Download free for 30 days
Sign in
Upload
Language (EN)
Support
Business
Mobile
Social Media
Marketing
Technology
Art & Photos
Career
Design
Education
Presentations & Public Speaking
Government & Nonprofit
Healthcare
Internet
Law
Leadership & Management
Automotive
Engineering
Software
Recruiting & HR
Retail
Sales
Services
Science
Small Business & Entrepreneurship
Food
Environment
Economy & Finance
Data & Analytics
Investor Relations
Sports
Spiritual
News & Politics
Travel
Self Improvement
Real Estate
Entertainment & Humor
Health & Medicine
Devices & Hardware
Lifestyle
Change Language
Language
English
Español
Português
Français
Deutsche
Cancel
Save
EN
Uploaded by
A Jorge Garcia
864 views
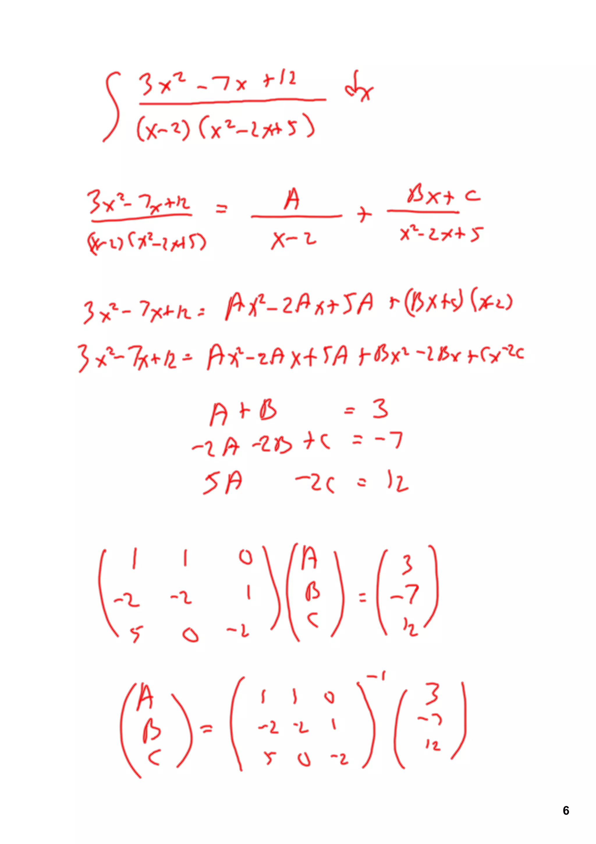
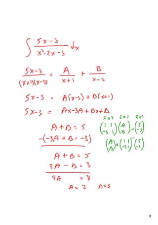
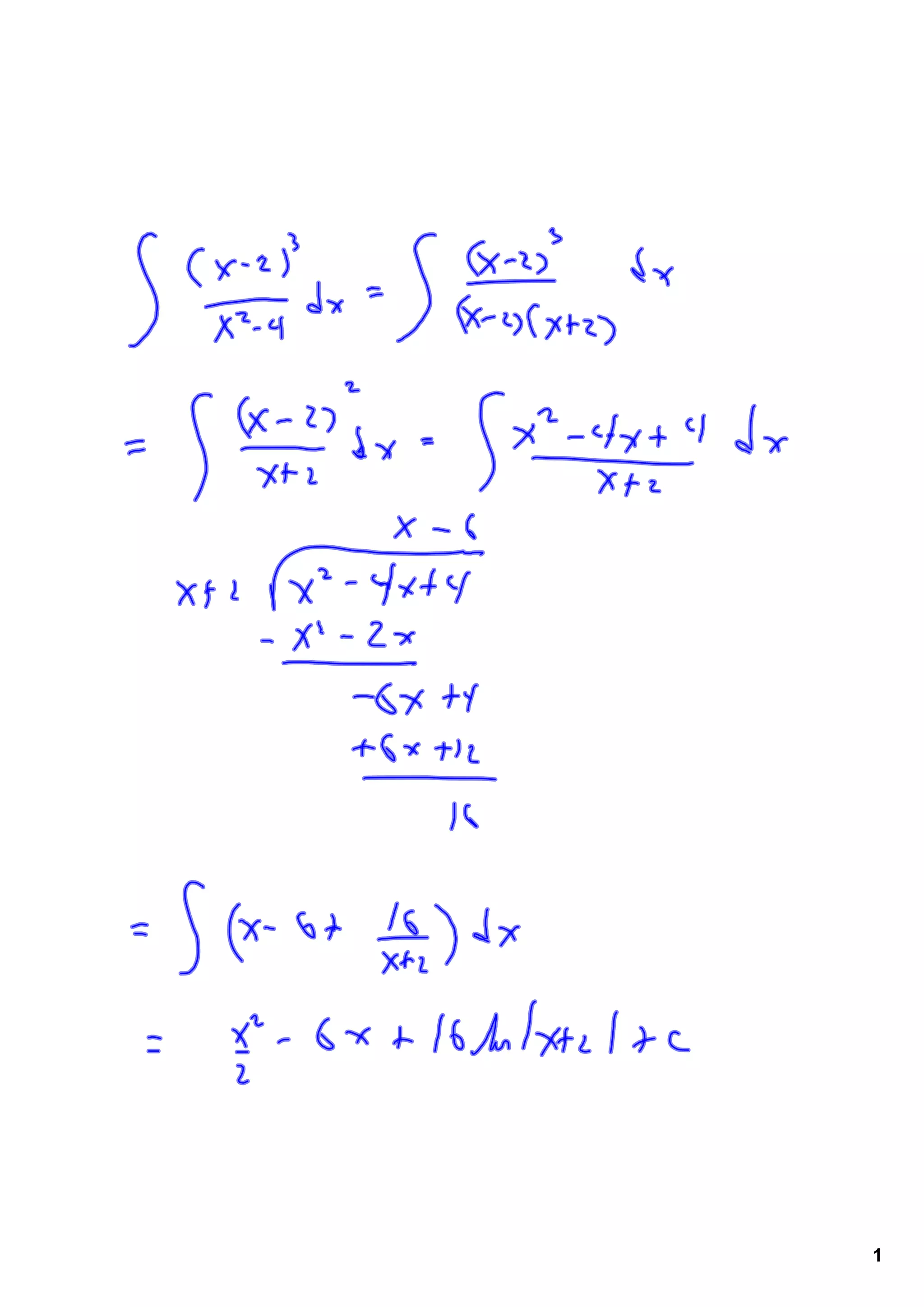
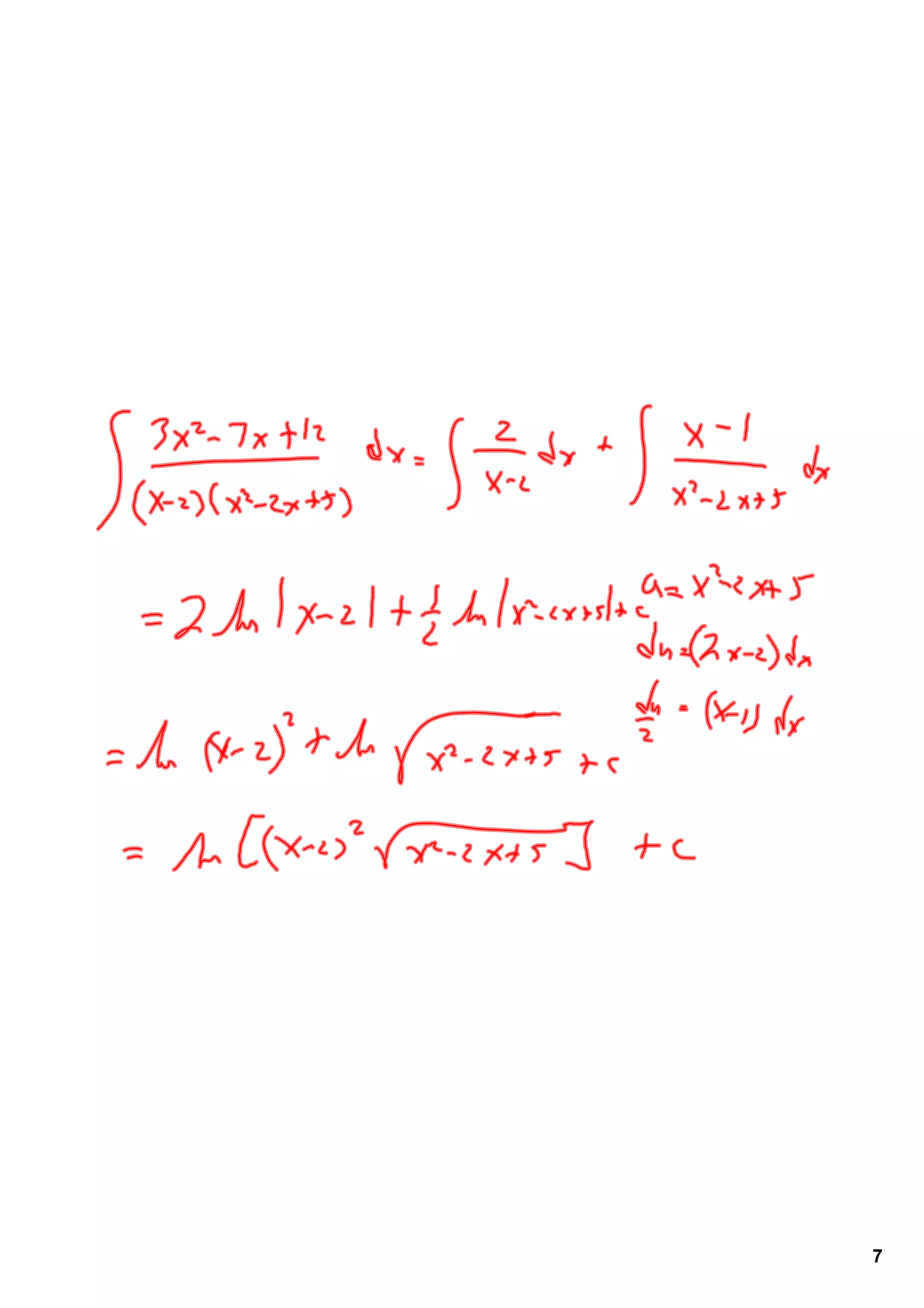
