CHAPTER 5:
DISCRETE FOURIER TRANSFORM
(DFT)
Lecture 9: DFT and Inverse DFT
Lecture 10: Fast Fourier Transform (FFT)
Duration: 4 hrs
Lecture 9
DFT and Inverse DFT
 Duration: 2 hrs
 Outline:
1. Review of DTFT of DT periodic signals
2. DFT and Inverse DFT
3. Frequency resolution
4. DFT properties
Procedure to calculate DTFT of
periodic signals
Step 1:
Start with x0(n) – one period of x(n), with zero everywhere else
Step 2:
Find the DTFT X0(Ω) of the signal x0[n] above
Step 3:
Find X0(Ω) at N equally spacing frequency points X0(k2π/N)
Step 4:
Obtain the DTFT of x(n):  



k N
k
N
k
X
N
X )
2
(
)
2
(
2
)
( 0




Example of calculating DTFT of
periodic signals











  3
3
0
0
0 2
1
)
(
)
( j
j
n
n
j
e
e
e
n
x
X
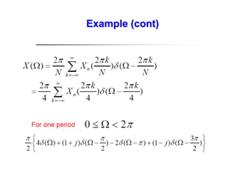
k = 0  X0(0) = 4; k = 1  X0(1) = 1+j
k = 2  X0(2) = -2; k = 3  X0(3) = 1-j
0 1 2 3
Example (cont)
Lecture 9
DFT and Inverse DFT
 Duration: 2 hrs
 Outline:
1. Review of DTFT of DT periodic signals
2. DFT and Inverse DFT
3. Frequency resolution
4. Applications
DFT to the rescue!
 Both CTFT and DTFT produce continuous function of
frequency  can’t calculate an infinite continuum of
frequencies using a computer
 Most real-world data is not in the simple form such as
anu(n)
DFT can be used as a FT approximation that can calculate a
finite set of discrete-frequency spectrum values from a
finite set of discrete-time samples of an analog signal
Could we calculate the frequency spectrum of a signal
using a digital computer with CTFT/DTFT?
Building the DFT formula
“Window” x(n) is like multiplying
the signal by the finite length
rectangular window
Discrete time
signal x(n)
Continuous time
signal x(t)
Discrete time
signal x0(n)
Finite length
sample
window
Building the DFT formula (cont)
DTFT














1
0
0
0
0 ]
[
]
[
)
(
N
n
n
j
n
n
j
e
n
x
e
n
x
X
Discrete time
signal x(n)
Continuous time
signal x(t)
Discrete time
signal x0(n)
Finite length
sample
window
Building the DFT formula (cont)
Discrete time
signal x(n)
Discrete time
signal x0(n)
Finite length
sample
window
DTFT
Sample
at N
values
around
the unit
circle
Discrete Fourier Transform DFT X(k)
Discrete + periodic with period N
X0(Ω)
Continuous + periodic
with period 2π
N = 8
Continuous time
signal x(t)
DFT and inverse DFT formulas
N
2
j
N e
W



Notation:
You only have to store N points
k = 0  X(k) = X(0) = N
k ≠ 0  X(k) = 0
Ex.1. Find the DFT of x(n) = 1, n = 0, 1, 2, …, (N-1)
Examples of calculation DFT and IDFT
Ex.2. Given y(n) = δ(n-2) and N = 8, find Y(k)
Examples of calculation DFT and IDFT
Ex.3. Find the IDFT of X(k) = 1, k = 0, 1, …, 7.
Examples of calculation DFT and IDFT
Examples of calculation DFT and IDFT
Ex.4. Given x(n) = δ(n) + 2δ(n-1) +3δ(n-2) + δ(n-3) and
N = 4. Find X(k).
 x = [1 2 3 1];
 >> X = fft(x)
 X = 7.0000 -2.0000 - 1.0000i 1.0000 -2.0000
+ 1.0000i
 7.0000 1.7071 - 5.1213i -2.0000 - 1.0000i 0.2929 +
0.8787i
 Columns 5 through 8
 1.0000 0.2929 - 0.8787i -2.0000 + 1.0000i 1.7071
+ 5.1213i
Lecture 9
DFT and Inverse DFT
 Duration: 2 hrs
 Outline:
1. Review of DTFT of DT periodic signals
2. DFT and Inverse DFT
3. Frequency resolution
4. DFT properties
Discrete frequency spectrum computed from DFT has
the spacing between frequency samples of:
N
f
f s


