CO Integrated Training Program
Book- 1 / 2
(Version 16-1)
Trainer & Author:
© Srinivas Kasireddy
91-9959765211
Skype : srinivas3d
Date printed : 5 November 2016
File Name : costepbystepconfigusermanualpart1-161105073908.doc
© Srinivas Kasireddy
©SrinivasaKasireddy©+91-9959765211
2
Table of Contents:
1.CO -Basic Settings.........................................................................................................8
2.Cost Centre Accounting...........................................................................................13
3.Allocations...................................................................................................................31
4.Allocation by Assessment using SKF ........................................................................35
5.Allocation by Distribution .........................................................................................43
6.Allocation by Periodic Reposting ...........................................................................51
7.Indirect Activity Allocation using SKF.....................................................................57
8.Direct Activity Allocation...........................................................................................76
9.Internal Orders(I.O).....................................................................................................81
10.Real IO with settlement to CC................................................................................87
11.Real Time Integration (New GL)..............................................................................96
12.Sales/Purchase Tax.................................................................................................105
7.MM Integration..........................................................................................................112
8.SD Integration............................................................................................................138
9.Profitability Analysis...................................................................................................155
10.COPA-Valuation Overview..................................................................................172
1.CO-PA Valuation-1...................................................................................................176
2.Characteristic Derivation.........................................................................................181
3.CO-PA Manual Line Item Entry...............................................................................182
4.Top-Down Distribution of Actual Data...................................................................183
5.Profit Centre Accounting........................................................................................191
6.Product Cost Planning ............................................................................................198
©SrinivasaKasireddy©+91-9959765211
4
Introduction
This book is vol-2 of 2 volumes
This book was initially a set of tutorials taught by me during class room training. After gradual
development over the years, now it has become a complete configuration guide/ end-user
manual for SAP FICO module. Obviously this book is more a practical guide than a reference
book even though some info stuff has been inserted at some places.
Having taught the SAP FICO course to hundreds of beginners and experienced at various
institutions, I know the kind of problems and questions you will have when learning this
module.This book is full of detailed step-by-step procedures with necessary screen shots and
sample configurations.
Having worked as a SAP Consultant at various organizations, I know the kind of requirements
that may arise at clients. To this end, most of the business processes and underlying concepts
have been explained thoroughly through out the book.
By understanding the how and whys, you will start gaining basic knowledge which reaches to
advanced level with in no time.
As you go through the material, if you have problems or questions please do mail me. If you find
an error in this book, or suspect there may be an error, kindly notify .
I hope you will find using this book as enjoyable.
Conventions Used in This Book
‘’ indicates a next thing in navigation or next action
‘----- button’ means to hit the button . For example ‘ Position button’ means ‘to hit Positon
button’.
‘:’ is followed by the value/text to be entered
Multiple inputs/input values in a single screen are shown in the form of table.
How to use the book
Just read line by line and follow the instructions. Refering to screen shots makes your job
easy . Please refer to Info boxes for additional info.
©SrinivasaKasireddy©+91-9959765211
6
©SrinivasaKasireddy©+91-9959765211
Controlling
CO FI
CO is for internal Reporting FI is for Internal & external Reporting
7
©SrinivasaKasireddy©+91-9959765211
1. CO -Basic Settings
Organizational Structure :
Controlling FI Accounting
Operating Concern
(CO-PA)
CO Area1
CoCd1
Plant1
Plant2
CoCd2
Plant3
Plant4
CO Area2
CoCd3
Plant5
Plant6
CoCd4
Plant7
Plant8
1. Copy comp code
TCode :EC01
2. Maintain Controlling Area
CO FI
CO-Area CoCd
Scenario:1 (1:1 relationship)
Company Code = Controlling Area
(Company code and Controlling area are in same levels or
One Company code under a Controlling area)
Scenario 2: (1:n relationship)
Company Code under the Co area (more than one CoCd under a Co-area)
This is also called cross company code cost accounting.
CO-area Company Code
Co Area1
CoCd 1
CoCd 2
Co Area2
CoCd 3
CoCd4
We are going to follow scenario 2 .
SPROControllingGeneral Controlling OrganisationMaintain Controlling Area
Double click on Maintain Controlling Area
8
©SrinivasaKasireddy©+91-9959765211
New Entries
Controlling Area : LAP
Name : Co Area for LAP
Co Cd  CO Area : Cross-company-code cost accounting
Currency Type : 10
Currency : INR
Chart of Accts : LACA
Fiscal Year Variant : V3
CCtr Std. Hierarchy : Std_Hier
Save
’Yes’ Button to create std hierarchy
Create Request Button
Short description : CO Settings for LAP
Enter
Continue
Double click on ‘Assignment of Company Code(s)’ folder
New Entries
CoCd Company Name
LAP Lair p div
9
©SrinivasaKasireddy©+91-9959765211
Save
Continue
Double click on ‘Activate components/control indicators’ folder
New Entries
Fiscal Year : 2012
Cost Centres : Component Active
AA: Activity type
OrderManagement : Component Active
Profit Centre Acctg
√
√
10
©SrinivasaKasireddy©+91-9959765211
Save
Enter to ignore the warning message
3. Cost Centre Standard Hierarchy
Up to Controlling Same path
Cost Centre AccountingMaster Data Cost CentresDefine standard Hierarchy
Controlling Area : LAP
 Enter
Group Name : STD_HIER
Description : Standard hierarchy for LAP
Save
Info : Std hierarchy is top node in the cost centre hierarchy .
Std hierarchy represents all cost centres in the Co Area
4. Maintain Versions
SPROControllingGeneral Controlling OrganisationMaintain Versions
Select version ‘0’ iePlan/Actual version
Double click on ‘Settings for Each Fiscal Year ‘ folder
``
Controlling Area : LAP
Version : 0
Enter
New entries
Fiscal Year : 2012
11
©SrinivasaKasireddy©+91-9959765211
Exchange Rate Type : M
Save
Continue
12
©SrinivasaKasireddy©+91-9959765211
2. Cost Centre Accounting
Cost Centre Profit Centre
Cost Centre Accounting(CCA) is used to
record costs at org units called Cost
centres.
Eg:Cost centre can be a department
Profit Centre Accounting(PCA) is used to record
costs and revenues at org units called Profit
centres.
Eg: Profit centre can be a plant.
Profit centre is an internal org. unit at which
you can analyze profitability independently.
Eg: Plant wise profitability is possible
In FI module we can record expenses & revenues at GL account level.
Department level expenses can be captured in CCA .
Plant level expenses and revenues can be captured in PCA.
Relationship between Profit centre & Cost centre
A cost centre can be independent or assigned to a profit centre. For eg we have two
plants
We can create each plant as a profit centre . We can create each department in the
plant as
a cost centre.
Profit center Cost centre
1000
(Mumbai plant)
1001 (Body shop)
1002 (Assembling)
1003 (Paint shop)
2000
(Hyd Plant)
2001 (Body shop)
2002 (Assembling)
2003 (Paint shop )
Independent 9000 (Sales)
Independent 9001 (Admin)
Cost Element
Primary Cost Element
Secondary Cost Element
Primary Cost Elements are nothing but ‘Expenses’ GL accounts
13
©SrinivasaKasireddy©+91-9959765211
Primary cost elements Secondary cost elements
Used to transfer data from FI module to CO Used to transfer data within CO module
For eg you post to Salary a/c in FI . It can be
transfered to CO with a cost element called
Salary
For eg allocations from one CO-object to
other(Cost center to Costcenter )
Profit centre 1000
(Mumbai Plant)
Profit centre 2000
(HydPlant)
Cost/Revenue
element
1001 1002 1003 2001 2002 2003 Cost /
Revenue
element wise
Totals(FI)
400500(Salaries) 27000 18000 9000 9000 27000 18000 108000
400600(Rent) 45000 54000 27000 27000 9000 9000 171000
CC wise Total 72000 72000 36000 36000 36000 27000
279000
PC wise Total 180000 99000
300510 (Sales) 207000 135000  342000
PC wise
Profitability
27000 36000  63000
1. Settings
1. Maintain Number Ranges for Controlling Document
SPROControllingGeneral Controlling OrganisationMaintain Number Ranges
for Controlling Document
Tcode :KANK
CO Area : LAP
 Maintan Groups button
Create button
Group : No. ranges for CO documents (LAP)
From number To number
090000000 099999999
Save
Continue
Back buton
14
©SrinivasaKasireddy©+91-9959765211
Non-Assigned Elements
Click on COIN
Element/Group button
 Double click on ‘No. ranges for CO documents (LAP)’
(Repeat the same procedure for , RKP1, RKU1, RKU3)
 Save
Continue
Info:
FI CO
Doument types
Eg: SA, KR, KZ
Business transactions
Eg: COIN , RKU1 , RKU3
Eg: Bus.transaction ‘COIN’ arises when a CO object like Cost centre is entered in FI
document . In this case a CO document is generated apart from a FI document.
Bus.transaction ‘RKU1’ arises when reposting of costs from one CC to other CC . In
this
case only CO document is generated.
