Лекц 3: Давталт
Нөхцөл шалгах 
Нөхцөл ? 
Үнэн Худал
Pseudocode 
If <condition> then 
<statements> 
Else 
<statements> 
End if
Pseudocode 
If a > 5 then 
print a & “ бол 5-аас их” 
Else 
print a & “ бол 5-аас бага буюу 
тэнцүү” 
Endif
Cи хэлэнд 
if (<condition>) { 
<statements> 
} 
else { 
<statements> 
}
Cи хэлэнд 
if (a > 5) { 
printf(“%d бол 5-аас их”, a); 
} 
else { 
printf(“%d бол 5-аас бага буюу тэнцүү”, 
a); 
}
Бодлого 
1) 1-ээс 5 хүртэлх натурал 
тоонуудын нийлбэрийг олох 
алгоритмыг блок схемээр зур.
ЭХЛЭЛ 
S = 1 + 2 + 3 + 4 + 5 
Гаралт S 
Төгсгөл
Бодлого 
2) 1-ээс 10 хүртэлх натурал 
тоонуудын нийлбэрийг олох 
алгоритмыг блок схемээр зур.
Бодлого 
3) 1-ээс 100 хүртэлх натурал 
тоонуудын нийлбэрийг олох 
алгоритмыг блок схемээр зур.
Карл Фридрих Гаусс 
(1777-1855) 
 Германы 
математикч 
 Математикийн 
хаан
ЭХЛЭЛ 
S = (1 + 100) * 100 / 2 
Гаралт: S 
Төгсгөл
ЭХЛЭЛ 
i ← 1 
s ← 0 
i ≤ n 
Үнэн 
s ← s + i 
i ← i + 1 
Худал 
Гаралт: s 
ТӨГСГӨЛ 
i ← 1 
s ← 0 
1 ≤ 100 үнэн 
s←0+1 
i←1+1 
s = 1 
i = 2 
2 ≤ 100 үнэн 
s←1+2 
i←2+1 
s = 3 
i = 3 
3 ≤ 100 үнэн 
s←3+3 
i←3+1 
n
Бодлого 
4) 1-ээс n хүртэлх натурал 
тоонуудын нийлбэрийг олох 
алгоритмыг блок схемээр зур. 
n тоог гараас авна.
Эхлэл 
Оролт: n 
S = (1+n)*n/2 
Гаралт: S 
Төгсгөл
Си хэл 
 1969-1973 оны 
хооронд “AT&T Bell 
Labs”-д Деннис 
Ритчи зохиосон. 
 Дунд түвшний 
програмчлалын хэл.
Гэрийн даалгавар 
Гурван тооны ихийг олох Си програм бич.
#include <stdio.h> 
int main() 
{ 
int a, b, c, max; 
scanf(“%d%d%d”, &a, &b, &c); 
if(a > b && a > c) 
max = a; 
else if(b > c) 
max = b; 
else 
max = c; 
printf(“%d”, max); 
return 0; 
}
Давталт 
● Өмнөх нөхцөлт давталт 
● Дараах нөхцөлт давталт 
● Параметрт давталт
Өмнөх нөхцөлт давталт 
нөхцөл 
үнэн 
үйлдэл 
худал
Дараах нөхцөлт давталт 
Үйлдэл 
Үнэн 
нөхцөл 
Худал
Бодлого 
1) Өмнөх нөхцөлт давталтыг ашиглан 
1-ээс 10 хүртэлх тоонуудыг хэвлэдэг 
алгоритмыг блок схемээр зур. 
2) Дараах нөхцөлт давталтыг ашиглан 
1-ээс 10 хүртэлх тоонуудыг хэвлэдэг 
алгоритмыг блок схемээр зур.
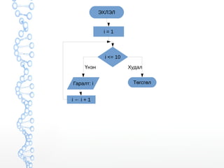
ЭХЛЭЛ 
i = 1 
i <= 10 
Үнэн 
Гаралт: i 
i ← i + 1 
Худал 
Төгсгөл

Лекц 3 (Давталт)

  • 1.
  • 2.
  • 3.
    Pseudocode If <condition>then <statements> Else <statements> End if
  • 4.
    Pseudocode If a> 5 then print a & “ бол 5-аас их” Else print a & “ бол 5-аас бага буюу тэнцүү” Endif
  • 5.
    Cи хэлэнд if(<condition>) { <statements> } else { <statements> }
  • 6.
    Cи хэлэнд if(a > 5) { printf(“%d бол 5-аас их”, a); } else { printf(“%d бол 5-аас бага буюу тэнцүү”, a); }
  • 7.
    Бодлого 1) 1-ээс5 хүртэлх натурал тоонуудын нийлбэрийг олох алгоритмыг блок схемээр зур.
  • 8.
    ЭХЛЭЛ S =1 + 2 + 3 + 4 + 5 Гаралт S Төгсгөл
  • 9.
    Бодлого 2) 1-ээс10 хүртэлх натурал тоонуудын нийлбэрийг олох алгоритмыг блок схемээр зур.
  • 10.
    Бодлого 3) 1-ээс100 хүртэлх натурал тоонуудын нийлбэрийг олох алгоритмыг блок схемээр зур.
  • 11.
    Карл Фридрих Гаусс (1777-1855)  Германы математикч  Математикийн хаан
  • 14.
    ЭХЛЭЛ S =(1 + 100) * 100 / 2 Гаралт: S Төгсгөл
  • 15.
    ЭХЛЭЛ i ←1 s ← 0 i ≤ n Үнэн s ← s + i i ← i + 1 Худал Гаралт: s ТӨГСГӨЛ i ← 1 s ← 0 1 ≤ 100 үнэн s←0+1 i←1+1 s = 1 i = 2 2 ≤ 100 үнэн s←1+2 i←2+1 s = 3 i = 3 3 ≤ 100 үнэн s←3+3 i←3+1 n
  • 16.
    Бодлого 4) 1-ээсn хүртэлх натурал тоонуудын нийлбэрийг олох алгоритмыг блок схемээр зур. n тоог гараас авна.
  • 17.
    Эхлэл Оролт: n S = (1+n)*n/2 Гаралт: S Төгсгөл
  • 18.
    Си хэл 1969-1973 оны хооронд “AT&T Bell Labs”-д Деннис Ритчи зохиосон.  Дунд түвшний програмчлалын хэл.
  • 24.
    Гэрийн даалгавар Гурвантооны ихийг олох Си програм бич.
  • 25.
    #include <stdio.h> intmain() { int a, b, c, max; scanf(“%d%d%d”, &a, &b, &c); if(a > b && a > c) max = a; else if(b > c) max = b; else max = c; printf(“%d”, max); return 0; }
  • 26.
    Давталт ● Өмнөхнөхцөлт давталт ● Дараах нөхцөлт давталт ● Параметрт давталт
  • 27.
    Өмнөх нөхцөлт давталт нөхцөл үнэн үйлдэл худал
  • 28.
    Дараах нөхцөлт давталт Үйлдэл Үнэн нөхцөл Худал
  • 29.
    Бодлого 1) Өмнөхнөхцөлт давталтыг ашиглан 1-ээс 10 хүртэлх тоонуудыг хэвлэдэг алгоритмыг блок схемээр зур. 2) Дараах нөхцөлт давталтыг ашиглан 1-ээс 10 хүртэлх тоонуудыг хэвлэдэг алгоритмыг блок схемээр зур.
  • 30.
    ЭХЛЭЛ i =1 i <= 10 Үнэн Гаралт: i i ← i + 1 Худал Төгсгөл