
1027954386
70878597

1.086.750
267.800
267.800
267.800
803.400

472.401
146.152
146.152
146.152
409.878

1.559.151
413.952
413.952
413.952
1.213.278

Vereda los naranjos – 2650745
Buenos aires-medellin-2691835- 2650959
Parque principal cañasgrdas-8566236- 2650960
Cañasgordas- 2638211
La planta cañasordas-856083- 2650744

142.827
267.800
535.600
142.827

77.856
146.152
284.958
75.989

220.683
413.952
820.558
218.816

70435166
98613605
102794375
71728680
70074957
8324404
1027945912
71983854
80392320
71376500
71022284
1121838240
71763711
70091438
1036603526
71878320
70435550
1000403383
71378147

624.867
267.800
142.827
1.370.100
1.071.200
535.600
535.600
267.800
535.600
267.800
267.800
535.600
535.600
535.600
1.071.200
267.800
1.381.500
535.600
267.800

310.760
142.479
75.989
511.201
527.124
284.958
284.958
142.479
284.958
142.479
142.479
263.562
284.958
284.958
490.211
142.479
384.645
284.958
142.479

935.627
410.279
218.816
1.947.301
1.598.324
820.558
820.558
410.279
820.558
410.279
410.279
799.162
820.558
820.558
1.561.411
410.279
1.766.145
820.558
410.279

Vereda paso arriba cañasgordas- 2650965
Cañasgordas-2650958
Vereda guadual Cañasgordas-2638219
Buenos aires dabeiba- 2650980
Cañasgordas-8564814
San pascual-3207390306 – 2650983
Barrio la copa uramita-3117455130 – 2650985
Cr 41# 16 int 3-16 – 2650986
2638221
Cr 60 #77ª-100 Bello- 2638222
Cr 66 # 59-16 Medellín-2638224
El reposo Apartado-3013911296- 2650992
Turbo cll 101-3105213868- 2650991
Cr 01 #6ª-20 Cundinamarca- 2650990
Cll 105#82E-49 Medellin-3128599316-0134802
Cll 29 #29-4 Frontino -3145182237- 0134803
Cll 40B # 17B-68 Bogotá- 3118453338-0134804
Cll 28 #89c-21 Medellín -3423281- 2650401
Apartado-3127304384- 2651000
Barrio la planta cañasgordas- 2650997
Cll 103ª # 84-51 Medellín -14715700- 2650994
Chontaduro Cañasgordas- 2650998
Cañasgordas
Cll 52 #56-26 Medellin -5124224-2650404
CESAR OVIDIO GARCIA
DAVID ESTEBAN HIGUITA USUGA
MANUEL FERNANDO GUAPACHA
SERGIO ANDRES GOMEZ MEDINA
LUIS EDUARDO GRACIANO DAVID
JUAN CARLOS GUISAO CASTRO
LUIS CARLOS DURANGO GIRALDO
EDWIN RICARDO PADIERNA
EDWIN ALEXANDER OCAMPO
JOSE EVERLEY AGUILAR
JUAN GABRIEL CARDONA USUGA
DAVID PELAEZ CASTAÑEDA
CARLOS ALBERTO GOMEZ
FABION LEON HIGUITA DAVID
EDISON ANDRES USUGA
CARLOS ANDRES ARENAS ORTIZ
DIDIER RECAURTE CAÑAVERAL
NOBERTO ANTONIO VELASQUEZ
ELKIN AUGUSTO FRANCO
YOVANY HIGUITA ARIAS
WILDERMAN TANGARIFE
CESAR AUGUSTO GRACIANO
OMAR DE JESUS GUISAO
GEIENER USUGA USUGA

NOMRE

CEDULA

HELMER DE J. GUISAO
JUAN F. SUAREZ JIMEN

70431057
93091329148
93042114748
96032719560
70434699
1038333182
1035302352
1020399354
1035303555
98534064
1035302694
1035302474
71311363
15517768
1035282074
71241860
1040730373
4590584
98598813
1038333340
70433707
1035302454
3408486
70435182

1.653.450
1.546.418
285.654
535.600
267.800
535.600
1.633.750
535.600
285.654
267.800
1.481.827
535.600
267.800
267.800
267.800
535.600
267.800
267.800
535.600
267.800
267.800
1.890.150
267.800
1.909.040

514.821
847.878
142.124
269.965
134.982
269.965
460.093
269.965
71.991
134.982
671.828
244.424
134.982
134.982
134.982
269.965
134.982
134.982
269.965
134.982
134.982
732.872
134.982
778.877

2.168.271
2.394.296
427.778
805.565
402.782
805.565
2.093.843
805.565
357.645
402.782
2.153.655
780.024
402.782
402.782
402.782
805.565
402.782
402.780
805.565
402.782
402.782
2.623.022
402.782
2.695.917

VDA EL Paso-3125219612- 0135076
Cll 30#29-90 Cañasgordas-8564348-0127958
Cordoncillal- 3205168318- 0127906
Variante Cañasgordas-8564641 – 0127911
Cañasgordas-3137567341-0127905
Vereda Moroto-3132488854- 0135075
Barrio la esperanza-3207806178- 0134819
Cll 112 #67-85 Medellín- 2308722 -0127909
Barrio la esperanza-8564325- 0135085
Parque principal Giraldo- 3207052684- 0134816
La esperanza cañasgordas-0134815Vereda chontaduro-3148239621- 0134814
Cll 48 #110.13-5285590-2638240
San Cristóbal Medellín- 4272345- 0135087
Barrio cabuyal uramita-32074956340135086
Barrio Ortiz apartado – 8284442-0135084
Itagüí Santamaría - 3732190 -2638239
Cr 50B #76-76 Medellin- 3123851-2638238
Cr 71 #21-18 Bello -3217020871- 2650441
Cr 35 #20-72 manguruma -3147687626-0127953
Vereda la balsita-3206513028- 0128004
Los balsos cañasgordas- 3136832435- 0128003
Vereda el limón uramita -3147370869- 0128002

INTERES

V.TOTAL

DIRECCION

COMPARENDO

70435375

INFRACCI
ON
535.600

222

814.834

0135067

1035304123

2.389.600

1.107.9

3.497.523

C.GORDAS
3142649851
SAN ISIDRO

2638227
DAIRO A.ARISTIZABAL
8048926
ESLEIDE SALAZAR OROZ 1039079410
LUIS ALBERTO MARTINE 3484847

535.600
535.600
267.800

23
297.234
297.234
139.617

JUAN EST.ROJAS O

1035303693

1.481827

698.775

2.180.602

EVER IVAN AGUDELO G
LEOCADIO PINEDA MC
MARCO A.SEPULVEDA

70436119
70433474
94020227286

267.800
1.040.300
2.032977

139.617
518.272
918.331

407.417
1.558.572
2.951.308

3206981102
NECOCLI EL TOTUMO
FRONTINO3138018408
C.GORDAS3137657928
BOMBA -3117558565
C.GORDAS-8564820
EL PORVENIR-8564264

CARLOS ALB.AGUIRRE E
ANDRES Herrera. Betan
JUAN CARLOS PALACIO

15326812
98635319
1017182507

551.150
267.800
1.874.600

571.257
407.417
2.889.768

-0C.GORDAS
CHISPERO 8564842

CARLOS AND GUISAO
JAIME MEDINA GIRALD

1035304011
70433799

267.800
818.950

201.077
139.617
1.015.1
68
139.617
309.287

407.417
1.128.237

SAN ISIDRO
LOS BALSOS

GUSTAVO LOPEZ AGUIR
ROGER QUIROZ CARVAJ
MIGUEL A.GUISAO GRD
ELIANA MUÑOZ ARIAS
JAIBER TORRES OLIVERS
REINALDO L ZAPATA R
JHON E. GUTIEREZ L

1023702140
1023702014
70434751
43782472
1046952111
70433624
1035303739

535.600
267.800
285.654
267.800
782.800
142.827
1.193.427

279.234
139.617
130.924
139.617
265.483
74.463
348.462

814.834
407.417
416.578
407.417
1.048.283
217.290
1.541.889

ABRIAQUI
ABRIAQUI
RUBICOM
C.SUCRE
URAMITA- 8574026
C.GORDAS
C.GORDAS 8564752

LUISARNULFO AGUIRRE
JARAMILLO
NELSON IVAN VELEZ
LUIS ORLANDO AGUD

3482551

1.318.400

418.851

1.737.251

98555416
70631647

535.600
535.600

279.234
279.234

814.834
818.834

RUBICOM3113825030
2134265 MEDELLIN
APUCARCO-

832.834
832.834
407.417

2650406
2650414
2650408
2650409
2650419
2650431
2650432-07315510386338-02904330290432-26504112638213
2650440
2638229
2638231
2638232
0134813-08173960127976
2638233
2638234
2638235
2638237
2650434
2650438
2638228-220063601406312643796-26437972201495
2643798
2643799
JS.ARTURO MONTOYA
ANDRES F.VALENCIA U

70430297
1035304059

782.800
2.204.600

139.617
667.073

922.417
2.871.673

3128910608
GUADUAL
PIPE-67hotmail.com

0135068
0135069-26438000871694-0871677

31280166083128916608
LUIS E.BORJA GRACIAN
HECTOR FDO GUISAO

6705367
70432268

267.800
267.800

139.617
139.617

407.417
407.417

MARIA E. MUÑOZ
CORREA

1035303944

2.657.400

1.122.5
28

3.979.928

LEONEL CAMPO CAMP
LUIS CARLOS SEPULVED

1035303280
70433361

267.800
535.600

139.617
252.297

407.417
787.897

LLEIDY V.OCAMPO B

1035303860

267.800

139.617

407.417

DANIELA MEDINA TAn
GERARDO GRISALES L

1035303657
71256904

535.600
267.800

279.234
139.617

814.834
407.417

ALIRIO E. ZAPATA

1035304075

2.083.764

620.849

2704.613

HECTOR E. ARBOLEDA
Juan Ant. Campo Herre
Gabriel Jaime Manco R
Jhon A. Orozco Pulgarin
Herminson Guerra
Jerver Correa

71213303
71268145
70436066
71316459
1035302365
1035302592

535.600
535.600
142.827
535.600
657.827
280.160

274.719
260.405
69.441
260.405
321.942
69.548

810.319
798.005
212.268
796.005
979.769
349.708

M/LLI 5865028
C.GORDAS
3105301916
CAMPIÑA

INSOR
C.GORDAS
3216263828
C.GORDAS3137587916
C.GORDAS
BURITICA3128121521
NARANJOS3122290966

URAMITA-4621363
Envigado- 3318660
Toyo-3217163139
Apartado-3206800126
Cañasgordas
3206180843

2650423
2650424
2650425-24853710290372-03920300391978
2650427
2650429-0386339
2650430
2650421
0135063
0135062-03885220388507-03885060731596-08688201084356-0876837
2650412-0127713
0127749
01288025
0128029
01288047
0128048
Jhon F. Cardona Durang
Jhon E. Gutierrez L.
Sergio de Js. Pineda Rda

1038334921
1035303739
3482847

803.400
1.708.427
803.400

391.209
349.984
391.209

1.194.609
2.058.411
1.194.609

GilberOlmedis Cardona
Hugo A. Arboleda
RafaEL a. Campo Reyes
Hernando Gomez
Jorge Ivan Correa M

71998338
1017127980
10782843
98460037
1035303891

267.800
267.800
267.800
267.800
535.600

130.403
130.403
130.403
130.403
260.806

398.203
398.203
398.203
398.203
796.406

DonacioUsugaUsuga
Cristian A. Durango

8416204
1036637703

267.800
2.160.254

398.203
3.163.626

NorangelaRodriguez
Rubiel Armando Manco
Valencia
Santiago Suarez Serna

43515305
94032109220

267.800
535.600

130.403
1.003.3
72
130.403
215.957

9212261916

535.600

260.806

796.406

Yeison Berrio Correa
Nestor A. PerezCeballos
Roger E. Roldan Santa
Edwin Y. Hernandez
Wilmar Monsalve Catañ
Marino Lopèra Serna
Elkin Jairo Manco Laver

97101012623
1017141405
1035302022
1128433047
71385331
1022093074
71794043

267.800
267.800
577.297
1996.827
267.800
267.800
267.800

130.403
130.403
214.338
1029455
130.403
130.403
130.403

398.203
398.203
791.635
3.026.282
398.203
398.203
398.203

Luis Albeiro Carvajal
Juan Alexande Muñoz
Luis Alfredo Higuita M
Fernando Velasquez Q
Luis A. Villa Pineda

70433357
70434887
70434601
1035302405
1039288042

1.385.650
267.800
818950
267.800
267.800

423.156
130.403
311.248
130.403
130.403

1.808.806
398.203
1.130.198
398.203
398.203

398.203
751.557

C.gordas-3146577963
Los Balsos -8564835
Las Cruces3148758781
ChisperoMdellìn- 4273821
Dabeiba-3137014326
Frontino3128191010
Cañasagordas8564027
S.P Uraba-8205689
Medellìn-4387219

0128045
0140631
0140623

Dabeiba-3117839160
Cordoncillal3117204318
Circular 3N-66B16
Mllin
Yedabecohotmail.com
Medellìn-5281905
Los Balsos-8564121
C.gordas-3217112880
C.gordas-3136963271
Peque-3117770823
Giraldo Parque
3137736944
C.gordas-3147782776
Los Balsos-8564020
El Reten-3117424377
P-Arriba-3105053174
Naranjos-3117449280

0127932
0127977

0140625
0128041
0140632
0127919
0127921
0127934
0127935

0127977
0140607
0127978
0127924
0140605-140606Cra. Sucre
0128026
0128024
0140616
0140615
0140614
0140613
0140610
Aluvin A. RodriguezTbq

1039284796

2.173.500

860.772

3.034.272

Jaime medina

70433799

1.086.750

311.124

1.397.874

Edwin Usuga Puerta
Jhon Fredy David Casta
Juan David Hernandez L
Cristian A. Durango

1025886265
8075287
8323902
1036637703

535.600
267.800
267.800
2.160.254

254.387
130.403
130.403
1.009.855

789.987
398.203
398.203
3.170.109

Luis A. Bedoya Roman
Manuel ArabgoEcheve
Alvaro de Js. Zapata
Gabriel de Js. Pineda
Carlos Mario Higuita
Wilder E. Usuga Arias
Jaime A. Marulanda
Yeison A. Higuita Perez
Antoni MariaSepulveda
Genaro Jaramillo Grdo
Duriel David Campo Va

3453908
70432450
8416734
71020219
1038334057
1035302972
1128271660
98709846
8317161
70829954
1036605363

535.600
1.089.051
267.800
535.600
535.600
3.481.400
551.150
3.465.270
803.400
782.780
267.800

262.413
508.620
131.206
262.413
262.413
1.542.935
156.121
1.005.464
393.619
131.206
130.403

798.013
1.597.671
399.006
798.013
798.013
5.024.335
701.121
4.470.734
1.197.019
913.986
398.203

Luis Alfonso Puerta
Elkin A. Franco Gomez
Cristian Higuita Meza
Jose Otoniel GuisaoTob