2. Creation of Primary Cost Element
a.FI area
Tcode : FS00
Select 1st expenses Account
Change button’Edit cost element’ button
Valid From : 1-4-2011 to : 31-12-9999
Enter
CElem category : 1 (Primary cost/cost-reducing revenue)
15
©SrinivasaKasireddy©+91-9959765211
Save
Note down the 2nd Expenses GL account
400409 Travelling Expenses
b. Co. Area:
SAP Easy AccessAccountingControllingCost element AccountingMaster
DataCost Element Individual processingCreate Primary
Tcode : KA01
Cost Element : 400509 (2nd exp a/c)
Enter
CElem category : 1
Save
c. Automatic Creation:
SPROControllingCost Element AccountingMaster DataCost
elementsAutomatic
Creation of Primary and Secondary Cost ElementsMake Default settings
Chart of Accounts : LACA
Enter
NewEntries
Acct from Account to CECt
400403 (3rd Exp A/C) 400490 1
400491 400491 12
400492 499999 1
Save
Continue
Back button twice
Create Batch Input session:
Same path
Create Batch Input session
Controling Area : LAP
Valid From : 1.4.2011
Valid to : 31.12.9999
Session : CE_CREATE_LA
Execute
Back button twice
Execute Batch Input session
16
©SrinivasaKasireddy©+91-9959765211
Same path
 Execute Batch Input session
Select Session name : CE_CREATE_LA
Process button
Process button again
Keep on pressing Enter until processing batch input session completed
Exit batch input session button
3. Display Cost Elements
Tcode :KA23
SAP Easy AccessAccountingControllingCost element AccountingMaster
DataCost elementCollective ProcessingDisplay
All Cost Elements
Execute
4. Creation of FSG (Cost Centre required)
Tcode : OBC4
Select FS variant ‘LAFS’
Double click on ‘Field Status groups’ folder
Select FSG ‘G004’ (Cost Accounts)
Copy as button
Change Field status group to2 ‘G002’
Change the Text to ‘Cost accounts (CC req)’
Enter
Double click on Field Status Group ‘G002’
Double click on ‘Additional account assignment’
Req. Entry
Cost centre
Save
Continue
5. Assign New FSG in Expenses G/L Account
SAP Easy AccessAccountingFinancial AccountingGeneral LedgerMaster
RecordsGL AccountsCollective ProcessingCompany Code Data
Enter to ignore the warning message
TCode:OB_GLACC12
…
…
…
…
…
…
…
…
17
©SrinivasaKasireddy©+91-9959765211
Company Code : LAP
G/L Account : 400000 To 499999
Execute
Replace Field status group with ‘G002’ for all GL accounts
Save
Enter to ignore the warning message
6. Creation of Cost Centre
SAP Easy AccessAccountingControllingCost Center AccountingMaster
DataCost
CenterIndividual ProcessingCreate
Tcode: KS01
Extras menuSet Controlling Area
Controlling Area : LAP
Enter
Cost center: 1001
Valid From : 1.4.2011 to : 31.12.9999
Enter
Name : Body shop
Description : Body shop
Person Responsible : Mr. T
Cost Center Category : 1
Hierarchy Area : STD_HIER
Business Area : LANZ
Currency : INR
Save
18
©SrinivasaKasireddy©+91-9959765211
Enter to ignore the warning msg
Cost Center : 1002
Reference
Cost Center : 1001
Controlling Area : LAP
Enter
Replace the Name & Description with ‘ Assembling’
Person responsible : Mr. T
Save
Enter to ignore the warning message
Cost Center : 1003
Reference
Cost center: 1001
Controlling Area : LAP
 Enter
Replace the Name with ‘Paint shop’
Replace the Description with ‘Paint shop’
Person Responsible : MR. T
Save
Enter to ignore the warning message
Cost Center : 2001
Reference
Cost center: 1001
Controlling Area : LAP
 Enter
Replace the Name with ‘Processing’
Replace the Description with ‘Processing’
Person Responsible : MR. T
Save
Enter to ignore the warning message
7. Creation CC Groups
Tcode : KSH1
19
©SrinivasaKasireddy©+91-9959765211
Up to Master Data same path
CostCenter Group Create
Cost Center Group : PROD
Enter
Description : Production cost
Insert Cost Center button
PROD
1001 Body Shop
1002 Assembling
1003 Paint Shop
Save
8. Creation of CE groups
Tcode :KAH1
Up to Master Data same path
Cost Element GroupCreate
Cost element group : ADMIN
Enter
Description: Admn Cost
Insert Cost Element button
ADMIN
400591 Travelling Exp.
Save
Cost element group : PERSNL
Enter
Description : Personal cost
Insert Cost Element button
PERSNL
20
©SrinivasaKasireddy©+91-9959765211
400500 Salaries
(Enter GL accounts like Wages , Bonus etc)
save
2. End User:
1. Posting of transaction in FI
Tcode :F-02
Doc Date : Type : SA
Posting Key : 40 Account : 400500 (Salaries)
Enter
Amount : 27000
Cost Center : 1001
Text : Salaries Payment
Posting Key : 40 Account : 400600(Rent)
Enter
Amount : 18000
Cost Center : 1001
Text : Rent Payment
Posting Key : 50 Account : 200691(Cash)
Enter
21
©SrinivasaKasireddy©+91-9959765211
Amount : *
Bus area : LANZ
Text : Expenses Payment
DocumentSimulatePost
Post one more document for Rent 9000.00 & Salaries 36000.00 for Cost Center ‘ 1002’
2. Display CC Report
Tcode:KSB1
Up to Cost Centre Accounting same path
Information SystemReports for CostCenter AccountingLine itemsCost Center:
Actual Line Items
Cost Center Group : PROD
Cost Element : 400500, 400600
Execute
Change Layout button
Find button
Search term : ‘Business’
Enter
Select ‘Business Transaction’ under Column Name
Left arrow button
Select ‘Document Number’ under Column Name
Left arrow button
22
©SrinivasaKasireddy©+91-9959765211
Select ‘Ref Document Number ‘ under Column Name
Left arrow button
Enter
Make a note of Business Transaction , Doc no, Ref doc no.
RefDoNo is Fi document
DocumentNo is CO document
3. Display CO Document
Tcode:KSB5
Same Path CO Documents: Actual Costs
Document Number : 090000000
Execute
4. Repost CO Line item
Info : This function is used to rectify posting to wrong CO objects. For eg if during FI posting
it is been posted to wrong CC , you transfer to right CC without having impact on FI posting.
In this transaction only a CO document is generated.
Tcode:KB61
Up to Cost Centre Accounting same path
Actual postingsRepost Line ItemsEnter
Document Number : 1000000024
Company Code : LAP
Fiscal year : 2011
Execute
Value Tran curr Acct Assgt 1
11000 1003
7000 1003
23
©SrinivasaKasireddy©+91-9959765211
Enter
(Screen is updated as shown in the following image)
Post
5. Display Cost Center Report
Tcode: KSB1
Extras menuSet Controlling Area
Controlling Area : LAP
Enter
Cost Center Group : PROD
Execute
24
©SrinivasaKasireddy©+91-9959765211
6. Creating Common Cost center
Tcode:KS01
CostCenter : 2000
Valid from : 1.4.2012 to : 13.12.1999
Enter
Name : Common for CC 1001, 1002, 1003
Person responsible Mr. T
CostCenter Category : 1 (Prod)
Hierarchy area : STD_HIER
Busines area : LANZ
Currency : INR
Save
Enter to ignore the warning message
7. Posting to Common Cost center
Tcode F-02
1.Post one document for Salary
Amount : 36000
Cost Centre : 2000
2. Post one document for Rent
Amount : 9000
25
©SrinivasaKasireddy©+91-9959765211
Cost Centre : 2000
8. Repost Costs:
Info: This functionality is used to simplify FI postings. For eg FI user can post to common CC
if the amount belongs to multiple CCs. Later cost accountant can transfer the amount to
individual CCs without having impact on FI posting. In this transaction only a CO document
is generated.
Tcode: KB11N
Up to Cost Centre Accounting Same path
Actual posting
Manual Reposting of Costs
 Enter
Extra menuSet Controlling area
Controlling Area : LAP
Enter
CCtr (old) Cost Elem. Amount CCtr (new)
2000 400500 12000 1001
2000 400500 10000 1002
2000 400500 14000 1003
2000 400600 3000 1001
2000 400600 3000 1002
2000 400600 3000 1003
Post
9. Display Cost Center Report
26
©SrinivasaKasireddy©+91-9959765211
Tcode: KSB1
CostCenter Group : PROD
Execute
Back button
Cost centre : 2000
Multiple Entries button
Single value
1001
1002
1003
2000
Copy button
Execute
10. Period Lock
At end of the month we lock the previous month
FI CO
PPV Period lock
Open and close Posting Period for Account
type & accounts
lock& unlock period for business transaction
Eg : (COIN, RKU1)
Tcode : OKP1
Path:
AccountingControllingCostcenterAccountingEnvironmentPeriodlockChange
Controlling area : LAP
Fiscal Year : 2011
Actual button
Locking transaction for all period:
27
©SrinivasaKasireddy©+91-9959765211
Keep the cursor on transaction ‘CO through posting from FI’
Lock transaction button
Lock period for all transactions :
select the period
Lock period button
Save
11. Planning Cost Centre wise
Tcode : KP06
Up to CostCenter Accounting same path
PlanningCost and Activity InputsChange
Version : 0
From period : 1
To period : 12
Fiscal Year : 2011
Cost centre : 1001
Cost element : 400500
Form-Based
Overview screen button
Costelement Plan fixed cost Distribution key
400500 240000 1 (Equal distribution)
…
…
…
…
28
©SrinivasaKasireddy©+91-9959765211
Select the cost element 400500
Period screen button
(Next image shows period wise planned costs)
Post
12. Display Variance report
Tcode : S_ALR_87013611
Path: up to CostCenter Accounting Same path
Information systemReports for CostCenter AccountingPlan/Actual Comparisons
Cost
Centers:Actual/Plan/ Variance
Controlling Area : LAP
Fiscal Year : 2011
From Period : 5 (Current period)
To Period : 5
29
©SrinivasaKasireddy©+91-9959765211
Plan Version : 0
Cost Center Group : PROD
Or Values : 400500
Execute
30
©SrinivasaKasireddy©+91-9959765211
3. Allocations
Periodic allocations are done for planning data at the beginning of period (posting date
will be 1st
day of the period).
Periodic allocations are done for actual data at the end of period (posting date will be
last day of the period).
.
The following periodic allocation methods are availble in SAP . They can be used for
allocating both planned and actual costs/activity quantities.
Allocations
Distribution Periodic
Reposting
Asessment Indirect activity
allocation
Used for allocating
primary costs
Similar to
distribution
Used for
allocating primary
and secondary
costs
Used for allocating
activity type ( like Man
Hrs , Mach Hrs etc)
quanities
Primary cost
elements are used
Similar to
distribution
Secondary cost
elements
(category :
Assesment ) are
used
Secondary cost
elements(category :
Internal allocation) are
used
Detailed breakup at
cost element level is
available
Similar to
distribution
Data is
summerized on
assesment cost
element/s
Data is summerized on
allocation cost element/s
Used for plan and
actual costs
Used for actual
costs
Used for plan and
actual costs
Used for plan and actual
costs
Detailed analysis is
available at sender
and receiving cost
center
Analysis is available
at receiving cost
center only
Used if sender cost
center is important
for cost analysis
Eg : Cafetaria
Used if sender is
just a cost collector
cost center
Used just to
simplify account
assignments during
FI postings
eg : Comon CC
Creates more no of
line items,uses more
memory compared to
periodic reposting
Creates less no of
line items,uses less
memory compared
to distribution
31
©SrinivasaKasireddy©+91-9959765211
Direct Activity allocation : is used for recording actual quantities of activity types
consumed by the receving CO object. This allocation happens as and when an activity
type is consumed by the receiving cost center . So this is not a periodc allocation.
KB21N is the TCode used .
1. Cost Center relatioships:
Cost Centers used :
Cost Center Cost Center Name Costcenter category
1001 Bodyshop A : Production
1002 Assembling
1003 Paintshop
1004 Cafetaria K : Service
1006 Cost Collector 9 : Common
1008 Plant mainatance B: Maintanance
1009 Quality control N:Quality assurance
1011 Plant Admin C: Administration
2. Assesment
Cost center cafeteria is used by other cost centers as shown in the following table
Allocation method used is assesment.
SKF (no of emplyees) is the allocation criteria.
Ie . Cafetaria charges are to be allocated based on the no of employees .
Note : Cost Center cafeteria itself has 5 employees
Sender CostCenter Reciving cost Center No of emplyees
1004(Cafetaria)
1001 75
1002 100
1003 75
1004(Cafetaria) 5
1008 20
1009 25
3. Periodic Reposting :
To simplify the FI postings we use cost collector cost center. We can post costs like
rent , Electricity charges to cost collector cost center during the period. At period end
we allocate to 3 production cost centers using allocation method periodic reposting.
