Properties of Complex
     Conjugates
Properties of Complex
     Conjugates
  1 z  z
Properties of Complex
     Conjugates
  1 z  z
  2 arg z   arg z
Properties of Complex
     Conjugates
  1 z  z
  2 arg z   arg z
  3 zz  x 2  y 2
         z
              2
Properties of Complex
     Conjugates
  1 z  z
  2 arg z   arg z
  3 zz  x 2  y 2
         z
              2



  4 z1  z2  z1  z2
Properties of Complex
     Conjugates
  1 z  z               5 z1 z2  z1  z2
  2 arg z   arg z
  3 zz  x 2  y 2
         z
              2



  4 z1  z2  z1  z2
Properties of Complex
     Conjugates
  1 z  z               5 z1 z2  z1  z2
  2 arg z   arg z          z1  z1
                          6   
  3 zz  x 2  y 2           z2  z2
         z
              2



  4 z1  z2  z1  z2
Properties of Complex
     Conjugates
  1 z  z               5 z1 z2  z1  z2
  2 arg z   arg z          z1  z1
                          6   
  3 zz  x 2  y 2           z2  z2
         z
              2
                              1 z
                          7   2
  4 z1  z2  z1  z2       z z
6  2i
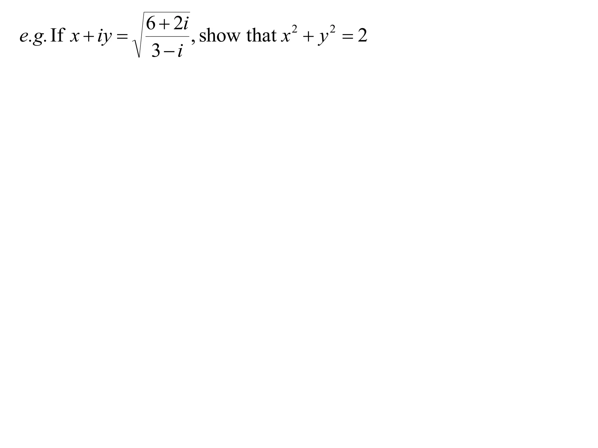
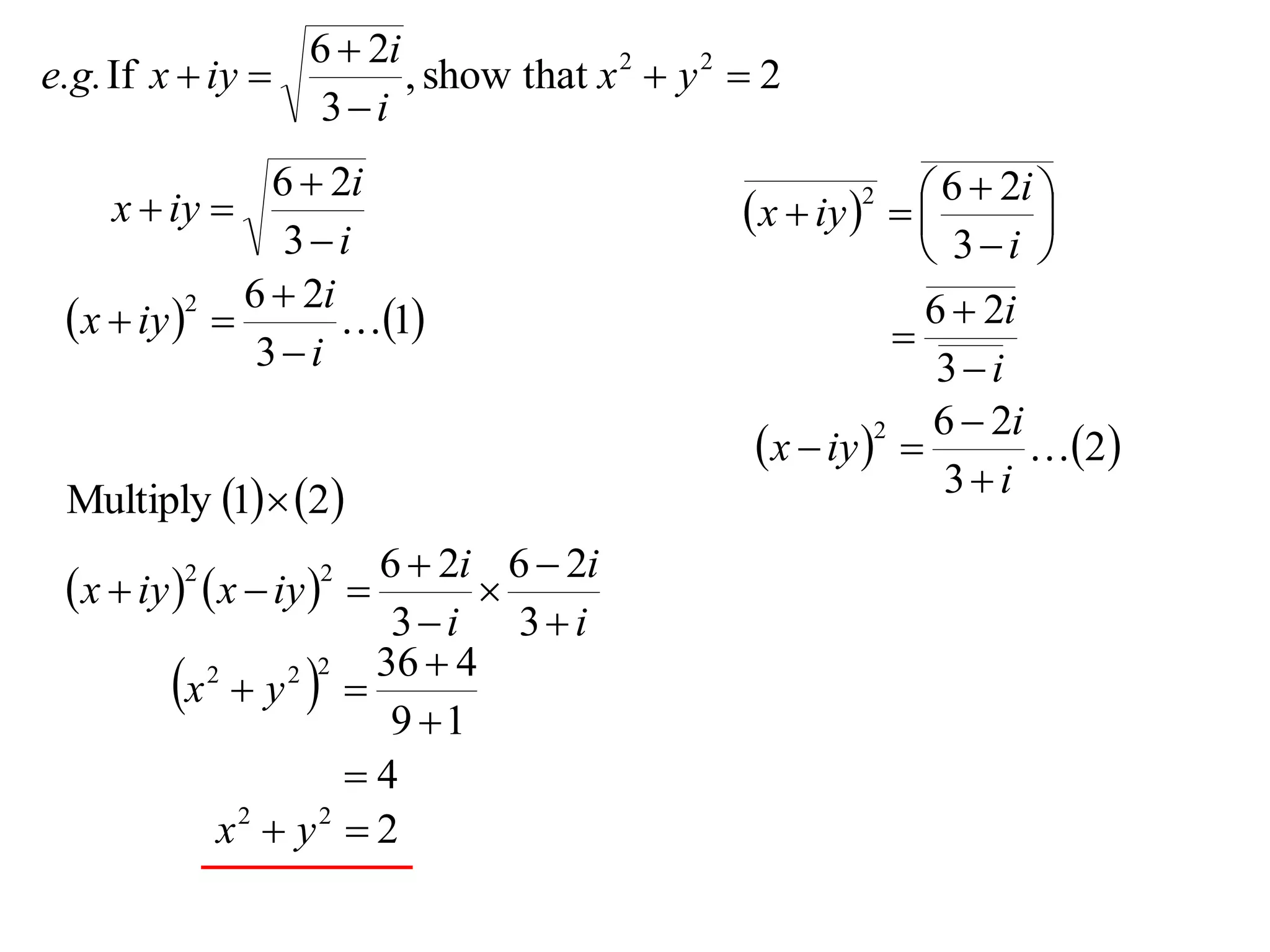
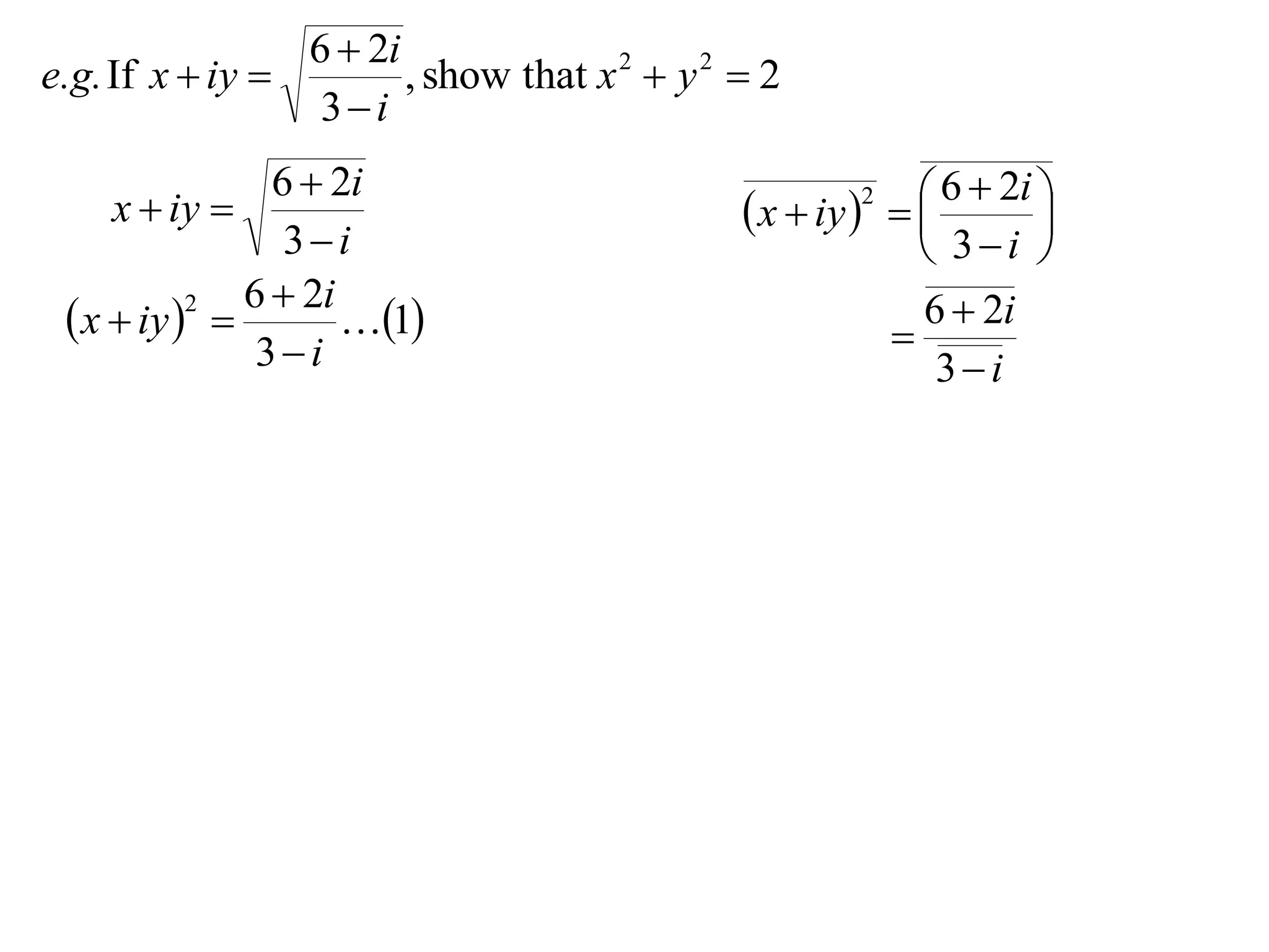
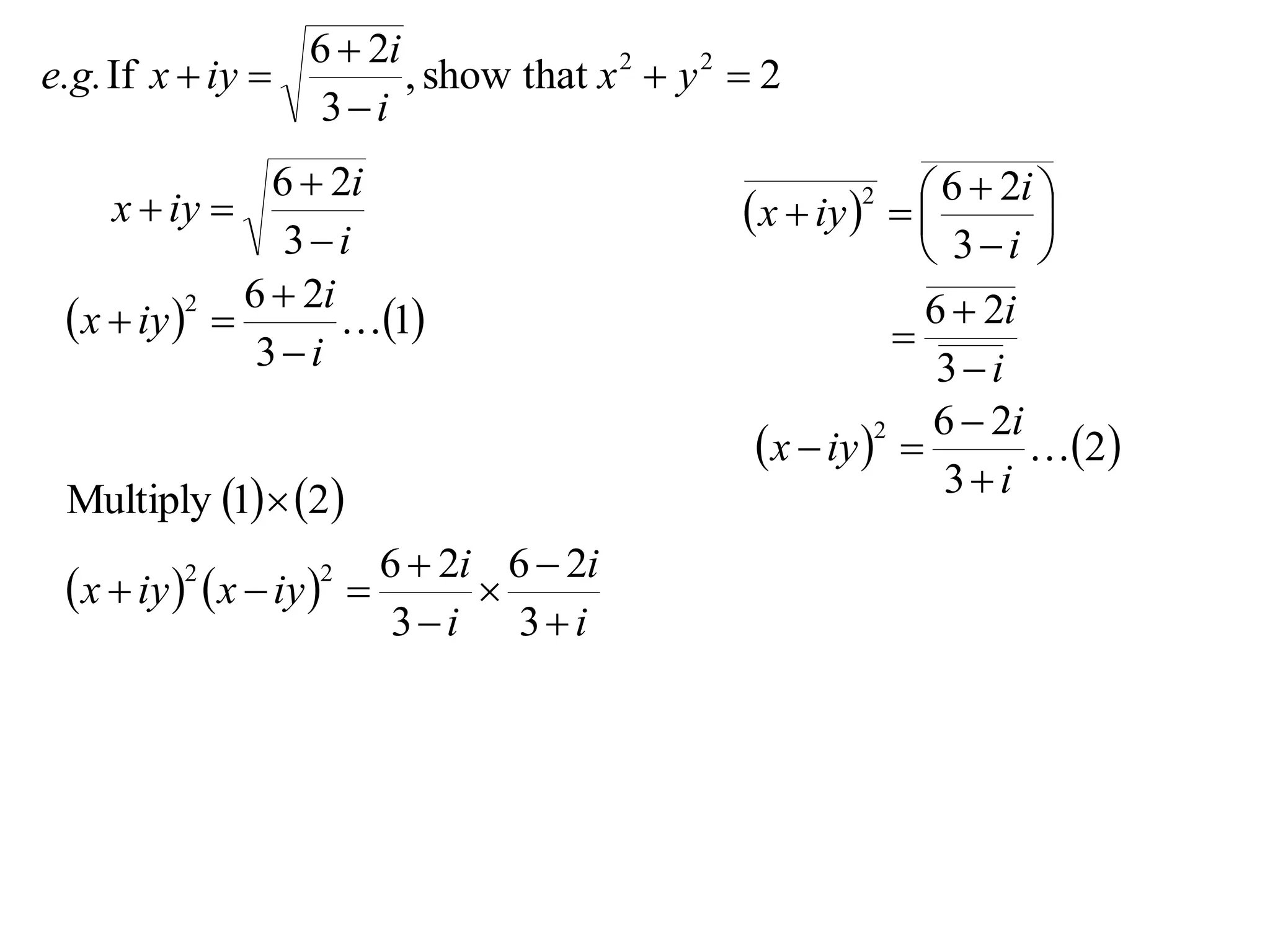
