La Transformada de Fourier

Dr. José Enrique Alvarez Estrada
http://www.software.org.mx/~jalvarez/
Las ideas de
Jean Baptiste Fourier
cualquier señal puede
formarse sumando

funciones seno
de diferentes frecuencias
a diferentes amplitudes
1
0.5
0
-0.5
-1
1
0.5
0
-0.5
-1

1
0.5
0
-0.5
-1
1
0.5
0
-0.5
-1

1
0.5
0
-0.5
-1

1
0.5
0
-0.5
-1
1
0.5
0
-0.5
-1

1
0.5
0
-0.5
-1

1
0.5
0
-0.5
-1

1
0.5
0
-0.5
-1
1
0.5
0
-0.5
-1

1

*1

0.5
0
-0.5

*2

-1

1
0.5

*0

0
-0.5
-1

1
0.5
0
-0.5
-1

*1

+
1
0.5
0
-0.5
-1

1

*1

3.5

0.5
0
-0.5

2.5

*2

-1

1
0.5

*0

0
-0.5
-1

1
0.5
0
-0.5
-1

1.5

+

0.5
-0.5
-1.5
-2.5

*1

-3.5

3
1
0.5
0
-0.5
-1
1
0.5
0

+

-0.5
-1
2
1
0
-1
-2
1
0.5
0

+

-0.5
-1
2
1
0
-1

+

-2
1
0.5
0
-0.5
-1
1
0.5
0

+

-0.5
-1
2
1
0
-1

+

-2
1
0.5
0
-0.5
-1
1
0.5
0

+

-0.5
-1
2
1
0
-1

+

-2
1
0.5
0
-0.5
-1
3.5
2.5
1.5
0.5
-0.5
-1.5
-2.5
-3.5

3
Y a la inversa...
Dada una señal compuesta,

¿cuánto tengo que agregar
de cada señal fundamental
para recrearla?
3.5
2.5
1.5
0.5
-0.5
-1.5
-2.5
-3.5

3
1
0.5
0
-0.5
-1

¿Cuánto sen(3t)?
3.5
2.5
1.5
0.5
-0.5
-1.5
-2.5
-3.5

3
1
0.5
0
-0.5
-1
1

¿Cuánto sen(3t)?

0.5
0

3.5

¿Cuánto sen(4t)?

2.5
1.5
0.5
-0.5
-1.5
-2.5
-3.5

-0.5
-1

3
1
0.5
0
-0.5
-1
1

¿Cuánto sen(3t)?

0.5
0

3.5

¿Cuánto sen(4t)?

2.5
1.5
0.5

-1
3

1

-0.5
-1.5
-2.5
-3.5

-0.5

¿Cuánto sen(6t)?

0.5
0
-0.5
-1
1
0.5
0
-0.5
-1
1

¿Cuánto sen(3t)?

0.5
0

3.5

¿Cuánto sen(4t)?

2.5
1.5
0.5

-1
3

1

-0.5
-1.5
-2.5

-0.5

¿Cuánto sen(6t)?

0.5
0

-3.5

¿Cuánto sen(12t)?

-0.5
-1
1
0.5
0
-0.5
-1
Así que la palabra transformar
significa cambiar el dominio de la señal,
pasando del dominio del tiempo al
dominio de la frecuencia.
Fourier
3.5
2.5
1.5
0.5

3

-0.5
-1.5
-2.5
-3.5

tiempo

Fourier
2

3.5

1.8
2.5

1.6

1.5

1.4

0.5

3

-0.5

Fourier

1.2
1
0.8
0.6

-1.5

0.4

-2.5

0.2
0

-3.5

0

tiempo

1

2

3

4

5

6

7

8

frecuencia

9 10 11 12
Por simplicidad, trabajaremos con
una versión discreta de la señal
5.00
4.00
3.00
2.00
1.00
0.00
-1.00
-2.00
-3.00
-4.00
-5.00

0

1

2

3

4

5

6

7

8

9

10

11

12

13

14

15

16

17
5.00
4.00
3.00
2.00
1.00
0.00
-1.00
-2.00
-3.00
-4.00
-5.00

0

1

2

3

4

5

6

7

8

9

10

11

12

13

14

15

16

17

fenómeno
analógico
a estudiar
5.00
4.00
3.00
2.00
1.00
0.00
-1.00

0

1

2

3

4

5

6

7

8

9

10

11

12

13

14

15

-2.00
-3.00
-4.00
-5.00

Conversor
A/D

16

17
5.00
4.00
3.00
2.00
1.00
0.00
-1.00

0

1

2

3

4

5

6

7

8

9

10

11

12

13

14

15

16

17

-2.00
-3.00
-4.00
-5.00

Conversor
A/D

20 Hz

Frecuencia
de muestreo (Fs)
5.00
4.00
3.00
2.00
1.00
0.00
-1.00

0

1

2

3

4

5

6

7

8

9

10

11

12

13

14

15

16

17

-2.00
-3.00
-4.00
-5.00

Conversor
A/D

20 Hz

5.00
4.00
3.00
2.00
1.00
0.00
-1.00

0

1

2

3

4

5

6

7

8

9

10 11 12 13 14 15 16 17

-2.00
-3.00
-4.00
-5.00

versión
discreta
(muestras)
5.00
4.00
3.00
2.00
1.00
0.00
-1.00

0

1

2

3

4

5

6

7

8

9

10

11

12

13

14

15

16

17

-2.00
-3.00
-4.00
-5.00

Conversor
A/D

20 Hz

5.00
4.00
3.00
2.00
1.00
0.00
-1.00

0

1

2

3

4

5

6

7

8

9

10 11 12 13 14 15 16 17

-2.00
-3.00
-4.00
-5.00

10 muestras

tamaño de
ventana
“N”
5.00
4.00
3.00
2.00
1.00
0.00
-1.00

0

1

2

3

4

5

6

7

8

9

10

11

12

13

14

15

16

17

-2.00
-3.00
-4.00
-5.00

Conversor
A/D

20 Hz

ventana “m”

5.00
4.00
3.00
2.00
1.00
0.00
-1.00

0

1

2

3

4

5

6

7

8

9

10 11 12 13 14 15 16 17

-2.63 -2.62 -2.63 -4.25 0.00 4.25 2.63 2.62 4.25 0.00

-2.00
-3.00
-4.00
-5.00

10 muestras
-2.63 -2.62 -2.63 -4.25 0.00 4.25 2.63 2.62 4.25 0.00
5.00
4.00
3.00
2.00
1.00
0.00
-1.00
-2.00
-3.00
-4.00
-5.00

0

1

2

3

4

5

6

7

8

9

10 11 12 13 14 15 16 17

-2.63 -2.62 -2.63 -4.25 0.00 4.25 2.63 2.62 4.25 0.00
Conversor
D/A
5.00
4.00
3.00
2.00
1.00
0.00
-1.00
-2.00
-3.00
-4.00
-5.00

0

1

2

3

4

5

6

7

8

9

10 11 12 13 14 15 16 17

-2.63 -2.62 -2.63 -4.25 0.00 4.25 2.63 2.62 4.25 0.00
5.00
4.00
3.00
2.00
1.00
0.00
-1.00

0

1

2

3

4

5

6

7

8

9

10

11

12

13

14

15

16

17

-2.00
-3.00
-4.00
-5.00

Conversor
D/A
5.00
4.00
3.00
2.00
1.00
0.00
-1.00
-2.00
-3.00
-4.00
-5.00

0

1

2

3

4

5

6

7

8

9

10 11 12 13 14 15 16 17

-2.63 -2.62 -2.63 -4.25 0.00 4.25 2.63 2.62 4.25 0.00
Hasta aquí, tenemos grabado
un archivo WAV...
Pero un WAV ocupa mucho espacio,
porque guarda todas las muestras.
¿Y si sólo almacenamos
algunas de sus características?
periodo de
muestreo
“T”

5.00
4.00
3.00
2.00
1.00
0.00
-1.00

0

1

2

3

4

5

6

7

8

9

10

11

12

13

14

15

16

17

-2.00
-3.00
-4.00
-5.00

Conversor
A/D

1/Fs

20 Hz

5.00
4.00
3.00
2.00
1.00
0.00
-1.00

0

1

2

3

4

5

6

7

8

9

10 11 12 13 14 15 16 17

-2.63 -2.62 -2.63 -4.25 0.00 4.25 2.63 2.62 4.25 0.00

-2.00
-3.00
-4.00
-5.00

10 muestras
5.00
4.00
3.00
2.00
1.00
0.00
-1.00

0

1

2

3

4

5

6

7

8

9

10

11

12

13

14

15

16

17

-2.00
-3.00
-4.00
-5.00

Conversor
A/D

1/Fs

20 Hz

5.00
4.00
3.00
2.00
1.00
0.00
-1.00

0

1

2

3

4

5

6

7

8

9

10 11 12 13 14 15 16 17

-2.63 -2.62 -2.63 -4.25 0.00 4.25 2.63 2.62 4.25 0.00

-2.00
-3.00
-4.00
-5.00

10 muestras

“n” de la frecuencia
cuyo aporte se
quiere conocer

n=5
10Hz
5.00
4.00
3.00
2.00

Transformada
de Fourier

1.00
0.00
-1.00

0

1

2

3

4

5

6

7

8

9

10

11

12

13

14

15

16

17

-2.00
-3.00
-4.00
-5.00

Conversor
A/D

1/Fs

20 Hz

5.00
4.00
3.00
2.00
1.00
0.00
-1.00

0

1

2

3

4

5

6

7

8

9

10 11 12 13 14 15 16 17

-2.63 -2.62 -2.63 -4.25 0.00 4.25 2.63 2.62 4.25 0.00

-2.00
-3.00
-4.00

Fourier

-5.00

10 muestras

n=5
10Hz
5.00
4.00
3.00
2.00
1.00
0.00
-1.00

0

1

2

3

4

5

6

7

8

9

10

11

12

13

14

15

16

17

-2.00
-3.00
-4.00
-5.00

Conversor
A/D

1/Fs

20 Hz

Aporte de la
frecuencia que
se quiere conocer

5.00
4.00
3.00
2.00
1.00
0.00
-1.00

0

1

2

3

4

5

6

7

8

9

10 11 12 13 14 15 16 17

-2.63 -2.62 -2.63 -4.25 0.00 4.25 2.63 2.62 4.25 0.00

-2.00
-3.00
-4.00

Fourier

-5.00

10 muestras

10Hz

AFn
Hagamos un ejemplo
5
4
3

Intensidad

2
1
0
0

1

2

3

4

5

6

7

8

9

-1
-2
-3
-4
-5

# de muestra

10

11

12

13

14

15

16

17
5
4
3

Intensidad

2
1
0
0

1

2

3

4

5

6

7

8

9

10

11

12

13

14

15

16

17

-1
-2
-3
-4
-5

# de muestra

Esta señal se muestreará
a una frecuencia Fs = 20Hz
5
4
3

Intensidad

2
1
0
0

1

2

3

4

5

6

7

8

9

-1
-2
-3
-4
-5

# de muestra

10

11

12

13

14

15

16

17
5
4
3

Intensidad

2
1
0
0

1

2

3

4

5

6

7

8

9

-1
-2
-3
-4
-5

# de muestra

10

11

12

13

14

15

16

17

0
1
2
3
4
5
6
7
8
9
10
11
12
13
14
15

0.00
4.25
2.63
2.62
4.25
0.00
-4.25
-2.63
-2.62
-4.25
0.00
4.25
2.63
2.62
4.25
0.00
¿Qué frecuencias básicas
debemos analizar para
reconstruir la señal
en la ventana?
La frecuencia de muestreo

el doble

debe ser al menos
de la frecuencia máxima
que se requiere analizar.
La frecuencia de muestreo

el doble

debe ser al menos
de la frecuencia máxima
que se requiere analizar.