AP Calculus BC 809: Partial Fractions
Education
◦
Read more
1
Save
Share
Embed
Embed presentation
Download
Download to read offline
1
/ 7
2
/ 7
3
/ 7
4
/ 7
5
/ 7
6
/ 7
7
/ 7
More Related Content
DOC
LApreC2010-103matrixquiz11c.4rq
by
A Jorge Garcia
PDF
AP Calculus BC: 11-01 Intro to MacLaurin Power Series
by
A Jorge Garcia
PDF
Computer Math Day 05 Integers
by
A Jorge Garcia
PDF
Calculus 608 Surface Area
by
A Jorge Garcia
PDF
AP Calculus BC: 11-04 Using Tayor Series!
by
A Jorge Garcia
PDF
AP Calculus BC: 12-01 Parametric Arc Length
by
A Jorge Garcia
PDF
Calculus Research Lab 3: Differential Equations!
by
A Jorge Garcia
PDF
Ap Calculus BC 12-03: Polar Coordinates!
by
A Jorge Garcia
LApreC2010-103matrixquiz11c.4rq
by
A Jorge Garcia
AP Calculus BC: 11-01 Intro to MacLaurin Power Series
by
A Jorge Garcia
Computer Math Day 05 Integers
by
A Jorge Garcia
Calculus 608 Surface Area
by
A Jorge Garcia
AP Calculus BC: 11-04 Using Tayor Series!
by
A Jorge Garcia
AP Calculus BC: 12-01 Parametric Arc Length
by
A Jorge Garcia
Calculus Research Lab 3: Differential Equations!
by
A Jorge Garcia
Ap Calculus BC 12-03: Polar Coordinates!
by
A Jorge Garcia
Viewers also liked
DOC
LAP2009c&p102-vector3d.5ht
by
A Jorge Garcia
PDF
ap calculus bc 805: integration by parts
by
A Jorge Garcia
PDF
Calculus 603 Washers and Horizontal Strips!
by
A Jorge Garcia
PDF
AP Calculus BC: 11-04 Harvard Text, Variable Separable
by
A Jorge Garcia
PDF
Calculus 702 ln(x) and Logarithmic Differe
by
A Jorge Garcia
PDF
preCalculus: Calculus 2-4: More Power Rule!
by
A Jorge Garcia
PDF
preCalculus: intro to Calc 5-5 LSUM, TRAP, RSUM
by
A Jorge Garcia
PDF
preCalculus: intro to Calc 5-10 U-Sub!
by
A Jorge Garcia
PDF
preCalculus: intro to Calc 5-2 DiffEqus!
