Download free for 30 days
Sign in
Upload
Language (EN)
Support
Business
Mobile
Social Media
Marketing
Technology
Art & Photos
Career
Design
Education
Presentations & Public Speaking
Government & Nonprofit
Healthcare
Internet
Law
Leadership & Management
Automotive
Engineering
Software
Recruiting & HR
Retail
Sales
Services
Science
Small Business & Entrepreneurship
Food
Environment
Economy & Finance
Data & Analytics
Investor Relations
Sports
Spiritual
News & Politics
Travel
Self Improvement
Real Estate
Entertainment & Humor
Health & Medicine
Devices & Hardware
Lifestyle
Change Language
Language
English
Español
Português
Français
Deutsche
Cancel
Save
Submit search
EN
Uploaded by
A Jorge Garcia
218 views
4H2012 507 Word Problems
Education
◦
Read more
0
Save
Share
Embed
Embed presentation
Download
Download to read offline
1
/ 5
2
/ 5
3
/ 5
4
/ 5
5
/ 5
More Related Content
PDF
mpi4py.pdf
by
A Jorge Garcia
PDF
More mpi4py
by
A Jorge Garcia
PDF
mpi4py Manual!
by
A Jorge Garcia
PDF
preCalculus 504 Log Rules
by
A Jorge Garcia
PDF
4H2012 506 Compounding Interest
by
A Jorge Garcia
PDF
5HBC2012 203 Define Derivative
by
A Jorge Garcia
PDF
4R2012 CH9 Polar Mode and Vectors!
by
A Jorge Garcia
PDF
precalc preTest 3
by
A Jorge Garcia
mpi4py.pdf
by
A Jorge Garcia
More mpi4py
by
A Jorge Garcia
mpi4py Manual!
by
A Jorge Garcia
preCalculus 504 Log Rules
by
A Jorge Garcia
4H2012 506 Compounding Interest
by
A Jorge Garcia
5HBC2012 203 Define Derivative
by
A Jorge Garcia
4R2012 CH9 Polar Mode and Vectors!
by
A Jorge Garcia
precalc preTest 3
by
A Jorge Garcia
More from A Jorge Garcia
PDF
LIMACON 2023 Brochure
by
A Jorge Garcia
PDF
2022-RESUME-NEW
by
A Jorge Garcia
PDF
MAT122 DAY508 MEETING 44 of 45 2021.1217 FRIDAY
by
A Jorge Garcia
PDF
MAT122 DAY507 MEETING 43 of 45 2021.1216 THURSDAY
by
A Jorge Garcia
PDF
MAT122 DAY506 MEETING 42 of 45 2021.1215 WEDNESDAY
by
A Jorge Garcia
PDF
MAT122 DAY308 Lesson 26 of 45
by
A Jorge Garcia
PDF
MAT122 DAY307 Lesson 25 of 45
by
A Jorge Garcia
PDF
MAT122 DAY306 Lesson 24 of 45
by
A Jorge Garcia
PDF
MAT122 DAY305 Lesson 23 of 45
by
A Jorge Garcia
PDF
MAT122 DAY304 Lesson 22 of 45
by
A Jorge Garcia
PDF
MAT122 DAY303 Lesson 21 of 45
by
A Jorge Garcia
PDF
MAT122 DAY302 Lesson 20 of 45
by
A Jorge Garcia
PDF
MAT122 DAY301 Lesson 19 of 45
by
A Jorge Garcia
PDF
MAT122 DAY205
by
A Jorge Garcia
PDF
MAT122 DAY204
by
A Jorge Garcia
PDF
MAT122 DAY203
by
A Jorge Garcia
PDF
MAT122 DAY202
by
A Jorge Garcia
PDF
MAT122 DAY201
by
A Jorge Garcia
PDF
MAT122 DAY06
by
A Jorge Garcia
PDF
MAT122 DAY05
by
A Jorge Garcia
LIMACON 2023 Brochure
by
A Jorge Garcia
2022-RESUME-NEW
by
A Jorge Garcia
MAT122 DAY508 MEETING 44 of 45 2021.1217 FRIDAY
by
A Jorge Garcia
MAT122 DAY507 MEETING 43 of 45 2021.1216 THURSDAY
by
A Jorge Garcia
MAT122 DAY506 MEETING 42 of 45 2021.1215 WEDNESDAY
by
A Jorge Garcia
MAT122 DAY308 Lesson 26 of 45
by
A Jorge Garcia
MAT122 DAY307 Lesson 25 of 45
by
A Jorge Garcia
MAT122 DAY306 Lesson 24 of 45
by
A Jorge Garcia
MAT122 DAY305 Lesson 23 of 45
by
A Jorge Garcia
MAT122 DAY304 Lesson 22 of 45
by
A Jorge Garcia
MAT122 DAY303 Lesson 21 of 45
by
A Jorge Garcia
MAT122 DAY302 Lesson 20 of 45
by
A Jorge Garcia
MAT122 DAY301 Lesson 19 of 45
by
A Jorge Garcia
MAT122 DAY205
by
A Jorge Garcia
MAT122 DAY204
by
A Jorge Garcia
MAT122 DAY203
by
A Jorge Garcia
MAT122 DAY202
by
A Jorge Garcia
MAT122 DAY201
by
A Jorge Garcia
MAT122 DAY06
by
A Jorge Garcia
MAT122 DAY05
by
A Jorge Garcia
4H2012 507 Word Problems
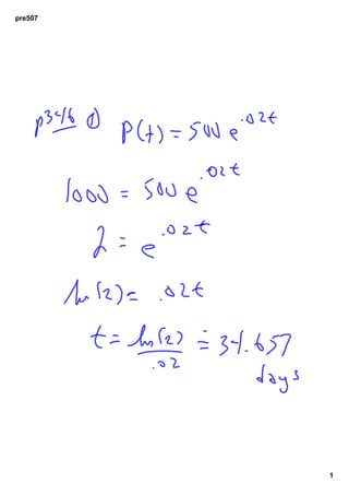
1.
pre507
1
2.
pre507
2
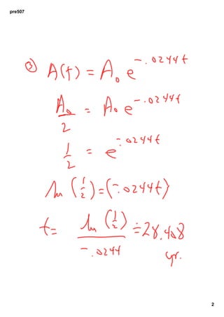
3.
pre507
3
4.
pre507
4
5.
pre507
5
Download