F s ≥2 F máx
la frecuencia máxima analizable

no puede ser mayor que la mitad
de la frecuencia de muestreo
la frecuencia máxima analizable

no puede ser mayor que la mitad
de la frecuencia de muestreo

Fs
F máx ≤
2
Así que, para
nuestro ejemplo...
20 Hz
F máx ⩽
⩽10 Hz
2
Por tanto,
los valores de “n”
y las frecuencias
a analizar serán:
n=0⇒ F 0=

0
20=0 Hz
10
0
20=0 Hz
10
1
n=1⇒ F 1= 20=2 Hz
10

n=0 ⇒ F 0 =
0
20=0 Hz
10
1
n=1⇒ F 1= 20=2 Hz
10
2
n=2⇒ F 2 = 20=4 Hz
10
n=0 ⇒ F 0 =
0
20=0 Hz
10
1
n=1⇒ F 1= 20=2 Hz
10
2
n=2⇒ F 2 = 20=4 Hz
10
3
n=3 ⇒ F 3 = 20=6 Hz
10
n=0 ⇒ F 0 =
0
20=0 Hz
10
1
n=1⇒ F 1= 20=2 Hz
10
2
n=2⇒ F 2 = 20=4 Hz
10
3
n=3⇒ F 3 = 20=6 Hz
10
4
n=4 ⇒ F 4 = 20=8 Hz
10
n=0 ⇒ F 0 =
0
20=0 Hz
10
1
n=1⇒ F 1 = 20=2 Hz
10
2
n=2⇒ F 2= 20=4 Hz
10
3
n=3 ⇒ F 3 = 20=6 Hz
10
4
n=4 ⇒ F 4 = 20=8 Hz
10
5
n=5⇒ F 5 = 20=10 Hz
10
n=0 ⇒ F 0=
¿Cuánto aporta n=0, sen(0t),
para formar la señal?
t
0
1
2
3
4
5
6
7
8
9
10
11
12
13
14
15
16
17
18
19
20

sen(0t)
0.0000
0.0000
0.0000
0.0000
0.0000
0.0000
0.0000
0.0000
0.0000
0.0000
0.0000
0.0000
0.0000
0.0000
0.0000
0.0000
0.0000
0.0000
0.0000
0.0000
0.0000

5
4
3
2
1
0
0

1

2

3

4

5

6

-1
-2
-3
-4
-5

El valor de sen(0t)
en los 21 instantes
de muestreo

7

8

9

10 11 12 13 14 15 16 17 18 19 20
t
0
1
2
3
4
5
6
7
8
9
10
11
12
13
14
15
16
17
18
19
20

sen(0t)
0.0000
0.0000
0.0000
0.0000
0.0000
0.0000
0.0000
0.0000
0.0000
0.0000
0.0000
0.0000
0.0000
0.0000
0.0000
0.0000
0.0000
0.0000
0.0000
0.0000
0.0000

m[t]
0.00
4.25
2.63
2.62
4.25
0.00
-4.25
-2.63
-2.62
-4.25
0.00
4.25
2.63
2.62
4.25
0.00
-4.25
-2.63
-2.62
-4.25
0.00

5
4
3
2
1
0
0

1

2

3

4

5

6

7

-1
-2
-3
-4
-5

El valor de las
21 muestras

8

9

10 11 12 13 14 15 16 17 18 19 20
t
0
1
2
3
4
5
6
7
8
9
10
11
12
13
14
15
16
17
18
19
20

sen(0t)
0.0000
0.0000
0.0000
0.0000
0.0000
0.0000
0.0000
0.0000
0.0000
0.0000
0.0000
0.0000
0.0000
0.0000
0.0000
0.0000
0.0000
0.0000
0.0000
0.0000
0.0000

m[t]
0.00
4.25
2.63
2.62
4.25
0.00
-4.25
-2.63
-2.62
-4.25
0.00
4.25
2.63
2.62
4.25
0.00
-4.25
-2.63
-2.62
-4.25
0.00

5
4
3
2
1
0
0

1

2

3

4

5

6

7

8

9

10 11 12 13 14 15 16 17 18 19 20

-1
-2
-3
-4
-5

¿Cómo podemos
comparar una señal
con la otra?
t
0
1
2
3
4
5
6
7
8
9
10
11
12
13
14
15
16
17
18
19
20

sen(0t)
0.0000
0.0000
0.0000
0.0000
0.0000
0.0000
0.0000
0.0000
0.0000
0.0000
0.0000
0.0000
0.0000
0.0000
0.0000
0.0000
0.0000
0.0000
0.0000
0.0000
0.0000

m[t] Producto
0.00
0.000
4.25
0.000
2.63
0.000
2.62
0.000
4.25
0.000
0.00
0.000
-4.25
0.000
-2.63
0.000
-2.62
0.000
-4.25
0.000
0.00
0.000
4.25
0.000
2.63
0.000
2.62
0.000
4.25
0.000
0.00
0.000
-4.25
0.000
-2.63
0.000
-2.62
0.000
-4.25
0.000
0.00
0.000

5
4
3
2
1
0
0

1

2

3

4

5

6

7

8

9

10 11 12 13 14 15 16 17 18 19 20

-1
-2
-3
-4
-5

¿Y si multiplicamos ambas?
El resultado nos dará
el área de un rectángulo
por cada muestra
t
0
1
2
3
4
5
6
7
8
9
10
11
12
13
14
15
16
17
18
19
20

sen(0t)
0.0000
0.0000
0.0000
0.0000
0.0000
0.0000
0.0000
0.0000
0.0000
0.0000
0.0000
0.0000
0.0000
0.0000
0.0000
0.0000
0.0000
0.0000
0.0000
0.0000
0.0000

m[t] Producto
0.00
0.000
4.25
0.000
2.63
0.000
2.62
0.000
4.25
0.000
0.00
0.000
-4.25
0.000
-2.63
0.000
-2.62
0.000
-4.25
0.000
0.00
0.000
4.25
0.000
2.63
0.000
2.62
0.000
4.25
0.000
0.00
0.000
-4.25
0.000
-2.63
0.000
-2.62
0.000
-4.25
0.000
0.00
0.000

1
0.8
0.6
0.4
0.2
0
0

1

2

3

4

5

6

7

8

9

10 11 12 13 14 15 16 17 18 19 20

-0.2
-0.4
-0.6
-0.8
-1

Si ambas se parecen,
las áreas de los
rectángulos
serán grandes.
Si no se parecen,
serán pequeñas.
t
0
1
2
3
4
5
6
7
8
9
10
11
12
13
14
15
16
17
18
19
20

sen(0t)
0.0000
0.0000
0.0000
0.0000
0.0000
0.0000
0.0000
0.0000
0.0000
0.0000
0.0000
0.0000
0.0000
0.0000
0.0000
0.0000
0.0000
0.0000
0.0000
0.0000
0.0000

m[t] Producto
0.00
0.000
4.25
0.000
2.63
0.000
2.62
0.000
4.25
0.000
0.00
0.000
-4.25
0.000
-2.63
0.000
-2.62
0.000
-4.25
0.000
0.00
0.000
4.25
0.000
2.63
0.000
2.62
0.000
4.25
0.000
0.00
0.000
-4.25
0.000
-2.63
0.000
-2.62
0.000
-4.25
0.000
0.00
0.000

1
0.8
0.6
0.4
0.2
0
0

1

2

3

4

5

6

7

8

9

10 11 12 13 14 15 16 17 18 19 20

-0.2
-0.4
-0.6
-0.8
-1

Como las señales
no se parecen, las
áreas de los rectángulos
son nulas.
t
0
1
2
3
4
5
6
7
8
9
10
11
12
13
14
15
16
17
18
19
20

sen(0t)
m[t] Producto
0.0000
0.00
0.000
0.0000
4.25
0.000
0.0000
2.63
0.000
0.0000
2.62
0.000
0.0000
4.25
0.000
0.0000
0.00
0.000
0.0000
-4.25
0.000
0.0000
-2.63
0.000
0.0000
-2.62
0.000
0.0000
-4.25
0.000
0.0000
0.00
0.000
0.0000
4.25
0.000
0.0000
2.63
0.000
0.0000
2.62
0.000
0.0000
4.25
0.000
0.0000
0.00
0.000
0.0000
-4.25
0.000
0.0000
-2.63
0.000
0.0000
-2.62
0.000
0.0000
-4.25
0.000
0.0000
0.00
0.000
Sumatoria:
0.000
Normalizada:
0.000

1
0.8
0.6
0.4
0.2
0
0

1

2

3

4

5

6

7

8

9

10 11 12 13 14 15 16 17 18 19 20

-0.2
-0.4
-0.6
-0.8
-1

La sumatoria de las
áreas de los
rectángulos equivale
a 0 unidades.
t
0
1
2
3
4
5
6
7
8
9
10
11
12
13
14
15
16
17
18
19
20

sen(0t)
m[t] Producto
0.0000
0.00
0.000
0.0000
4.25
0.000
0.0000
2.63
0.000
0.0000
2.62
0.000
0.0000
4.25
0.000
0.0000
0.00
0.000
0.0000
-4.25
0.000
0.0000
-2.63
0.000
0.0000
-2.62
0.000
0.0000
-4.25
0.000
0.0000
0.00
0.000
0.0000
4.25
0.000
0.0000
2.63
0.000
0.0000
2.62
0.000
0.0000
4.25
0.000
0.0000
0.00
0.000
0.0000
-4.25
0.000
0.0000
-2.63
0.000
0.0000
-2.62
0.000
0.0000
-4.25
0.000
0.0000
0.00
0.000
Sumatoria:
0.000
Normalizada:
0.000

1
0.8
0.6
0.4
0.2
0
0

1

2

3

4

5

6

7

8

9

10 11 12 13 14 15 16 17 18 19 20

-0.2
-0.4
-0.6
-0.8
-1

Luego sen(0t)

no aporta nada
a la señal original.
¿Cuánto aporta n=1, sen(2t),
para formar la señal?
t
0
1
2
3
4
5
6
7
8
9
10
11
12
13
14
15
16
17
18
19
20

sen(2t)
0.0000
0.5878
0.9511
0.9511
0.5878
0.0000
-0.5878
-0.9511
-0.9511
-0.5878
0.0000
0.5878
0.9511
0.9511
0.5878
0.0000
-0.5878
-0.9511
-0.9511
-0.5878
0.0000

5
4
3
2
1
0
0
-1
-2
-3
-4
-5

1

2

3

4

5

6

7

8

9

10 11 12 13 14 15 16 17 18 19 20
t
0
1
2
3
4
5
6
7
8
9
10
11
12
13
14
15
16
17
18
19
20

sen(2t)
0.0000
0.5878
0.9511
0.9511
0.5878
0.0000
-0.5878
-0.9511
-0.9511
-0.5878
0.0000
0.5878
0.9511
0.9511
0.5878
0.0000
-0.5878
-0.9511
-0.9511
-0.5878
0.0000

m[t]
0.00
4.25
2.63
2.62
4.25
0.00
-4.25
-2.63
-2.62
-4.25
0.00
4.25
2.63
2.62
4.25
0.00
-4.25
-2.63
-2.62
-4.25
0.00

5
4
3
2
1
0
0
-1
-2
-3
-4
-5

1

2

3

4

5

6

7

8

9

10 11 12 13 14 15 16 17 18 19 20
t
0
1
2
3
4
5
6
7
8
9
10
11
12
13
14
15
16
17
18
19
20

sen(2t)
0.0000
0.5878
0.9511
0.9511
0.5878
0.0000
-0.5878
-0.9511
-0.9511
-0.5878
0.0000
0.5878
0.9511
0.9511
0.5878
0.0000
-0.5878
-0.9511
-0.9511
-0.5878
0.0000

m[t] Producto
0.00
0.000
4.25
2.498
2.63
2.501
2.62
2.492
4.25
2.498
0.00
0.000
-4.25
2.498
-2.63
2.501
-2.62
2.492
-4.25
2.498
0.00
0.000
4.25
2.498
2.63
2.501
2.62
2.492
4.25
2.498
0.00
0.000
-4.25
2.498
-2.63
2.501
-2.62
2.492
-4.25
2.498
0.00
0.000

5
4
3
2
1
0
0
-1
-2
-3
-4
-5

1

2

3

4

5

6

7

8

9

10 11 12 13 14 15 16 17 18 19 20
t
0
1
2
3
4
5
6
7
8
9
10
11
12
13
14
15
16
17
18
19
20

sen(2t)
m[t] Producto
0.0000
0.00
0.000
0.5878
4.25
2.498
0.9511
2.63
2.501
0.9511
2.62
2.492
0.5878
4.25
2.498
0.0000
0.00
0.000
-0.5878
-4.25
2.498
-0.9511
-2.63
2.501
-0.9511
-2.62
2.492
-0.5878
-4.25
2.498
0.0000
0.00
0.000
0.5878
4.25
2.498
0.9511
2.63
2.501
0.9511
2.62
2.492
0.5878
4.25
2.498
0.0000
0.00
0.000
-0.5878
-4.25
2.498
-0.9511
-2.63
2.501
-0.9511
-2.62
2.492
-0.5878
-4.25
2.498
0.0000
0.00
0.000
Sumatoria:
39.957
Normalizada:
1.998