by
A Jorge Garcia
PDF
AP Computer Science C6X13 Calculus Notes on Newton's Method
by
A Jorge Garcia
LAP2009c&p102-vector3d.5ht
by
A Jorge Garcia
ap calculus bc 805: integration by parts
by
A Jorge Garcia
Calculus 603 Washers and Horizontal Strips!
by
A Jorge Garcia
AP Calculus BC: 11-04 Harvard Text, Variable Separable
by
A Jorge Garcia
Calculus 702 ln(x) and Logarithmic Differe
by
A Jorge Garcia
preCalculus: Calculus 2-4: More Power Rule!
by
A Jorge Garcia
preCalculus: intro to Calc 5-5 LSUM, TRAP, RSUM
by
A Jorge Garcia
preCalculus: intro to Calc 5-10 U-Sub!
by
A Jorge Garcia
preCalculus: intro to Calc 5-2 DiffEqus!
by
A Jorge Garcia
AP Computer Science C6X13 Calculus Notes on Newton's Method
by
A Jorge Garcia
More from A Jorge Garcia
PDF
LIMACON 2023 Brochure
by
A Jorge Garcia
PDF
2022-RESUME-NEW
by
A Jorge Garcia
PDF
MAT122 DAY508 MEETING 44 of 45 2021.1217 FRIDAY
by
A Jorge Garcia
PDF
MAT122 DAY507 MEETING 43 of 45 2021.1216 THURSDAY
by
A Jorge Garcia
PDF
MAT122 DAY506 MEETING 42 of 45 2021.1215 WEDNESDAY
by
A Jorge Garcia
PDF
MAT122 DAY308 Lesson 26 of 45
by
A Jorge Garcia
PDF
MAT122 DAY307 Lesson 25 of 45
by
A Jorge Garcia
PDF
MAT122 DAY306 Lesson 24 of 45
by
A Jorge Garcia
PDF
MAT122 DAY305 Lesson 23 of 45
by
A Jorge Garcia
PDF
MAT122 DAY304 Lesson 22 of 45
by
A Jorge Garcia
PDF
MAT122 DAY303 Lesson 21 of 45
by
A Jorge Garcia
PDF
MAT122 DAY302 Lesson 20 of 45
by
A Jorge Garcia
PDF
MAT122 DAY301 Lesson 19 of 45
by
A Jorge Garcia
PDF
MAT122 DAY205
by
A Jorge Garcia
PDF
MAT122 DAY204
by
A Jorge Garcia
PDF
MAT122 DAY203
by
A Jorge Garcia
PDF
MAT122 DAY202
by
A Jorge Garcia
PDF
MAT122 DAY201
by
A Jorge Garcia
PDF
MAT122 DAY06
by
A Jorge Garcia
PDF
MAT122 DAY05
by
A Jorge Garcia
LIMACON 2023 Brochure
by
A Jorge Garcia
2022-RESUME-NEW
by
A Jorge Garcia
MAT122 DAY508 MEETING 44 of 45 2021.1217 FRIDAY
by
A Jorge Garcia
MAT122 DAY507 MEETING 43 of 45 2021.1216 THURSDAY
by
A Jorge Garcia
MAT122 DAY506 MEETING 42 of 45 2021.1215 WEDNESDAY
by
A Jorge Garcia
MAT122 DAY308 Lesson 26 of 45
by
A Jorge Garcia
MAT122 DAY307 Lesson 25 of 45
by
A Jorge Garcia
MAT122 DAY306 Lesson 24 of 45
by
A Jorge Garcia
MAT122 DAY305 Lesson 23 of 45
by
A Jorge Garcia
MAT122 DAY304 Lesson 22 of 45
by
A Jorge Garcia
MAT122 DAY303 Lesson 21 of 45
by
A Jorge Garcia
MAT122 DAY302 Lesson 20 of 45
by
A Jorge Garcia
MAT122 DAY301 Lesson 19 of 45
by
A Jorge Garcia
MAT122 DAY205
by
A Jorge Garcia
MAT122 DAY204
by
A Jorge Garcia
MAT122 DAY203
by
A Jorge Garcia
MAT122 DAY202
by
A Jorge Garcia
MAT122 DAY201
by
A Jorge Garcia
MAT122 DAY06
by
A Jorge Garcia
MAT122 DAY05
by
A Jorge Garcia
Recently uploaded
PDF
Family and Marriage __ Sociology __ Jhasketan Kuanar __ NURSING VIBE ONLY .pdf
by
JK NURSING VIBES ONLY JHASKETAN KUANAR
PPTX
ELIMINATION NEEDS Fundamentals of Nursing .pptx
by
Sonali Gupta
PDF
BP809ET COSMETIC SCIENCE (Theory) Unit 1
by
Rushi Mandali
PPTX
Greengnorance Toolkit Module 5 Waste Management
by
Karl Donert
PPTX
Renal Physiology -Nephron.pptx
by
