สมดุลแบบต่าง ๆ
รูปแบบต่างๆของสมดุในนำ้า 
• สารละลายอิเลคโตรไลท์ 
แก่-อ่อน 
• กรดและเบส 
บรอนสเตด 
• การแตกตัวด้วยตัวเอง
Autoprotolysis 
2H2O H3O+ + -OH 
2O CH3OH C2HCH3COOH H2SO4
วามแรงของกรดและเบHCI HBr HNOHCIO3 4 
Differentiating solvent 
CHCOOH CHCOOH+ 
332 
Leveling Solvent 
O H3O+
มดุล 
ภาวะสมดุล 
ค่าคงที่สมดุล
มดุลที่สำาคัญ 
รแตกตัวของนำ้า มดุลของการละลาย มดุลกรดเบส Ka
รเกิดสารเซิงซ้อน อกซ์ รกระจายตัวใน Kd 
immiscible Solvent
การแตกตัวของ 
นำ้า 
ต้องทราบวิธีคำานวนใน 
กรณีกรด/เบส มีความเข้ม 
ข้นน้อย 
[ H3O+ ]รวม= [ H3O+ ] กรด+ 
[ H3O+ ] นำ้า
การ 
ละลาย 
• หาค่าการละลาย 
และ Ksp 
• Common ion
กรดเบส 
กรดเบสคอนจุเกKaKb =
สมการทั่วไป: 
[ H3O+ ]รวม=[ H3O+ ] 
กรด+[ H3O+ ]นำ้า 
กรดแก่: [ H3O+ ] = 
cA 
กรดแก่เจือจางมาก :
O+ ]รวม=[ H3O+ ]กรด+[ H3O+ ]รวม=[ H3O+ ]กรด+[ -OH O+ ]รวม=[ H3O+ ]กรด+ Kw/[ H3O+
กรด HA +H2O 
H3O+ + A-Ka 
= [H3O+][A-] 
[HA] 
[A-] =[HO+]
cHA = [A-] + 
[HA] 
[HA] = cHA 
-[H3O+] 
Ka =
H3O+] << cHA 
Ka = [HO+]3c [ ] HA H O+ = c K 
3 
HA a
³1000 
c 
HA 
K 
a 
สมการรูปง่าย 
เงื่อนไขเดียวกัน 
สำาหรับเบสอ่อน
•การคำานวณกรด 
อ่อนเบสอ่อน 
ธรรมดา 
•การคำานวณเกลือ 
(คอนจุเกต a & 
b)
คงที่สมดุลเป็นขั้นตใน 
การเกิดสารเชิงซ้อน 
Polyprotic systems
NH3 [Cu(NH3)]2+ 
NH3)]2+ + NH3 [Cu(NH 
& 
b 
K K K K 
4 1 2 3 4 
K 
f b =
ตย. การละลาย 
ผสม 25.00 ml 
0.0640 M 
AgNO3 และ 20.0 
0 ml 0.0250 M 
NaBr หา
mmol Ag NO3 = 
25.00x0.0640 = 
1.6 
mmol NaBr = 
20.00x0.0250 = 
0.5
[Br-] = 
Ksp 
[Ag+] 
=
ตย. 
Ba(IO3)2 (fw = 
487) จะละลาย 
ไดกี้่กรมัในนำ้า
Ba(IO3)2 = 1.57x10-3)2(s) Ba2+ + 2IOx
[IO3 
-]2 = 1.57x10-= 2[Ba2+] 
Ba2+](2 [Ba2+])2 = 1.57x10-2x
Ba2+] = (1.57x10-4 
=7.32x10-
7.32x10-4 x 500 x mL mfw 
0.178 g L fw
A++ X- A2X 2A++X2- 
2y y 
X-] = Ksp [A+]2 [X2-] = Ksp 
= Ksp [ 2y]2[y] = Ksp 
4y3 = Ksp 
= s = / 4 3 Ksp y= Ksp
Ba(IO)(s) Ba2+ 
32(aq)+2IO-(aq) 
3 
ตย.คำานวณการละลาย 
ของ Ba(IO3)2 ใน 
สารละลายที่ได้จากการ 
ผสม 200 mL
กำาหนดปริมาณ limiting reagent 
mmol Ba2+ = 200x0.0100 
2.00 IO- 4 mol 
3 
mmol IO3 
- = 100x0.100 
10.0 Ba2+ 5 mol 
กำาหนดปริมาณคือ Ba2+
IO- = 10.0 - 2 3 
= 6.00 = 0.0200 300 V รวม
IO3 
- ] รวม = 
IO3 
- ] excess 
[IO3 
- ]การละลา
- ] จากการละลาย 
[IO3 
] = 0.0200 + 2[0.0200 M
Ba2+] = s =Ksp 
[IO3 
- ]2 
=1.57x10-9 
(0.0200)2 
=3.93x10-6 mol/
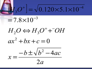
ตย. คำานวณ 
[H3O+] ใน 
0.120 M HNO2 
HNO2+H2O 
HO++NO- K
H+ > 1000 
Ka 
H3O+][NO2 
-] = Ka 
[HNO2]
O+] = [NO2 
-] 
HNO2] = 0.120 -[H
H3O+]2 = 5.1x10-0.120-[H3O+]
[ H O 
] 
+ - 
= ´ 
= ´ ´ 
+ - 
- 
H O Û H O + 
OH 
2 3 
+ + = 
x b b ac 
a 
ax bx c 
2 
4 
0 
7.8 10 
0.120 5.1 10 
2 
2 
3 
4 
3 
= - ± -
ตย. คำานวณ 
[H3O+] ใน 2. 