5
4
3
2
1
0
0

1

2

3

4

5

6

7

8

9

10 11 12 13 14 15 16 17 18 19 20

-1
-2
-3
-4
-5

La sumatoria de las áreas de
los rectángulos equivale a
casi 40 unidades.
Normalizada representa casi 2.
t
0
1
2
3
4
5
6
7
8
9
10
11
12
13
14
15
16
17
18
19
20

sen(2t)
m[t] Producto
0.0000
0.00
0.000
0.5878
4.25
2.498
0.9511
2.63
2.501
0.9511
2.62
2.492
0.5878
4.25
2.498
0.0000
0.00
0.000
-0.5878
-4.25
2.498
-0.9511
-2.63
2.501
-0.9511
-2.62
2.492
-0.5878
-4.25
2.498
0.0000
0.00
0.000
0.5878
4.25
2.498
0.9511
2.63
2.501
0.9511
2.62
2.492
0.5878
4.25
2.498
0.0000
0.00
0.000
-0.5878
-4.25
2.498
-0.9511
-2.63
2.501
-0.9511
-2.62
2.492
-0.5878
-4.25
2.498
0.0000
0.00
0.000
Sumatoria:
39.957
Normalizada:
1.998

5
4
3
2
1
0
0

1

2

3

4

5

6

7

8

9

10 11 12 13 14 15 16 17 18 19 20

-1
-2
-3
-4
-5

Luego sen(2t) aporta 2
a la señal original.
¿Cuánto aporta n=2, sen(4t),
para formar la señal?
t
0
1
2
3
4
5
6
7
8
9
10
11
12
13
14
15
16
17
18
19
20

sen(4t)
0.0000
0.9511
0.5878
-0.5878
-0.9511
0.0000
0.9511
0.5878
-0.5878
-0.9511
0.0000
0.9511
0.5878
-0.5878
-0.9511
0.0000
0.9511
0.5878
-0.5878
-0.9511
0.0000

5
4
3
2
1
0
0
-1
-2
-3
-4
-5

1

2

3

4

5

6

7

8

9

10 11 12 13 14 15 16 17 18 19 20
t
0
1
2
3
4
5
6
7
8
9
10
11
12
13
14
15
16
17
18
19
20

sen(4t)
0.0000
0.9511
0.5878
-0.5878
-0.9511
0.0000
0.9511
0.5878
-0.5878
-0.9511
0.0000
0.9511
0.5878
-0.5878
-0.9511
0.0000
0.9511
0.5878
-0.5878
-0.9511
0.0000

m[t]
0.00
4.25
2.63
2.62
4.25
0.00
-4.25
-2.63
-2.62
-4.25
0.00
4.25
2.63
2.62
4.25
0.00
-4.25
-2.63
-2.62
-4.25
0.00

5
4
3
2
1
0
0
-1
-2
-3
-4
-5

1

2

3

4

5

6

7

8

9

10 11 12 13 14 15 16 17 18 19 20
t
0
1
2
3
4
5
6
7
8
9
10
11
12
13
14
15
16
17
18
19
20

sen(4t)
0.0000
0.9511
0.5878
-0.5878
-0.9511
0.0000
0.9511
0.5878
-0.5878
-0.9511
0.0000
0.9511
0.5878
-0.5878
-0.9511
0.0000
0.9511
0.5878
-0.5878
-0.9511
0.0000

m[t] Producto
0.00
0.000
4.25
4.042
2.63
1.546
2.62
-1.540
4.25
-4.042
0.00
0.000
-4.25
-4.042
-2.63
-1.546
-2.62
1.540
-4.25
4.042
0.00
0.000
4.25
4.042
2.63
1.546
2.62
-1.540
4.25
-4.042
0.00
0.000
-4.25
-4.042
-2.63
-1.546
-2.62
1.540
-4.25
4.042
0.00
0.000

5
4
3
2
1
0
0
-1
-2
-3
-4
-5

1

2

3

4

5

6

7

8

9

10 11 12 13 14 15 16 17 18 19 20
t
0
1
2
3
4
5
6
7
8
9
10
11
12
13
14
15
16
17
18
19
20

sen(4t)
m[t] Producto
0.0000
0.00
0.000
0.9511
4.25
4.042
0.5878
2.63
1.546
-0.5878
2.62
-1.540
-0.9511
4.25
-4.042
0.0000
0.00
0.000
0.9511
-4.25
-4.042
0.5878
-2.63
-1.546
-0.5878
-2.62
1.540
-0.9511
-4.25
4.042
0.0000
0.00
0.000
0.9511
4.25
4.042
0.5878
2.63
1.546
-0.5878
2.62
-1.540
-0.9511
4.25
-4.042
0.0000
0.00
0.000
0.9511
-4.25
-4.042
0.5878
-2.63
-1.546
-0.5878
-2.62
1.540
-0.9511
-4.25
4.042
0.0000
0.00
0.000
Sumatoria:
0.000
Normalizada:
0.000

5
4
3
2
1
0
0

1

2

3

4

5

6

7

8

9

10 11 12 13 14 15 16 17 18 19 20

-1
-2
-3
-4
-5

La sumatoria de las áreas de
los rectángulos equivale a
0 unidades.
t
0
1
2
3
4
5
6
7
8
9
10
11
12
13
14
15
16
17
18
19
20

sen(4t)
m[t] Producto
0.0000
0.00
0.000
0.9511
4.25
4.042
0.5878
2.63
1.546
-0.5878
2.62
-1.540
-0.9511
4.25
-4.042
0.0000
0.00
0.000
0.9511
-4.25
-4.042
0.5878
-2.63
-1.546
-0.5878
-2.62
1.540
-0.9511
-4.25
4.042
0.0000
0.00
0.000
0.9511
4.25
4.042
0.5878
2.63
1.546
-0.5878
2.62
-1.540
-0.9511
4.25
-4.042
0.0000
0.00
0.000
0.9511
-4.25
-4.042
0.5878
-2.63
-1.546
-0.5878
-2.62
1.540
-0.9511
-4.25
4.042
0.0000
0.00
0.000
Sumatoria:
0.000
Normalizada:
0.000

5
4
3
2
1
0
0

1

2

3

4

5

6

7

8

9

10 11 12 13 14 15 16 17 18 19 20

-1
-2
-3
-4
-5

Luego sen(4t)

no aporta nada
a la señal original.
¿Cuánto aporta n=3, sen(6t),
para formar la señal?
t
0
1
2
3
4
5
6
7
8
9
10
11
12
13
14
15
16
17
18
19
20

sen(6t)
0.0000
0.9511
-0.5878
-0.5878
0.9511
0.0000
-0.9511
0.5878
0.5878
-0.9511
0.0000
0.9511
-0.5878
-0.5878
0.9511
0.0000
-0.9511
0.5878
0.5878
-0.9511
0.0000

5
4
3
2
1
0
0
-1
-2
-3
-4
-5

1

2

3

4

5

6

7

8

9

10 11 12 13 14 15 16 17 18 19 20
t
0
1
2
3
4
5
6
7
8
9
10
11
12
13
14
15
16
17
18
19
20

sen(6t)
0.0000
0.9511
-0.5878
-0.5878
0.9511
0.0000
-0.9511
0.5878
0.5878
-0.9511
0.0000
0.9511
-0.5878
-0.5878
0.9511
0.0000
-0.9511
0.5878
0.5878
-0.9511
0.0000

m[t]
0.00
4.25
2.63
2.62
4.25
0.00
-4.25
-2.63
-2.62
-4.25
0.00
4.25
2.63
2.62
4.25
0.00
-4.25
-2.63
-2.62
-4.25
0.00

5
4
3
2
1
0
0
-1
-2
-3
-4
-5

1

2

3

4

5

6

7

8

9

10 11 12 13 14 15 16 17 18 19 20
t
0
1
2
3
4
5
6
7
8
9
10
11
12
13
14
15
16
17
18
19
20

sen(6t)
0.0000
0.9511
-0.5878
-0.5878
0.9511
0.0000
-0.9511
0.5878
0.5878
-0.9511
0.0000
0.9511
-0.5878
-0.5878
0.9511
0.0000
-0.9511
0.5878
0.5878
-0.9511
0.0000

m[t] Producto
0.00
0.000
4.25
4.042
2.63
-1.546
2.62
-1.540
4.25
4.042
0.00
0.000
-4.25
4.042
-2.63
-1.546
-2.62
-1.540
-4.25
4.042
0.00
0.000
4.25
4.042
2.63
-1.546
2.62
-1.540
4.25
4.042
0.00
0.000
-4.25
4.042
-2.63
-1.546
-2.62
-1.540
-4.25
4.042
0.00
0.000

5
4
3
2
1
0
0
-1
-2
-3
-4
-5

1

2

3

4

5

6

7

8

9

10 11 12 13 14 15 16 17 18 19 20
t
0
1
2
3
4
5
6
7
8
9
10
11
12
13
14
15
16
17
18
19
20

sen(6t)
m[t] Producto
0.0000
0.00
0.000
0.9511
4.25
4.042
-0.5878
2.63
-1.546
-0.5878
2.62
-1.540
0.9511
4.25
4.042
0.0000
0.00
0.000
-0.9511
-4.25
4.042
0.5878
-2.63
-1.546
0.5878
-2.62
-1.540
-0.9511
-4.25
4.042
0.0000
0.00
0.000
0.9511
4.25
4.042
-0.5878
2.63
-1.546
-0.5878
2.62
-1.540
0.9511
4.25
4.042
0.0000
0.00
0.000
-0.9511
-4.25
4.042
0.5878
-2.63
-1.546
0.5878
-2.62
-1.540
-0.9511
-4.25
4.042
0.0000
0.00
0.000
Sumatoria:
19.992
Normalizada:
1.000

5
4
3
2
1
0
0

1

2

3

4

5

6

7

8

9

10 11 12 13 14 15 16 17 18 19 20

-1
-2
-3
-4
-5

La sumatoria de las áreas de
los rectángulos equivale a
casi 20 unidades.
Normalizada representa casi 1.
t
0
1
2
3
4
5
6
7
8
9
10
11
12
13
14
15
16
17
18
19
20

sen(6t)
m[t] Producto
0.0000
0.00
0.000
0.9511
4.25
4.042
-0.5878
2.63
-1.546
-0.5878
2.62
-1.540
0.9511
4.25
4.042
0.0000
0.00
0.000
-0.9511
-4.25
4.042
0.5878
-2.63
-1.546
0.5878
-2.62
-1.540
-0.9511
-4.25
4.042
0.0000
0.00
0.000
0.9511
4.25
4.042
-0.5878
2.63
-1.546
-0.5878
2.62
-1.540
0.9511
4.25
4.042
0.0000
0.00
0.000
-0.9511
-4.25
4.042
0.5878
-2.63
-1.546
0.5878
-2.62
-1.540
-0.9511
-4.25
4.042
0.0000
0.00
0.000
Sumatoria:
19.992
Normalizada:
1.000

5
4
3
2
1
0
0

1

2

3

4

5

6

7

8

9

10 11 12 13 14 15 16 17 18 19 20

-1
-2
-3
-4
-5

Luego sen(6t) aporta 1
a la señal original.
¿Cuánto aporta n=4, sen(8t),
para formar la señal?
t
0
1
2
3
4
5
6
7
8
9
10
11
12
13
14
15
16
17
18
19
20

sen(8t)
0.0000
0.5878
-0.9511
0.9511
-0.5878
0.0000
0.5878
-0.9511
0.9511
-0.5878
0.0000
0.5878
-0.9511
0.9511
-0.5878
0.0000
0.5878
-0.9511
0.9511
-0.5878
0.0000

5
4
3
2
1
0
0
-1
-2
-3
-4
-5

1

2

3

4

5

6

7

8

9

10 11 12 13 14 15 16 17 18 19 20
t
0
1
2
3
4
5
6
7
8
9
10
11
12
13
14
15
16
17
18
19
20

sen(8t)
0.0000
0.5878
-0.9511
0.9511
-0.5878
0.0000
0.5878
-0.9511
0.9511
-0.5878
0.0000
0.5878
-0.9511
0.9511
-0.5878
0.0000
0.5878
-0.9511
0.9511
-0.5878
0.0000

m[t]
0.00
4.25
2.63
2.62
4.25
0.00
-4.25
-2.63
-2.62
-4.25
0.00
4.25
2.63
2.62
4.25
0.00
-4.25
-2.63
-2.62
-4.25
0.00