N
2


 The choice of N determines the resolution of the
frequency spectrum, or vice-versa
 To obtain the adequate resolution, some zeros can be
appended to the signal (zero padding)
Frequency resolution of the DFT
Examples of N = 5 and N = 15
0 0.5 1 1.5 2 2.5 3 3.5 4
0
1
2
3
4
5
0 1 2 3 4 5 6 7 8 9 10
0
1
2
3
4
5
0 5 10 15 20 25 30
0
1
2
3
4
5
Examples of N = 15 and N = 30
0 0.5 1 1.5 2 2.5 3 3.5 4
0
2
4
6
0 5 10 15 20 25 30
0
2
4
6
0 10 20 30 40 50 60
0
2
4
6
Lecture 9
DFT and Inverse DFT
 Duration: 2 hrs
 Outline:
1. Review of DTFT of DT periodic signals
2. DFT and Inverse DFT
3. Frequency resolution
4. DFT properties
Circular shift property of the DFT
x(n) is one period of signal xp(n)
x(n)
Finite length
xp(n)
Infinite length,
periodic
N periodic extension
truncate
]
k
[
X
W
]
m
n
[
x km
DFT


Circular
shift
property
of the
DFT
Circular shift by m is the same as a shift by m modulo N
x(n)
xp(n)
xp(n+2)
x(n+2)
Recall linear convolution
 N1: the non-zero length of x1(n); N2: the non-zero
length of x2(n); Ny = N1 + N2 -1
 The shift operation is the regular shift
 The flip operation is the regular flip







p
p
n
x
p
x
n
x
n
x
n
y ]
[
]
[
]
[
*
]
[
]
[ 2
1
2
1
Circular convolution of the DFT
 The non-zero length of x1(n), x2(n) and y(n) can be no
longer than N
 The shift operation is circular shift
 The flip operation is circular flip







