Vern Paxson’s Paper"
                “End-to-End"
              Internet Packet
            Dynamics”, 1997/99
22 August 2008
   NUS CS5229 Semester 1   1
                        2008/09
How often are packets
        dropped?"

        How often are packets
        reordered?"
                     :

22 August 2008
   NUS CS5229 Semester 1   2
                        2008/09
Why these
                  questions?


22 August 2008
     NUS CS5229 Semester 1   3
                          2008/09
1. Understand the
                       Internet


22 August 2008
        NUS CS5229 Semester 1   4
                             2008/09
“
         when you can measure what you are
           speaking about, and express it in
           numbers, you know something about
           it; but when you cannot measure it,
           when you cannot express it in



                                                        ”
           numbers, your knowledge is of a
           meagre and unsatisfactory kind;          
                                               - Lord Kelvin
22 August 2008
        NUS CS5229 Semester 1                    5
                             2008/09
2. Model the Internet



22 August 2008
     NUS CS5229 Semester 1   6
                          2008/09
3. Enable more
                  accurate evaluation
                  through simulations

22 August 2008
         NUS CS5229 Semester 1   7
                              2008/09
4. Lead to a better
                  application/systems
                         design

22 August 2008
         NUS CS5229 Semester 1   8
                              2008/09
How often are packets
        dropped?"

        How often are packets
        reordered?"
                     :

22 August 2008
   NUS CS5229 Semester 1   9
                        2008/09
How to answer these
                 questions?


22 August 2008
    NUS CS5229 Semester 1   10
                         2008/09
Collect lots of packet
           traces"
           Analyze the traces

22 August 2008
    NUS CS5229 Semester 1   11
                         2008/09
Trace collection:"
                  large number of flows"
                  a variety of sites"
                  many packets per
                  flow"
                  use TCP
22 August 2008
           NUS CS5229 Semester 1   12
                                2008/09
Why TCP:"
           real-world traffic"
           will not overload the
           network

22 August 2008
    NUS CS5229 Semester 1   13
                         2008/09
Time between measurement is
       Poisson distributed."

       PASTA Theorem: Intuitively, if we
       make n observations and k
       observations is in some state S and
       n-k in other states, then we can
       assume prob of observing S is
       approximately k/n.      
22 August 2008
     NUS CS5229 Semester 1    14
                          2008/09
Two traces:"

           N1: Dec94 "
           N2: Nov-Dec95"

           use tcpdump at sender +
           receiver"

22 August 2008
      NUS CS5229 Semester 1   15
                           2008/09
100 kB
                  Size of file transfered


22 August 2008
        NUS CS5229 Semester 1   16
                             2008/09
21
                  Number of sites


22 August 2008
     NUS CS5229 Semester 1   17
                          2008/09
20800
                  Number of trace pairs


22 August 2008
        NUS CS5229 Semester 1   18
                             2008/09
Part 1:"
                  The Unexpected

22 August 2008
       NUS CS5229 Semester 1   19
                            2008/09
Packet
                  Reordering

22 August 2008
     NUS CS5229 Semester 1   20
                          2008/09
1
                  2
                  5
         2 reorderings
                  3
                  4
22 August 2008
        NUS CS5229 Semester 1   21
                             2008/09
N1
                           N2


      36%
 12%
            Percentage of connections with 
            at least one out-of-order delivery


22 August 2008
         NUS CS5229 Semester 1         22
                              2008/09
N1
                           N2


            2%
 .3%
  Percentage of data packets out-of-order


22 August 2008
         NUS CS5229 Semester 1         23
                              2008/09
N1
                           N2


        .6%
 .1%
  Percentage of ACK packets out-of-order


22 August 2008
         NUS CS5229 Semester 1         24
                              2008/09
Data packets are
                usually sent
              closer together.

22 August 2008
    NUS CS5229 Semester 1   25
                         2008/09
From
                       To


     15%
 .2%
         Percentage of packets out-of-order 
          to and from U of Colorado in N1.


22 August 2008
       NUS CS5229 Semester 1         26
                            2008/09
Route fluttering:
             alternate packets
             can take different
               route to dest.
22 August 2008
        NUS CS5229 Semester 1   27
                             2008/09
Taken from Paxson’s PhD Thesis: Alternate routes
           are taken for packets from WUSTL to U Mannheim

22 August 2008
            NUS CS5229 Semester 1              28
                                 2008/09
Fig 1 from the paper, showing large gap and two slopes.


