Download free for 30 days
Sign in
Upload
Language (EN)
Support
Business
Mobile
Social Media
Marketing
Technology
Art & Photos
Career
Design
Education
Presentations & Public Speaking
Government & Nonprofit
Healthcare
Internet
Law
Leadership & Management
Automotive
Engineering
Software
Recruiting & HR
Retail
Sales
Services
Science
Small Business & Entrepreneurship
Food
Environment
Economy & Finance
Data & Analytics
Investor Relations
Sports
Spiritual
News & Politics
Travel
Self Improvement
Real Estate
Entertainment & Humor
Health & Medicine
Devices & Hardware
Lifestyle
Change Language
Language
English
Español
Português
Français
Deutsche
Cancel
Save
Submit search
EN
MA
Uploaded by
Muhamad Al-Kahfi
48 views
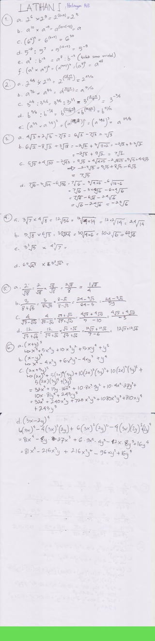
Bab 1 : Biangan Real
Soal latihan 1 tentang Bilangan Ril
Education
◦
Read more
0
Save
Share
Embed
Embed presentation
Download
Download to read offline
More Related Content
PPT
Cadastral mapping akshay galav
by
Akshay Galav
PDF
COMPANY PROFILE
by
Elin Purba
PDF
Iniciativa de ley de mercados, tianguis y pequeño comercio
by
Francisco Morales
PDF
Soal Matematika Bab 2 Persamaan dan Pertidaksamaan
by
Muhamad Al-Kahfi
PPT
exposicion Grupo 1
by
yagm.exe
PPT
Redes Informatica1
by
Ricardo007
PPS
Ron Muec Keskultoreal
by
guest6e429
ODP
PresentacióN Web 2.0
by
Ricardo007
Cadastral mapping akshay galav
by
Akshay Galav
COMPANY PROFILE
by
Elin Purba
Iniciativa de ley de mercados, tianguis y pequeño comercio
by
Francisco Morales
Soal Matematika Bab 2 Persamaan dan Pertidaksamaan
by
Muhamad Al-Kahfi
exposicion Grupo 1
by
yagm.exe
Redes Informatica1
by
Ricardo007
Ron Muec Keskultoreal
by
guest6e429
PresentacióN Web 2.0
by
Ricardo007
Viewers also liked
PDF
United States Supreme Court Amicus Brief
by
Carson J. Tucker, MSEL, JD
PDF
diploma 2
by
Mahmoud Nour eldin
PDF
CXPA Customer Experience Superhero Success Guide
by
Karl Sharicz
PPT
Exposicion Grpo 6
by
yagm.exe
DOCX
AlexEspositoCapstonePaper (1)
by
Alex Esposito
PPTX
5. la comunicación interna
by
carmen quintero
PDF
MTI_Newsletter_Jan2017
by
Annalena Vesper
DOC
MDK 2017
by
Mohammad Danish Khan
ODP
PresentacióN Web 2.0
by
Ricardo007
United States Supreme Court Amicus Brief
by
Carson J. Tucker, MSEL, JD
diploma 2
by
Mahmoud Nour eldin
CXPA Customer Experience Superhero Success Guide
by
Karl Sharicz
Exposicion Grpo 6
by
yagm.exe
AlexEspositoCapstonePaper (1)
by
Alex Esposito
5. la comunicación interna
by
carmen quintero
MTI_Newsletter_Jan2017
by
Annalena Vesper
