UTILIZATION OF ELECTRICAL
ENERGY
A.NAVEEN KUMAR
Asst. Professor
EEE Department
Syllabus
1. Electric Drives
2. Electric Heating &Welding
3. ILLUMINATION Fundamentals and Methods
4. Electric Traction-1
5. Electric Traction-2
Electric Drives
Content
• Types of electric drives
• Choice of motor
• Starting characteristics
• Running characteristics
• Speed control
• Temperature rise
• Particular Applications of Electric drives
• Types of industrial loads: continuous, intermittent
and variable loads, load Equalization.
Electric Drive
• The system which is used for controlling the motion
of an electrical machine, such type of system is called
an electrical drive.
• In other words, the drive which uses the electric
motor is called electrical drive.
• The electrical drive uses any of the prime movers like
diesel or a petrol engine, gas or steam turbines, steam
engines, hydraulic motors and electrical motors as a
primary source of energy. This prime mover supplies
the mechanical energy to the drive for motion control.
Power Modulator :
• The power modulator regulates the output
power of the source.
• It controls the power from the source to the
motor in such a manner that motor transmits
the speed torque characteristic required by the
load.
Power Modulator
• During the transient operations like starting, braking and
speed reversing the excessive current drawnfrom the
source.
• This excessive current drawn from the source may
overload it or may cause a voltage drop. Hence the
power modulator restricts the sourceand motor
current.
• e.g. if the sourceis DC and an induction motor is
used then power modulator convert DC into AC. It also
selects the mode of operation of the motor, i.e., motoring
or braking.
Control unit
• The control unit controls the power modulator which
operates at small voltage and power levels. The
control unit also operates the power modulator as
desired.
• It also generates the commands for the protection of
power modulator and motor. An input command
signal which adjusts the operating point of the drive,
from an input to the control unit.
Sensing unit
• It senses the certain drive parameter like motor
current and speed.
• It mainly required either for protection or for closed
loop operation
ADVANTAGE OF ELECTRIC DRIVES
1. The electrical drives are available in a wide
range of torque, speed and power.
2. They are adaptable to almost any operating
conditions such as explosive and radioactive
environment, submerged in liquids, vertical
mounting and so on.
3.The electrical drive does not pollute the
environment.
ADVANTAGE OF ELECTRIC DRIVES
4. It can operate in all four quadrants of speed
torque plane.
5. They can be started instantly and can
immediately be fully loaded. i.e., there is no
need to refuel or warm up the motor.
6. They have flexible control characteristic and
can be employed to automatically control the
drive.
ADVANTAGE OF ELECTRIC DRIVES
7. They have flexible control characteristic and can be
employed to automatically control the drive.
8. Because of the following advantages, the mechanical
energy already available from a non-electrical prime
mover is sometimes first converted into electrical
energy by a generator and back to a mechanical
energy of an electrical motor.
9. Electrical link thus provides between the non-
electrical prime mover and the load impact to the
drive flexible control characteristic.
Disadvantage Of Electric Drives
• The power failure completely disabled the
whole of the system.
• The application of the drive is limited because
it cannot use in a place where the power
supply is not available.
• It can cause noise pollution.
• The initial cost of the system is high.
CLASSIFICATION OF ELECTRIC DRIVES
• Generally classified into 3 categories:
• Group drive
• Individual Drive
• Multimotor Drive
Group drive
• If several group of mechanisms or machines are
organized on one shaft and driven or actuated by one
motor, the system is called a group drive or shaft
drive.
• Advantage :
Most Economical
Disadvantages
• Any Fault that occurs in the driving motor
renders all the driving equipment idle.
• Efficiency low because of losses occurring in
the energy transmitting mechanisms (Power
loss).
• Not safe to operate. Also Noise level at the
working spot is high.
Individual drive
• In individual drive a single electric motor is used to drive one
individual machine. i.e In individual drive each working
machine has the individual main machine.
• Example: single-spindle drilling machines and various types of
electrical hand tools and simple types of metal working tools.
Advantages
1. Installation of individual drive is easy.
2. If a fault is occurred in one main machine then the
whole operations are not effected because it has
individual main machines.
3.Each main machine can be effectively utilized at rated
capacity.
4. Full control and desired operation of each machine is
obtained because of different machines are driven
with their respective individual drive.
5. Machines can be located at convenient places
Disadvantages
Cost is high because in this type of drive the
number of machines required is high.
