INVENTARIO DE DESARROLLO
U
D
TEA TEA Ediciones
BAREMOS
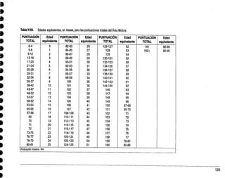
Tabla N-1 . Conversión de puntuaciones centiles en otras puntuaciones típicas: z, T, Cl y ECN
PC z T Cl ECN PC z T Cl ECNPC
F
Cl ECN PC` z T Cl ECN
75 +0,68 57 110 64 50
T0,02
100 50 25 -0,68 43 90 3699 +2,33 73 135 99 74 +0,64 56 110 63 49 100 50 I 24 10,71 43 89 3598 +2,05 71 131 93 73 +0,61 56 109 63 48 99 49 23 -0,74 43 89 3497
96
+1,88
+1,75
69
68
128 90 72 +0,58 56 109 62 47 -0,08 49 99 48 22 -0,77 42 88 34
126 87 71 +0,55 56 108 62 ' 46 -0,10 49 98 48 21 -0,81 42 88 3395 +1,64 66 125 85 70 ~ +0,52 55 108 61 45 -0,13 49 98 47 20 -0,84 42 87 3294 +1,56 66 123 83 1 69 1+0,50 55 108 61 44 -0,15 48 98 47 19 -0,88 41 87 3193 +1,48 65 122 81 68 +0,47 55 107 60 43 -0,18 48 97 46 18 -0,92 41 86 3192 +1,40 64 121 79 67 +0,44 54 107 59 ~' 42 -0,20 48 97 46 17 1 -0,95 40 86 3091 +1,34 63 120 78 66 +0,41 54 106 59 41 -0,23 48 97 45 16 -1,00 40 85 2990 +1,28 63 119 77 65 +0,39 54 106 58 40 { -0,25 47 96 45 15 -1,04 40 84 2889 +1,23 62 118 76 64 +0,36 54 105 58 39 -0,28 47 96 44 14 -1,08 39 84 2788 +1,18 62 118 75 63 +0,33 53 105 57 38 -0,31 47 95 43 13 -1,13 39 83 2687 +1,13 61 117 74 62 1 +0131 53 105 57 37 -0,33 47 95 43 12 -1,18 38 82 2586 +1,08 61 116 73 61 +0,28 53 104 56 36 -0,36 46 95 42 11 -1,23 38 82 2485 +1,04 60 116 72 60 +0,25 53 104 55 35 -0,39 46 94 42 10 -1,28 37 81 2384 +1,00 60 115 71 59 +0,23 52 103 55 34 -0,41 46 94 41 9 -1,34 37 80 2283 +0,95 60 114 70 58 +0,20 52 103 54 33 -0,44 46 93 41 8 -1,40 36 79 2182 +0,92 59 114 69 57 +0,18 52 103 54 32 -0,47 45 93 40 7 -1,48 35 78 1981 +0,88 59 113 69 56 +0,15 52 102 53 31 -0,50 45 92 39 6 -1,56 34 77 1780 +0,84 58 113 68 55 +0,13 51 102 53 30 -0,52 45 92 39 5 -1,64 34 75 1579
78
+0,81
+0,77
58
58
112
112
67
66
54
53
1+0,10 51 102 52 29 -0,55 44 92 38 4 -1,75 32 74 13
+0,08 51 101 52 28 -0,58 44 91 38 3 1 -1,88 31 72 1077
L+0,74 57 111 66 52 +0,05 50 101 51 27 -0,61 44 91 37 2 -2,05 29 69 776 +0,71 57 111 65 -.51 +0,02 50 100 . 50 26 ,~ -0,64 44 90 37 1 -2,33 27 65 1
W
CDw-0
CCCDm
CD
a
(yCDLU
CD
h
OO:at
G.Z
HA
CDÓÑ
ÑCCÁ.Á~
C
CD
A~CHA(D
CDCCD
7
NNAA
t0
V0
W
O7
(~17
A
00V
O.O
+
ÑW
V
CVn
~~
00
OVD~O,bV
m
Q
V7
rWOftDpOWONfrVÓWVfOp007rÁÓtopÁú_j
cb
(077ótODIVVIVÁÑvOAtD00Ñs-,
AA
WV~0rfN~1(N)7
0
WWSVrm~~~
0
~_
WVÓVfNdVOVWVvÓ4V1OWVOWv
Q
v~Ú
-
VV-v9Ñ
-------
~2Ñ.,1w,
--
~NC~v
----
?N~~~NN
07Of0
OAG7
V
A
Vt00oW
W0O
OOt0<0t0t0-`WOO0
VOÓWNNS0
úrA
rVO
N
NACn
W
WN,y
N
c
c
r
V
-+W0WÑGpÁON7
47
0rW
07
0Ñ
p7p
G7fOOrÁ
pppp
NODV:~.
ÑIV
p>
V
J
NNN
WW
ÑÑÑÑÑ
NN
A
Ñ
<p
N
W
NN
ÑÑ
N
N
Ñ
NNNNVÑú0W
NÑN
0
N
Í
NÓWSrVÑ--4C-4-CVn074
90
JW070NNNNWr07NW14WrCÑm-V+ÁÑConm~+ÁVO
C
NNNNN4
_1
jWW
~~~
I
0
NVCnV~W~W0VO0vt~0Of~N~tn0c007~N~AVWI
N
W
n
rNWNVpN
¡~
Af0ÓNÁCN77vtN0Ñ
(~
07ViW0Ñm7wOwprWÁWSSSSÓr(VJ(~77OVOÓ4010077WmÓÑWV
W(~]¿O
ÓÁ.~Ó?
N
pa
??~~.?Á(pSlCTV7V7(~57
N
S
~p
rr070007WONV-N+VtW0CN77VODrÁ~ODWSt0CT7ODS07rW
-+NWCA070t0NACnVODN(N)7ONOVÑtApÑVmÓWÑ007O0Dt00ÁÑOVOÓÑWC0TSSt00(077Vm
A
0
07tD
ÁÁOOOO
O0WWO
OfVW
c0NA0OD-+
t~OWÓ
AO
~Ñ
Ip
OONNNCT0-+NOo
ÚWW~OWNV
_
t0
CWT
~OO7
A
0070
t00N
WwS
t0rAc0A
Yll
rNA070t0GOV7V
NN10rWNN070
N05~41
07OD
AAAACTO
N0VW-.WU0TVON00700VVONVA
V
W
0
r
00
47CT
0t0tptpf0t0rW070
CD
_>
OW
11
0077
0
VV
0
CT
OD
NWt00Ó00700V
O'fO.7Ñ07ÑÑÑUV(0A07
00401
Op7
13,N
W
TR1WTvA
W.'P4r
ggD
077
-
T
NWf0)7
0p
T
CÑ
S
Ú
CT
+
ÑVÑCVnÓVt00
__..__....
rNAOVt047A070ÓrVtN0Ó07mWmmÓÑt01fV(00(0JSSÓWtVl7VÓÑSmSW(07~W
y
j
ÑWOtN007O1W01V0CjOf0707Of00DWÑ07top07b74VjV
tDVQ7Ó7fWJCW77OWfÓQ7Á0077007VlSfÓtS1007CI,VrÑCT
+
~'..V
ÑCAOND(0JtOpf0JÓpN
-+NAVWr
~W
NNNW00NAVrW(~A
OfODN
AACT
V~DW
00
DO
007
NA
VV
W0o
00
ON
OD00WWO
AVOrW0
CD
O
OfO7
vÑ
0O7
Vt00
0O
00707
Ó7~cS7_.~C
0
17Óf
Ñ007
W
SSVr
000OÓ7CJA00
07
VVvv
07
ó7?Of
OSSStD'~.
N
-~W01t0AVÓWvWt00Wt00
0-5 MESES J
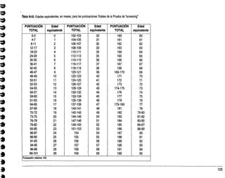
Tabla N-3. Área Personal-Social, conversión en centiles Tabla N-4. Área Adaptativa, conversión en centiles
0-5 MESES
Atención Comida
PUNTUACIóN
TOTAL
PD PC PD PC PD PC
16+ 98 12+ 98 24+ 98
15 96 9-11 96 21-23 96
14 94 8 94 20 90
13 88 7 92 19 88
12 74 6 84 17-18 84
11 70 5 80 16 78
10 58 4 63 15 74
9 48 3 51 14 61
8 42 2 8 13 57
7 40 1 6 12 47
6 26 0 1 11 41
5 22 10 39
4 16 9 37
3 10 8 24
2 6 7 22
1 2 6 18
0 1 5 10
4 6
3 4
2 2
0-1 1
Interacción con
el adulto
Expresión de
sentimientos
/afecto
Autoconcepto
PUNTUACIÓN
TOTAL
PD PC PD PC PD PC PD PC
18+ 98 8+ 94 6+ 96 28+ 94
17 88 7 86 5 94 26-27 86
16 86 6 42 4 82 25 84
15 80 5 22 3 74 24 80
14 66 4 16 2 26 23 71
13 64 3 14 1 20 22 65
12 56 2 6 0 1 21 61
11 52 1 4 20 51
10 38 0 1 19 49
9 34 18 43
8 32 17 41
7 24 16 39
6 12 15 35
5 10 14 29
4 8 13 18
3 6 12 16
2 2 11 14
0-1 1 9-10 12
7-8 10
6 6
3-5 4
2 2
0-1 1
0-5 MESES
Tabla N-5. Área Motora,conversión en Gentiles
Control
muscular
Coordinación
corporal
Motricidad fina
MOTORA
GRUESA
MOTORA
FINA
PUNTUACIÓN
TOTAL
PD - PC PD PC PD PC PD PC PD PC PO PC
10+ 92 6+ 98 6+ 96 14+ 89 8+ 96 20+ 89
8-9' 79 5 96 5 94 13 81 7 94 19 84
7 73 4 45 4 50 12 68 6 54 18 70
6 - 27 3 41 3 36 11 57 5 46 17 62
5 17 2 20 2 10 10 40 4 38 16 49
4 10 1 12 1 6 8-9 24 3 34 15 43
3 6 0 1 0 1 7 16 2 10 14 38
2 2 6 11 1 6 13 35
0-1 1 5 8 0 1 10-12 22
3-4 5 9 16
2 3 8 14
0-1 1 7 11
6 8
4-5 5
0-3 1
0-5 MESES
Tabla N-6. Área Comunicación, conversión en centiles Tabla N-7. Área Cognitiva, conversión en centiles
0-s MESES
Receptiva Expresiva
PUNTUACIÓN
TOTAL
PD PC PD PC PD PC
10+ 98 11+ 98 18+ 98
8-9 92 10 96 16-17 96
7 75 9 94 15 94
6 50 8 92 14 88
5 40 7 88 13 85
4 19 6 86 11-12 77
2-3 6 5 84 10 58
0-1 1 4 48 9 50
3 36 8 35
2 18 7 33
1 12 6 23
0 1 5 21
4 12
3 10
2 2
0-1 1
Discriminación
perceptiva
Memoria
PUNTUACIÓN
TOTAL
PD PC PD PC PD PC
8+ 92 7+ 96 15+ 96.
6-7 61 6 92 14 94
5 51 4-5 74 12-13 90
4 39 3 62 10-11 80
3 31 2 48 9 65
2 6 1 40 8 61
1 2 0 1 7 55
0 1 6 45
5 37
4 35
3 26
2 4
1 2
0 1
6-11 MESES 6-11 MESES
Tabla N-8. Área Personal-Social, conversión en centiles Tabla N-9. Área Adaptativa, conversión en centiles
Interacción
con el adulto
Expresión de
sentimientoslafecto
Autoconcepto
PUNTUACIÓN
TOTAL
PD PC PD PC PD PC PD PC
22+ 92 13+ 95 8+ 98 41+ 97
21 85 12 90 7 91 39-40 92
20 75 11 88 6 78 38 87
19 60 10 73 5 53 36-37 79
18 35 9 71 4 11 35 71
17 25 8 46 0-3 1 34 68
16 17 7 39 31-33 66
15 10 6 2 30 53
14 6 0-5 1 29 47
12-13 4 28 34
8-11 2 27 21
0-7 1 26 13
25 8
22-24 3
0-21 1
Atención Comida
PUNTUACIÓN
TOTAL
PD PC PD PC PD PC
16+ 77 16+ 96 31+ 98
15 69 14-15 88 30 94
14 50 13 , 85 28-29 79
13 35 12 48 27 75
12 10 11 40 26 62
11 4 10 29 25 50
0-10 1 9 12 24 33
8 6 23 29
7 4 22 19
5-6 2 21 10
0-4 1 20 6
19 2
0-18 1
6-11 MESES
Tabla N-10. Área Motora, conversión en centiles
Control muscular
Coordinación
corporal
locomoción Motricidad fina
MOTORA
GRUESA
MOTORA
FINA
PUNTUACIÓN
TOTAL
PD PC PD PC PD PC PD PC PD PC PD PC PD PC
12+ 69 14+ 96 16+ 98 14+ 83 38+ 96 18+ 94 56+ 97
11 60 12-13 92 12-15 94 13 77 36-37 94 16-17 80 54-55 94
10 21 10-11 85 11 92 12 53 34-35 91 15 74 52-53 91
9 17 9 83 10 89 11 43 32-33 89 14 60 50-51 89
8 4 8 38 9 85, 10 26 31 83 13 49 45-49 86
7 2 7 34 8 66 9 23 29-30 80 12 34 44 83
0-6 1 6 . 23 7 60 8 21 28 76 11 29 43 80
5 17 6 49 7 13 27 70 10 26 40-42 71
0-4 1 5 40 6 11 26 63 9 14 39 66
4 34 5 6 25 56 8 11 38 57
3 23 4 2 24 48 7 9 37 49
2 21 0-3 1 23 41 6 3 36 43
1 13 22 37 0-5 1 34-35 40
0 1 21 30 31-33 34
18-20 24 30 31
17 22 29 26
16 17 28 23
15 15 25-27 20
14 13 23-24 14
13 6 21-22 6
0-12 1 20 3
0-19 1
6-11 MESES
Tabla N-11 . Área Comunicación, conversión en centiles Tabla N-12. Área Cognitíva,conversión en centiles
6-11 MESES
Receptiva Expresiva
PUNTUACIÓN
TOTAL
PD PC PD PC PD PC
14+ 98 17+ 98 28+ 98
12-13 88 15-16 94 26-27 92
11 73 14 85 25 87
10 54 12-13 79 24 85
9 35 11 74 23 79
8 12 10 60 22 74
7 8 9 51 21 72
0-6 1 8 30 20 64
7 21 19 55
6 15 18 47
0-5 1 17 36
16 28
15 23
14 17
13 11
12 2
0-11 1
Discriminación
perceptiva
Memoria
Razonamiento y
habilidades
escolares
PUNTUACIÓN
TOTAL
PD PC PD PC PD PC PD PC
10+ 96 8+ 53 4+ 87 20+ 82
9 85 7 40 3 67 19 68
8 2 6 23 2 20 18 52
0-7 1 5 17 0-1 1 17 39
4 2 16 27
0-3 1 15 23
14 11
13 9
12 2
0-11 1
12-17 MESES -,
Tabla N-13. Área Personal-Social, conversión en centiles
Interacción con el
adulto
Expresión de
sentimientos/ afecto
Autoconcepto
Interacción con los
compañeros
PUNTUACIÓN
TOTAL
PD PC PD PC PD PC PD PC PD PC
35+ 98 19+ 98 22+ 98 14+ 98 74+ 98
33-34 92 18 96 12-21 95 13 96 63-73 95
32 86 17 92 10-11 91 11-12 94 62 93
31 84 16 85 9 88 10 88 59-61 90
30 82 15 77 8 79 9 81 58 83
29 78 14 69 7 60 8 67 57 81
28 74 13 65 6 37 7 58 55-56 74
27 71 12 44 5 26 6 42 53-54 71
26 63 11 35 0-4 1 5 31 52 69
25 61 10 19 4 21 51 64
24 57 9 15 3 17 50 62
23 51 8 6 2 6 49 57
22 37 7 4 1 2 48 52
21 26 0-6 1 0 1 47 45
20 14 46 40
19 10 45 38
17-18 4 43-44 31
16 2 42 29
0-15 1 41 24
40 17
39 14
38 12
35-37 10
34 5
33 2
0-32 1
12-17 MEES
Tabla N-14 Área Adaptativa, conversión en centiles
Atención Comida Vestido
PUNTUACIÓN
TOTAL
PD PC PD PC PD PC PD PC
18+ 96 22+ 89 9+ 98 46+ 98
17 87 21 74 7-8 96 45 96
16 33 20 61 6 83 44 91
15 17 19 48 5 75 43 89
14 9 18 33 4 48 42 84
13 6 17 24 3 29 41 71
0-12' 1 16 20 2 8 40 62
15 17 1 4 39 58
14 11 0 1 38 44
12-13 2 37 36
0-11 1 36 29
35 22
34 18
33 16
32 13
31 9
30 7
27-29 4
26 2
0-25 1
12-17 MESES -1
Tabla N-15. Área Motora, conversión en centiles
Coordinación
corporal
Locomoción Motricidad fina
Motricidad
perceptiva
MOTORA
GRUESA
MOTORA
FINA
PUNTUACIÓN
TOTAL
PD PC PD PC PD PC PD PC PD PC PD PC PD PC
16+ 81 20+ 92 17+ 96 11+ 96 48+ 96 27+ 98 74+ 98
15 75 19 90 16 89 10 74 46-47 81 26 87 72-73 96
14 54 18 63 15 77 9 61 45 79 25 84 71 93
13 48 17 61 14 11 8 54 44 71 . 24 69 70 89
12 21 16 47 13 4 7 44 43 69 23 60 69 82
11 17 14-15 39 12 2 6 28 42 52 22 53 68 73
10 12 13 31 0-11 1 5 24 41 50 21 44 67 71
0-9 1 12 22 4 15 40 42 20 29 66 64
11 15 3 13 39 40 19 24 65 62
10 12 2 2 38 35 18 18 64 56
9 6 0-1 1 37 31 17 16 63 51
8 4 36 23 16 7 62 49
0-7 1 35 21 0-15 1 61 42
34 17 60 40
33 15 59 38
30-32 12 57-58 33
29 6 56 31
28 2 55 27
0-27 1 54 22
53 16
49-52 11
48 9
46-47 7
44-45 4
43 2
0-42 1
12-17 MESES 12-17 MESES
Tabla N-16. Área Comunicación, conversión en centiles Tabla N-17. Área Cognitiva, conversión en centiles
Receptiva Expresiva
PUNTUACIÓN
TOTAL
PD PC PD PC PD PC
17+ 96 24+ 98 40+ 98
16 94 23 96 38-39 94
15 89 22 94 33-37 92
14 47 18-21 71 32 72
13 30 17 58 31 62
12 23 16 44 30 53
11 11 15 40 29 51
9-10 4 14 33 28 49
0-8 1 13 25 27 38
12 12 26 26
11 10 25 - 19
10 2 24 13
0-9 1 23 11
22 8
21 4
18-20 2
0-17 1
Discriminación
perceptiva
Memoria
Razonamiento y
habilidades
escolares
Desarrollo
conceptual
PUNTUACIÓN
TOTAL
PD PC PD PC PD PC PD PC PD PC
12+ 96 10+ 95 5+ 98 5+ 98 30+ 98
11 92 9 90 4 23 4 94 26-29 90
10 60 8 10 3 8 3 90 25 88
9 46 7 5 2 2 2 27 24 71
8 2 0-6 1 0-1 1 1 15 23 50
0-7 1 0 1 22 29
21 19
20 14
19 10
18 7
17 5
0-16 1
18-23 MESES
Tabla N-18. Área Personal-Social, conversión en centiles
Interacción con el
adulto
Expresión de
sentimientos/ afecto
Autoconcepto
Interacción con
los compañeros
Colaboración
PUNTUACIÓN
TOTAL
PD PC PD PC PD PC PD PC PD PC PD PC
36+ 93 22+ 94 26+ 98 18+ 96 14+ 98 94+ 98
35 85 21 93 23-25 96 17 94 7-13 92 92-93 94
34 80 20 83 22 94' 16 91 6 87 90-91 92
33 72 19 76 18-21 92 15 . 87 5 81 88-89 90
32 65 18 72 16-17 83 13-14 78 4 66 86-87 86
31 59 17 65 15 81 12 76 3 45 85 85
30 56 16 52 14 79 11 67 2 17 84 83
29 52 15 41 13 76 10 46 1 8 82-83 81