98536354
98593813
1035304078
70435581

1.050.600
535.600
803.400
1.097.347

327.712
262.413
393.619
471.155

1.378.312
798.013
1.197.019
1.568.502

Adrian Ubaldo Durango

98696597

1.040.300

385.804

1.426.104

Aquilino Osorio Silva
Jorge Ivan Avendaño D
Sigifredo David Jimenez

6706156
8075423
8416582

267.800
267.800
515.000

131.206
131.206
253.376

399.006
399.006
768.376

Dabeiba-3148884826

0128023-26509792650971
Los Balsos-8565133
0127976-01348130127976-0817396La Planta
0290449-0127975
Dabeiba-3145276416
0128030
Apartado-3007875781 0128031
El Reten
0140634-03896240389623-0389622
Medellìn-3112930669 0140648
Ca.gordas 3148263986 0140647
Dabeiba-3142064555
0140646
Uramita-3104627974
0140645
C.gordas-3136982721 0140644
Insor-3103733344
0140643
La Balsa-3148589372
0140642
La Balsa-3104694843
0140641
Balsita-3128071035
0140639-0140638
C.gordas-3217658412 0140636-2638151
0140635Av 46 No-59-20
Tel.3005925237
Bello
2751586
Dabeiba-3217020871
0128049
C.gordas-3103775086 0127918-0127917
C.gordas-3123462249 0127915-03895590386314-0868810
Rionegro-5318305
0127913-24832572483741-2483708
Mutata-31049802510127914
Dabeiba-3146598833
0127929
Dabeiba-3113187136
0127928-2483277
Jesus Alberto Cartagena
Albeiro Higuita Usuga
Elmer Aguilar Gulfo
Bernardo Navales varel
Carlos Alberto David D
DelimiroBerradal Delga
Gustavo A. Cordoba Cas
Horacio de J Higuita Gil
Gabriel J. Ballesteros E
Juan F. Sierra Bedoya
Gustavo A. Muñoz Cam
Jose E. Usuga Zapata
Edier de Jesus Acevedo
Jose L. GuzmanBonolis
Sergio Pineda Rueda
Jhon F. Cardona Drgo

1038333635
98540326
71370858
70433178
71256197
98473288
70432865
71367693
1037599718
70436073
1035304175
70430269
8337210
71020167
3482847
1038334921

535.600
267.800
267.800
267.800
535.600
267.800
410.627
535.600
142.827
267.800
535.600
267.800
830.350
267.800
803.400
803.400

262.416
131.206
131.206
131.206
262.413
131.206
201.183
262.413
69.977
131.206
262.815
131.408
262.815
131.408
394.223
276.223

798.016
399.006
399.006
399.006
798.013
399.006
611.810
798.013
212.804
399.006
798.415
399.208
1.093.165
399.208
1.197.623
1.079.623

Frontino-8596054
Giraldo-3148809911
Medellìn-3206916626
Balsos-8564608
Carepa-8237724
Itagui-3113764241
Rubicom-3148051624
Medellìn-4624030
Medellìn-2535965
Paso A-3128960814
Insor-3147056024
Naranjos-3136240605
Peque-3105283983
Frontino-8597007
Frontino-3148758781
C.gordas-3146577961

0127988-0127986
0127946
0127944
0127984
0127939
0127983
0127938-0127937
0127936
0127981
0127980
0140620
0128042
0140619
0127990
0140624
0128044-0128045

Mauricio A. Berrio G.
EdilsonAnt. Acevedo
Cesar A Graciano Usuga

71.258378
15511204
1035302454

267.800
535.600
1.890.150

131.408
262.815
767.063

399.208
798.415
2.657.213

Carepa- B/ Gaitan
Medellìn-4370815
Balsos-3136832436

0140630
0128046
0140629-01279490128003-03885360391853-039183001084358-

JhonJaiRO Graciano T

1035303387

551.150

209.263

760.413.

TOTAL
Enero-Febrero- Marzo- Abril-Junio/2011
AGOSTO/2011
Francisco E.Higuita H
Diego Alejandro Garces

70434743
89.267
96061015628 535.600

31.962
196.421

121.229
732.021

0389983
0389609

C.gordas-3122955809
Cañasgordas -3128270901
Carlos Andres Londoño
Juan Gabriel Usuga A
Katerine Muñoz Guisao
Edwin Y. Usuga Puerta
Carlos Horacio Agudelo
Ivan D Arboleda Tanga
Albeiro de JS. Garces
Wilmar Garcia Ceballos
Carlos Mario Usuga A
Jorge E. GonzalezZapat
Francisco A. Durango

92072652020
93031808942
98060501270
1025886265
70434670
70435433
98510306
94285402
8439115
1035303409
3431915

267.800
803.400
1.071.200
535.600
535.600
1.086.750
1.339.000
267.800
535.600
1.071.200
2.142.400

98.211
316.900
494.332
255.192
247.166
466.125
617.916
123.583
247.166
494.332
988.665

366.011
1.120.300
1.565.532
790.792
782.766
1.552.875
1.956.916
391.383
782.766
1,565.532
3.131.065

Lindember W. Torres
Yohan A Cardona Torre
YeniferUrregoGomez
LuisCarlosVasquez Torr
Albeiro de Js. Arango U
Elkin D. CordobaBopde
Leonardo F. Salas Pino
Wilson Restrepo Muñoz
Juan Gabriel Usuga A
Jose Orlando Rueda T
Diego Andres Villa
Jorge E. Holguin Aguirre
Diana Luz Martinez G
Carlos Horacio Tobon

1124312868
1002147612
1305304302
8285238
71740017
70434690
1000746798
98643386
93031808442
1035303395
1027952545
1039287159
32272644
1035302766

267.800
535.600
142.827
535.600
151.120
267.800
808.650
267.800
535.600
267.800
267.800
535.600
283.250
1.308.100

123785
247.569
66.019
247569
33.912
123.785
149.592
123.785
247.569
123.986
123.986
247.973
187.891
384.616

391.585
783.169
208.846
783.169
185.032
386.276
958.242
391.585
783.169
391.786
391.786
783.573
471.141
1.692.716

Mauricio A. Lopez Aren
Juan B. Sepulveda G
Josè Otoniel GuisaoTob

1017157815
8419865
70435581

803.400
267.800
1.097347

371.959
123.986
474.457

1.175.359
391.786
1.571.804

0389617
0386305-0386304
0386251-0386252
0290449-0127975
0386301-0290450
0389610-0140601-0729880
0389613-0389612
0389614
0389625
0388554-0388553
0389554-0389553-03895550389552
0389633
0389632
0389551
0389631
0389636
0389637
0389634
0388557
0386304
0386308
0388559
0386310
0386309
0391955-0388560-22006462201464-2485391-0388560
0389562-0389561
0388505
0868810-0386314-03895590127915-

Anori-8350617
Reten-8564646
Versalles-3108452575
Porvenir-8564494
Caucasia-8394028
Naranjos-3137060532
Reten—3113956897
Cra 28ª No-72F11- Cali
Chigorodo-3104126474
Buenos Aires
Cestillal
Putumayo- 3116289464
Medellìn-3133039302
Balsita- 3105231631
Envigado-2766415
Dabeiba-3103406306
C.gordas-8564406
C.gordas-3127720608
Medellìn-3206456943
Reten-8564646
CusutìApartado-3113516110
Dabeiba-3105273569
Apartado-3205281807
Medellìn-3113777784
Cestillal-3113265261
Buritica-3205635155
San Isidro-3122462249
Gabriel Manco Higuita
Ivan D. Usuga Carmona

1039287568
70433438

1.201.720
1.948.200

281.999
574.935

1.483.719
1.523.135

Edison de J. Cardona G.
Cristian C. Zapata Dgo
Deimer A. MarinGalleg
Aliria E. Zapata Vasquez
Jhon A. Gonzalez D

71798075
1017161986
1038332619
1035304075
71265937

267.800
267.800
267.800
2.083.770
845.900

124.390
124.390
124.390
641.183
124.390

392.190
392.190
391.190
2.724.953
970.290

Luis A. Vahos Larrea
Jebis Rene Tabares
JoseAicardoRodriguez
D. Andrey Torres
Amando de JsGarcia
Yeison A. Higuita
Juan Bautista Higuita
Guiovani Arias Giraldo
Victor H. Osorio A
Manuel SanchezJimez
Willian E. Bate Navaja
Uriel A. HernandezDav
Andres Borja
JhonDuberneyAlvarez

1042707076
70436076
70431697
10021477981
70434362
98709846
70434560
1007331294
71772246
70436021
71253152
98704607
1128451182
13991754

525.300
1.071.200
535.600
267.800
267.800
3.465.270
267.800
267.800
535.600
6.945.277
267.800
803.400
267.800
1.632.850

124.390
497.561
251.730
124.592
124.592
1.023.730
124.592
124.592
249.184
1.419.447
124.795
323.639
124.795
643.143

649.690
1.568.761
787.330
392.392
392.392
4.489.000
392.392
392.392
784.784
8.364.724
392.595
1.127.039
392.595
2.275.993

Josè Robinson Medina
Jhon Fernando Soto H

8436637
1128472328

267.800
1.606.800

124.795
748.768

392.595
2.355.568

Uber Alonso Florez S

70436178

1.532.620

452.726

1.985.346

Luis Fernando Puerta U
Juan Felipe Campo

70435288
1035303435

535.600
267.800

249.994
124.997

785.594
392.797

0388504-2483711-0817401
01084443-0817445-08174030388510-0388511
0386254
0389643
0388509
0388507-038850603908745-02555633-0386319
0389644-2483655
0389567-0389566
0290439-0389565
0389564
0389563
01084442-0386322-0386321
0386320
0386319
0388515-0388516
0388514-0388513-03885120388518
0388519-0388520
0389647
0871042-0552537-03885172565941-2637802
0388521
0389571-0389568-03895690389570
0876822-0552477-03863240128000-0127164
0386325
0389572

Hispania- El Hoyo
Cañasgordas
Caracolal-3143790533
Medellìn-2530509
C.gordas-3113935857
Cañasgordas-3122290976
Envigado-J.alex25--hotmai.com
BalsitaMedellìn-2731749
Cestillal-3148925230
Manguruma-3128794405
CestillalBalsa-3104694843
Los Balsos
San PascualMedellìn 2847514
Rubicom-3122477547
C.gordas-3104233485
Medellìn-2636911
Medellìn-2864398
La Loma Sampascual3207849536
Chigorodo-3137367966-86
C.gordas-8564588
Chontaduro-3117314064
Canelo-3217801967
Versalles-3148485763
José J. Gómez
IvanDarioUsugaCarm

3430482
70433438

267.800
1.948.200

124.997
583.350

392.797
2.531.550

Juan Fernando Ocampo
Juan Esteban Rojas O

15514841
1035303693

535.600
1.481.827

249.994
716.598

785.594
2.198.425

Jesùs Durango Giraldo

1001404833

2.142.400

999.976

3.142.376

Manuel A. Echeverry

70432450

1.089.051

516.831

1.605.882

Carlos M. Gomez G.

1038333038

1.507.423

599.567

2.106.990

1035302972

3.481.400

1.579.738 5.061.138

Wilder E. usuga Arias
Luis Alfreo Higuita Mco
Luis Carlos Durango G

70434601
1035302352

818.950
1365950

324.362
539.619

Robinson Salazar

1035304194

3.717.520

1.423.108 5.140.628

Jose F. Correa Garcia

70033260

1.640.100

322.533

1.962.633

Edwin de Js. Blandon D
Cesar A. Graciano U

8436197
1035302454

267.800
1.890.150

134.134
842.951

401.934
2.733.101

Ferney E, Ruis Urrego
John Jaime Higuita Ag

70435372
70434079

142827
1.967.900

71.538
566.040

214.365
2.533.940

Ramon E. Alcaraz G
Edgar F. Muñoz Gonzlez
Andres F. Medina Giral

15405245
551150
1038797544 535.600
93102221689 1655754

241.002
268.268
748.478

792.152
803.868
2.401.228

1.143.312
1.905569

0388523
01084443-0817445-08174030388510-038851103863260391806-0391805-01280152650409
0391801-0391802-03918030391804
0388527-0388526-03225880140647
0388525-0109741-0110614110910
0392003-0392002-03920010389655-0389654-0389656
0868729-0392004-0140614
01084440-05490740-3896730392005-013481
01084393-01084357-05525330392009-0392007-03920060392008-0140602-0140603
01271154-0392010-2650716
039201101084358-0391830-03918530388536-0127949-01406290128003
0391854
0871032-0731624-05525190388528
0549017-0391856
0391857
0552505-0389582-0391970-

C.gordas-3147449232
Medellìn-3113165006
Frontino-3103894898
La BalsaLa EsperanzaCra. Bolivar3148263986
Dabeiba-Juan del Corral321345301
La Planta- 3102733344
El Reten- 3117424387
B.Esperanza-3112552613
Buenos Aires-8565160

Medellín- 44194204419920
C.gordas-3135614268
Cañasgordas-3136832435

Cristo Rey 3218741161
Guadual
Santafe-3122146848
C.gordas 3128149377
Cañasgordas-8564036
Ivan Dario Florez Hta
Jhon Fredy Medina Flz
HUBER TORRES MOREN
Fredy Alberto Gallego
Jairo A. Usuga Guerra
Willian D. Montoya U
Carlos Oliveros
José H. Campo Campo
Miguel A. Duarte
Jairo Ant. Usuga
Cristian A. Durango
Castañeda

8126146
1035304148
70434003
70434289
1035282281
70432208
652358
70434435
70433442
70431869
1036637703

267.800
142.827
267.800
267.800
267.800
142.827
808.650
1.071.200
803.400
535.600
2.160.254

134.134
71536
134.134
134.134
134,134
71.536
361.113
461.586
402.402
268.268
1.098.212

401.934
214.365
401.934
401.934
401.934
214.365
1.169.763
1.994.372
1.205.802
803.868
3.258466

Willian D. Graciano
Ivan Dario Usuga

1035303884
70433438

793.100
1.948.200

268.268
651.246

1.061.368
2.599.446

Añirio E. Zapata Vasque

1035304075

2.083.770

718.526

2.802.296

Ramiro Tangarife Betan
Ramiro U. Rodriguez
Cristobal Roldan V

70432127
71257416
70431915

782.800
142.827
4.417.283

272.267
1.055.067
71.643
214.470
1.785.788 6.203.071

Wilder E. Usuga Arias

1035302972

3.481.400

1.690.878 5.172.278

Rosebet Urbay
John A. Gonzalez Dgo
Andres Felipe Gomez

1017180448
71265937
70141907

535.600
267.800
267.800

243.677
134.330
134.330

779.277
402.130
402.130

0391855-012771
0391858
0389979
0388532
0388531
0389981
0391860
0729859-0391862-2214436
0549488-0391861
0388564
0388551
0389622-0389624-03896230290354-0290355-01279350140634
0388552-2483601
01084443-0817445-08174030388510-03885110876837-01084356-08688200731596-0388506-03885070388522-0135062
0389556-2483259-220644
0389648
2565940-2201478-22006012202544-0389605-03896400389586-0389587-05491010871014
0389655-0389654-03896560392002-0392003-03920010290373-0140643
0549091-0388524
0386316
0388565

C.gordas 3117836585
C.gordas-3148546856
La Balsa 3127482247
Versalles-3146754782
Buritica-3217691235
C.gordas-3108977050
Frontino-3203437590
Cañasgordas-3147383485
Medellín-3613335
Cestillal-3127239492
Cristo Rey Cañas

Cgordas-3113268500
Medellín-3113165006
Los Naranjos 3122290936

Cusuti 3136079972
Apartado-8260081
Cañasgordas- 8564228

La Planta -3102733344

Dabeiba-3213454301
Envigado-3137803399
Chispero- 3122809632
Ruben E. Usuga Yepes
Ferley A. Vidales Uribe

70433010
70434707

1.859.250
3.153.131

858.207
2.717.457
1.058.906 4.453.831

Carlos Florez Usuga
LLimer Florez Graciano

1035304053
70432572

525.300
2.966.453

293.898
819.198
1.362.840 4.329.293

Leonardo Fabio Betanc
Adver A.Betancur Hurt
Jairo de J. Agunaga Alca
TOTAL

1033653009
71255825
8416758

267.800
1.071.200
535.600

134.330
537.320
268.660

402.130
1.608.520
804.260

0388533
0871050-0552540-03862770392050-0392029-03885342650984-2638205
0388537-2650739
0868732-0392043-03899950389608-0290383-24836520127964-2482944
0388567
0392014-0392013-0392012
0392015