MDK 2017
by
Mohammad Danish Khan
PresentacióN Web 2.0
by
Ricardo007
More from Muhamad Al-Kahfi
PDF
Bab 7 Fungsi Trigonometri
by
Muhamad Al-Kahfi
PDF
Bab 5 : Bilangan Kompleks
by
Muhamad Al-Kahfi
PDF
Latihan excel
by
Muhamad Al-Kahfi
PDF
Soal Matematika Bab 1 Bilangan Real
by
Muhamad Al-Kahfi
PDF
Bab 6 Fungsi dan Grafik
by
Muhamad Al-Kahfi
PDF
Bab 3 : Matrik
by
Muhamad Al-Kahfi
PDF
Bab 4 : Vektor
by
Muhamad Al-Kahfi
PDF
Bab 2 : Persamaan dan pertidaksamaan
by
Muhamad Al-Kahfi
PDF
Bab 8 Barisan Deret
by
Muhamad Al-Kahfi
PDF
Latihan word
by
Muhamad Al-Kahfi
PDF
Cara membuat akun gmail
by
Muhamad Al-Kahfi
PPTX
Praktek ppt
by
Muhamad Al-Kahfi
PDF
Cara membuat Blog Wordpress
by
Muhamad Al-Kahfi
PDF
Praktek excel
by
Muhamad Al-Kahfi
PDF
Latihan 2 word
by
Muhamad Al-Kahfi
PDF
Praktek word
by
Muhamad Al-Kahfi
PPTX
Latihan ppt
by
Muhamad Al-Kahfi
Bab 7 Fungsi Trigonometri
by
Muhamad Al-Kahfi
Bab 5 : Bilangan Kompleks
by
Muhamad Al-Kahfi
Latihan excel
by
Muhamad Al-Kahfi
Soal Matematika Bab 1 Bilangan Real
by
Muhamad Al-Kahfi
Bab 6 Fungsi dan Grafik
by
Muhamad Al-Kahfi
Bab 3 : Matrik
by
Muhamad Al-Kahfi
Bab 4 : Vektor
by
Muhamad Al-Kahfi
Bab 2 : Persamaan dan pertidaksamaan
by
Muhamad Al-Kahfi
Bab 8 Barisan Deret
by
Muhamad Al-Kahfi
Latihan word
by
Muhamad Al-Kahfi
Cara membuat akun gmail
by
Muhamad Al-Kahfi
Praktek ppt
by
Muhamad Al-Kahfi
Cara membuat Blog Wordpress
by
Muhamad Al-Kahfi
Praktek excel
by
Muhamad Al-Kahfi
Latihan 2 word
by
Muhamad Al-Kahfi
Praktek word
by
Muhamad Al-Kahfi
Latihan ppt
by
Muhamad Al-Kahfi
Recently uploaded
DOCX
Modul Ajar Deep Learning Agama Katolik Kelas 8 Semester 2 Terbaru 2026
by
wahyurestu63
PDF
Membangun Kesetaraan untuk Masa Depan Berkelanjutan - SDGs 5 (Gender Equality)
by
202210415198
PDF
Kepemimpinan Strategis dalam Eksekusi Pembangunan Nasional
by
Dadang Solihin
PDF
Sejarah Masuknya Islam di Sulawesi dan Peran Kerajaan Islam
by
Ade Saputra
PDF
MODUL AJAR KODING KELAS 5 DL CP 046 2025.pdf
by
visipintarClass
PDF
(Deep Learning) Modul Ajar Prakarya Pengolahan Kelas 8 Kurikulum Merdeka
by
Modul Kelas
DOCX
Modul Ajar Deep Learning Seni Rupa Kelas 9 Semester 2 Terbaru 2026
by
wahyurestu63
PDF
Modul Ajar Al Quran Hadits Kelas 12 - Kurikulum Berbasis Cinta
by
visipintarClass
PDF
MODUL AJAR KODING KELAS 7 DL CP 046 2025.pdf
by
visipintarClass
PDF
PPT ENERGI TERBARUKAN UNTUK SD FASE C KELAS 6
by
rahmatulhasbi464
PDF
(Deep Learning) Modul Ajar Prakarya Kerajinan Kelas 9 Kurikulum Merdeka
by
Modul Kelas