28 43 14 28 12 66 9 30 0 1 77-81 73
27 33 13 22 11 58 8 9 76 71
26 24 12 13 10 53 7 7 . 74-75 65
25 18 11 11 9 51 6 2 73 62
24 11 10 4 8 38 0-5 1 72 60
23 6 9 2 7 13 71 56
0-22 1 0-8 1 6 6 69-70 54
5 2 67-68 50
0-4 1 64-66 46
63 42
62 35
60-61 33
59 31
58 29
57 23
56 19
55 17
54 10
53 8
52 6
49-51 4
46-48 2
0-45 1
18-23 MESES
Tabla N-19. Área Adaptativa, conversión en centiles
Atención Comida Vestido
Responsabilidad
personal
PUNTUACIÓN
TOTAL
PD PC PD PC PD PC PD PC PD PC
20 96 27+ 98 18+ 98 4+ 80 64+ 97
19 89 24-26 91 16-17 96 3 52 54-63 95
18 66 23 81 14-15 94 2 12 52-53 . 90
17 60 22 38 11-13 91 1 5 50-51 77
16 8 21 15 10 89 0 1 49 67
15 4 20 4 9 87 48 54
14 2 19 2 8 82 47 46
0-13 1 0-18 1 7 65 46 33
6 32 45 23
5 24 44 18
4 11 43 10
3 7 42 8
0-2 1 41 5
40 3
0-39 1
18-23 MESES
Tabla N-20. Área Motora, conversión en centiles
Coordinación
corporal
Locomoción Motricidad fina
Motricidad
perceptiva
MOTORA
GRUESA
MOTORA
FINA
PUNTUACIÓN
TOTAL
PD PC PD PC PD PC PD PC PD PC PD PC ' PD PC
24+ 98 24+ 98 22+ 98 12+ 98 56+ 92 31+ 98 84+ 97
22-23 94 23 96 18-21 93 10-11 26 54-55 90 28-30 93 83 95
21 90 22 90 17 84 9 20 53 88 27 86 82 90
20 86 21 79 16 71 8 8 51-52 80 26 70 81 87
19 78 20 33 15 42 7 6 50 74 25 51 80 82
18 74 19 23 14 9 6 2 49 67 24 23 78-79 80
17 66 18 6 13 2 0-5 1 48 47 23 14 77 77
16 34 17 2 0-12 1 47 41 22 12 75-76 72
15 20 0-16 1 . 46 24 21 9 74 64
14 10 45 6 20 5 73 51
13 2 44 4 17-19 2 72 41
0-12 1 0-43 1 0-16 1 71 36
70 28
69 13
68 8
66-67 5
62-65 3
0-61 1
18-23 MESES
Tabla N-21. Área Comunicación, conversión en centiles Tabla N-22. Área Cognitiva, conversión en centiles
18-23 MESES
Receptiva Expresiva
PUNTUACIÓN
TOTAL
PD PC PD PC PD PC
21+ 98 26+ 98 45+ 98
20 94 25 93 42-44 91
19 93 24 87 39-41 83
18 91 23 85 38 76
17 85 22 68 37 70
16 74 21 65 36 63
15 59 20 54 35 59
14 18 19 46 34 48
13 11 18 22 33 39
12 4 17 13 32 24
0-11 1 16 9 31 18
15 2 30 13
0-14 1 29 6
28 2
0-27 1
Discriminación
perceptiva
Memoria
Razonamiento y
habilidades
escolares
Desarrollo
conceptual
PUNTUACIÓN
TOTAL
PD PC PD PC PD PC PD PC PD PC
14+ 96 12+ 92 7+ 96 6+ 96 32+ 96
13 93 10-11 81 5-6 90 5 94 31 94
12 85 9 68 4 14 4 89 30 89
11 82 0-8 1 3 10 3 74 29 87
10 9 0-2 1 2 9 28 83
9 6 1 4 27 78
0-8 1 0 1 26 63
25 48
24 20
23 11
0-22 1
24-35 MESES
Tabla N-23. Área Personal-Social, conversión en centiles
Interacción con el
adulto
Expresión de
sentimientos/ afecto
Autoeoncepto
Interacción con los
compañeros
Colaboración Rol social PUNTUACIÓN TOTAL
PD PC PD PC PD PC PD PC PD PC PD PC PD PC PD PC
36 86 24 96 28 99 31+ 99 17+ 99 18+ 99 140+ 99 94 42
35 69 23 93 27 95 30 98 15-16 97 17 97 135-139 98 93 40
34 62 22 83 26 90 29 97 14 95 16 95 132-134 96 92 37
33 50 21 78 25 83 27-28 96 13 94 15 92 129-131 94 91 35
32 44 20 62 24 76 26 94 12 92 14 91 126-128 93 90 34
31 40 19 52 23 70 24-25 91 10-11 87 13 90 120-125 88 89 31
30 30 18 35 22 59 22-23 89 9 84 12 87 118-119 84 - 88 30
29 20 17 27 21 51 21 84 8 80 11 85 117 83 87 27
27-28 12 16 19 20 41 20 80 7 70 10 80 116 81 86 26
26 6 15 10 19 34 19 74 6 54 9 76 115 80 85 22
25 5 14 4 18 24 18 67 5 35 8 68 114 79 84 21
24 4 13 2 17 20 17 66 4 18 7 63 113 77 83 20
23 2 0-12 1 14-16 16 16 59 3 10 6 43 112 74 82 18
0-22 1 13 13 15 54 2 6 5 35 110-111 73 81 17
11-12 11 14 46 1 2 4 18 109 72 80 16
10 8 13 39 0 1 3 16 107-108 70 77-79 15
9 7 12 26 2 7 105-106 69 76 12
8 4 11 18 1 5 104 67 72-75 10
7 2 10 11 0 1 103 65 71 8
0-6 1 9 4 - 102 64 67-70 7
8 2 101 62 66 6
0-7 1 100 60 65 5
99 55 64 4
98 50 ` 63 2
97 48 0-62 1
96 46
95 45
24-35 `MESES
Tabla N-24: Área Adaptativa, conversión en centiles
Atención Comida Vestido
Responsabilidad
personal
Aseo
PUNTUACIÓN
TOTAL
PD PC PD PC PD PC PD PC PD PC PD PC
20 77 27+ 97 19+ 99 12+ 99 12 98 83+ 97
19 57 26 82 18 95 10-11 96 11 96 82 96
18 42 25 71 17 90 9 94 10 84 79-81 95
17 21 24 46 16 83 8 89 9 76 78 92
0-16 1 23 33 15 79 7 85 8 65 75-77 91
22 4 14 70 6 83 7 55 . 74 88
21 2 13 64 5 74 6 48 73 86
0-20 1 12 56 4 43 5 44 72 83
11 44 3 21 4 34 71 82
10 35 2 6 3 26 70 77
9 29 0-1 1 2 17 69 70
8 17 1 12 68 68
7 13 0 1 67 65
6 3 66 63
0-5 1 65 60
64 59
63 53
62 51
61 47
60 45
59 37
58 35
57 33
56 30
55 24
53-54 19
52 15
51 12
50 9
49 8
48 3
0-47 1
Tabla N-25. Área Motora, coversión en centfes
Coordinación
corporal
Locomoción Motricidad fina
Motricidad
perceptiva
MOTORA
GRUESA
MOTORA
FINA
PUNTUACIÓN
TOTAL
PD PC PD PC PD PC PD PC PD PC PD PC PD PC
45+
99 24+ 69 31+ 98 17+ 99 81+ 99 47+ 99 111+ 99
30-44 98 23 47 30 95 16 92 66-80 98 45-46 95 108-110 97
29 97 22 20 29 92 15 87 65 97 43-44 94 105-107 93
28 95 21 11 28 90 14 77 64 96 42 88 104 92
27 94 0-20 1 27 88 13 68 63 95 41 84 102-103 89
26 92 26 83 12 56 62 94 40 79 101 86
25 89 25 72 11 46 61 91 39 75 100 82
24 63 24 60 10 5 60 80 38 73 99 81
23 50 23 55 0-9 1 59 61 37 66 98 75
22 32 22 51 58 53 36 64 97 68
21 21 21 44 57 44 35 56 96 66
20 16 20 32 56 35 34 51 95 63
19 11 19 28 55 27 33 49 94 59
18 9 18 20 54 22 32 40 93 52
17 8 17 15 53 13 31 38 91-92 49
16 3 16 5 52 12 30 30 90 47
14-15 2 15 3 51 11 29 23 89 44
0-13 1 0-14 1 50 10 28 18 88 41
49 6 27 14 87 37
48 3 26 6 86 32
47 2 25 5 85 30
0-46 1 24 3 84 26
0-23 1 83 20
82 18
81 16
80 14
79 12
78 11
77 8
76 7
75 4
74 3
0-73 1
2435 MESES
Tabla N-26. Area Comunicación, conversión en centiles Tabla N-27. Área Cognitiva, conversión en centiles
2435 MESES
Receptiva Expresiva
PUNTUACIÓN
TOTAL
PD PC PD PC PD PC
36+ 99 48+ 99 75+ 99
31-35 98 45-47 98 71-74 97
29-30 96 44 97 68-70 96
28 95 42-43 96 66-67 93
27 ' , 92 38-41 95 65 92
26 87 36-37 92 6364 91
- '25 82 35 85 62 90
24 78 34 83 61 88
23 72 33 76 59-60 83
22 62 32 67 57-58 81
21 54 31 63 56 76
20 46 30 56 55 72
19 43 29 48 54 70
18 33 28 43 53 68
17 27 27 34 52 62
16 19 26 30 51 56
r 15 11 25 26 50 54
14
3 24 20 49 53
- 13 2 23 14 48 49
0-12 1 22 9 47 43
21 8 46 41
20 3 45 36
0-19 1 44 33
43 29
42 24
40-41 21
39 14
38 12
37 8
35-36 5
34 4
33 2
0-32 1
Discriminación
perceptiva
Razonamiento y
habilidades
escolares
Desarrollo
conceptual
PUNTUACIÓN
TOTAL
PD PC PD PC PD PC PD PC PD PC
18+ 96 16+ 96 15+ 99 14+ 99 52+ 99
17 91 15 94 12-14 96 13 98 50-51 94
16 81 14 81 11 95 11-12 97 49 93
15 69 13 68 10 94 10 96 46-48 89
14 45 12 38 9 92 9 93 45 86
13 38 11 28 8 87 8 82 44 85
12 26 10 17 7 78 7 77 43 82
11 24 9 9 6 56 6 59 42 78
10 4 0-8 1 5 46 5 46 41 75
0-9 1 0-4 1 4 22 40 69
3 10 39 67
0-2 1 38 59
37 53
36 47
35 41
34 38
33 37
32 28
31 25
30 22
29 18
28 11
27 10
26 5
0-25 1
36-47 MESES
Tabla N-28. Área Personal-Social, conversión en centiles
Interacción con
el adulto
Expresión de
sentimientos/ afecto
Autoconcepto
Interacción con
los compañeros
Colaboración Rol social . PUNTUACIÓN TOTAL
PD PC PD PC PD PC PD PC PD PC PD PC PD PC PD PC
36 61 24 -77 - 28 77 34+ 91 20 98 28 98 169+ 99 120 41
35 48 23 65 27 68 33 87 19 97 27 96 167-168 98 119 36
34 41 22 43 26 55 32 81 18 93 26 95 166 96 118 34
33 30 21 35 25 42 31 74 17 88 25 90 164-165 95 117 32
' 32 17 20 26 24 32 30 70 16 85 24 88 162-163 93 116 30
31 12 19 17 23 19 29 68 15 83 23 86 158-161 92 115 28
30 2 18 10 22 7 28 64 14 75 22 82 157 89 114 26
0-29 1 17 5 21 6 27 59 13 67 21 80 156 87 113 25
0-16 1 20 5 26 57 12 65 20 78 153-155 86 112 23
19 25 56 11 59 19 76 152 84 111 22
0-18 1 24 45 10 51 18 70 151 81 110 20
23 40 9 46 17 67 149-150 80 109 19
22 36 8 42 16 62 148 77 108 17
21 31 7 34 15 55 147 76 107 14
20 29 6 18 14 44 146 75 105-106 12
19 24 5 6 13 41 141-145 71 104 11
18 19 0-4 1 12 37 140 70 103 10
17 17 11 27 139 69 102 8
16 13 10 26 136-138 68 101 7
15 10 9 24 135 65 98-100 5
14 3 8 15 134 61 97 4
0-13 1 7 13 133 59 96 2
6 5 131-132 55 0-95 1
5 4 129-130 53
3-4 3 128 52
2 2 126-127 49
0-1 1 123-125 48
121-122 42
36-47 MESES
Tabla N-29. Área Adaptativa, conversión de centiles
Atención Comida Vestido
Responsabilidad
personal
Aseo
PUNTUACIÓN
TOTAL
PD PC PD PC PD PC PD PC PD PC PD PC
20 38 28 92 20 87 28 99 12 88 106+ 99
19 21 27 82 19 76 20-27 98 11 67 97-105 98
18 6 26 30 18 61 19 95 10 22 95-96 96
17 2 25 16 17 46 18 93 9 16 94 95
0-16 1 24 4 16 28 17 91 8 7 93 93
0-23 1 15 19 16 90 7 5 92 92
14 12 15 88 0-6 1 91 90
13 9 14 85 90 89
12 6 13 84 89 87
11 5 12 80 88 81
10 2 11 74 87 79
0-9 1 10 68 86 73
9 62 84-85 67
8 51 83 63
7 42 82 60
6 33 81 58
5 31 80 53
4 8 79 52
3 2 78 43
0-2 1 77 37
76 33
75 27
74 22
73 16
72 14
71 13
70 12
69 7
68 5
66-67 2
0-65 1
36-47 MESES
Tabla N-30. Área Motora, conversión en Gentiles
Coordinación
corporal
Locomoción Motricidad fina
Motricidad
perceptiva
MOTORA
GRUESA
MOTORA
FINA
PUNTUACIÓN TOTAL
PD PC PD PC PD PC PD PC PD PC PD PC PD PC PD PC
49+ 99 26 94 36+ 97 30+ 99 85+ 98 65+ 99 155+ 99 99 19
47-48 98 25 92 35 95 26-29 96 78-84 93 62-64 98 150-154 98 98 1
42-46 . 95 24 35 34 89 25 95 76-77 92 59-61 97 147-149 97 97 15
40-41 93 23 16 33 84 23-24 88 75 91 57-58 96 134-146 94 96 10
39 91 22 2 32 76 22 87 74 89 56 92 133 93 94-95 8
38 89 0-21 1 31 69 21 86 72-73 88 55 90 131-132 92 93 7
36-37 87 30 58 20 80 71 85 54 85 128-130 90 91-92 6
35 85 29 44 19 75 70 78 53 82 127 89 90 4
34 81 28 26 18 72 68-69 75 52 81 125-126 86 88-89 3
33 78 27 19 17 65 67 69 51 78 123-124 85 87 2
32 74 26 15 16 56 66 67 50 76 121-122 81 0-86 1
31 69 25 11 15 44 65 66 49 74 120 79
30 68 24 10 14 24 64 64 48 67 118-119 78
29 66 23 7 13 14 63 63 47 65 117 76
28 63 22 5 12 7 62 58 46 57 116 73
26-27 160 19-21 3 11 5 61 57 45 50 115 71
25 58 18 2 0-10 1 60 33 44 43 114 68
24 16 0-17 1 59 26 43 38 112-113 67
23 10 58 11 42 31 111 64
22 4 57 7 41 22 110 63
21 2 56 3 40 18 109 60
0-20 1 55 2 39 16 108 56
0-54 1 38 14 107 49
37 11 106 48
36 8 105 45
34-35 7 104 42
33 5 103 37
31-32 4 102 34
30 3 101 30
29 2 100 24
0-28 1
36-47 MESES
Tabla N-31. Área Comunicación, conversión en centiles Tabla N-32. Área Cognitiva, conversión en centiles
36-47 MESES
107
Receptiva Expresiva
PUNTUACIÓN
TOTAL
PD PC PD PC PD PC
47+ 99 60+ 98 107+ 99
46 98 54-59 97 105-106 98
45 97 53 96 96-104 96
44 96 ' 52 94 93-95 93
43 94 51 92 90-92 91
42 91 50 88 89 90
41 89 49 85 87-88 88
40 80 48 81 86 87
39 85 47 80 85 85
37-38 83 46- 77 82-84 84
36 77 45 74 81 80
35 75 44 70 80 78
34 74 43 68 79 77
32-33 72 42 65 77-78 75
31 71 41 64 74-76 72
30 60 40 62 73 69
29 48 38-39 58 72 65
28 41 37 55 71 61
27 36 36 44 70 58
26 27 35 36 69 56
25 17 34 25 68 54
24 14 33 17 67 52
23 11 32 11 66 48
22 8 31 9 65 43
20-21 7 30 6 64 38
19 6 28-29 5 63 36
18 3 26-27 3 62 33
16-17 2 25 2 61 30
0-15 1 0-24 1 60 27
59 22
58 21
57 18
56 15
55 12
54 9
53 8
52 5
44-51 2
0-43 1
Discriminación
perceptiva
Memoria
Razonamiento y
habilidades
escolares
Desarrollo
conceptual
PUNTUACIÓN
TOTAL
PD PC PD PC PD PC PD PC PD PC
20 95 20 99 23+ 99 32+ 99 92+ 99
19 83 19 96 21-22 97 31 98 88-91 98
18 62 18 91 20 94 27-30 97 85-87 97
17 46 17 87 19 91 26 96 77-84 95
16 21 16 71 18 88 22-25 94 75-76 93
15 14 15 55 17 83 21 91 72-74 90
14 6 14 18 16 79 20 90 71 89
13 4 13 14 15 75 19 85 70 88
0-12 1 12 6 14 71 18 82 69 84
11 3 13 70 17 77 65-68 80
10 2 12 69 16 74 64 78
0-9 1 11 64 15 71 62-63 75
10 60 14 66 61 72
9 56 13 65 60 70
8 37 12 61 59 69
7 25 11 57 56-58 67
6 13 10 52 55 65
5 12 9 46 54 63
4 2 8 37 53 62
0-3 1 7 29 52 59
6 13 51 55
5 8 50 50
4 3 49 48
0-3 1 48 47
47 41
46 36
45 29
44 25
43 18
41-42 16
40 12
39 10
38 7
37 6
36 4
34-35 3
31-33 2
0-30 1
48-S9 MESES
Tabla N-33. Área Personal-Social, puntuación centil.