Los Naranjos-3206493636
Reten – C.gordas

Naranjos- 3217164007
Cañasgordas- 3128586224

Dabeiba- 3122991297
Apartado- 5220935
Antioquia- 3016897688

SEPTIEMBRE – 2011
Julio C. Acosta To

71617921

178.533

83.887

262.420

0388545

Medellín3133181999

Julian Rodriguez
Usuga

71317897

267.800

125.831

393.631

0386255

Medellín 4264386

Huiber Jimenez H

8075973

357.067

167.775

524.842

0386260-0386259

Dabeiba3132394304

Juan Manco Rstrp

3486754

1.076.450

1.086.450

477.421

08687960386348-2650722

Giraldo3207567605

Walter M.Usuga

1035302685

1.117.850

275.713

1.393.563

0389574-0871030

Cusuti

Elias A.Usuga

7’432101

267.800

126.020

393.820.00

0389576

B.aires3122941428
Alexander Lopez

71796167

142.827

67.211

210.038

0386342

Medellín2698222

Cristian Ocampo

1040037070

267.800

126.020

393.820

0388540

Ceja-5681898

Eduar Osa Marin

1017142072

267.800

126.020

393.820

0386344

Medellín5230339

Carlos A. Guisao

8438831

525.300

126.020

651.320

0386347-2200626

Cañas3105418349

Mauro Gomez Rp

70435783

525.300

286.344

811.644

2650738-

Cañas3146867535

Luis C. Sepulveda

70433361

535.600

278.977

814.577

0386339-2650429

Reten321863828

Jorge Hernandez
Larrea

70434517

1.905.700

792.179

2.697.879

05494960386337038633602902442

c.gordasRubicom2144927

Oscar Moreno Pe

8085360

267.800

126.020

393.820

0389988

Frontino 8596119

JOse Zapata
Suarez

98460241

267.800

126.020

393.820

0392033

Uramita3137147250

Geiner Usuga Uga

70435182

1.909.040

905.058

2.814.098

0392031-0392032

Rubicon-

Jose A David P

71317004

285.654

134.321

419.975

0386332-0389999

Frontino-8590882

Ma.Estefania
Muñoz Correa

1035303944

2.142.400

1.071.687

3.214.087

0392030039197802903722650425-

Cusuti-8564401-

Hernan Restrepo

71711141

267.800

126.020

393.820

0388572

Cll 46 N69-021
Tel.4012386
Ferley Vidales Ub

70434707

3.153.131

1.309.953

4.463.084

0871050055254003862770392050039202903885340650964-2638205

Reten-

Blanca Hjguita C

43782168

562.550

151.337

713.887

0388539-0876843

Imantago3113058027

Lisney Mejia Hta

1016022229

267.800

126.020

393.820

0392017

Dabeiba

Luis F.Correa Sala

71789658

410.627

199.440

610.067

0389597-0290423

Uramita3104754171

Jhon A,Zapata

98605435

1.071.200

503.702

1.574.902

0388544-0389987

Medellin3122263761

Rafael Salas

1040354098

535.600

252.040

787.640

0388570

Chigorodo3147217186

Wilson Correa M

1035303795

1.060.900

539.675

1.600.575

0388541-2650728

Rubicom3108280745

Ruben Urrego Ruz

3429240

535.600

216.383

751.983

0386267

Cañas-8564111

Angel Goez Girald

71586160

267.800

125.831

393.631

0389596

Cestillal
3148661092
Continua Septiembre- 2011

NOMBRE
John j. pareja

CEDULA
98479244

INFRACCION
267.800

INTERES
126.028

V.TOTAL
393.828

COMPARENDO
0389595

Yois E. Suarez
Uga
Willian Valencia
Morales
Moises Lara
Mont
Hernan A. Sierra

32278236

142.827

67.215

210.042

0386265

98471886

267.800

126.028

393.828

0386264

DIRECCION
Turbo-31478154315931
Frontino3145866925
C.gordas-8564162

98481588

551.150

198.182

749.332

0386263-0868779

Medellin 2672133

70435523

142.827

67.215

210.042

0389593

Jhonatan Manco
Hernandez
Jose A. Monsalve
Vasquez
Carlos MZuluaga
Lenin Arango
Ramos
Humberto DSucerquia
Juan Palacio Gtie

1035302235

142.827

67.215

210.042

0386262

98502471

1.606.800

761.666

2.368.466

0386261

C.gordas
3124982744
Frontino3147856475
Medellín-4775686

70694616

267.800

126.028

393.828

0389592

Apartado-8282287

8323456

267.800

126.028

393.828

0391863

70435157

535.600

252.056

787.656

0389589-0389588

1038334757

535.600

252.056

787.656

0386258

Envigado3147545613
Envigado3014167544
Frontino-
Juan Diego
Londoño L
Juan M.Roldan O
Cristian Oquendo
Jesus Parra Cano
Juan Garcia Zpta
Cesar Garcia
Perez
Edgar Pelaez Tan

1038334573

535.600

252.056

787.656

0386257

3431110
15373257
70089391
1798417173
70431057

267.800
267.800
267.800
535.600
1.653.450

105.685
126.028
105.635
252.056
618.394

373.485
393.828
373.485
787.656
2,271.844

70064516

1.071.200

490.859

1.562.059

0388548
0388547
0388546
0389998
08709560389996-0135076
0389994-0549112

Roberto
Arboleda Perea
Franclin Manco
Jhon Zapata Lezc

8350784

267,800

126.028

393.828

0388543-

15371113
11901181

267.800
267.800

126.028
126.028

393.828
393.828

0388542
0389581

Willian Hincapie
Luis A, Alvarez C

71331787
70430687

535.600
818.950

252.056
308.808

787.656
1.127.758

Julian A.Cardona

98613555

1.086750

440.615

1.527.365

Wilmer Serna
Rodan
Wilber Garces
Puerta
Davirson Muñoz

1048014639

535.600

252.056

787.656

0389580
03895780549061-0868751
081740703862980386297-0389577
0386349

70434406

267.800

126.217

394-017

0389575

95121621224

732.327

94.298

826.625

Maria E. Roldan
Santa
Yohan Sebastian
Sepulveda

93090225098

535-600

252.056

787.656

038959401084347
0388550

94121418449

535.600

252.434

788.034

0386341

3148404992
C.gordas
3104222332
C.gords- 8564155
Medellin2591769
Giraldo-8571009
Uramita3117029754
El Paso-3125219612
Medellin3128737767
Medellin3016141889
Uramita3106044159
Medellin
3104692435
Medellin-5226510
C.gordasC.gordas3206462157
UrraoMediacuesta
3127642914
C.gordas3116037101- 7106
C.gordas3146004602
Porvenir3116208476
Carlos E. Florez

92071359206

267.800

126217

394.017

0386340

Naranjos3217164007
C.gordas3217989978

Marco A.
Sepulveda Manc

94020227286

2.032.977

1.021.096

3.054.073

Ivan Ramirez
Juan C.Castaño A

71689631
1035303547

551.150
535.600

193.448
238.803

744-598
774.403

038633807315510290432029043326504112650432-2638213
0389600-0868816
0392035

Hector N.
Fernandez
Wilder Garces
Puerta
Rubiel Tuberquia
Guisao
Jesus Ovidio
Campo Sepulved
Julian E. Ramirez
Mazo
Joaquin E.
Valencia
Oscar Pineda
Velez
Anibal de
J.Arenas
Cesar A. Muñoz R
John J. Guisao A
Jose H.Cortes
Perez
Hernando Higuita

15324579

803.400

358.205

1.161.605

0392036

70434403

267.800

119.402

387.202

0391810

70434108

267.800

119.402

387.202

0392038

70431935

267,800

119.402

387.202

0392039

1152442876

551.150

191.556

742.706

0392040

71850693

267.800

119.402

387.202

0391814

70433195

551.150

199.262

750.412

0391813-0717664

3483016

535.600

238.803

774.403

0391812

C.gordas3122969480
Frontino
3127900880
C.gordas3137163525
Bogota-2692569

1001386159
98644402
71336380

803.400
535-600
267.800

371.305
238.803
119.402

1.175.245
774.403
387.202

0391951-0391952
0391815
0391816

Versalles-8564675
C.gordas-4380460
Medelli-3146912344

71580497

1-071.200

477.607

1-548.807

0391828-0391829

Cestillal-3237470

Guadual3136201794
San Isidro3217572255
Medellín3103915197
Mediacuesta3127642914
Membrillal3207692625
C.gordas-
Carrillo
Armando Salazar
Velasquez
Andres Valencia
Alvaro D.Usuga
Manco
Hector Paniagua
Zapata
Andres Maya Flz
Jairo A, Zapata Y

8316246

1.071.200

477.606

1.548.807

391834-391835

Medellin-2792214

1017123335
70435477

267.800
782.800

100.832
397.165

368.632
1.179.965

0391837
0391838-2214437

Medellin
Cañasgordas

98482017

557.150

169.508

726.658

0392046-0871674

1035304056
71796054

535.600
142.827

220.234
62.681

755.834
206.708

0392047-0391893
0391843

Dabeiba3147549108
Balsita-3128479155
Medellin 4421358

Continuo Octubre de 2011

Carlos H-.Tobon T

1035302766

1.308.100

418.160

1.726.260

Hernan Caro Rmrz 1039286916

267.800

119.402

387.202

Jorge M Pulgarin

70433193

1.612.050

761313

2.373..363

Julian A. Cardona
Roldan
Fredy A. Lopez

98613555

1.086.750

443.612

1.530365

70434119

615.940

597-008

1.212.948

0391955038856022006462201464-2485391
0391958
038629402904270549018-2483279
03862970389577-0386298
0386299-0386300

Medellin
3113777784

Dabeiba3136685582
Apartado
3217473079
Balsos3206462157
Cestillal 8595491
Ricardo Muñoz G

71493945

142.827

63.681

206.508

0391969

Jose A. Goez Lope

70430381

267.800

119.402

387.202

0391974

LUIS N. Higita Ub

71331715

535.600

238.803

774,403

0391889

Wilder E. Usuga A

1035302972

2.678.000

1.701.656

4.379.656

Aluvin Rodriguez
Tuberquia

1039234796

535.600

238.803

774.403

038965503896540389656039200203920030392001029037301406430391890

EL LEON3144329407
c.GORDAS
3148909615
Dabeiba
3147292178
Insor-3102733344

Dabeiba3148884810

ENERO DE 2012
Hector Fabio Lopez
Darwin U. Arango
Jhon E. Gomez Rio
Juan Guillermo Alva
Argemiro Caballero
Hernandez
Miguel A. Sanchez
Darlin A. Manco
Jaime Manco Escob
Ramon E. Alcaraz
Gehiener Usuga U
Jorge Mario Pulgarin

71377363
94040910560
95043017501
95120428420
1028005895

94.450
283.350
1.133.400
566.700
151.120

37.783
113.556
454.225
226.704
51.721

132.233
396.906
1.587.625
793.404
202.841

0552520
0552459
0552504-0552503-05525020549096
0552463

Frontino- 3117153830
Santafè-3127078870
Balsos-3216079032
Uramita-3137850475
Apartado-8280357

70436021
1035304131
1035303596
15405245
70435182
70433193

6.945.277
818.950
1.081.700
551.150
1.909.040
1.612.050

1.825.454
400.158
515.558
140.652
944.521
793.450

8.770.731
1.219.108
1.597.258
655.802
2.853.561
793.450

0552523
0552524-0127947
0552525
0549017
0549016
0549018-0386294-0290427-

Rubicom-3147736227
Esperanza312229938
Imantago 8564019
Santafè-3122146848
Rubicon
Cañasgordas 8564645
Suarez
Edin Abad Ibarra Duarte

1035302930

94.450

37.853

123.303

2483279
0549020

Juan David Usuga
Idian de Jesus Carrillo
Hernan Alberto JImenez
Carlos Julio Salazar
Edwin Eliecer Muñoz
Huber Florez Ramirez
Jose Eduar Osorio
Jesus Maria Uribe
Anderson Andrey Patiño
Alejandro Oliveros
Heliodoro Zapata
Yovan Perez
Humberto de Jesus
Lopez
Jhoana Andrea Carvajal
Mauricio Andres Suaza
Alfredo Velasquez

1035303908
70436094
70433574
8321960
70435839
70431667
3380837
70433855
1020453083
1001386246
3429177
71240460
8416480

578.100
283.350
283.350
151.120
1.967.900
283.350
283.350
283.350
283.350
850.050
566.700
566.700
283.350

139.194
113.560
113.560
60.565
806.712
114.388
114.388
114.805
114.805
344.414
229.610
229.610
114.805

01084438
396.910
396.910
211685
2.774.612
397.738
397.738
398.155
398.155
1.194.464
796.310
796.310
398.155

0552471
0549094
0549095
0549026
0549097-0552464-0549063
0552501
0549012
0552508
0552506
0552510
0552511
0552512
0552513

Cañasgordas 8564643
Cañasgordas
Cañasgordas 3137608586
Medellin 4410597
Cañasgordas 3128795838
Medellin 3762222
Cañasgordas 3146118735
Medellin 3104340109
Medellin 3206375173
Cañasgordas
Cañasgordas 3104208874
Medellin
Dabeiba 8591382

1038332034
1038332302
70435550

566.700
850.050
2.448.750

229.610
241.718
970.697

796.310
1.091.768
3.419.447

Frontino 8595049
Frontino

Wilson Alberto Castaño
Jhon Jaime Higuita

1046954190
70434079

566.700
1.967.900

230.444
624.062

797.144
2.591.962

Omar Alonso Lopez
Jorge Ivan Londoño
Jose Gustavo Higuita
Jesus Eleazar Orozco
Yohan Alexis Garces
Alirio Esteban Zapata V
Jose Octavio Garcia
Dora Maria Sanchez
Hugo de Jesus Rengifo
Juan Guillermo Munera

98614010
75035521
71638019
71725532
95082327828
92081750043
70435699
1035303770
8414673
1035302129

566.700
566.700
566.700
566.700
1.700.100
551.150
1.416.750
566.700
283.350
283.350

230.444
197.286
197.286
197.286
578.214
218.889
563.715
225.486
112.743
112.743

797144
763.986
763.986
763.986
2.278.314
770.039
1.980.465
792.186
396.093
396.093

0552515
0552457
01268604-0552455-03896012483608-2650998-24853732483038-01268589
0552453
0871032-0731624-05525190388528
0552518
0552460
0549010
0552458
0817359-0552539-0552538
0552541-0391827
0549033-0549032
0549031
0549498
0552472

Cañasgordas 3113455489

Bello 2751839
Cañasgordas
Cañasgordas 3127458971
Medellin 2387893
Medellin 3414386
Medellin 2364753
Uramita 3148717629
Cañasgordas 3122290976
Cañasgordas 3104093012
Cañasgordas3128229692
Cañasgordas 3204082083
Cañasgordas 3104477797
Jorge Alberto Hernandez

70434517

1.905.700

856.892

2.762.592

Ernesto Antonio Guisao
Arbey Ospina Mena
Aicardo de Jesus Guisao
Uber Alonso Florez

3431098
71986806
8418396
70436178

1.133.400
151.120
283.350
1.532.620

438.121
60.130
112.743
545.495

1.171.521
211.250
396.093
2.078.115

Jorge Evelio Builes

70430884

2.810.727

1.415.063

4.225.790

Ivan Dario Pineda

71728680

1.885.100

372.241

2.257.341

Carlos Arturo Casarrubia
Mauricio Alonso
Marulanda
Saul Fernando Serna
Jesus Maria Salazar
Elder Olimpo Arenas
Dary Emilse Jaramillo
Anderson Jovany Florez
Robinson Salazar
Londoño

15645679
71367952

151.120
151.120

60.130
60.130

211.250
211.250

1128405970
16136864
71766233
43140614
1035520590
1035304194

566.700
578.100
151.120
283.350
151.120
3.874.720

225.486
136.077
60.130
112.743
59.568
1.562.976

792.186
714.177
211.250
396.093
210.688
5.437.696

Jhon Duberney Alvarez

13991754

1.375.350

597.328

1.972.678

Ferley Antonio Vidales

70434707

2.617.531

1.419.369

4.036.900

Jesus Eduardo Avendaño

70252272

2.312.400

373.590

2.685.990

Sebastian Armando Silva
Edwin Hernan Usuga
Carlos Mario Sepulveda
Jose Luis Rodriguez
Carlos Mauricio
Bustamante

1041176587
1041176764
1041176208
80802519
8060451

566.700
151.120
283.350
151.120
566.700

225.907
60.354
113.164
60.354
226.328

792.607
211.474
396.514
211.474
793.028

0549496-0386337-03863360290442
0549499-0552494
0549040
0552474
01271164-0876822-055247703863240128000
0817449-0552476-05491210389635-2200613-01279702482941-2650741-2650740
0552483-0290365-22006352638221
0552482
052481

