Assignment:

1-->Roll the dice...          - Due Monday (1/23)
2-->Test #7 signed for extra credit??


    1­­>Set 50 (odds)

    2­­>Set 50 (evens)

    3­­>Set 50 (every 3rd)

    4­­>Set 50 (pick any 20)

    5­­>Set 50 (pick any 10)

    6­­>Set 50 (all)




                                                    1
Lesson 50
*tenths on a number line:


         0                         1




**How many quarters are in $3?

        How many quarters in $1?

                So...3 x 4 = 12 quarters (in $3)




                                                   2
Lesson 50 Examples:
pg. 261

A)

B)

C)

D)

E)

F)




                      3
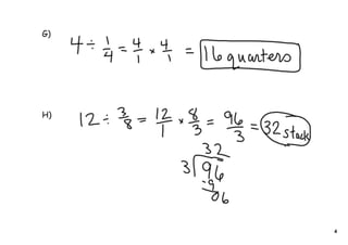
G)




H)




     4

6th Math (C1) - L50--Jan20

  • 1.
    Assignment: 1-->Roll the dice... - Due Monday (1/23) 2-->Test #7 signed for extra credit?? 1­­>Set 50 (odds) 2­­>Set 50 (evens) 3­­>Set 50 (every 3rd) 4­­>Set 50 (pick any 20) 5­­>Set 50 (pick any 10) 6­­>Set 50 (all) 1
  • 2.
    Lesson 50 *tenths ona number line: 0 1 **How many quarters are in $3? How many quarters in $1? So...3 x 4 = 12 quarters (in $3) 2
  • 3.
    Lesson 50 Examples: pg.261 A) B) C) D) E) F) 3
  • 4.