5
4
3
2
1
0
0
-1
-2
-3
-4
-5

1

2

3

4

5

6

7

8

9

10 11 12 13 14 15 16 17 18 19 20
t
0
1
2
3
4
5
6
7
8
9
10
11
12
13
14
15
16
17
18
19
20

sen(8t)
0.0000
0.5878
-0.9511
0.9511
-0.5878
0.0000
0.5878
-0.9511
0.9511
-0.5878
0.0000
0.5878
-0.9511
0.9511
-0.5878
0.0000
0.5878
-0.9511
0.9511
-0.5878
0.0000

m[t] Producto
0.00
0.000
4.25
2.498
2.63
-2.501
2.62
2.492
4.25
-2.498
0.00
0.000
-4.25
-2.498
-2.63
2.501
-2.62
-2.492
-4.25
2.498
0.00
0.000
4.25
2.498
2.63
-2.501
2.62
2.492
4.25
-2.498
0.00
0.000
-4.25
-2.498
-2.63
2.501
-2.62
-2.492
-4.25
2.498
0.00
0.000

5
4
3
2
1
0
0
-1
-2
-3
-4
-5

1

2

3

4

5

6

7

8

9

10 11 12 13 14 15 16 17 18 19 20
t
0
1
2
3
4
5
6
7
8
9
10
11
12
13
14
15
16
17
18
19
20

sen(8t)
m[t] Producto
0.0000
0.00
0.000
0.5878
4.25
2.498
-0.9511
2.63
-2.501
0.9511
2.62
2.492
-0.5878
4.25
-2.498
0.0000
0.00
0.000
0.5878
-4.25
-2.498
-0.9511
-2.63
2.501
0.9511
-2.62
-2.492
-0.5878
-4.25
2.498
0.0000
0.00
0.000
0.5878
4.25
2.498
-0.9511
2.63
-2.501
0.9511
2.62
2.492
-0.5878
4.25
-2.498
0.0000
0.00
0.000
0.5878
-4.25
-2.498
-0.9511
-2.63
2.501
0.9511
-2.62
-2.492
-0.5878
-4.25
2.498
0.0000
0.00
0.000
Sumatoria:
0.000
Normalizada:
0.000

5
4
3
2
1
0
0

1

2

3

4

5

6

7

8

9

10 11 12 13 14 15 16 17 18 19 20

-1
-2
-3
-4
-5

La sumatoria de las áreas de
los rectángulos equivale a
0 unidades.
t
0
1
2
3
4
5
6
7
8
9
10
11
12
13
14
15
16
17
18
19
20

sen(8t)
m[t] Producto
0.0000
0.00
0.000
0.5878
4.25
2.498
-0.9511
2.63
-2.501
0.9511
2.62
2.492
-0.5878
4.25
-2.498
0.0000
0.00
0.000
0.5878
-4.25
-2.498
-0.9511
-2.63
2.501
0.9511
-2.62
-2.492
-0.5878
-4.25
2.498
0.0000
0.00
0.000
0.5878
4.25
2.498
-0.9511
2.63
-2.501
0.9511
2.62
2.492
-0.5878
4.25
-2.498
0.0000
0.00
0.000
0.5878
-4.25
-2.498
-0.9511
-2.63
2.501
0.9511
-2.62
-2.492
-0.5878
-4.25
2.498
0.0000
0.00
0.000
Sumatoria:
0.000
Normalizada:
0.000

5
4
3
2
1
0
0

1

2

3

4

5

6

7

8

9

10 11 12 13 14 15 16 17 18 19 20

-1
-2
-3
-4
-5

Luego sen(8t)

no aporta nada
a la señal original.
¿Cuánto aporta n=5, sen(10t),
para formar la señal?
t
0
1
2
3
4
5
6
7
8
9
10
11
12
13
14
15
16
17
18
19
20

sen(10t)
0.0000
0.0000
0.0000
0.0000
0.0000
0.0000
0.0000
0.0000
0.0000
0.0000
0.0000
0.0000
0.0000
0.0000
0.0000
0.0000
0.0000
0.0000
0.0000
0.0000
0.0000

5
4
3
2
1
0
0
-1
-2
-3
-4
-5

1

2

3

4

5

6

7

8

9

10 11 12 13 14 15 16 17 18 19 20
t
0
1
2
3
4
5
6
7
8
9
10
11
12
13
14
15
16
17
18
19
20

sen(10t)
0.0000
0.0000
0.0000
0.0000
0.0000
0.0000
0.0000
0.0000
0.0000
0.0000
0.0000
0.0000
0.0000
0.0000
0.0000
0.0000
0.0000
0.0000
0.0000
0.0000
0.0000

m[t]
0.00
4.25
2.63
2.62
4.25
0.00
-4.25
-2.63
-2.62
-4.25
0.00
4.25
2.63
2.62
4.25
0.00
-4.25
-2.63
-2.62
-4.25
0.00

5
4
3
2
1
0
0
-1
-2
-3
-4
-5

1

2

3

4

5

6

7

8

9

10 11 12 13 14 15 16 17 18 19 20
t
0
1
2
3
4
5
6
7
8
9
10
11
12
13
14
15
16
17
18
19
20

sen(10t)
0.0000
0.0000
0.0000
0.0000
0.0000
0.0000
0.0000
0.0000
0.0000
0.0000
0.0000
0.0000
0.0000
0.0000
0.0000
0.0000
0.0000
0.0000
0.0000
0.0000
0.0000

m[t] Producto
0.00
0.000
4.25
0.000
2.63
0.000
2.62
0.000
4.25
0.000
0.00
0.000
-4.25
0.000
-2.63
0.000
-2.62
0.000
-4.25
0.000
0.00
0.000
4.25
0.000
2.63
0.000
2.62
0.000
4.25
0.000
0.00
0.000
-4.25
0.000
-2.63
0.000
-2.62
0.000
-4.25
0.000
0.00
0.000

5
4
3
2
1
0
0
-1
-2
-3
-4
-5

1

2

3

4

5

6

7

8

9

10 11 12 13 14 15 16 17 18 19 20
t
0
1
2
3
4
5
6
7
8
9
10
11
12
13
14
15
16
17
18
19
20

sen(10t)
m[t] Producto
0.0000
0.00
0.000
0.0000
4.25
0.000
0.0000
2.63
0.000
0.0000
2.62
0.000
0.0000
4.25
0.000
0.0000
0.00
0.000
0.0000
-4.25
0.000
0.0000
-2.63
0.000
0.0000
-2.62
0.000
0.0000
-4.25
0.000
0.0000
0.00
0.000
0.0000
4.25
0.000
0.0000
2.63
0.000
0.0000
2.62
0.000
0.0000
4.25
0.000
0.0000
0.00
0.000
0.0000
-4.25
0.000
0.0000
-2.63
0.000
0.0000
-2.62
0.000
0.0000
-4.25
0.000
0.0000
0.00
0.000
Sumatoria:
0.000
Normalizada:
0.000

5
4
3
2
1
0
0

1

2

3

4

5

6

7

8

9

10 11 12 13 14 15 16 17 18 19 20

-1
-2
-3
-4
-5

La sumatoria de las áreas de
los rectángulos equivale a
0 unidades.
t
0
1
2
3
4
5
6
7
8
9
10
11
12
13
14
15
16
17
18
19
20

sen(10t)
m[t] Producto
0.0000
0.00
0.000
0.0000
4.25
0.000
0.0000
2.63
0.000
0.0000
2.62
0.000
0.0000
4.25
0.000
0.0000
0.00
0.000
0.0000
-4.25
0.000
0.0000
-2.63
0.000
0.0000
-2.62
0.000
0.0000
-4.25
0.000
0.0000
0.00
0.000
0.0000
4.25
0.000
0.0000
2.63
0.000
0.0000
2.62
0.000
0.0000
4.25
0.000
0.0000
0.00
0.000
0.0000
-4.25
0.000
0.0000
-2.63
0.000
0.0000
-2.62
0.000
0.0000
-4.25
0.000
0.0000
0.00
0.000
Sumatoria:
0.000
Normalizada:
0.000

5
4
3
2
1
0
0

1

2

3

4

5

6

7

8

9

10 11 12 13 14 15 16 17 18 19 20

-1
-2
-3
-4
-5

Luego sen(10t)

no aporta nada
a la señal original.
¡Son demasiados cálculos!
Se necesita crear un
método abreviado
que requiera
menos esfuerzo.
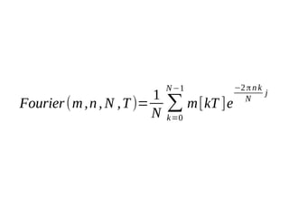
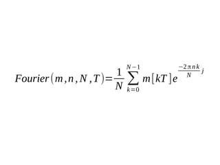
1
Fourier (m , n , N , T )=
N

N −1

∑ m [kT ]e
k=0

−2 π n k
j
N
1
Fourier (m , n , N , T )=
N
La Transformada
de Fourier...

N −1

∑ m [kT ]e
k=0

−2 π n k
j
N
1
Fourier (m , n , N , T )=
N
-2.63 -2.62 -2.63 -4.25 0.00 4.25 2.63 2.62 4.25 0.00

N −1

∑ m [kT ]e
k=0

...de una ventana “m”
de muestras...

−2 π n k
j
N
1
Fourier (m , n , N , T )=
N
n=1
2 Hz

N −1

∑ m [kT ]e
k=0

...para la “n” de la
frecuencia cuyo aporte
se quiere conocer...

−2 π n k
j
N
1
Fourier (m , n , N , T )=
N
10 muestras

-2.63 -2.62 -2.63 -4.25 0.00 4.25 2.63 2.62 4.25 0.00

N −1

∑ m [kT ]e

−2 π n k
j
N

k=0

...con un tamaño
de ventana de
“N” muestras...
1
Fourier (m , n , N , T )=
N
...y cuyo periodo de
muestreo fue “T”...

1/Fs

N −1

∑ m [kT ]e
k=0

−2 π n k
j
N
1
Fourier (m , n , N , T )=
N

...se calcula como...

N −1

∑ m [kT ]e
k=0

−2 π n k
j
N
1
Fourier (m , n , N , T )=
N

N −1

∑ m [kT ]e
k=0

−2 π n k
j
N
1
Fourier (m , n , N , T )=
N

N −1

∑ m [kT ]e
k=0

−2 π n k
j
N
1
Fourier (m , n , N , T )=
N

N −1

∑ m [kT ]e
k=0

−2 π n k
j
N
1
Fourier (m , n , N , T )=
N

N −1

∑ m [kT ]e
k=0

−2 π n k
j
N
1
Fourier (m , n , N , T )=
N

N −1

∑ m [kT ]e
k=0

−2 π n k
j
N
1
Fourier (m , n , N , T )=
N

N −1

∑ m [kT ]e
k=0

−2 π n k
j
N
¡Difícil de entender!
?
1
Fourier (m , n , N , T )=
N

N −1

∑ m [kT ]e
k=0

−2 π n k
j
N
?
1
Fourier (m , n , N , T )=
N

N −1

∑ m [kT ]e
k=0

−2 π n k
j
N
Para facilitar el cálculo...
aplicando mi
célebre fórmula...
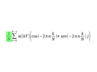
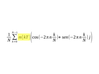
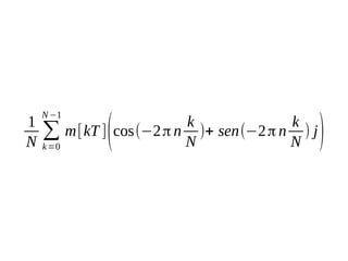
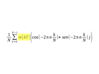
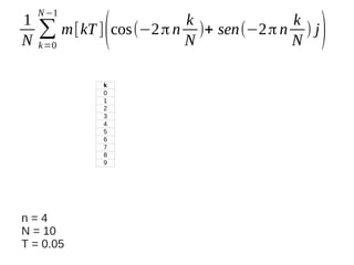
e xj =cos( x)+ sen( x) j
e xj =cos( x)+ sen( x) j
e xj =cos( x)+ sen( x) j
e xj =cos( x)+ sen( x) j

mi Transformada
queda como...
1
N

N −1

∑
k =0

k
k
m[kT ] cos(−2 π n )+ sen(−2 π n ) j
N
N

(

)
1
N

N −1

∑
k =0

k
k
m[kT ] cos(−2 π n )+ sen(−2 π n ) j
N
N

(

)
1
N

N −1

∑
k =0

k
k
m[kT ] cos(−2 π n )+ sen(−2 π n ) j
N
N

(

)
1
N

N −1

∑
k =0

k
k
m[kT ] cos(−2 π n )+ sen(−2 π n ) j
N
N

(

)
1
N

N −1

∑
k =0

k
k
m[kT ] cos(−2 π n )+ sen(−2 π n ) j
N
N

(

)
1
N

N −1

∑
k =0

k
k
m[kT ] cos(−2 π n )+ sen(−2 π n ) j
N
N

(

)
1
N

N −1

∑
k =0

k
k
m[kT ] cos(−2 π n )+ sen(−2 π n ) j
N
N

(

)
Valor
0.00
4.25
2.63
2.62
4.25
0.00
-4.25
-2.63
-2.62
-4.25
0.00
4.25
2.63
2.62
4.25
0.00
-4.25
-2.63