Cañasgordas 3113122296

0552479
1084314-0549039
0552487
0549098
0552532
01084393-01084357-05525330392009-0392007-03920060392008-0140602-014060301406560
0871042-0552537-03885172637802
0871050-0552540-03862770392050-0392029-03885342650964-2638205
01268554-0871024-072995101271176
0552543
0730005
0730006
0729952
0730007

El salvador 2342139
Medellin 5169754
Buritica 3113179390
Dabeiba 8590428
Cañasgordas 8564890
Cañasgordas

Cañasgordas 3146118870
Bello 2384945
Dabeiba
Cañasgordas 3117313064
Cañasgordas 8564189

Medellin 4775148
Itagui 3118733424
Medellin 4743799

Cañasgordas 3207019635
Cañasgordas 3218362796

Yolombo 2849667
Giraldo 3128879377
Giraldo 3127647235
Giraldo 3217007176
Chigorodo 8228924
Medellin 3108576619
Juan Camilo Higuita
Victor Alfonso Diaz
Libardo de Jesus Mesa

1128456015
1039908468
95072523289

1.133.400
283.350
5.138.960

426.955
113.164
1.246.222

1.560.355
396.514
6.385.182

Oscar Alonso Giraldo T
Edrileison Peña Aguirre
Mauricio Munera
Aluvin Rodriguez

70435434
1035302348
98485725
1039284796

850.050
431.447
566.700
1.102.300

342.000
1.250.397
228.000
574.024

1.192.050
1.681.844
794.700
1.676.324

0552544-0731620
0729955
01084324-01084325-0108442301084398-0871035-08710290868733-729954-0730004-05524880729953-0549062-0549489
0552548
0552550-0128005
0731601
0391890-0128023

8085724

566.700

174.800

741.500

0552545-0552546

1028014147
71353815
94020227286
96030219489
94111026518
94040726564
71985245
1039286380
1040363276
8085563
1128449048
1022094943
70002459
1039287254
70433158
652358
1022094835
1035303150
3431098
1035303150
1037595911

661.150
94.450
2.032.977
566.700
566.700
1.133.400
566.700
283.350
283.350
1.133.400
566.700
151.120
566.700
283.350
283.350
808.650
566.700
1.001.170
1.133.400
1.001.170
566.700

236.487
33.987
1.103.472
203.920
203.920
407.840
203.920
101.960
102.570
205.140
205.140
54.704
102.570
102.570
102.570
399.181
205.140
362.414
448.833
362.414
205.140

897.637
128.437
3.136.449
770.620
770.620
1.541.240
770.620
385.310
385.920
1.338.540
771.840
205.824
669.270
385.920
385.920
1.207.831
771.840
1.363.584
1.582.233
1.363.584
771.840

0729871-0729872
0729960
0731551
0731552
0731614
0731565-07315660729959
0731602
0549500
0731613-0731623
0729853
0729961
0729852-072985
0729854
0729855
072985-0391862-2214436
079860
0552496-0552495
0552494-0549499
0552495-0552496
0552497

Hernan Dario Londoño

Yeison Andres Florez
Helioberto Velasquez
Marco Andres Sepulveda
Sebastian Cardona
Yesica Melisa Gomez
Sergio lonso Durango
Edwin Vasquez
Sebastian Torres Torres
Jose Luis Aguilar
Jhon Fredy Henao
David Felipe Herrera
Rene de Jesus Higuita
Luis Humberto Alvarez
Manuel Alexander Torres
Fredy Martin Muñoz
Carlos Humberto Arias
Edwin Cartagena
Alvaro de Jesus Arboleda
Ernesto Antonio Guisao
Alvaro de Jesus Arboleda
William Andres Mejia

Medellin 3146443745
Mutata 3148457794
Cañasgordas 3122970920

Medellin 4217417
Cañasgordas 3004859010
Medellin 3127606124
Dabeiba 3148884826

Frontino 3127501548
Turbo 3117547521
Cañasgordas 8565119
Cañasgordas 3122469120
Medellin 4760790
3113063036
Turbo 3108457139
Dabeiba 8591634
Medellin 2855747
Frontino 3104330904
Medellin 2690145
Buritica 3104284598
Pueblo Rico
Dabeiba 3147967258
Cañasgordas 3207673467
Sta fe 3203437590
Sta fe 3044183964
Cañasgordas 3126594126
Cañasgordas 3146118870
Cañasgordas 3126599126
Bello 3202566766
Heider Andres Escobar
Bisnardo Antonio Higuita
Octavio Uribe Ochoa
Daniel Rodriguez
Juan Camilo Higuita
Heider Alexis Tobon
Carlos Gilberto Eusse
Cristian Jhoan Duque
Jhon Jairo Tabares
Duber Alberto Aguirre
Yeison Andres Florez
Ruben Evelio Usuga

1042707891
1035580408
70 432 091
8085408
1128456015
98642164
71636952
1038336191
1035303387
1035302113
1028014147
70433010

283.350
151.120
1.107.550
294.750
1.133.400
151.120
283.350
566.700
551.150
151.120
661.150
1.859.250

102.570
54.704
479.212
1.689
228.982
54.704
102.570
205.140
258.922
55.139
249.377
956.779

385.920
205.824
1.586.762
296.439
1.362.382
205.824
385.920
771.840
810.072
206.259
910.527
2.816.029

Jhon Jaime Higuita

70434079

1.967.900

688.587

2.656.487

Uvar Manuel Torres

70435211

1.559.577

621.919

2.181.496

Raul Alexis Alvarez
Juan G.Rodriguez

71727297
70432914

283.350
850.050

106.876
320.628

390.226
1.170.678

0552498
0731616
2650736-0552500
0729861
0731620-0552544
0731618
0731554
0729863
0729864-0140633
0729865
0729872-0729871
0731623-0388533-22024930128001-02650745-02650732
0871032-0731624-05525190388528
0731564-0731562-073156632638249
0731559

Sopetran 8541040
Peque 3206848537
Cañasgordas
3205714814
Medellin 4272882
Medellin 3122377310
Apartado 8282969
Frontino 3123663062
Cañasgordas 3416788
Cañasgordas
Frontino 3127501548
Cañasgordas 3206493636
Cañasgordas
Cañasgordas 3217936159
Turbo
0730017
Cañasgordas 3148925830
COBROS PERSUASIVOS DE COMPARENDOS 2011
COBROS PERSUASIVOS DE COMPARENDOS 2011