PDF
(Deep Learning) Modul Ajar Prakarya Pengolahan Kelas 9 Kurikulum Merdeka
by
Modul Kelas
DOCX
Modul Ajar Deep Learning Prakarya Rekayasa Kelas 9 Semester 2 Terbaru 2026
by
wahyurestu63
DOCX
Modul Ajar Deep Learning Agama Katolik Kelas 7 Semester 2 Terbaru 2026
by
wahyurestu63
PDF
Modul Ajar Bahasa Arab Kelas 7 - Kurikulum Berbasis Cinta
by
visipintarClass
PDF
Modul Ajar Al Quran Hadits Kelas 8 - Kurikulum Berbasis Cinta.pdf
by
visipintarClass
PPTX
Pertemuan 2 Fungsi dan Tujuan Komunikasi Publik.pptx
by
ayidiahdamayani
DOCX
Modul Ajar Deep Learning Senbud Seni Sosiologi Kelas 10 Semester 2 Terbaru 2026
by
wahyurestu63
DOCX
Modul Ajar Deep Learning Fisika Kelas 10 Semester 2 Terbaru 2026
by
wahyurestu63
PDF
Mengakhiri Kelaparan dan Mewujudkan Ketahanan Pangan Melalui Kegiatan Sosial ...
by
202210415276
Modul Ajar Deep Learning Agama Katolik Kelas 8 Semester 2 Terbaru 2026
by
wahyurestu63
Membangun Kesetaraan untuk Masa Depan Berkelanjutan - SDGs 5 (Gender Equality)
by
202210415198
Kepemimpinan Strategis dalam Eksekusi Pembangunan Nasional
by
Dadang Solihin
Sejarah Masuknya Islam di Sulawesi dan Peran Kerajaan Islam
by
Ade Saputra
MODUL AJAR KODING KELAS 5 DL CP 046 2025.pdf
by
visipintarClass
(Deep Learning) Modul Ajar Prakarya Pengolahan Kelas 8 Kurikulum Merdeka
by
Modul Kelas
Modul Ajar Deep Learning Seni Rupa Kelas 9 Semester 2 Terbaru 2026
by
wahyurestu63
Modul Ajar Al Quran Hadits Kelas 12 - Kurikulum Berbasis Cinta
by
visipintarClass
MODUL AJAR KODING KELAS 7 DL CP 046 2025.pdf
by
visipintarClass
PPT ENERGI TERBARUKAN UNTUK SD FASE C KELAS 6
by
rahmatulhasbi464
(Deep Learning) Modul Ajar Prakarya Kerajinan Kelas 9 Kurikulum Merdeka
by
Modul Kelas
(Deep Learning) Modul Ajar Prakarya Pengolahan Kelas 9 Kurikulum Merdeka
by
Modul Kelas
Modul Ajar Deep Learning Prakarya Rekayasa Kelas 9 Semester 2 Terbaru 2026
by
wahyurestu63
Modul Ajar Deep Learning Agama Katolik Kelas 7 Semester 2 Terbaru 2026
by
wahyurestu63
Modul Ajar Bahasa Arab Kelas 7 - Kurikulum Berbasis Cinta
by
visipintarClass
Modul Ajar Al Quran Hadits Kelas 8 - Kurikulum Berbasis Cinta.pdf
by
visipintarClass
Pertemuan 2 Fungsi dan Tujuan Komunikasi Publik.pptx
by
ayidiahdamayani
Modul Ajar Deep Learning Senbud Seni Sosiologi Kelas 10 Semester 2 Terbaru 2026
by
wahyurestu63
Modul Ajar Deep Learning Fisika Kelas 10 Semester 2 Terbaru 2026
by
wahyurestu63
Mengakhiri Kelaparan dan Mewujudkan Ketahanan Pangan Melalui Kegiatan Sosial ...
by
202210415276
Download