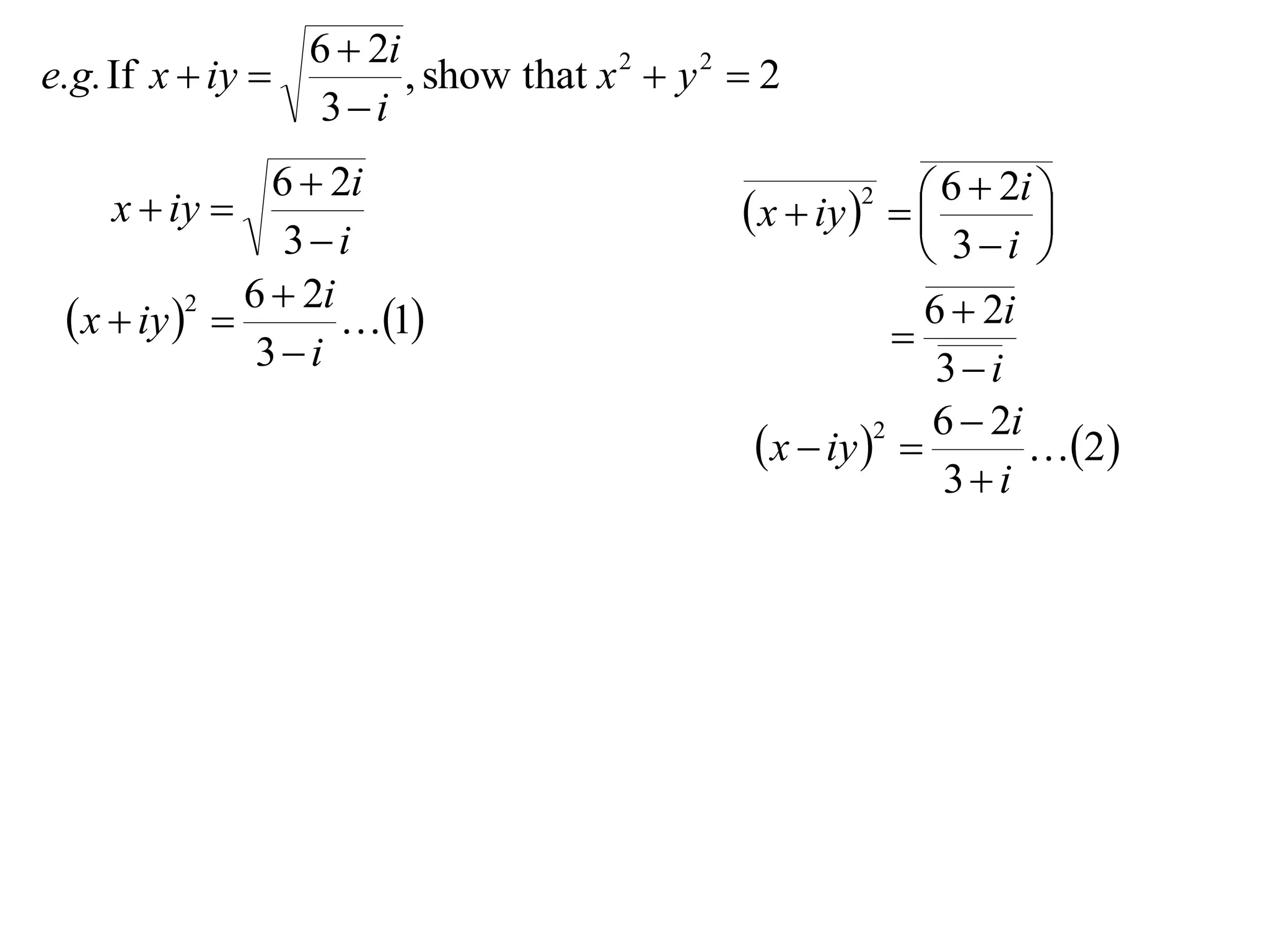
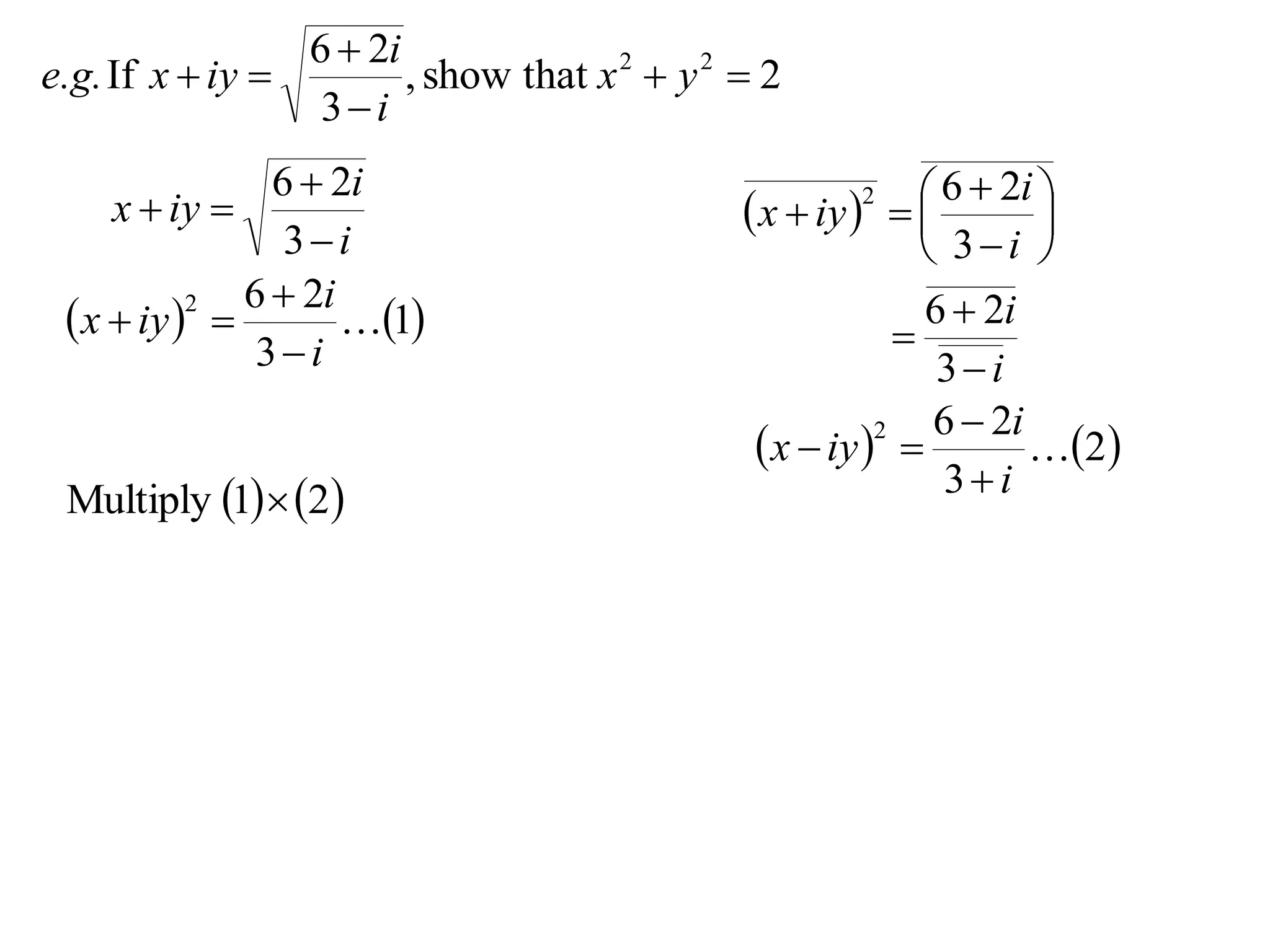
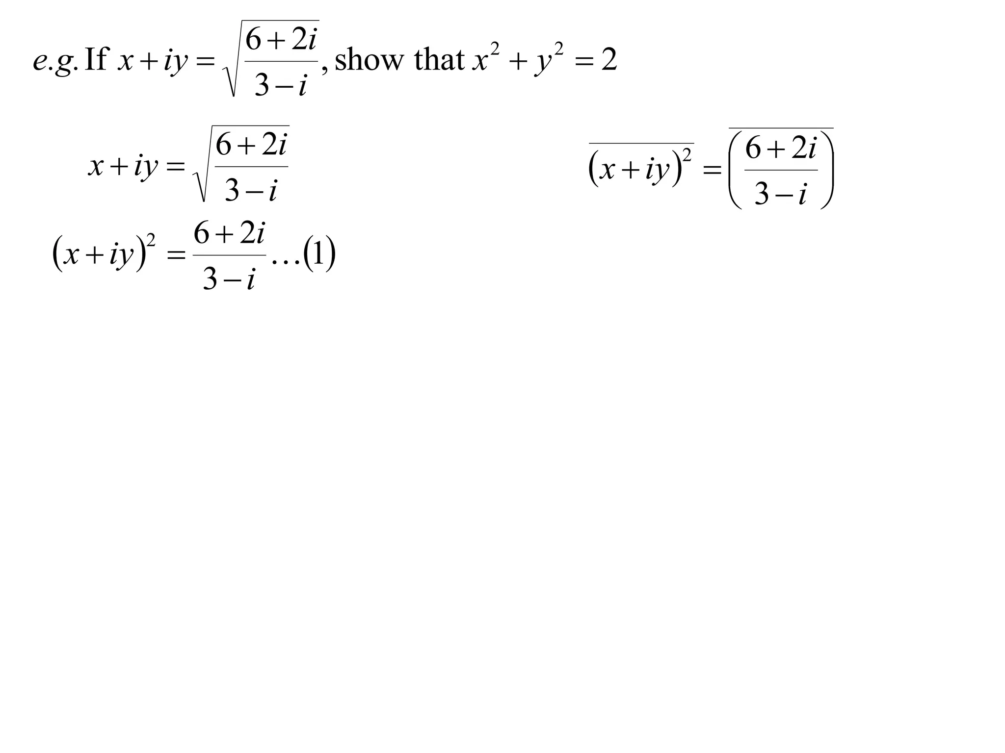
e.g. If x  iy         , show that x 2  y 2  2
                  3i
6  2i
e.g. If x  iy         , show that x 2  y 2  2
                  3i
             6  2i
    x  iy 
              3i
6  2i
e.g. If x  iy         , show that x 2  y 2  2
                  3i
                6  2i
     x  iy 
                 3i
              6  2i
  x  iy  
           2
                     1
               3i
6  2i
e.g. If x  iy         , show that x 2  y 2  2
                  3i
                6  2i                                      6  2i 
     x  iy                                   x  iy   
                                                      2
                                                                    