COBROS PERSUASIVOS DE COMPARENDOS 2011

  • 1.
    NOMBRE Eduardo Restrepo Alzate Llimerde Jesus Florez Graciano CEDULA INFRACCION INTRES V.TOTAL 70433802 70432572 357.067 2.966.453 188.440 1.373.225 545.507 4.339.678 1046952514 1.354.550 504.308 1.858.858 Gilberto Olmenis Cardona Jose Arturo Monsalve Vasquez Sebastian David Gomez Andres Felipe Medina Giraldo 71988558 98502471 94031026347 93102221689 803.400 1.071.200 267.800 1.655.754 358.205 485.949 109.940 752.765 1.161.605 1.557.149 377.740 2.408.519 Jhon Faber Higuita Torres Ana Maria Londoño Castañeda 1192765887 98082056238 535.600 1.071.200 238.803 439.761 774.403 1.510.961 Robinson Graciano Cartagena Alirio esteban Zapata 94022825040 1035304075 803.400 2.083.770 339.283 726.174 1.142.683 2.809.944 Elkin Eduardo Bolivar Carmona David Esteban Higuita Usuga 98012559542 93091329148 535.600 2.142.400 283.803 982.080 774.403 3.124.480 70435851 79707424 79675234 71774860 8418128 14704207 70435865 98614209 98772225 71021886 535.600 678.424 535.600 535.600 535.600 410.627 1.339.000 267.800 535.600 535.600 268.041 302.484 283.803 238.803 238.803 183.083 597.008 119.402 238.803 238.803 803.641 980.908 819.403 819.403 819.403 593.710 1.936.008 387.202 774.403 774.403 Oscar Armando Escobar Carlos Alberto Vargas Cardona Luis Paulino Garcia Becerra Jhon Henry Gonzalez Murial Alejandro Bustamante Jorge Sepulveda Hurtado Wilson Fernando Peña Guisao Adrian Antonio Aguirre Jaramillo Didier Torres Torres Hernan Dario Correa Correa Floriberto Tuberquia Carvajal COMPARENDO 0391956-0135096 0868732-03920430389995-03896080290363-24836520127964-2482944 112362-03920420391850 0386278 0391841-0386261 0391973 0552505-03895820391970-0391855012771 0391877 0386285-03862870386286 0391831-0391832 0876837-010843560868820-07315960388506-03885070388522-0135062 0391811 0549068-03863450392037-0127958 0391822-0135100 0391823-0391824 0391825 0391826 0391868 0392048-0392049 0391845-0391844 0391846 0391872 0391873 DIRECCION Cañasgordas - tel: 2932258 Cañasgordas Cañasgordas cel: 3122122056 Cañasgordas cel: 3113912252 Cañasgordas cel: 3113416545 Cañasgordas cel: 3172175993 Cañasgordas tel: 8564036 Cañasgordas cel: 3113397293 Cañasgordas cel: 3137332123 Cañasgordas cel: 3216333279 Cañasgordas cel:3122290976 Cañasgordas cel: 3116649359 Cañasgordas cel: 3128389620 Cañasgordas cel: 3217028483 Cañasgordas Tel: 7323773 Cañasgordas Tel: 5212000 Cañasgordas Cañasgordas Tel: 3112113 Cañasgordas Tel: 8280629 Cañasgordas Cañasgordas Cel: 3113298120 Cañasgordas Cel: 3113298120 Cañasgordas
  • 2.
    Yeison Ferney PinedaDurango 1038333765 1.339.000 587.546 1.926.546 Jhon Jairo Gutierrez Piedrahita Wilson Santiago Osorio TomasJose Rios Muñoz Luis Beonarde Osorio Gomez Jorge Eliecer Rojas Osorio Mario Edilberto Garcia perez Yeison Estidwar Gallego Quiroz 2976312 79965658 8406869 1040761411 8419856 15989232 1038336029 267.800 142.827 535.600 535.600 1.339.000 803.400 2.142.390 119.402 70.345 238.803 238.803 597.008 358.205 972.255 387.202 213.172 774.403 774.403 1.936.008 1.161.605 3.114.645 8416315 70432121 267.800 1.606.800 119.402 764.104 387.202 2.370.904 Jorge Euclides Arango E Jairo Antonio Mira Garcia 0386283-03862810386282 0386288 0391953 0391849 0391954 0391879-0391878 0391880 0391964-03919650391966-039196700110558 0391882 0391883-05490570290429-2638250 Cañasgordas Cel:3104835953 Cañasgordas Cel:3217461086 Cañasgordas Tel: 8255594 Cañasgordas Tel: 5121418 Cañasgordas Cel: 3148943592 Cañasgordas Cel: 3128190788 Cañasgordas Cel: 3137528727 Cañasgordas Cel: 3122167849 Cañasgordas Cel: 3147218349 Cañasgordas Cel: 3136641405 Mes de Noviembre 2011 NOMBRE CEDULA INFRACCION INTRES V.TOTAL COMPARENDO Juan Luis Tamayo Higuita 70431642 767.694 339.934 1.107.628 Gisela Garces Gonzalez Juan Sebastian Arias Polo 96021017130 96121812700 142.827 892.667 64.735 368.996 207.562 1.261.663 Diego Alejandro Restrepo Castaño 95112520806 1.160.467 584.447 1.744.914 Deibis Antonio Sanchez 70433948 803.400 430.253 1.233.653 0549142-05491410127719 0391971 0549137-05491360549138 0549131-05491320127741 0549130 Walter Ambrosio Arbelaez 98577646 357.067 180.295 537.362 0549124-0290387 1035302213 3431498 232.094 89.267 105.195 40.460 337.289 129.727 0549122-0549123 0549120 95010130302 1.214.027 514.650 1.728.677 0391892-03918950391894 Bibiana Andrea Cardenas Orrego Rodrigo Antonio Usuga David Brayan Camilo Manco DIRECCION Cañasgordas Cañasgordas Cañasgordas Tel: 8564220 Cañasgordas Cañasgordas Cel:3113307648 Cañasgordas Cel: 3204883201 Cañasgordas Tel: 8564942 Cañasgordas Cel: 3104126776 Cañasgordas Cel: 3136164327
  • 3.
    David Esteban HiguitaUsuga 93091329148 2.142.400 997.894 3.140.294 Libardo de Jesus Mesa Usuga 95072523289 5.138.960 1.119.566 6.258.526 Yeferson Arias Holguin 93123106405 803.400 364.731 1.168.131 Santiago Valencia Uribe 94041019942 3.023.550 1.138.393 4.161.943 142.827 64.841 207.668 0729971-05490270391897-03918170549028-0391817 0389676 Juan Diego David Cano Duberney Cardona Giraldo Luis Fernando Zapata Cardona 94011111828 0549068-03863450392037-0127958 01084423-010843980871035-08710290868733-07299540730004-05524880729953-05490620549489-0108432401084325 0389664-0389663 94083027643 535.600 243.154 778.754 0549083 1027943491 924.800 321.254 1.246.054 01084427-05490930389675-0290360 2202535-054905803896880-731628 0868751-05490610389758 0389662 0389660-0389659 0391893-0392047 Nicolas Pulgarin Ramirez 98459305 1.076.450 78.294 1.154.744 Luis Arturo Alvarez Cano 70430687 818.950 316.066 1.135.016 Luis Carlos Molina Layos Jairo A. Usuga Aguirre Andres D. Maya Florez 71.052.208 1035302826 1035304056 535.600 1.071.200 535.600 243.551 487.102 224.981 779.151 1.559.302 760.581 Gabriel Jaime Rodriguez Rojas Ormedis de Js. Ramirez Carlos Andres Mira Carlos Alvarez Rodriguez 70435805 71798774 1035302465 1035302524 535.600 551.150 418.920 1.905.700 243.551 200.069 148.587 668.694 779.151 751.219 567.507 2.574.39408 Jhon Jairo Usuga Aguirre Luis Eduardo Castaño Urrgo Henrry Esquivel Babilonia Carlos A. Zapata Puerta 1035302362 8413839 8169126 70434211 535.600 535.600 535.600 142.827 206.411 243.551 243.551 64.947 742.011 779.151 779.151 207.774 0389666 0817412-0389667 0731631-0389668 871037-54910350549102 0389669 0389670 0549051 0549054 Cañasgordas Cel: 3128389620 Cañasgordas Cel: 3128256334 Cañasgordas Cel: 3113402438 Cañasgordas Cel: 3137870495 Cañasgordas Cel: 3137599343 Frontino Las Partidas Medellìn – Robledo Cañasgordas- Cra.Santander Medellìn- 4462686 C.gordas- 3146048660 La Balsita 8564918- 8569918 El Reten C.gordas- 3128149346 La Bomba- 3146543998 C.gordas C.gordas- 8564628 Medellìn- 5787192 C.gordas- 3133239179 El Porvenir- 3117964206
  • 4.
    Wilder Puerta Cardona JairoMira Garcia 1035303479 70432121 803.400 1.606.800 452.031 778.345 1.255.431 2.385.145 Deison f. Zapata Agudelo Wilson Oliveros Puerta Juan A. Holguin Urrego 86014728 71.791.664 8085708 267.800 142.827 267.800 121.775 64.947 121.775 389.575 207.774 389.575 Miguel A. Guisao Giraldo Juan F. Suarez Jimenez 70434751 1035304123 285.654 2.389.600 147.895 1.249.893 433.549 3.639.493 Josè I. Aguirre Gomez J. Camilo Londoño Sanchez Luis Carlos Durango Giraldo 8.332.670 8063337 1035302352 267.800 267.800 1.365950 -0121.775 611.739 267.800 389.575 1923.689 70435779 1.372.300 448.844 1.821.144 Carlos Edison Arias V Edgar de Js. Pelaez Jorge Castañeda Munera Josè O. Duarte Loaiza Edwin E. Muñoz P 8419365 70064516 1035302160 71022020 70435839 551.150 1.071.200 267.800 267.800 1.967.900 220.478 501.149 121.974 104.175 786.383 751.628 1.572.349 389.774 371.975 2.754.283 Bibiana A. Cardenas Orrego Milton Tangarife Vasquez Efrain Rodriguez U 1035302213 1035303969 10993662 232.094 678.427 1.624.654 105.711 289.455 820.087 337.805 965.882 2.444.741 Jhon D. Restrepo Montoya 1036603526 1.586.200 896.158 2.482.358 15401123 267.800 121.974 389.774 71761610 8418683 71640943 1035302352 525.300 535.600 267.800 1.633.750 263.329 243.948 123.956 520.595 788.629 779.548 391.756 2.154.345 Josè A. Valderrama David Guillermo L. Bran Cano Rodrigo de Js Tangarife Orlando de Js Torres Jhon Jairo Muñoz Ospina Luis Carlos Durango Giraldo 0549055-2650983 0391883-05490570290429-2638250 0549105 0549106 0549107 0549108-2638235 0389671-03896780389679-26382272565943 0389672 0549110 01084440-05490740389673-039200501348101084411-03896742483261 0817420-0549111 0549112-0389994 0549059 0549060 0549097-05490630552464 0549123-0549122 0549125-0128014 0549126-05491270127707-0127956 0549064-26509972650955 0549069 0549071 0549072 0549073 01084440-05490740389673-0392005- Paso Arriba- 3136483453 Imantago 3136641405 El Roble- C.gordas B.San Vicente- 3127858186 Frontino /Las Mercedes8595663 Los Balsos- 3123519945 San Isidro C.gordas- 8565119 El Reten- 3207414439 Apartado 8295952 Los Balsos- 3112552613 C.gordas- 3207750449 Vda Chorodo Medellìn- 2126492 C.gordas Moroto-3118921758 Insor- 3128795333 Imantago- 8564942 C.gordas C.gordas- 8564862 La Planta3113590436 Sta Fe- Los Llanos3217585408 La CampiñaEl León- 3218487823 Medellìn- 2534985 Los Balsos –
  • 5.
    Gildardo Quiroz Quiroz WilsonRestrepo Hurtado Gustavo A. Balbin Oquendo Yony Alexander Ruiz Urrego Ramon Vasquez Montoya Yeison Correa J Novaro H. Gomez Gonzalez Jaime A. Quintero Puerta Wilder De Js. Rengifo Lopez Jhovanny Moreno Mosquera Alvaro J. Mora Echavarria Juan A. Lopez Ochoa Josè Duvan Gonzalez Ramirez Jhon Jairo Monsalve Durango Virgilio Vargas Quiroz Marco Enrrique Correa Carvajal 70434581 70433604 70435951 70435613 70436037 1193069461 1039285159 1035302284 98766061 71353527 1023801669 1017163796 1045139805 98501440 3362910 535.600 535.600 739.600 267.800 803.400 535.600 410.627 535.600 267.800 267.800 267.800 267.800 142.827 267.800 1.606.800 247.912 247.912 248.304 124.152 372.456 248.304 168.624 248.304 124.152 124.152 124.152 124.152 66.215 124.125 744.912 783.512 783.512 987.904 391.952 1.175.856 783.904 579.251 783.904 391.952 391.952 391.952 391.952 209.042 391.952 2.351.712 71375823 830.350 279.066 1.109.416 013481-0131819 0549075 0549004 0549005-1244520 0549078 0549134-0549133 0549006 0549139-0549140 0549079 0549081 0549082 0549084 0549007 0549085 0389677 0389680-03896830389682-0389681 01084388-0389684 El Madero Vda San Luis 3104879648 C.gordas- 8564507 Cristo Rey- 8564983 Versalles- 3127774805 San PascualMedellìn-3134041098 B/Aires- 3147562205 Bello- 4617377 Medellìn -3136894520 Bello- 2725907 San Pascual- 3103470104 Medellìn- 3115842354 Liborina- 3146572776 La BalsaEl Porvenir- 3122560029 COBROS MES DE DICIEMBRE /2011 Luis Fernando David Brayan E. Aguirre Hoyos 1033646510 1035303765 89.267 3.649.967 38.360 875.819 127.627 4.525.786 Libardo De J. Mesa Usuga Jhoan E. Quintero C Jaime Navales Herrera Arley de Js. Castaño T Leon Dario Pulgarin Argiro Lopez Santiago Muñoz Escobar Jesùs Emili Urrego Jose Iganacio Roldan H Eduardo Higuita Estrada Jhon Jairo David Guerra 950725289 1001386260 70433991 15930660 71385523 70049610 1035304252 70434556 3484908 8085713 15286092 535.600 535.600 267.800 535.600 267.800 267.800 1.071.200 267.800 1.339.000 267.800 230.161 230.161 114.691 230.160 115.080 115.080 460.322 115.080 575.402 115.276 765.761 765.761 382.491 765.760 382.880 382.880 1.531.522 382.880 1.914.402 383.076 0549148 0549144-0549145-05491460549147-0549013 0549489 0389689 0389690 0389691 0389692-0389693 0389694 0389695 0389697- 0389698 0389700 0549086-0549087-0549088 0392202 V- Retiro-3117367494 El Reten C.gordas C.gordas 8564998 C.gordas- 8565119 Medellìn-313634126 Medellìn-3117103171 SanJeronimo-8582487 C.gordas-3113392014 Cestillal-3146656240 Frontino-8596157 Frontino-3143912539 Peque-8552022
  • 6.
    Jose H. CampoCampo José Belt Urbay John Jairo Palacio Arenas Leonardo Usuga Correa Mauricio Benjumea Valencia 70434435 1017180448 3482569 98614237 18517850 1.071.200 535.600 535.600 362.250 803.400 NOMBRE CEDULA JUAN CARDONA USUGA HERNAN LOPERA ROLDA WILDER PUERTA CARDONA FERLEY ANTONIO VIDALES IVAN DARIO VARGAS GONZALEZ HUBERTO PUERTA URREGO JORGE EVELIO BUIES IVAN DARIO TANGARIFE JORGE CARDONA GIRALDO GERARDO DE JESUS GIRALDO JONATAN GARCIA RIVERA LLIMER DE JESUS FLOREZ JHON FREDDY CORREA VICTOR ZAMBRANO ROMERO ALUVIN ALEXANDER RODIGUEZ JORGE CASTAÑEDA MUNERA JUAN CARLOS PALACIO 1035302694 15504312 1035303479 70434707 15388518 70435854 70430884 70436007 1035304125 98460446 71258410 70432572 71766258 92518009 1039284796 1035302160 1017182507 MANUEL ALCIDES SANCHEZ JUAN CAMILO HENAO JESUS EMILIO USUGA USUGA ALEJANDRA LONDOÑO GUISAO 70436021 8032289 98613741 1128427247 V.INFRAC CION 1.481.827 142.827 803.400 3.153.131 267.800 267.800 1.780.727 535.600 803.400 267.800 267.800 2.829.120 267.800 267.800 2.709.100 267.800 1.874.600 6.945.277 267.800 267.800 535.600 486.088 255.526 230.553 142.272 345.828 1.557.288 791.126 766.153 504.522 1.149.228 V.INTERES V.TOTAL DIRECCION – No. COMPARENDO 670.708 77.756 394.584 1.114.757 145.979 145.979 733.280 292.131 437.937 145.979 119.081 1.196.005 146.152 146.152 1.175.549 102.626 992.498 2.152.535 220.683 1.197.984 4.267.888 413.779 413.779 2.14.007 827.731 1.241.337 413.779 386.881 4.025.125 413.952 413.952 3.886.649 370.426 2.867.098 Partida frontino- 3146577961 -2638209 Cll 94 #48-56 san Javier – 4921830 -2650967 Vereda la balsita- 3146896560 - 2650963 El retén2638205 - 2650964 Barrio el edén cañasgordas- 2650748 Vereda Cañasgordas - 2482942 Cra Santander - 2482941 Vereda los naranjos cañasgordas – 2650972 paso arriba cañasgordas- 2638207- 2638206 3137114383- 2638204 Carepa- 3143644015 – 2482945Cr sucre cañasgordas– 2482944 Cr 43 #108-28 M/LIN -3188973358-2482949 Medellin-3116521937 -2482948 Dabeiba- 3148884826 – 2650979-2650971 Cr Santander – 2638216 1.287.477 0 146.152 292.304 8.232.754 267.800 413.952 827.904 0549488 0549091 0549092 0549490 0392212-0392211-0392210 Insor- 3143743885 Dabeiba-3128569683 Frontino-3104075676 Uramita-3104300194 Medellìn-4260823 Cañasgordas– 2638212-2650982-2650984 2650974 Medellín B-Francisco Antonio Zea 2650970 Uramita vereda peñas bancas – 2650961 Cll 78c #53-06B el bosque-5166191- 2650957
