Subject: Mathematics
Class XI
1. Find the sum to infinity of GP 5/4 , –5/16 , 5/64 , ….
2. Find the total number of subsets of a set A if A = {a, b, c, d}
3. Find the domain of function f(x) = 232
 xx .
4. Evaluate:
6
7
sin2 
.
5. If sin x = 0.5 , find x.
6. Find the value of cos870˚.
7. If
!11!10
1
!9
1 x
 , find x
8. Find the derivative of y =
x
2
9. Find the square root of – 6 + 8i.
10. How many words can be formed from the letters of the word
‘REMAINDER’ so that (i) vowels always come together
(ii) consonants always come together.
11. Find the ranks of the word ZENITH.
12. Prove that : sin 20o
sin 40 o
sin 60 o
sin 80 o
=
𝟑
𝟏𝟔
.
13. Show that : √ 𝟐 + √ 𝟐 + √ 𝟐 + 𝟐 𝒄𝒐𝒔 𝟖𝜽 = 𝟐 𝒄𝒐𝒔 𝜽.
14. Using the principal of mathematical induction prove that
x2n
– y2n
is divisible by x + y for all n ∈ N .
15. Find n, if the ratio of the fifth term from the beginning to the
fifth term from end in the expansion of (√2
4
+
1
√3
4 )
𝑛
is √6 ∶ 1
16. If 321 ,, SSS are the sum of n, 2n, 3n terms of an AP respectively,
then find the value of
3
12
S
SS 
.
17. Prove that x
xxxx
xxxx
6tan
3cos9cos5cos7cos
3sin9sin5sin7sin



18. If a + ib=
𝑐+𝑖
𝑐−𝑖
, where c is a real no. Prove that a2 + b2 = 1
and
𝑏
𝑎
=
2𝑐
𝑐2−1
19. Solve the inequalities graphically:
4x + 3y ≤ 60, y ≥ 2x, x ≥ 3, y ≥ 0
20. Solve the equation: Cos3x + Cosx = Cos2x
21. The sum of three numbers in G.P. is 56. If we subtract 1,7,21
from these numbers in order, we obtain an A.P. Find the
numbers
22. Find the sum of series: 3, 7, 13, 21, 31, ……
23. Find the sum of first 24 terms of A.P if it is known that
a1+a5+a10+a15+a24=225
24. Let R be a relation on set N of natural numbers defined by
R = {(a,b) : a + 3b = 12, a,b 𝜖N}. Find (i) R (ii) Domain of R (iii)
Range of R.
25. Let f = { (x,
𝑥2
1+𝑥2
) ∶ 𝑥 ∈ 𝑅}be a function from R to R. find Domain
and Range of f.
26. In a survey it was found that 21 persons liked product P1 , 26
liked product P2 and 29 liked product P3. If 14 liked P1and P2, 12
liked P3 and P1, 14 liked P2 and P3 and 8 liked all the three
products. Find how many liked
(i) Product P1 only (ii) Product P2 but not P3
27. The mean and standard deviation of 100 observations were
calculated as 40 and 5.1 respectively by a student who took by
mistake 50 instead of 40 for one observation. What are the
correct mean and standard deviation?
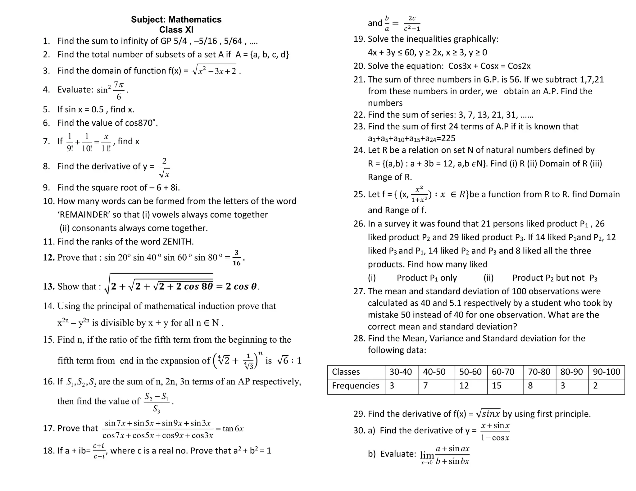
28. Find the Mean, Variance and Standard deviation for the
following data:
29. Find the derivative of f(x) = √ 𝑠𝑖𝑛𝑥 by using first principle.
30. a) Find the derivative of y =
x
xx
cos1
sin