Rent is to be allocated based on percentage basis
32
©SrinivasaKasireddy©+91-9959765211
Electricity charges is to be allocated based on no of units ie SKF : EU (Electric Units)
Sender CostCenter Reciving cost Center Rent Electricity charges
1006(Cost collector)
1001 50% As recorded
1002 30% As recorded
1003 20% As recorded
4. Distribution:
Cost center plant admin takes care of 3 production cost centers. Costs like salaries of
administration department , stationery charges, vehicle maintanance , travelling
expenses are recorded in the cost center.
At period end we allocate all the costs to 3 production cost centers using allocation
method distribution.
Salaries is to be allocated based on number of employees in the receiver cost center
Stationery charges , vehicle maintanance , travelling expenses are to be allocated
based on percentage basis.
Sender
CostCenter
Reciving cost
Center
Salaries Stat chrges Vhcle maint TrExp
1011(Plant Admin)
1001 75 25% 30% 20%
1002 100 50% 60% 70%
1003 75 25% 10% 10%
5. Indirect activity allocation:
Cost center quality control gives quality check service to 3 production cost centers.
Activity type tesing hours(Tst Hrs) is to be allocated to 3 production cost centers
Quantity of Tst Hrs is allocated based on the number of tested items .
Allocated activity type is Tst Hrs and allocation basis is SKF (test items)Allocation
method used is indirect activity allocation.
Sender CostCenter Reciving cost Center Tested items
1009(Qulatity control)
1001
1002
1003
6. Direct activity allocation:
Cost center plant maintenance gives maintenance service to 3 production cost centers.
Activity type maintenance hours(Mnt Hrs) is to be allocated to 3 production cost centers
33
©SrinivasaKasireddy©+91-9959765211
Actual quantity of Mnt Hrs is recorded in the receiving cost center when the services
are consumed.
Allocated activity type is Mnt Hrs and Allocation method used is direct activity
allocation.
Sender Cost Center Reciving cost Center
1008(Plant maintanance)
1001
1002
1003
34
©SrinivasaKasireddy©+91-9959765211
4. Allocation by Assessment using SKF
SKF(Satistical Key Figures) is used as a basis to allocate costs from one cost centre to
other.If total number of employees in 3cost centers is 300. Cafetaria charges are to be
shared between 3 cost centers based on the number of employees.
Sender CostCenter Reciving cost Center No of emplyees
1004(Cafetaria) 1001 75
1002 25
1003 200
Costs recorded in cost center Cafetaria by FI postings :
Cost Center Primary Cost elements Costs incured
1004(Cafetaria) 400500 (Salaries)
400600(Rent)
45000.00
27000.00
Total cafeteria charges 72000.00
Formula used for allocation : (No of employees /Total no of employees)* Total amount
Eg : Cost allocation for cost center 1001 = (75/300)*72000.00 = 18000.00
Allocation of Cafetaria charges to 3 cost centers:
Sender
CostCenter
Sending
Amount
Sec.Cost element Reciving cost
Center
Allocated
amount
1004(Cafetaria) -18000.00 10000000(Cafetari
a charges)
1001 18000.00
-6000.00 1002 6000.00
-48000.00 1003 48000.00
-72000.00 72000.00
Summary of the above transactions:
Sender
CostCenter
Posted/Allocated
amounts
Prim/Sec Cost
element
Reciving
cost Center
Allocated
amount
1004
(Cafetaria)
45000.00 400500 (Salaries)
27000.00 400600(Rent)
-18000.00 10000000(Cafetaria
charges)
1001 18000.00
-6000.00 1002 6000.00
-48000.00 1003 48000.00
Balance 0.00 Total 72000.00
35
©SrinivasaKasireddy©+91-9959765211
allocation
1. Settings
1. Create Cost Centre
Tcode : KS01
Extras menuSet Controlling Area
Controlling Area : LAP
Enter
Cost Centre : 1004
Valid From : 1.4.2012
Enter
Name : Cafetaria
Descritpion : Cafetaria
Person responsible : MR. k
Cost Center Category : 9 (Allocation cost ctr)
Hierarchy area : STD_HIER
Business Area : LANZ
Currency : INR
Save
Enter to ignore the warning msg
2. Create No. Ranges interval for Business transaction
RKS RKIU
Tcode : KANK
CO Area : LAP
Maintain Groups Button
√ No. Range for CO Document (LAP)
Double click on Business Transactions RKS, RKIU,
Element/Group button
Save
Continue
3. Create SKF
36
©SrinivasaKasireddy©+91-9959765211
Tcode : KK01
SAP Easy AccessAccountingControllingCost Center AccountingMasterData
Statistical Key FiguresIndividual ProcessingCreate (KK01)
Stat. key figure : EMP
Enter
Name : Employee
Stat. key fig. UnM. : EA (Each)
(Unm = Units of Measure)
Fxd val
Save
4. Enter SKF
Tcode : KB31N
Up to Cost Center Accounting same path
Actual PostingsStatistical Key FiguresEnter
Rec. CCtr StatKF Total Quantity
1001 EMP 75
1002 EMP 25
1003 EMP 200
Save
5. Allocation method (Assessment Method):
1. Creation of secondary cost element
Tcode :KA06
SAP Easy AccessAccountingControllingCost Element AccountingMaster Data
Cost ElementIndividual ProcessingCreate Secondary
Cost Element : 10000000
Valid From : 1.4.2012
Enter
Name : Cafetaria charges
Description : Cafetaria charges
CElem category : 42 (Assessment)
Save
…
…
…
…
37
©SrinivasaKasireddy©+91-9959765211
2. Creation of Assessment Cycle
Scenario: Cafetaria charges are to be shared between 3 cost centers based on number of
employees
Option 1:
Assesment cycle 1 for Salaries
and Rent
Segment 1 for Salaries
Segment 2 for Rent
Option 2:
Assesment cycle 1 for
Salaries and Rent
Segment 1 for
Salaries& Rent
Option3:
Assesment cycle 1 for
Salaries
Segment 1 for Salaries
Assesment cycle 2 for Rent
Segment 1 for Rent
We are using option 1 for the following configuration scenario
SPROControllingCost Center AccountingActual PostingsPeriod-End Closing
AssessmentMaintain Assessment
Double click on Create Actual Assessment
Cycle : LAP1
Start Date : 1.4.2012
 Enter
Text : Assesment of Cafertia Charges
Indicators
√ Iterative
Attach segment button
Segment Name : SAL
Description : Salary Assessment
Assessment CEle : 1000000000
Sender Rule : 1 posted amounts
Share in % : 100
Actual value origin
Receiver rule : Variable portions
Var . portion type: Actual Statistical Key Figures
Senders/Receivers tab:
From To Group
Sender
Cost Centre 1004 - -
Cost Element 400500 - -
…
…
…
…
38
©SrinivasaKasireddy©+91-9959765211
Receiver
Cost centre - - PROD
Receiver Tracing Factor tab:
From
Stat. key fig. EMP
Attach segment button
Segment Name : RENT
Description : Rent Assessment
Assessment CEle : 1000000000
Sender Rule : 1 posted amounts
Share in % : 100
Receiver rule : Variable portions
Var . portion type: Actual Statistical Key Figures
39
©SrinivasaKasireddy©+91-9959765211
Sender/Receivers tab
From To Group
Sender
Cost Centre 1004 - -
Cost Element 400600 - -
Receiver
Cost centre - - PROD
Receiver Tracing Factor tab:
From
Stat. key fig. EMP
 Save
Continue
1. Enduser
1. Posting of Rent & Salary in CC 1004
Tcode : F-02
40
©SrinivasaKasireddy©+91-9959765211
40 Salary
40 Rent
50 Cash *
2. Execution of Assessment cycle (Month end activity)
T code : KSU5
Up to Cost Center Accounting same path
Period-End ClosingSingle FunctionsAllocationsAssessment
Period : 5 To 5
Fiscal Year : 2012
√ Test Run
√ Details Lists
Cycle
LAP1
Enter
Execute
Double click on the item
Back button 2 twice
Yes button to leave the list
Test Run
Execute
3. Cost Centre Report
Tcode : KSB1
CostCenter: 1004
Costelement : 10000000
Execute
Back button
CostCenter: 1001 To 1003
Costelement : 1000000000Multiple selection button
Select Single values tab
Single values
1000000000
400500
41
©SrinivasaKasireddy©+91-9959765211
400600
Copy button
Execute
42
©SrinivasaKasireddy©+91-9959765211
5. Allocation by Distribution
Cost center plant admin takes care of 3 production cost centers. Costs like salaries of
administration department , stationery charges, vehicle maintanance , travelling
expenses are recorded in the cost center.
At period end we allocate all the costs to 3 production cost centers using allocation
method distribution.
Salaries is to be allocated based on number of employees in the receiver cost center
Vehicle maintanance are to be allocated based on percentage basis.