108
Interacción con el
adulto
Expresión de
sentimientoslalgcto
Autoconcepto
interacción con los
compañeros
Colaboración Rol social
PUNTUACIÓN
TOTAL
PD PC PD PC PD PC PD PC PD PC PD PC PD PC
36 49 24 42 28 57 34 91 20 99 27+ 91 167+ 99
35 30 23 26 27 41 33 77 19 92 26 89 166 98
34 19 22 8 26 28 32 69 18 84 25 84 165 92
33 12 21 6 25 15 31 57 17 78 24 74 164 90
32 5 20 4 24 8 30 47 16 70 23 66 163 89
3031 2 18-19 2 23 3 29 41 15 63 22 57 162 87
029 1 0-17 1 022 1 28 34 14 52 21 46 160-161 83
27 29 13 40 20 37 159 78
26 23 12 36 19 32 158 74
25 16 11 31 18 25 157 73
24 12 10 23 17 20 156 70
23 9 9 18 16 11 155 66
22 6 8 10 15 5 154 58
21 4 7 3 14 4 153 57
1920 2 6 2 13 3 152 55
018 1 0-5 1 10-12 2 151 52
09 1 150 51
149 . 50
148 48
147 46
146 42
145 40
144 39
142-143 38
' 140141 35
139 33
138 32
137 26
' 136 23
135 22
134 20
133 18
132 16
131 12
130 11
129 10
128 8
127 7
124126 4
123 2
0122 1
48-59 MESES
Tabla N-34. Área Adaptativa, conversión en centiles
Atención Comida Vestido
Responsabilidad
personal
Aseo
PUNTUACIÓN
TOTAL
PD PC PD PC PD PC PD PC PD PC PD PC
20, 31 28 81 20 70 29+ 99 12 76 108+
_
97
19 19 27 61 19 41 28 96 11 42 105-107 94
18 14 26 10 18 12 27 95 10 7 103-104 93
17 9 25 6 17 3 26 92 9 4 102 91
16 2 0-24 1 0-16 1 25 89 0-8 1 101 90
0-15 1 24 85 99-100 87
22-23 80 98 83
21 75 97 81
20 69 96 75
19 67 ' 95 71
18 60 94 65
17 59 92-93 61
16 56 91 59
15 54 90 54
14 50 89 49
13 46 88 44
12 37 87 39
11 27 86 38
10 15 85 33
9 11 84 25
0-8 1 83 22
82 15
81 10
78-80 9
77 7
71-76 6
0-70 1
48-59 MESES
Tabla N-35. Área Motora, conversión en centiles
Coordinación
corporal
Locomoción Motricidad fina
Motricidad
percepuva
Motora gruesa Motora fina
PUNTUACIÓN
TOTAL
PD PC PD PC PD PC PD PC PD PC PD PC PD PC
46+ 99 26 78 36
90
36+ 99 82+ 97 72+ 99 152+ 98
44-45 94 25 69 35 774 35 98 81 93 71 98 151 97
43 88 24 12 34 57 34 94 80 87 69-70 94 143-150 96
42 78 23 7 33 47 32-33 90 79 86 66-68 92 142 91
41 77 0-22 1 32 35 31 88 78 76 65 90 141 90
40 65 31 20 30 81 77 74 64 82 140 85
39 56 30 9 29 78 76 66 63 80 139 81
38 53 29 8 28 71 75 56 62 75 138 79
37 48 28 5 27 64 74 51 61 68 137 71
36 44 26-27 3 26 58 73 46 60 64 136 65
35 41 24-25 2 25 52 72 41 59 56 135 62
34 35 0-23 1 24 43 71 40 58 50 133-134 56
33 32 23 38 70 37 57 46 132 54
32 28 22 33 69 33 56 40 130-131 53
31 23 21 27 68 30 55 35 129 48
30 22 20 22 67 26 54 32 128 47
28-29 18 19 19 66 24 53 29 127 46
27 17 18 17 65 23 52 23 126 38
26, 15 17 12 62-64 20 51 21 125 34
24-25 5 16 10 61 19 50 19 123-124 32
23 4 15 8 60 10 49 16 122 29
22 2 14 5 59 9 . 48 15 120-121 28
0-21 1 13 2 58 3 47 12 117-119 26
0-12 1 0-57 1 46 9 114-116 25
45 7 113 24
44 6 112 21
43 5 111 19
40-42 4 110 15
39 2 109 12
0-38 1 108 10
107 9
106 6
105 4
103-104 3
100-102 2
0-99 1
48-59 MESES
Tabla N-36: Área Comunicación, conversión en centiles
Receptiva Expresiva PUNTUACIÓN TOTAL
PD PC PD PC PD PC PD PC
52+ 99 63+ 99 111+ 99 78 29
50-51 95 61-62 98 110 98 77 23
48-49 94 60 97 105-109 97 76 22
47 92 59 94 104 93 75 20
46 87 58 89 103 89 74 18
45 83 57 82 102 86 73 17
44 77 56 78 101 83 72 16
43 65 55 . 72 100 79 69-71 12
42 60 54 70 99 78 68 11
41 56 53 68 98 73 67 10
40 50 52 66 97 71 66 8
39 47 51 58 96 69 65 6
38 43 50 51 95 67 63-64 4
37 32 49 48 94 66 59-62 3
36 29 48 43 93 63 58 2
35 24 47 35 92 61 0-57 1
34 23 46 32 91 59
33 21 45 30 90 54
32 17 44 26 89 49
31 16 43 22 87-88 48
30 10 38-42 20 86 44
29 7 37 15 85 40
28 4 36 8 84 39
25-27 2 35 7 83 38
0-24 1 34 5 82 34
32-33 4 81 33
31 3 80 31
0-30 1 79 30
48-59 MESES
Tabla N-37. Área Cognitiva, conversión en centiles
Discriminación
perceptiva
Memoria
Razonamiento y
habilidades
escolares
Desarrollo
conceptual
PUNTUACIbN TOTAL
PD PC PD PC PD PC PD PC PD PC PD PC
20 72 20 95 26+ 90 38+ 99 102+ 99 56-57 14
19' 55 19 89 25 86 36-37 97 101 97 55 12
18 33 18 65 24 80 35 96 97-100 96 54 11
17 13 17 58 23 68 34 92 95-96 94 53 10
16 2 16 35 22 57 33 88 94 93 52 8
0-15 1 15 27 21 46 32 84 93 90 51 7
14 5 20 43 31 81 91-92 88 49-50 6
13 3 19 39 30 77 89-90 85 47-48 4
0-12 1 18 37 29 76 88 82 46 3
17 31 28 73 87 80 0-45 1
1'6 27 27 72 86 77
15 20 26 66 85 73
14 18 25 58 84 66
13 17 24 52 83 59
12 13 23 51 82 56
11 12 22 50 81 55
10 8 21 49 80 51
9 5 20 45 78-79 49
8 4 19 43 77 48
7 3 18 40 76 44
0-6 1 17 34 75 42
16 30 74 41
15 28 72-73 40
14 26 69-71 37
13 21 66-68 36
12 17 65 33
11 16 64 30
10 12 63 29
9 10 62 25
8 6 61 22
7 3 59-60 18
0-6 1 58 15
60-71 ' MESES
Tabla N-38. Área Personal-Social, conversión en centiles
Interacción
con el adulto
Expresión de
sentimientoslafecto
Autoconcepto
Interacción con
los compañeros
Colaboración Rol social
PUNTUACIÓN
TOTAL
PD PC PD PC PD PC PD PC PD PC PD PC PD ' PC
36 31 24 17 28 23 34 62 20 92 28 79 170 97
35 14 23 4 27 19 33 42 19 80 27 67 169 93
34, , 6 22 3 26 12 32 28 18 61 26 48 168 89
33 4 21 2 25 10 31 21 17 53 25 33 167 82
32 2 0-20 1 24 3 30 15 16 33 24 24 166 75
0-31 1 0-23 1 29 9 15 26 23 22 165 69
28 6 14 18 22 18 164 64
27 5 13 13 21 16 163 58
26 4 12 8 20 8 162 50
24-25 3 11 7 19 4 161 45
23 2 10 5 18 2 160 37
0-22 1
-
9 4 0-17 1 159 34
8 3 158 30
7 2 157 28
0-6 1 156 25
155 24
154 18
153 16
152 12
150-151 10
149 9
146-148 8
145 7
144 6
136-143 2
0-135 1
60-71 MESES
rabia N-39. Área Adaptativa, conversión en centiles
Atención Comida Vestido
Responsabilidad
personal
Aseo
PUNTUACIÓN
TOTAL
PD PC PD PC PD PC - PD PC PD PC PD PC
20 17 28 58 20 64 36+ 97 12 59 115+ 99
19 14 27 37 19 26 35 92 11 20 113-114 93
18 12 26 2 18 5 34 90 10 2 112 91
17 10 0-25 1 17 4 33 88 0-9 1 111 90
16 6 0-16 1 32 84 110 87
0-15 1 31 78 109 79
30 71 108 74
29 63 107 71
28 58 106 69
27 52 105 66
26 48 104 62
25 43 103 54
24 36 102 47
23 33 101 43
22 26 100 40
21 20 99 38
18-20 19 98 31
16-17 18 97 28
13-15 16 94-96 25
12 5 92-93 22
11 3 91 16
10 2 90 15
0-9 1 89 13
88 12
87 9
86 4
85 3
0-84 1
60-71, MESES
Tabla N-40. Área Motora, puntuación centil.
Coordinación
corporal
Locomoción Motricidad fina
Motricidad
perceptiva
MOTORA
GRUESA
MOTORA
FINA
PUNTUACIÓN
TOTAL
PD PC PD PC PD PC PD PC PD PC PD PC PD PC
50 93 26 35 36 65 40 98 88 93 76 99 164 99
49 88 25 28 35 43 38-39 96 87 87 75 98 163 98
48 84 0-24 1 34 15 37 90 86 82 74 97 161-162 96
47 81 33 12 36 81 85 81 73 93 160 94
46 77 32 6 35 73 84 80 72 90 159 92
45 73 31 4 34 63 83 76 71 83 158 90
44 64 30 2 33 46 82 65 70 71 157 88
43 48 0-29 1 32 34 81 54 69 62 155-156 82
42 30 31 26 80 36 68 51 154 79
41 25 30 16 79 29 67 38 153 78
40 7 29 13 78 16 66 30 152 71
38-39 5 28 8 77 13 65 22 151 69
36-37 4 27 6 76 6 64 16 150 59
34-35 3 .26 4 74-75 5 63 10 149 48
33 2 25 3 72-73 4 62 6 148 40
0-32 1 24 2 70-71 2 59-61 5 147 38
0-23 1 0-69 1 58 3 146 31
55-57 2 145 26
0-54 1 144 20
143 19
142 14
141 10
140 9
139 8
138 6
136-137 5
128-135 4
126-127 2
0-125 1
60-71 MESES
Tabla N-41 . Área Comunicación, conversión en Gentiles Tabla N-42. Área Cognitiva, conversión en centiles
60-71 MESES
Discriminación
perceptiva
Memoria
Razonamiento y
habilidades
escolares
Desarrollo
conceptual
PUNTUACIÓN
TOTAL
PD PC PD PC PD PC PD PC PD PC
20 53 20 86 32 99 40 99 108+ 99
19 23 19 74 30-31 96 39 97 106-107 98
18 12 18 44 29 92 38 92 104-105 96
17 5 17 28 28 89 37 88 103 89
0-16 1 16 16 27 84 36 81 102 86
15 11 26 55 35 75 101 84
0-14 1 25 36 34 68 100 79
24 24 33 62 99 76
23 16 32 50 98 75
22 10 31 39 97 72
21 5 30 34 96 66
20 3 29 30 95 58
19 2 28 23 94 51
0-18 1 27 21 93 48
26 17 92 39
25 15 91 38
24 12 90 31
23 6 89 27
21-22 5 88 24
20 3 87 22
19 2 86 18
0-18 1 85 16
84 14
83 9
82 8
79-81 7
77-78 6
76 5
75 4
0-74 1
Receptiva Expresiva
PUNTUACIÓN
TOTAL
PD PC PD PC PD PC
54 98 63+ 96 117+ 99
53 93 62 90 116 98
52 90 61 79 114-115 93
51 84 60 72 113 91
50 79 59 64 112 89
49 70 58 46 111 87
48 60 57 40 110 84
47 52 56 33 109 80
46 43 55 27 108 70
45 38 54 24 107 67
44 30 53 20 106 62
43 22 52 14 105 58
42 19 51 11 104 54
41 17 50 9 103 47
40 10 49 7 102 43
39 8 48 6 101 37
38 6 46-47 5 100 30
37' 4 40-45 3 99 27
35-36 3 0-39 1 98 23
0-34 1 97 21
96 16
95 14
94 13
93 12
92 11
91 8
90 6
84-89 5
78-83 4
77 3
0-76 1
72-83 MESES
Tabla N-43. Área Personal-Social, conversión en centiles
Interacción
con el adulto
Expresión de
sentimientoslafecto
Autoconcepto
Interacción con
los compañeros
Colaboración Rol social
PUNTUACIÓN
TOTAL
PD PC PD PC PD PC PD PC PD PC PD PC PD PC
36 17 24 12 28 12 34 25 20 71 28 48 70 84
35 7 23 7 27 10 33 12 19 47 27 35 169 75
34 2 21-22 5 26 8 32 9 18 13 26 19 168 51
0-33 1 20 2 25 7 31 5 17 11 25 9 167 44
0-19 1 24 5 30 2 16 5 24 7 166 35
23 3 0-29 1 15 4 23 6 165 23
22 2 14 2 22 4 164 18
0-21 1 0-13 1 20-21 2 163 16
0-19 1 161-162 14
156-160 10
155 9
150-154 7
149 5
143-148 4
136-142 2
0-135 1
72-83 MESES
Tabla N-44. Área Adaptativa, conversión en centiles
Atención Comida Vestido
Responsabilidad
personal
Aseo
PUNTUACIÓN
TOTAL
PD PC PD PC PD PC PD PC PD PC PD PC
20 11 28 45 20 45 38 88 12 27 118 94
19 6 27 24 19 12 37 76 11 8 117 85
18 2 0-26 1 0-18 1 36 70 0-10 1 116 79
0-17 1 35 56 115 69
34 45 114 60
33 36 113 51
32 34 112 44
31 29 111 40
30 23 110 38
29 19 109 28
28 14 108 23
27 12 107 16
26 10 106 13
25 9 105 11
24 7 104 10
23 3 103 8
0-22 1 102 4
101 3
0-100 1
72-83 MESES
Tabla N-45. Área Motora, conversión en centiles
Coordinación
corporal
Locomoción Motricidad fina
Motricidad
perceptiva
MOTORA
GRUESA
MOTORA
FINA
PUNTUACIÓN
TOTAL
PD PC PD PC PD PC PD PC PD PC PD PC PD PC
50 85 26 20 36 16 40 98 88 85 76 98 164 99
49 72 25 14 35 9 39 93 87 72 75 94 163 97
48 54 0-24 1 34 3 38 62 86 54 74 66 162 92
47 39 33 2 37 42 85 40 73 44 161 84
46 31 0-32 1 36 28 84 34 72 32 160 70
45 25 35 21 83 26 71 21 159 59
44 9 34 16 82 15 70 19 158 49
43 6 33 8 81 11 69 12 157 39
42 5 32 4 80 6 68 6 156 32
41 3 31 3 79 4 67 3 155 27
40 2 30 2 77-78 2 64-66 2 154 24
0-39 1 0-29 1 0-76 1 0-63 1 153 20
152 15
151 12
150 11
149 10
148 8
147 4
146 3
145 2
0-144 1
72-83 MESES 72-83 MESES
Tabla N-46. Área Comunicación, conversión en centiles Tabla N-47. Área Cognitiva, conversión en centiles
Discriminación
perceptiva
Memoria
Razonamiento y
habilidades
escolares
Desarrollo
conceptual
PUNTUACIÓN
TOTAL
PD PC PD PC PD PC PO PC PD PC
20 16 20 70 32 92 40 83 112 99
19 4 19 42 31 86 39 70 111 94
18 2 18 15 30 55 38 55 110 88
0-17 1 17 2 29 38 37 46 109 83
0-16 1 28 24 36 32 108 73
27 15 35 25 . 107 67
26 5 34 17 106 54
25 3 33 12 105 47
24 2 32 5 104 42
0-23 1 30-31 3 103 38
28-29 2 102 30
0-27 1 101 24
100 20
99 15
98 13
97 11
96 6
95 5
94 2
0-93 1
Receptiva Expresiva
PUNTUACIÓN
TOTAL
PD PC PD PC PD PC
54 78 64 89 118 94
53 56 63 74 117 84
52 43 62 50 116 74
51 33 61 35 115 63
50 25 60 22 114 56
49 16 59 20 113 47
48 8 58 12 112 42
47 5 57 9 111 35
45-46 4 56 8 110 26
44 3 54-55 5 109 17
41-43 2 53 3 108 13
0-40 1 52 2 106-107 10
0-51 1 105 8
104 7
103 6
101-102 4
99-100 2
0-98 1
8495 MESES
Tabla N-48. Área Personal-Social, conversión en centiles
8495 MESES
Tabla N-49. Área Adaptativa, conversión en centiles
Interacción
con el adulto
Expresión de
sentimientoslafecto
Autoconcepto
Interacción con
los compañeros
Colaboración Rol social
PUNTUACIÓN
TOTAL
PD PC PD PC PD PC PD PC PD PC PD PC PD PC
36 7 24 10 28 8 34 18 20 42 28 29 170 60
35 5 23 5 27 5 33 4 19 22 27 15 169 48
0-34 1 22 2 0-26 1 32 2 0-18 1 26 3 168 22
0-21 1 0-31 1 0-25 1 167 15
166 12
165 8
164 5
0-163 1
Atención Comida Vestido
Responsabilidad
personal
Aseo
PUNTUACIÓN
TOTAL -
PD PC PD PC PD PC PD PC PD PC PD PC
20 7 28 12 20 34 38 67 12 11 118 74
17-19 3 27 5 19 11 . 37 46 0-11 1 117 64
0-16 1 0-26 1 0-18 1 36 31 116 50
35 21 115 38
34 12 114 26
33 10 113 21
32 6 112 14
31 4 111 12
0-30 1 110 7
109 5
0-108 1
84-95 MESES -
Tabla N-50. Área Motora, conversión en centiles
84-95 MESES
Tabla N-51. Área Comunicación, conversión en centiles
122
Tabla N-52. Área Cognitiva, conversión en centiles
8495 MESES
Coordinación
corporal
Locomoción Motricidad fina
Motricidad
perceptiva
MOTORA
GRUESA
MOTORA
FINA
PUNTUACIÓN
TOTAL
PD PC PD PC PD PC PD PC PD PC PD PC PD PC
50 50 26 9 36 7 40 76 88 58 76 77 164 78
49 32 25 4 35 2 39 64 87 40 75 66 163 76
48 20 0-24 1 0-34 1 38 28 86 28 74 31 162 56
47 11 37 17 85 23 73 17 161 49
46 4 36 8 84 7 72 9 160 37
44-45 2 35 7 82-83 5 71 7 159 34
0-43 1 34 2 0-81 1 70 2 158 24
0-33 1 0-69 1 157 20
156 15
154-155 12
153 7
150-152 5
149 2
0-148 1
Receptiva Expresiva
PUNTUACIÓN
TOTAL
Punt. PC Punt. PC Punt. Pc
54 42 64 62 118 73
53 17 63 40 117 51
52 7 62 21 116 32
51 4 61 13 115 22
49-50 2 60 9 114 14
0-48 1 59 4 113 11
58 3 112 9
0-57 1 111 6
110 4
109 3
108 2
0-107 1
Discriminación
perceptiva
.