More space is required because of each
working machine has its individual main
machine.
Multimotor drive
It consists of several individual drives each of
which serves to operate one of many working
members.
• (OR)
Multi-motor drives means the number of
operations are required to perform a task.
Example: The operation of CRANE.
FACTORS GOVERNING SELECTION OF ELECTRIC MOTORS
(or)
CHOICE OF MOTOR
• Basic Elements are electric motor, the
transmission and the electrical control system.
• Here the electric motor is very important one
in the drive equipment.
• So we have to select the motor as per our
requirements. Some factors are to be considers
while selecting the motor in the drives. Those
factors are as fallows.
FACTORS GOVERNING SELECTION OF ELECTRIC
MOTORS
1. Nature of Supply
• 3-phase a.c. or single phase a.c.
• In case of three phase a.c. supply is available,
polyphase induction motors, squirrel cage type for
small ratings and slip ring type for higher ratings may
be used.
• Pole changing motors with stepped pulleys are used
where large speed variation is required.
• Use of single phase motors is limited to small loads
only because of their limited outputs.
D.C. motors are not used so widely used
 Additional equipment is required for converting
existing a.c. supply into d.c. supply.
 D.C. motors have commutators that are subject to
trouble and resulting in sparking, brush wear, arc over
and the presence of moisture and destructive fumes in
the surrounding air.
 D.C. motors are generally more expensive than a.c.
machines for similar working conditions.
2. Nature of the load
LOADS
1.Loads required constant torque at all speeds, as shown
by the horizontal line 1 in the fallowing figure. Such
loads are cranes during hoisting, cranes
2. Loads requiring torque which may increase in direct
proportion to the speed as shown by straight line 2 in
figure.eg-Fluid friction
3. Loads requiring, which may increase with the square
of speed. As shown by the curve3 in the above figure.
Such loads are blowers, fans, centrifugal pumps, ship
propellers e.t.c.
LOADS
4. Loads requiring torque which may decrease with the
increase in the speed as shown by the curve 4 in the
above figure. Boring machines, milling machines and
other types of metal cutting machines are examples of
such loads.
Operating or Running characteristics.
• Speed-current characteristics
• Torque current characteristics
• Torque speed characteristics
Speed-current characteristics
case 1: For dc shunt motor
• In shunt motor, is maintained to be constant since DC
shunt motor is a constant speed motor. If V is also
maintained to be constant then the speed the speed-
current characteristics is obtained as shown in the
fallowing figure.
Case 2: For Dc Series Motor
Case 3: For Dc Compound Motor
For Dc Compound Motor
 The cumulative compound motors are used in the
driving machines. Which are subjected to the sudden
application of heavy loads. These motors are used
where a large starting torque is required.
Applications: Rolling mills
 In differential compound motor the speed remains
constant and sometimes increase with increase in the
load. This motor may rotate in opposite direction at
high loads that is why this motor is seldom used
practically.
Torque current characteristics
case 1: For dc shunt motor
Case 2: For dc series motor
Case 3: for dc compound motor
• In cumulative compound motor flux is more, hence torque developed is
more. Where as in differential compound motor flux is less and hence
torque developed is less.
• Cumulative compound motors are used in driving machines.
Which are subjected to sudden application of heavy loads such
as in rolling mills. This type of motor is also used, when high
starting torque is required such as in cranes.
Speed-Torque characteristics
• Case 1: For dc shunt motor
In a dc shunt motor when the supply voltage is constant the
field flux and armature flux is also constant and speed of the
motor mainly depends upon the armature current. The speed
decrease with the increase in armature current.
Case 2: For dc series motor
• As the current increases the torque also increases, where as the
speed falls. Hence it is observed from the characteristics
during starting the torque is less and the speed is dangerously
high. The motor must always be started on full load.
Case 3: For dc compound motor
Torque Slip Characteristics of Three
Phase Induction Motor
• The torque slip curve for an induction motor gives us
the running characteristics of induction motor.
• The torque-slip characteristic curve can be divided
roughly into three regions:
• Low slip region
• Medium slip region
• High slip region
• Motoring Mode:
 The induction motor torque varies from zero to
full load torque as the slip varies. The slip varies from
zero to one. It is zero at no load and one at standstill.
From the curve it is seen that the torque is directly
proportional to the slip.