Sender CostCenter Reciving cost
Center
Salaries Rent Vhcle maint
1011(Plant Admin)
1001 75 25% 30%
1002 25 50% 60%
1003 200 25% 10%
Costs recorded in cost center Plant admin by FI postings :
Cost Center Primary Cost elements Costs incured
1011(Plant Admin)
400500 (Salaries)
400600(Rent)
Vehicle maintenance
72000.00
18000.00
27000.00
Total Plant admin
charges
81000.00
Sender
CostCenter
Sending
Amount
Cost element Reciving cost
Center
Allocated
amount
1011(Plant
Admin)
-18000.00 400500 (Salaries) 1001 18000.00
-6000.00 1002 6000.00
-48000.00 1003 48000.00
-72000.00 72000.00
400600(Rent)
43
©SrinivasaKasireddy©+91-9959765211
2. Settings
1. Create Cost Centre
Tcode : KS01
Extras menuSet Controlling Area
Controlling Area : LAP
Enter
Cost Centre : 1011
Valid From : 1.4.2012
Enter
Name : Plant Admin
Descritpion : Plant Admin
Person responsible : MR. k
Cost Center Category : C: Administration
Hierarchy area : STD_HIER
Business Area : LANZ
Currency : INR
Save
Enter to ignore the warning msg
2. Create GL account/cost element Vehicle maintenance
G/L account 400203
3. Create No. Ranges interval for Business transaction
RKIV
Tcode : KANK
CO Area : LAP
Maintain Groups Button
√ No. Range for CO Document (LAP)
Double click on Business Transactions RKIV (Actual Overhead Distribution)
Element/Group button
Save
Continue
4. Create SKF (already done)
Tcode : KK01
44
©SrinivasaKasireddy©+91-9959765211
SAP Easy AccessAccountingControllingCost Center AccountingMasterData
Statistical Key FiguresIndividual ProcessingCreate (KK01)
Stat. key figure : EMP
Enter
Name : Employee
Stat. key fig. UnM. : EA (Each)
(Unm = Units of Measure)
Fxd val
Save
5. Enter SKF ((already done))
Tcode : KB31N
Up to Cost Center Accounting same path
Actual PostingsStatistical Key FiguresEnter
Rec. CCtr StatKF Total Quantity
1001 EMP 75
1002 EMP 25
1003 EMP 200
Save
6. Allocation method (Distribution):
1. Creation of Distribution Cycle
Scenario: Plant admin charges are to be shared between 3 cost centers based on different
criteria
Option 1:
Cycle 1 for Salaries and Rent
Segment 1 for Salaries
Segment 2 for Rent
Segment 3 for Vehicle
maintenance
Option 2:
Cycle 1 for Salaries and
Rent
Segment 1 for
Salaries, Rent
& Vehicle maintenance
Option3:
Cycle 1 for Salaries
Segment 1 for Salaries
Assesment cycle 2 for Rent
Segment 1 for Rent
Assesment cycle 3 for Vehicle
maintenance
Segment 1 for Vehicle
…
…
…
…
45
©SrinivasaKasireddy©+91-9959765211
maintenance
We are using option 1 for the following configuration scenario
SPROControllingCost Center AccountingActual PostingsPeriod-End Closing
DistributionDefine Distribution
Double click on Create Actual Distribution
Cycle : LAP2
Start Date : 1.4.2012
 Enter
Text : Plant admin costs distribution
Indicators
√ Iterative
Attach segment button
Segment Name : SAL
Description : Salary Distrbution
Sender Rule : 1 posted amounts
Share in % : 100
Actual value origin
Receiver rule : Variable portions
Var . portion type: Actual Statistical Key Figures
Senders/Receivers tab:
From To Group
Sender
Cost Centre 1011 - -
Cost Element 400500 - -
Receiver
Cost centre - - PROD
…
…
…
…
46
©SrinivasaKasireddy©+91-9959765211
Receiver Tracing Factor tab:
From
Stat. key fig. EMP
Attach segment button
Segment Name : RENT
Description : Rent Distribution
Sender Rule : 1 posted amounts
Share in % : 100
Receiver rule : Fixed percentages
Sender/Receivers tab
From To Group
Sender
Cost Centre 1011 - -
47
©SrinivasaKasireddy©+91-9959765211
Cost Element 400600 - -
Receiver
Cost centre - - PROD
Receiver Tracing Factor tab:
Cost Ctr Portion/percent
1001 25%
1002 50%
1003 25%
Attach segment button
Segment Name : Veh
Description : Vehcile maintance distribution
Sender Rule : 1 posted amounts
Share in % : 100
Receiver rule : Fixed percentages
Sender/Receivers tab
From To Group
Sender
Cost Centre 1011 - -
Cost Element 400203 - -
Receiver
Cost centre - - PROD
Receiver Tracing Factor tab:
Cost Ctr Portion/percent
1001 30%
1002 60%
1003 10%
 Save
Continue
2. Enduser
48
©SrinivasaKasireddy©+91-9959765211
4. Posting of Rent , Salary ,Veh maintanance in CC 1011
Tcode : F-02
40 Salary 45000
40 Rent 27000
40 Vehcile maintance 18000
50 Cash *
5. Execution of Distribution cycle (Month end)
T code : KSV5
Up to Cost Center Accounting same path
Period-End ClosingSingle FunctionsAllocationsDistribution
Period : 5 To 5
Fiscal Year : 2012
√ Test Run
√ Details Lists
Cycle
LAP2
Enter
Execute
Back button
Yes button to leave the list
Test Run
Execute
6. Cost Centre Report
Tcode : KSB1
CostCenter: 1011
Costelement : 400500, 400600,400203
Execute
Back button
CostCenter: 1001 To 1003
Costelement : 400500, 400600,400xxx
Select Single values tab
Single values
49
©SrinivasaKasireddy©+91-9959765211
400xxx
400500
400600
Copy button
Execute
50
©SrinivasaKasireddy©+91-9959765211
6. Allocation by Periodic Reposting
To simplify the FI postings we use cost collector cost center. We can post costs like
rent , Electricity charges to cost collector cost center during the period. At period end
we allocate to 3 production cost centers using allocation method periodic reposting.
Rent is to be allocated based on percentage basis
Electricity charges is to be allocated based on no of units ie SKF : EU (Electric Units)
Sender CostCenter Reciving cost Center Rent Electricity charges
1006(Cost collector)
1001 50% As recorded
1002 30% As recorded
1003 20% As recorded
1. Settings
1. Create Cost Centre
Tcode : KS01
Extras menuSet Controlling Area
Controlling Area : LAP
Enter
Cost Centre : 1006
Valid From : 1.4.2012
Enter
Name : Cost collector
Descritpion : Cost collector
Person responsible : MR. k
Cost Center Category : 9 Allocation
Hierarchy area : STD_HIER
Business Area : LANZ
Currency : INR
Save
Enter to ignore the warning msg
51
©SrinivasaKasireddy©+91-9959765211
2. Create GLa/c & cost element Elec Charges
G/L account : 400392
3. Create No. Ranges interval for Business transaction
RKIB
Tcode : KANK
CO Area : LAP
Maintain Groups Button
√ No. Range for CO Document (LAP)
Double click on Business Transactions RKIB (Actual Periodic Repostings)
Element/Group button
Save
Continue
4. Create SKF
Tcode : KK01
SAP Easy AccessAccountingControllingCost Center AccountingMasterData
Statistical Key FiguresIndividual ProcessingCreate (KK01)
Stat. key figure : EU
Enter
Name : Electrical Units
Stat. key fig. UnM. : KWH
(Unm = Units of Measure)
Tot val
Save
5. Allocation method (Periodic Reposting):
1. Creation of Periodic Reposting cycle
SPROControllingCost Center AccountingActual PostingsPeriod-End Closing
Periodic RepostingDefine Periodic Reposting
Double click on Create Actual Periodic Reposting
…
…
…
…
52
©SrinivasaKasireddy©+91-9959765211
TCode : KSW1
Cycle : LAP3
Start Date : 1.4.2012
 Enter
Text : Prim costs reposting
Indicators
√ Iterative
Attach segment button
Segment Name : ELEC
Description : Elcricity bills reposting
Sender Rule : 1 posted amounts
Share in % : 100
Actual value origin
Receiver rule : Variable portions
Var . portion type: Actual Statistical Key Figures
Senders/Receivers tab:
From To Group
Sender
Cost Centre 1006 - -
Cost Element 400392 - -
Receiver
Cost centre - - PROD
Receiver Tracing Factor tab:
From
Stat. key fig. EU
…
…
…
…
53
©SrinivasaKasireddy©+91-9959765211
Attach segment button
Segment Name : RENT
Description : Rent reposting
Sender Rule : 1 posted amounts
Share in % : 100
Receiver rule : Fixed percentages
Sender/Receivers tab
From To Group
Sender
Cost Centre 1006 - -
Cost Element 400600 - -
Receiver
Cost centre - - PROD
Receiver Tracing Factor tab:
Cost Ctr Portion/percent
1001 50%
1002 20%
1003 30%
Save
3. Enduser
7. Posting of Rent , Elc bills , in CC 1006
Tcode : F-02
54
©SrinivasaKasireddy©+91-9959765211
40 Elc bills 45000
40 Rent 27000
50 Cash *
8. Enter SKF (Month end)
Tcode : KB31N
Up to Cost Center Accounting same path
Actual PostingsStatistical Key FiguresEnter
Rec. CCtr StatKF Total Quantity
1001 EU 750
1002 EU 250
1003 EU 2000
Save
9. Execution of Periodic reposting cycle (month end)
T code : KSW5
Up to Cost Center Accounting same path
Period-End ClosingSingle FunctionsPeriodic Reposting
Period : 5 To 5
Fiscal Year : 2012
√ Test Run
√ Details Lists
Cycle
LAP3
Enter
Execute
Back button
Yes button to leave the list
Test Run
Execute
10. Cost Centre Report
55
©SrinivasaKasireddy©+91-9959765211
Tcode : KSB1
CostCenter: 1006
Execute
Back button
CostCenter: 1001 To 1003
Costelement : 400600Multiple selection button
Select Single values tab
Single values
400600
400392
Copy button
Execute
56
©SrinivasaKasireddy©+91-9959765211
7. Indirect Activity Allocation using SKF
Cost center quality control gives quality check service to 3 production cost centers.
Two activity types are used .
1.Testing hours-Manual (Act type category = 2 Indirect determination, indirect
allocation)
2.Testing hours-Automated(Act type category =3 Manual entry, indirect allocation)
Both activity types are allocated on the basis of SKF (test items) . Allocation method
used is indirect activity allocation.
Splitting :
Costs that incured in the costcenter quality control are to be split between the two
activity types . For that we need to define Splitting Structure and assign to the cost
center.
Actual activity valuation :
During allocation activity quantity is valuated with plan price or manually set price
initially when actual price calculation is not done. At the time of actual price calculation
we can optionally revaluate the allocated activity. Variance amount is posted .
After revaluation process sender balance will be zero .
Settings for price calculation ,revaluation and cost component structure :
During Version maintenance we can make settings for price calculation and revaluation
on fiscal year basis.
In the Activity type master data we maintain actual price indicator 5 or 6.
57
©SrinivasaKasireddy©+91-9959765211
Sender CostCenter Reciving cost Center Tested items
1009(Qulatity control)
1001 300
1002 200
1003 220
Costs recorded in cost center Quality control by FI postings :
Cost Center Primary Cost elements Planned Costs
1009 (Quality control) 400500 (Salaries)
400600(Rent)
45000.00
27000.00
Total charges 72000.00
58
©SrinivasaKasireddy©+91-9959765211
1. Settings
1. Create Cost Centre
Tcode : KS01
Extras menuSet Controlling Area
Controlling Area : LAP
Enter
Cost Centre : 1009
Valid From : 1.4.2012
Enter
Name : Quality control
Descritpion : Quality control
Person responsible : MR. k
Cost Center Category : N (Quality Assurance)
Hierarchy area : STD_HIER
Business Area : LANZ
Currency : INR
Save
Enter to ignore the warning msg
2. Create No. Ranges interval for Business transaction
RKL , RKN, KSI0,KSII
Tcode : KANK
CO Area : LAP
Maintain Groups Button
√ No. Range for CO Document (LAP)
Double click on Business Transactions RKL,RKN,RKIL, KSI0,KSII
Element/Group button
Save
Continue
3. Create SKF
Tcode : KK01
SAP Easy AccessAccountingControllingCost Center AccountingMasterData
59
©SrinivasaKasireddy©+91-9959765211
Statistical Key FiguresIndividual ProcessingCreate (KK01)
Stat. key figure : ITEM
Enter
Name : Testing items
Stat. key fig. UnM. : EA (Each)
(Unm = Units of Measure)
Tot Values
Save
4. Creation of secondary cost element
Tcode :KA06
SAP Easy AccessAccountingControllingCost Element AccountingMaster Data
Cost ElementIndividual ProcessingCreate Secondary
Cost Element : 1000000026
Valid From : 1.4.2012
Enter
Name : Testing chrges-Manual
Description : Testing charges Manual
CElem category : 43 (Internal activity allocation)
Save
5. Creating Activity Type Testing hours-Manual
SAP Easy Access Accounting  Controlling  Cost Center Accounting Master
Data 
Activity type Individual Processing Create
Tcode: KL01
Activity Type : TSHRM
Valid From : 1.4.2011 to 31.12.9999
Enter
Name : Testing Hours--Manual
Description : Testing Hours-Manual
Activity Unit : H
CCtr categories : * (All Cost Centre Categories)
Allocation of default values
ATyp Category :
Allocation Cost Element : 1000000026
Price indicator : 1
…
…
…
…
60
©SrinivasaKasireddy©+91-9959765211
Variation Values for Actual Alloccation
Actl Acty Type Cat. : Blank As in planning
Act. price indicator : 5 Actual price, automatically based on activity
Save
6. Creation of secondary cost element
Tcode :KA06
SAP Easy AccessAccountingControllingCost Element AccountingMaster Data
Cost ElementIndividual ProcessingCreate Secondary
Cost Element : 1000000027
Valid From : 1.4.2012
Enter
Name : Testing charges-Automated
Description : Testing charges- Automated
CElem category : 43 (Internal activity allocation)
Save
7. Creating Activity Type Testing hours-Automated
SAP Easy Access Accounting  Controlling  Cost Center Accounting Master
Data 
Activity type Individual Processing Create
Tcode: KL01
Activity Type : TSHRA
Valid From : 1.4.2011 to 31.12.9999
Enter
Name : Testing Hours- Automated
Description : Testing Hours-Automated
Activity Unit : H
CCtr categories : * (All Cost Centre Categories)
ATyp Category : 3 (Manual Entry & Indirect Allocation)
Allocation Cost Element : 1000000027
Price indicator : 1 Plan price, automatically based on activity
Actl Acty Type Cat. : Blank As in planning
Act. price indicator : 5 Actual price, automatically based on activity
61
©SrinivasaKasireddy©+91-9959765211
Save
8. Creating Cost Element Group
TCode :KAH1
CO Area : LAP
Cost element group : OH_COST
Enter
Description : OH Cost
Cost Element button
400500
400600
Save
9. Creating Activity Type Group
TCode :KLH1
CO Area : LAP
Activity Type group : TEST
Enter
Description : Testing
Activity Type button
TSHRA
TSHRM
Save
10. Define Splitting Structure
TCode : OKES
SPROControllingCost Center AccountingActual PostingsPeriod-End Closing
 Activity Allocation SplittingDefine Splitting Structure
Double click on ‘Splitting rules’ folder
New Entries
Rule Text Meth Wt
LAP1 21 .