b) Evaluate:
bxb
axa
x sin
sin
lim
0 


Classes 30-40 40-50 50-60 60-70 70-80 80-90 90-100
Frequencies 3 7 12 15 8 3 2

11 assignment chapters 1 to 9

  • 1.
    Subject: Mathematics Class XI 1.Find the sum to infinity of GP 5/4 , –5/16 , 5/64 , …. 2. Find the total number of subsets of a set A if A = {a, b, c, d} 3. Find the domain of function f(x) = 232  xx . 4. Evaluate: 6 7 sin2  . 5. If sin x = 0.5 , find x. 6. Find the value of cos870˚. 7. If !11!10 1 !9 1 x  , find x 8. Find the derivative of y = x 2 9. Find the square root of – 6 + 8i. 10. How many words can be formed from the letters of the word ‘REMAINDER’ so that (i) vowels always come together (ii) consonants always come together. 11. Find the ranks of the word ZENITH. 12. Prove that : sin 20o sin 40 o sin 60 o sin 80 o = 𝟑 𝟏𝟔 . 13. Show that : √ 𝟐 + √ 𝟐 + √ 𝟐 + 𝟐 𝒄𝒐𝒔 𝟖𝜽 = 𝟐 𝒄𝒐𝒔 𝜽. 14. Using the principal of mathematical induction prove that x2n – y2n is divisible by x + y for all n ∈ N . 15. Find n, if the ratio of the fifth term from the beginning to the fifth term from end in the expansion of (√2 4 + 1 √3 4 ) 𝑛 is √6 ∶ 1 16. If 321 ,, SSS are the sum of n, 2n, 3n terms of an AP respectively, then find the value of 3 12 S SS  . 17. Prove that x xxxx xxxx 6tan 3cos9cos5cos7cos 3sin9sin5sin7sin    18. If a + ib= 𝑐+𝑖 𝑐−𝑖 , where c is a real no. Prove that a2 + b2 = 1 and 𝑏 𝑎 = 2𝑐 𝑐2−1 19. Solve the inequalities graphically: 4x + 3y ≤ 60, y ≥ 2x, x ≥ 3, y ≥ 0 20. Solve the equation: Cos3x + Cosx = Cos2x 21. The sum of three numbers in G.P. is 56. If we subtract 1,7,21 from these numbers in order, we obtain an A.P. Find the numbers 22. Find the sum of series: 3, 7, 13, 21, 31, …… 23. Find the sum of first 24 terms of A.P if it is known that a1+a5+a10+a15+a24=225 24. Let R be a relation on set N of natural numbers defined by R = {(a,b) : a + 3b = 12, a,b 𝜖N}. Find (i) R (ii) Domain of R (iii) Range of R. 25. Let f = { (x, 𝑥2 1+𝑥2 ) ∶ 𝑥 ∈ 𝑅}be a function from R to R. find Domain and Range of f. 26. In a survey it was found that 21 persons liked product P1 , 26 liked product P2 and 29 liked product P3. If 14 liked P1and P2, 12 liked P3 and P1, 14 liked P2 and P3 and 8 liked all the three products. Find how many liked (i) Product P1 only (ii) Product P2 but not P3 27. The mean and standard deviation of 100 observations were calculated as 40 and 5.1 respectively by a student who took by mistake 50 instead of 40 for one observation. What are the correct mean and standard deviation? 28. Find the Mean, Variance and Standard deviation for the following data: 29. Find the derivative of f(x) = √ 𝑠𝑖𝑛𝑥 by using first principle. 30. a) Find the derivative of y = x xx cos1 sin   b) Evaluate: bxb axa x sin sin lim 0    Classes 30-40 40-50 50-60 60-70 70-80 80-90 90-100 Frequencies 3 7 12 15 8 3 2