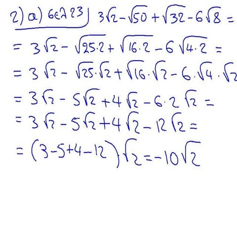
ασκησεισ 1γ,δ,ε 3α,στ-4α σελ .32 ερωτησεισ κατανοησησ σελ 27 28 παραγραφοσ 1.1.γ ερωτησεισ κατανοησησ ασκησεισ 1η και 4 γ σελ 19 εκπαιδευτικη εκδρομη στην αθηνα Πατήστε εδώ να δείτε το άρθρο σε slideshare και με πολλές φωτογραφίες. Πατήστε εδώ για να δείτε το άρθρο σε slideshare και με πολλέςφωτογραφίες Πατήστε εδώ για να δείτε το άρθρο σε slideshare και με φωτογραφίες. Πατήστε εδώ να δείτε το άρθρο. Δημοσιογράφοι στό σχολείο μας! Λυσεις διαγώνισμα 2 γ γυμνασιου μαθηματικα(11 12) β2 Λυσεις διαγώνισμα 2 γ γυμνασιου μαθηματικα(11 12) α2 Λυσεις διαγώνισμα 2 γ γυμνασιου μαθηματικα(11 12) β1 διαγώνισμα 2 γ γυμνασιου μαθηματικα(11 12) α1 λύσεις Παραγοντοποίηση ρητές παραστάσεις 1ο Γυμνάσιο Ευόσμου (Συντακτική ομάδα)