Enter
Select rule ‘LAP1’
62
©SrinivasaKasireddy©+91-9959765211
Double click on ‘Selection for rules’ folder
New Entries
Field Label From Value
Version 0 (Co area LAP/ version 0)
Double click on ‘Splitting Structures’ folder
New Entries
Structur
e
Text
L1 LAP Splitting Structure
Enter
Select structure ‘L1’
Double click on ‘Assignments’ folder
New Entries
Assignment Text Rule Text
LA1 LAP1
Enter
Select assignment ‘LA1’
Double click on ‘Selection for assignments’ folder
New Entries
Field Label From Value To Value Group
Cost Element
Acivity Type
Save
Continue
63
©SrinivasaKasireddy©+91-9959765211
11. Assign Splitting Structure to Cost Centers
Same Path
Cost centre : 1009
All versions
Fiscal Year : 201x
Change button
√ 1009
Click on ‘L1’ under splitting Structures
Assign button( )
Save
Continue
Category 3 Direct entry
Indirect Allocation
Category 2 Indirect entry Indirect Allocation
Planning :
Activity planning allowed Activity planning not allowed
Price can be calculated Price cant be calculated because sender quantity is
unknown
Actual:
Enter Sender Activity Enter Sender Activity not allowed
Price can be calculated Price cant be calculated sender quantity is unknown
Quantity and cost can be
allocated
Only quantity can be allocated
Sender quantity is determined only after activity
allocation
Then only we can calculate the price
Sender Quantity : 720 hrs
Allocated Quantity :
300+200+220 hrs
Allocation Basis :
300:200:220 items
Allocated quantity : 300*1hr +200*1hr+220*1hr = 720 hr
720 items *1hr = 720 hrs
…
…
…
…
…
…
…
…
64
©SrinivasaKasireddy©+91-9959765211
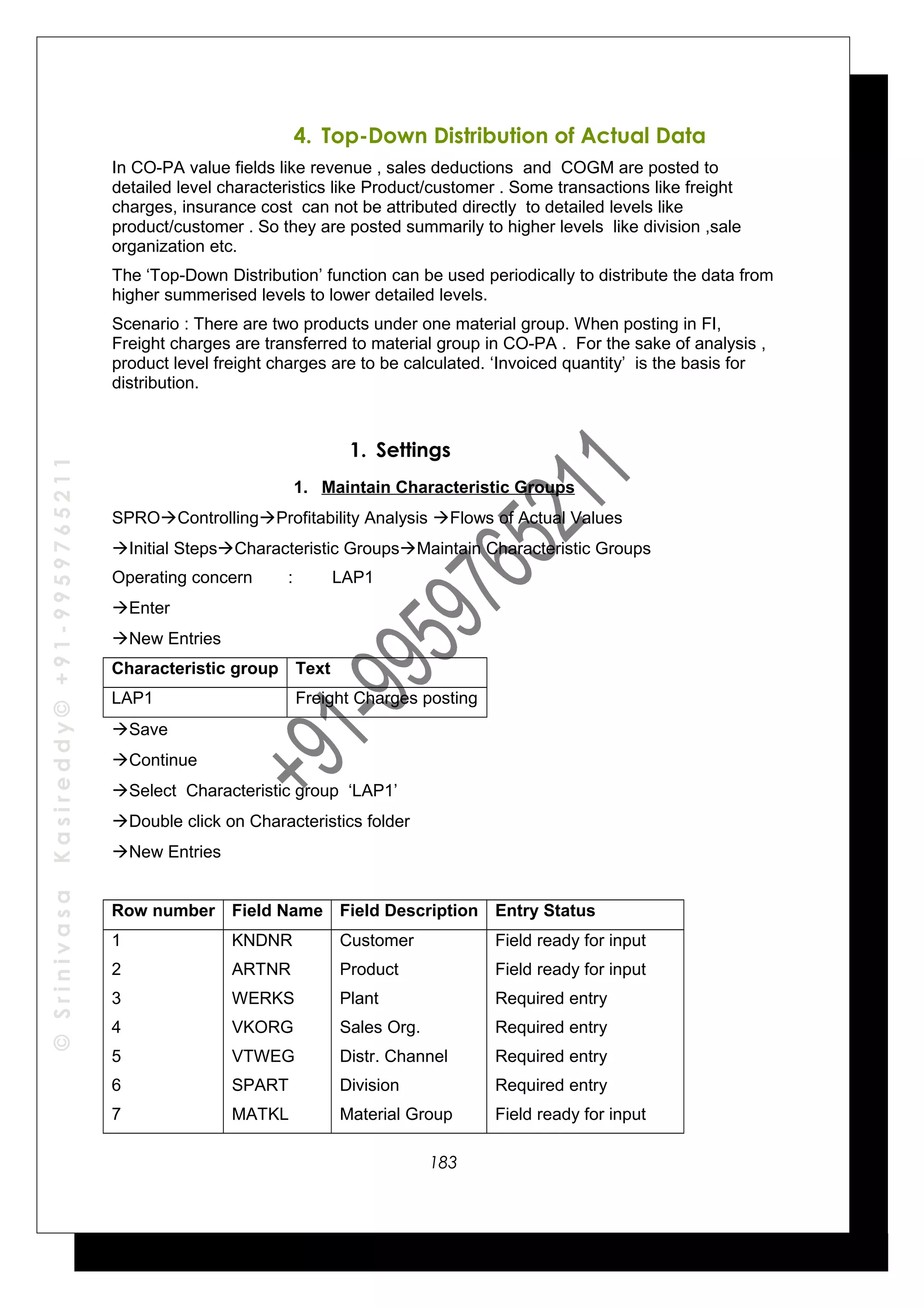
12. Define Cost Component Structure
SPROControllingCost Center AccountingActual PostingsPeriod-End Closing
 Activity AllocationPrice CalculationSettings for Cost Component Split Define
Cost Component Structure
TCode:OKTZ
 Double click on Define Cost Component Structure folder
Select Cost Comp Str ‘01’
Copy As button
Cost Comp
Str
Active Prim.Cost Comp .Split Name
L2 √ √ LAP Actvity Cost Comp Str
Enter
Enter to confirm the message
Select Cost Comp Str ‘L2’
Double Click on ‘Cost Components with Attributes’ folder
Change the name as shown in the table
Cost Comp
Str
Cost Com Name of Cost Comp
L2 10
L2 30
L2 50
L2 90
Delete the remaining cost components
Save
Double Click on ‘Assignment :Cost Component – Cost Element Interval’ folder
New Entries button
Cost Comp
Str
Chart of Accts From cost el. Cost Component
L2 LACA 30
L2 LACA 50
L2 LACA 90
Save
 Double click on Define Cost Component Structure folder
Cost Comp
Str
Active Prim.Cost Comp .Split Name
L2 √ √ LAP Actvity Cost Comp Str
65
©SrinivasaKasireddy©+91-9959765211
Save
13. Change Revaluation/Price calculation/Cost comp
Structure settings in Version 0
TCode : OKEQ
SPROControlling General ControllingOrganizationMaintain Versions
Select version ‘0’
Double click on ‘Settings for Each Fiscal Year ’ folder
Controlling Area : LAP
Version : 0
Enter
Double click on the current fiscal year
Price calculation tab
Purely Iter. Price
Plan
Method : Periodic price
Actual
Method : Periodic price
Revaluation : Same line
Cost Comp. Str. :
Save
(Repeat the process for other fiscal years)
14. Allocation method (Indirect Activity Allocation):
1. Creation of Indirect Activity Allocation Cycle
TCode : KSC1
SPROControllingCost Center AccountingActual PostingsPeriod-End Closing
 Activity Allocation  Indirect Activity AllocationDefine Indirect Activity Allocation
Double click on Create actual indirect activity allocation
Cycle : LAP4
66
©SrinivasaKasireddy©+91-9959765211
Start Date : 1.4.2012
 Enter
Text : Allocation of testing activity
Attach segment button
Segment Name : TEST_A
Description : Tstng hr-Automate Allocation
Sender Rule : 1 posted quantities
Share in % : 100
Actual value origin
Receiver rule : Variable portions
Var . portion type: Actual Statistical Key Figures
Senders/Receivers tab:
From To Group
Sender
Cost Centre 1009 - -
Activity Type TSHRA - -
Receiver
Cost centre - - PROD
Receiver Tracing Factor tab:
From
Stat. key fig. ITEM
Attach segment button
Segment Name : TEST_M
Description : Tstng hr-Manual Allocation
Sender Rule : Quantities caulated inversly
Share in % : 100
Actual values
Receiver rule : Variable portions
Var . portion type: Actual Statistical Key Figures
Senders/Receivers tab:
From To Group
…
…
…
…
…
…
…
…
67
©SrinivasaKasireddy©+91-9959765211
Sender
Cost Centre 1009 - -
Activity Type TSHRM - -
Receiver
Cost centre - - PROD
Sender Values tab:
Sender
Cost Ctr ActTyp Factor per 100 AUn
1009 TSHRM 100 H
Receiver Tracing Factor tab:
From
Stat. key fig. ITEM
Save
2. Enduser
1. CC Planning
Tcode : KP06
Version : 0
From Period : 1
To Perod : 12
Fiscal Year : 201
Cost centre : 1009
Cost element group: OH_COST
Form based
Overview Screen button
Costelement Plan fixed cost Distribution
400500 1 (Equal distribution)
400600 1
Post
2. Activity planning for TSHRA/ TSHRM
…
…
…
…
68
©SrinivasaKasireddy©+91-9959765211
SAP Easy AccessAccountingControllingCost Centre
AccountingPlanningActivity
Ouput /PricesChange
Tcode : KP26
Version : 0
From Period : 2
To Perod : 2
Fiscal Year : 2011
Cost centre : 1009
Activity Type group: TEST
Form based
Overview Screen button
Activity Type Plan Activity EquiNo
TSHRA 1
TSHRM 2
(EquNo is the basis for splitting)
Make sure the activity type category is correct before posting and going further.