                 3i                                        3i 
              6  2i
  x  iy  
           2
                     1
               3i
6  2i
e.g. If x  iy         , show that x 2  y 2  2
                  3i
                6  2i                                      6  2i 
     x  iy                                   x  iy   
                                                      2
                                                                    
                 3i                                        3i 
              6  2i                                       6  2i
  x  iy  
           2
                     1                                
               3i                                           3i
6  2i
e.g. If x  iy         , show that x 2  y 2  2
                  3i
                6  2i                                        6  2i 
     x  iy                                   x  iy   
                                                      2
                                                                      
                 3i                                          3i 
              6  2i                                         6  2i
  x  iy  
           2
                     1                                  
               3i                                            3i
                                                              6  2i
                                                x  iy  
                                                         2
                                                                     2
                                                               3i
6  2i
e.g. If x  iy         , show that x 2  y 2  2
                  3i
                6  2i                                        6  2i 
     x  iy                                   x  iy   
                                                      2
                                                                      
                 3i                                          3i 
              6  2i                                         6  2i
  x  iy  
           2
                     1                                  
               3i                                            3i
                                                              6  2i
                                                x  iy  
                                                         2
                                                                     2
 Multiply 1  2                                            3i
6  2i
e.g. If x  iy         , show that x 2  y 2  2
                  3i
                6  2i                                        6  2i 
     x  iy                                   x  iy   
                                                      2
                                                                      
