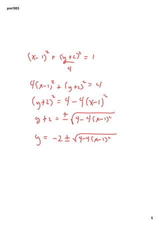
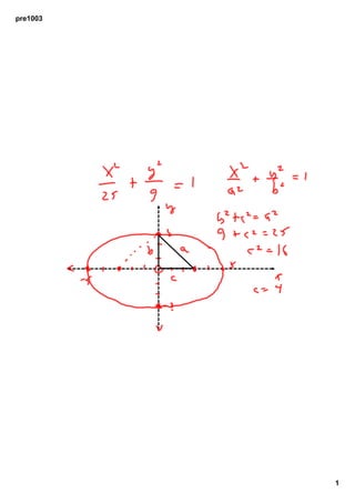
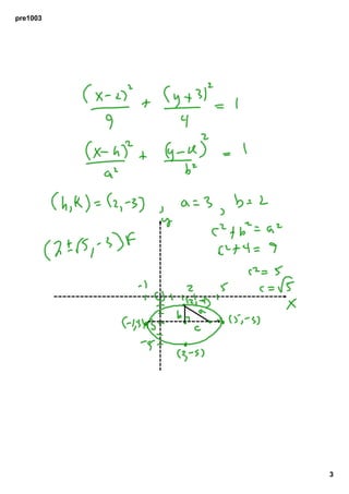
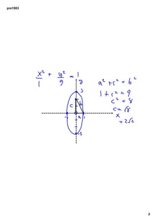
Il documento contiene riferimenti a pre1003 in sequenza numerica. Non vengono fornite ulteriori informazioni specifiche sul contenuto. È un testo molto breve e generico.