 That is, more is the slip, more will be the torque
produced and vice-versa. The linear relationship
simplifies the calculation of motor parameter to great
extent.
Generating mode
• In this mode of operation induction motor runs above the
synchronous speed and it should be driven by a prime mover.
• The stator winding is connected to a three phase supply in
which it supplies electrical energy. Actually, in this case, the
torque and slip both are negative so the motor receives
mechanical energy and delivers electrical energy.
• Induction motor is not much used as generator because it
requires reactive power for its operation.
Why reactive power is needed for
IG
• An induction generator essentially needs a lagging current
(inductive current) to magnetise the core. Therefore it draws
reactive power from the grid (to which it is connected to feed
real power). The reactive power drawn by induction generators
(particularly of squirrel cage type) has to be compensated by
capacitors.
• However, this problem can be overcome by using doubly fed
induction generator or wound rotor induction generator. In
these machines, both stator and rotor have three phase AC
windings. Stator is directly connected to grid AC supply.
Braking
• In the Braking mode, the two leads or the polarity of the
supply voltage is changed so that the motor starts to rotate in
the reverse direction and as a result the motor stops.
• This method of braking is known as plugging. This method is
used when it is required to stop the motor within a very short
period of time.
• The kinetic energy stored in the revolving load is dissipated as
heat..
Applications of SCIM
• They are particularly suited for applications where the
motor must maintain a constant speed, be self-
starting, or there is a desire for low maintenance.
• Centrifugal pumps
• Industrial drives (e.g. to run conveyor belts)
• Large blowers and fans
• Machine tools
• Lathes and other turning equipment
Applications SLIM
• These motors are used where higher torque
and low starting current are required.
• Used in applications like elevators,
compressors, cranes, conveyors, hoists, and
many more
Starting characteristics of Single phase
induction motors
Starting and Running characteristics of
Single phase induction motors
• From the figure, we see that at a slip of unity, both
forward and backward field develops equal torque but
the direction of which are opposite to each other so
the net torque produced is zero hence the motor fails
to start.
• There must be some means to provide the starting
torque. If by some means, we can increase the
forward speed of the machine due to which the
forward slip decreases the forward torque will
increase and the reverse torque will decrease as a
result of which motor will start.
Torque speed characteristics of
synchronous motor
• To get a better starting torque the damper winding must have a
high resistance. However, this inhibits their primary function
of damping the oscillations, since a low resistance damper is
more effective for this task. A judicious choice of resistance is
required, depending upon the application of the motor.
Starting characteristics of Dc
motors
Speed control methods of dc
motor
Flux
Voltage across the armature
Applied voltage
Depending upon these factors the various
methods of speed control
SpeedcontrolofDCmotors
53
Speed Control of DC ShuntMotor
FLUX
CONTROL
METHOD
54
Armature Voltage
Control
55
Potential Divider
Control
SpeedcontrolofDCmotors kongunaducollegeofengineering&
technology
56
Applied Voltage
Control
SpeedcontrolofDCmotors kongunaducollegeofengineering&
technology
57
Speed Control of DC SeriesMotor
Flux Control – Field DivertorMethod
Series field winding is shunted by a variable resistance
(Rx) known as field divertor
Speed control above rated value
58
Motor whichrequire constant load torque
Armature ofthe motor isshunted byavariable resistance(Rx)
knownasarmature divertor
Speed control below ratedvalue
59
Fluxchangeisachievedbychangingthe number ofturns ofthe fieldwinding
Speed control above ratedvalue
60
61
Rheostatic Control
Variable resistance (Rx) is inserted in series with the
motor, the voltage drop across this resistance (IaRx)
occurs. This reduces the voltage across the armature.
62
Applied Voltage Control
The voltage obtained from the generator is controlled by a
field divertor resistance connected across the series field
winding of the generator
63
Ward-Leonard System of Speed Control
Thissystemiscommonlyemployedfor elevators, hoists andmaindrive in steel mills
ThemodifiedWard-Leonard systemiscalledWard-Leonard – Ilgner systeminwhich a
flywheelisused in addition to motor generator set.
64
ADVANTAGES AND DISADVANTAGES
Smoothvariation ofspeedoverwide range.
Rapidandinstant speed reversed.
Speedcontrol aboveandbelowrated is possible.
Goodspeed regulation.
Efficiencyis low
Initial cost ofsetup isvery high.