Memoria
Razonamiento y
habilidades
escolares
Desarrollo
conceptual
PUNTUACIÓN
TOTAL
PD PC PD PC PD PC PD PC PD PC
20 5 20 36 32 59 40 46 112 87
19 2 19 26 31 54 39 31 111 80
0-18 1 ` 18 6 30 14 38 17 110 56
0-17 1 29 7 37 12 109 51
28 2 36 9 108 33
0-27 1 35 6 107 31
33-34 3 106 26
32 2 105 20
0-31 1 104 13
103 10
100-102 8
99 5
0-98 1
Tabla N-53. Prueba de "screening°: puntuaciones de criterio
123
PERSONAUSOCIAL ADAPTATIVA MOTORA GRUESA'' MOTORA FINA "MOTORA TOTAL
(puntuación máxima 40) (puntuación máxima 40) (puntuación máxima 18) (puntuación máxima 22) (puntuación_máxima 40)
Edad Desviaciones típicas Edad Desviaciones típicas Edad Desviaciones típicas Edad Desviaciones típicas Edad Desviaciones típicas
1,00 1,50 2,00 1,00 1,50 2,00 1,00 1,50 2,00 1,00 1,50 2,00 1,00 1,50 2,00
0-5 0 - - 0-5 0 - - 0-5 - - - 0-5 - - - 0-5 - - -
6-11 8 7 5 6-11 6 5 3 6-11 2 1 - 6-11 3 2 1 6-11 5 3 2
12-17 12 11 10 12-17 10 9 7 12-17 4 3 3 12-17 5 4 3 12-17 9 8 6
18-23 15 - 14 12 18-23 14 13 12 18-23 6 5 4 18-23 8 7 6 18-23 14 13 11
24-35 21 20 18 24-35 18 16 15 24-35 .8 7 6 24-35 9 8 7 24-35 j9 18 16
36-47 24 25 19 36-47 23 21 19 36-47 9 8 7 36-47 11 10 9 36-47 20 19 17
48-59 31 29 27 48-59 29 27 26 48-59 13 13 12 48-59 14 14 13 48-59 28 26 25
60-71 35 34 32 60-71 31 29 27 60-71 15 14 14 60-71 17 16 15 60-71 32 31 29
72-83 37 36 36 72-83 36 35 35 72-83 17 16 15 72-83 20 19 18 72-83 36 35 34
84-95 39 38 38 84-95 38 37 37 84-95 18 17 16 84-95 21 21 21 84-95 39 39 38
_
RECEPTIVA EXPRESIV COMUNICACION TOTAL COGNITIVA PUNTUACIÓN TOTAL I
(puntuación máxima 18) (puntuación máxima 18) (puntuación máxima 36) (puntuación máxima 36) (puntuaci ón máxima 192)
Edad Desviaciones típicas Edad Desviaciones típicas Edad Desviaciones típicas Edad Desviaciones típicas Edad Desviaciones típicas
1,00 1,50 2,00 1,00 1,50 2,00 1,00 1,50 2,00 1,00 1,50 2,00 -1,00 -1,50 -2,00
0-5 - - - 0-5 - - - 0-5 - - - 0-5 - - - 0-5 - -
6-11 2 2 1 6-11 2 1 1 6-11 4 3 2 6-11 7 6 5 6-11 35 30 26
12-17 4 3 2 12-17 3_ 2 2 12-17 7 5 4 12-17 10 9 8 12-17 50 46 42
18-23 6 6 5 18-23 6 5 5 18-23 11 11 10 18-23 11 10 9 18-23 67 62 57
24-35 8 7 6 24-35 7 7 6 24-35 15 14 12 24-35 16 15 14 24-35 92 89 85
36-47 9 8 7 36-47 10 9 8 36-47 19 17 16 36-47 19 17 15 36-47 108 99 91
48-59 10 9 8 48-59 12 10 9 48-59 23 21 19 48-59 26 25 24 48-59 141 135 129
60-71 12 11 10 60-71 13 12 11 60-71 25 23 22 60-71 28 27 26 60-71 155 150 145
72-83 16 15 15 72-83 15 14 13 72-83 32 31 30 72-83 30 29 27 72-83 174 170 166
84-95 17 16 16 84-95 16 15 14 84-95 ' 33 32 31 84-95 33 32 31 84-95 183 181 180
Tabla N-54. Edades equivalentes, en meses, para las puntuaciones de la prueba de "screening" en cada área
124
EDADES EQUIVALENTES
Punt PS A MG MF M REC EXP CM CG
0
1
T2
0 0 0-2 0-2 0-1 0-1 0-1 0 0-1
1 1 3-4 3 2 2-3 2-3 1 2
3
2 2 5-7 45 3 45 4-5 2 3
4
3
3
3 8-10 6 4 6-7 6-10 3-4 4
5
4 11-13 7 5 8-12 11-15 5 44 5 14-16 8-10 5 13-17 16-17 6-7 55 5 17-18 11-13 6 18-22 18-19 8 6
8
5 6 19-20 1416 7 23-25 20-23 9-10 6
9
6 7 21-24 17-19 8 26-28 2427 11-12 7
10
7 8 25-28 20-22 9-10 29-35 28-32 13-14 8-10
11
7 9-10 29-35 23-25 11-12 36-42 33-37 15-16 11-13
12
9 11-12 36-41 26-28 13-14 43-47 38-42 17-18 14-16
13
10-11 13-14 42-44 29-33 15 48-52 43-47 19-20 17-19
14
12-13 15 45-47 34-38 16 53-59 48-52 21 20-22
15
14-15 16-17 48-50 39-43 17 60-65 53-60 22-23 23-24
16
16-17 18 51-60 44-48 18 66-71 61-68 24 25-26
17
18-19 19-20 61-70 49-53 19 72-77 69-77 25-26 27-28
18
20 21-22 71-80 5458 20-21 78-89 78-89 27-28 29-30
19
21 23-25 81-95 59-63 22-23 90-95 90-95 29-30 31-33
20
22-23 26-28 64-68 2425 31-33 34-3524-25 29-30 69-75 26-27 34-36 36-9821
22
26-27 31-32 76-83 28-30 37-39 39-40
23
28-29 33-34 84-95 31-33 40-42 41-43
24
30
31-32
35-36
37-38
34-36 43-44 4445
25 33 39-40
37-39 45-46 46-48
26 34-35 41-42
40-41 47-48 I49-50
27 36 43-44
42-43 49-50 51-52
28 37-38 45-46
4445
46-47
51-52 53-58
29 39 47-48 48-49
53-59 59-63
30 40-41 49-50 50-51
60-65 64-68
31 42-43 51-52 52-54
66-68 69-72
32 44-46 53-56 55-57
69-71 73-76
33 47-49 57-60 58-60
72-74 77-79
34 50-52 61-65 61-63
75-77 80-84
35 53-56 66-69 6467
78-89 85-89
36 57-60 70-73 68-72
90-92 90-92
37 61-66 74-77 73-77
93-95 93-95
38 67-76 78-83 78-82
39 77-87 84-89 83-87
40 88-95 90-95 88-95
Punt
Máxima
40
40 18 22 40 18 18 36 36
Tabla N-55. Edades equivalentes, en meses, para las puntuaciones Totales de la Prueba de °screening"
PUNTUACION
TOTAL
Edad
equivalente
PUNTUACION
TOTAL
Edad
equivalente
PUNTUACION
TOTAL
Edad
equivalente
0-3 0 102-103 30 160 60
4-7 1 104-105 31 161 61
8-11 2 106-107 32 162 62
12-17 3 108-109 33 163 63
18-23 4 110-111 34 164 64
24-29 5 112-113 35 165 65
30-35 6 114-115 36 166 66
36-41 7 116-117 37 167 67
42-45 8 118-119 38 168 68
46-47 9 120-121 39 169-170 69
48-49 10 122-123 40 171 70
50-51 11 124-125 41 172 71
52-53 12 126-127 42 173 72
54-55 13 128-129 43 174-175 73
56-57 14 130-132 44 176 74
58-60 15 133-134 45 177 75
61-63 16 135-136 46 178 76
64-66 17 137-139 47 179-180 77
67-69 18 140-141 48 181 78
70-72 19 142-143 49 182 79-80
73-75 20 144-146 50 183 81-82
76-78 21 147-148 51 184 83-85
79-82 22 149-150 52 185 86-87
83-85 23 151-153 53 186 88-89
86-87 24 154 54 187 90
88-90 25 155 55 188 91
91-93 26 156 56 189 92
94-95 27 157 57 190 93
96-98 28 158 58 191 94
99-101 29 159 59 192 95
Puntuación máxima 192
Tabla N-56. Edades equivalentes, en meses, para las puntuaciones totales del Área Personal-Social
PUNTUACIÓN
TOTAL
Edad
equivalente
PUNTUACIÓN
TOTAL
Edad
equivalente
PUNTUACIÓN
TOTAL
Edad
equivalente
PUNTUACIÓN
TOTAL
Edad
equivalente
0-4 0 72-74 23 133-134 46 166 72-74
5-9 1 75-77 24 135-136 47 167 75-77
10-14 2 78-80 25 137-138 48 168 78-83
15-19 3 81-83 26 139-140 49 169 84-89
20-21 4 84-86 27 141-142 50 170 90-95
22-23 5 87-89 28 143-144 51
24-25 6 90-93 29 145-146 52
26-27 7 94-97 30 147--148 53
28-29 8 98-100 31 149-150 54
30-32 9 101-103 32 151-152 55
33-35 10 104-106 33 153 56
36-38 11 107-109 34 154 57
39-41 12 110-112 35 155 58
42-44 13 113-114 36 156 59
45-47 14 115-116 37 157 60
48-50 15 117-118 38 158 61
52-53 16 119-120 39 159 62
54-56 17 121-122 40 160 63
57-59 18 123-124 41 161 64
60-62 19 125-126 42 162 65
63-65 20 127-128 43 163 66-67
66-68 21 129-130 44 164 68-69
69-71 22 131-132 45 165 70-71
Puntuación máxima 170
Tabla N-57. Edades equivalentes, en meses, para las puntuaciones totales del Área Adaptativa
PUNTUACIÓN
TOTAL
Edad
equivalente
PUNTUACIÓN
TOTAL
Edad
equivalente
PUNTUACIÓN
TOTAL
Edad
equivalente
PUNTUACIÓN
TOTAL
Edad
equivalente
0-3 0 47 21 78 42 99 63
4-6 1 48-49 22 79 43 100 64
7-9 2 50-51 23 80 44 101 65
10-12 3 52-53 24 81 45 102 66
13-14 4 54-55 25 82 46 103 67-68
15-16 5 56-57 26 83 47 104 69
17-18 6 58 27 84 48 105 70
19-20 7 59 28 85 49 106 71
21-22 8 60 29 86 50 107 72
23-24 9 61 30 87 51 108 73
25-27 10 62-63 31 88 52 109 74
28-30 11 64-65 32 89 53 110 75
31-33 12 66-67 33 90 54 111 76
34-36 13 68-69 34 91 55 112 77
37-38 14 70-71 35 92 56 113 78-80
39-40 15 72 36 93 57 114 81-83
41-42 16 73 37 94 58 115 84-86
43 17 74 38 95 59 116 87-89
44 18 75 39 96 60 117+ 90-95
45 19 76 40 97 61
46 20 77 41 98 62
Puntuación máxima 118
Tabla N-58. Edades equivalentes, en meses, para las Tabla N-59. Edades equivalentes, en meses, para las
puntuaciones totales del Área Motora gruesa puntuaciones totales del Área Motora fina
PUNTUACIÓN
TOTAL
Edad
equivalente
PUNTUACIÓN
TOTAL
Edad
equivalente
PUNTUACI N
TOTAL
Edad
equivalente
0-2 0 53 26 80 66
3-5 1 54 27 81 67-69
6-8 2 55 28 82 70-71
9-10 3 56 29 83 72-73
11-12 4 57 30 84 74-75
13-14 5 58 31-34 85 76-77
15-16 6 59 35-38 86 78-83
17-18 7 60 39-42 87 84-89
19-21 8 61-62 43 88 90-95
22-24 9 63 44
25-27 10 64 45
28-30 11 65 46
31-33 12 66 47
34-36 13 67 48
37-38 14 68 49
39-40 15 69 50
41-42 16 70 51
43-44 17 71 52
45 18 72 53
46 19 73 54
47 ?0 74 55-56
48 21 75 57-58
49 22 76 59-60
50 23 77 61-62
51 24 78 63-64
52 25 79 65 1
Puntuación máxima 88
-71
PUNTUACIÓN
TOTAL
Edad
equivalente
PUNTUACIÓN
TOTAL
Edad
equivalente
PUNTUACIÓN
TOTAL
Edad
equivalente
0-1 0 33 29 59 55-56
2-3 1 34 30 60 57-58
4-5 2 35 31 61 59
6-7 3 36 32 62 60
8-9 4 37 33 63 61
10-11 5 38 34 64 62
12-13 6 39 35 65 63
14 7 40 36 66 64
15 8 41 37 67 65
16 9 42 38 68 66-67
17 10 43 39 69 68-69
18 11 44 40 70 70-71
19 12 45 41 71 72-73
20 13 46 42 72 74-75
21 14 47 43 73 76-77
22 15-16 48 44 74 78-89
23 17-18 49 45 75+ 90-95
24 19-20 50 46
25 21 51 47
26 22 52 48
27 23 53 49
28 24 54 50
29 25 55 51
30 26 56 52
31 27 57 53
32 28 58 54
Puntuación máxima 76
Tabla N-60. Edades equivalentes, en meses, para las puntuaciones totales del Área Motora
PUNTUACIÓN
TOTAL
Edad
equivalente
PUNTUACIÓN
TOTAL
Edad
equivalente
PUNTUACIÓN
TOTAL
Edad
equivalente
PUNTUACIÓN
TOTAL
Edad
equivalente
0-4 0 82-83 26 126-127 52 161 86-89
5-8 1 84-85 27 128 53 162+ 90-95
9-12 2 86-87 28 129 54
13-16 3 88-89 29 130-131 55
17-20 4 90-91 30 132-133 56
21-24 5 92-93 31 134-135 57
25-28 6 94-95 32 136-137 58
29-31 7 96-97 33 138-139 59
32-34 8 98-99 34 140-141 60
35-37 9 100 35 142-143 61
38-42 10 101 36 144-145 62
43-47 11 102 37 146 63
48-52 12 103 38 147 64
53-57 13 104 39 148 65
58-62 14 105 40 149 66
63-64 15 106 41 150 67-68
65-66 16 107 42 151 69-70
67-68 17 108-109 43 152 71
69 18 110-111 44 153 72
70 19 112-113 45 154 73
71 20 114-115 46 155 74
72 21 116-117 47 156 75
73-75 22 118-119 48 157 76
76-77 23 120-121 49 158 77
78-79 24 122-123 50 159 78-81
80-81 25 124-125 51 160 82-85
Puntuación máxima 164
Tabla N-61. Edades equivalentes, en meses, para las puntuaciones totales de la Subárea Comunicación receptiva
PUNTUACIÓN
TOTAL
Edad
equivalente
PUNTUACIÓN
TOTAL
Edad
equivalente
PUNTUACIÓN
TOTAL
Edad
equivalente
PUNTUACIÓN
TOTAL
Edad
equivalente
0-1 0 18 27 34 48 50 73-74
2-3 1 19 28 35 49 51 75-77
4 2 20 29 36 50 52 78-83
5 3 21 30-31 37 51 53 84-90
6 4-5 22 32-33 38 52 54 91-95
7 6 23 34-35 39 53
8 7 24 36 40 54
9 8 25 37 41 55-56
10 9-11 26 38 42 57-58
11 12-14 27 39 43 59-60
12 15-16 28 40 44 61-62
13 17-18 29 41 45 63-64
14 19-20 30 42-43 46 65-66
15 21-22 31 44-45 47 67-68
16 23-24 32 46 48 69-70
17 25-26 33 47 49 71-72
Puntuación máxima 54
Tabla N-62. Edades equivalentes, en meses, para las puntuaciones totales de la Subárea Comunicación Expresiva
PUNTUACIÓN
TOTAL
Edad
equivalente
PUNTUACIÓN
TOTAL
Edad
equivalente
PUNTUACIÓN
TOTAL
Edad
equivalente
PUNTUACIÓN
TOTAL
Edad
equivalente
0-1 0 18 18-19 35 40 51 57-58
2 1 19 20-21 36 41 52 59-60
3 2 20 22 37 42 53 61
4 3 21 23 38 43 54 62
5 4-5 22 24 39 44 55 63
6 6 23 25 40 45 56 64
7 7 24 26 41 46 57 65
8 8 25 27 42 47 58 66
9-10 9 26 28 43 48 59 67-70
11 10 27 29 44 49 60 71-74
12 11 28-29 30 45 50 61 75-78
13 12 30 31-32 46 51 62 79-84
14 13 31 33-34 47 52 63 85-89
15 14 32 35-36 48 53 64 90-95
16 15 33 37-38 49 54
17 16-17 34 39 50 55-56
Puntuación máxima 64
Tabla N-63. Edades equivalentes, en meses, para las puntuaciones totales del Área Comunicación
PUNTUACIÓN
TOTAL
Edad
equivalente
PUNTUACIÓN
TOTAL
Edad
equivalente
PUNTUACIÓN
TOTAL
Edad
equivalente
PUNTUACIÓN
TOTAL
Edad
equivalente
0-2 0 35-36 21 66 42 100 63
3-5 1 37-38 22 67-69 43 101 64
6-7 2 39-40 23 70-71 44 102 65
8-9 3 41-42 24 72-73 45 103 66
10-11 4 43 25 74-75 46 104 67-68
12-13 5 44 26 76-77 47 105 69
14-15 6 45 27 78-79 48 106 70
16 7 46 28 80-81 49 107 71
17 8 47 29 82-83 50 108 72
18 9 48 30 84-85 51 109 73
19-20 10 49-50 31 86-87 52 110 74
21-22 11 51-52 32 88-89 53 111 75
23-24 12 53-54 33 90-91 54 112 76
25-26 13 55-56 34 92 55 113 77
27-28 14 57-58 35 93 56 114 78-81
29 15 59-60 36 94 57 115 82-85
30 16 61 37 95 58 116 86-89
31 17 62 38 96 59 117+ 90-95
32 18 63 39 97 60
33 19 64 40 98 61
34 20 65 41 99 62
Puntuación máxima 118
Tabla N-64. Edades equivalentes, en meses, para las puntuaciones totales del Área Cognitiva
PUNTUACIÓN
TOTAL
Edad
equivalente
PUNTUACIÓN
TOTAL
Edad
equivalente
PUNTUACIÓN
TOTAL
Edad
equivalente
PUNTUACIÓN
TOTAL
Edad
equivalente
0-1 0 34 28 72-73 52 103 76
2-3 1 35 29 74-75 53 104 77
4-5 2 36 30 76-78 54 105 78
6 3 37 31 79-80 55 106 79-82
7-8 4 38 32 81-82 56 107 83-86
9-10 5 39 33 83-84 57 108 87-89
11-12 6 40 34 85 58 109+ 90-95
13-14 7 41 35 86 59
15-16 8 42 36 87 60
17 9 43 37 88 61
18 10 44 38 89 62
19 11 45 39 90 63
20 12 46 40 91 64
21 13 47 41 92 65
22 14 48-49 42 93 66
23 15 50-52 43 94 67
24 16-18 53-55 44 95 68
25 19-21 56-58 45 96 69
26-27 22 59-61 46 97 70
28-29 23 62-63 47 98 71
30 24 64-65 48 99 72
31 25 66-67 49 100 73
32 26 68-69 50 101 74
33 27 70-71 51 102 75
Puntuación máxima 112
Tabla N-65. Edades equivalentes, en meses, para las puntuaciones totales del Battelle
PUNTUACIÓN
TOTAL
Edad
equivalente
PUNTUACIÓN
TOTAL
Edad
equivalente
PUNTUACIÓN
TOTAL
Edad
equivalente
PUNTUACIÓN
TOTAL
Edad
equivalente
0-16 0 279-289 25 479-485 50 644-647 75
17-32 1 290-300 26 486-492 51 648-651 76
33-48 2 301-311 27 493-500 52 652-655 77
49-65 3 312-320 28 501-509 53 656-657 78
66-76 4 321-329 29 510-517 54 658-659 79
77-87 6 330-337 30 518-525 55 660-661 80
88-98 6 338-344 31 526-533 56 662-663 81
99-109 7 345-351 32 534-541 57 664 82
110-120 8 352-358 33 542-549 58 665 83
121-131 9 359-365 34 550-557 59 666 84
132-142 10 366-372 35 558-565 60 667 85
143-153 11 373-379 36 566-573 61 668 86
154-164 12 380-386 37 574-581 62 669 87
165-175 13 387-393 38 582-589 63 670 88
176-186 14 394-403 39 590-597 64 671 89
187-196 15 404-413 40 598-605 65 672+ 90-95
197-204 16 414-421 41 606-610 66
205-212 17 422-428 42 611-615 67
213-220 18 429-436 43 616-619 68
221-228 19 437-443 44 620-623 69
229-236 20 444-450 45 624-627 70
237-244 21 451-457 46 628-631 71
245-256 22 458-464 47 632-635 72
257-267 23 465-471 48 636-639 73
268-278 24 472-478 49 640-643 74
Puntuación máxima 682

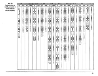
Battelle baremos

  • 1.