22 August 2008
            NUS CS5229 Semester 1                   29
                                 2008/09
T1
                  (new arrival)

                                                           Ethernet
                                                           (buffered packets)




        Fig 1 from the paper, showing large gap and two slopes.


22 August 2008
                    NUS CS5229 Semester 1                    30
                                         2008/09
Impact of Packet
                Reordering

22 August 2008
    NUS CS5229 Semester 1   31
                         2008/09
Recap: TCP’s fast
              retransmit

22 August 2008
   NUS CS5229 Semester 1   32
                        2008/09
S = 1000
                  S = 2000
                  S = 3000
                  S = 4000
                           A = 2000
                  S = 5000
                                                      A = 2000
                                                      A = 2000
                                                      A = 2000



                  S = 2000




22 August 2008
               NUS CS5229 Semester 1               33
                                    2008/09
S = 1000
                  S = 2000
                  S = 3000
                  S = 4000
                           A = 2000
                  S = 5000
                                                      A = 2000
                                                      A = 2000
                                                      A = 2000



                  S = 2000




22 August 2008
               NUS CS5229 Semester 1               34
                                    2008/09
Nd = 3 is a
                  conservative
                    choice.

22 August 2008
      NUS CS5229 Semester 1   35
                           2008/09
What if receiver
           wait longer before
           sending dup ack? 

22 August 2008
   NUS CS5229 Semester 1   36
                        2008/09
S = 2000




                                                      W

                  S = 2000




22 August 2008
               NUS CS5229 Semester 1        37
                                    2008/09
1
                  2
                  5
   Delivery Gap: "
                       time between receiving "
                  3
   an out-of-order packet and "
                       the packet sent before it. 
                  4
22 August 2008
        NUS CS5229 Semester 1          38
                             2008/09
Taken from Paxson’s PhD Thesis: CDF for delivery gap between reordered
                               packets.


22 August 2008
            NUS CS5229 Semester 1                      39
                                 2008/09
N2
      N1




                                            higher BW




22 August 2008
   NUS CS5229 Semester 1                  40
                        2008/09
N1
                            N2


        20ms
                                   8ms
      Waiting time with which 70% of "
  out-of-order delivery would be identified.


22 August 2008
         NUS CS5229 Semester 1          41
                              2008/09
Is needless
                  retransmission a
                      problem? 

22 August 2008
        NUS CS5229 Semester 1   42
                             2008/09
Good
                  S = 2000




                  S = 2000




22 August 2008
               NUS CS5229 Semester 1   43
                                    2008/09
Bad
                  S = 2000




                  S = 2000




22 August 2008
               NUS CS5229 Semester 1   44
                                    2008/09
N1
                            N2


                  22
                           300
            Number of good retransmissions 
             for every bad retransmission.
                     Nd = 3, W = 0

22 August 2008
         NUS CS5229 Semester 1          45
                              2008/09
N1
                            N2


                  ~   7
                        100
            Number of good retransmissions 
             for every bad retransmission.
                     Nd = 2, W = 0

22 August 2008
         NUS CS5229 Semester 1          46
                              2008/09
N1
                            N2


                  15
                           300
            Number of good retransmissions 
             for every bad retransmission.
                   Nd = 2, W = 20ms

22 August 2008
         NUS CS5229 Semester 1          47
                              2008/09
Packet
                  Corruption

22 August 2008
     NUS CS5229 Semester 1   48
                          2008/09
1 in 5000
                  packet is corrupted


22 August 2008
       NUS CS5229 Semester 1   49
                            2008/09
1 in 65536
          corrupted packet goes undetected
                using TCP checksum 
       (assuming each possible checksum is equally likely)


22 August 2008
          NUS CS5229 Semester 1                50
                               2008/09
1 in 300million
                  Internet packet is corrupted "
                       and is undetected. 