Post
3. Splitting (Planned cost)
TCode : KSS4
Same path
Controlling Area : LAP
Enter
Cost centre : 1009
…
…
…
…
…
…
…
…
69
©SrinivasaKasireddy©+91-9959765211
Version : 0
Period : 3
Fiscal Year : 201x
√ Test Run
√ Details List
Execute
(Splitting should be in 2:1 ratio )
Cost Element button(to cost element wise splitting)
Back button
Yes button to leave the list
Test Run
Execute
4. Calculating Activity Price(planned) for TSHRA
Upto Cost Centre Accounting same path
PlanningAllocationsPrice Calculation
Tcode : KSPI
All Cost Centres
Version : 0
Period : 2 To 2
Fiscal Year : 2011
√ Test Run
√ Details List
Execute
Display primary cost component split :
…
…
…
…
70
©SrinivasaKasireddy©+91-9959765211
Select a line Goto menuComponents
Save
Enter
Back button
(Activity price only calculated for TSHRA and should be 33.33 )
5. Enter SKF
Tcode : KB31N
Up to Cost Center Accounting same path
Actual PostingsStatistical Key FiguresEnter
Rec. CCtr StatKF Total Quantity
1001 ITEM 300
1002 ITEM 200
1003 ITEM 220
Save
6. Posting of Rent & Salary in CC 1009
Tcode : F-02
40 Salary
40 Rent
50 Cash *
71
©SrinivasaKasireddy©+91-9959765211
7. Sender activities for TSHRA
TCode :KB51N
Send. CCtr SAtyTyp Total Quantity
1009 TSHRA
Save
8. Indirect Activity Allocation
T code : KSC5
Up to Cost Center Accounting same path
Period-End ClosingSingle FunctionsAllocations Indirect Activity Allocation
Period : 5 To 5
Fiscal Year : 2012
√ Test Run
√ Details Lists
Cycle
LAP4
Enter
Execute
Segments button
Select segment ‘TEST_A’
Line items button( )
Unhide total quantity column.
(Quantity and costs are allocated . Actiivty type is valuated with planned price.)
Back button
Select segment ‘TEST_M’
Line items button( )
72
©SrinivasaKasireddy©+91-9959765211
(Only quantity is allocated as planned price/manually set price is not availlable.)
Back button 2 twice
Yes button to leave the list
Test Run
Execute
9. Cost Centre Report
Tcode : KSB1
CostCenter: 1009
Execute
(Only quantity is allocated for activity type TSHRM .
Both quantity and cost both are allocated for activity type TSHRA )
73
©SrinivasaKasireddy©+91-9959765211
10. Price Calculation(Actual)
T code : KSII
Up to Cost Center Accounting same path
Period-End ClosingSingle FunctionsPrice Calculation
All Cost Centres
Period : 2 To 2
Fiscal Year : 2011
√ Test Run
√ Details List
Execute
(Activity price should be 37.00 For TSHRA 75 for TSHRM)
Save
Yes button
Back button
11. Cost Centre Report
Tcode : KSB1
CostCenter: 1009
Execute
…
…
…
…
74
©SrinivasaKasireddy©+91-9959765211
(Apart from quantity allocated , costs allocated should be displayed for TSHRM.
For TSHRA diference amount is posted)
75
©SrinivasaKasireddy©+91-9959765211
8. Direct Activity Allocation
Cost center plant maintenance gives maintenance service to 3 production cost centers.
Activity type to be allocated is Maintenance hours(MNTHR) of category 1 ie Manual
entry, manual allocation
Sender Cost Center Reciving cost Center
1008(Plant maintanance)
1001
1002
1003
Business transaction involved is RKL . Allocation method is called direct activity
allocation.
The allocated activity quantities are entered directly using TCode KB21N .
(Eg :Sender can be OH cost center and receiver can be a production cost center )
or
Direct allocation happens automatically through production order confirmations (TCode
: CO11N)
(Eg : Sender is production cost center receiver is a cost object . Cost object can be a
production order or a product cost collector)
In this scenario activity type is valuated initially by planned price which is set
manually(plan price indicator 3 ). At the time of actual price calculation activity type is
revaluated and difference is allocated to receivers.
1. Settings
1. Create Cost Centre
Tcode : KS01
Extras menuSet Controlling Area
Controlling Area : LAP
Enter
Cost Centre : 1008
Valid From : 1.4.2012
Enter
Name : Plant maintanance
Descritpion : Plant maintanance
Person responsible : MR. k
76
©SrinivasaKasireddy©+91-9959765211
Cost Center Category : 2
Hierarchy area : STD_HIER
Business Area : LANZ
Currency : INR
Save
Enter to ignore the warning msg
2. Creation of secondary cost element
Tcode :KA06
SAP Easy AccessAccountingControllingCost Element AccountingMaster Data
Cost ElementIndividual ProcessingCreate Secondary
Cost Element : 1000000029
Valid From : 1.4.2012
Enter
Name : Plant Maintenance Charges
Description : Plant Maintenance Charges
CElem category : 43 (Internal activity allocation)
Save
3. Creating Activity Type Maintenance hours
SAP Easy Access Accounting  Controlling  Cost Center Accounting Master
Data 
Activity type Individual Processing Create
Tcode: KL01
Activity Type : MNTHR
Valid From : 1.4.2011 to 31.12.9999
Enter
Name : Maintenance hours
Description : Maintenance hours
Activity Unit : H
CCtr categories : * (All Cost Centre Categories)
ATyp Category :
Allocation Cost Element : 1000000029
77
©SrinivasaKasireddy©+91-9959765211
Price indicator : 3 Determined manually
Act. price indicator : 5 Actual price, automatically based on activity
Save
4. Create No. Ranges interval for Business transaction
RKL
Tcode : KANK
CO Area : LAP
Maintain Groups Button
√ No. Range for CO Document (LAP)
Double click on Business Transactions RKL,
Element/Group button
Save
Continue
2. Enduser
1. Posting of Rent & Salary in CC 1008
2. Cost Centre Report
Tcode : KSB1
CostCenter: 1008
Execute
3. Set Activity price(planned) manually
SAP Easy AccessAccountingControllingCost Centre
AccountingPlanningActivity
Ouput /PricesChange
Tcode : KP26
Version : 0
From Period : 1
To Perod : 12
Fiscal Year : 2011
Cost centre : 1008
Activity Type : MNTHR
Form based
Overview Screen button
…
…
…
…
78
©SrinivasaKasireddy©+91-9959765211
Activity Type Fixed price
MNTHR 100
Make sure the activity type category, price indicator is correct before posting and
going further.
Post
4. Direct Activity Allocation
TCode :KB21N
Up to Cost Center Accounting same path
Actual PostingsActivity AllocationEnter
Scrn var.: Cost center Input Type : List Entry
Send. CCtr SAtyTyp Rec.CCtr Total Quantity
Post
5. Cost Centre Report
Tcode : KSB1
CostCenter: 1008
Execute
6. Price Calculation
T code : KSII
Up to Cost Center Accounting same path
Period-End ClosingSingle FunctionsPrice Calculation
79
©SrinivasaKasireddy©+91-9959765211
Cost Centre group
Period : 2 To 2
Fiscal Year : 2011
√ Test Run
√ Details List
Execute
(Activity price should be 112.50)
Save
Yes button
Back button
7. Cost Centre Report
Tcode : KSB1
CostCenter: 1008
Execute
(Balance should be 0 in the sender CC )
…
…
…
…
80
©SrinivasaKasireddy©+91-9959765211
9. Internal Orders(I.O)
Scenario1 : (Telephone wise expenses )
There is one GL account ‘Telephone Expenses’ and there are 5 telephones
Problem : How to record telephone wise expenses ?
Solution : Create an I.O for each telephone. While posting Tel phone expenses
in FI, TeI No can be entered in Internal order field.
Scenario 2 : (Vehicle wise expenses)
There is one GL account ‘Petrol Exp’ and one GL account ‘Vehicle Maintenance’ and
there are 10 vehicles.
Problem : How to display vehicle wise expenses.
Solution : Create an I.O for each vehicle
Scenario 3 : (Event wise expenses)
There is a cost centre for ‘sales department’. Several activities like promotional events
happen in the department. For every event certain expenses incur .
Problem : Event wise expenses are to be recorded.
Solution : Create an I.O for each event .
Cost Centre & Internal Orders :
Internal Orders are of two types Real and Statistical.
Statistical IO : are used merely for reporting purpose.
In the following two cases, CC is the real CO -object and IO is statistical object.
Case1 :
While posting in FI , CO-object like Cost centre should be entered apart from IO .
81
©SrinivasaKasireddy©+91-9959765211
Case2 :
IO can be assigned to a CC(as shown in the next image).
While posting in FI, only IO need to be entered.
Real IO : are used for settlement purpose .While posting in FI , only IO should be
entered. Amount in the IO can be settled to Cost centre(s) later . Balance in the IO
becomes zero after complete settlement .