1
0
mod
2
1
2
1 ]
[
]
[
]
[
]
[
]
[
N
p
N
p
n
x
p
x
n
x
n
x
n
y
Direct method to calculate circular
convolution
1. Draw a circle with N values of x(n) with N equally spaced angles
in a counterclockwise direction.
2. Draw a smaller radius circle with N values of h(n) with equally
spaced angles in a clockwise direction. Superimpose the centers of 2
circles, and have h(0) in front of x(0).
3. Calculate y(0) by multiplying the corresponding values on each
radial line, and then adding the products.
4. Find succeeding values of y(n) in the same way after rotating the
inner disk counterclockwise through the angle 2πk/N
Example to calculate circular convolution
Evaluate the circular convolution, y(n) of 2 signals:
x1(n) = [ 1 2 3 4 ]; x2(n) = [ 0 1 2 3 ]
1
2
3
4
0
1
2
3
y(0) = 16
1
2
3
4
1
2
3
0
y(1) = 18
Example (cont)
1
2
3
4
2
3
0
1
y(2) = 16
1
2
3
4
3
0
1
2
y(3) = 10
Another method to calculate circular
convolution
x1(n)
x2(n)
X1(k)
X2(k)
DFT
DFT
IDFT y(n)
Ex. x1(n) = [ 1 2 3 4 ]; x2(n) = [ 0 1 2 3 ]
X1(k) = [ 10, -2+j2, -2, -2-j2 ];
X2(k) = [ 6, -2+j2, -2, -2-j2 ];
Y(k) = X1(k).X2(k) = [ 60, -j8, 4, j8 ]
y(n) = [ 16, 18, 16, 10 ]
Calculation of the linear convolution
x1(n)
N1 samples
x2(n)
N2 samples
x’1(n)
x’2(n)
Zero padding
(N2-1) zeros
IDFT
x1(n)*x2(n)
Zero padding
(N1-1) zeros
DFT
DFT
The circular convolution of 2 sequences of length N1 and N2
can be made equal to the linear convolution of 2 sequences
by zero padding both sequences so that they both consists
of N1+N2-1 samples.
x1(n) = [ 1 2 3 4 ]; x2(n) = [ 0 1 2 3 ]
x’1(n) = [ 1 2 3 4 0 0 0 ]; x’2(n) = [ 0 1 2 3 0 0 0 ]
X’1(k) = [ 10, -2.0245-j6.2240, 0.3460+j2.4791, 0.1784-
j2.4220, 0.1784+j2.4220, 0.3460-j2.4791, -2.0245-j6.2240 ];
X’2(k) = [ 6, -2.5245-j4.0333, -0.1540+j2.2383, -0.3216-
j1.7950, -0.3216+j1.7950, -0.1540-j2.2383, -2.5245+j4.0333];
Y’(k) = [ 60, -19.9928+j23.8775, -5.6024+j0.3927, -5.8342-
j0.8644, -4.4049+j0.4585, -5.6024-j0.3927, -19.9928
+j23.8775 ]
IDFT{Y’(k)} = y’(n) = [ 0 1 4 10 16 17 12 ]
Example of calculation the linear convolution
Prob.1
Compute the DFT with N time samples:












1
N
n
0
odd
n
0
even
n
1
]
n
[
x
)
c
(
]}
N
n
[
u
]
n
[
u
{
a
]
n
[
x
)
b
(
]
n
[
]
n
[
x
)
a
(
n
HW
Prob.2
Given the two four-point sequences:
HW
x(n) = [ 1 0.75 0.5 0.25 ]
y(n) = [ 0.75 0.5 0.25 1]
Express the DFT Y(k) in terms of the DFT X(k)
Prob.3
Given signals below and their DFT-5
HW
]
n
[
]
n
[
s
)
c
(
]
1
n
[
]
n
[
x
)
b
(
]
4
n
[
4
]
3
n
[
3
]
2
n
[
2
]
1
n
[
]
n
[
x
)
a
(
2
1

















1. Find y[n] so that Y[k] = X1[k].X2[k]
2. Does x3[n] exist, if S[k] = X1[k].X3[k]?
Prob.4 Given x(n) and its 8-point DFT, X(k)
HW








7
n
4
,
0
3
n
0
,
1
]
n
[
x
Express the DFTs of the signals below in terms of X(k).























7
n
6
,
0
5
n
2
,
1
1
n
0
,
0
]
n
[
x
)
b
(
7
n
5
,
1
4
n
1
,
0
0
n
,
1
]
n
[
x
)
a
(
2
1
Prob.5 The 8-point DFTs of x(n) and h(n) are:
X(k) = [0, -j0.707, -j, -j0.707, 0, j0.707, j, j0.707]
and
H(k) = [3, 2.414, 1, -0.414, -1, -0.414, 1, 2.414]
HW
Find the value of y(2), where y(n) is the circular convolution
of x(n) and h(n).
Lecture 10
Fast Fourier Transform (FFT)
 Duration: 2 hrs
 Outline:
1. What is FFT?
2. The decomposition-in-time Fast Fourier
Transform algorithm
DFT plays an important role in the analysis, design and
implementation of the DT signal processing algorithms and
systems.
Major reason: existence of efficient algorithms for computing
DFT called FFT
N
2
j
N e
W