5
4
3
2
1
Intensidad

Muestra
0
1
2
3
4
5
6
7
8
9
10
11
12
13
14
15
16
17

0
0

1

2

3

4

5

6

7

8

9

10

-1
-2
-3
-4
-5
# de muestra

de operar sobre
todo el conjunto de datos,
elegiremos una ventana
de tamaño “N”
En vez

“m”

11

12

13

14

15

16

17
Ventana
de análisis
N = 10 muestras
Valor
0.00
4.25
2.63
2.62
4.25
0.00
-4.25
-2.63
-2.62
-4.25
0.00
4.25
2.63
2.62
4.25
0.00
-4.25
-2.63

m[0..9]

5
4
3
2
1
Intensidad

Muestra
0
1
2
3
4
5
6
7
8
9
10
11
12
13
14
15
16
17

0
0

1

2

3

4

5

6

7

8

9

-1
-2
-3
-4
-5
# de muestra

10

11

12

13

14

15

16

17
Valor
0.00
4.25
2.63
2.62
4.25
0.00
-4.25
-2.63
-2.62
-4.25
0.00
4.25
2.63
2.62
4.25
0.00
-4.25
-2.63

5
4
3
2
1
Intensidad

Muestra
0
1
2
3
4
5
6
7
8
9
10
11
12
13
14
15
16
17

0
0

1

2

3

4

5

6

7

8

9

-1
-2
-3
-4
-5
# de muestra

la ventana
se recorre a
m[1..10]

10

11

12

13

14

15

16

17
Valor
0.00
4.25
2.63
2.62
4.25
0.00
-4.25
-2.63
-2.62
-4.25
0.00
4.25
2.63
2.62
4.25
0.00
-4.25
-2.63

5
4
3
2
1
Intensidad

Muestra
0
1
2
3
4
5
6
7
8
9
10
11
12
13
14
15
16
17

0
0

1

2

3

4

5

6

7

8

9

-1
-2
-3
-4
-5
# de muestra

m[2..11]

10

11

12

13

14

15

16

17
Valor
0.00
4.25
2.63
2.62
4.25
0.00
-4.25
-2.63
-2.62
-4.25
0.00
4.25
2.63
2.62
4.25
0.00
-4.25
-2.63

5
4
3
2
1
Intensidad

Muestra
0
1
2
3
4
5
6
7
8
9
10
11
12
13
14
15
16
17

0
0

1

2

3

4

5

6

7

8

9

-1
-2
-3
-4
-5
# de muestra

m[3..12]

10

11

12

13

14

15

16

17
Valor
0.00
4.25
2.63
2.62
4.25
0.00
-4.25
-2.63
-2.62
-4.25
0.00
4.25
2.63
2.62
4.25
0.00
-4.25
-2.63

5
4
3
2
1
Intensidad

Muestra
0
1
2
3
4
5
6
7
8
9
10
11
12
13
14
15
16
17

0
0

1

2

3

4

5

6

7

8

9

-1
-2
-3
-4
-5
# de muestra

m[4..13]

10

11

12

13

14

15

16

17
Valor
0.00
4.25
2.63
2.62
4.25
0.00
-4.25
-2.63
-2.62
-4.25
0.00
4.25
2.63
2.62
4.25
0.00
-4.25
-2.63

5
4
3
2
1
Intensidad

Muestra
0
1
2
3
4
5
6
7
8
9
10
11
12
13
14
15
16
17

0
0

1

2

3

4

5

6

7

8

9

-1
-2
-3
-4
-5
# de muestra

m[5..14]

10

11

12

13

14

15

16

17
Valor
0.00
4.25
2.63
2.62
4.25
0.00
-4.25
-2.63
-2.62
-4.25
0.00
4.25
2.63
2.62
4.25
0.00
-4.25
-2.63

5
4
3
2
1
Intensidad

Muestra
0
1
2
3
4
5
6
7
8
9
10
11
12
13
14
15
16
17

0
0

1

2

3

4

5

6

7

8

9

10

-1
-2
-3
-4
-5
# de muestra

m[6..15]

11

12

13

14

15

16

17
Valor
0.00
4.25
2.63
2.62
4.25
0.00
-4.25
-2.63
-2.62
-4.25
0.00
4.25
2.63
2.62
4.25
0.00
-4.25
-2.63

5
4
3
2
1
Intensidad

Muestra
0
1
2
3
4
5
6
7
8
9
10
11
12
13
14
15
16
17

0
0

1

2

3

4

5

6

7

8

9

10

11

12

13

14

15

16

17

-1
-2
-3
-4
-5
# de muestra

usaremos ésta
como ejemplo:
m[7..16]
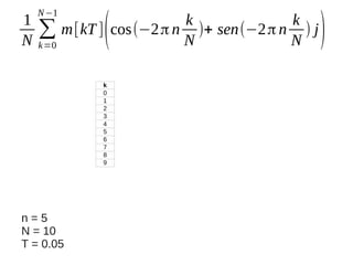
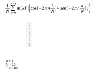
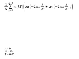
¿Cuánto aporta n=0, sen(0t),
para formar la señal en la ventana?
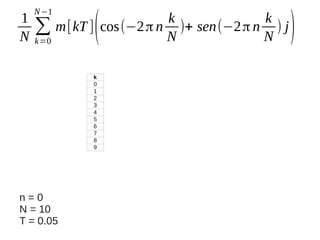
1
N

N −1

k
k
∑ m[kT ] cos(−2 π n N )+ sen(−2 π n N ) j
k =0

n=0
N = 10
T = 0.05

(

)
1
N

N −1

k
k
∑ m[kT ] cos(−2 π n N )+ sen(−2 π n N ) j
k =0

(

k
0
1
2
3
4
5
6
7
8
9

n=0
N = 10
T = 0.05

)
1
N

N −1

k
k
∑ m[kT ] cos(−2 π n N )+ sen(−2 π n N ) j
k =0

(

k
0
1
2
3
4
5
6
7
8
9

n=0
N = 10
T = 0.05

sen(-2πnk/N)
0.0000
0.0000
0.0000
0.0000
0.0000
0.0000
0.0000
0.0000
0.0000
0.0000

)
1
N

N −1

k
k
∑ m[kT ] cos(−2 π n N )+ sen(−2 π n N ) j
k =0

(

k
0
1
2
3
4
5
6
7
8
9

n=0
N = 10
T = 0.05

cos(-2πnk/N)
1.0000
1.0000
1.0000
1.0000
1.0000
1.0000
1.0000
1.0000
1.0000
1.0000

sen(-2πnk/N)
0.0000
0.0000
0.0000
0.0000
0.0000
0.0000
0.0000
0.0000
0.0000
0.0000

)
1
N

N −1

k
k
∑ m[kT ] cos(−2 π n N )+ sen(−2 π n N ) j
k =0

(

k
0
1
2
3
4
5
6
7
8
9

n=0
N = 10
T = 0.05

m[kT] cos(-2πnk/N)
-2.63
1.0000
-2.62
1.0000
-4.25
1.0000
0.00
1.0000
4.25
1.0000
2.63
1.0000
2.62
1.0000
4.25
1.0000
0.00
1.0000
-4.25
1.0000

sen(-2πnk/N)
0.0000
0.0000
0.0000
0.0000
0.0000
0.0000
0.0000
0.0000
0.0000
0.0000

)
1
N

N −1

k
k
∑ m[kT ] cos(−2 π n N )+ sen(−2 π n N ) j
k =0

(

k
0
1
2
3
4
5
6
7
8
9

n=0
N = 10
T = 0.05

m[kT] cos(-2πnk/N) m[kT]*cos(...) sen(-2πnk/N) m[kT]*sen(...)
-2.63
1.0000
-2.6300
0.0000
0.0000
-2.62
1.0000
-2.6200
0.0000
0.0000
-4.25
1.0000
-4.2500
0.0000
0.0000
0.00
1.0000
0.0000
0.0000
0.0000
4.25
1.0000
4.2500
0.0000
0.0000
2.63
1.0000
2.6300
0.0000
0.0000
2.62
1.0000
2.6200
0.0000
0.0000
4.25
1.0000
4.2500
0.0000
0.0000
0.00
1.0000
0.0000
0.0000
0.0000
-4.25
1.0000
-4.2500
0.0000
0.0000

)
1
N

N −1

k
k
∑ m[kT ] cos(−2 π n N )+ sen(−2 π n N ) j
k =0

(

k
0
1
2
3
4
5
6
7
8
9

n=0
N = 10
T = 0.05

m[kT] cos(-2πnk/N) m[kT]*cos(...) sen(-2πnk/N) m[kT]*sen(...)
-2.63
1.0000
-2.6300
0.0000
0.0000
-2.62
1.0000
-2.6200
0.0000
0.0000
-4.25
1.0000
-4.2500
0.0000
0.0000
0.00
1.0000
0.0000
0.0000
0.0000
4.25
1.0000
4.2500
0.0000
0.0000
2.63
1.0000
2.6300
0.0000
0.0000
2.62
1.0000
2.6200
0.0000
0.0000
4.25
1.0000
4.2500
0.0000
0.0000
0.00
1.0000
0.0000
0.0000
0.0000
-4.25
1.0000
-4.2500
0.0000
0.0000
Suma:
0.0000
0.0000

)
1
N

N −1

k
k
∑ m[kT ] cos(−2 π n N )+ sen(−2 π n N ) j
k =0

(

k
0
1
2
3
4
5
6
7
8
9

m[kT] cos(-2πnk/N) m[kT]*cos(...) sen(-2πnk/N) m[kT]*sen(...)
-2.63
1.0000
-2.6300
0.0000
0.0000
-2.62
1.0000
-2.6200
0.0000
0.0000
-4.25
1.0000
-4.2500
0.0000
0.0000
0.00
1.0000
0.0000
0.0000
0.0000
4.25
1.0000
4.2500
0.0000
0.0000
2.63
1.0000
2.6300
0.0000
0.0000
2.62
1.0000
2.6200
0.0000
0.0000
4.25
1.0000
4.2500
0.0000
0.0000
0.00
1.0000
0.0000
0.0000
0.0000
-4.25
1.0000
-4.2500
0.0000
0.0000
Suma:
0.0000
0.0000

√ 0 + 0 =0
2

n=0
N = 10
T = 0.05

2

)
1
N

N −1

k
k
∑ m[kT ] cos(−2 π n N )+ sen(−2 π n N ) j
k =0

(

k
0
1
2
3
4
5
6
7
8
9

m[kT] cos(-2πnk/N) m[kT]*cos(...) sen(-2πnk/N) m[kT]*sen(...)
-2.63
1.0000
-2.6300
0.0000
0.0000
-2.62
1.0000
-2.6200
0.0000
0.0000
-4.25
1.0000
-4.2500
0.0000
0.0000
0.00
1.0000
0.0000
0.0000
0.0000
4.25
1.0000
4.2500
0.0000
0.0000
2.63
1.0000
2.6300
0.0000
0.0000
2.62
1.0000
2.6200
0.0000
0.0000
4.25
1.0000
4.2500
0.0000
0.0000
0.00
1.0000
0.0000
0.0000
0.0000
-4.25
1.0000
-4.2500
0.0000
0.0000
Suma:
0.0000
0.0000

√ 0 + 0 =0
2

n=0
N = 10
T = 0.05

2

1
. 0=0
10

)
1
N

N −1

k
k
∑ m[kT ] cos(−2 π n N )+ sen(−2 π n N ) j
k =0

(

k
0
1
2
3
4
5
6
7
8
9

m[kT] cos(-2πnk/N) m[kT]*cos(...) sen(-2πnk/N) m[kT]*sen(...)
-2.63
1.0000
-2.6300
0.0000
0.0000
-2.62
1.0000
-2.6200
0.0000
0.0000
-4.25
1.0000
-4.2500
0.0000
0.0000
0.00
1.0000
0.0000
0.0000
0.0000
4.25
1.0000
4.2500
0.0000
0.0000
2.63
1.0000
2.6300
0.0000
0.0000
2.62
1.0000
2.6200
0.0000
0.0000
4.25
1.0000
4.2500
0.0000
0.0000
0.00
1.0000
0.0000
0.0000
0.0000
-4.25
1.0000
-4.2500
0.0000
0.0000
Suma:
0.0000
0.0000