                 3i                                          3i 
              6  2i                                         6  2i
  x  iy  
           2
                     1                                  
               3i                                            3i
                                                              6  2i
                                                x  iy  
                                                         2
                                                                     2
 Multiply 1  2                                            3i
                         6  2i 6  2i
  x  iy   x  iy  
         2        2
                               
                          3i 3i
6  2i
e.g. If x  iy         , show that x 2  y 2  2
                  3i
                6  2i                                        6  2i 
     x  iy                                   x  iy   
                                                      2
                                                                      
                 3i                                          3i 
              6  2i                                         6  2i
  x  iy  
           2
                     1                                  
               3i                                            3i
                                                              6  2i
                                                x  iy  
                                                         2
                                                                     2
 Multiply 1  2                                            3i
                         6  2i 6  2i
  x  iy   x  iy  
         2        2
                                
                          3i 3i
                         36  4
          x  y  
            2      2 2

                          9 1
                       4
6  2i
e.g. If x  iy         , show that x 2  y 2  2
                  3i
                6  2i                                        6  2i 
     x  iy                                   x  iy   
                                                      2
                                                                      
                 3i                                          3i 
              6  2i                                         6  2i
  x  iy  
           2
                     1                                  
               3i                                            3i
                                                              6  2i
                                                x  iy  
                                                         2
                                                                     2
 Multiply 1  2                                            3i
                         6  2i 6  2i
  x  iy   x  iy  
         2        2
                                
                          3i 3i
                         36  4
          x  y  
            2      2 2

                          9 1
                       4
             x2  y2  2
6  2i
e.g. If x  iy         , show that x 2  y 2  2
                  3i
                6  2i                                        6  2i 
     x  iy                                   x  iy   
                                                      2
                                                                      
                 3i                                          3i 
              6  2i                                         6  2i
  x  iy  
           2
                     1                                  
               3i                                            3i
                                                              6  2i
                                                x  iy  
                                                         2
                                                                     2
 Multiply 1  2                                            3i
                         6  2i 6  2i
  x  iy   x  iy  
         2        2
                                
                          3i 3i
                         36  4
          x  y  
            2      2 2

                          9 1                  Exercise 4H; 1 to 6
                       4
             x2  y2  2

X2 t01 06 conjugate properties (2012)