1
N
n
0
W
]
k
[
X
N
1
]
n
[
x
1
N
k
0
W
]
n
[
x
]
k
[
X
1
N
0
n
nk
N
1
N
0
n
nk
N















Recall DFT and IDFT definition
1
N
k
0
W
]
n
[
x
]
k
[
X
1
N
0
n
nk
N 


 


The direct computation of the DFT requires:
1. N complex multiplications for each of k
2. N2 complex multiplications for all N points of X(k)
3. (N-1) complex summations for each of k
4. N(N-1) complex summations for all N points of X(k)
 FFT optimize computational processes (1) & (2) in different
algorithms
Direct computation of the DFT
Breaking an N-point DFT into smaller DFTs
 Fewer calculations with the same output
For example: N is radix-2 number
tions
multiplica
complex
2
log2
2
N
N
N 
Decomposition in time FFT (DIT-FFT)
0 10 20 30 40 50 60 70 80 90 100
-2000
0
2000
4000
6000
8000
10000
N
Complex
multiplication
numbers
DIT-FFT
Comparing DFT and FFT efficiency
 Some properties of can be exploited
 Other useful properties:
 
W
nk
N
 
k
and
n
in
y
periodicit
,
symmetry
conjugate
complex
,
)
(
)
(
*
)
(
W
W
W
W
W
W
n
N
k
N
N
n
k
N
kn
N
kn
N
n
N
k
N
kn
N








W
W
W
W
e
W
W
W
W
kn
N
kn
N
kn
N
kn
N
jn
kn
N
nN
N
kn
N
n
N
k
N
2
2
2
)
2
(
odd
n
if
,
even
n
if
,











 
Computation of DFT
Lecture 10
Fast Fourier Transform (FFT)
 Duration: 2 hrs
 Outline:
1. What is FFT?
2. The decomposition-in-time Fast Fourier
Transform algorithm
 G(k) is N/2 points DFT of the even numbered data: x(0),
x(2), x(4), …., x(N-2).
 H(k) is the N/2 points DFT of the odd numbered data:
x(1), x(3), …, x(N-1).
even odd
[ ] [ ] [ ]
kn kn
n n
X k x n W x n W
 
 
DIT-FFT with N as a 2-radix number
2 2
1 1
2 (2 1)
0 0
[ ] [2 ] [2 1]
N N
mk k m
m m
X k x m W x m W
 

 
   
 
2 2
1 1
2 2
0 0
[2 ]( ) [2 1]( )
N N
mk k mk
m m
x m W W x m W
 
 
  
 
=
  2
/
N
)
2
/
N
/(
2
j
2
N
/
2
j
2
N W
e
e
W 

 



G(k) and H(k) are of length N/2; X(k) is of length N
G(k)=G(k+N/2) and H(k)=H(k+N/2)
1
N
,...,
1
,
0
k
),
k
(
H
)
k
(
G
)
k
(
X W
k
N




DIT-FFT (cont)
]
3
[
H
W
]
3
[
G
]
7
[
X
]
2
[
H
W
]
2
[
G
]
6
[
X
]
1
[
H
W
]
1
[
G
]
5
[
X
]
0
[
H
W
]
0
[
G
]
4
[
X
]
3
[
H
W
]
3
[
G
]
3
[
X
]
2
[
H
W
]
2
[
G
]
2
[
X
]
1
[
H
W
]
1
[
G
]
1
[
X
]
0
[
H
W
]
0
[
G
]
0
[
X
7
8
6
8
5
8
4
8
3
8
2
8
1
8
0
8
















tions
multiplica
complex
2
2
2
2
2
2
2
2
N
N
N
N N
N 



 





DFT N = 4
DFT N = 4
The new computation counts are reduced
8-point FFT
4
8
4
8 ]
[
]
[
]
[ k
H
W
k
G
k
X k