22 August 2008
            NUS CS5229 Semester 1   51
                                 2008/09
Part 2:"
                  Bottleneck
                  Bandwidth

22 August 2008
     NUS CS5229 Semester 1   52
                          2008/09
Packet Pair


22 August 2008
      NUS CS5229 Semester 1   53
                           2008/09
B bps

                      b bytes


22 August 2008
   NUS CS5229 Semester 1   54
                        2008/09
Q x B = b

                          Q s




22 August 2008
    NUS CS5229 Semester 1   55
                         2008/09
Q s




22 August 2008
   NUS CS5229 Semester 1          56
                        2008/09
Q s




22 August 2008
   NUS CS5229 Semester 1          57
                        2008/09
Q s




22 August 2008
          NUS CS5229 Semester 1   58
                               2008/09
Problems with
                   Packet Pair

22 August 2008
       NUS CS5229 Semester 1   59
                            2008/09
1. Asymmetric
                       Link

22 August 2008
       NUS CS5229 Semester 1   60
                            2008/09
22 August 2008
   NUS CS5229 Semester 1   61
                        2008/09
2. ACK
                  Compression

22 August 2008
      NUS CS5229 Semester 1   62
                           2008/09
22 August 2008
   NUS CS5229 Semester 1   63
                        2008/09
3. Out of order
                      delivery

22 August 2008
       NUS CS5229 Semester 1   64
                            2008/09
22 August 2008
   NUS CS5229 Semester 1   65
                        2008/09
4. Clock
                  resolution

22 August 2008
     NUS CS5229 Semester 1   66
                          2008/09
Suppose 

                  B = 1000 kBps
                  b = 1 kB
                  Q = ?

22 August 2008
     NUS CS5229 Semester 1   67
                          2008/09
5. Changing
                   bottleneck
                   bandwidth

22 August 2008
      NUS CS5229 Semester 1   68
                           2008/09
Fig 2 from the paper, showing changing
                                bandwidth.
22 August 2008
               NUS CS5229 Semester 1        69
                                    2008/09
Fig 3 from the paper, showing multi-channel
                              links.
22 August 2008
           NUS CS5229 Semester 1          70
                                2008/09
6. Multi-channel
                       Links

22 August 2008
        NUS CS5229 Semester 1   71
                             2008/09
Asymmetric links"
           ACK compression"
           Out-of-order delivery"
           Clock resolution"
           Changes in bottleneck
           bandwidth"
           Multi-channel links"

22 August 2008
      NUS CS5229 Semester 1   72
                           2008/09
Measure at receiver:"
           Asymmetric links"
           ACK compression"

           Packet bunch:"
           Out-of-order delivery"
           Clock resolution"
           Changes in bottleneck
           bandwidth"
           Multi-channel links
22 August 2008
      NUS CS5229 Semester 1   73
                           2008/09
2Q




22 August 2008
   NUS CS5229 Semester 1         74
                        2008/09
Collect multiple estimates,
           take the most freq
           occurrence (modes) as the
           bottleneck bandwidth. 


22 August 2008
      NUS CS5229 Semester 1   75
                           2008/09
22 August 2008
   NUS CS5229 Semester 1   76
                        2008/09
Part 3:"
                  Packet Loss

22 August 2008
      NUS CS5229 Semester 1   77
                           2008/09
N1
                           N2


  2.7%
 5.2%
       Percentage of packets that were lost.


22 August 2008
         NUS CS5229 Semester 1         78
                              2008/09
N1
                           N2


     50%
 50%
        Percentage of loss free connections


22 August 2008
         NUS CS5229 Semester 1         79
                              2008/09
N1
                             N2


  5.7%
 9.2%
                  Loss rate on lossy connections


22 August 2008
             NUS CS5229 Semester 1         80
                                  2008/09
17%
   Loss rate on connections from EU to US


22 August 2008
   NUS CS5229 Semester 1   81
                        2008/09
Are packet losses
              independent? 

22 August 2008
   NUS CS5229 Semester 1   82
                        2008/09
Compute:"
 Pu = Pr [ p lost ]"
 Pc = Pr [ p lost | prev pkt lost ]




22 August 2008
   NUS CS5229 Semester 1   83
                        2008/09
Pu
                           Pc




  2.8%
 49%
      Loss rate for “queued data pkt” on N1


22 August 2008
         NUS CS5229 Semester 1         84
                              2008/09
Fig 6 from the paper, showing outage
                                duration.
22 August 2008
              NUS CS5229 Semester 1       85
                                   2008/09
Are
                  retransmission
                    redundant? 