Disha Soriya
PPTX
13 February 2026 - Bullying in education prevalence, impact and responses acr...
by
EduSkills OECD
PDF
Auden’s "In Memory of W.B. Yeats": The Role of Poetry in the Modern World
by
Kruti Vyas
PPTX
Greengnorance Toolkit Module1 Climate Change
by
Karl Donert
PPTX
PRE TERM LABOR ( PREMATURE LABOUR IN PREGNANCY)
by
Muthu Kumar
PDF
3-ACES-Hyderabad-Vs-Municipal-Corporation-Hyderabad-on-2-Sep-1994.pdf
by
ssuser9d8e4e
PDF
"September 1, 1939": A Modern Reading of Auden in Times of Crisis
by
Kruti Vyas
PDF
Four Stars Of Destiny By General Manoj Mukund Naravane
by
Aman744562
PPTX
Simulation Learning in Health Sciences and Human Service programs at Camosun ...
by
gabitouss
PPTX
Methods & Applications of Enzyme Immobilization Technique.pptx
by
Anupkumar Sharma
PPT
Card repertory , Boger card , Kishore card
by
Dr Dhwanika Dhagat
PPTX
Overview of How to set priority in Odoo 19 Todo
by
Celine George
PPTX
Drug acting on ANS.pptx (Drug acts on Sympathetic and parasympathetic NS)
by
Manarat International University
PDF
Art, Memory, and Modernity: A Study of W. H. Auden’s In Memory of W. B. Yeats
by
priyarathod315
PDF
PHARMACOLOGY 1 ( BP 404 T) Unit 1 (Cology 1)
by
Chetan Mali
PPTX
Plant fibres used as surgical dressings & Sutures – Surgical Catgut and Ligat...
by
Sai Meer College of Pharmacy
Family and Marriage __ Sociology __ Jhasketan Kuanar __ NURSING VIBE ONLY .pdf
by
JK NURSING VIBES ONLY JHASKETAN KUANAR
ELIMINATION NEEDS Fundamentals of Nursing .pptx
by
Sonali Gupta
BP809ET COSMETIC SCIENCE (Theory) Unit 1
by
Rushi Mandali
Greengnorance Toolkit Module 5 Waste Management
by
Karl Donert
Renal Physiology -Nephron.pptx
by
Disha Soriya
13 February 2026 - Bullying in education prevalence, impact and responses acr...
by
EduSkills OECD
Auden’s "In Memory of W.B. Yeats": The Role of Poetry in the Modern World
by
Kruti Vyas
Greengnorance Toolkit Module1 Climate Change
by
Karl Donert
PRE TERM LABOR ( PREMATURE LABOUR IN PREGNANCY)
by
Muthu Kumar
3-ACES-Hyderabad-Vs-Municipal-Corporation-Hyderabad-on-2-Sep-1994.pdf
by
ssuser9d8e4e
"September 1, 1939": A Modern Reading of Auden in Times of Crisis
by
Kruti Vyas
Four Stars Of Destiny By General Manoj Mukund Naravane
by
Aman744562
Simulation Learning in Health Sciences and Human Service programs at Camosun ...
by
gabitouss
Methods & Applications of Enzyme Immobilization Technique.pptx
by
Anupkumar Sharma
Card repertory , Boger card , Kishore card
by
Dr Dhwanika Dhagat
Overview of How to set priority in Odoo 19 Todo
by
Celine George
Drug acting on ANS.pptx (Drug acts on Sympathetic and parasympathetic NS)
by
Manarat International University
Art, Memory, and Modernity: A Study of W. H. Auden’s In Memory of W. B. Yeats
by
priyarathod315
PHARMACOLOGY 1 ( BP 404 T) Unit 1 (Cology 1)
by
Chetan Mali
Plant fibres used as surgical dressings & Sutures – Surgical Catgut and Ligat...
by
Sai Meer College of Pharmacy
AP Calculus BC 809: Partial Fractions
1.
1
2.
2
3.
3
4.
4
5.
5
6.
6
7.
7
Download