Download free for 30 days
Sign in
Upload
Language (EN)
Support
Business
Mobile
Social Media
Marketing
Technology
Art & Photos
Career
Design
Education
Presentations & Public Speaking
Government & Nonprofit
Healthcare
Internet
Law
Leadership & Management
Automotive
Engineering
Software
Recruiting & HR
Retail
Sales
Services
Science
Small Business & Entrepreneurship
Food
Environment
Economy & Finance
Data & Analytics
Investor Relations
Sports
Spiritual
News & Politics
Travel
Self Improvement
Real Estate
Entertainment & Humor
Health & Medicine
Devices & Hardware
Lifestyle
Change Language
Language
English
Español
Português
Français
Deutsche
Cancel
Save
Submit search
EN
Uploaded by
A Jorge Garcia
1,483 views
AP Calculus BC: 10-01 Improper Integrals
Education
◦
Read more
1
Save
Share
Embed
Embed presentation
Download
Download to read offline
1
/ 5
2
/ 5
3
/ 5
4
/ 5
5
/ 5
More Related Content
PDF
BC Calculus 10-2 p-integrals
by
A Jorge Garcia
PDF
Red Hot Chili Peppers tablatura e partitura de under the bridge
by
joaorocknrollforever
PDF
Appscindianpolitystudymaterial
by
Devi Prasad
PDF
Ap geography (telugu)
by
Vamshi Krishna
KEY
Grade Thammasat University
by
Nat Weerawan
PPT
Mapa salitre1
by
lemmang
PDF
Relations and functions june 8
by
mskarras
DOCX
Countries nationalities 1
by
Monicargtz
BC Calculus 10-2 p-integrals
by
A Jorge Garcia
Red Hot Chili Peppers tablatura e partitura de under the bridge
by
joaorocknrollforever
Appscindianpolitystudymaterial
by
Devi Prasad
Ap geography (telugu)
by
Vamshi Krishna
Grade Thammasat University
by
Nat Weerawan
Mapa salitre1
by
lemmang
Relations and functions june 8
by
mskarras
Countries nationalities 1
by
Monicargtz
More from A Jorge Garcia
PDF
LIMACON 2023 Brochure
by
A Jorge Garcia
PDF
2022-RESUME-NEW
by
A Jorge Garcia
PDF
MAT122 DAY508 MEETING 44 of 45 2021.1217 FRIDAY
by
A Jorge Garcia
PDF
MAT122 DAY507 MEETING 43 of 45 2021.1216 THURSDAY
by
A Jorge Garcia
PDF
MAT122 DAY506 MEETING 42 of 45 2021.1215 WEDNESDAY
by
A Jorge Garcia
PDF
MAT122 DAY308 Lesson 26 of 45
by
A Jorge Garcia
PDF
MAT122 DAY307 Lesson 25 of 45
by
A Jorge Garcia
PDF
MAT122 DAY306 Lesson 24 of 45
by
A Jorge Garcia
PDF
MAT122 DAY305 Lesson 23 of 45
by
A Jorge Garcia
PDF
MAT122 DAY304 Lesson 22 of 45
by
A Jorge Garcia
PDF
MAT122 DAY303 Lesson 21 of 45
by
A Jorge Garcia
PDF
MAT122 DAY302 Lesson 20 of 45
by
A Jorge Garcia
PDF
MAT122 DAY301 Lesson 19 of 45
by
A Jorge Garcia
PDF
MAT122 DAY205
by
A Jorge Garcia
PDF
MAT122 DAY204
by
A Jorge Garcia
PDF
MAT122 DAY203
by
A Jorge Garcia
PDF
MAT122 DAY202
by
A Jorge Garcia
PDF
MAT122 DAY201
by
A Jorge Garcia
PDF
MAT122 DAY06
by
A Jorge Garcia
PDF
MAT122 DAY05
by
A Jorge Garcia
LIMACON 2023 Brochure
by
A Jorge Garcia
2022-RESUME-NEW
by
A Jorge Garcia
MAT122 DAY508 MEETING 44 of 45 2021.1217 FRIDAY
by
A Jorge Garcia
MAT122 DAY507 MEETING 43 of 45 2021.1216 THURSDAY
by
A Jorge Garcia
MAT122 DAY506 MEETING 42 of 45 2021.1215 WEDNESDAY
by
A Jorge Garcia
MAT122 DAY308 Lesson 26 of 45
by
A Jorge Garcia
MAT122 DAY307 Lesson 25 of 45
by
A Jorge Garcia
MAT122 DAY306 Lesson 24 of 45
by
A Jorge Garcia
MAT122 DAY305 Lesson 23 of 45
by
A Jorge Garcia
MAT122 DAY304 Lesson 22 of 45
by
A Jorge Garcia
MAT122 DAY303 Lesson 21 of 45
by
A Jorge Garcia
MAT122 DAY302 Lesson 20 of 45
by
A Jorge Garcia
MAT122 DAY301 Lesson 19 of 45
by
A Jorge Garcia
MAT122 DAY205
by
A Jorge Garcia
MAT122 DAY204
by
A Jorge Garcia
MAT122 DAY203
by
A Jorge Garcia
MAT122 DAY202
by
A Jorge Garcia
MAT122 DAY201
by
A Jorge Garcia
MAT122 DAY06
by
A Jorge Garcia
MAT122 DAY05
by
A Jorge Garcia
Recently uploaded
PPTX
MELA QUIZ 2026 | Silchar Medical College & Hospital | 11-01-2026
by
Ultimatewinner0342
PPTX
Palta Utsav Open Quiz Prelims Answer.pptx
by
Sourav Kr Podder
PPTX
Birthday Field in Employee Records Odoo 19
by
Celine George
PPTX
ANTI- RHEUMATICS CHAPTER NO.05 PHARMACOGNOSY
by
Ganu Gavade
PPTX
Regenerate invoice in odoo 19 Accounting
by
Celine George
PDF
Fidelity to Energy: A Critical Analysis of Baz Luhrmann’s Intersemiotic Trans...