  • 2.
    BAREMOS Tabla N-1 .Conversión de puntuaciones centiles en otras puntuaciones típicas: z, T, Cl y ECN PC z T Cl ECN PC z T Cl ECNPC F Cl ECN PC` z T Cl ECN 75 +0,68 57 110 64 50 T0,02 100 50 25 -0,68 43 90 3699 +2,33 73 135 99 74 +0,64 56 110 63 49 100 50 I 24 10,71 43 89 3598 +2,05 71 131 93 73 +0,61 56 109 63 48 99 49 23 -0,74 43 89 3497 96 +1,88 +1,75 69 68 128 90 72 +0,58 56 109 62 47 -0,08 49 99 48 22 -0,77 42 88 34 126 87 71 +0,55 56 108 62 ' 46 -0,10 49 98 48 21 -0,81 42 88 3395 +1,64 66 125 85 70 ~ +0,52 55 108 61 45 -0,13 49 98 47 20 -0,84 42 87 3294 +1,56 66 123 83 1 69 1+0,50 55 108 61 44 -0,15 48 98 47 19 -0,88 41 87 3193 +1,48 65 122 81 68 +0,47 55 107 60 43 -0,18 48 97 46 18 -0,92 41 86 3192 +1,40 64 121 79 67 +0,44 54 107 59 ~' 42 -0,20 48 97 46 17 1 -0,95 40 86 3091 +1,34 63 120 78 66 +0,41 54 106 59 41 -0,23 48 97 45 16 -1,00 40 85 2990 +1,28 63 119 77 65 +0,39 54 106 58 40 { -0,25 47 96 45 15 -1,04 40 84 2889 +1,23 62 118 76 64 +0,36 54 105 58 39 -0,28 47 96 44 14 -1,08 39 84 2788 +1,18 62 118 75 63 +0,33 53 105 57 38 -0,31 47 95 43 13 -1,13 39 83 2687 +1,13 61 117 74 62 1 +0131 53 105 57 37 -0,33 47 95 43 12 -1,18 38 82 2586 +1,08 61 116 73 61 +0,28 53 104 56 36 -0,36 46 95 42 11 -1,23 38 82 2485 +1,04 60 116 72 60 +0,25 53 104 55 35 -0,39 46 94 42 10 -1,28 37 81 2384 +1,00 60 115 71 59 +0,23 52 103 55 34 -0,41 46 94 41 9 -1,34 37 80 2283 +0,95 60 114 70 58 +0,20 52 103 54 33 -0,44 46 93 41 8 -1,40 36 79 2182 +0,92 59 114 69 57 +0,18 52 103 54 32 -0,47 45 93 40 7 -1,48 35 78 1981 +0,88 59 113 69 56 +0,15 52 102 53 31 -0,50 45 92 39 6 -1,56 34 77 1780 +0,84 58 113 68 55 +0,13 51 102 53 30 -0,52 45 92 39 5 -1,64 34 75 1579 78 +0,81 +0,77 58 58 112 112 67 66 54 53 1+0,10 51 102 52 29 -0,55 44 92 38 4 -1,75 32 74 13 +0,08 51 101 52 28 -0,58 44 91 38 3 1 -1,88 31 72 1077 L+0,74 57 111 66 52 +0,05 50 101 51 27 -0,61 44 91 37 2 -2,05 29 69 776 +0,71 57 111 65 -.51 +0,02 50 100 . 50 26 ,~ -0,64 44 90 37 1 -2,33 27 65 1
  • 3.
    W CDw-0 CCCDm CD a (yCDLU CD h OO:at G.Z HA CDÓÑ ÑCCÁ.Á~ C CD A~CHA(D CDCCD 7 NNAA t0 V0 W O7 (~17 A 00V O.O + ÑW V CVn ~~ 00 OVD~O,bV m Q V7 rWOftDpOWONfrVÓWVfOp007rÁÓtopÁú_j cb (077ótODIVVIVÁÑvOAtD00Ñs-, AA WV~0rfN~1(N)7 0 WWSVrm~~~ 0 ~_ WVÓVfNdVOVWVvÓ4V1OWVOWv Q v~Ú - VV-v9Ñ ------- ~2Ñ.,1w, -- ~NC~v ---- ?N~~~NN 07Of0 OAG7 V A Vt00oW W0O OOt0<0t0t0-`WOO0 VOÓWNNS0 úrA rVO N NACn W WN,y N c c r V -+W0WÑGpÁON7 47 0rW 07 0Ñ p7p G7fOOrÁ pppp NODV:~. ÑIV p> V J NNN WW ÑÑÑÑÑ NN A Ñ <p N W NN ÑÑ N N Ñ NNNNVÑú0W NÑN 0 N Í NÓWSrVÑ--4C-4-CVn074 90 JW070NNNNWr07NW14WrCÑm-V+ÁÑConm~+ÁVO C NNNNN4 _1 jWW ~~~ I 0 NVCnV~W~W0VO0vt~0Of~N~tn0c007~N~AVWI N W n rNWNVpN ¡~ Af0ÓNÁCN77vtN0Ñ (~ 07ViW0Ñm7wOwprWÁWSSSSÓr(VJ(~77OVOÓ4010077WmÓÑWV W(~]¿O ÓÁ.~Ó? N pa ??~~.?Á(pSlCTV7V7(~57 N S ~p rr070007WONV-N+VtW0CN77VODrÁ~ODWSt0CT7ODS07rW -+NWCA070t0NACnVODN(N)7ONOVÑtApÑVmÓWÑ007O0Dt00ÁÑOVOÓÑWC0TSSt00(077Vm A 0 07tD ÁÁOOOO O0WWO OfVW c0NA0OD-+ t~OWÓ AO ~Ñ Ip OONNNCT0-+NOo ÚWW~OWNV _ t0 CWT ~OO7 A 0070 t00N WwS t0rAc0A Yll rNA070t0GOV7V NN10rWNN070 N05~41 07OD AAAACTO N0VW-.WU0TVON00700VVONVA V W 0 r 00 47CT 0t0tptpf0t0rW070 CD _> OW 11 0077 0 VV 0 CT OD NWt00Ó00700V O'fO.7Ñ07ÑÑÑUV(0A07 00401 Op7 13,N W TR1WTvA W.'P4r ggD 077 - T NWf0)7 0p T CÑ S Ú CT + ÑVÑCVnÓVt00 __..__.... rNAOVt047A070ÓrVtN0Ó07mWmmÓÑt01fV(00(0JSSÓWtVl7VÓÑSmSW(07~W y j ÑWOtN007O1W01V0CjOf0707Of00DWÑ07top07b74VjV tDVQ7Ó7fWJCW77OWfÓQ7Á0077007VlSfÓtS1007CI,VrÑCT + ~'..V ÑCAOND(0JtOpf0JÓpN -+NAVWr ~W NNNW00NAVrW(~A OfODN AACT V~DW 00 DO 007 NA VV W0o 00 ON OD00WWO AVOrW0 CD O OfO7 vÑ 0O7 Vt00 0O 00707 Ó7~cS7_.~C 0 17Óf Ñ007 W SSVr 000OÓ7CJA00 07 VVvv 07 ó7?Of OSSStD'~. N -~W01t0AVÓWvWt00Wt00
  • 4.
    0-5 MESES J TablaN-3. Área Personal-Social, conversión en centiles Tabla N-4. Área Adaptativa, conversión en centiles 0-5 MESES Atención Comida PUNTUACIóN TOTAL PD PC PD PC PD PC 16+ 98 12+ 98 24+ 98 15 96 9-11 96 21-23 96 14 94 8 94 20 90 13 88 7 92 19 88 12 74 6 84 17-18 84 11 70 5 80 16 78 10 58 4 63 15 74 9 48 3 51 14 61 8 42 2 8 13 57 7 40 1 6 12 47 6 26 0 1 11 41 5 22 10 39 4 16 9 37 3 10 8 24 2 6 7 22 1 2 6 18 0 1 5 10 4 6 3 4 2 2 0-1 1 Interacción con el adulto Expresión de sentimientos /afecto Autoconcepto PUNTUACIÓN TOTAL PD PC PD PC PD PC PD PC 18+ 98 8+ 94 6+ 96 28+ 94 17 88 7 86 5 94 26-27 86 16 86 6 42 4 82 25 84 15 80 5 22 3 74 24 80 14 66 4 16 2 26 23 71 13 64 3 14 1 20 22 65 12 56 2 6 0 1 21 61 11 52 1 4 20 51 10 38 0 1 19 49 9 34 18 43 8 32 17 41 7 24 16 39 6 12 15 35 5 10 14 29 4 8 13 18 3 6 12 16 2 2 11 14 0-1 1 9-10 12 7-8 10 6 6 3-5 4 2 2 0-1 1
  • 5.
    0-5 MESES Tabla N-5.Área Motora,conversión en Gentiles Control muscular Coordinación corporal Motricidad fina MOTORA GRUESA MOTORA FINA PUNTUACIÓN TOTAL PD - PC PD PC PD PC PD PC PD PC PO PC 10+ 92 6+ 98 6+ 96 14+ 89 8+ 96 20+ 89 8-9' 79 5 96 5 94 13 81 7 94 19 84 7 73 4 45 4 50 12 68 6 54 18 70 6 - 27 3 41 3 36 11 57 5 46 17 62 5 17 2 20 2 10 10 40 4 38 16 49 4 10 1 12 1 6 8-9 24 3 34 15 43 3 6 0 1 0 1 7 16 2 10 14 38 2 2 6 11 1 6 13 35 0-1 1 5 8 0 1 10-12 22 3-4 5 9 16 2 3 8 14 0-1 1 7 11 6 8 4-5 5 0-3 1
  • 6.
    0-5 MESES Tabla N-6.Área Comunicación, conversión en centiles Tabla N-7. Área Cognitiva, conversión en centiles 0-s MESES Receptiva Expresiva PUNTUACIÓN TOTAL PD PC PD PC PD PC 10+ 98 11+ 98 18+ 98 8-9 92 10 96 16-17 96 7 75 9 94 15 94 6 50 8 92 14 88 5 40 7 88 13 85 4 19 6 86 11-12 77 2-3 6 5 84 10 58 0-1 1 4 48 9 50 3 36 8 35 2 18 7 33 1 12 6 23 0 1 5 21 4 12 3 10 2 2 0-1 1 Discriminación perceptiva Memoria PUNTUACIÓN TOTAL PD PC PD PC PD PC 8+ 92 7+ 96 15+ 96. 6-7 61 6 92 14 94 5 51 4-5 74 12-13 90 4 39 3 62 10-11 80 3 31 2 48 9 65 2 6 1 40 8 61 1 2 0 1 7 55 0 1 6 45 5 37 4 35 3 26 2 4 1 2 0 1
  • 7.
    6-11 MESES 6-11MESES Tabla N-8. Área Personal-Social, conversión en centiles Tabla N-9. Área Adaptativa, conversión en centiles Interacción con el adulto Expresión de sentimientoslafecto Autoconcepto PUNTUACIÓN TOTAL PD PC PD PC PD PC PD PC 22+ 92 13+ 95 8+ 98 41+ 97 21 85 12 90 7 91 39-40 92 20 75 11 88 6 78 38 87 19 60 10 73 5 53 36-37 79 18 35 9 71 4 11 35 71 17 25 8 46 0-3 1 34 68 16 17 7 39 31-33 66 15 10 6 2 30 53 14 6 0-5 1 29 47 12-13 4 28 34 8-11 2 27 21 0-7 1 26 13 25 8 22-24 3 0-21 1 Atención Comida PUNTUACIÓN TOTAL PD PC PD PC PD PC 16+ 77 16+ 96 31+ 98 15 69 14-15 88 30 94 14 50 13 , 85 28-29 79 13 35 12 48 27 75 12 10 11 40 26 62 11 4 10 29 25 50 0-10 1 9 12 24 33 8 6 23 29 7 4 22 19 5-6 2 21 10 0-4 1 20 6 19 2 0-18 1
  • 8.
    6-11 MESES Tabla N-10.Área Motora, conversión en centiles Control muscular Coordinación corporal locomoción Motricidad fina MOTORA GRUESA MOTORA FINA PUNTUACIÓN TOTAL PD PC PD PC PD PC PD PC PD PC PD PC PD PC 12+ 69 14+ 96 16+ 98 14+ 83 38+ 96 18+ 94 56+ 97 11 60 12-13 92 12-15 94 13 77 36-37 94 16-17 80 54-55 94 10 21 10-11 85 11 92 12 53 34-35 91 15 74 52-53 91 9 17 9 83 10 89 11 43 32-33 89 14 60 50-51 89 8 4 8 38 9 85, 10 26 31 83 13 49 45-49 86 7 2 7 34 8 66 9 23 29-30 80 12 34 44 83 0-6 1 6 . 23 7 60 8 21 28 76 11 29 43 80 5 17 6 49 7 13 27 70 10 26 40-42 71 0-4 1 5 40 6 11 26 63 9 14 39 66 4 34 5 6 25 56 8 11 38 57 3 23 4 2 24 48 7 9 37 49 2 21 0-3 1 23 41 6 3 36 43 1 13 22 37 0-5 1 34-35 40 0 1 21 30 31-33 34 18-20 24 30 31 17 22 29 26 16 17 28 23 15 15 25-27 20 14 13 23-24 14 13 6 21-22 6 0-12 1 20 3 0-19 1
  • 9.
    6-11 MESES Tabla N-11. Área Comunicación, conversión en centiles Tabla N-12. Área Cognitíva,conversión en centiles 6-11 MESES Receptiva Expresiva PUNTUACIÓN TOTAL PD PC PD PC PD PC 14+ 98 17+ 98 28+ 98 12-13 88 15-16 94 26-27 92 11 73 14 85 25 87 10 54 12-13 79 24 85 9 35 11 74 23 79 8 12 10 60 22 74 7 8 9 51 21 72 0-6 1 8 30 20 64 7 21 19 55 6 15 18 47 0-5 1 17 36 16 28 15 23 14 17 13 11 12 2 0-11 1 Discriminación perceptiva Memoria Razonamiento y habilidades escolares PUNTUACIÓN TOTAL PD PC PD PC PD PC PD PC 10+ 96 8+ 53 4+ 87 20+ 82 9 85 7 40 3 67 19 68 8 2 6 23 2 20 18 52 0-7 1 5 17 0-1 1 17 39 4 2 16 27 0-3 1 15 23 14 11 13 9 12 2 0-11 1
  • 10.
    12-17 MESES -, TablaN-13. Área Personal-Social, conversión en centiles Interacción con el adulto Expresión de sentimientos/ afecto Autoconcepto Interacción con los compañeros PUNTUACIÓN TOTAL PD PC PD PC PD PC PD PC PD PC 35+ 98 19+ 98 22+ 98 14+ 98 74+ 98 33-34 92 18 96 12-21 95 13 96 63-73 95 32 86 17 92 10-11 91 11-12 94 62 93 31 84 16 85 9 88 10 88 59-61 90 30 82 15 77 8 79 9 81 58 83 29 78 14 69 7 60 8 67 57 81 28 74 13 65 6 37 7 58 55-56 74 27 71 12 44 5 26 6 42 53-54 71 26 63 11 35 0-4 1 5 31 52 69 25 61 10 19 4 21 51 64 24 57 9 15 3 17 50 62 23 51 8 6 2 6 49 57 22 37 7 4 1 2 48 52 21 26 0-6 1 0 1 47 45 20 14 46 40 19 10 45 38 17-18 4 43-44 31 16 2 42 29 0-15 1 41 24 40 17 39 14 38 12 35-37 10 34 5 33 2 0-32 1
  • 11.
    12-17 MEES Tabla N-14Área Adaptativa, conversión en centiles Atención Comida Vestido PUNTUACIÓN TOTAL PD PC PD PC PD PC PD PC 18+ 96 22+ 89 9+ 98 46+ 98 17 87 21 74 7-8 96 45 96 16 33 20 61 6 83 44 91 15 17 19 48 5 75 43 89 14 9 18 33 4 48 42 84 13 6 17 24 3 29 41 71 0-12' 1 16 20 2 8 40 62 15 17 1 4 39 58 14 11 0 1 38 44 12-13 2 37 36 0-11 1 36 29 35 22 34 18 33 16 32 13 31 9 30 7 27-29 4 26 2 0-25 1
  • 12.
    12-17 MESES -1 TablaN-15. Área Motora, conversión en centiles Coordinación corporal Locomoción Motricidad fina Motricidad perceptiva MOTORA GRUESA MOTORA FINA PUNTUACIÓN TOTAL PD PC PD PC PD PC PD PC PD PC PD PC PD PC 16+ 81 20+ 92 17+ 96 11+ 96 48+ 96 27+ 98 74+ 98 15 75 19 90 16 89 10 74 46-47 81 26 87 72-73 96 14 54 18 63 15 77 9 61 45 79 25 84 71 93 13 48 17 61 14 11 8 54 44 71 . 24 69 70 89 12 21 16 47 13 4 7 44 43 69 23 60 69 82 11 17 14-15 39 12 2 6 28 42 52 22 53 68 73 10 12 13 31 0-11 1 5 24 41 50 21 44 67 71 0-9 1 12 22 4 15 40 42 20 29 66 64 11 15 3 13 39 40 19 24 65 62 10 12 2 2 38 35 18 18 64 56 9 6 0-1 1 37 31 17 16 63 51 8 4 36 23 16 7 62 49 0-7 1 35 21 0-15 1 61 42 34 17 60 40 33 15 59 38 30-32 12 57-58 33 29 6 56 31 28 2 55 27 0-27 1 54 22 53 16 49-52 11 48 9 46-47 7 44-45 4 43 2 0-42 1
  • 13.
    12-17 MESES 12-17MESES Tabla N-16. Área Comunicación, conversión en centiles Tabla N-17. Área Cognitiva, conversión en centiles Receptiva Expresiva PUNTUACIÓN TOTAL PD PC PD PC PD PC 17+ 96 24+ 98 40+ 98 16 94 23 96 38-39 94 15 89 22 94 33-37 92 14 47 18-21 71 32 72 13 30 17 58 31 62 12 23 16 44 30 53 11 11 15 40 29 51 9-10 4 14 33 28 49 0-8 1 13 25 27 38 12 12 26 26 11 10 25 - 19 10 2 24 13 0-9 1 23 11 22 8 21 4 18-20 2 0-17 1 Discriminación perceptiva Memoria Razonamiento y habilidades escolares Desarrollo conceptual PUNTUACIÓN TOTAL PD PC PD PC PD PC PD PC PD PC 12+ 96 10+ 95 5+ 98 5+ 98 30+ 98 11 92 9 90 4 23 4 94 26-29 90 10 60 8 10 3 8 3 90 25 88 9 46 7 5 2 2 2 27 24 71 8 2 0-6 1 0-1 1 1 15 23 50 0-7 1 0 1 22 29 21 19 20 14 19 10 18 7 17 5 0-16 1
  • 14.
