Embed presentation
Download as PDF, PPTX
![lesson 83.notebook April 28, 2014
Assignment:
1-->Set 83 (odds) - Due Tomorrow [4/29]](https://image.slidesharecdn.com/7thmathc2-l83-140428143746-phpapp02/75/7th-math-c2-l83-1-2048.jpg)





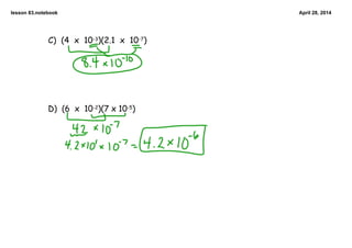
This document contains notes from a math lesson. It includes warm-up problems, instructions on how to multiply numbers in scientific notation, and examples to work through. Students are asked to complete an assignment of odd problems from Set 83 that is due the next day. The lesson also covers multiplying numbers expressed in scientific notation by keeping the exponents the same and multiplying the coefficients.
![lesson 83.notebook April 28, 2014
Assignment:
1-->Set 83 (odds) - Due Tomorrow [4/29]](https://image.slidesharecdn.com/7thmathc2-l83-140428143746-phpapp02/75/7th-math-c2-l83-1-2048.jpg)