  • 7.
    RUBEN EVELIO USUGAYEPES SEBASTIAN RIOS USUGA CARLOS ENRIQUE MUÑOZ MARILUZ GIL CARVAJAL JUAN DAVID PALACIO TABARES CARLOS MARIO MONCADA JHON EBER HOLGUIN QUINTERO CARLOS MARIO JIMENEZ ANDRES SAIN ROLDAN TAPIAS UBIER ALEXANDER MAZO DAVID JUAN CARLOS PALACIO LOPEZ HECTOR ALIRIO GOEZ HIGUITA CONRADO ALBERTO RAMIREZ JUAN FELIPE GARCIA IVAN ARGIRO PINEDA ANIBAL DURANGO VARGAS ARLEY ALGARIN QUIÑONEZ ANDRES ANTONIO RAMIREZ WILLINTON RUIZ MARTINEZ FABIO NELSON PULIDO MORA ELKIN ANDRES MARIN PULGARIN JHON FERNANDO RUIZ PUERTA EDWIN LEONARDO SANCHEZ WILDEMAN OAMPO MURILLO FRANK DARIO MEJIA JHON DAVID RESTREPO JAIRO DE JESUS CARMONA ALFREDO ANTONIO VELASQUEZ KIMBERLY DURANGO GIRALDO EDWIN DAVID RAMIREZ G 70433010 1040736475 70435877 43780924 97085117126 94020227286 94022408850 70434263 1027954386 70878597 1.086.750 267.800 267.800 267.800 803.400 472.401 146.152 146.152 146.152 409.878 1.559.151 413.952 413.952 413.952 1.213.278 Vereda los naranjos – 2650745 Buenos aires-medellin-2691835- 2650959 Parque principal cañasgrdas-8566236- 2650960 Cañasgordas- 2638211 La planta cañasordas-856083- 2650744 142.827 267.800 535.600 142.827 77.856 146.152 284.958 75.989 220.683 413.952 820.558 218.816 70435166 98613605 102794375 71728680 70074957 8324404 1027945912 71983854 80392320 71376500 71022284 1121838240 71763711 70091438 1036603526 71878320 70435550 1000403383 71378147 624.867 267.800 142.827 1.370.100 1.071.200 535.600 535.600 267.800 535.600 267.800 267.800 535.600 535.600 535.600 1.071.200 267.800 1.381.500 535.600 267.800 310.760 142.479 75.989 511.201 527.124 284.958 284.958 142.479 284.958 142.479 142.479 263.562 284.958 284.958 490.211 142.479 384.645 284.958 142.479 935.627 410.279 218.816 1.947.301 1.598.324 820.558 820.558 410.279 820.558 410.279 410.279 799.162 820.558 820.558 1.561.411 410.279 1.766.145 820.558 410.279 Vereda paso arriba cañasgordas- 2650965 Cañasgordas-2650958 Vereda guadual Cañasgordas-2638219 Buenos aires dabeiba- 2650980 Cañasgordas-8564814 San pascual-3207390306 – 2650983 Barrio la copa uramita-3117455130 – 2650985 Cr 41# 16 int 3-16 – 2650986 2638221 Cr 60 #77ª-100 Bello- 2638222 Cr 66 # 59-16 Medellín-2638224 El reposo Apartado-3013911296- 2650992 Turbo cll 101-3105213868- 2650991 Cr 01 #6ª-20 Cundinamarca- 2650990 Cll 105#82E-49 Medellin-3128599316-0134802 Cll 29 #29-4 Frontino -3145182237- 0134803 Cll 40B # 17B-68 Bogotá- 3118453338-0134804 Cll 28 #89c-21 Medellín -3423281- 2650401 Apartado-3127304384- 2651000 Barrio la planta cañasgordas- 2650997 Cll 103ª # 84-51 Medellín -14715700- 2650994 Chontaduro Cañasgordas- 2650998 Cañasgordas Cll 52 #56-26 Medellin -5124224-2650404
  • 8.
    CESAR OVIDIO GARCIA DAVIDESTEBAN HIGUITA USUGA MANUEL FERNANDO GUAPACHA SERGIO ANDRES GOMEZ MEDINA LUIS EDUARDO GRACIANO DAVID JUAN CARLOS GUISAO CASTRO LUIS CARLOS DURANGO GIRALDO EDWIN RICARDO PADIERNA EDWIN ALEXANDER OCAMPO JOSE EVERLEY AGUILAR JUAN GABRIEL CARDONA USUGA DAVID PELAEZ CASTAÑEDA CARLOS ALBERTO GOMEZ FABION LEON HIGUITA DAVID EDISON ANDRES USUGA CARLOS ANDRES ARENAS ORTIZ DIDIER RECAURTE CAÑAVERAL NOBERTO ANTONIO VELASQUEZ ELKIN AUGUSTO FRANCO YOVANY HIGUITA ARIAS WILDERMAN TANGARIFE CESAR AUGUSTO GRACIANO OMAR DE JESUS GUISAO GEIENER USUGA USUGA NOMRE CEDULA HELMER DE J. GUISAO JUAN F. SUAREZ JIMEN 70431057 93091329148 93042114748 96032719560 70434699 1038333182 1035302352 1020399354 1035303555 98534064 1035302694 1035302474 71311363 15517768 1035282074 71241860 1040730373 4590584 98598813 1038333340 70433707 1035302454 3408486 70435182 1.653.450 1.546.418 285.654 535.600 267.800 535.600 1.633.750 535.600 285.654 267.800 1.481.827 535.600 267.800 267.800 267.800 535.600 267.800 267.800 535.600 267.800 267.800 1.890.150 267.800 1.909.040 514.821 847.878 142.124 269.965 134.982 269.965 460.093 269.965 71.991 134.982 671.828 244.424 134.982 134.982 134.982 269.965 134.982 134.982 269.965 134.982 134.982 732.872 134.982 778.877 2.168.271 2.394.296 427.778 805.565 402.782 805.565 2.093.843 805.565 357.645 402.782 2.153.655 780.024 402.782 402.782 402.782 805.565 402.782 402.780 805.565 402.782 402.782 2.623.022 402.782 2.695.917 VDA EL Paso-3125219612- 0135076 Cll 30#29-90 Cañasgordas-8564348-0127958 Cordoncillal- 3205168318- 0127906 Variante Cañasgordas-8564641 – 0127911 Cañasgordas-3137567341-0127905 Vereda Moroto-3132488854- 0135075 Barrio la esperanza-3207806178- 0134819 Cll 112 #67-85 Medellín- 2308722 -0127909 Barrio la esperanza-8564325- 0135085 Parque principal Giraldo- 3207052684- 0134816 La esperanza cañasgordas-0134815Vereda chontaduro-3148239621- 0134814 Cll 48 #110.13-5285590-2638240 San Cristóbal Medellín- 4272345- 0135087 Barrio cabuyal uramita-32074956340135086 Barrio Ortiz apartado – 8284442-0135084 Itagüí Santamaría - 3732190 -2638239 Cr 50B #76-76 Medellin- 3123851-2638238 Cr 71 #21-18 Bello -3217020871- 2650441 Cr 35 #20-72 manguruma -3147687626-0127953 Vereda la balsita-3206513028- 0128004 Los balsos cañasgordas- 3136832435- 0128003 Vereda el limón uramita -3147370869- 0128002 INTERES V.TOTAL DIRECCION COMPARENDO 70435375 INFRACCI ON 535.600 222 814.834 0135067 1035304123 2.389.600 1.107.9 3.497.523 C.GORDAS 3142649851 SAN ISIDRO 2638227
  • 9.
    DAIRO A.ARISTIZABAL 8048926 ESLEIDE SALAZAROROZ 1039079410 LUIS ALBERTO MARTINE 3484847 535.600 535.600 267.800 23 297.234 297.234 139.617 JUAN EST.ROJAS O 1035303693 1.481827 698.775 2.180.602 EVER IVAN AGUDELO G LEOCADIO PINEDA MC MARCO A.SEPULVEDA 70436119 70433474 94020227286 267.800 1.040.300 2.032977 139.617 518.272 918.331 407.417 1.558.572 2.951.308 3206981102 NECOCLI EL TOTUMO FRONTINO3138018408 C.GORDAS3137657928 BOMBA -3117558565 C.GORDAS-8564820 EL PORVENIR-8564264 CARLOS ALB.AGUIRRE E ANDRES Herrera. Betan JUAN CARLOS PALACIO 15326812 98635319 1017182507 551.150 267.800 1.874.600 571.257 407.417 2.889.768 -0C.GORDAS CHISPERO 8564842 CARLOS AND GUISAO JAIME MEDINA GIRALD 1035304011 70433799 267.800 818.950 201.077 139.617 1.015.1 68 139.617 309.287 407.417 1.128.237 SAN ISIDRO LOS BALSOS GUSTAVO LOPEZ AGUIR ROGER QUIROZ CARVAJ MIGUEL A.GUISAO GRD ELIANA MUÑOZ ARIAS JAIBER TORRES OLIVERS REINALDO L ZAPATA R JHON E. GUTIEREZ L 1023702140 1023702014 70434751 43782472 1046952111 70433624 1035303739 535.600 267.800 285.654 267.800 782.800 142.827 1.193.427 279.234 139.617 130.924 139.617 265.483 74.463 348.462 814.834 407.417 416.578 407.417 1.048.283 217.290 1.541.889 ABRIAQUI ABRIAQUI RUBICOM C.SUCRE URAMITA- 8574026 C.GORDAS C.GORDAS 8564752 LUISARNULFO AGUIRRE JARAMILLO NELSON IVAN VELEZ LUIS ORLANDO AGUD 3482551 1.318.400 418.851 1.737.251 98555416 70631647 535.600 535.600 279.234 279.234 814.834 818.834 RUBICOM3113825030 2134265 MEDELLIN APUCARCO- 832.834 832.834 407.417 2650406 2650414 2650408 2650409 2650419 2650431 2650432-07315510386338-02904330290432-26504112638213 2650440 2638229 2638231 2638232 0134813-08173960127976 2638233 2638234 2638235 2638237 2650434 2650438 2638228-220063601406312643796-26437972201495 2643798 2643799
  • 10.
    JS.ARTURO MONTOYA ANDRES F.VALENCIAU 70430297 1035304059 782.800 2.204.600 139.617 667.073 922.417 2.871.673 3128910608 GUADUAL PIPE-67hotmail.com 0135068 0135069-26438000871694-0871677 31280166083128916608 LUIS E.BORJA GRACIAN HECTOR FDO GUISAO 6705367 70432268 267.800 267.800 139.617 139.617 407.417 407.417 MARIA E. MUÑOZ CORREA 1035303944 2.657.400 1.122.5 28 3.979.928 LEONEL CAMPO CAMP LUIS CARLOS SEPULVED 1035303280 70433361 267.800 535.600 139.617 252.297 407.417 787.897 LLEIDY V.OCAMPO B 1035303860 267.800 139.617 407.417 DANIELA MEDINA TAn GERARDO GRISALES L 1035303657 71256904 535.600 267.800 279.234 139.617 814.834 407.417 ALIRIO E. ZAPATA 1035304075 2.083.764 620.849 2704.613 HECTOR E. ARBOLEDA Juan Ant. Campo Herre Gabriel Jaime Manco R Jhon A. Orozco Pulgarin Herminson Guerra Jerver Correa 71213303 71268145 70436066 71316459 1035302365 1035302592 535.600 535.600 142.827 535.600 657.827 280.160 274.719 260.405 69.441 260.405 321.942 69.548 810.319 798.005 212.268 796.005 979.769 349.708 M/LLI 5865028 C.GORDAS 3105301916 CAMPIÑA INSOR C.GORDAS 3216263828 C.GORDAS3137587916 C.GORDAS BURITICA3128121521 NARANJOS3122290966 URAMITA-4621363 Envigado- 3318660 Toyo-3217163139 Apartado-3206800126 Cañasgordas 3206180843 2650423 2650424 2650425-24853710290372-03920300391978 2650427 2650429-0386339 2650430 2650421 0135063 0135062-03885220388507-03885060731596-08688201084356-0876837 2650412-0127713 0127749 01288025 0128029 01288047 0128048
  • 11.
    Jhon F. CardonaDurang Jhon E. Gutierrez L. Sergio de Js. Pineda Rda 1038334921 1035303739 3482847 803.400 1.708.427 803.400 391.209 349.984 391.209 1.194.609 2.058.411 1.194.609 GilberOlmedis Cardona Hugo A. Arboleda RafaEL a. Campo Reyes Hernando Gomez Jorge Ivan Correa M 71998338 1017127980 10782843 98460037 1035303891 267.800 267.800 267.800 267.800 535.600 130.403 130.403 130.403 130.403 260.806 398.203 398.203 398.203 398.203 796.406 DonacioUsugaUsuga Cristian A. Durango 8416204 1036637703 267.800 2.160.254 398.203 3.163.626 NorangelaRodriguez Rubiel Armando Manco Valencia Santiago Suarez Serna 43515305 94032109220 267.800 535.600 130.403 1.003.3 72 130.403 215.957 9212261916 535.600 260.806 796.406 Yeison Berrio Correa Nestor A. PerezCeballos Roger E. Roldan Santa Edwin Y. Hernandez Wilmar Monsalve Catañ Marino Lopèra Serna Elkin Jairo Manco Laver 97101012623 1017141405 1035302022 1128433047 71385331 1022093074 71794043 267.800 267.800 577.297 1996.827 267.800 267.800 267.800 130.403 130.403 214.338 1029455 130.403 130.403 130.403 398.203 398.203 791.635 3.026.282 398.203 398.203 398.203 Luis Albeiro Carvajal Juan Alexande Muñoz Luis Alfredo Higuita M Fernando Velasquez Q Luis A. Villa Pineda 70433357 70434887 70434601 1035302405 1039288042 1.385.650 267.800 818950 267.800 267.800 423.156 130.403 311.248 130.403 130.403 1.808.806 398.203 1.130.198 398.203 398.203 398.203 751.557 C.gordas-3146577963 Los Balsos -8564835 Las Cruces3148758781 ChisperoMdellìn- 4273821 Dabeiba-3137014326 Frontino3128191010 Cañasagordas8564027 S.P Uraba-8205689 Medellìn-4387219 0128045 0140631 0140623 Dabeiba-3117839160 Cordoncillal3117204318 Circular 3N-66B16 Mllin Yedabecohotmail.com Medellìn-5281905 Los Balsos-8564121 C.gordas-3217112880 C.gordas-3136963271 Peque-3117770823 Giraldo Parque 3137736944 C.gordas-3147782776 Los Balsos-8564020 El Reten-3117424377 P-Arriba-3105053174 Naranjos-3117449280 0127932 0127977 0140625 0128041 0140632 0127919 0127921 0127934 0127935 0127977 0140607 0127978 0127924 0140605-140606Cra. Sucre 0128026 0128024 0140616 0140615 0140614 0140613 0140610
  • 12.
    Aluvin A. RodriguezTbq 1039284796 2.173.500 860.772 3.034.272 Jaimemedina 70433799 1.086.750 311.124 1.397.874 Edwin Usuga Puerta Jhon Fredy David Casta Juan David Hernandez L Cristian A. Durango 1025886265 8075287 8323902 1036637703 535.600 267.800 267.800 2.160.254 254.387 130.403 130.403 1.009.855 789.987 398.203 398.203 3.170.109 Luis A. Bedoya Roman Manuel ArabgoEcheve Alvaro de Js. Zapata Gabriel de Js. Pineda Carlos Mario Higuita Wilder E. Usuga Arias Jaime A. Marulanda Yeison A. Higuita Perez Antoni MariaSepulveda Genaro Jaramillo Grdo Duriel David Campo Va 3453908 70432450 8416734 71020219 1038334057 1035302972 1128271660 98709846 8317161 70829954 1036605363 535.600 1.089.051 267.800 535.600 535.600 3.481.400 551.150 3.465.270 803.400 782.780 267.800 262.413 508.620 131.206 262.413 262.413 1.542.935 156.121 1.005.464 393.619 131.206 130.403 798.013 1.597.671 399.006 798.013 798.013 5.024.335 701.121 4.470.734 1.197.019 913.986 398.203 Luis Alfonso Puerta Elkin A. Franco Gomez Cristian Higuita Meza Jose Otoniel GuisaoTob 98536354 98593813 1035304078 70435581 1.050.600 535.600 803.400 1.097.347 327.712 262.413 393.619 471.155 1.378.312 798.013 1.197.019 1.568.502 Adrian Ubaldo Durango 98696597 1.040.300 385.804 1.426.104 Aquilino Osorio Silva Jorge Ivan Avendaño D Sigifredo David Jimenez 6706156 8075423 8416582 267.800 267.800 515.000 131.206 131.206 253.376 399.006 399.006 768.376 Dabeiba-3148884826 0128023-26509792650971 Los Balsos-8565133 0127976-01348130127976-0817396La Planta 0290449-0127975 Dabeiba-3145276416 0128030 Apartado-3007875781 0128031 El Reten 0140634-03896240389623-0389622 Medellìn-3112930669 0140648 Ca.gordas 3148263986 0140647 Dabeiba-3142064555 0140646 Uramita-3104627974 0140645 C.gordas-3136982721 0140644 Insor-3103733344 0140643 La Balsa-3148589372 0140642 La Balsa-3104694843 0140641 Balsita-3128071035 0140639-0140638 C.gordas-3217658412 0140636-2638151 0140635Av 46 No-59-20 Tel.3005925237 Bello 2751586 Dabeiba-3217020871 0128049 C.gordas-3103775086 0127918-0127917 C.gordas-3123462249 0127915-03895590386314-0868810 Rionegro-5318305 0127913-24832572483741-2483708 Mutata-31049802510127914 Dabeiba-3146598833 0127929 Dabeiba-3113187136 0127928-2483277
  • 13.
    Jesus Alberto Cartagena AlbeiroHiguita Usuga Elmer Aguilar Gulfo Bernardo Navales varel Carlos Alberto David D DelimiroBerradal Delga Gustavo A. Cordoba Cas Horacio de J Higuita Gil Gabriel J. Ballesteros E Juan F. Sierra Bedoya Gustavo A. Muñoz Cam Jose E. Usuga Zapata Edier de Jesus Acevedo Jose L. GuzmanBonolis Sergio Pineda Rueda Jhon F. Cardona Drgo 1038333635 98540326 71370858 70433178 71256197 98473288 70432865 71367693 1037599718 70436073 1035304175 70430269 8337210 71020167 3482847 1038334921 535.600 267.800 267.800 267.800 535.600 267.800 410.627 535.600 142.827 267.800 535.600 267.800 830.350 267.800 803.400 803.400 262.416 131.206 131.206 131.206 262.413 131.206 201.183 262.413 69.977 131.206 262.815 131.408 262.815 131.408 394.223 276.223 798.016 399.006 399.006 399.006 798.013 399.006 611.810 798.013 212.804 399.006 798.415 399.208 1.093.165 399.208 1.197.623 1.079.623 Frontino-8596054 Giraldo-3148809911 Medellìn-3206916626 Balsos-8564608 Carepa-8237724 Itagui-3113764241 Rubicom-3148051624 Medellìn-4624030 Medellìn-2535965 Paso A-3128960814 Insor-3147056024 Naranjos-3136240605 Peque-3105283983 Frontino-8597007 Frontino-3148758781 C.gordas-3146577961 0127988-0127986 0127946 0127944 0127984 0127939 0127983 0127938-0127937 0127936 0127981 0127980 0140620 0128042 0140619 0127990 0140624 0128044-0128045 Mauricio A. Berrio G. EdilsonAnt. Acevedo Cesar A Graciano Usuga 71.258378 15511204 1035302454 267.800 535.600 1.890.150 131.408 262.815 767.063 399.208 798.415 2.657.213 Carepa- B/ Gaitan Medellìn-4370815 Balsos-3136832436 0140630 0128046 0140629-01279490128003-03885360391853-039183001084358- JhonJaiRO Graciano T 1035303387 551.150 209.263 760.413. TOTAL Enero-Febrero- Marzo- Abril-Junio/2011 AGOSTO/2011 Francisco E.Higuita H Diego Alejandro Garces 70434743 89.267 96061015628 535.600 31.962 196.421 121.229 732.021 0389983 0389609 C.gordas-3122955809 Cañasgordas -3128270901