65
Why starter required for IM
• From the torque slip characteristic, it is clear that at the slip
equals to one we have some positive starting torque hence we
can say that the three-phase induction motor is self starting
machine, then why there is a need of starters for three phase
induction motor?
• we can see the motor behaves like an electrical transformer
with short circuited secondary winding, because at the time of
starting, the rotor is stationary and the back emf due to the
rotation is not developed yet hence the motor draws the high
starting current
Starting methods of IM
• By using primary resistors
• Autotransformer
• Star-delta switches
By using primary resistors
By using primary resistors
• Consider, the starting voltage is reduced by 50%.
Then according to the Ohm's law (V=I/Z), the starting
current will also be reduced by the same percentage.
From the torque equation of a three phase induction
motor, the starting torque is approximately
proportional to the square of the applied voltage.
That means, if the applied voltage is 50% of the rated
value, the starting torque will be only 25% of its
normal voltage value.
Auto-Transformers
Auto-Transformers
• It is basically a three phase step down transformer
with different taps provided that permit the user to
start the motor at, say, 50%, 65% or 80% of line
voltage
• For example, when a motor is started on a 65% tap, the
applied voltage to the motor will be 65% of the line voltage
and the applied current will be 65% of the line voltage starting
value, while the line current will be 65% of 65% (i.e. 42%) of
the line voltage starting value. This difference between the
line current and the motor current is due to transformer
action.
Star Delta Starting
working
• The stator phases are first connected to the star by the help of triple pole
double throw switch (TPDT switch) in the diagram the position is marked
as 1 then after this when the steady state speed is reached the switch is
thrown to position 2 as shown in the above diagram.
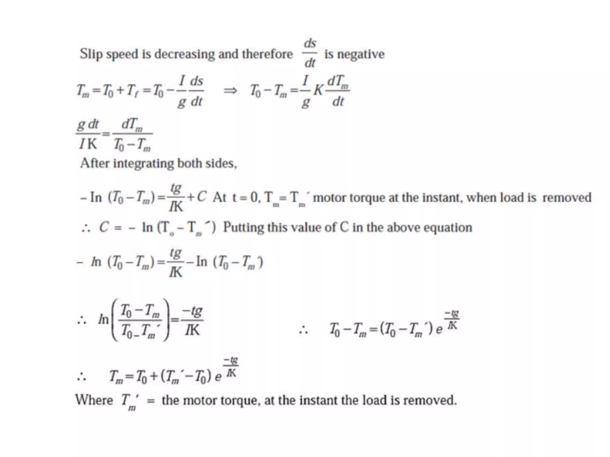
Flywheel calculations
Flywheel calculations
Flywheel calculations
Flywheel calculations
UEE UNIT-1(2022).ppt

UEE UNIT-1(2022).ppt

  • 1.
    UTILIZATION OF ELECTRICAL ENERGY A.NAVEENKUMAR Asst. Professor EEE Department
  • 2.
    Syllabus 1. Electric Drives 2.Electric Heating &Welding 3. ILLUMINATION Fundamentals and Methods 4. Electric Traction-1 5. Electric Traction-2
  • 3.
    Electric Drives Content • Typesof electric drives • Choice of motor • Starting characteristics • Running characteristics • Speed control • Temperature rise • Particular Applications of Electric drives • Types of industrial loads: continuous, intermittent and variable loads, load Equalization.
  • 4.
    Electric Drive • Thesystem which is used for controlling the motion of an electrical machine, such type of system is called an electrical drive. • In other words, the drive which uses the electric motor is called electrical drive. • The electrical drive uses any of the prime movers like diesel or a petrol engine, gas or steam turbines, steam engines, hydraulic motors and electrical motors as a primary source of energy. This prime mover supplies the mechanical energy to the drive for motion control.
  • 6.
    Power Modulator : •The power modulator regulates the output power of the source. • It controls the power from the source to the motor in such a manner that motor transmits the speed torque characteristic required by the load.
  • 7.
    Power Modulator • Duringthe transient operations like starting, braking and speed reversing the excessive current drawnfrom the source. • This excessive current drawn from the source may overload it or may cause a voltage drop. Hence the power modulator restricts the sourceand motor current. • e.g. if the sourceis DC and an induction motor is used then power modulator convert DC into AC. It also selects the mode of operation of the motor, i.e., motoring or braking.
  • 8.
