Download free for 30 days
Sign in
Upload
Language (EN)
Support
Business
Mobile
Social Media
Marketing
Technology
Art & Photos
Career
Design
Education
Presentations & Public Speaking
Government & Nonprofit
Healthcare
Internet
Law
Leadership & Management
Automotive
Engineering
Software
Recruiting & HR
Retail
Sales
Services
Science
Small Business & Entrepreneurship
Food
Environment
Economy & Finance
Data & Analytics
Investor Relations
Sports
Spiritual
News & Politics
Travel
Self Improvement
Real Estate
Entertainment & Humor
Health & Medicine
Devices & Hardware
Lifestyle
Change Language
Language
English
Español
Português
Français
Deutsche
Cancel
Save
EN
Uploaded by
A Jorge Garcia
435 views
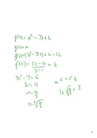
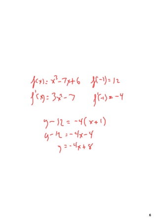
Calculus 403 Mean Value Theorem
Education
◦
Read more
0
Save
Share
Embed
Embed presentation
Download
Download to read offline
1
/ 7
2
/ 7
3
/ 7
4
/ 7
5
/ 7
6
/ 7
7
/ 7
More Related Content
PDF
Calculus 404 Min Max Theorem and Concavity
by
A Jorge Garcia
PDF
calculus 701 Work, Force, Mass
by
A Jorge Garcia
PDF
2013-4R preCalculus Chapter 12 Syllabus
by
A Jorge Garcia
PDF
Calculus 305 Chain Rule!
by
A Jorge Garcia
PDF
CM1.4 Algorithms, python and SAGE
by
A Jorge Garcia
PDF
Calculus 301 Product and Quotient Rules for Differentiation!
by
A Jorge Garcia
PDF
PreCalculus 205 Compositions and Inverse Functions
by
A Jorge Garcia
PDF
PreCalculus 104 Modeling
by
A Jorge Garcia
Calculus 404 Min Max Theorem and Concavity
by
A Jorge Garcia
calculus 701 Work, Force, Mass
by
A Jorge Garcia
2013-4R preCalculus Chapter 12 Syllabus
by
A Jorge Garcia
Calculus 305 Chain Rule!
by
A Jorge Garcia
CM1.4 Algorithms, python and SAGE
by
A Jorge Garcia
Calculus 301 Product and Quotient Rules for Differentiation!
by
A Jorge Garcia
PreCalculus 205 Compositions and Inverse Functions
by
A Jorge Garcia
PreCalculus 104 Modeling
by
A Jorge Garcia
More from A Jorge Garcia
PDF
LIMACON 2023 Brochure
by
A Jorge Garcia
PDF
2022-RESUME-NEW
by
A Jorge Garcia
PDF
MAT122 DAY508 MEETING 44 of 45 2021.1217 FRIDAY
by
A Jorge Garcia
PDF
MAT122 DAY507 MEETING 43 of 45 2021.1216 THURSDAY
by
A Jorge Garcia
PDF
MAT122 DAY506 MEETING 42 of 45 2021.1215 WEDNESDAY
by
A Jorge Garcia
PDF
MAT122 DAY308 Lesson 26 of 45
by
A Jorge Garcia
PDF
MAT122 DAY307 Lesson 25 of 45
by
A Jorge Garcia
PDF
MAT122 DAY306 Lesson 24 of 45
by
A Jorge Garcia
PDF
MAT122 DAY305 Lesson 23 of 45
by
A Jorge Garcia
PDF
MAT122 DAY304 Lesson 22 of 45
by
A Jorge Garcia
PDF
MAT122 DAY303 Lesson 21 of 45
by
A Jorge Garcia
PDF
MAT122 DAY302 Lesson 20 of 45
by
A Jorge Garcia
PDF
MAT122 DAY301 Lesson 19 of 45
by
A Jorge Garcia
PDF
MAT122 DAY205
by
A Jorge Garcia
PDF
MAT122 DAY204
by
A Jorge Garcia
PDF
MAT122 DAY203
by
A Jorge Garcia
PDF
MAT122 DAY202
by
A Jorge Garcia
PDF
MAT122 DAY201
by
A Jorge Garcia
PDF
MAT122 DAY06
by
A Jorge Garcia
PDF
MAT122 DAY05
by
A Jorge Garcia
LIMACON 2023 Brochure
by
A Jorge Garcia
2022-RESUME-NEW
by
A Jorge Garcia
MAT122 DAY508 MEETING 44 of 45 2021.1217 FRIDAY
by
A Jorge Garcia
MAT122 DAY507 MEETING 43 of 45 2021.1216 THURSDAY
by
A Jorge Garcia
MAT122 DAY506 MEETING 42 of 45 2021.1215 WEDNESDAY
by
A Jorge Garcia
MAT122 DAY308 Lesson 26 of 45
by
A Jorge Garcia
MAT122 DAY307 Lesson 25 of 45
by
A Jorge Garcia
MAT122 DAY306 Lesson 24 of 45
by
A Jorge Garcia
MAT122 DAY305 Lesson 23 of 45
by
A Jorge Garcia
MAT122 DAY304 Lesson 22 of 45
by
A Jorge Garcia
MAT122 DAY303 Lesson 21 of 45
by
A Jorge Garcia
MAT122 DAY302 Lesson 20 of 45
by
A Jorge Garcia
MAT122 DAY301 Lesson 19 of 45