  • 14.
    Carlos Andres Londoño JuanGabriel Usuga A Katerine Muñoz Guisao Edwin Y. Usuga Puerta Carlos Horacio Agudelo Ivan D Arboleda Tanga Albeiro de JS. Garces Wilmar Garcia Ceballos Carlos Mario Usuga A Jorge E. GonzalezZapat Francisco A. Durango 92072652020 93031808942 98060501270 1025886265 70434670 70435433 98510306 94285402 8439115 1035303409 3431915 267.800 803.400 1.071.200 535.600 535.600 1.086.750 1.339.000 267.800 535.600 1.071.200 2.142.400 98.211 316.900 494.332 255.192 247.166 466.125 617.916 123.583 247.166 494.332 988.665 366.011 1.120.300 1.565.532 790.792 782.766 1.552.875 1.956.916 391.383 782.766 1,565.532 3.131.065 Lindember W. Torres Yohan A Cardona Torre YeniferUrregoGomez LuisCarlosVasquez Torr Albeiro de Js. Arango U Elkin D. CordobaBopde Leonardo F. Salas Pino Wilson Restrepo Muñoz Juan Gabriel Usuga A Jose Orlando Rueda T Diego Andres Villa Jorge E. Holguin Aguirre Diana Luz Martinez G Carlos Horacio Tobon 1124312868 1002147612 1305304302 8285238 71740017 70434690 1000746798 98643386 93031808442 1035303395 1027952545 1039287159 32272644 1035302766 267.800 535.600 142.827 535.600 151.120 267.800 808.650 267.800 535.600 267.800 267.800 535.600 283.250 1.308.100 123785 247.569 66.019 247569 33.912 123.785 149.592 123.785 247.569 123.986 123.986 247.973 187.891 384.616 391.585 783.169 208.846 783.169 185.032 386.276 958.242 391.585 783.169 391.786 391.786 783.573 471.141 1.692.716 Mauricio A. Lopez Aren Juan B. Sepulveda G Josè Otoniel GuisaoTob 1017157815 8419865 70435581 803.400 267.800 1.097347 371.959 123.986 474.457 1.175.359 391.786 1.571.804 0389617 0386305-0386304 0386251-0386252 0290449-0127975 0386301-0290450 0389610-0140601-0729880 0389613-0389612 0389614 0389625 0388554-0388553 0389554-0389553-03895550389552 0389633 0389632 0389551 0389631 0389636 0389637 0389634 0388557 0386304 0386308 0388559 0386310 0386309 0391955-0388560-22006462201464-2485391-0388560 0389562-0389561 0388505 0868810-0386314-03895590127915- Anori-8350617 Reten-8564646 Versalles-3108452575 Porvenir-8564494 Caucasia-8394028 Naranjos-3137060532 Reten—3113956897 Cra 28ª No-72F11- Cali Chigorodo-3104126474 Buenos Aires Cestillal Putumayo- 3116289464 Medellìn-3133039302 Balsita- 3105231631 Envigado-2766415 Dabeiba-3103406306 C.gordas-8564406 C.gordas-3127720608 Medellìn-3206456943 Reten-8564646 CusutìApartado-3113516110 Dabeiba-3105273569 Apartado-3205281807 Medellìn-3113777784 Cestillal-3113265261 Buritica-3205635155 San Isidro-3122462249
  • 15.
    Gabriel Manco Higuita IvanD. Usuga Carmona 1039287568 70433438 1.201.720 1.948.200 281.999 574.935 1.483.719 1.523.135 Edison de J. Cardona G. Cristian C. Zapata Dgo Deimer A. MarinGalleg Aliria E. Zapata Vasquez Jhon A. Gonzalez D 71798075 1017161986 1038332619 1035304075 71265937 267.800 267.800 267.800 2.083.770 845.900 124.390 124.390 124.390 641.183 124.390 392.190 392.190 391.190 2.724.953 970.290 Luis A. Vahos Larrea Jebis Rene Tabares JoseAicardoRodriguez D. Andrey Torres Amando de JsGarcia Yeison A. Higuita Juan Bautista Higuita Guiovani Arias Giraldo Victor H. Osorio A Manuel SanchezJimez Willian E. Bate Navaja Uriel A. HernandezDav Andres Borja JhonDuberneyAlvarez 1042707076 70436076 70431697 10021477981 70434362 98709846 70434560 1007331294 71772246 70436021 71253152 98704607 1128451182 13991754 525.300 1.071.200 535.600 267.800 267.800 3.465.270 267.800 267.800 535.600 6.945.277 267.800 803.400 267.800 1.632.850 124.390 497.561 251.730 124.592 124.592 1.023.730 124.592 124.592 249.184 1.419.447 124.795 323.639 124.795 643.143 649.690 1.568.761 787.330 392.392 392.392 4.489.000 392.392 392.392 784.784 8.364.724 392.595 1.127.039 392.595 2.275.993 Josè Robinson Medina Jhon Fernando Soto H 8436637 1128472328 267.800 1.606.800 124.795 748.768 392.595 2.355.568 Uber Alonso Florez S 70436178 1.532.620 452.726 1.985.346 Luis Fernando Puerta U Juan Felipe Campo 70435288 1035303435 535.600 267.800 249.994 124.997 785.594 392.797 0388504-2483711-0817401 01084443-0817445-08174030388510-0388511 0386254 0389643 0388509 0388507-038850603908745-02555633-0386319 0389644-2483655 0389567-0389566 0290439-0389565 0389564 0389563 01084442-0386322-0386321 0386320 0386319 0388515-0388516 0388514-0388513-03885120388518 0388519-0388520 0389647 0871042-0552537-03885172565941-2637802 0388521 0389571-0389568-03895690389570 0876822-0552477-03863240128000-0127164 0386325 0389572 Hispania- El Hoyo Cañasgordas Caracolal-3143790533 Medellìn-2530509 C.gordas-3113935857 Cañasgordas-3122290976 Envigado-J.alex25--hotmai.com BalsitaMedellìn-2731749 Cestillal-3148925230 Manguruma-3128794405 CestillalBalsa-3104694843 Los Balsos San PascualMedellìn 2847514 Rubicom-3122477547 C.gordas-3104233485 Medellìn-2636911 Medellìn-2864398 La Loma Sampascual3207849536 Chigorodo-3137367966-86 C.gordas-8564588 Chontaduro-3117314064 Canelo-3217801967 Versalles-3148485763
  • 16.
    José J. Gómez IvanDarioUsugaCarm 3430482 70433438 267.800 1.948.200 124.997 583.350 392.797 2.531.550 JuanFernando Ocampo Juan Esteban Rojas O 15514841 1035303693 535.600 1.481.827 249.994 716.598 785.594 2.198.425 Jesùs Durango Giraldo 1001404833 2.142.400 999.976 3.142.376 Manuel A. Echeverry 70432450 1.089.051 516.831 1.605.882 Carlos M. Gomez G. 1038333038 1.507.423 599.567 2.106.990 1035302972 3.481.400 1.579.738 5.061.138 Wilder E. usuga Arias Luis Alfreo Higuita Mco Luis Carlos Durango G 70434601 1035302352 818.950 1365950 324.362 539.619 Robinson Salazar 1035304194 3.717.520 1.423.108 5.140.628 Jose F. Correa Garcia 70033260 1.640.100 322.533 1.962.633 Edwin de Js. Blandon D Cesar A. Graciano U 8436197 1035302454 267.800 1.890.150 134.134 842.951 401.934 2.733.101 Ferney E, Ruis Urrego John Jaime Higuita Ag 70435372 70434079 142827 1.967.900 71.538 566.040 214.365 2.533.940 Ramon E. Alcaraz G Edgar F. Muñoz Gonzlez Andres F. Medina Giral 15405245 551150 1038797544 535.600 93102221689 1655754 241.002 268.268 748.478 792.152 803.868 2.401.228 1.143.312 1.905569 0388523 01084443-0817445-08174030388510-038851103863260391806-0391805-01280152650409 0391801-0391802-03918030391804 0388527-0388526-03225880140647 0388525-0109741-0110614110910 0392003-0392002-03920010389655-0389654-0389656 0868729-0392004-0140614 01084440-05490740-3896730392005-013481 01084393-01084357-05525330392009-0392007-03920060392008-0140602-0140603 01271154-0392010-2650716 039201101084358-0391830-03918530388536-0127949-01406290128003 0391854 0871032-0731624-05525190388528 0549017-0391856 0391857 0552505-0389582-0391970- C.gordas-3147449232 Medellìn-3113165006 Frontino-3103894898 La BalsaLa EsperanzaCra. Bolivar3148263986 Dabeiba-Juan del Corral321345301 La Planta- 3102733344 El Reten- 3117424387 B.Esperanza-3112552613 Buenos Aires-8565160 Medellín- 44194204419920 C.gordas-3135614268 Cañasgordas-3136832435 Cristo Rey 3218741161 Guadual Santafe-3122146848 C.gordas 3128149377 Cañasgordas-8564036
  • 17.
    Ivan Dario FlorezHta Jhon Fredy Medina Flz HUBER TORRES MOREN Fredy Alberto Gallego Jairo A. Usuga Guerra Willian D. Montoya U Carlos Oliveros José H. Campo Campo Miguel A. Duarte Jairo Ant. Usuga Cristian A. Durango Castañeda 8126146 1035304148 70434003 70434289 1035282281 70432208 652358 70434435 70433442 70431869 1036637703 267.800 142.827 267.800 267.800 267.800 142.827 808.650 1.071.200 803.400 535.600 2.160.254 134.134 71536 134.134 134.134 134,134 71.536 361.113 461.586 402.402 268.268 1.098.212 401.934 214.365 401.934 401.934 401.934 214.365 1.169.763 1.994.372 1.205.802 803.868 3.258466 Willian D. Graciano Ivan Dario Usuga 1035303884 70433438 793.100 1.948.200 268.268 651.246 1.061.368 2.599.446 Añirio E. Zapata Vasque 1035304075 2.083.770 718.526 2.802.296 Ramiro Tangarife Betan Ramiro U. Rodriguez Cristobal Roldan V 70432127 71257416 70431915 782.800 142.827 4.417.283 272.267 1.055.067 71.643 214.470 1.785.788 6.203.071 Wilder E. Usuga Arias 1035302972 3.481.400 1.690.878 5.172.278 Rosebet Urbay John A. Gonzalez Dgo Andres Felipe Gomez 1017180448 71265937 70141907 535.600 267.800 267.800 243.677 134.330 134.330 779.277 402.130 402.130 0391855-012771 0391858 0389979 0388532 0388531 0389981 0391860 0729859-0391862-2214436 0549488-0391861 0388564 0388551 0389622-0389624-03896230290354-0290355-01279350140634 0388552-2483601 01084443-0817445-08174030388510-03885110876837-01084356-08688200731596-0388506-03885070388522-0135062 0389556-2483259-220644 0389648 2565940-2201478-22006012202544-0389605-03896400389586-0389587-05491010871014 0389655-0389654-03896560392002-0392003-03920010290373-0140643 0549091-0388524 0386316 0388565 C.gordas 3117836585 C.gordas-3148546856 La Balsa 3127482247 Versalles-3146754782 Buritica-3217691235 C.gordas-3108977050 Frontino-3203437590 Cañasgordas-3147383485 Medellín-3613335 Cestillal-3127239492 Cristo Rey Cañas Cgordas-3113268500 Medellín-3113165006 Los Naranjos 3122290936 Cusuti 3136079972 Apartado-8260081 Cañasgordas- 8564228 La Planta -3102733344 Dabeiba-3213454301 Envigado-3137803399 Chispero- 3122809632
  • 18.
    Ruben E. UsugaYepes Ferley A. Vidales Uribe 70433010 70434707 1.859.250 3.153.131 858.207 2.717.457 1.058.906 4.453.831 Carlos Florez Usuga LLimer Florez Graciano 1035304053 70432572 525.300 2.966.453 293.898 819.198 1.362.840 4.329.293 Leonardo Fabio Betanc Adver A.Betancur Hurt Jairo de J. Agunaga Alca TOTAL 1033653009 71255825 8416758 267.800 1.071.200 535.600 134.330 537.320 268.660 402.130 1.608.520 804.260 0388533 0871050-0552540-03862770392050-0392029-03885342650984-2638205 0388537-2650739 0868732-0392043-03899950389608-0290383-24836520127964-2482944 0388567 0392014-0392013-0392012 0392015 Los Naranjos-3206493636 Reten – C.gordas Naranjos- 3217164007 Cañasgordas- 3128586224 Dabeiba- 3122991297 Apartado- 5220935 Antioquia- 3016897688 SEPTIEMBRE – 2011 Julio C. Acosta To 71617921 178.533 83.887 262.420 0388545 Medellín3133181999 Julian Rodriguez Usuga 71317897 267.800 125.831 393.631 0386255 Medellín 4264386 Huiber Jimenez H 8075973 357.067 167.775 524.842 0386260-0386259 Dabeiba3132394304 Juan Manco Rstrp 3486754 1.076.450 1.086.450 477.421 08687960386348-2650722 Giraldo3207567605 Walter M.Usuga 1035302685 1.117.850 275.713 1.393.563 0389574-0871030 Cusuti Elias A.Usuga 7’432101 267.800 126.020 393.820.00 0389576 B.aires3122941428
  • 19.
    Alexander Lopez 71796167 142.827 67.211 210.038 0386342 Medellín2698222 Cristian Ocampo 1040037070 267.800 126.020 393.820 0388540 Ceja-5681898 EduarOsa Marin 1017142072 267.800 126.020 393.820 0386344 Medellín5230339 Carlos A. Guisao 8438831 525.300 126.020 651.320 0386347-2200626 Cañas3105418349 Mauro Gomez Rp 70435783 525.300 286.344 811.644 2650738- Cañas3146867535 Luis C. Sepulveda 70433361 535.600 278.977 814.577 0386339-2650429 Reten321863828 Jorge Hernandez Larrea 70434517 1.905.700 792.179 2.697.879 05494960386337038633602902442 c.gordasRubicom2144927 Oscar Moreno Pe 8085360 267.800 126.020 393.820 0389988 Frontino 8596119 JOse Zapata Suarez 98460241 267.800 126.020 393.820 0392033 Uramita3137147250 Geiner Usuga Uga 70435182 1.909.040 905.058 2.814.098 0392031-0392032 Rubicon- Jose A David P 71317004 285.654 134.321 419.975 0386332-0389999 Frontino-8590882 Ma.Estefania Muñoz Correa 1035303944 2.142.400 1.071.687 3.214.087 0392030039197802903722650425- Cusuti-8564401- Hernan Restrepo 71711141 267.800 126.020 393.820 0388572 Cll 46 N69-021
  • 20.
    Tel.4012386 Ferley Vidales Ub 70434707 3.153.131 1.309.953 4.463.084 0871050055254003862770392050039202903885340650964-2638205 Reten- BlancaHjguita C 43782168 562.550 151.337 713.887 0388539-0876843 Imantago3113058027 Lisney Mejia Hta 1016022229 267.800 126.020 393.820 0392017 Dabeiba Luis F.Correa Sala 71789658 410.627 199.440 610.067 0389597-0290423 Uramita3104754171 Jhon A,Zapata 98605435 1.071.200 503.702 1.574.902 0388544-0389987 Medellin3122263761 Rafael Salas 1040354098 535.600 252.040 787.640 0388570 Chigorodo3147217186 Wilson Correa M 1035303795 1.060.900 539.675 1.600.575 0388541-2650728 Rubicom3108280745 Ruben Urrego Ruz 3429240 535.600 216.383 751.983 0386267 Cañas-8564111 Angel Goez Girald 71586160 267.800 125.831 393.631 0389596 Cestillal 3148661092
  • 21.
    Continua Septiembre- 2011 NOMBRE Johnj. pareja CEDULA 98479244 INFRACCION 267.800 INTERES 126.028 V.TOTAL 393.828 COMPARENDO 0389595 Yois E. Suarez Uga Willian Valencia Morales Moises Lara Mont Hernan A. Sierra 32278236 142.827 67.215 210.042 0386265 98471886 267.800 126.028 393.828 0386264 DIRECCION Turbo-31478154315931 Frontino3145866925 C.gordas-8564162 98481588 551.150 198.182 749.332 0386263-0868779 Medellin 2672133 70435523 142.827 67.215 210.042 0389593 Jhonatan Manco Hernandez Jose A. Monsalve Vasquez Carlos MZuluaga Lenin Arango Ramos Humberto DSucerquia Juan Palacio Gtie 1035302235 142.827 67.215 210.042 0386262 98502471 1.606.800 761.666 2.368.466 0386261 C.gordas 3124982744 Frontino3147856475 Medellín-4775686 70694616 267.800 126.028 393.828 0389592 Apartado-8282287 8323456 267.800 126.028 393.828 0391863 70435157 535.600 252.056 787.656 0389589-0389588 1038334757 535.600 252.056 787.656 0386258 Envigado3147545613 Envigado3014167544 Frontino-
  • 22.