by
Kruti Vyas
PPTX
Palta Utsav Open to All Quiz Final Set.pptx
by
Sourav Kr Podder
PPTX
DISCHARGE FROM HOSPITAL (JHASKETAN )(1).pptx
by
JK NURSING VIBES ONLY JHASKETAN KUANAR
PPTX
Throat painting and throat swab.....pptx
by
AneetaSharma15
PDF
Master3 Realms and Yoga All students by LDMMIA
by
©LDMMIA, ©Reiki Yoga
PDF
3.Empires-and-Kingdoms-6th-to-10th-Centuries ppt.pdf/Social science Grade 7 p...
by
Sandeep Swamy
PPTX
HYDROLYSIS OF EASTER (JHASKETAN).pptx
by
JK NURSING VIBES ONLY JHASKETAN KUANAR
PPTX
Overview of SEO optimiser in Odoo 19 Website
by
Celine George
PDF
PULSE according to Physiology special pdf for all medical sectors students & ...
by
https://www.facebook.com/profile.php?id=61578457231735
PPTX
PLATELET RICH PLASMA in regenerative med
by
Dr SMRUTI REKHA HOTA
PDF
eSAT-for-Teachers-2025-2028-ver.2-Nov2025 idp.pdf
by
JunmelValientes
PPTX
CPAR 11_12 Q1 02 Classification of Art Forms PS 1.pptx
by
albarmariadelrio
PPTX
Віртуальна виставка «Гра в життя» – «The Game of Life»
by
Vinnytsia Regional Universal Scientific Library named after Valentin Otamanovsky
PPTX
THEORIES OF LEARNING Shilpa Hotakar.pptx
by
SHILPA HOTAKAR
PPTX
When UDL is no longer enough: Examining post-UDL reflections on inclusive des...
by
Frederic Fovet
MELA QUIZ 2026 | Silchar Medical College & Hospital | 11-01-2026
by
Ultimatewinner0342
Palta Utsav Open Quiz Prelims Answer.pptx
by
Sourav Kr Podder
Birthday Field in Employee Records Odoo 19
by
Celine George
ANTI- RHEUMATICS CHAPTER NO.05 PHARMACOGNOSY
by
Ganu Gavade
Regenerate invoice in odoo 19 Accounting
by
Celine George
Fidelity to Energy: A Critical Analysis of Baz Luhrmann’s Intersemiotic Trans...
by
Kruti Vyas
Palta Utsav Open to All Quiz Final Set.pptx
by
Sourav Kr Podder
DISCHARGE FROM HOSPITAL (JHASKETAN )(1).pptx
by
JK NURSING VIBES ONLY JHASKETAN KUANAR
Throat painting and throat swab.....pptx
by
AneetaSharma15
Master3 Realms and Yoga All students by LDMMIA
by
©LDMMIA, ©Reiki Yoga
3.Empires-and-Kingdoms-6th-to-10th-Centuries ppt.pdf/Social science Grade 7 p...
by
Sandeep Swamy
HYDROLYSIS OF EASTER (JHASKETAN).pptx
by
JK NURSING VIBES ONLY JHASKETAN KUANAR
Overview of SEO optimiser in Odoo 19 Website
by
Celine George
PULSE according to Physiology special pdf for all medical sectors students & ...
by
https://www.facebook.com/profile.php?id=61578457231735
PLATELET RICH PLASMA in regenerative med
by
Dr SMRUTI REKHA HOTA
eSAT-for-Teachers-2025-2028-ver.2-Nov2025 idp.pdf
by
JunmelValientes
CPAR 11_12 Q1 02 Classification of Art Forms PS 1.pptx
by
albarmariadelrio
Віртуальна виставка «Гра в життя» – «The Game of Life»
by
Vinnytsia Regional Universal Scientific Library named after Valentin Otamanovsky
THEORIES OF LEARNING Shilpa Hotakar.pptx
by
SHILPA HOTAKAR
When UDL is no longer enough: Examining post-UDL reflections on inclusive des...
by
Frederic Fovet
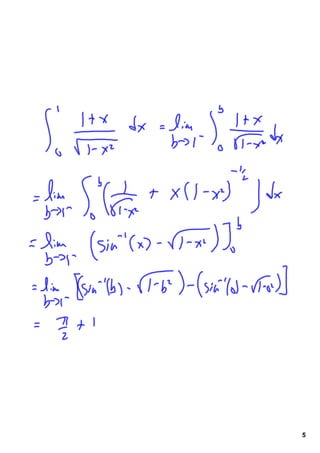
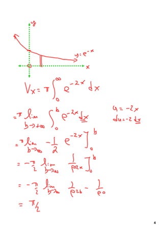
AP Calculus BC: 10-01 Improper Integrals
1.
1
2.
2
3.
3
4.
4
5.
5
Download