0x10-4 M 
C6H5NH3C1(a
anilinium cation 
HNH+ +HO 
53 
2H5NH2 + H3O+ 
Ka = Kw/Kb
H5NH2+ H2O 
H5NH3 
+ + -OH 
= Kw/Ka
H5NH3 
+] = 
2.0x10-4 -[H3O+] 
/Ka <1000
O+]2 = 2.54x10-2.0x10-4 
ไม่ได้! 
O+] = 7.1x10-
[H3O+]2 
2.0x10-4 -[H3O+] 
2.54x10-5
O+]2 + 
2.54x10-5[H3O+] 
5.08x10-9 = 0 
O+] = 6.0x10-
ตย. แอคตวิติี้ 
(Harris p.lll) 
หาความเข้มข้น 
ของ Ca2+ ใน 
0.0125 M 
MgSOซึ่งอิ่ม
CaF2(s) Ca2++sp = 3.9x10-11
2 
K a a 
sp Ca 2 
+ F 
- 
Ca f F f 
[ 2 + ] [ - 
] 
2 2 
2 
1 ( 0.0125 2 2 0.0125 2 
2 
) 
2 
0.0500 
= 
= ´ + ´ 
= 
= 
+ - 
m 
Ca f
จากตาราง 
fCa2+ = 0.485 f 
F- = 0.81 
3.9x10-11=(x) 
(0.485)(m 
2x)2(0.81) 
2
ตัวอย่าง 
Calculate the 
hydroxide ion 
concentration 
of a 0.0750 M 
NH3 solution.
[ + ][ - 
] 
[ ] 
K NH OH b 
- 
14 
- 
10 
5 
3 
4 
= 
= ´ 
1.00 10 
´ 
5.70 10 
1.75 10 
- 
= ´ 
NH
[ NH + ] = 
[ - 
OH 
] 
[ 4 
NH + 
] + [ NH ] 
= 
c 
4 3 
NH 
3 
= 
0.0750 
M 
[NH ] = 0.0750 
- 
[ - 
OH] 
3
[ ] 
2 
[ ] 
2 
[ ] 
[ ] 3 
5 
2 2 5 
- - - 
» ´ ´ ´ 
7.50 10 1.75 10 
1.15 10 
1.75 10 
7.50 10 
OH 
- - 
- 
- - 
- 
= ´ 
= ´ 
´ - 
OH 
OH 
OH
ตัวอย่าง Calculate 
the hydroxide 
ion 
concentration in 
a 0.0100 M 
sodium
[ ] [ - 
] 
[ ] 
K = 
HOCl OH 
K K 
= = ´ 
1.00 10 
7 
- 
14 
8 
8 
w 
b 
3.33 10 
3.0 10 
3.0 10 
- 
- 
- 
- 
= ´ 
´ 
= ´ 
a 
b 
K 
OCl
[ OH ] = 
[ HOCl 
] 
[ OCl ] + [ HOCl 
] 
= 
[ - ] 0.0100 
[ - 
] 
0.0100 
0.0100 
» 
= - 
- 
- 
OCl OH
[ ] 
[ ] 
[ ] 5 
7 
áá 
2 
= ´ 
3.33 10 
5.8 10 
- 
OH 
OH 
0.0100 
0.0100 
- - 
- 
- 
= ´ 
OH
3.2 สมดุลแบบต่างๆ

3.2 สมดุลแบบต่างๆ