√ 0 + 0 =0
2

n=0
N = 10
T = 0.05

)

2

1
. 0=0
10

la señal sen(0t)
aportó 0 de amplitud
a la señal analizada
¿Cuánto aporta n=1, sen(2t),
para formar la señal en la ventana?
1
N

N −1

k
k
∑ m[kT ] cos(−2 π n N )+ sen(−2 π n N ) j
k =0

(

k
0
1
2
3
4
5
6
7
8
9

n=1
N = 10
T = 0.05

)
1
N

N −1

k
k
∑ m[kT ] cos(−2 π n N )+ sen(−2 π n N ) j
k =0

(

k
0
1
2
3
4
5
6
7
8
9

n=1
N = 10
T = 0.05

sen(-2πnk/N)
0.0000
-0.5878
-0.9511
-0.9511
-0.5878
0.0000
0.5878
0.9511
0.9511
0.5878

)
1
N

N −1

k
k
∑ m[kT ] cos(−2 π n N )+ sen(−2 π n N ) j
k =0

(

k
0
1
2
3
4
5
6
7
8
9

n=1
N = 10
T = 0.05

cos(-2πnk/N)
1.0000
0.8090
0.3090
-0.3090
-0.8090
-1.0000
-0.8090
-0.3090
0.3090
0.8090

sen(-2πnk/N)
0.0000
-0.5878
-0.9511
-0.9511
-0.5878
0.0000
0.5878
0.9511
0.9511
0.5878

)
1
N

N −1

k
k
∑ m[kT ] cos(−2 π n N )+ sen(−2 π n N ) j
k =0

(

k
0
1
2
3
4
5
6
7
8
9

n=1
N = 10
T = 0.05

m[kT] cos(-2πnk/N)
-2.63
1.0000
-2.62
0.8090
-4.25
0.3090
0.00
-0.3090
4.25
-0.8090
2.63
-1.0000
2.62
-0.8090
4.25
-0.3090
0.00
0.3090
-4.25
0.8090

sen(-2πnk/N)
0.0000
-0.5878
-0.9511
-0.9511
-0.5878
0.0000
0.5878
0.9511
0.9511
0.5878

)
1
N

N −1

k
k
∑ m[kT ] cos(−2 π n N )+ sen(−2 π n N ) j
k =0

(

k
0
1
2
3
4
5
6
7
8
9

n=1
N = 10
T = 0.05

m[kT] cos(-2πnk/N) m[kT]*cos(...) sen(-2πnk/N) m[kT]*sen(...)
-2.63
1.0000
-2.6300
0.0000
0.0000
-2.62
0.8090
-2.1196
-0.5878
1.5400
-4.25
0.3090
-1.3133
-0.9511
4.0420
0.00
-0.3090
0.0000
-0.9511
0.0000
4.25
-0.8090
-3.4383
-0.5878
-2.4981
2.63
-1.0000
-2.6300
0.0000
0.0000
2.62
-0.8090
-2.1196
0.5878
1.5400
4.25
-0.3090
-1.3133
0.9511
4.0420
0.00
0.3090
0.0000
0.9511
0.0000
-4.25
0.8090
-3.4383
0.5878
-2.4981

)
1
N

N −1

k
k
∑ m[kT ] cos(−2 π n N )+ sen(−2 π n N ) j
k =0

(

k
0
1
2
3
4
5
6
7
8
9

n=1
N = 10
T = 0.05

m[kT] cos(-2πnk/N) m[kT]*cos(...) sen(-2πnk/N) m[kT]*sen(...)
-2.63
1.0000
-2.6300
0.0000
0.0000
-2.62
0.8090
-2.1196
-0.5878
1.5400
-4.25
0.3090
-1.3133
-0.9511
4.0420
0.00
-0.3090
0.0000
-0.9511
0.0000
4.25
-0.8090
-3.4383
-0.5878
-2.4981
2.63
-1.0000
-2.6300
0.0000
0.0000
2.62
-0.8090
-2.1196
0.5878
1.5400
4.25
-0.3090
-1.3133
0.9511
4.0420
0.00
0.3090
0.0000
0.9511
0.0000
-4.25
0.8090
-3.4383
0.5878
-2.4981
Suma:
-19.0025
6.1678

)
1
N

N −1

k
k
∑ m[kT ] cos(−2 π n N )+ sen(−2 π n N ) j
k =0

(

k
0
1
2
3
4
5
6
7
8
9

m[kT] cos(-2πnk/N) m[kT]*cos(...) sen(-2πnk/N) m[kT]*sen(...)
-2.63
1.0000
-2.6300
0.0000
0.0000
-2.62
0.8090
-2.1196
-0.5878
1.5400
-4.25
0.3090
-1.3133
-0.9511
4.0420
0.00
-0.3090
0.0000
-0.9511
0.0000
4.25
-0.8090
-3.4383
-0.5878
-2.4981
2.63
-1.0000
-2.6300
0.0000
0.0000
2.62
-0.8090
-2.1196
0.5878
1.5400
4.25
-0.3090
-1.3133
0.9511
4.0420
0.00
0.3090
0.0000
0.9511
0.0000
-4.25
0.8090
-3.4383
0.5878
-2.4981
Suma:
-19.0025
6.1678

√−19.0025 + 6.1678 ≈20
2

n=1
N = 10
T = 0.05

2

)
1
N

N −1

k
k
∑ m[kT ] cos(−2 π n N )+ sen(−2 π n N ) j
k =0

(

k
0
1
2
3
4
5
6
7
8
9

m[kT] cos(-2πnk/N) m[kT]*cos(...) sen(-2πnk/N) m[kT]*sen(...)
-2.63
1.0000
-2.6300
0.0000
0.0000
-2.62
0.8090
-2.1196
-0.5878
1.5400
-4.25
0.3090
-1.3133
-0.9511
4.0420
0.00
-0.3090
0.0000
-0.9511
0.0000
4.25
-0.8090
-3.4383
-0.5878
-2.4981
2.63
-1.0000
-2.6300
0.0000
0.0000
2.62
-0.8090
-2.1196
0.5878
1.5400
4.25
-0.3090
-1.3133
0.9511
4.0420
0.00
0.3090
0.0000
0.9511
0.0000
-4.25
0.8090
-3.4383
0.5878
-2.4981
Suma:
-19.0025
6.1678

√−19.0025 + 6.1678 ≈20
2

n=1
N = 10
T = 0.05

1
. 20=2
10

2

)
1
N

N −1

k
k
∑ m[kT ] cos(−2 π n N )+ sen(−2 π n N ) j
k =0

(

k
0
1
2
3
4
5
6
7
8
9

m[kT] cos(-2πnk/N) m[kT]*cos(...) sen(-2πnk/N) m[kT]*sen(...)
-2.63
1.0000
-2.6300
0.0000
0.0000
-2.62
0.8090
-2.1196
-0.5878
1.5400
-4.25
0.3090
-1.3133
-0.9511
4.0420
0.00
-0.3090
0.0000
-0.9511
0.0000
4.25
-0.8090
-3.4383
-0.5878
-2.4981
2.63
-1.0000
-2.6300
0.0000
0.0000
2.62
-0.8090
-2.1196
0.5878
1.5400
4.25
-0.3090
-1.3133
0.9511
4.0420
0.00
0.3090
0.0000
0.9511
0.0000
-4.25
0.8090
-3.4383
0.5878
-2.4981
Suma:
-19.0025
6.1678

√−19.0025 + 6.1678 ≈20
2

n=1
N = 10
T = 0.05

)

1
. 20=2
10

2

la señal sen(2t)
aportó 2 de amplitud
a la señal analizada
¿Cuánto aporta n=2, sen(4t),
para formar la señal en la ventana?
1
N

N −1

k
k
∑ m[kT ] cos(−2 π n N )+ sen(−2 π n N ) j
k =0

(

k
0
1
2
3
4
5
6
7
8
9

n=2
N = 10
T = 0.05

)
1
N

N −1

k
k
∑ m[kT ] cos(−2 π n N )+ sen(−2 π n N ) j
k =0

(

k
0
1
2
3
4
5
6
7
8
9

n=2
N = 10
T = 0.05

sen(-2πnk/N)
0.0000
-0.9511
-0.5878
0.5878
0.9511
0.0000
-0.9511
-0.5878
0.5878
0.9511

)
1
N

N −1

k
k
∑ m[kT ] cos(−2 π n N )+ sen(−2 π n N ) j
k =0

(

k
0
1
2
3
4
5
6
7
8
9

n=2
N = 10
T = 0.05

cos(-2πnk/N)
1.0000
0.3090
-0.8090
-0.8090
0.3090
1.0000
0.3090
-0.8090
-0.8090
0.3090

sen(-2πnk/N)
0.0000
-0.9511
-0.5878
0.5878
0.9511
0.0000
-0.9511
-0.5878
0.5878
0.9511

)
1
N

N −1

k
k
∑ m[kT ] cos(−2 π n N )+ sen(−2 π n N ) j
k =0

(

k
0
1
2
3
4
5
6
7
8
9

n=2
N = 10
T = 0.05

m[kT] cos(-2πnk/N)
-2.63
1.0000
-2.62
0.3090
-4.25
-0.8090
0.00
-0.8090
4.25
0.3090
2.63
1.0000
2.62
0.3090
4.25
-0.8090
0.00
-0.8090
-4.25
0.3090

sen(-2πnk/N)
0.0000
-0.9511
-0.5878
0.5878
0.9511
0.0000
-0.9511
-0.5878
0.5878
0.9511

)
1
N

N −1

k
k
∑ m[kT ] cos(−2 π n N )+ sen(−2 π n N ) j
k =0

(

k
0
1
2
3
4
5
6
7
8
9

n=2
N = 10
T = 0.05

m[kT] cos(-2πnk/N) m[kT]*cos(...) sen(-2πnk/N) m[kT]*sen(...)
-2.63
1.0000
-2.6300
0.0000
0.0000
-2.62
0.3090
-0.8096
-0.9511
2.4918
-4.25
-0.8090
3.4383
-0.5878
2.4981
0.00
-0.8090
0.0000
0.5878
0.0000
4.25
0.3090
1.3133
0.9511
4.0420
2.63
1.0000
2.6300
0.0000
0.0000
2.62
0.3090
0.8096
-0.9511
-2.4918
4.25
-0.8090
-3.4383
-0.5878
-2.4981
0.00
-0.8090
0.0000
0.5878
0.0000
-4.25
0.3090
-1.3133
0.9511
-4.0420

)
1
N

N −1

k
k
∑ m[kT ] cos(−2 π n N )+ sen(−2 π n N ) j
k =0

(

k
0
1
2
3
4
5
6
7
8
9

n=2
N = 10
T = 0.05

m[kT] cos(-2πnk/N) m[kT]*cos(...) sen(-2πnk/N) m[kT]*sen(...)
-2.63
1.0000
-2.6300
0.0000
0.0000
-2.62
0.3090
-0.8096
-0.9511
2.4918
-4.25
-0.8090
3.4383
-0.5878
2.4981
0.00
-0.8090
0.0000
0.5878
0.0000
4.25
0.3090
1.3133
0.9511
4.0420
2.63
1.0000
2.6300
0.0000
0.0000
2.62
0.3090
0.8096
-0.9511
-2.4918
4.25
-0.8090
-3.4383
-0.5878
-2.4981
0.00
-0.8090
0.0000
0.5878
0.0000
-4.25
0.3090
-1.3133
0.9511
-4.0420
Suma:
0.0000
0.0000

)
1
N

N −1

k
k
∑ m[kT ] cos(−2 π n N )+ sen(−2 π n N ) j
k =0

(

k
0
1
2
3
4
5
6
7
8
9

m[kT] cos(-2πnk/N) m[kT]*cos(...) sen(-2πnk/N) m[kT]*sen(...)
-2.63
1.0000
-2.6300
0.0000
0.0000
-2.62
0.3090
-0.8096
-0.9511
2.4918
-4.25
-0.8090
3.4383
-0.5878
2.4981
0.00
-0.8090
0.0000
0.5878
0.0000
4.25
0.3090
1.3133
0.9511
4.0420
2.63
1.0000
2.6300
0.0000
0.0000
2.62
0.3090
0.8096
-0.9511
-2.4918
4.25
-0.8090
-3.4383
-0.5878
-2.4981
0.00
-0.8090
0.0000
0.5878
0.0000
-4.25
0.3090
-1.3133
0.9511
-4.0420
Suma:
0.0000
0.0000