by
A Jorge Garcia
MAT122 DAY205
by
A Jorge Garcia
MAT122 DAY204
by
A Jorge Garcia
MAT122 DAY203
by
A Jorge Garcia
MAT122 DAY202
by
A Jorge Garcia
MAT122 DAY201
by
A Jorge Garcia
MAT122 DAY06
by
A Jorge Garcia
MAT122 DAY05
by
A Jorge Garcia
Recently uploaded
PPTX
That long silence - Novel by Shashi Deshapande
by
sanjanavaghela65
PDF
West Hatch High School - GCSE French Specification
by
WestHatch
PDF
Q4_LE_English 5_Lesson 1_Week 1.pdf learning instruction
by
MichelleCajefe2
PDF
Chapter 05 Drug Acting on CNS Sedatives & Hypnotics | Antipsychotics.pdf
by
SandeshSul
PPTX
MEMORY &FORGETTING. Shilpa Hotakar.Psychology pptx
by
SHILPA HOTAKAR
PDF
Information about Presentation strategies
by
mansivaja18126
PPTX
West Hatch High School: Year 9 Art Course
by
WestHatch
PDF
TỔNG HỢP 156 ĐỀ CHÍNH THỨC KỲ THI CHỌN HỌC SINH GIỎI TIẾNG ANH LỚP 12 CÁC TỈN...
by
Nguyen Thanh Tu Collection
PPTX
How to Create & Configure Rewards in Odoo 18 Referrals
by
Celine George
PDF
Sharad Bisen_Irrigation Systems and Methods in Horticultural Crops.pdf
by
bisensharad
PDF
APPSC APPSC Forest Draughtsman GS Question paper.pdf
by
ssuser9d8e4e
PPTX
Biological source, chemical constituents, and therapeutic efficacy of the fol...
by
Sai Meer College of Pharmacy
PPTX
Toba Tek Singh - Visualising Partition through Manto's Lens
by
miraljoshi48
PPTX
Drug Distribution in Pharmacology: Mechanisms, Barriers, Factors & Volume of ...
by
amrin3379
PPTX
West Hatch High School - GCSE Art Presentation
by
WestHatch
PDF
CAM, DHT11, GAS, ESP32, FLAME, IR, TEMP, LCD, PIR, SOIL, SOUND, RELAY, TURBID...
by
PravinDhanrao3
PPTX
How Physician Assistants in the USA Earn CME Credits Online.pptx
by
CME4Life
PPTX
Guidelines for reporting social networks and personal networks data
by
isidromj
PPTX
literary theory and criticism by Vivek p
by
vivekrathodborda
PPTX
Master of Punjabi Short Story "kartar singh duggal
by
bhautikbharwad4
That long silence - Novel by Shashi Deshapande
by
sanjanavaghela65
West Hatch High School - GCSE French Specification
by
WestHatch
Q4_LE_English 5_Lesson 1_Week 1.pdf learning instruction
by
MichelleCajefe2
Chapter 05 Drug Acting on CNS Sedatives & Hypnotics | Antipsychotics.pdf
by
SandeshSul
MEMORY &FORGETTING. Shilpa Hotakar.Psychology pptx
by
SHILPA HOTAKAR
Information about Presentation strategies
by
mansivaja18126
West Hatch High School: Year 9 Art Course
by
WestHatch
TỔNG HỢP 156 ĐỀ CHÍNH THỨC KỲ THI CHỌN HỌC SINH GIỎI TIẾNG ANH LỚP 12 CÁC TỈN...
by
Nguyen Thanh Tu Collection
How to Create & Configure Rewards in Odoo 18 Referrals
by
Celine George
Sharad Bisen_Irrigation Systems and Methods in Horticultural Crops.pdf
by
bisensharad
APPSC APPSC Forest Draughtsman GS Question paper.pdf
by
ssuser9d8e4e
Biological source, chemical constituents, and therapeutic efficacy of the fol...
by
Sai Meer College of Pharmacy
Toba Tek Singh - Visualising Partition through Manto's Lens
by
miraljoshi48
Drug Distribution in Pharmacology: Mechanisms, Barriers, Factors & Volume of ...
by
amrin3379
West Hatch High School - GCSE Art Presentation
by
WestHatch
CAM, DHT11, GAS, ESP32, FLAME, IR, TEMP, LCD, PIR, SOIL, SOUND, RELAY, TURBID...
by
PravinDhanrao3
How Physician Assistants in the USA Earn CME Credits Online.pptx
by
CME4Life
Guidelines for reporting social networks and personal networks data
by
isidromj
literary theory and criticism by Vivek p
by
vivekrathodborda
Master of Punjabi Short Story "kartar singh duggal
by
bhautikbharwad4
Calculus 403 Mean Value Theorem
1.
1
2.
2
3.
3
4.
4
5.
5
6.
6
7.
7
Download