    18-23 MESES Tabla N-18.Área Personal-Social, conversión en centiles Interacción con el adulto Expresión de sentimientos/ afecto Autoconcepto Interacción con los compañeros Colaboración PUNTUACIÓN TOTAL PD PC PD PC PD PC PD PC PD PC PD PC 36+ 93 22+ 94 26+ 98 18+ 96 14+ 98 94+ 98 35 85 21 93 23-25 96 17 94 7-13 92 92-93 94 34 80 20 83 22 94' 16 91 6 87 90-91 92 33 72 19 76 18-21 92 15 . 87 5 81 88-89 90 32 65 18 72 16-17 83 13-14 78 4 66 86-87 86 31 59 17 65 15 81 12 76 3 45 85 85 30 56 16 52 14 79 11 67 2 17 84 83 29 52 15 41 13 76 10 46 1 8 82-83 81 28 43 14 28 12 66 9 30 0 1 77-81 73 27 33 13 22 11 58 8 9 76 71 26 24 12 13 10 53 7 7 . 74-75 65 25 18 11 11 9 51 6 2 73 62 24 11 10 4 8 38 0-5 1 72 60 23 6 9 2 7 13 71 56 0-22 1 0-8 1 6 6 69-70 54 5 2 67-68 50 0-4 1 64-66 46 63 42 62 35 60-61 33 59 31 58 29 57 23 56 19 55 17 54 10 53 8 52 6 49-51 4 46-48 2 0-45 1
  • 15.
    18-23 MESES Tabla N-19.Área Adaptativa, conversión en centiles Atención Comida Vestido Responsabilidad personal PUNTUACIÓN TOTAL PD PC PD PC PD PC PD PC PD PC 20 96 27+ 98 18+ 98 4+ 80 64+ 97 19 89 24-26 91 16-17 96 3 52 54-63 95 18 66 23 81 14-15 94 2 12 52-53 . 90 17 60 22 38 11-13 91 1 5 50-51 77 16 8 21 15 10 89 0 1 49 67 15 4 20 4 9 87 48 54 14 2 19 2 8 82 47 46 0-13 1 0-18 1 7 65 46 33 6 32 45 23 5 24 44 18 4 11 43 10 3 7 42 8 0-2 1 41 5 40 3 0-39 1
  • 16.
    18-23 MESES Tabla N-20.Área Motora, conversión en centiles Coordinación corporal Locomoción Motricidad fina Motricidad perceptiva MOTORA GRUESA MOTORA FINA PUNTUACIÓN TOTAL PD PC PD PC PD PC PD PC PD PC PD PC ' PD PC 24+ 98 24+ 98 22+ 98 12+ 98 56+ 92 31+ 98 84+ 97 22-23 94 23 96 18-21 93 10-11 26 54-55 90 28-30 93 83 95 21 90 22 90 17 84 9 20 53 88 27 86 82 90 20 86 21 79 16 71 8 8 51-52 80 26 70 81 87 19 78 20 33 15 42 7 6 50 74 25 51 80 82 18 74 19 23 14 9 6 2 49 67 24 23 78-79 80 17 66 18 6 13 2 0-5 1 48 47 23 14 77 77 16 34 17 2 0-12 1 47 41 22 12 75-76 72 15 20 0-16 1 . 46 24 21 9 74 64 14 10 45 6 20 5 73 51 13 2 44 4 17-19 2 72 41 0-12 1 0-43 1 0-16 1 71 36 70 28 69 13 68 8 66-67 5 62-65 3 0-61 1
  • 17.
    18-23 MESES Tabla N-21.Área Comunicación, conversión en centiles Tabla N-22. Área Cognitiva, conversión en centiles 18-23 MESES Receptiva Expresiva PUNTUACIÓN TOTAL PD PC PD PC PD PC 21+ 98 26+ 98 45+ 98 20 94 25 93 42-44 91 19 93 24 87 39-41 83 18 91 23 85 38 76 17 85 22 68 37 70 16 74 21 65 36 63 15 59 20 54 35 59 14 18 19 46 34 48 13 11 18 22 33 39 12 4 17 13 32 24 0-11 1 16 9 31 18 15 2 30 13 0-14 1 29 6 28 2 0-27 1 Discriminación perceptiva Memoria Razonamiento y habilidades escolares Desarrollo conceptual PUNTUACIÓN TOTAL PD PC PD PC PD PC PD PC PD PC 14+ 96 12+ 92 7+ 96 6+ 96 32+ 96 13 93 10-11 81 5-6 90 5 94 31 94 12 85 9 68 4 14 4 89 30 89 11 82 0-8 1 3 10 3 74 29 87 10 9 0-2 1 2 9 28 83 9 6 1 4 27 78 0-8 1 0 1 26 63 25 48 24 20 23 11 0-22 1
  • 18.
    24-35 MESES Tabla N-23.Área Personal-Social, conversión en centiles Interacción con el adulto Expresión de sentimientos/ afecto Autoeoncepto Interacción con los compañeros Colaboración Rol social PUNTUACIÓN TOTAL PD PC PD PC PD PC PD PC PD PC PD PC PD PC PD PC 36 86 24 96 28 99 31+ 99 17+ 99 18+ 99 140+ 99 94 42 35 69 23 93 27 95 30 98 15-16 97 17 97 135-139 98 93 40 34 62 22 83 26 90 29 97 14 95 16 95 132-134 96 92 37 33 50 21 78 25 83 27-28 96 13 94 15 92 129-131 94 91 35 32 44 20 62 24 76 26 94 12 92 14 91 126-128 93 90 34 31 40 19 52 23 70 24-25 91 10-11 87 13 90 120-125 88 89 31 30 30 18 35 22 59 22-23 89 9 84 12 87 118-119 84 - 88 30 29 20 17 27 21 51 21 84 8 80 11 85 117 83 87 27 27-28 12 16 19 20 41 20 80 7 70 10 80 116 81 86 26 26 6 15 10 19 34 19 74 6 54 9 76 115 80 85 22 25 5 14 4 18 24 18 67 5 35 8 68 114 79 84 21 24 4 13 2 17 20 17 66 4 18 7 63 113 77 83 20 23 2 0-12 1 14-16 16 16 59 3 10 6 43 112 74 82 18 0-22 1 13 13 15 54 2 6 5 35 110-111 73 81 17 11-12 11 14 46 1 2 4 18 109 72 80 16 10 8 13 39 0 1 3 16 107-108 70 77-79 15 9 7 12 26 2 7 105-106 69 76 12 8 4 11 18 1 5 104 67 72-75 10 7 2 10 11 0 1 103 65 71 8 0-6 1 9 4 - 102 64 67-70 7 8 2 101 62 66 6 0-7 1 100 60 65 5 99 55 64 4 98 50 ` 63 2 97 48 0-62 1 96 46 95 45
  • 19.
    24-35 `MESES Tabla N-24:Área Adaptativa, conversión en centiles Atención Comida Vestido Responsabilidad personal Aseo PUNTUACIÓN TOTAL PD PC PD PC PD PC PD PC PD PC PD PC 20 77 27+ 97 19+ 99 12+ 99 12 98 83+ 97 19 57 26 82 18 95 10-11 96 11 96 82 96 18 42 25 71 17 90 9 94 10 84 79-81 95 17 21 24 46 16 83 8 89 9 76 78 92 0-16 1 23 33 15 79 7 85 8 65 75-77 91 22 4 14 70 6 83 7 55 . 74 88 21 2 13 64 5 74 6 48 73 86 0-20 1 12 56 4 43 5 44 72 83 11 44 3 21 4 34 71 82 10 35 2 6 3 26 70 77 9 29 0-1 1 2 17 69 70 8 17 1 12 68 68 7 13 0 1 67 65 6 3 66 63 0-5 1 65 60 64 59 63 53 62 51 61 47 60 45 59 37 58 35 57 33 56 30 55 24 53-54 19 52 15 51 12 50 9 49 8 48 3 0-47 1
  • 20.
    Tabla N-25. ÁreaMotora, coversión en centfes Coordinación corporal Locomoción Motricidad fina Motricidad perceptiva MOTORA GRUESA MOTORA FINA PUNTUACIÓN TOTAL PD PC PD PC PD PC PD PC PD PC PD PC PD PC 45+ 99 24+ 69 31+ 98 17+ 99 81+ 99 47+ 99 111+ 99 30-44 98 23 47 30 95 16 92 66-80 98 45-46 95 108-110 97 29 97 22 20 29 92 15 87 65 97 43-44 94 105-107 93 28 95 21 11 28 90 14 77 64 96 42 88 104 92 27 94 0-20 1 27 88 13 68 63 95 41 84 102-103 89 26 92 26 83 12 56 62 94 40 79 101 86 25 89 25 72 11 46 61 91 39 75 100 82 24 63 24 60 10 5 60 80 38 73 99 81 23 50 23 55 0-9 1 59 61 37 66 98 75 22 32 22 51 58 53 36 64 97 68 21 21 21 44 57 44 35 56 96 66 20 16 20 32 56 35 34 51 95 63 19 11 19 28 55 27 33 49 94 59 18 9 18 20 54 22 32 40 93 52 17 8 17 15 53 13 31 38 91-92 49 16 3 16 5 52 12 30 30 90 47 14-15 2 15 3 51 11 29 23 89 44 0-13 1 0-14 1 50 10 28 18 88 41 49 6 27 14 87 37 48 3 26 6 86 32 47 2 25 5 85 30 0-46 1 24 3 84 26 0-23 1 83 20 82 18 81 16 80 14 79 12 78 11 77 8 76 7 75 4 74 3 0-73 1
  • 21.
    2435 MESES Tabla N-26.Area Comunicación, conversión en centiles Tabla N-27. Área Cognitiva, conversión en centiles 2435 MESES Receptiva Expresiva PUNTUACIÓN TOTAL PD PC PD PC PD PC 36+ 99 48+ 99 75+ 99 31-35 98 45-47 98 71-74 97 29-30 96 44 97 68-70 96 28 95 42-43 96 66-67 93 27 ' , 92 38-41 95 65 92 26 87 36-37 92 6364 91 - '25 82 35 85 62 90 24 78 34 83 61 88 23 72 33 76 59-60 83 22 62 32 67 57-58 81 21 54 31 63 56 76 20 46 30 56 55 72 19 43 29 48 54 70 18 33 28 43 53 68 17 27 27 34 52 62 16 19 26 30 51 56 r 15 11 25 26 50 54 14 3 24 20 49 53 - 13 2 23 14 48 49 0-12 1 22 9 47 43 21 8 46 41 20 3 45 36 0-19 1 44 33 43 29 42 24 40-41 21 39 14 38 12 37 8 35-36 5 34 4 33 2 0-32 1 Discriminación perceptiva Razonamiento y habilidades escolares Desarrollo conceptual PUNTUACIÓN TOTAL PD PC PD PC PD PC PD PC PD PC 18+ 96 16+ 96 15+ 99 14+ 99 52+ 99 17 91 15 94 12-14 96 13 98 50-51 94 16 81 14 81 11 95 11-12 97 49 93 15 69 13 68 10 94 10 96 46-48 89 14 45 12 38 9 92 9 93 45 86 13 38 11 28 8 87 8 82 44 85 12 26 10 17 7 78 7 77 43 82 11 24 9 9 6 56 6 59 42 78 10 4 0-8 1 5 46 5 46 41 75 0-9 1 0-4 1 4 22 40 69 3 10 39 67 0-2 1 38 59 37 53 36 47 35 41 34 38 33 37 32 28 31 25 30 22 29 18 28 11 27 10 26 5 0-25 1
  • 22.
    36-47 MESES Tabla N-28.Área Personal-Social, conversión en centiles Interacción con el adulto Expresión de sentimientos/ afecto Autoconcepto Interacción con los compañeros Colaboración Rol social . PUNTUACIÓN TOTAL PD PC PD PC PD PC PD PC PD PC PD PC PD PC PD PC 36 61 24 -77 - 28 77 34+ 91 20 98 28 98 169+ 99 120 41 35 48 23 65 27 68 33 87 19 97 27 96 167-168 98 119 36 34 41 22 43 26 55 32 81 18 93 26 95 166 96 118 34 33 30 21 35 25 42 31 74 17 88 25 90 164-165 95 117 32 ' 32 17 20 26 24 32 30 70 16 85 24 88 162-163 93 116 30 31 12 19 17 23 19 29 68 15 83 23 86 158-161 92 115 28 30 2 18 10 22 7 28 64 14 75 22 82 157 89 114 26 0-29 1 17 5 21 6 27 59 13 67 21 80 156 87 113 25 0-16 1 20 5 26 57 12 65 20 78 153-155 86 112 23 19 25 56 11 59 19 76 152 84 111 22 0-18 1 24 45 10 51 18 70 151 81 110 20 23 40 9 46 17 67 149-150 80 109 19 22 36 8 42 16 62 148 77 108 17 21 31 7 34 15 55 147 76 107 14 20 29 6 18 14 44 146 75 105-106 12 19 24 5 6 13 41 141-145 71 104 11 18 19 0-4 1 12 37 140 70 103 10 17 17 11 27 139 69 102 8 16 13 10 26 136-138 68 101 7 15 10 9 24 135 65 98-100 5 14 3 8 15 134 61 97 4 0-13 1 7 13 133 59 96 2 6 5 131-132 55 0-95 1 5 4 129-130 53 3-4 3 128 52 2 2 126-127 49 0-1 1 123-125 48 121-122 42
  • 23.
    36-47 MESES Tabla N-29.Área Adaptativa, conversión de centiles Atención Comida Vestido Responsabilidad personal Aseo PUNTUACIÓN TOTAL PD PC PD PC PD PC PD PC PD PC PD PC 20 38 28 92 20 87 28 99 12 88 106+ 99 19 21 27 82 19 76 20-27 98 11 67 97-105 98 18 6 26 30 18 61 19 95 10 22 95-96 96 17 2 25 16 17 46 18 93 9 16 94 95 0-16 1 24 4 16 28 17 91 8 7 93 93 0-23 1 15 19 16 90 7 5 92 92 14 12 15 88 0-6 1 91 90 13 9 14 85 90 89 12 6 13 84 89 87 11 5 12 80 88 81 10 2 11 74 87 79 0-9 1 10 68 86 73 9 62 84-85 67 8 51 83 63 7 42 82 60 6 33 81 58 5 31 80 53 4 8 79 52 3 2 78 43 0-2 1 77 37 76 33 75 27 74 22 73 16 72 14 71 13 70 12 69 7 68 5 66-67 2 0-65 1
  • 24.
    36-47 MESES Tabla N-30.Área Motora, conversión en Gentiles Coordinación corporal Locomoción Motricidad fina Motricidad perceptiva MOTORA GRUESA MOTORA FINA PUNTUACIÓN TOTAL PD PC PD PC PD PC PD PC PD PC PD PC PD PC PD PC 49+ 99 26 94 36+ 97 30+ 99 85+ 98 65+ 99 155+ 99 99 19 47-48 98 25 92 35 95 26-29 96 78-84 93 62-64 98 150-154 98 98 1 42-46 . 95 24 35 34 89 25 95 76-77 92 59-61 97 147-149 97 97 15 40-41 93 23 16 33 84 23-24 88 75 91 57-58 96 134-146 94 96 10 39 91 22 2 32 76 22 87 74 89 56 92 133 93 94-95 8 38 89 0-21 1 31 69 21 86 72-73 88 55 90 131-132 92 93 7 36-37 87 30 58 20 80 71 85 54 85 128-130 90 91-92 6 35 85 29 44 19 75 70 78 53 82 127 89 90 4 34 81 28 26 18 72 68-69 75 52 81 125-126 86 88-89 3 33 78 27 19 17 65 67 69 51 78 123-124 85 87 2 32 74 26 15 16 56 66 67 50 76 121-122 81 0-86 1 31 69 25 11 15 44 65 66 49 74 120 79 30 68 24 10 14 24 64 64 48 67 118-119 78 29 66 23 7 13 14 63 63 47 65 117 76 28 63 22 5 12 7 62 58 46 57 116 73 26-27 160 19-21 3 11 5 61 57 45 50 115 71 25 58 18 2 0-10 1 60 33 44 43 114 68 24 16 0-17 1 59 26 43 38 112-113 67 23 10 58 11 42 31 111 64 22 4 57 7 41 22 110 63 21 2 56 3 40 18 109 60 0-20 1 55 2 39 16 108 56 0-54 1 38 14 107 49 37 11 106 48 36 8 105 45 34-35 7 104 42 33 5 103 37 31-32 4 102 34 30 3 101 30 29 2 100 24 0-28 1
  • 25.
    36-47 MESES Tabla N-31.Área Comunicación, conversión en centiles Tabla N-32. Área Cognitiva, conversión en centiles 36-47 MESES 107 Receptiva Expresiva PUNTUACIÓN TOTAL PD PC PD PC PD PC 47+ 99 60+ 98 107+ 99 46 98 54-59 97 105-106 98 45 97 53 96 96-104 96 44 96 ' 52 94 93-95 93 43 94 51 92 90-92 91 42 91 50 88 89 90 41 89 49 85 87-88 88 40 80 48 81 86 87 39 85 47 80 85 85 37-38 83 46- 77 82-84 84 36 77 45 74 81 80 35 75 44 70 80 78 34 74 43 68 79 77 32-33 72 42 65 77-78 75 31 71 41 64 74-76 72 30 60 40 62 73 69 29 48 38-39 58 72 65 28 41 37 55 71 61 27 36 36 44 70 58 26 27 35 36 69 56 25 17 34 25 68 54 24 14 33 17 67 52 23 11 32 11 66 48 22 8 31 9 65 43 20-21 7 30 6 64 38 19 6 28-29 5 63 36 18 3 26-27 3 62 33 16-17 2 25 2 61 30 0-15 1 0-24 1 60 27 59 22 58 21 57 18 56 15 55 12 54 9 53 8 52 5 44-51 2 0-43 1 Discriminación perceptiva Memoria Razonamiento y habilidades escolares Desarrollo conceptual PUNTUACIÓN TOTAL PD PC PD PC PD PC PD PC PD PC 20 95 20 99 23+ 99 32+ 99 92+ 99 19 83 19 96 21-22 97 31 98 88-91 98 18 62 18 91 20 94 27-30 97 85-87 97 17 46 17 87 19 91 26 96 77-84 95 16 21 16 71 18 88 22-25 94 75-76 93 15 14 15 55 17 83 21 91 72-74 90 14 6 14 18 16 79 20 90 71 89 13 4 13 14 15 75 19 85 70 88 0-12 1 12 6 14 71 18 82 69 84 11 3 13 70 17 77 65-68 80 10 2 12 69 16 74 64 78 0-9 1 11 64 15 71 62-63 75 10 60 14 66 61 72 9 56 13 65 60 70 8 37 12 61 59 69 7 25 11 57 56-58 67 6 13 10 52 55 65 5 12 9 46 54 63 4 2 8 37 53 62 0-3 1 7 29 52 59 6 13 51 55 5 8 50 50 4 3 49 48 0-3 1 48 47 47 41 46 36 45 29 44 25 43 18 41-42 16 40 12 39 10 38 7 37 6 36 4 34-35 3 31-33 2 0-30 1
  • 26.
    48-S9 MESES Tabla N-33.Área Personal-Social, puntuación centil. 108 Interacción con el adulto Expresión de sentimientoslalgcto Autoconcepto interacción con los compañeros Colaboración Rol social PUNTUACIÓN TOTAL PD PC PD PC PD PC PD PC PD PC PD PC PD PC 36 49 24 42 28 57 34 91 20 99 27+ 91 167+ 99 35 30 23 26 27 41 33 77 19 92 26 89 166 98 34 19 22 8 26 28 32 69 18 84 25 84 165 92 33 12 21 6 25 15 31 57 17 78 24 74 164 90 32 5 20 4 24 8 30 47 16 70 23 66 163 89 3031 2 18-19 2 23 3 29 41 15 63 22 57 162 87 029 1 0-17 1 022 1 28 34 14 52 21 46 160-161 83 27 29 13 40 20 37 159 78 26 23 12 36 19 32 158 74 25 16 11 31 18 25 157 73 24 12 10 23 17 20 156 70 23 9 9 18 16 11 155 66 22 6 8 10 15 5 154 58 21 4 7 3 14 4 153 57 1920 2 6 2 13 3 152 55 018 1 0-5 1 10-12 2 151 52 09 1 150 51 149 . 50 148 48 147 46 146 42 145 40 144 39 142-143 38 ' 140141 35 139 33 138 32 137 26 ' 136 23 135 22 134 20 133 18 132 16 131 12 130 11 129 10 128 8 127 7 124126 4 123 2 0122 1
  • 27.