22 August 2008
       NUS CS5229 Semester 1   86
                            2008/09
Unavoidable


                   X
     ACK




22 August 2008
        NUS CS5229 Semester 1   87
                             2008/09
Coarse Feedback




22 August 2008
       NUS CS5229 Semester 1   88
                            2008/09
Bad RTO




22 August 2008
   NUS CS5229 Semester 1   89
                        2008/09
N1
                           N2


     26%
 28%
          Percentage of retransmissions that"
                   are redundant


22 August 2008
         NUS CS5229 Semester 1         90
                              2008/09
4

                                         44   Unavoidable
                                              Coarse Feedback
                                              Bad RTO
        51



   Type of redundant retransmission in N1.

22 August 2008
       NUS CS5229 Semester 1                 91
                            2008/09
Part 4:"
                  Packet Delay

22 August 2008
      NUS CS5229 Semester 1   92
                           2008/09
OTT is not well
                  approximated
                   using RTT/2

22 August 2008
       NUS CS5229 Semester 1   93
                            2008/09
ACK
                  Compression

22 August 2008
      NUS CS5229 Semester 1   94
                           2008/09
(might affect TCP self-clocking)




22 August 2008
    NUS CS5229 Semester 1    95
                         2008/09
sent




                                          recv




22 August 2008
   NUS CS5229 Semester 1           96
                        2008/09
Sending interval
                  Receiving interval


22 August 2008
   NUS CS5229 Semester 1   97
                        2008/09
22 August 2008
   NUS CS5229 Semester 1   98
                        2008/09
22 August 2008
   NUS CS5229 Semester 1   99
                        2008/09
Compression
                  event if ξ < .75

22 August 2008
        NUS CS5229 Semester 1   100
                             2008/09
N1
                           N2


     50%
 60%
Percentage of connection that experiences"
     at least one compression event.


22 August 2008
         NUS CS5229 Semester 1         101
                              2008/09
N1
                           N2


     50%
 60%
Percentage of connection that experiences"
     at least one compression event.


22 August 2008
         NUS CS5229 Semester 1         102
                              2008/09
2
Average number of events per connection.


22 August 2008
   NUS CS5229 Semester 1   103
                        2008/09
Estimating
                   Available
                  Bandwidth

22 August 2008
     NUS CS5229 Semester 1   104
                          2008/09
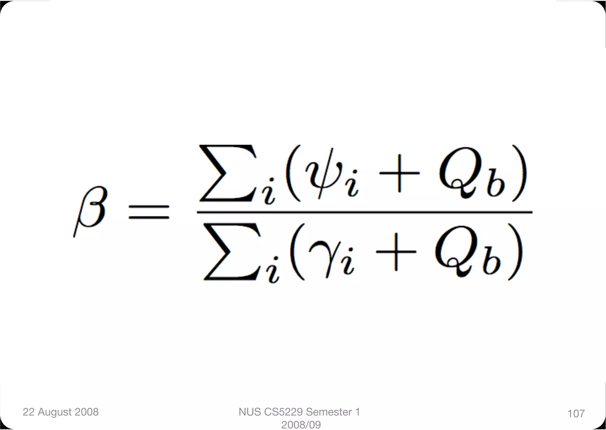
Qb: time to transit the bottleneck"

 ψi: expected time spent queuing behind
 predecessor (derived from sending time)"

 γi: diff between packet OTT and min OTT


22 August 2008
   NUS CS5229 Semester 1     105
                        2008/09
time packet i is sent




22 August 2008
     NUS CS5229 Semester 1   106
                          2008/09
22 August 2008
   NUS CS5229 Semester 1   107
                        2008/09
β = 1 means all bandwidth
    is available."

    β = 0 means none of the
    bandwidth is available.
22 August 2008
   NUS CS5229 Semester 1   108
                        2008/09
Fig 10 from the paper, showing distribution
                      of available bandwidth.