    Control unit • Thecontrol unit controls the power modulator which operates at small voltage and power levels. The control unit also operates the power modulator as desired. • It also generates the commands for the protection of power modulator and motor. An input command signal which adjusts the operating point of the drive, from an input to the control unit.
  • 9.
    Sensing unit • Itsenses the certain drive parameter like motor current and speed. • It mainly required either for protection or for closed loop operation
  • 10.
    ADVANTAGE OF ELECTRICDRIVES 1. The electrical drives are available in a wide range of torque, speed and power. 2. They are adaptable to almost any operating conditions such as explosive and radioactive environment, submerged in liquids, vertical mounting and so on. 3.The electrical drive does not pollute the environment.
  • 11.
    ADVANTAGE OF ELECTRICDRIVES 4. It can operate in all four quadrants of speed torque plane. 5. They can be started instantly and can immediately be fully loaded. i.e., there is no need to refuel or warm up the motor. 6. They have flexible control characteristic and can be employed to automatically control the drive.
  • 12.
    ADVANTAGE OF ELECTRICDRIVES 7. They have flexible control characteristic and can be employed to automatically control the drive. 8. Because of the following advantages, the mechanical energy already available from a non-electrical prime mover is sometimes first converted into electrical energy by a generator and back to a mechanical energy of an electrical motor. 9. Electrical link thus provides between the non- electrical prime mover and the load impact to the drive flexible control characteristic.
  • 13.
    Disadvantage Of ElectricDrives • The power failure completely disabled the whole of the system. • The application of the drive is limited because it cannot use in a place where the power supply is not available. • It can cause noise pollution. • The initial cost of the system is high.
  • 14.
    CLASSIFICATION OF ELECTRICDRIVES • Generally classified into 3 categories: • Group drive • Individual Drive • Multimotor Drive
  • 15.
    Group drive • Ifseveral group of mechanisms or machines are organized on one shaft and driven or actuated by one motor, the system is called a group drive or shaft drive. • Advantage : Most Economical
  • 16.
    Disadvantages • Any Faultthat occurs in the driving motor renders all the driving equipment idle. • Efficiency low because of losses occurring in the energy transmitting mechanisms (Power loss). • Not safe to operate. Also Noise level at the working spot is high.
  • 17.
    Individual drive • Inindividual drive a single electric motor is used to drive one individual machine. i.e In individual drive each working machine has the individual main machine. • Example: single-spindle drilling machines and various types of electrical hand tools and simple types of metal working tools.
  • 18.
    Advantages 1. Installation ofindividual drive is easy. 2. If a fault is occurred in one main machine then the whole operations are not effected because it has individual main machines. 3.Each main machine can be effectively utilized at rated capacity. 4. Full control and desired operation of each machine is obtained because of different machines are driven with their respective individual drive. 5. Machines can be located at convenient places
  • 19.
    Disadvantages Cost is highbecause in this type of drive the number of machines required is high. More space is required because of each working machine has its individual main machine.
  • 20.
    Multimotor drive It consistsof several individual drives each of which serves to operate one of many working members. • (OR) Multi-motor drives means the number of operations are required to perform a task. Example: The operation of CRANE.
  • 21.
    FACTORS GOVERNING SELECTIONOF ELECTRIC MOTORS (or) CHOICE OF MOTOR • Basic Elements are electric motor, the transmission and the electrical control system. • Here the electric motor is very important one in the drive equipment. • So we have to select the motor as per our requirements. Some factors are to be considers while selecting the motor in the drives. Those factors are as fallows.
  • 22.
    FACTORS GOVERNING SELECTIONOF ELECTRIC MOTORS
  • 23.
    1. Nature ofSupply • 3-phase a.c. or single phase a.c. • In case of three phase a.c. supply is available, polyphase induction motors, squirrel cage type for small ratings and slip ring type for higher ratings may be used. • Pole changing motors with stepped pulleys are used where large speed variation is required. • Use of single phase motors is limited to small loads only because of their limited outputs.
  • 24.
    D.C. motors arenot used so widely used  Additional equipment is required for converting existing a.c. supply into d.c. supply.  D.C. motors have commutators that are subject to trouble and resulting in sparking, brush wear, arc over and the presence of moisture and destructive fumes in the surrounding air.  D.C. motors are generally more expensive than a.c. machines for similar working conditions.
  • 25.
    2. Nature ofthe load
  • 26.