1. Settings
1. Creation of internal Order Types
SPROControllingInternal ordersOrder Master DataDefine Order types
New Entries
Order category : 01 ie Internal Order (Controlling)
Enter
Order type : TEL
Description : Telephone
Planning profile : 000001
Object class : Overhead cost
√ Release immediately
Assign/change interval button (next to Number range interval)
82
©SrinivasaKasireddy©+91-9959765211
Yes button
Continue
Not assigned
Click on TEL
Element/Group button
Double click on ‘Motor pool A-zzzzzzzz(external)’
Save
Continue
2. Creation of FS Group
Tcode:OBC4
Select FStV ‘LAFS’
Double click on Field status groups folder
 Select Field status group ‘G002’
Copy as button
Change the Field Status group to ‘G015’
Change the Text to ‘Cost accounts (CC req &IO Optinl) ‘
Enter
Double click on FSG ‘G015’
Double click on ‘Additional account assignment’
Optional.Entry
CO/PP order
Save
Continue
3. Creation of Tel expenses A/C
Tcode : FS00
Select GL account 400500 Salaries
Copy button
GL account: 400581
Enter
Change the Description to ‘Telephone expenses’
Create/Bank/interest tab
Change Field status group to ‘G015’
Save
…
…
…
…
83
©SrinivasaKasireddy©+91-9959765211
Edit Cost element button
Valid from : 1.4.2.2012
Enter
Cost Elem Category : 01
Save
4. Creation of Internal order
Tcode: KO01
SAP Easy AccessAccountingControllingInternal OrdersMaster DataSpecial
FunctionsOrderCreate
Order type : TEL
Enter
Order : Tel 040230900
Description : Tel 040230900
Company Code : LAP
Business area : LANZ
Control data Tab
√ Statistical order
Info:Select the check box to make it a statistical IO , else it will be a Real IO
Save
Order type : TEL
Enter
Order : Tel040230901
Description : Tel040230901
(Other fields same as before)
Save
5. Creation of IO group
Tcode : KOH1
Same path upto Master DataOrder Group
Create
Order Group : HYD_TEL
Enter
Description : Hyd telephones
Insert order button
84
©SrinivasaKasireddy©+91-9959765211
HYD_TEL
Tel040230900
Tel040230901
Save
2. End User
1. Posting Telephone Expenses
Tcode :F-02
PstKy : 40 Account : 400581
Enter
Amount : 18000
Cost centre : 1001 Order : TEL040230900
Text : Telephone expenses
PstKy : 50 Account : 200691
Enter
Amount : *
Business area : LANZ
Text : +
Document MenuSimulate
Post
Post one more document for IO TEL040230901
2. Display IO Report
Tcode :KOB1
Up to Internal Orders same pathInformation System Reports for Internal
OrdersLine
itemsOrders: Actual Line Items
Order Group : HYD_TEL
Cost element : 400581
Execute
3. Planning order wise
Tcode : KPF6
Up to Internal Orders same path
PlanningCosts & Activity inputsChange
Version : 0
85
©SrinivasaKasireddy©+91-9959765211
From period : 1
To period : 12
Fiscal Year : 2012
Order group : HYD_TEL
Cost Element : 400581
Form-Based
Overview Screen button
Total plan costs Distribution key
240000 1
Next Combination button (Down arrow)
Total plan cost Distribution key
120000 1
Save
4. Display Variance Reports
Up to Internal Orders same path
Information SystemReports for Internal OrdersPlan/Actual Comparisons
Order: Actual/Plan /Variance
Controlling area : LAP
Fiscal Year : 2012
From Period : 5
To Period : 5
Plan version : 0
Order group : HYD_TEL
Cost element group : Blank
Or value(s) : 400581
Execute
…
…
…
…
86
©SrinivasaKasireddy©+91-9959765211
10. Real IO with settlement to CC
Eg : Real IO : Promtional event
Real IO : are used for settlement purpose .While posting in FI , only IO should be
entered. Amount in the IO can be settled to Cost centre(s) later . Balance in the IO
becomes zero after complete settlement .
Requirement : Costs should be captured under a promotional event for the sake of
analysis.
Also the costs should be recorded in CC ‘Sales promotion’.
1. Settings
1. Creation of FS Group
Tcode:OBC4
Select FStV ‘LAFS’
Double click on Field status groups folder
 Select Field status group ‘G002’
Copy as button
Change the Field Status group to ‘G016’
Change the Text to ‘Cost accounts (CC &IO Optinl) ‘
Enter
Double click on FSG ‘G016’
Double click on ‘Additional account assignment’
Opt.Entry
Cost Center
CO/PP order
Save
Continue
2. Creation of G/L Promotional expenses
…
…
…
…
…
…
…
…
87
©SrinivasaKasireddy©+91-9959765211
Tcode : FS00
Select GL account 400500 Salaries
Copy button
GL account: 400518
Enter
Change the Description to ‘Promotional expenses’
Create/Bank/interest tab
Change Field status group to ‘G016’
Save
Edit Cost element button
Valid from : 1.4.2.2012
Enter
Cost Elem Category : 01
Save
3. Creation of secondary cost element
Tcode :KA06
SAP Easy AccessAccountingControllingCost Element AccountingMaster Data
Cost ElementIndividual ProcessingCreate Secondary
Cost Element : 1000000036
Valid From : 1.4.2012
Enter
Name : Promotional Expenses
Description : Promotional Expenses
CElem category : 21 (Internal Settlment)
Save
4. Create Cost Center
Tcode : KS01
Extras menuSet Controlling Area
Controlling Area : LAP
Enter
Cost Centre : 1017
Valid From : 1.4.2012
Enter
88
©SrinivasaKasireddy©+91-9959765211
Name : Sales &Promotion
Descritpion : Sales &Promotion
Person responsible : MR. k
Cost Center Category : P Sales & Marketing
Hierarchy area : STD_HIER
Business Area : LANZ
Currency : INR
Save
Enter to ignore the warning msg
5. Maintain allocation structure:
SPROControlling Internal ordersActual posting SettlementMaintain
allocation structures
New Entries
Allocation structure : L1
Text : IO-->CC settlment LAP
Save
Continue
Select Allocation structure ‘L1’
Double click on Assignments folder
New entries
Assignment : LA1
Text : Promotional Expenses
Save
Select ‘LA1’
Double click on Source folder
Controlling Area : LAP
Enter
89
©SrinivasaKasireddy©+91-9959765211
From cost element : 400518 expenses
Save
Continue
Double click on Settlement cost elements folder
New entries button
Receiver cat By cost element Settlement cost
elem
Name
CTR . 1000000036 Promotional Expense
Save
6. Maintain settlement profiles:
Same path
Double click on Maintain settlement profiles
New entries
Settlement profiles : LAP1
Description : IOCC LAP
To be settled in full
Allocation structure : L1
Indicators
√ 100%-validation
√ %-Settlement
√ Equivalence number
√ Amount settlement
Valid receivers
Cost center : Settlement Required
…
…
…
…
90
©SrinivasaKasireddy©+91-9959765211
Other Parameters
Document type : SA
Max.no. distribution rules : 999
Residence time : 3 months
Save
Continue
7. Creation of internal Order Types
SPROControllingInternal ordersOrder Master DataDefine Order types
New Entries
Order category : 01 ie Internal Order (Controlling)
Enter
Order type : PEVT
Description : Promo Events
General parameters
Settlement prof. : LAP1
Planning profile : 000001
Object class : Overhead cost
√ Release immediately
Assign/change interval button (next to Number range interval)
Yes button
Continue
Not assigned
Click on PEVT
Element/Group button
Double clikc on ‘Motor pool A - ZZZZZZZZZZZZ (external)’
Save
8. Maintain number range for settlement documents:
Same path
91
©SrinivasaKasireddy©+91-9959765211
TCode : SNUM
Maintain groups button
Create button
Group : Settlemnt Docs LAP
From No. To Number
090000000 0999999999
Save
Continue
Back button
Non-Assigned Elements
Click on LAP
Element/Group button
Double click on Settlemnt Docs LAP
Save
9. Maintain Number Ranges for Bus transaction KOAO
Tcode :KANK
CO Area : LAP
 Maintan Groups button
Non-Assigned Elements
Click on KOAO
Element/Group button
 Double click on ‘No. ranges for CO documents (LAP)’
Save
2. End User
1. Creation of Internal order & Settlement rule
Tcode: KO01
SAP Easy AccessAccountingControllingInternal OrdersMaster DataSpecial
FunctionsOrderCreate
Order type : PEVT
92
©SrinivasaKasireddy©+91-9959765211
Enter
Order : EXHST_LAP
Description : Exhibition stall
Company Code : LAP
Business area : LANZ
Control data Tab
Statistical order
Info: Do not select the check box for a Real IO
Goto menuSettlement Rule
New rule button( )
Settlement Reciever
Cost Center : 1017
Percent : 100 %
Valid from : 1..201x to Blank
Save
2. Posting Expenses
Tcode :F-02
PstKy : 40 Account : 400518
Enter
Amount : 18000
Cost centre : Blank Order : EXHST_LAP
Text : Ehibition stall rent
PstKy : 50 Account : 200691
Enter
Amount : *
Business area : LANZ
Text : +
Document MenuSimulate
Post
3. Display IO Report
Tcode :KOB1
93
©SrinivasaKasireddy©+91-9959765211
Up to Internal Orders same pathInformation System Reports for Internal
OrdersLine
itemsOrders: Actual Line Items
Order : EXHST_LAP
Cost element : Blank
Execute
4. Settlement :
TCode : K088
Accounting ControllingInternal orderPeriod end closingSingle
functionsSettlement Individual processing
Order : EXHST_LAP
Settlement period : Current month
Fiscal year : 201x
√ Test run
√ Check transaction data
Execute
 Details list button( )
Back button twice
Test run
Execute
5. Display IO Report
TCode :KOB1
Up to Internal Orders same pathInformation System Reports for Internal
OrdersLine
itemsOrders: Actual Line Items
Order : EXHST_LAP
Cost element : Blank
Execute
6. Display CC Report
TCode :KSB1
Cost center : 1017
Cost element : Blank
94
©SrinivasaKasireddy©+91-9959765211
Execute
95
©SrinivasaKasireddy©+91-9959765211
11. Real Time Integration (New GL)
Real Time Integration is a component of New-GL . Previously if users make
any cross company code postings in CO , these transactions do not reflect in FI.
Users had to process a job at month end to allow the system to reconcile the
differences and post corresponding entries in FI ledger. With the new GL, this
reconciliation and posting of entry in FI ledger has become an automatic process .
Scenario : Allocation of costs from CC1 to CC2 . CC1 and CC2 are two costcenters
which belongs to different company codes (Cross company code allocation) . FI posting
should happen automatically in two company codes .
Prerequisites :
1 The two company codes must belong to same CO-Area
2 The two company codes must have same Chart of accounts.
1. Settings :
1. Create second company code ie LAC
Company code LAC should be assigned with
1. same Chart of accounts that is assigned to LAP.
2. same Co-Area that is assigned to LAP
SPROEnterprise StructureDefinitionFinancial
AccoutingEdit,Copy,Delete,Check Company Code
Double click on ‘Copy, delete, check company code’
Copy Org Object button
From Company Code : LAP
To Company Code : LAC
Enter
’Yes’ button to create GL Account Data
’No’ button for different local currency
Enter to ignore the msg
Enter
’Yes’ button to transport number ranges
Continue
96
©SrinivasaKasireddy©+91-9959765211
Keep on pressing Enter
’Yes’ button to transport intervals
Continue
Enter
2. Assign Co-Area
Tcode : OKKP
Double Click on Co-area ‘LAP’
CoCd->CO Area : Cross-companycode cost accounting
 Double Click on Assignment of company code(s) folder
New Entries button
CoCd Company Name
LAC
Save
Continue
3. Activate CoCd Validation in Co-Area
TCode : OKKP
Double Click on Co-Area ‘LAP’
Double click on Activate component/control indicators folder
√ CoCd Validation
Save
Continue
Enter to Ignore wrn msg
4. Deactivate Reconcilition Ledger:
We have to deactivate the Reconcilition Ledger ,(if it is activated ) before using Realtime
Integration.We can use Tcode : OKKP to check the status.
97
©SrinivasaKasireddy©+91-9959765211
We can skip this step in the lab.