22 August 2008
           NUS CS5229 Semester 1           109
                                2008/09
Conclusion

22 August 2008
     NUS CS5229 Semester 1   110
                          2008/09
The numbers in the
            paper are not important. "
                  (the Internet has changed)



22 August 2008
           NUS CS5229 Semester 1   111
                                2008/09
Measurement is
            difficult but useful

22 August 2008
   NUS CS5229 Semester 1   112
                        2008/09
Many new techniques
              needed (e.g to
            measure bottleneck
               bandwidth)

22 August 2008
   NUS CS5229 Semester 1   113
                        2008/09
We can improve
             current design (e.g.
            TCP if we know more
              about reordering)

22 August 2008
    NUS CS5229 Semester 1   114
                         2008/09
We can identify
              problem (e.g. packet
                  corruption)

22 August 2008
     NUS CS5229 Semester 1   115
                          2008/09
We can better model
              the behavior (e.g.
             bursty packet loss)

22 August 2008
    NUS CS5229 Semester 1   116
                         2008/09
We can infer much
                   info from just a
                  packet trace (e.g.
                  available bandwidth)

22 August 2008
         NUS CS5229 Semester 1   117
                              2008/09

CS5229 09/10 Lecture 9: Internet Packet Dynamics

  • 1.
    Vern Paxson’s Paper" “End-to-End" Internet Packet Dynamics”, 1997/99 22 August 2008 NUS CS5229 Semester 1 1 2008/09
  • 2.
    How often arepackets dropped?" How often are packets reordered?" : 22 August 2008 NUS CS5229 Semester 1 2 2008/09
  • 3.
    Why these questions? 22 August 2008 NUS CS5229 Semester 1 3 2008/09
  • 4.
    1. Understand the Internet 22 August 2008 NUS CS5229 Semester 1 4 2008/09
  • 5.
    when you can measure what you are speaking about, and express it in numbers, you know something about it; but when you cannot measure it, when you cannot express it in ” numbers, your knowledge is of a meagre and unsatisfactory kind; - Lord Kelvin 22 August 2008 NUS CS5229 Semester 1 5 2008/09
  • 6.
    2. Model theInternet 22 August 2008 NUS CS5229 Semester 1 6 2008/09
  • 7.
    3. Enable more accurate evaluation through simulations 22 August 2008 NUS CS5229 Semester 1 7 2008/09
  • 8.
    4. Lead toa better application/systems design 22 August 2008 NUS CS5229 Semester 1 8 2008/09
  • 9.
    How often arepackets dropped?" How often are packets reordered?" : 22 August 2008 NUS CS5229 Semester 1 9 2008/09
  • 10.
    How to answerthese questions? 22 August 2008 NUS CS5229 Semester 1 10 2008/09
  • 11.
    Collect lots ofpacket traces" Analyze the traces 22 August 2008 NUS CS5229 Semester 1 11 2008/09
  • 12.
    Trace collection:" large number of flows" a variety of sites" many packets per flow" use TCP 22 August 2008 NUS CS5229 Semester 1 12 2008/09
  • 13.
    Why TCP:" real-world traffic" will not overload the network 22 August 2008 NUS CS5229 Semester 1 13 2008/09
  • 14.
    Time between measurementis Poisson distributed." PASTA Theorem: Intuitively, if we make n observations and k observations is in some state S and n-k in other states, then we can assume prob of observing S is approximately k/n. 22 August 2008 NUS CS5229 Semester 1 14 2008/09
  • 15.
    Two traces:" N1: Dec94 " N2: Nov-Dec95" use tcpdump at sender + receiver" 22 August 2008 NUS CS5229 Semester 1 15 2008/09
  • 16.