    LOADS 1.Loads required constanttorque at all speeds, as shown by the horizontal line 1 in the fallowing figure. Such loads are cranes during hoisting, cranes 2. Loads requiring torque which may increase in direct proportion to the speed as shown by straight line 2 in figure.eg-Fluid friction 3. Loads requiring, which may increase with the square of speed. As shown by the curve3 in the above figure. Such loads are blowers, fans, centrifugal pumps, ship propellers e.t.c.
  • 27.
    LOADS 4. Loads requiringtorque which may decrease with the increase in the speed as shown by the curve 4 in the above figure. Boring machines, milling machines and other types of metal cutting machines are examples of such loads.
  • 28.
    Operating or Runningcharacteristics. • Speed-current characteristics • Torque current characteristics • Torque speed characteristics
  • 29.
    Speed-current characteristics case 1:For dc shunt motor • In shunt motor, is maintained to be constant since DC shunt motor is a constant speed motor. If V is also maintained to be constant then the speed the speed- current characteristics is obtained as shown in the fallowing figure.
  • 31.
    Case 2: ForDc Series Motor
  • 32.
    Case 3: ForDc Compound Motor
  • 33.
    For Dc CompoundMotor  The cumulative compound motors are used in the driving machines. Which are subjected to the sudden application of heavy loads. These motors are used where a large starting torque is required. Applications: Rolling mills  In differential compound motor the speed remains constant and sometimes increase with increase in the load. This motor may rotate in opposite direction at high loads that is why this motor is seldom used practically.
  • 34.
  • 35.
    Case 2: Fordc series motor
  • 36.
    Case 3: fordc compound motor • In cumulative compound motor flux is more, hence torque developed is more. Where as in differential compound motor flux is less and hence torque developed is less. • Cumulative compound motors are used in driving machines. Which are subjected to sudden application of heavy loads such as in rolling mills. This type of motor is also used, when high starting torque is required such as in cranes.
  • 37.
    Speed-Torque characteristics • Case1: For dc shunt motor In a dc shunt motor when the supply voltage is constant the field flux and armature flux is also constant and speed of the motor mainly depends upon the armature current. The speed decrease with the increase in armature current.
  • 38.
    Case 2: Fordc series motor • As the current increases the torque also increases, where as the speed falls. Hence it is observed from the characteristics during starting the torque is less and the speed is dangerously high. The motor must always be started on full load.
  • 39.
    Case 3: Fordc compound motor
  • 40.
    Torque Slip Characteristicsof Three Phase Induction Motor • The torque slip curve for an induction motor gives us the running characteristics of induction motor. • The torque-slip characteristic curve can be divided roughly into three regions: • Low slip region • Medium slip region • High slip region
  • 42.
    • Motoring Mode: The induction motor torque varies from zero to full load torque as the slip varies. The slip varies from zero to one. It is zero at no load and one at standstill. From the curve it is seen that the torque is directly proportional to the slip.  That is, more is the slip, more will be the torque produced and vice-versa. The linear relationship simplifies the calculation of motor parameter to great extent.
  • 43.
    Generating mode • Inthis mode of operation induction motor runs above the synchronous speed and it should be driven by a prime mover. • The stator winding is connected to a three phase supply in which it supplies electrical energy. Actually, in this case, the torque and slip both are negative so the motor receives mechanical energy and delivers electrical energy. • Induction motor is not much used as generator because it requires reactive power for its operation.
  • 44.
    Why reactive poweris needed for IG • An induction generator essentially needs a lagging current (inductive current) to magnetise the core. Therefore it draws reactive power from the grid (to which it is connected to feed real power). The reactive power drawn by induction generators (particularly of squirrel cage type) has to be compensated by capacitors. • However, this problem can be overcome by using doubly fed induction generator or wound rotor induction generator. In these machines, both stator and rotor have three phase AC windings. Stator is directly connected to grid AC supply.
  • 45.
    Braking • In theBraking mode, the two leads or the polarity of the supply voltage is changed so that the motor starts to rotate in the reverse direction and as a result the motor stops. • This method of braking is known as plugging. This method is used when it is required to stop the motor within a very short period of time. • The kinetic energy stored in the revolving load is dissipated as heat..
  • 46.
    Applications of SCIM •They are particularly suited for applications where the motor must maintain a constant speed, be self- starting, or there is a desire for low maintenance. • Centrifugal pumps • Industrial drives (e.g. to run conveyor belts) • Large blowers and fans • Machine tools • Lathes and other turning equipment
  • 47.