0
W
0
W
W4
W2
W0
W0
W6
W6
W2
W4
DFT N = 2
DFT N = 2
DFT N = 2
DFT N = 2
G[0]
G[1]
G[2]
G[3]
H[0]
H[1]
H[2]
H[3]
8-point
FFT
(cont)
Wr+N/2
Wr+N/2 = -Wr
Wr - 1
2-point FFT
Now the overall computation is reduced to:
tions
multiplica
complex
2
log2
2
N
N
N 
8-point
FFT
Prob.6
(a) Draw an eight-point DIT FFT signal-flow diagram, and use
it to solve for the DFT of the sequence x(n)
x(n) = (0.5) n [u(n) – u(n-8)]
HW
(b) Use Matlab (fft) to confirm the result of part (a)

Chapter5_DISCRETEr FOURIER TRANSFORM.pdf

  • 1.
    CHAPTER 5: DISCRETE FOURIERTRANSFORM (DFT) Lecture 9: DFT and Inverse DFT Lecture 10: Fast Fourier Transform (FFT) Duration: 4 hrs
  • 2.
    Lecture 9 DFT andInverse DFT  Duration: 2 hrs  Outline: 1. Review of DTFT of DT periodic signals 2. DFT and Inverse DFT 3. Frequency resolution 4. DFT properties
  • 3.
    Procedure to calculateDTFT of periodic signals Step 1: Start with x0(n) – one period of x(n), with zero everywhere else Step 2: Find the DTFT X0(Ω) of the signal x0[n] above Step 3: Find X0(Ω) at N equally spacing frequency points X0(k2π/N) Step 4: Obtain the DTFT of x(n):      k N k N k X N X ) 2 ( ) 2 ( 2 ) ( 0    
  • 4.
    Example of calculatingDTFT of periodic signals              3 3 0 0 0 2 1 ) ( ) ( j j n n j e e e n x X k = 0  X0(0) = 4; k = 1  X0(1) = 1+j k = 2  X0(2) = -2; k = 3  X0(3) = 1-j 0 1 2 3
  • 5.
  • 6.
    Lecture 9 DFT andInverse DFT  Duration: 2 hrs  Outline: 1. Review of DTFT of DT periodic signals 2. DFT and Inverse DFT 3. Frequency resolution 4. Applications
  • 7.
    DFT to therescue!  Both CTFT and DTFT produce continuous function of frequency  can’t calculate an infinite continuum of frequencies using a computer  Most real-world data is not in the simple form such as anu(n) DFT can be used as a FT approximation that can calculate a finite set of discrete-frequency spectrum values from a finite set of discrete-time samples of an analog signal Could we calculate the frequency spectrum of a signal using a digital computer with CTFT/DTFT?
  • 8.
    Building the DFTformula “Window” x(n) is like multiplying the signal by the finite length rectangular window Discrete time signal x(n) Continuous time signal x(t) Discrete time signal x0(n) Finite length sample window
  • 9.
    Building the DFTformula (cont) DTFT               1 0 0 0 0 ] [ ] [ ) ( N n n j n n j e n x e n x X Discrete time signal x(n) Continuous time signal x(t) Discrete time signal x0(n) Finite length sample window
  • 10.
    Building the DFTformula (cont) Discrete time signal x(n) Discrete time signal x0(n) Finite length sample window DTFT Sample at N values around the unit circle Discrete Fourier Transform DFT X(k) Discrete + periodic with period N X0(Ω) Continuous + periodic with period 2π N = 8 Continuous time signal x(t)
  • 11.
    DFT and inverseDFT formulas N 2 j N e W    Notation: You only have to store N points