√ 0 + 0 =0
2

n=2
N = 10
T = 0.05

2

)
1
N

N −1

k
k
∑ m[kT ] cos(−2 π n N )+ sen(−2 π n N ) j
k =0

(

k
0
1
2
3
4
5
6
7
8
9

m[kT] cos(-2πnk/N) m[kT]*cos(...) sen(-2πnk/N) m[kT]*sen(...)
-2.63
1.0000
-2.6300
0.0000
0.0000
-2.62
0.3090
-0.8096
-0.9511
2.4918
-4.25
-0.8090
3.4383
-0.5878
2.4981
0.00
-0.8090
0.0000
0.5878
0.0000
4.25
0.3090
1.3133
0.9511
4.0420
2.63
1.0000
2.6300
0.0000
0.0000
2.62
0.3090
0.8096
-0.9511
-2.4918
4.25
-0.8090
-3.4383
-0.5878
-2.4981
0.00
-0.8090
0.0000
0.5878
0.0000
-4.25
0.3090
-1.3133
0.9511
-4.0420
Suma:
0.0000
0.0000

√ 0 + 0 =0
2

n=2
N = 10
T = 0.05

2

1
. 0=0
10

)
1
N

N −1

k
k
∑ m[kT ] cos(−2 π n N )+ sen(−2 π n N ) j
k =0

(

k
0
1
2
3
4
5
6
7
8
9

m[kT] cos(-2πnk/N) m[kT]*cos(...) sen(-2πnk/N) m[kT]*sen(...)
-2.63
1.0000
-2.6300
0.0000
0.0000
-2.62
0.3090
-0.8096
-0.9511
2.4918
-4.25
-0.8090
3.4383
-0.5878
2.4981
0.00
-0.8090
0.0000
0.5878
0.0000
4.25
0.3090
1.3133
0.9511
4.0420
2.63
1.0000
2.6300
0.0000
0.0000
2.62
0.3090
0.8096
-0.9511
-2.4918
4.25
-0.8090
-3.4383
-0.5878
-2.4981
0.00
-0.8090
0.0000
0.5878
0.0000
-4.25
0.3090
-1.3133
0.9511
-4.0420
Suma:
0.0000
0.0000

√ 0 + 0 =0
2

n=2
N = 10
T = 0.05

)

2

1
. 0=0
10

la señal sen(4t)
aportó 0 de amplitud
a la señal analizada
¿Cuánto aporta n=3, sen(6t),
para formar la señal en la ventana?
1
N

N −1

k
k
∑ m[kT ] cos(−2 π n N )+ sen(−2 π n N ) j
k =0

(

k
0
1
2
3
4
5
6
7
8
9

n=3
N = 10
T = 0.05

)
1
N

N −1

k
k
∑ m[kT ] cos(−2 π n N )+ sen(−2 π n N ) j
k =0

(

k
0
1
2
3
4
5
6
7
8
9

n=3
N = 10
T = 0.05

sen(-2πnk/N)
0.0000
-0.9511
0.5878
0.5878
-0.9511
0.0000
0.9511
-0.5878
-0.5878
0.9511

)
1
N

N −1

k
k
∑ m[kT ] cos(−2 π n N )+ sen(−2 π n N ) j
k =0

(

k
0
1
2
3
4
5
6
7
8
9

n=3
N = 10
T = 0.05

cos(-2πnk/N)
1.0000
-0.3090
-0.8090
0.8090
0.3090
-1.0000
0.3090
0.8090
-0.8090
-0.3090

sen(-2πnk/N)
0.0000
-0.9511
0.5878
0.5878
-0.9511
0.0000
0.9511
-0.5878
-0.5878
0.9511

)
1
N

N −1

k
k
∑ m[kT ] cos(−2 π n N )+ sen(−2 π n N ) j
k =0

(

k
0
1
2
3
4
5
6
7
8
9

n=3
N = 10
T = 0.05

m[kT] cos(-2πnk/N)
-2.63
1.0000
-2.62
-0.3090
-4.25
-0.8090
0.00
0.8090
4.25
0.3090
2.63
-1.0000
2.62
0.3090
4.25
0.8090
0.00
-0.8090
-4.25
-0.3090

sen(-2πnk/N)
0.0000
-0.9511
0.5878
0.5878
-0.9511
0.0000
0.9511
-0.5878
-0.5878
0.9511

)
1
N

N −1

k
k
∑ m[kT ] cos(−2 π n N )+ sen(−2 π n N ) j
k =0

(

k
0
1
2
3
4
5
6
7
8
9

n=3
N = 10
T = 0.05

m[kT] cos(-2πnk/N) m[kT]*cos(...) sen(-2πnk/N) m[kT]*sen(...)
-2.63
1.0000
-2.6300
0.0000
0.0000
-2.62
-0.3090
0.8096
-0.9511
2.4918
-4.25
-0.8090
3.4383
0.5878
-2.4981
0.00
0.8090
0.0000
0.5878
0.0000
4.25
0.3090
1.3133
-0.9511
-4.0420
2.63
-1.0000
-2.6300
0.0000
0.0000
2.62
0.3090
0.8096
0.9511
2.4918
4.25
0.8090
3.4383
-0.5878
-2.4981
0.00
-0.8090
0.0000
-0.5878
0.0000
-4.25
-0.3090
1.3133
0.9511
-4.0420

)
1
N

N −1

k
k
∑ m[kT ] cos(−2 π n N )+ sen(−2 π n N ) j
k =0

(

k
0
1
2
3
4
5
6
7
8
9

n=3
N = 10
T = 0.05

m[kT] cos(-2πnk/N) m[kT]*cos(...) sen(-2πnk/N) m[kT]*sen(...)
-2.63
1.0000
-2.6300
0.0000
0.0000
-2.62
-0.3090
0.8096
-0.9511
2.4918
-4.25
-0.8090
3.4383
0.5878
-2.4981
0.00
0.8090
0.0000
0.5878
0.0000
4.25
0.3090
1.3133
-0.9511
-4.0420
2.63
-1.0000
-2.6300
0.0000
0.0000
2.62
0.3090
0.8096
0.9511
2.4918
4.25
0.8090
3.4383
-0.5878
-2.4981
0.00
-0.8090
0.0000
-0.5878
0.0000
-4.25
-0.3090
1.3133
0.9511
-4.0420
Suma:
5.8625
-8.0966

)
1
N

N −1

k
k
∑ m[kT ] cos(−2 π n N )+ sen(−2 π n N ) j
k =0

(

k
0
1
2
3
4
5
6
7
8
9

m[kT] cos(-2πnk/N) m[kT]*cos(...) sen(-2πnk/N) m[kT]*sen(...)
-2.63
1.0000
-2.6300
0.0000
0.0000
-2.62
-0.3090
0.8096
-0.9511
2.4918
-4.25
-0.8090
3.4383
0.5878
-2.4981
0.00
0.8090
0.0000
0.5878
0.0000
4.25
0.3090
1.3133
-0.9511
-4.0420
2.63
-1.0000
-2.6300
0.0000
0.0000
2.62
0.3090
0.8096
0.9511
2.4918
4.25
0.8090
3.4383
-0.5878
-2.4981
0.00
-0.8090
0.0000
-0.5878
0.0000
-4.25
-0.3090
1.3133
0.9511
-4.0420
Suma:
5.8625
-8.0966

√ 5.8625 + (−8.0966) ≈10
2

n=3
N = 10
T = 0.05

2

)
1
N

N −1

k
k
∑ m[kT ] cos(−2 π n N )+ sen(−2 π n N ) j
k =0

(

k
0
1
2
3
4
5
6
7
8
9

m[kT] cos(-2πnk/N) m[kT]*cos(...) sen(-2πnk/N) m[kT]*sen(...)
-2.63
1.0000
-2.6300
0.0000
0.0000
-2.62
-0.3090
0.8096
-0.9511
2.4918
-4.25
-0.8090
3.4383
0.5878
-2.4981
0.00
0.8090
0.0000
0.5878
0.0000
4.25
0.3090
1.3133
-0.9511
-4.0420
2.63
-1.0000
-2.6300
0.0000
0.0000
2.62
0.3090
0.8096
0.9511
2.4918
4.25
0.8090
3.4383
-0.5878
-2.4981
0.00
-0.8090
0.0000
-0.5878
0.0000
-4.25
-0.3090
1.3133
0.9511
-4.0420
Suma:
5.8625
-8.0966

√ 5.8625 + (−8.0966) ≈10
2

n=3
N = 10
T = 0.05

1
.10=1
10

2

)
1
N

N −1

k
k
∑ m[kT ] cos(−2 π n N )+ sen(−2 π n N ) j
k =0

(

k
0
1
2
3
4
5
6
7
8
9

m[kT] cos(-2πnk/N) m[kT]*cos(...) sen(-2πnk/N) m[kT]*sen(...)
-2.63
1.0000
-2.6300
0.0000
0.0000
-2.62
-0.3090
0.8096
-0.9511
2.4918
-4.25
-0.8090
3.4383
0.5878
-2.4981
0.00
0.8090
0.0000
0.5878
0.0000
4.25
0.3090
1.3133
-0.9511
-4.0420
2.63
-1.0000
-2.6300
0.0000
0.0000
2.62
0.3090
0.8096
0.9511
2.4918
4.25
0.8090
3.4383
-0.5878
-2.4981
0.00
-0.8090
0.0000
-0.5878
0.0000
-4.25
-0.3090
1.3133
0.9511
-4.0420
Suma:
5.8625
-8.0966

√ 5.8625 + (−8.0966) ≈10
2

n=3
N = 10
T = 0.05

)

1
.10=1
10

2

la señal sen(6t)
aportó 1 de amplitud
a la señal analizada
¿Cuánto aporta n=4, sen(8t),
para formar la señal en la ventana?
1
N

N −1

k
k
∑ m[kT ] cos(−2 π n N )+ sen(−2 π n N ) j
k =0

(

k
0
1
2
3
4
5
6
7
8
9

n=4
N = 10
T = 0.05

)
1
N

N −1

k
k
∑ m[kT ] cos(−2 π n N )+ sen(−2 π n N ) j
k =0

(

k
0
1
2
3
4
5
6
7
8
9

n=4
N = 10
T = 0.05

sen(-2πnk/N)
0.0000
-0.5878
0.9511
-0.9511
0.5878
0.0000
-0.5878
0.9511
-0.9511
0.5878

)
1
N

N −1

k
k
∑ m[kT ] cos(−2 π n N )+ sen(−2 π n N ) j
k =0

(

k
0
1
2
3
4
5
6
7
8
9

n=4
N = 10
T = 0.05

cos(-2πnk/N)
1.0000
-0.8090
0.3090
0.3090
-0.8090
1.0000
-0.8090
0.3090
0.3090
-0.8090

sen(-2πnk/N)
0.0000
-0.5878
0.9511
-0.9511
0.5878
0.0000
-0.5878
0.9511
-0.9511
0.5878

)
1
N

N −1

k
k
∑ m[kT ] cos(−2 π n N )+ sen(−2 π n N ) j
k =0

(

k
0
1
2
3
4
5
6
7
8
9

n=4
N = 10
T = 0.05

m[kT] cos(-2πnk/N)
-2.63
1.0000
-2.62
-0.8090
-4.25
0.3090
0.00
0.3090
4.25
-0.8090
2.63
1.0000
2.62
-0.8090
4.25
0.3090
0.00
0.3090
-4.25
-0.8090

sen(-2πnk/N)
0.0000
-0.5878
0.9511
-0.9511
0.5878
0.0000
-0.5878
0.9511
-0.9511
0.5878

)
1
N

N −1

k
k
∑ m[kT ] cos(−2 π n N )+ sen(−2 π n N ) j
k =0

(

k
0
1
2
3
4
5
6
7
8
9

n=4
N = 10
T = 0.05

m[kT] cos(-2πnk/N) m[kT]*cos(...) sen(-2πnk/N) m[kT]*sen(...)
-2.63
1.0000
-2.6300
0.0000
0.0000
-2.62
-0.8090
2.1196
-0.5878
1.5400
-4.25
0.3090
-1.3133
0.9511
-4.0420
0.00
0.3090
0.0000
-0.9511
0.0000
4.25
-0.8090
-3.4383
0.5878
2.4981
2.63
1.0000
2.6300
0.0000
0.0000
2.62
-0.8090
-2.1196
-0.5878
-1.5400
4.25
0.3090
1.3133
0.9511
4.0420
0.00
0.3090
0.0000
-0.9511
0.0000
-4.25
-0.8090
3.4383
0.5878
-2.4981