  • 1.
  • 2.
    Properties of Complex Conjugates 1 z  z
  • 3.
    Properties of Complex Conjugates 1 z  z 2 arg z   arg z
  • 4.
    Properties of Complex Conjugates 1 z  z 2 arg z   arg z 3 zz  x 2  y 2 z 2
  • 5.
    Properties of Complex Conjugates 1 z  z 2 arg z   arg z 3 zz  x 2  y 2 z 2 4 z1  z2  z1  z2
  • 6.
    Properties of Complex Conjugates 1 z  z 5 z1 z2  z1  z2 2 arg z   arg z 3 zz  x 2  y 2 z 2 4 z1  z2  z1  z2
  • 7.
    Properties of Complex Conjugates 1 z  z 5 z1 z2  z1  z2 2 arg z   arg z  z1  z1 6    3 zz  x 2  y 2  z2  z2 z 2 4 z1  z2  z1  z2
  • 8.
    Properties of Complex Conjugates 1 z  z 5 z1 z2  z1  z2 2 arg z   arg z  z1  z1 6    3 zz  x 2  y 2  z2  z2 z 2 1 z 7   2 4 z1  z2  z1  z2 z z
  • 9.
    6  2i e.g.If x  iy  , show that x 2  y 2  2 3i
  • 10.
    6  2i e.g.If x  iy  , show that x 2  y 2  2 3i 6  2i x  iy  3i
  • 11.
    6  2i e.g.If x  iy  , show that x 2  y 2  2 3i 6  2i x  iy  3i 6  2i  x  iy   2 1 3i
  • 12.
    6  2i e.g.If x  iy  , show that x 2  y 2  2 3i 6  2i  6  2i  x  iy   x  iy    2  3i  3i  6  2i  x  iy   2 1 3i
  • 13.
    6  2i e.g.If x  iy  , show that x 2  y 2  2 3i 6  2i  6  2i  x  iy   x  iy    2  3i  3i  6  2i 6  2i  x  iy   2 1  3i 3i
  • 14.
    6  2i e.g.If x  iy  , show that x 2  y 2  2 3i 6  2i  6  2i  x  iy   x  iy    2  3i  3i  6  2i 6  2i  x  iy   2 1  3i 3i 6  2i  x  iy   2 2 3i
  • 15.
    6  2i e.g.If x  iy  , show that x 2  y 2  2 3i 6  2i  6  2i  x  iy   x  iy    2  3i  3i  6  2i 6  2i  x  iy   2 1  3i 3i 6  2i  x  iy   2 2 Multiply 1  2 3i
  • 16.
    6  2i e.g.If x  iy  , show that x 2  y 2  2 3i 6  2i  6  2i  x  iy   x  iy    2  3i  3i  6  2i 6  2i  x  iy   2 1  3i 3i 6  2i  x  iy   2 2 Multiply 1  2 3i 6  2i 6  2i  x  iy   x  iy   2 2  3i 3i
  • 17.
    6  2i e.g.If x  iy  , show that x 2  y 2  2 3i 6  2i  6  2i  x  iy   x  iy    2  3i  3i  6  2i 6  2i  x  iy   2 1  3i 3i 6  2i  x  iy   2 2 Multiply 1  2 3i 6  2i 6  2i  x  iy   x  iy   2 2  3i 3i 36  4 x  y   2 2 2 9 1 4
  • 18.
    6  2i e.g.If x  iy  , show that x 2  y 2  2 3i 6  2i  6  2i  x  iy   x  iy    2  3i  3i  6  2i 6  2i  x  iy   2 1  3i 3i 6  2i  x  iy   2 2 Multiply 1  2 3i 6  2i 6  2i  x  iy   x  iy   2 2  3i 3i 36  4 x  y   2 2 2 9 1 4 x2  y2  2
  • 19.
    6  2i e.g.If x  iy  , show that x 2  y 2  2 3i 6  2i  6  2i  x  iy   x  iy    2  3i  3i  6  2i 6  2i  x  iy   2 1  3i 3i 6  2i  x  iy   2 2 Multiply 1  2 3i 6  2i 6  2i  x  iy   x  iy   2 2  3i 3i 36  4 x  y   2 2 2 9 1 Exercise 4H; 1 to 6 4 x2  y2  2