  • 12.
    k = 0 X(k) = X(0) = N k ≠ 0  X(k) = 0 Ex.1. Find the DFT of x(n) = 1, n = 0, 1, 2, …, (N-1) Examples of calculation DFT and IDFT
  • 13.
    Ex.2. Given y(n)= δ(n-2) and N = 8, find Y(k) Examples of calculation DFT and IDFT
  • 14.
    Ex.3. Find theIDFT of X(k) = 1, k = 0, 1, …, 7. Examples of calculation DFT and IDFT
  • 15.
    Examples of calculationDFT and IDFT Ex.4. Given x(n) = δ(n) + 2δ(n-1) +3δ(n-2) + δ(n-3) and N = 4. Find X(k).
  • 16.
     x =[1 2 3 1];  >> X = fft(x)  X = 7.0000 -2.0000 - 1.0000i 1.0000 -2.0000 + 1.0000i  7.0000 1.7071 - 5.1213i -2.0000 - 1.0000i 0.2929 + 0.8787i  Columns 5 through 8  1.0000 0.2929 - 0.8787i -2.0000 + 1.0000i 1.7071 + 5.1213i
  • 17.
    Lecture 9 DFT andInverse DFT  Duration: 2 hrs  Outline: 1. Review of DTFT of DT periodic signals 2. DFT and Inverse DFT 3. Frequency resolution 4. DFT properties
  • 18.
    Discrete frequency spectrumcomputed from DFT has the spacing between frequency samples of: N f f s   N 2    The choice of N determines the resolution of the frequency spectrum, or vice-versa  To obtain the adequate resolution, some zeros can be appended to the signal (zero padding) Frequency resolution of the DFT
  • 19.
    Examples of N= 5 and N = 15 0 0.5 1 1.5 2 2.5 3 3.5 4 0 1 2 3 4 5 0 1 2 3 4 5 6 7 8 9 10 0 1 2 3 4 5 0 5 10 15 20 25 30 0 1 2 3 4 5
  • 20.
    Examples of N= 15 and N = 30 0 0.5 1 1.5 2 2.5 3 3.5 4 0 2 4 6 0 5 10 15 20 25 30 0 2 4 6 0 10 20 30 40 50 60 0 2 4 6
  • 21.
    Lecture 9 DFT andInverse DFT  Duration: 2 hrs  Outline: 1. Review of DTFT of DT periodic signals 2. DFT and Inverse DFT 3. Frequency resolution 4. DFT properties
  • 22.
    Circular shift propertyof the DFT x(n) is one period of signal xp(n) x(n) Finite length xp(n) Infinite length, periodic N periodic extension truncate ] k [ X W ] m n [ x km DFT  
  • 23.
    Circular shift property of the DFT Circular shiftby m is the same as a shift by m modulo N x(n) xp(n) xp(n+2) x(n+2)
  • 24.
    Recall linear convolution N1: the non-zero length of x1(n); N2: the non-zero length of x2(n); Ny = N1 + N2 -1  The shift operation is the regular shift  The flip operation is the regular flip        p p n x p x n x n x n y ] [ ] [ ] [ * ] [ ] [ 2 1 2 1
  • 25.
    Circular convolution ofthe DFT  The non-zero length of x1(n), x2(n) and y(n) can be no longer than N  The shift operation is circular shift  The flip operation is circular flip        1 0 mod 2 1 2 1 ] [ ] [ ] [ ] [ ] [ N p N p n x p x n x n x n y
  • 26.
    Direct method tocalculate circular convolution 1. Draw a circle with N values of x(n) with N equally spaced angles in a counterclockwise direction. 2. Draw a smaller radius circle with N values of h(n) with equally spaced angles in a clockwise direction. Superimpose the centers of 2 circles, and have h(0) in front of x(0). 3. Calculate y(0) by multiplying the corresponding values on each radial line, and then adding the products. 4. Find succeeding values of y(n) in the same way after rotating the inner disk counterclockwise through the angle 2πk/N