    48-59 MESES Tabla N-34.Área Adaptativa, conversión en centiles Atención Comida Vestido Responsabilidad personal Aseo PUNTUACIÓN TOTAL PD PC PD PC PD PC PD PC PD PC PD PC 20, 31 28 81 20 70 29+ 99 12 76 108+ _ 97 19 19 27 61 19 41 28 96 11 42 105-107 94 18 14 26 10 18 12 27 95 10 7 103-104 93 17 9 25 6 17 3 26 92 9 4 102 91 16 2 0-24 1 0-16 1 25 89 0-8 1 101 90 0-15 1 24 85 99-100 87 22-23 80 98 83 21 75 97 81 20 69 96 75 19 67 ' 95 71 18 60 94 65 17 59 92-93 61 16 56 91 59 15 54 90 54 14 50 89 49 13 46 88 44 12 37 87 39 11 27 86 38 10 15 85 33 9 11 84 25 0-8 1 83 22 82 15 81 10 78-80 9 77 7 71-76 6 0-70 1
  • 28.
    48-59 MESES Tabla N-35.Área Motora, conversión en centiles Coordinación corporal Locomoción Motricidad fina Motricidad percepuva Motora gruesa Motora fina PUNTUACIÓN TOTAL PD PC PD PC PD PC PD PC PD PC PD PC PD PC 46+ 99 26 78 36 90 36+ 99 82+ 97 72+ 99 152+ 98 44-45 94 25 69 35 774 35 98 81 93 71 98 151 97 43 88 24 12 34 57 34 94 80 87 69-70 94 143-150 96 42 78 23 7 33 47 32-33 90 79 86 66-68 92 142 91 41 77 0-22 1 32 35 31 88 78 76 65 90 141 90 40 65 31 20 30 81 77 74 64 82 140 85 39 56 30 9 29 78 76 66 63 80 139 81 38 53 29 8 28 71 75 56 62 75 138 79 37 48 28 5 27 64 74 51 61 68 137 71 36 44 26-27 3 26 58 73 46 60 64 136 65 35 41 24-25 2 25 52 72 41 59 56 135 62 34 35 0-23 1 24 43 71 40 58 50 133-134 56 33 32 23 38 70 37 57 46 132 54 32 28 22 33 69 33 56 40 130-131 53 31 23 21 27 68 30 55 35 129 48 30 22 20 22 67 26 54 32 128 47 28-29 18 19 19 66 24 53 29 127 46 27 17 18 17 65 23 52 23 126 38 26, 15 17 12 62-64 20 51 21 125 34 24-25 5 16 10 61 19 50 19 123-124 32 23 4 15 8 60 10 49 16 122 29 22 2 14 5 59 9 . 48 15 120-121 28 0-21 1 13 2 58 3 47 12 117-119 26 0-12 1 0-57 1 46 9 114-116 25 45 7 113 24 44 6 112 21 43 5 111 19 40-42 4 110 15 39 2 109 12 0-38 1 108 10 107 9 106 6 105 4 103-104 3 100-102 2 0-99 1
  • 29.
    48-59 MESES Tabla N-36:Área Comunicación, conversión en centiles Receptiva Expresiva PUNTUACIÓN TOTAL PD PC PD PC PD PC PD PC 52+ 99 63+ 99 111+ 99 78 29 50-51 95 61-62 98 110 98 77 23 48-49 94 60 97 105-109 97 76 22 47 92 59 94 104 93 75 20 46 87 58 89 103 89 74 18 45 83 57 82 102 86 73 17 44 77 56 78 101 83 72 16 43 65 55 . 72 100 79 69-71 12 42 60 54 70 99 78 68 11 41 56 53 68 98 73 67 10 40 50 52 66 97 71 66 8 39 47 51 58 96 69 65 6 38 43 50 51 95 67 63-64 4 37 32 49 48 94 66 59-62 3 36 29 48 43 93 63 58 2 35 24 47 35 92 61 0-57 1 34 23 46 32 91 59 33 21 45 30 90 54 32 17 44 26 89 49 31 16 43 22 87-88 48 30 10 38-42 20 86 44 29 7 37 15 85 40 28 4 36 8 84 39 25-27 2 35 7 83 38 0-24 1 34 5 82 34 32-33 4 81 33 31 3 80 31 0-30 1 79 30
  • 30.
    48-59 MESES Tabla N-37.Área Cognitiva, conversión en centiles Discriminación perceptiva Memoria Razonamiento y habilidades escolares Desarrollo conceptual PUNTUACIbN TOTAL PD PC PD PC PD PC PD PC PD PC PD PC 20 72 20 95 26+ 90 38+ 99 102+ 99 56-57 14 19' 55 19 89 25 86 36-37 97 101 97 55 12 18 33 18 65 24 80 35 96 97-100 96 54 11 17 13 17 58 23 68 34 92 95-96 94 53 10 16 2 16 35 22 57 33 88 94 93 52 8 0-15 1 15 27 21 46 32 84 93 90 51 7 14 5 20 43 31 81 91-92 88 49-50 6 13 3 19 39 30 77 89-90 85 47-48 4 0-12 1 18 37 29 76 88 82 46 3 17 31 28 73 87 80 0-45 1 1'6 27 27 72 86 77 15 20 26 66 85 73 14 18 25 58 84 66 13 17 24 52 83 59 12 13 23 51 82 56 11 12 22 50 81 55 10 8 21 49 80 51 9 5 20 45 78-79 49 8 4 19 43 77 48 7 3 18 40 76 44 0-6 1 17 34 75 42 16 30 74 41 15 28 72-73 40 14 26 69-71 37 13 21 66-68 36 12 17 65 33 11 16 64 30 10 12 63 29 9 10 62 25 8 6 61 22 7 3 59-60 18 0-6 1 58 15
  • 31.
    60-71 ' MESES TablaN-38. Área Personal-Social, conversión en centiles Interacción con el adulto Expresión de sentimientoslafecto Autoconcepto Interacción con los compañeros Colaboración Rol social PUNTUACIÓN TOTAL PD PC PD PC PD PC PD PC PD PC PD PC PD ' PC 36 31 24 17 28 23 34 62 20 92 28 79 170 97 35 14 23 4 27 19 33 42 19 80 27 67 169 93 34, , 6 22 3 26 12 32 28 18 61 26 48 168 89 33 4 21 2 25 10 31 21 17 53 25 33 167 82 32 2 0-20 1 24 3 30 15 16 33 24 24 166 75 0-31 1 0-23 1 29 9 15 26 23 22 165 69 28 6 14 18 22 18 164 64 27 5 13 13 21 16 163 58 26 4 12 8 20 8 162 50 24-25 3 11 7 19 4 161 45 23 2 10 5 18 2 160 37 0-22 1 - 9 4 0-17 1 159 34 8 3 158 30 7 2 157 28 0-6 1 156 25 155 24 154 18 153 16 152 12 150-151 10 149 9 146-148 8 145 7 144 6 136-143 2 0-135 1
  • 32.
    60-71 MESES rabia N-39.Área Adaptativa, conversión en centiles Atención Comida Vestido Responsabilidad personal Aseo PUNTUACIÓN TOTAL PD PC PD PC PD PC - PD PC PD PC PD PC 20 17 28 58 20 64 36+ 97 12 59 115+ 99 19 14 27 37 19 26 35 92 11 20 113-114 93 18 12 26 2 18 5 34 90 10 2 112 91 17 10 0-25 1 17 4 33 88 0-9 1 111 90 16 6 0-16 1 32 84 110 87 0-15 1 31 78 109 79 30 71 108 74 29 63 107 71 28 58 106 69 27 52 105 66 26 48 104 62 25 43 103 54 24 36 102 47 23 33 101 43 22 26 100 40 21 20 99 38 18-20 19 98 31 16-17 18 97 28 13-15 16 94-96 25 12 5 92-93 22 11 3 91 16 10 2 90 15 0-9 1 89 13 88 12 87 9 86 4 85 3 0-84 1
  • 33.
    60-71, MESES Tabla N-40.Área Motora, puntuación centil. Coordinación corporal Locomoción Motricidad fina Motricidad perceptiva MOTORA GRUESA MOTORA FINA PUNTUACIÓN TOTAL PD PC PD PC PD PC PD PC PD PC PD PC PD PC 50 93 26 35 36 65 40 98 88 93 76 99 164 99 49 88 25 28 35 43 38-39 96 87 87 75 98 163 98 48 84 0-24 1 34 15 37 90 86 82 74 97 161-162 96 47 81 33 12 36 81 85 81 73 93 160 94 46 77 32 6 35 73 84 80 72 90 159 92 45 73 31 4 34 63 83 76 71 83 158 90 44 64 30 2 33 46 82 65 70 71 157 88 43 48 0-29 1 32 34 81 54 69 62 155-156 82 42 30 31 26 80 36 68 51 154 79 41 25 30 16 79 29 67 38 153 78 40 7 29 13 78 16 66 30 152 71 38-39 5 28 8 77 13 65 22 151 69 36-37 4 27 6 76 6 64 16 150 59 34-35 3 .26 4 74-75 5 63 10 149 48 33 2 25 3 72-73 4 62 6 148 40 0-32 1 24 2 70-71 2 59-61 5 147 38 0-23 1 0-69 1 58 3 146 31 55-57 2 145 26 0-54 1 144 20 143 19 142 14 141 10 140 9 139 8 138 6 136-137 5 128-135 4 126-127 2 0-125 1
  • 34.
    60-71 MESES Tabla N-41. Área Comunicación, conversión en Gentiles Tabla N-42. Área Cognitiva, conversión en centiles 60-71 MESES Discriminación perceptiva Memoria Razonamiento y habilidades escolares Desarrollo conceptual PUNTUACIÓN TOTAL PD PC PD PC PD PC PD PC PD PC 20 53 20 86 32 99 40 99 108+ 99 19 23 19 74 30-31 96 39 97 106-107 98 18 12 18 44 29 92 38 92 104-105 96 17 5 17 28 28 89 37 88 103 89 0-16 1 16 16 27 84 36 81 102 86 15 11 26 55 35 75 101 84 0-14 1 25 36 34 68 100 79 24 24 33 62 99 76 23 16 32 50 98 75 22 10 31 39 97 72 21 5 30 34 96 66 20 3 29 30 95 58 19 2 28 23 94 51 0-18 1 27 21 93 48 26 17 92 39 25 15 91 38 24 12 90 31 23 6 89 27 21-22 5 88 24 20 3 87 22 19 2 86 18 0-18 1 85 16 84 14 83 9 82 8 79-81 7 77-78 6 76 5 75 4 0-74 1 Receptiva Expresiva PUNTUACIÓN TOTAL PD PC PD PC PD PC 54 98 63+ 96 117+ 99 53 93 62 90 116 98 52 90 61 79 114-115 93 51 84 60 72 113 91 50 79 59 64 112 89 49 70 58 46 111 87 48 60 57 40 110 84 47 52 56 33 109 80 46 43 55 27 108 70 45 38 54 24 107 67 44 30 53 20 106 62 43 22 52 14 105 58 42 19 51 11 104 54 41 17 50 9 103 47 40 10 49 7 102 43 39 8 48 6 101 37 38 6 46-47 5 100 30 37' 4 40-45 3 99 27 35-36 3 0-39 1 98 23 0-34 1 97 21 96 16 95 14 94 13 93 12 92 11 91 8 90 6 84-89 5 78-83 4 77 3 0-76 1
  • 35.
    72-83 MESES Tabla N-43.Área Personal-Social, conversión en centiles Interacción con el adulto Expresión de sentimientoslafecto Autoconcepto Interacción con los compañeros Colaboración Rol social PUNTUACIÓN TOTAL PD PC PD PC PD PC PD PC PD PC PD PC PD PC 36 17 24 12 28 12 34 25 20 71 28 48 70 84 35 7 23 7 27 10 33 12 19 47 27 35 169 75 34 2 21-22 5 26 8 32 9 18 13 26 19 168 51 0-33 1 20 2 25 7 31 5 17 11 25 9 167 44 0-19 1 24 5 30 2 16 5 24 7 166 35 23 3 0-29 1 15 4 23 6 165 23 22 2 14 2 22 4 164 18 0-21 1 0-13 1 20-21 2 163 16 0-19 1 161-162 14 156-160 10 155 9 150-154 7 149 5 143-148 4 136-142 2 0-135 1
  • 36.
    72-83 MESES Tabla N-44.Área Adaptativa, conversión en centiles Atención Comida Vestido Responsabilidad personal Aseo PUNTUACIÓN TOTAL PD PC PD PC PD PC PD PC PD PC PD PC 20 11 28 45 20 45 38 88 12 27 118 94 19 6 27 24 19 12 37 76 11 8 117 85 18 2 0-26 1 0-18 1 36 70 0-10 1 116 79 0-17 1 35 56 115 69 34 45 114 60 33 36 113 51 32 34 112 44 31 29 111 40 30 23 110 38 29 19 109 28 28 14 108 23 27 12 107 16 26 10 106 13 25 9 105 11 24 7 104 10 23 3 103 8 0-22 1 102 4 101 3 0-100 1
  • 37.
    72-83 MESES Tabla N-45.Área Motora, conversión en centiles Coordinación corporal Locomoción Motricidad fina Motricidad perceptiva MOTORA GRUESA MOTORA FINA PUNTUACIÓN TOTAL PD PC PD PC PD PC PD PC PD PC PD PC PD PC 50 85 26 20 36 16 40 98 88 85 76 98 164 99 49 72 25 14 35 9 39 93 87 72 75 94 163 97 48 54 0-24 1 34 3 38 62 86 54 74 66 162 92 47 39 33 2 37 42 85 40 73 44 161 84 46 31 0-32 1 36 28 84 34 72 32 160 70 45 25 35 21 83 26 71 21 159 59 44 9 34 16 82 15 70 19 158 49 43 6 33 8 81 11 69 12 157 39 42 5 32 4 80 6 68 6 156 32 41 3 31 3 79 4 67 3 155 27 40 2 30 2 77-78 2 64-66 2 154 24 0-39 1 0-29 1 0-76 1 0-63 1 153 20 152 15 151 12 150 11 149 10 148 8 147 4 146 3 145 2 0-144 1
  • 38.
    72-83 MESES 72-83MESES Tabla N-46. Área Comunicación, conversión en centiles Tabla N-47. Área Cognitiva, conversión en centiles Discriminación perceptiva Memoria Razonamiento y habilidades escolares Desarrollo conceptual PUNTUACIÓN TOTAL PD PC PD PC PD PC PO PC PD PC 20 16 20 70 32 92 40 83 112 99 19 4 19 42 31 86 39 70 111 94 18 2 18 15 30 55 38 55 110 88 0-17 1 17 2 29 38 37 46 109 83 0-16 1 28 24 36 32 108 73 27 15 35 25 . 107 67 26 5 34 17 106 54 25 3 33 12 105 47 24 2 32 5 104 42 0-23 1 30-31 3 103 38 28-29 2 102 30 0-27 1 101 24 100 20 99 15 98 13 97 11 96 6 95 5 94 2 0-93 1 Receptiva Expresiva PUNTUACIÓN TOTAL PD PC PD PC PD PC 54 78 64 89 118 94 53 56 63 74 117 84 52 43 62 50 116 74 51 33 61 35 115 63 50 25 60 22 114 56 49 16 59 20 113 47 48 8 58 12 112 42 47 5 57 9 111 35 45-46 4 56 8 110 26 44 3 54-55 5 109 17 41-43 2 53 3 108 13 0-40 1 52 2 106-107 10 0-51 1 105 8 104 7 103 6 101-102 4 99-100 2 0-98 1
  • 39.
    8495 MESES Tabla N-48.Área Personal-Social, conversión en centiles 8495 MESES Tabla N-49. Área Adaptativa, conversión en centiles Interacción con el adulto Expresión de sentimientoslafecto Autoconcepto Interacción con los compañeros Colaboración Rol social PUNTUACIÓN TOTAL PD PC PD PC PD PC PD PC PD PC PD PC PD PC 36 7 24 10 28 8 34 18 20 42 28 29 170 60 35 5 23 5 27 5 33 4 19 22 27 15 169 48 0-34 1 22 2 0-26 1 32 2 0-18 1 26 3 168 22 0-21 1 0-31 1 0-25 1 167 15 166 12 165 8 164 5 0-163 1 Atención Comida Vestido Responsabilidad personal Aseo PUNTUACIÓN TOTAL - PD PC PD PC PD PC PD PC PD PC PD PC 20 7 28 12 20 34 38 67 12 11 118 74 17-19 3 27 5 19 11 . 37 46 0-11 1 117 64 0-16 1 0-26 1 0-18 1 36 31 116 50 35 21 115 38 34 12 114 26 33 10 113 21 32 6 112 14 31 4 111 12 0-30 1 110 7 109 5 0-108 1
  • 40.
    84-95 MESES - TablaN-50. Área Motora, conversión en centiles 84-95 MESES Tabla N-51. Área Comunicación, conversión en centiles 122 Tabla N-52. Área Cognitiva, conversión en centiles 8495 MESES Coordinación corporal Locomoción Motricidad fina Motricidad perceptiva MOTORA GRUESA MOTORA FINA PUNTUACIÓN TOTAL PD PC PD PC PD PC PD PC PD PC PD PC PD PC 50 50 26 9 36 7 40 76 88 58 76 77 164 78 49 32 25 4 35 2 39 64 87 40 75 66 163 76 48 20 0-24 1 0-34 1 38 28 86 28 74 31 162 56 47 11 37 17 85 23 73 17 161 49 46 4 36 8 84 7 72 9 160 37 44-45 2 35 7 82-83 5 71 7 159 34 0-43 1 34 2 0-81 1 70 2 158 24 0-33 1 0-69 1 157 20 156 15 154-155 12 153 7 150-152 5 149 2 0-148 1 Receptiva Expresiva PUNTUACIÓN TOTAL Punt. PC Punt. PC Punt. Pc 54 42 64 62 118 73 53 17 63 40 117 51 52 7 62 21 116 32 51 4 61 13 115 22 49-50 2 60 9 114 14 0-48 1 59 4 113 11 58 3 112 9 0-57 1 111 6 110 4 109 3 108 2 0-107 1 Discriminación perceptiva . Memoria Razonamiento y habilidades escolares Desarrollo conceptual PUNTUACIÓN TOTAL PD PC PD PC PD PC PD PC PD PC 20 5 20 36 32 59 40 46 112 87 19 2 19 26 31 54 39 31 111 80 0-18 1 ` 18 6 30 14 38 17 110 56 0-17 1 29 7 37 12 109 51 28 2 36 9 108 33 0-27 1 35 6 107 31 33-34 3 106 26 32 2 105 20 0-31 1 104 13 103 10 100-102 8 99 5 0-98 1
  • 41.