    100 kB Size of file transfered 22 August 2008 NUS CS5229 Semester 1 16 2008/09
  • 17.
    21 Number of sites 22 August 2008 NUS CS5229 Semester 1 17 2008/09
  • 18.
    20800 Number of trace pairs 22 August 2008 NUS CS5229 Semester 1 18 2008/09
  • 19.
    Part 1:" The Unexpected 22 August 2008 NUS CS5229 Semester 1 19 2008/09
  • 20.
    Packet Reordering 22 August 2008 NUS CS5229 Semester 1 20 2008/09
  • 21.
    1 2 5 2 reorderings 3 4 22 August 2008 NUS CS5229 Semester 1 21 2008/09
  • 22.
    N1 N2 36% 12% Percentage of connections with at least one out-of-order delivery 22 August 2008 NUS CS5229 Semester 1 22 2008/09
  • 23.
    N1 N2 2% .3% Percentage of data packets out-of-order 22 August 2008 NUS CS5229 Semester 1 23 2008/09
  • 24.
    N1 N2 .6% .1% Percentage of ACK packets out-of-order 22 August 2008 NUS CS5229 Semester 1 24 2008/09
  • 25.
    Data packets are usually sent closer together. 22 August 2008 NUS CS5229 Semester 1 25 2008/09
  • 26.
    From To 15% .2% Percentage of packets out-of-order to and from U of Colorado in N1. 22 August 2008 NUS CS5229 Semester 1 26 2008/09
  • 27.
    Route fluttering: alternate packets can take different route to dest. 22 August 2008 NUS CS5229 Semester 1 27 2008/09
  • 28.
    Taken from Paxson’sPhD Thesis: Alternate routes are taken for packets from WUSTL to U Mannheim 22 August 2008 NUS CS5229 Semester 1 28 2008/09
  • 29.
    Fig 1 fromthe paper, showing large gap and two slopes. 22 August 2008 NUS CS5229 Semester 1 29 2008/09
  • 30.
    T1 (new arrival) Ethernet (buffered packets) Fig 1 from the paper, showing large gap and two slopes. 22 August 2008 NUS CS5229 Semester 1 30 2008/09
  • 31.
    Impact of Packet Reordering 22 August 2008 NUS CS5229 Semester 1 31 2008/09
  • 32.
    Recap: TCP’s fast retransmit 22 August 2008 NUS CS5229 Semester 1 32 2008/09
  • 33.
    S = 1000 S = 2000 S = 3000 S = 4000 A = 2000 S = 5000 A = 2000 A = 2000 A = 2000 S = 2000 22 August 2008 NUS CS5229 Semester 1 33 2008/09
  • 34.
    S = 1000 S = 2000 S = 3000 S = 4000 A = 2000 S = 5000 A = 2000 A = 2000 A = 2000 S = 2000 22 August 2008 NUS CS5229 Semester 1 34 2008/09
  • 35.
    Nd = 3is a conservative choice. 22 August 2008 NUS CS5229 Semester 1 35 2008/09
  • 36.
    What if receiver wait longer before sending dup ack? 22 August 2008 NUS CS5229 Semester 1 36 2008/09
  • 37.
    S = 2000 W S = 2000 22 August 2008 NUS CS5229 Semester 1 37 2008/09
  • 38.
    1 2 5 Delivery Gap: " time between receiving " 3 an out-of-order packet and " the packet sent before it. 4 22 August 2008 NUS CS5229 Semester 1 38 2008/09
  • 39.
    Taken from Paxson’sPhD Thesis: CDF for delivery gap between reordered packets. 22 August 2008 NUS CS5229 Semester 1 39 2008/09
  • 40.
    N2 N1 higher BW 22 August 2008 NUS CS5229 Semester 1 40 2008/09
  • 41.
    N1 N2 20ms 8ms Waiting time with which 70% of " out-of-order delivery would be identified. 22 August 2008 NUS CS5229 Semester 1 41 2008/09
  • 42.
    Is needless retransmission a problem? 22 August 2008 NUS CS5229 Semester 1 42 2008/09
  • 43.
    Good S = 2000 S = 2000 22 August 2008 NUS CS5229 Semester 1 43 2008/09
  • 44.
    Bad S = 2000 S = 2000 22 August 2008 NUS CS5229 Semester 1 44 2008/09
  • 45.
    N1 N2 22 300 Number of good retransmissions for every bad retransmission. Nd = 3, W = 0 22 August 2008 NUS CS5229 Semester 1 45 2008/09
  • 46.
    N1 N2 ~ 7 100 Number of good retransmissions for every bad retransmission. Nd = 2, W = 0 22 August 2008 NUS CS5229 Semester 1 46 2008/09
  • 47.