  • 27.
    Example to calculatecircular convolution Evaluate the circular convolution, y(n) of 2 signals: x1(n) = [ 1 2 3 4 ]; x2(n) = [ 0 1 2 3 ] 1 2 3 4 0 1 2 3 y(0) = 16 1 2 3 4 1 2 3 0 y(1) = 18
  • 28.
    Example (cont) 1 2 3 4 2 3 0 1 y(2) =16 1 2 3 4 3 0 1 2 y(3) = 10
  • 29.
    Another method tocalculate circular convolution x1(n) x2(n) X1(k) X2(k) DFT DFT IDFT y(n) Ex. x1(n) = [ 1 2 3 4 ]; x2(n) = [ 0 1 2 3 ] X1(k) = [ 10, -2+j2, -2, -2-j2 ]; X2(k) = [ 6, -2+j2, -2, -2-j2 ]; Y(k) = X1(k).X2(k) = [ 60, -j8, 4, j8 ] y(n) = [ 16, 18, 16, 10 ]
  • 30.
    Calculation of thelinear convolution x1(n) N1 samples x2(n) N2 samples x’1(n) x’2(n) Zero padding (N2-1) zeros IDFT x1(n)*x2(n) Zero padding (N1-1) zeros DFT DFT The circular convolution of 2 sequences of length N1 and N2 can be made equal to the linear convolution of 2 sequences by zero padding both sequences so that they both consists of N1+N2-1 samples.
  • 31.
    x1(n) = [1 2 3 4 ]; x2(n) = [ 0 1 2 3 ] x’1(n) = [ 1 2 3 4 0 0 0 ]; x’2(n) = [ 0 1 2 3 0 0 0 ] X’1(k) = [ 10, -2.0245-j6.2240, 0.3460+j2.4791, 0.1784- j2.4220, 0.1784+j2.4220, 0.3460-j2.4791, -2.0245-j6.2240 ]; X’2(k) = [ 6, -2.5245-j4.0333, -0.1540+j2.2383, -0.3216- j1.7950, -0.3216+j1.7950, -0.1540-j2.2383, -2.5245+j4.0333]; Y’(k) = [ 60, -19.9928+j23.8775, -5.6024+j0.3927, -5.8342- j0.8644, -4.4049+j0.4585, -5.6024-j0.3927, -19.9928 +j23.8775 ] IDFT{Y’(k)} = y’(n) = [ 0 1 4 10 16 17 12 ] Example of calculation the linear convolution
  • 32.
    Prob.1 Compute the DFTwith N time samples:             1 N n 0 odd n 0 even n 1 ] n [ x ) c ( ]} N n [ u ] n [ u { a ] n [ x ) b ( ] n [ ] n [ x ) a ( n HW
  • 33.
    Prob.2 Given the twofour-point sequences: HW x(n) = [ 1 0.75 0.5 0.25 ] y(n) = [ 0.75 0.5 0.25 1] Express the DFT Y(k) in terms of the DFT X(k)
  • 34.
    Prob.3 Given signals belowand their DFT-5 HW ] n [ ] n [ s ) c ( ] 1 n [ ] n [ x ) b ( ] 4 n [ 4 ] 3 n [ 3 ] 2 n [ 2 ] 1 n [ ] n [ x ) a ( 2 1                  1. Find y[n] so that Y[k] = X1[k].X2[k] 2. Does x3[n] exist, if S[k] = X1[k].X3[k]?
  • 35.
    Prob.4 Given x(n)and its 8-point DFT, X(k) HW         7 n 4 , 0 3 n 0 , 1 ] n [ x Express the DFTs of the signals below in terms of X(k).                        7 n 6 , 0 5 n 2 , 1 1 n 0 , 0 ] n [ x ) b ( 7 n 5 , 1 4 n 1 , 0 0 n , 1 ] n [ x ) a ( 2 1
  • 36.
    Prob.5 The 8-pointDFTs of x(n) and h(n) are: X(k) = [0, -j0.707, -j, -j0.707, 0, j0.707, j, j0.707] and H(k) = [3, 2.414, 1, -0.414, -1, -0.414, 1, 2.414] HW Find the value of y(2), where y(n) is the circular convolution of x(n) and h(n).
  • 37.
