¿ ó
      ó
¿ ó




      ó
¿ ó
á
!
¿   ó
ó
ó
á
ó
ó
    ó
fase 1

concepto
¿   é
¿           é
¿       é
¿
¿       é


    ‣
    ‣   é
¿       é


    ‣
    ‣
    ‣
¿   é
¿
ó
fase 2

planeación
¿   é   é
¿   é
¿   á
¿   á
¿   é
¿   é   é
¿   é
Tía Zobeida - Rediseño de la Terraza

✓   Recoger la caca del perro   1 hora

✓   Cortar la hierba            4 horas

✓   Quitar el congo de abejas   1 horas

✓   Botar el caliche            2 hora

✓   Pintar el muro              8 horas
¿ ó
¿   á
á
¡
¿ ó       á
‣
‣
‣   ó
‣
¡
¿ ó       á
á

    ó
á


¿       á
    ¿       á
á
Henry Gantt
is the shit, bitches!
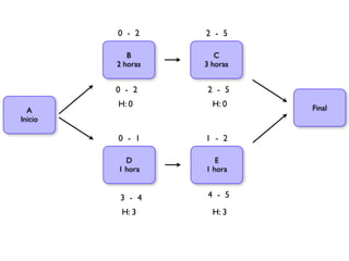
0 - 2     2 - 5

            B         C
         2 horas   3 horas


         0 - 2     2 - 5
         H: 0        H: 0    Final
  A
Inicio

         0 - 1     1 - 2

           D          E
         1 hora    1 hora


          3 - 4    4 - 5
          H: 3       H: 3
í   á
ó
ó
fase 3

implementación
ó
fase 4

terminación
ó
ó




        é
á

¿   ó
ó
“Cosas”

                                  Inbox



                                ¿Qué es?                    Botar



                                                        Tal vez / Algún
                             ¿Es accionable?       No         día



                                    Sí                   Referencia
            Proyecto de
            varios pasos
                           ¿Cuál es la siguiente
Proyectos
                                 acción?
¿Va a tomar menos de 2
                minutos?




 Sí                              No




Hazlo               Delégalo          Agéndalo
Administracion De Proyectos Para Todos

Administracion De Proyectos Para Todos