    N1 N2 15 300 Number of good retransmissions for every bad retransmission. Nd = 2, W = 20ms 22 August 2008 NUS CS5229 Semester 1 47 2008/09
  • 48.
    Packet Corruption 22 August 2008 NUS CS5229 Semester 1 48 2008/09
  • 49.
    1 in 5000 packet is corrupted 22 August 2008 NUS CS5229 Semester 1 49 2008/09
  • 50.
    1 in 65536 corrupted packet goes undetected using TCP checksum (assuming each possible checksum is equally likely) 22 August 2008 NUS CS5229 Semester 1 50 2008/09
  • 51.
    1 in 300million Internet packet is corrupted " and is undetected. 22 August 2008 NUS CS5229 Semester 1 51 2008/09
  • 52.
    Part 2:" Bottleneck Bandwidth 22 August 2008 NUS CS5229 Semester 1 52 2008/09
  • 53.
    Packet Pair 22 August2008 NUS CS5229 Semester 1 53 2008/09
  • 54.
    B bps b bytes 22 August 2008 NUS CS5229 Semester 1 54 2008/09
  • 55.
    Q x B= b Q s 22 August 2008 NUS CS5229 Semester 1 55 2008/09
  • 56.
    Q s 22 August2008 NUS CS5229 Semester 1 56 2008/09
  • 57.
    Q s 22 August2008 NUS CS5229 Semester 1 57 2008/09
  • 58.
    Q s 22 August2008 NUS CS5229 Semester 1 58 2008/09
  • 59.
    Problems with Packet Pair 22 August 2008 NUS CS5229 Semester 1 59 2008/09
  • 60.
    1. Asymmetric Link 22 August 2008 NUS CS5229 Semester 1 60 2008/09
  • 61.
    22 August 2008 NUS CS5229 Semester 1 61 2008/09
  • 62.
    2. ACK Compression 22 August 2008 NUS CS5229 Semester 1 62 2008/09
  • 63.
    22 August 2008 NUS CS5229 Semester 1 63 2008/09
  • 64.
    3. Out oforder delivery 22 August 2008 NUS CS5229 Semester 1 64 2008/09
  • 65.
    22 August 2008 NUS CS5229 Semester 1 65 2008/09
  • 66.
    4. Clock resolution 22 August 2008 NUS CS5229 Semester 1 66 2008/09
  • 67.
    Suppose B = 1000 kBps b = 1 kB Q = ? 22 August 2008 NUS CS5229 Semester 1 67 2008/09
  • 68.
    5. Changing bottleneck bandwidth 22 August 2008 NUS CS5229 Semester 1 68 2008/09
  • 69.
    Fig 2 fromthe paper, showing changing bandwidth. 22 August 2008 NUS CS5229 Semester 1 69 2008/09
  • 70.
    Fig 3 fromthe paper, showing multi-channel links. 22 August 2008 NUS CS5229 Semester 1 70 2008/09
  • 71.
    6. Multi-channel Links 22 August 2008 NUS CS5229 Semester 1 71 2008/09
  • 72.
    Asymmetric links" ACK compression" Out-of-order delivery" Clock resolution" Changes in bottleneck bandwidth" Multi-channel links" 22 August 2008 NUS CS5229 Semester 1 72 2008/09
  • 73.
    Measure at receiver:" Asymmetric links" ACK compression" Packet bunch:" Out-of-order delivery" Clock resolution" Changes in bottleneck bandwidth" Multi-channel links 22 August 2008 NUS CS5229 Semester 1 73 2008/09
  • 74.
    2Q 22 August 2008 NUS CS5229 Semester 1 74 2008/09
  • 75.
    Collect multiple estimates, take the most freq occurrence (modes) as the bottleneck bandwidth. 22 August 2008 NUS CS5229 Semester 1 75 2008/09
  • 76.
    22 August 2008 NUS CS5229 Semester 1 76 2008/09
  • 77.
    Part 3:" Packet Loss 22 August 2008 NUS CS5229 Semester 1 77 2008/09
  • 78.
    N1 N2 2.7% 5.2% Percentage of packets that were lost. 22 August 2008 NUS CS5229 Semester 1 78 2008/09
  • 79.
    N1 N2 50% 50% Percentage of loss free connections 22 August 2008 NUS CS5229 Semester 1 79 2008/09
  • 80.
    N1 N2 5.7% 9.2% Loss rate on lossy connections 22 August 2008 NUS CS5229 Semester 1 80 2008/09
  • 81.
    17% Loss rate on connections from EU to US 22 August 2008 NUS CS5229 Semester 1 81 2008/09
  • 82.
    Are packet losses independent? 22 August 2008 NUS CS5229 Semester 1 82 2008/09
  • 83.
    Compute:" Pu =Pr [ p lost ]" Pc = Pr [ p lost | prev pkt lost ] 22 August 2008 NUS CS5229 Semester 1 83 2008/09
  • 84.