    Juan Diego Londoño L JuanM.Roldan O Cristian Oquendo Jesus Parra Cano Juan Garcia Zpta Cesar Garcia Perez Edgar Pelaez Tan 1038334573 535.600 252.056 787.656 0386257 3431110 15373257 70089391 1798417173 70431057 267.800 267.800 267.800 535.600 1.653.450 105.685 126.028 105.635 252.056 618.394 373.485 393.828 373.485 787.656 2,271.844 70064516 1.071.200 490.859 1.562.059 0388548 0388547 0388546 0389998 08709560389996-0135076 0389994-0549112 Roberto Arboleda Perea Franclin Manco Jhon Zapata Lezc 8350784 267,800 126.028 393.828 0388543- 15371113 11901181 267.800 267.800 126.028 126.028 393.828 393.828 0388542 0389581 Willian Hincapie Luis A, Alvarez C 71331787 70430687 535.600 818.950 252.056 308.808 787.656 1.127.758 Julian A.Cardona 98613555 1.086750 440.615 1.527.365 Wilmer Serna Rodan Wilber Garces Puerta Davirson Muñoz 1048014639 535.600 252.056 787.656 0389580 03895780549061-0868751 081740703862980386297-0389577 0386349 70434406 267.800 126.217 394-017 0389575 95121621224 732.327 94.298 826.625 Maria E. Roldan Santa Yohan Sebastian Sepulveda 93090225098 535-600 252.056 787.656 038959401084347 0388550 94121418449 535.600 252.434 788.034 0386341 3148404992 C.gordas 3104222332 C.gords- 8564155 Medellin2591769 Giraldo-8571009 Uramita3117029754 El Paso-3125219612 Medellin3128737767 Medellin3016141889 Uramita3106044159 Medellin 3104692435 Medellin-5226510 C.gordasC.gordas3206462157 UrraoMediacuesta 3127642914 C.gordas3116037101- 7106 C.gordas3146004602 Porvenir3116208476
  • 23.
    Carlos E. Florez 92071359206 267.800 126217 394.017 0386340 Naranjos3217164007 C.gordas3217989978 MarcoA. Sepulveda Manc 94020227286 2.032.977 1.021.096 3.054.073 Ivan Ramirez Juan C.Castaño A 71689631 1035303547 551.150 535.600 193.448 238.803 744-598 774.403 038633807315510290432029043326504112650432-2638213 0389600-0868816 0392035 Hector N. Fernandez Wilder Garces Puerta Rubiel Tuberquia Guisao Jesus Ovidio Campo Sepulved Julian E. Ramirez Mazo Joaquin E. Valencia Oscar Pineda Velez Anibal de J.Arenas Cesar A. Muñoz R John J. Guisao A Jose H.Cortes Perez Hernando Higuita 15324579 803.400 358.205 1.161.605 0392036 70434403 267.800 119.402 387.202 0391810 70434108 267.800 119.402 387.202 0392038 70431935 267,800 119.402 387.202 0392039 1152442876 551.150 191.556 742.706 0392040 71850693 267.800 119.402 387.202 0391814 70433195 551.150 199.262 750.412 0391813-0717664 3483016 535.600 238.803 774.403 0391812 C.gordas3122969480 Frontino 3127900880 C.gordas3137163525 Bogota-2692569 1001386159 98644402 71336380 803.400 535-600 267.800 371.305 238.803 119.402 1.175.245 774.403 387.202 0391951-0391952 0391815 0391816 Versalles-8564675 C.gordas-4380460 Medelli-3146912344 71580497 1-071.200 477.607 1-548.807 0391828-0391829 Cestillal-3237470 Guadual3136201794 San Isidro3217572255 Medellín3103915197 Mediacuesta3127642914 Membrillal3207692625 C.gordas-
  • 24.
    Carrillo Armando Salazar Velasquez Andres Valencia AlvaroD.Usuga Manco Hector Paniagua Zapata Andres Maya Flz Jairo A, Zapata Y 8316246 1.071.200 477.606 1.548.807 391834-391835 Medellin-2792214 1017123335 70435477 267.800 782.800 100.832 397.165 368.632 1.179.965 0391837 0391838-2214437 Medellin Cañasgordas 98482017 557.150 169.508 726.658 0392046-0871674 1035304056 71796054 535.600 142.827 220.234 62.681 755.834 206.708 0392047-0391893 0391843 Dabeiba3147549108 Balsita-3128479155 Medellin 4421358 Continuo Octubre de 2011 Carlos H-.Tobon T 1035302766 1.308.100 418.160 1.726.260 Hernan Caro Rmrz 1039286916 267.800 119.402 387.202 Jorge M Pulgarin 70433193 1.612.050 761313 2.373..363 Julian A. Cardona Roldan Fredy A. Lopez 98613555 1.086.750 443.612 1.530365 70434119 615.940 597-008 1.212.948 0391955038856022006462201464-2485391 0391958 038629402904270549018-2483279 03862970389577-0386298 0386299-0386300 Medellin 3113777784 Dabeiba3136685582 Apartado 3217473079 Balsos3206462157 Cestillal 8595491
  • 25.
    Ricardo Muñoz G 71493945 142.827 63.681 206.508 0391969 JoseA. Goez Lope 70430381 267.800 119.402 387.202 0391974 LUIS N. Higita Ub 71331715 535.600 238.803 774,403 0391889 Wilder E. Usuga A 1035302972 2.678.000 1.701.656 4.379.656 Aluvin Rodriguez Tuberquia 1039234796 535.600 238.803 774.403 038965503896540389656039200203920030392001029037301406430391890 EL LEON3144329407 c.GORDAS 3148909615 Dabeiba 3147292178 Insor-3102733344 Dabeiba3148884810 ENERO DE 2012 Hector Fabio Lopez Darwin U. Arango Jhon E. Gomez Rio Juan Guillermo Alva Argemiro Caballero Hernandez Miguel A. Sanchez Darlin A. Manco Jaime Manco Escob Ramon E. Alcaraz Gehiener Usuga U Jorge Mario Pulgarin 71377363 94040910560 95043017501 95120428420 1028005895 94.450 283.350 1.133.400 566.700 151.120 37.783 113.556 454.225 226.704 51.721 132.233 396.906 1.587.625 793.404 202.841 0552520 0552459 0552504-0552503-05525020549096 0552463 Frontino- 3117153830 Santafè-3127078870 Balsos-3216079032 Uramita-3137850475 Apartado-8280357 70436021 1035304131 1035303596 15405245 70435182 70433193 6.945.277 818.950 1.081.700 551.150 1.909.040 1.612.050 1.825.454 400.158 515.558 140.652 944.521 793.450 8.770.731 1.219.108 1.597.258 655.802 2.853.561 793.450 0552523 0552524-0127947 0552525 0549017 0549016 0549018-0386294-0290427- Rubicom-3147736227 Esperanza312229938 Imantago 8564019 Santafè-3122146848 Rubicon Cañasgordas 8564645
  • 26.
    Suarez Edin Abad IbarraDuarte 1035302930 94.450 37.853 123.303 2483279 0549020 Juan David Usuga Idian de Jesus Carrillo Hernan Alberto JImenez Carlos Julio Salazar Edwin Eliecer Muñoz Huber Florez Ramirez Jose Eduar Osorio Jesus Maria Uribe Anderson Andrey Patiño Alejandro Oliveros Heliodoro Zapata Yovan Perez Humberto de Jesus Lopez Jhoana Andrea Carvajal Mauricio Andres Suaza Alfredo Velasquez 1035303908 70436094 70433574 8321960 70435839 70431667 3380837 70433855 1020453083 1001386246 3429177 71240460 8416480 578.100 283.350 283.350 151.120 1.967.900 283.350 283.350 283.350 283.350 850.050 566.700 566.700 283.350 139.194 113.560 113.560 60.565 806.712 114.388 114.388 114.805 114.805 344.414 229.610 229.610 114.805 01084438 396.910 396.910 211685 2.774.612 397.738 397.738 398.155 398.155 1.194.464 796.310 796.310 398.155 0552471 0549094 0549095 0549026 0549097-0552464-0549063 0552501 0549012 0552508 0552506 0552510 0552511 0552512 0552513 Cañasgordas 8564643 Cañasgordas Cañasgordas 3137608586 Medellin 4410597 Cañasgordas 3128795838 Medellin 3762222 Cañasgordas 3146118735 Medellin 3104340109 Medellin 3206375173 Cañasgordas Cañasgordas 3104208874 Medellin Dabeiba 8591382 1038332034 1038332302 70435550 566.700 850.050 2.448.750 229.610 241.718 970.697 796.310 1.091.768 3.419.447 Frontino 8595049 Frontino Wilson Alberto Castaño Jhon Jaime Higuita 1046954190 70434079 566.700 1.967.900 230.444 624.062 797.144 2.591.962 Omar Alonso Lopez Jorge Ivan Londoño Jose Gustavo Higuita Jesus Eleazar Orozco Yohan Alexis Garces Alirio Esteban Zapata V Jose Octavio Garcia Dora Maria Sanchez Hugo de Jesus Rengifo Juan Guillermo Munera 98614010 75035521 71638019 71725532 95082327828 92081750043 70435699 1035303770 8414673 1035302129 566.700 566.700 566.700 566.700 1.700.100 551.150 1.416.750 566.700 283.350 283.350 230.444 197.286 197.286 197.286 578.214 218.889 563.715 225.486 112.743 112.743 797144 763.986 763.986 763.986 2.278.314 770.039 1.980.465 792.186 396.093 396.093 0552515 0552457 01268604-0552455-03896012483608-2650998-24853732483038-01268589 0552453 0871032-0731624-05525190388528 0552518 0552460 0549010 0552458 0817359-0552539-0552538 0552541-0391827 0549033-0549032 0549031 0549498 0552472 Cañasgordas 3113455489 Bello 2751839 Cañasgordas Cañasgordas 3127458971 Medellin 2387893 Medellin 3414386 Medellin 2364753 Uramita 3148717629 Cañasgordas 3122290976 Cañasgordas 3104093012 Cañasgordas3128229692 Cañasgordas 3204082083 Cañasgordas 3104477797
  • 27.
    Jorge Alberto Hernandez 70434517 1.905.700 856.892 2.762.592 ErnestoAntonio Guisao Arbey Ospina Mena Aicardo de Jesus Guisao Uber Alonso Florez 3431098 71986806 8418396 70436178 1.133.400 151.120 283.350 1.532.620 438.121 60.130 112.743 545.495 1.171.521 211.250 396.093 2.078.115 Jorge Evelio Builes 70430884 2.810.727 1.415.063 4.225.790 Ivan Dario Pineda 71728680 1.885.100 372.241 2.257.341 Carlos Arturo Casarrubia Mauricio Alonso Marulanda Saul Fernando Serna Jesus Maria Salazar Elder Olimpo Arenas Dary Emilse Jaramillo Anderson Jovany Florez Robinson Salazar Londoño 15645679 71367952 151.120 151.120 60.130 60.130 211.250 211.250 1128405970 16136864 71766233 43140614 1035520590 1035304194 566.700 578.100 151.120 283.350 151.120 3.874.720 225.486 136.077 60.130 112.743 59.568 1.562.976 792.186 714.177 211.250 396.093 210.688 5.437.696 Jhon Duberney Alvarez 13991754 1.375.350 597.328 1.972.678 Ferley Antonio Vidales 70434707 2.617.531 1.419.369 4.036.900 Jesus Eduardo Avendaño 70252272 2.312.400 373.590 2.685.990 Sebastian Armando Silva Edwin Hernan Usuga Carlos Mario Sepulveda Jose Luis Rodriguez Carlos Mauricio Bustamante 1041176587 1041176764 1041176208 80802519 8060451 566.700 151.120 283.350 151.120 566.700 225.907 60.354 113.164 60.354 226.328 792.607 211.474 396.514 211.474 793.028 0549496-0386337-03863360290442 0549499-0552494 0549040 0552474 01271164-0876822-055247703863240128000 0817449-0552476-05491210389635-2200613-01279702482941-2650741-2650740 0552483-0290365-22006352638221 0552482 052481 Cañasgordas 3113122296 0552479 1084314-0549039 0552487 0549098 0552532 01084393-01084357-05525330392009-0392007-03920060392008-0140602-014060301406560 0871042-0552537-03885172637802 0871050-0552540-03862770392050-0392029-03885342650964-2638205 01268554-0871024-072995101271176 0552543 0730005 0730006 0729952 0730007 El salvador 2342139 Medellin 5169754 Buritica 3113179390 Dabeiba 8590428 Cañasgordas 8564890 Cañasgordas Cañasgordas 3146118870 Bello 2384945 Dabeiba Cañasgordas 3117313064 Cañasgordas 8564189 Medellin 4775148 Itagui 3118733424 Medellin 4743799 Cañasgordas 3207019635 Cañasgordas 3218362796 Yolombo 2849667 Giraldo 3128879377 Giraldo 3127647235 Giraldo 3217007176 Chigorodo 8228924 Medellin 3108576619
  • 28.
    Juan Camilo Higuita VictorAlfonso Diaz Libardo de Jesus Mesa 1128456015 1039908468 95072523289 1.133.400 283.350 5.138.960 426.955 113.164 1.246.222 1.560.355 396.514 6.385.182 Oscar Alonso Giraldo T Edrileison Peña Aguirre Mauricio Munera Aluvin Rodriguez 70435434 1035302348 98485725 1039284796 850.050 431.447 566.700 1.102.300 342.000 1.250.397 228.000 574.024 1.192.050 1.681.844 794.700 1.676.324 0552544-0731620 0729955 01084324-01084325-0108442301084398-0871035-08710290868733-729954-0730004-05524880729953-0549062-0549489 0552548 0552550-0128005 0731601 0391890-0128023 8085724 566.700 174.800 741.500 0552545-0552546 1028014147 71353815 94020227286 96030219489 94111026518 94040726564 71985245 1039286380 1040363276 8085563 1128449048 1022094943 70002459 1039287254 70433158 652358 1022094835 1035303150 3431098 1035303150 1037595911 661.150 94.450 2.032.977 566.700 566.700 1.133.400 566.700 283.350 283.350 1.133.400 566.700 151.120 566.700 283.350 283.350 808.650 566.700 1.001.170 1.133.400 1.001.170 566.700 236.487 33.987 1.103.472 203.920 203.920 407.840 203.920 101.960 102.570 205.140 205.140 54.704 102.570 102.570 102.570 399.181 205.140 362.414 448.833 362.414 205.140 897.637 128.437 3.136.449 770.620 770.620 1.541.240 770.620 385.310 385.920 1.338.540 771.840 205.824 669.270 385.920 385.920 1.207.831 771.840 1.363.584 1.582.233 1.363.584 771.840 0729871-0729872 0729960 0731551 0731552 0731614 0731565-07315660729959 0731602 0549500 0731613-0731623 0729853 0729961 0729852-072985 0729854 0729855 072985-0391862-2214436 079860 0552496-0552495 0552494-0549499 0552495-0552496 0552497 Hernan Dario Londoño Yeison Andres Florez Helioberto Velasquez Marco Andres Sepulveda Sebastian Cardona Yesica Melisa Gomez Sergio lonso Durango Edwin Vasquez Sebastian Torres Torres Jose Luis Aguilar Jhon Fredy Henao David Felipe Herrera Rene de Jesus Higuita Luis Humberto Alvarez Manuel Alexander Torres Fredy Martin Muñoz Carlos Humberto Arias Edwin Cartagena Alvaro de Jesus Arboleda Ernesto Antonio Guisao Alvaro de Jesus Arboleda William Andres Mejia Medellin 3146443745 Mutata 3148457794 Cañasgordas 3122970920 Medellin 4217417 Cañasgordas 3004859010 Medellin 3127606124 Dabeiba 3148884826 Frontino 3127501548 Turbo 3117547521 Cañasgordas 8565119 Cañasgordas 3122469120 Medellin 4760790 3113063036 Turbo 3108457139 Dabeiba 8591634 Medellin 2855747 Frontino 3104330904 Medellin 2690145 Buritica 3104284598 Pueblo Rico Dabeiba 3147967258 Cañasgordas 3207673467 Sta fe 3203437590 Sta fe 3044183964 Cañasgordas 3126594126 Cañasgordas 3146118870 Cañasgordas 3126599126 Bello 3202566766
  • 29.
    Heider Andres Escobar BisnardoAntonio Higuita Octavio Uribe Ochoa Daniel Rodriguez Juan Camilo Higuita Heider Alexis Tobon Carlos Gilberto Eusse Cristian Jhoan Duque Jhon Jairo Tabares Duber Alberto Aguirre Yeison Andres Florez Ruben Evelio Usuga 1042707891 1035580408 70 432 091 8085408 1128456015 98642164 71636952 1038336191 1035303387 1035302113 1028014147 70433010 283.350 151.120 1.107.550 294.750 1.133.400 151.120 283.350 566.700 551.150 151.120 661.150 1.859.250 102.570 54.704 479.212 1.689 228.982 54.704 102.570 205.140 258.922 55.139 249.377 956.779 385.920 205.824 1.586.762 296.439 1.362.382 205.824 385.920 771.840 810.072 206.259 910.527 2.816.029 Jhon Jaime Higuita 70434079 1.967.900 688.587 2.656.487 Uvar Manuel Torres 70435211 1.559.577 621.919 2.181.496 Raul Alexis Alvarez Juan G.Rodriguez 71727297 70432914 283.350 850.050 106.876 320.628 390.226 1.170.678 0552498 0731616 2650736-0552500 0729861 0731620-0552544 0731618 0731554 0729863 0729864-0140633 0729865 0729872-0729871 0731623-0388533-22024930128001-02650745-02650732 0871032-0731624-05525190388528 0731564-0731562-073156632638249 0731559 Sopetran 8541040 Peque 3206848537 Cañasgordas 3205714814 Medellin 4272882 Medellin 3122377310 Apartado 8282969 Frontino 3123663062 Cañasgordas 3416788 Cañasgordas Frontino 3127501548 Cañasgordas 3206493636 Cañasgordas Cañasgordas 3217936159 Turbo 0730017 Cañasgordas 3148925830