    Lecture 10 Fast FourierTransform (FFT)  Duration: 2 hrs  Outline: 1. What is FFT? 2. The decomposition-in-time Fast Fourier Transform algorithm
  • 38.
    DFT plays animportant role in the analysis, design and implementation of the DT signal processing algorithms and systems. Major reason: existence of efficient algorithms for computing DFT called FFT N 2 j N e W    1 N n 0 W ] k [ X N 1 ] n [ x 1 N k 0 W ] n [ x ] k [ X 1 N 0 n nk N 1 N 0 n nk N                Recall DFT and IDFT definition
  • 39.
    1 N k 0 W ] n [ x ] k [ X 1 N 0 n nk N        Thedirect computation of the DFT requires: 1. N complex multiplications for each of k 2. N2 complex multiplications for all N points of X(k) 3. (N-1) complex summations for each of k 4. N(N-1) complex summations for all N points of X(k)  FFT optimize computational processes (1) & (2) in different algorithms Direct computation of the DFT
  • 40.
    Breaking an N-pointDFT into smaller DFTs  Fewer calculations with the same output For example: N is radix-2 number tions multiplica complex 2 log2 2 N N N  Decomposition in time FFT (DIT-FFT)
  • 41.
    0 10 2030 40 50 60 70 80 90 100 -2000 0 2000 4000 6000 8000 10000 N Complex multiplication numbers DIT-FFT Comparing DFT and FFT efficiency
  • 42.
     Some propertiesof can be exploited  Other useful properties:   W nk N   k and n in y periodicit , symmetry conjugate complex , ) ( ) ( * ) ( W W W W W W n N k N N n k N kn N kn N n N k N kn N         W W W W e W W W W kn N kn N kn N kn N jn kn N nN N kn N n N k N 2 2 2 ) 2 ( odd n if , even n if ,              Computation of DFT
  • 43.
    Lecture 10 Fast FourierTransform (FFT)  Duration: 2 hrs  Outline: 1. What is FFT? 2. The decomposition-in-time Fast Fourier Transform algorithm
  • 44.
     G(k) isN/2 points DFT of the even numbered data: x(0), x(2), x(4), …., x(N-2).  H(k) is the N/2 points DFT of the odd numbered data: x(1), x(3), …, x(N-1). even odd [ ] [ ] [ ] kn kn n n X k x n W x n W     DIT-FFT with N as a 2-radix number
  • 45.
    2 2 1 1 2(2 1) 0 0 [ ] [2 ] [2 1] N N mk k m m m X k x m W x m W            2 2 1 1 2 2 0 0 [2 ]( ) [2 1]( ) N N mk k mk m m x m W W x m W          =   2 / N ) 2 / N /( 2 j 2 N / 2 j 2 N W e e W        G(k) and H(k) are of length N/2; X(k) is of length N G(k)=G(k+N/2) and H(k)=H(k+N/2) 1 N ,..., 1 , 0 k ), k ( H ) k ( G ) k ( X W k N     DIT-FFT (cont)
  • 46.
  • 47.
    0 W 0 W W4 W2 W0 W0 W6 W6 W2 W4 DFT N =2 DFT N = 2 DFT N = 2 DFT N = 2 G[0] G[1] G[2] G[3] H[0] H[1] H[2] H[3] 8-point FFT (cont)
  • 48.
    Wr+N/2 Wr+N/2 = -Wr Wr- 1 2-point FFT
  • 49.
    Now the overallcomputation is reduced to: tions multiplica complex 2 log2 2 N N N  8-point FFT
  • 50.
    Prob.6 (a) Draw aneight-point DIT FFT signal-flow diagram, and use it to solve for the DFT of the sequence x(n) x(n) = (0.5) n [u(n) – u(n-8)] HW (b) Use Matlab (fft) to confirm the result of part (a)