    Pu Pc 2.8% 49% Loss rate for “queued data pkt” on N1 22 August 2008 NUS CS5229 Semester 1 84 2008/09
  • 85.
    Fig 6 fromthe paper, showing outage duration. 22 August 2008 NUS CS5229 Semester 1 85 2008/09
  • 86.
    Are retransmission redundant? 22 August 2008 NUS CS5229 Semester 1 86 2008/09
  • 87.
    Unavoidable X ACK 22 August 2008 NUS CS5229 Semester 1 87 2008/09
  • 88.
    Coarse Feedback 22 August2008 NUS CS5229 Semester 1 88 2008/09
  • 89.
    Bad RTO 22 August2008 NUS CS5229 Semester 1 89 2008/09
  • 90.
    N1 N2 26% 28% Percentage of retransmissions that" are redundant 22 August 2008 NUS CS5229 Semester 1 90 2008/09
  • 91.
    4 44 Unavoidable Coarse Feedback Bad RTO 51 Type of redundant retransmission in N1. 22 August 2008 NUS CS5229 Semester 1 91 2008/09
  • 92.
    Part 4:" Packet Delay 22 August 2008 NUS CS5229 Semester 1 92 2008/09
  • 93.
    OTT is notwell approximated using RTT/2 22 August 2008 NUS CS5229 Semester 1 93 2008/09
  • 94.
    ACK Compression 22 August 2008 NUS CS5229 Semester 1 94 2008/09
  • 95.
    (might affect TCPself-clocking) 22 August 2008 NUS CS5229 Semester 1 95 2008/09
  • 96.
    sent recv 22 August 2008 NUS CS5229 Semester 1 96 2008/09
  • 97.
    Sending interval Receiving interval 22 August 2008 NUS CS5229 Semester 1 97 2008/09
  • 98.
    22 August 2008 NUS CS5229 Semester 1 98 2008/09
  • 99.
    22 August 2008 NUS CS5229 Semester 1 99 2008/09
  • 100.
    Compression event if ξ < .75 22 August 2008 NUS CS5229 Semester 1 100 2008/09
  • 101.
    N1 N2 50% 60% Percentage of connection that experiences" at least one compression event. 22 August 2008 NUS CS5229 Semester 1 101 2008/09
  • 102.
    N1 N2 50% 60% Percentage of connection that experiences" at least one compression event. 22 August 2008 NUS CS5229 Semester 1 102 2008/09
  • 103.
    2 Average number ofevents per connection. 22 August 2008 NUS CS5229 Semester 1 103 2008/09
  • 104.
    Estimating Available Bandwidth 22 August 2008 NUS CS5229 Semester 1 104 2008/09
  • 105.
    Qb: time totransit the bottleneck" ψi: expected time spent queuing behind predecessor (derived from sending time)" γi: diff between packet OTT and min OTT 22 August 2008 NUS CS5229 Semester 1 105 2008/09
  • 106.
    time packet iis sent 22 August 2008 NUS CS5229 Semester 1 106 2008/09
  • 107.
    22 August 2008 NUS CS5229 Semester 1 107 2008/09
  • 108.
    β = 1means all bandwidth is available." β = 0 means none of the bandwidth is available. 22 August 2008 NUS CS5229 Semester 1 108 2008/09
  • 109.
    Fig 10 fromthe paper, showing distribution of available bandwidth. 22 August 2008 NUS CS5229 Semester 1 109 2008/09
  • 110.
    Conclusion 22 August 2008 NUS CS5229 Semester 1 110 2008/09
  • 111.
    The numbers inthe paper are not important. " (the Internet has changed) 22 August 2008 NUS CS5229 Semester 1 111 2008/09
  • 112.
    Measurement is difficult but useful 22 August 2008 NUS CS5229 Semester 1 112 2008/09
  • 113.
    Many new techniques needed (e.g to measure bottleneck bandwidth) 22 August 2008 NUS CS5229 Semester 1 113 2008/09
  • 114.
    We can improve current design (e.g. TCP if we know more about reordering) 22 August 2008 NUS CS5229 Semester 1 114 2008/09
  • 115.
    We can identify problem (e.g. packet corruption) 22 August 2008 NUS CS5229 Semester 1 115 2008/09
  • 116.
    We can bettermodel the behavior (e.g. bursty packet loss) 22 August 2008 NUS CS5229 Semester 1 116 2008/09
  • 117.
    We can infermuch info from just a packet trace (e.g. available bandwidth) 22 August 2008 NUS CS5229 Semester 1 117 2008/09