    Applications SLIM • Thesemotors are used where higher torque and low starting current are required. • Used in applications like elevators, compressors, cranes, conveyors, hoists, and many more
  • 48.
    Starting characteristics ofSingle phase induction motors
  • 49.
    Starting and Runningcharacteristics of Single phase induction motors • From the figure, we see that at a slip of unity, both forward and backward field develops equal torque but the direction of which are opposite to each other so the net torque produced is zero hence the motor fails to start. • There must be some means to provide the starting torque. If by some means, we can increase the forward speed of the machine due to which the forward slip decreases the forward torque will increase and the reverse torque will decrease as a result of which motor will start.
  • 50.
    Torque speed characteristicsof synchronous motor • To get a better starting torque the damper winding must have a high resistance. However, this inhibits their primary function of damping the oscillations, since a low resistance damper is more effective for this task. A judicious choice of resistance is required, depending upon the application of the motor.
  • 51.
  • 52.
    Speed control methodsof dc motor Flux Voltage across the armature Applied voltage Depending upon these factors the various methods of speed control
  • 53.
  • 54.
    Speed Control ofDC ShuntMotor FLUX CONTROL METHOD 54
  • 55.
  • 56.
  • 57.
  • 58.
    Speed Control ofDC SeriesMotor Flux Control – Field DivertorMethod Series field winding is shunted by a variable resistance (Rx) known as field divertor Speed control above rated value 58
  • 59.
    Motor whichrequire constantload torque Armature ofthe motor isshunted byavariable resistance(Rx) knownasarmature divertor Speed control below ratedvalue 59
  • 60.
    Fluxchangeisachievedbychangingthe number ofturnsofthe fieldwinding Speed control above ratedvalue 60
  • 61.
  • 62.
    Rheostatic Control Variable resistance(Rx) is inserted in series with the motor, the voltage drop across this resistance (IaRx) occurs. This reduces the voltage across the armature. 62
  • 63.
    Applied Voltage Control Thevoltage obtained from the generator is controlled by a field divertor resistance connected across the series field winding of the generator 63
  • 64.
    Ward-Leonard System ofSpeed Control Thissystemiscommonlyemployedfor elevators, hoists andmaindrive in steel mills ThemodifiedWard-Leonard systemiscalledWard-Leonard – Ilgner systeminwhich a flywheelisused in addition to motor generator set. 64
  • 65.
    ADVANTAGES AND DISADVANTAGES Smoothvariationofspeedoverwide range. Rapidandinstant speed reversed. Speedcontrol aboveandbelowrated is possible. Goodspeed regulation. Efficiencyis low Initial cost ofsetup isvery high. 65
  • 66.
    Why starter requiredfor IM • From the torque slip characteristic, it is clear that at the slip equals to one we have some positive starting torque hence we can say that the three-phase induction motor is self starting machine, then why there is a need of starters for three phase induction motor? • we can see the motor behaves like an electrical transformer with short circuited secondary winding, because at the time of starting, the rotor is stationary and the back emf due to the rotation is not developed yet hence the motor draws the high starting current
  • 67.
    Starting methods ofIM • By using primary resistors • Autotransformer • Star-delta switches
  • 68.
  • 69.
    By using primaryresistors • Consider, the starting voltage is reduced by 50%. Then according to the Ohm's law (V=I/Z), the starting current will also be reduced by the same percentage. From the torque equation of a three phase induction motor, the starting torque is approximately proportional to the square of the applied voltage. That means, if the applied voltage is 50% of the rated value, the starting torque will be only 25% of its normal voltage value.
  • 70.
  • 71.
    Auto-Transformers • It isbasically a three phase step down transformer with different taps provided that permit the user to start the motor at, say, 50%, 65% or 80% of line voltage • For example, when a motor is started on a 65% tap, the applied voltage to the motor will be 65% of the line voltage and the applied current will be 65% of the line voltage starting value, while the line current will be 65% of 65% (i.e. 42%) of the line voltage starting value. This difference between the line current and the motor current is due to transformer action.
  • 72.
  • 73.
    working • The statorphases are first connected to the star by the help of triple pole double throw switch (TPDT switch) in the diagram the position is marked as 1 then after this when the steady state speed is reached the switch is thrown to position 2 as shown in the above diagram.
  • 93.
  • 94.
  • 95.
  • 96.