)
1
N

N −1

k
k
∑ m[kT ] cos(−2 π n N )+ sen(−2 π n N ) j
k =0

(

k
0
1
2
3
4
5
6
7
8
9

n=4
N = 10
T = 0.05

m[kT] cos(-2πnk/N) m[kT]*cos(...) sen(-2πnk/N) m[kT]*sen(...)
-2.63
1.0000
-2.6300
0.0000
0.0000
-2.62
-0.8090
2.1196
-0.5878
1.5400
-4.25
0.3090
-1.3133
0.9511
-4.0420
0.00
0.3090
0.0000
-0.9511
0.0000
4.25
-0.8090
-3.4383
0.5878
2.4981
2.63
1.0000
2.6300
0.0000
0.0000
2.62
-0.8090
-2.1196
-0.5878
-1.5400
4.25
0.3090
1.3133
0.9511
4.0420
0.00
0.3090
0.0000
-0.9511
0.0000
-4.25
-0.8090
3.4383
0.5878
-2.4981
Suma:
0.0000
0.0000

)
1
N

N −1

k
k
∑ m[kT ] cos(−2 π n N )+ sen(−2 π n N ) j
k =0

(

k
0
1
2
3
4
5
6
7
8
9

m[kT] cos(-2πnk/N) m[kT]*cos(...) sen(-2πnk/N) m[kT]*sen(...)
-2.63
1.0000
-2.6300
0.0000
0.0000
-2.62
-0.8090
2.1196
-0.5878
1.5400
-4.25
0.3090
-1.3133
0.9511
-4.0420
0.00
0.3090
0.0000
-0.9511
0.0000
4.25
-0.8090
-3.4383
0.5878
2.4981
2.63
1.0000
2.6300
0.0000
0.0000
2.62
-0.8090
-2.1196
-0.5878
-1.5400
4.25
0.3090
1.3133
0.9511
4.0420
0.00
0.3090
0.0000
-0.9511
0.0000
-4.25
-0.8090
3.4383
0.5878
-2.4981
Suma:
0.0000
0.0000

√ 0 + 0 =0
2

n=4
N = 10
T = 0.05

2

)
1
N

N −1

k
k
∑ m[kT ] cos(−2 π n N )+ sen(−2 π n N ) j
k =0

(

k
0
1
2
3
4
5
6
7
8
9

m[kT] cos(-2πnk/N) m[kT]*cos(...) sen(-2πnk/N) m[kT]*sen(...)
-2.63
1.0000
-2.6300
0.0000
0.0000
-2.62
-0.8090
2.1196
-0.5878
1.5400
-4.25
0.3090
-1.3133
0.9511
-4.0420
0.00
0.3090
0.0000
-0.9511
0.0000
4.25
-0.8090
-3.4383
0.5878
2.4981
2.63
1.0000
2.6300
0.0000
0.0000
2.62
-0.8090
-2.1196
-0.5878
-1.5400
4.25
0.3090
1.3133
0.9511
4.0420
0.00
0.3090
0.0000
-0.9511
0.0000
-4.25
-0.8090
3.4383
0.5878
-2.4981
Suma:
0.0000
0.0000

√ 0 + 0 =0
2

n=4
N = 10
T = 0.05

2

1
. 0=0
10

)
1
N

N −1

k
k
∑ m[kT ] cos(−2 π n N )+ sen(−2 π n N ) j
k =0

(

k
0
1
2
3
4
5
6
7
8
9

m[kT] cos(-2πnk/N) m[kT]*cos(...) sen(-2πnk/N) m[kT]*sen(...)
-2.63
1.0000
-2.6300
0.0000
0.0000
-2.62
-0.8090
2.1196
-0.5878
1.5400
-4.25
0.3090
-1.3133
0.9511
-4.0420
0.00
0.3090
0.0000
-0.9511
0.0000
4.25
-0.8090
-3.4383
0.5878
2.4981
2.63
1.0000
2.6300
0.0000
0.0000
2.62
-0.8090
-2.1196
-0.5878
-1.5400
4.25
0.3090
1.3133
0.9511
4.0420
0.00
0.3090
0.0000
-0.9511
0.0000
-4.25
-0.8090
3.4383
0.5878
-2.4981
Suma:
0.0000
0.0000

√ 0 + 0 =0
2

n=4
N = 10
T = 0.05

)

2

1
. 0=0
10

la señal sen(8t)
aportó 0 de amplitud
a la señal analizada
¿Cuánto aporta n=5, sen(10t),
para formar la señal en la ventana?
1
N

N −1

k
k
∑ m[kT ] cos(−2 π n N )+ sen(−2 π n N ) j
k =0

(

k
0
1
2
3
4
5
6
7
8
9

n=5
N = 10
T = 0.05

)
1
N

N −1

k
k
∑ m[kT ] cos(−2 π n N )+ sen(−2 π n N ) j
k =0

(

k
0
1
2
3
4
5
6
7
8
9

n=5
N = 10
T = 0.05

sen(-2πnk/N)
0.0000
0.0000
0.0000
0.0000
0.0000
0.0000
0.0000
0.0000
0.0000
0.0000

)
1
N

N −1

k
k
∑ m[kT ] cos(−2 π n N )+ sen(−2 π n N ) j
k =0

(

k
0
1
2
3
4
5
6
7
8
9

n=5
N = 10
T = 0.05

cos(-2πnk/N)
1.0000
-1.0000
1.0000
-1.0000
1.0000
-1.0000
1.0000
-1.0000
1.0000
-1.0000

sen(-2πnk/N)
0.0000
0.0000
0.0000
0.0000
0.0000
0.0000
0.0000
0.0000
0.0000
0.0000

)
1
N

N −1

k
k
∑ m[kT ] cos(−2 π n N )+ sen(−2 π n N ) j
k =0

(

k
0
1
2
3
4
5
6
7
8
9

n=5
N = 10
T = 0.05

m[kT] cos(-2πnk/N)
-2.63
1.0000
-2.62
-1.0000
-4.25
1.0000
0.00
-1.0000
4.25
1.0000
2.63
-1.0000
2.62
1.0000
4.25
-1.0000
0.00
1.0000
-4.25
-1.0000

sen(-2πnk/N)
0.0000
0.0000
0.0000
0.0000
0.0000
0.0000
0.0000
0.0000
0.0000
0.0000

)
1
N

N −1

k
k
∑ m[kT ] cos(−2 π n N )+ sen(−2 π n N ) j
k =0

(

k
0
1
2
3
4
5
6
7
8
9

n=5
N = 10
T = 0.05

m[kT] cos(-2πnk/N) m[kT]*cos(...) sen(-2πnk/N) m[kT]*sen(...)
-2.63
1.0000
-2.6300
0.0000
0.0000
-2.62
-1.0000
2.6200
0.0000
0.0000
-4.25
1.0000
-4.2500
0.0000
0.0000
0.00
-1.0000
0.0000
0.0000
0.0000
4.25
1.0000
4.2500
0.0000
0.0000
2.63
-1.0000
-2.6300
0.0000
0.0000
2.62
1.0000
2.6200
0.0000
0.0000
4.25
-1.0000
-4.2500
0.0000
0.0000
0.00
1.0000
0.0000
0.0000
0.0000
-4.25
-1.0000
4.2500
0.0000
0.0000

)
1
N

N −1

k
k
∑ m[kT ] cos(−2 π n N )+ sen(−2 π n N ) j
k =0

(

k
0
1
2
3
4
5
6
7
8
9

n=5
N = 10
T = 0.05

m[kT] cos(-2πnk/N) m[kT]*cos(...) sen(-2πnk/N) m[kT]*sen(...)
-2.63
1.0000
-2.6300
0.0000
0.0000
-2.62
-1.0000
2.6200
0.0000
0.0000
-4.25
1.0000
-4.2500
0.0000
0.0000
0.00
-1.0000
0.0000
0.0000
0.0000
4.25
1.0000
4.2500
0.0000
0.0000
2.63
-1.0000
-2.6300
0.0000
0.0000
2.62
1.0000
2.6200
0.0000
0.0000
4.25
-1.0000
-4.2500
0.0000
0.0000
0.00
1.0000
0.0000
0.0000
0.0000
-4.25
-1.0000
4.2500
0.0000
0.0000
Suma:
-0.0200
0.0000

)
1
N

N −1

k
k
∑ m[kT ] cos(−2 π n N )+ sen(−2 π n N ) j
k =0

(

k
0
1
2
3
4
5
6
7
8
9

m[kT] cos(-2πnk/N) m[kT]*cos(...) sen(-2πnk/N) m[kT]*sen(...)
-2.63
1.0000
-2.6300
0.0000
0.0000
-2.62
-1.0000
2.6200
0.0000
0.0000
-4.25
1.0000
-4.2500
0.0000
0.0000
0.00
-1.0000
0.0000
0.0000
0.0000
4.25
1.0000
4.2500
0.0000
0.0000
2.63
-1.0000
-2.6300
0.0000
0.0000
2.62
1.0000
2.6200
0.0000
0.0000
4.25
-1.0000
-4.2500
0.0000
0.0000
0.00
1.0000
0.0000
0.0000
0.0000
-4.25
-1.0000
4.2500
0.0000
0.0000
Suma:
-0.0200
0.0000

√−0.0200 + 0.0000 ≈0
2

n=5
N = 10
T = 0.05

2

)
1
N

N −1

k
k
∑ m[kT ] cos(−2 π n N )+ sen(−2 π n N ) j
k =0

(

k
0
1
2
3
4
5
6
7
8
9

m[kT] cos(-2πnk/N) m[kT]*cos(...) sen(-2πnk/N) m[kT]*sen(...)
-2.63
1.0000
-2.6300
0.0000
0.0000
-2.62
-1.0000
2.6200
0.0000
0.0000
-4.25
1.0000
-4.2500
0.0000
0.0000
0.00
-1.0000
0.0000
0.0000
0.0000
4.25
1.0000
4.2500
0.0000
0.0000
2.63
-1.0000
-2.6300
0.0000
0.0000
2.62
1.0000
2.6200
0.0000
0.0000
4.25
-1.0000
-4.2500
0.0000
0.0000
0.00
1.0000
0.0000
0.0000
0.0000
-4.25
-1.0000
4.2500
0.0000
0.0000
Suma:
-0.0200
0.0000

√−0.0200 + 0.0000 ≈0
2

n=5
N = 10
T = 0.05

1
. 0=0
10

2

)
1
N

N −1

k
k
∑ m[kT ] cos(−2 π n N )+ sen(−2 π n N ) j
k =0

(

k
0
1
2
3
4
5
6
7
8
9

m[kT] cos(-2πnk/N) m[kT]*cos(...) sen(-2πnk/N) m[kT]*sen(...)
-2.63
1.0000
-2.6300
0.0000
0.0000
-2.62
-1.0000
2.6200
0.0000
0.0000
-4.25
1.0000
-4.2500
0.0000
0.0000
0.00
-1.0000
0.0000
0.0000
0.0000
4.25
1.0000
4.2500
0.0000
0.0000
2.63
-1.0000
-2.6300
0.0000
0.0000
2.62
1.0000
2.6200
0.0000
0.0000
4.25
-1.0000
-4.2500
0.0000
0.0000
0.00
1.0000
0.0000
0.0000
0.0000
-4.25
-1.0000
4.2500
0.0000
0.0000
Suma:
-0.0200
0.0000

√−0.0200 + 0.0000 ≈0
2

n=5
N = 10
T = 0.05

)

1
. 0=0
10

2

la señal sen(10t)
aportó 0 de amplitud
a la señal analizada
Reuniendo todas las componentes
podemos expresar analíticamente que...
5.00
4.00
3.00
2.00
1.00
0.00
-1.00

0

1

2

3

4

5

6

7

8

9

10

11

12

13

14

15

16

17

-2.00
-3.00
-4.00
-5.00

Señal (t )=2.sen(2t)+ 1.sen (6t )
Si representamos los resultados
en un Ecualizador Gráfico...
y = 2*sen(2t)
y = 1*sen(6t)
Pero, ¿cómo y por qué
funciona la Transformada de Fourier?
1
Fourier (m , n , N , T )=
N

N −1

∑ m [kT ]e
k=0

−2 π n k
j
N

Cómo funciona la Transformada de Fourier