    Tabla N-53. Pruebade "screening°: puntuaciones de criterio 123 PERSONAUSOCIAL ADAPTATIVA MOTORA GRUESA'' MOTORA FINA "MOTORA TOTAL (puntuación máxima 40) (puntuación máxima 40) (puntuación máxima 18) (puntuación máxima 22) (puntuación_máxima 40) Edad Desviaciones típicas Edad Desviaciones típicas Edad Desviaciones típicas Edad Desviaciones típicas Edad Desviaciones típicas 1,00 1,50 2,00 1,00 1,50 2,00 1,00 1,50 2,00 1,00 1,50 2,00 1,00 1,50 2,00 0-5 0 - - 0-5 0 - - 0-5 - - - 0-5 - - - 0-5 - - - 6-11 8 7 5 6-11 6 5 3 6-11 2 1 - 6-11 3 2 1 6-11 5 3 2 12-17 12 11 10 12-17 10 9 7 12-17 4 3 3 12-17 5 4 3 12-17 9 8 6 18-23 15 - 14 12 18-23 14 13 12 18-23 6 5 4 18-23 8 7 6 18-23 14 13 11 24-35 21 20 18 24-35 18 16 15 24-35 .8 7 6 24-35 9 8 7 24-35 j9 18 16 36-47 24 25 19 36-47 23 21 19 36-47 9 8 7 36-47 11 10 9 36-47 20 19 17 48-59 31 29 27 48-59 29 27 26 48-59 13 13 12 48-59 14 14 13 48-59 28 26 25 60-71 35 34 32 60-71 31 29 27 60-71 15 14 14 60-71 17 16 15 60-71 32 31 29 72-83 37 36 36 72-83 36 35 35 72-83 17 16 15 72-83 20 19 18 72-83 36 35 34 84-95 39 38 38 84-95 38 37 37 84-95 18 17 16 84-95 21 21 21 84-95 39 39 38 _ RECEPTIVA EXPRESIV COMUNICACION TOTAL COGNITIVA PUNTUACIÓN TOTAL I (puntuación máxima 18) (puntuación máxima 18) (puntuación máxima 36) (puntuación máxima 36) (puntuaci ón máxima 192) Edad Desviaciones típicas Edad Desviaciones típicas Edad Desviaciones típicas Edad Desviaciones típicas Edad Desviaciones típicas 1,00 1,50 2,00 1,00 1,50 2,00 1,00 1,50 2,00 1,00 1,50 2,00 -1,00 -1,50 -2,00 0-5 - - - 0-5 - - - 0-5 - - - 0-5 - - - 0-5 - - 6-11 2 2 1 6-11 2 1 1 6-11 4 3 2 6-11 7 6 5 6-11 35 30 26 12-17 4 3 2 12-17 3_ 2 2 12-17 7 5 4 12-17 10 9 8 12-17 50 46 42 18-23 6 6 5 18-23 6 5 5 18-23 11 11 10 18-23 11 10 9 18-23 67 62 57 24-35 8 7 6 24-35 7 7 6 24-35 15 14 12 24-35 16 15 14 24-35 92 89 85 36-47 9 8 7 36-47 10 9 8 36-47 19 17 16 36-47 19 17 15 36-47 108 99 91 48-59 10 9 8 48-59 12 10 9 48-59 23 21 19 48-59 26 25 24 48-59 141 135 129 60-71 12 11 10 60-71 13 12 11 60-71 25 23 22 60-71 28 27 26 60-71 155 150 145 72-83 16 15 15 72-83 15 14 13 72-83 32 31 30 72-83 30 29 27 72-83 174 170 166 84-95 17 16 16 84-95 16 15 14 84-95 ' 33 32 31 84-95 33 32 31 84-95 183 181 180
  • 42.
    Tabla N-54. Edadesequivalentes, en meses, para las puntuaciones de la prueba de "screening" en cada área 124 EDADES EQUIVALENTES Punt PS A MG MF M REC EXP CM CG 0 1 T2 0 0 0-2 0-2 0-1 0-1 0-1 0 0-1 1 1 3-4 3 2 2-3 2-3 1 2 3 2 2 5-7 45 3 45 4-5 2 3 4 3 3 3 8-10 6 4 6-7 6-10 3-4 4 5 4 11-13 7 5 8-12 11-15 5 44 5 14-16 8-10 5 13-17 16-17 6-7 55 5 17-18 11-13 6 18-22 18-19 8 6 8 5 6 19-20 1416 7 23-25 20-23 9-10 6 9 6 7 21-24 17-19 8 26-28 2427 11-12 7 10 7 8 25-28 20-22 9-10 29-35 28-32 13-14 8-10 11 7 9-10 29-35 23-25 11-12 36-42 33-37 15-16 11-13 12 9 11-12 36-41 26-28 13-14 43-47 38-42 17-18 14-16 13 10-11 13-14 42-44 29-33 15 48-52 43-47 19-20 17-19 14 12-13 15 45-47 34-38 16 53-59 48-52 21 20-22 15 14-15 16-17 48-50 39-43 17 60-65 53-60 22-23 23-24 16 16-17 18 51-60 44-48 18 66-71 61-68 24 25-26 17 18-19 19-20 61-70 49-53 19 72-77 69-77 25-26 27-28 18 20 21-22 71-80 5458 20-21 78-89 78-89 27-28 29-30 19 21 23-25 81-95 59-63 22-23 90-95 90-95 29-30 31-33 20 22-23 26-28 64-68 2425 31-33 34-3524-25 29-30 69-75 26-27 34-36 36-9821 22 26-27 31-32 76-83 28-30 37-39 39-40 23 28-29 33-34 84-95 31-33 40-42 41-43 24 30 31-32 35-36 37-38 34-36 43-44 4445 25 33 39-40 37-39 45-46 46-48 26 34-35 41-42 40-41 47-48 I49-50 27 36 43-44 42-43 49-50 51-52 28 37-38 45-46 4445 46-47 51-52 53-58 29 39 47-48 48-49 53-59 59-63 30 40-41 49-50 50-51 60-65 64-68 31 42-43 51-52 52-54 66-68 69-72 32 44-46 53-56 55-57 69-71 73-76 33 47-49 57-60 58-60 72-74 77-79 34 50-52 61-65 61-63 75-77 80-84 35 53-56 66-69 6467 78-89 85-89 36 57-60 70-73 68-72 90-92 90-92 37 61-66 74-77 73-77 93-95 93-95 38 67-76 78-83 78-82 39 77-87 84-89 83-87 40 88-95 90-95 88-95 Punt Máxima 40 40 18 22 40 18 18 36 36
  • 43.
    Tabla N-55. Edadesequivalentes, en meses, para las puntuaciones Totales de la Prueba de °screening" PUNTUACION TOTAL Edad equivalente PUNTUACION TOTAL Edad equivalente PUNTUACION TOTAL Edad equivalente 0-3 0 102-103 30 160 60 4-7 1 104-105 31 161 61 8-11 2 106-107 32 162 62 12-17 3 108-109 33 163 63 18-23 4 110-111 34 164 64 24-29 5 112-113 35 165 65 30-35 6 114-115 36 166 66 36-41 7 116-117 37 167 67 42-45 8 118-119 38 168 68 46-47 9 120-121 39 169-170 69 48-49 10 122-123 40 171 70 50-51 11 124-125 41 172 71 52-53 12 126-127 42 173 72 54-55 13 128-129 43 174-175 73 56-57 14 130-132 44 176 74 58-60 15 133-134 45 177 75 61-63 16 135-136 46 178 76 64-66 17 137-139 47 179-180 77 67-69 18 140-141 48 181 78 70-72 19 142-143 49 182 79-80 73-75 20 144-146 50 183 81-82 76-78 21 147-148 51 184 83-85 79-82 22 149-150 52 185 86-87 83-85 23 151-153 53 186 88-89 86-87 24 154 54 187 90 88-90 25 155 55 188 91 91-93 26 156 56 189 92 94-95 27 157 57 190 93 96-98 28 158 58 191 94 99-101 29 159 59 192 95 Puntuación máxima 192
  • 44.
    Tabla N-56. Edadesequivalentes, en meses, para las puntuaciones totales del Área Personal-Social PUNTUACIÓN TOTAL Edad equivalente PUNTUACIÓN TOTAL Edad equivalente PUNTUACIÓN TOTAL Edad equivalente PUNTUACIÓN TOTAL Edad equivalente 0-4 0 72-74 23 133-134 46 166 72-74 5-9 1 75-77 24 135-136 47 167 75-77 10-14 2 78-80 25 137-138 48 168 78-83 15-19 3 81-83 26 139-140 49 169 84-89 20-21 4 84-86 27 141-142 50 170 90-95 22-23 5 87-89 28 143-144 51 24-25 6 90-93 29 145-146 52 26-27 7 94-97 30 147--148 53 28-29 8 98-100 31 149-150 54 30-32 9 101-103 32 151-152 55 33-35 10 104-106 33 153 56 36-38 11 107-109 34 154 57 39-41 12 110-112 35 155 58 42-44 13 113-114 36 156 59 45-47 14 115-116 37 157 60 48-50 15 117-118 38 158 61 52-53 16 119-120 39 159 62 54-56 17 121-122 40 160 63 57-59 18 123-124 41 161 64 60-62 19 125-126 42 162 65 63-65 20 127-128 43 163 66-67 66-68 21 129-130 44 164 68-69 69-71 22 131-132 45 165 70-71 Puntuación máxima 170
  • 45.
    Tabla N-57. Edadesequivalentes, en meses, para las puntuaciones totales del Área Adaptativa PUNTUACIÓN TOTAL Edad equivalente PUNTUACIÓN TOTAL Edad equivalente PUNTUACIÓN TOTAL Edad equivalente PUNTUACIÓN TOTAL Edad equivalente 0-3 0 47 21 78 42 99 63 4-6 1 48-49 22 79 43 100 64 7-9 2 50-51 23 80 44 101 65 10-12 3 52-53 24 81 45 102 66 13-14 4 54-55 25 82 46 103 67-68 15-16 5 56-57 26 83 47 104 69 17-18 6 58 27 84 48 105 70 19-20 7 59 28 85 49 106 71 21-22 8 60 29 86 50 107 72 23-24 9 61 30 87 51 108 73 25-27 10 62-63 31 88 52 109 74 28-30 11 64-65 32 89 53 110 75 31-33 12 66-67 33 90 54 111 76 34-36 13 68-69 34 91 55 112 77 37-38 14 70-71 35 92 56 113 78-80 39-40 15 72 36 93 57 114 81-83 41-42 16 73 37 94 58 115 84-86 43 17 74 38 95 59 116 87-89 44 18 75 39 96 60 117+ 90-95 45 19 76 40 97 61 46 20 77 41 98 62 Puntuación máxima 118
  • 46.
    Tabla N-58. Edadesequivalentes, en meses, para las Tabla N-59. Edades equivalentes, en meses, para las puntuaciones totales del Área Motora gruesa puntuaciones totales del Área Motora fina PUNTUACIÓN TOTAL Edad equivalente PUNTUACIÓN TOTAL Edad equivalente PUNTUACI N TOTAL Edad equivalente 0-2 0 53 26 80 66 3-5 1 54 27 81 67-69 6-8 2 55 28 82 70-71 9-10 3 56 29 83 72-73 11-12 4 57 30 84 74-75 13-14 5 58 31-34 85 76-77 15-16 6 59 35-38 86 78-83 17-18 7 60 39-42 87 84-89 19-21 8 61-62 43 88 90-95 22-24 9 63 44 25-27 10 64 45 28-30 11 65 46 31-33 12 66 47 34-36 13 67 48 37-38 14 68 49 39-40 15 69 50 41-42 16 70 51 43-44 17 71 52 45 18 72 53 46 19 73 54 47 ?0 74 55-56 48 21 75 57-58 49 22 76 59-60 50 23 77 61-62 51 24 78 63-64 52 25 79 65 1 Puntuación máxima 88 -71 PUNTUACIÓN TOTAL Edad equivalente PUNTUACIÓN TOTAL Edad equivalente PUNTUACIÓN TOTAL Edad equivalente 0-1 0 33 29 59 55-56 2-3 1 34 30 60 57-58 4-5 2 35 31 61 59 6-7 3 36 32 62 60 8-9 4 37 33 63 61 10-11 5 38 34 64 62 12-13 6 39 35 65 63 14 7 40 36 66 64 15 8 41 37 67 65 16 9 42 38 68 66-67 17 10 43 39 69 68-69 18 11 44 40 70 70-71 19 12 45 41 71 72-73 20 13 46 42 72 74-75 21 14 47 43 73 76-77 22 15-16 48 44 74 78-89 23 17-18 49 45 75+ 90-95 24 19-20 50 46 25 21 51 47 26 22 52 48 27 23 53 49 28 24 54 50 29 25 55 51 30 26 56 52 31 27 57 53 32 28 58 54 Puntuación máxima 76
  • 47.
    Tabla N-60. Edadesequivalentes, en meses, para las puntuaciones totales del Área Motora PUNTUACIÓN TOTAL Edad equivalente PUNTUACIÓN TOTAL Edad equivalente PUNTUACIÓN TOTAL Edad equivalente PUNTUACIÓN TOTAL Edad equivalente 0-4 0 82-83 26 126-127 52 161 86-89 5-8 1 84-85 27 128 53 162+ 90-95 9-12 2 86-87 28 129 54 13-16 3 88-89 29 130-131 55 17-20 4 90-91 30 132-133 56 21-24 5 92-93 31 134-135 57 25-28 6 94-95 32 136-137 58 29-31 7 96-97 33 138-139 59 32-34 8 98-99 34 140-141 60 35-37 9 100 35 142-143 61 38-42 10 101 36 144-145 62 43-47 11 102 37 146 63 48-52 12 103 38 147 64 53-57 13 104 39 148 65 58-62 14 105 40 149 66 63-64 15 106 41 150 67-68 65-66 16 107 42 151 69-70 67-68 17 108-109 43 152 71 69 18 110-111 44 153 72 70 19 112-113 45 154 73 71 20 114-115 46 155 74 72 21 116-117 47 156 75 73-75 22 118-119 48 157 76 76-77 23 120-121 49 158 77 78-79 24 122-123 50 159 78-81 80-81 25 124-125 51 160 82-85 Puntuación máxima 164
  • 48.
    Tabla N-61. Edadesequivalentes, en meses, para las puntuaciones totales de la Subárea Comunicación receptiva PUNTUACIÓN TOTAL Edad equivalente PUNTUACIÓN TOTAL Edad equivalente PUNTUACIÓN TOTAL Edad equivalente PUNTUACIÓN TOTAL Edad equivalente 0-1 0 18 27 34 48 50 73-74 2-3 1 19 28 35 49 51 75-77 4 2 20 29 36 50 52 78-83 5 3 21 30-31 37 51 53 84-90 6 4-5 22 32-33 38 52 54 91-95 7 6 23 34-35 39 53 8 7 24 36 40 54 9 8 25 37 41 55-56 10 9-11 26 38 42 57-58 11 12-14 27 39 43 59-60 12 15-16 28 40 44 61-62 13 17-18 29 41 45 63-64 14 19-20 30 42-43 46 65-66 15 21-22 31 44-45 47 67-68 16 23-24 32 46 48 69-70 17 25-26 33 47 49 71-72 Puntuación máxima 54
  • 49.
    Tabla N-62. Edadesequivalentes, en meses, para las puntuaciones totales de la Subárea Comunicación Expresiva PUNTUACIÓN TOTAL Edad equivalente PUNTUACIÓN TOTAL Edad equivalente PUNTUACIÓN TOTAL Edad equivalente PUNTUACIÓN TOTAL Edad equivalente 0-1 0 18 18-19 35 40 51 57-58 2 1 19 20-21 36 41 52 59-60 3 2 20 22 37 42 53 61 4 3 21 23 38 43 54 62 5 4-5 22 24 39 44 55 63 6 6 23 25 40 45 56 64 7 7 24 26 41 46 57 65 8 8 25 27 42 47 58 66 9-10 9 26 28 43 48 59 67-70 11 10 27 29 44 49 60 71-74 12 11 28-29 30 45 50 61 75-78 13 12 30 31-32 46 51 62 79-84 14 13 31 33-34 47 52 63 85-89 15 14 32 35-36 48 53 64 90-95 16 15 33 37-38 49 54 17 16-17 34 39 50 55-56 Puntuación máxima 64
  • 50.
    Tabla N-63. Edadesequivalentes, en meses, para las puntuaciones totales del Área Comunicación PUNTUACIÓN TOTAL Edad equivalente PUNTUACIÓN TOTAL Edad equivalente PUNTUACIÓN TOTAL Edad equivalente PUNTUACIÓN TOTAL Edad equivalente 0-2 0 35-36 21 66 42 100 63 3-5 1 37-38 22 67-69 43 101 64 6-7 2 39-40 23 70-71 44 102 65 8-9 3 41-42 24 72-73 45 103 66 10-11 4 43 25 74-75 46 104 67-68 12-13 5 44 26 76-77 47 105 69 14-15 6 45 27 78-79 48 106 70 16 7 46 28 80-81 49 107 71 17 8 47 29 82-83 50 108 72 18 9 48 30 84-85 51 109 73 19-20 10 49-50 31 86-87 52 110 74 21-22 11 51-52 32 88-89 53 111 75 23-24 12 53-54 33 90-91 54 112 76 25-26 13 55-56 34 92 55 113 77 27-28 14 57-58 35 93 56 114 78-81 29 15 59-60 36 94 57 115 82-85 30 16 61 37 95 58 116 86-89 31 17 62 38 96 59 117+ 90-95 32 18 63 39 97 60 33 19 64 40 98 61 34 20 65 41 99 62 Puntuación máxima 118
  • 51.
    Tabla N-64. Edadesequivalentes, en meses, para las puntuaciones totales del Área Cognitiva PUNTUACIÓN TOTAL Edad equivalente PUNTUACIÓN TOTAL Edad equivalente PUNTUACIÓN TOTAL Edad equivalente PUNTUACIÓN TOTAL Edad equivalente 0-1 0 34 28 72-73 52 103 76 2-3 1 35 29 74-75 53 104 77 4-5 2 36 30 76-78 54 105 78 6 3 37 31 79-80 55 106 79-82 7-8 4 38 32 81-82 56 107 83-86 9-10 5 39 33 83-84 57 108 87-89 11-12 6 40 34 85 58 109+ 90-95 13-14 7 41 35 86 59 15-16 8 42 36 87 60 17 9 43 37 88 61 18 10 44 38 89 62 19 11 45 39 90 63 20 12 46 40 91 64 21 13 47 41 92 65 22 14 48-49 42 93 66 23 15 50-52 43 94 67 24 16-18 53-55 44 95 68 25 19-21 56-58 45 96 69 26-27 22 59-61 46 97 70 28-29 23 62-63 47 98 71 30 24 64-65 48 99 72 31 25 66-67 49 100 73 32 26 68-69 50 101 74 33 27 70-71 51 102 75 Puntuación máxima 112
  • 52.
    Tabla N-65. Edadesequivalentes, en meses, para las puntuaciones totales del Battelle PUNTUACIÓN TOTAL Edad equivalente PUNTUACIÓN TOTAL Edad equivalente PUNTUACIÓN TOTAL Edad equivalente PUNTUACIÓN TOTAL Edad equivalente 0-16 0 279-289 25 479-485 50 644-647 75 17-32 1 290-300 26 486-492 51 648-651 76 33-48 2 301-311 27 493-500 52 652-655 77 49-65 3 312-320 28 501-509 53 656-657 78 66-76 4 321-329 29 510-517 54 658-659 79 77-87 6 330-337 30 518-525 55 660-661 80 88-98 6 338-344 31 526-533 56 662-663 81 99-109 7 345-351 32 534-541 57 664 82 110-120 8 352-358 33 542-549 58 665 83 121-131 9 359-365 34 550-557 59 666 84 132-142 10 366-372 35 558-565 60 667 85 143-153 11 373-379 36 566-573 61 668 86 154-164 12 380-386 37 574-581 62 669 87 165-175 13 387-393 38 582-589 63 670 88 176-186 14 394-403 39 590-597 64 671 89 187-196 15 404-413 40 598-605 65 672+ 90-95 197-204 16 414-421 41 606-610 66 205-212 17 422-428 42 611-615 67 213-220 18 429-436 43 616-619 68 221-228 19 437-443 44 620-623 69 229-236 20 444-450 45 624-627 70 237-244 21 451-457 46 628-631 71 245-256 22 458-464 47 632-635 72 257-267 23 465-471 48 636-639 73 268-278 24 472-478 49 640-643 74 Puntuación máxima 682