Tcode : KALB
SPROControllingCost Element AccountingReconciliation
LedgerActivate/Deactivate Reconciliation Ledger
Deactivate Reconciliation ledger
Controlling Area : LAP
Execute
5. Creation of Cost Center in Comapany code LAC:
TCode : KS01
Extras menu Set Controlliong Area
Controlling Area : LAP
Enter
Cost Center : 1010
Enter
Name : Services
Description : Services
Person Responsible : mrt
Cost Center Category : 2
Hierarchy area : STD_HIER
Company Code : LAC
Business Area : LANZ
Currency : INR
Save
Enter to ignore the wrng msg
6. Activate intercompany postings in doc type SA.
98
©SrinivasaKasireddy©+91-9959765211
TCode : OBA7
Double Click on Doc type ‘SA’
√ Inter-company posting
Save
Continue
7. Creation of GL accounts in LAP:
Tcode : FS00
Select GL account ‘400500’
Copy button
G/L Account 400509
Enter
Short Text : FICO Recon account
Field status group : ICCF ie CO <-> FI reconciliation posting
Save
Select GL account ‘200700’
Copy button
G/L Account 200970
Enter
Short Text : LAC account
Field status group : G067
Save
8. Creation of GL accounts in LAC:
Tcode : FS00
Select GL account ‘400500’
Copy button
G/L Account 400509
Enter
Field status group : ICCF ie CO <-> FI reconciliation posting
Save
Select GL account ‘200700’
Copy button
99
©SrinivasaKasireddy©+91-9959765211
G/L Account : 200971
Enter
Short Text : LAP account
Field status group : G067
Save
Block GL account 200971 for creation in company code LAP
Block GL account 200970 for creation in company code LAC
9. Define Variants for Real time Integration:
SPROFinancial Accounting (New)  Financial Accounting Global Settings (New)
Ledgers Real-Time Integration of Controlling with Financial Accounting  Define
Variants for Real-Time Integration
New Entries
Var. for R-T Integ. : L1
√ R.-Time Integ:Active Key Date:Active from : 1.4. 2012
√ Acct Deter. :Active
Document Type : SA
Ledger Group (FI) : 0L
Text : Varaint for LAP
Use Checkboxes
√ Cross-Company-Code
√ Cross-Profit-Center
√ Cross-Business-Area
Save
Continue
10. Assign Varaints for Real-Time Integration to Company
Codes:
Same Path
 Assign Variants for Real-Time Integration to Company Codes
New Entries
…
…
…
…
100
©SrinivasaKasireddy©+91-9959765211
Company Code Variant for Real-Time Integration
LAP L1
LAC L1
Save
Continue
11. Define Intercompany Clearing Accounts:
Upto Real-Time Integration of Controlling with Financial Accounting same path
 Define Account Determination for Real-Time IntegrationDefine Intercompany
Clearing Accounts
Alterantive path1 :
SPROControllingCost Element AccountingReconciliation LedgerDefine Adjustment
Accounts for Reconciliation Posting
Double click on ‘Maintain Clearing Accounts for Company Codes’
Tcode : OBYA
Alterantive path2:
SPROFinancial AcccoutningGeneral Ledger AccountingBusiness Transactions
Prepare cross company code transactions
Company code 1 : LAP
Company code 2 : LAC
Enter
Posted in : LAP
Cleared against : LAC
Debit posting key : 40 Credit posting key : 50
Account debit : 200970 Account credit : 200970
Posted in : LAC
Cleared against : LAP
Debit posting key : 40 Credit posting key : 50
Account debit : 200971 Account credit : 200971
Save
Continue
101
©SrinivasaKasireddy©+91-9959765211
12. Define Account determination for Real-Time
Integration:
Tcode:OK17
Upto Define Account Determination for Real-Time Integration same path
Define Account determination for Real-Time Integration
Alterantive path :
SPROControllingCost Element AccountingReconciliation LedgerDefine Adjustment
Accounts for Reconciliation Posting
Double click on ‘Define Accounts for Automatic Postings’
Tcode : OBYB
Controlling Area : LAP
Enter
Change Account Determin. Button
Save
Account
400509
Save
Continue
102
©SrinivasaKasireddy©+91-9959765211
2. Enduser
1. Posting expenses to common CC (1004)
Tcode F-02
Post one document for Salary in company code LAP
Amount : 18000
Cost Centre : 1004
2. Reposing of Costs:
Tcode: KB11N
Extra menuSet Controlling area
Controlling Area : LAP
Enter
CCtr (old) Cost Elem. Amount CCtr (new)
1004 400500 7000 1010
Post
3. Displaying CO document:
TCode : KSB5
Document Number : 900000000X
Execute
Click on CO document
Enviroment menu-Accounting Documents
(Two FI documents are generated , one in company code LAP the other one in
Company code LAC)
Double click on the Accounting document to be displayed.
Entry in LAP Should be :
Cr Salaries 7000.00-
Dr LAC account 7000.00
Entry in LAC Should be :
Dr Salaries 7000.00
103
©SrinivasaKasireddy©+91-9959765211
Cr LAP account 7000.00-
104
©SrinivasaKasireddy©+91-9959765211
12. Sales/Purchase Tax
Sales tax = Output tax
Purchase tax = Input tax
VAT : Value Added Tax
VAT is a mode of collection of tax
Purchase of RM Sale of FG
Pay purchase tax to Vendors Collect Sales tax from Customers
5000 Rs 7000 Rs
The diff is 2000. This amount is to be remitted to tax authority.
3. Settings
1. Define Tax procedure:
SPROFinancial accounting Financial accounting Global settingsTax on
Sales/Purchases Basic settingsCheck Calculation Procedure
Double click on Define Procedures
New Entries
Procedure Description
TAXIN Ind Tax procedure(LAP)
Save
Create Request button
Short Description: Sales/Pur Tax Settings (LAP)
Enter
Continue
Select Tax Procedure ‘TAXIN’
Double click on Control Data folder
New Entries
Step Ctyp Description Fro To AccKey
100 BASB Base amount
110 MWAS Output Tax 100 100 MWS
120 MWVS Input tax 100 100 VST
Save
105
©SrinivasaKasireddy©+91-9959765211
2. Assign Country to Calculation procedure :
Same path
Position
Country : IN
Enter
Cty Proc
IN TAXIN
Save
Continue
Info:
Tax is configured at country level but not at Comp Code level. This setup is going to
work for all Comp Codes which belongs to India .
3. Define Tax Codes for Sales and Purchases
Upto Tax on Sales/Purchases same path
Calculation Define Tax Codes for Sales and Purchases
Country : IN
Enter
Taxcode : V0
Enter
Description : 0% input tax
Taxtype : V ie inputtax
Check ID √
Continue
Keep the cursor on Output tax(Click)
Deactivate line button
InputTax : 0
Save
Taxcode : V1
Enter
Description : 4% input tax
Taxtype : V ie inputtax
Check ID √
Continue
106
©SrinivasaKasireddy©+91-9959765211
Keep the cursor on Output tax(Click)
Deactivate line button
InputTax : 4
Save
Taxcode : A0
Enter
Description : 0% output tax
Taxtype : A ie outputtax
Check ID √
Continue
Keep the cursor on Input tax(Click)
Deactivate line button
OutputTax : 0
Save
Taxcode : A1
Enter
Description : 14.5% output tax
Taxtype : A ie outputtax
Check ID √
Continue
Keep the cursor on Input tax(Click)
Deactivate line button
OutputTax : 14.5
Save
4. Creation of 2 GL accounts
a. VAT Payable
Tcode: FS00
Select GL account 100800 Expenses payable
Copy button
GL account : 100530
Enter
Description : VAT Payable
Control Data tab
107
©SrinivasaKasireddy©+91-9959765211
Tax Category : > ie Output Tax Account
Create/Bank/Interest tab
Field status group : G041
Save
b. VAT Recievable
Select GL account 100530 VAT Payable
Copy button
GL account : 200530
Enter
Account Group : Assets
Description : VAT Receivable
Control Data tab
Tax category : < ie Input Tax Account
Save
5. Change GL accounts Sales, Inventory RM
Tcode :FS00
Select GL account 300510 Sales
Change button
Control Data Tab
Tax category : + ie Only output tax allowed
√ Posting without tax allowed
Save
Enter to Ignore the Wrng Msg
Select GL account 200700 RM inventory
Change button
Control Data Tab
Tax category : - ie Only input tax allowed
√ Posting without tax allowed
Save
Enter to Ignore the Wrng Msg
108
©SrinivasaKasireddy©+91-9959765211
6. Define Tax acounts
Upto Tax on Sales/Purchases same path
Posting Define Tax accounts
Double click on transaction MWS ( Output tax)
Chart of accounts : LACA
Enter
Save
Account
100530
 Save button
Continue
Back button
Double click on transaction VST ( Input tax)
Save
Account
200530
Save
Continue
7. Define Tax Determination Rules
SPROSales and Distribution  Basic FunctionsTaxes Define Tax Determination
Rules
New entries
Tax count Name Seq Tax Categ Name
IN 5 MWST Taxble
Save
8. Define Tax Relevancy Of Master Records
SPROSales and Distribution  Basic FunctionsTaxesDefine Tax Relevancy Of
Master Records
Double click on ‘Customer Taxes’
New entries
Tax categ Tax class Description
MWST 1 Taxable
MWST 0 No tax
109
©SrinivasaKasireddy©+91-9959765211
Back button
Double click on ‘Material Taxes’
New entries
Tax categ Tax class Description
MWST 1 Taxable
MWST 0 No tax
Save
4. Enduser
1. Posting Pur Inv
Tcode: F-43
PstKy : 31 Account : LAPGNVNDR
Enter
Amount : 27000
√ Calculate Tax
Bus. Area : LANZ
Text : Pur inv
PstKy : 40 Account : 200700
Enter
Amount : *
Tax Code : V1
Busi Area : LANZ
Text : +
Document menuSimulate
Post
Entry should be:
31 LANZ LAPFIVNDR LAP vndr 27.000,00-
40 LANZ 0000200700 RM inventory 25.714,29
40 0000200530 VAT Recievable 1.285,71
110
©SrinivasaKasireddy©+91-9959765211
2. Posting Sales Inv:
Tcode :F-22
PstKy : 01 Account : LAPGNCUST
Enter
Amount : 18000
√ Calculate Tax
Bus. Area : LANZ
Text : Sales inv
PstKy : 50 Account : 300510
Enter
Amount : *
Tax Code : A1
Bus Area : LANZ
Text : +
Document menuSimulate
Post
Entry should be
01 LANZ LAPFICUST LAP fi customer 18.000,00
50 LANZ 0000300510 Sales 15.720,52-
50 100631 VAT payable 2.279,48-
111
©SrinivasaKasireddy©+91-9959765211
7. MM Integration
LIVE project
MM Configuration MM consultant
FI Configuration FI consultant
FI-MM Integration FI Consultant
Learning environment
MM Configuration FI consultant
FI Configuration FI consultant
FI-MM Integration FI Consultant
1. MM configuration
1. Maintain Calendar:
SPROSAP Net weaverGeneral SettingsMaintain Calendar
Public holidays
Change button
Create Button
With fixed date
Enter
Day : 15
Month : 8
Not Guaranteed
Short holiday name : Independence day
Long holiday name : Independence day
Enter
Continue
Back button
Holiday Calendar
Change button
Create button
Calendar ID : LC
Description : holiday calendar for LAP
…
…
…
…
…
…
…
…
…
…
…
…
…
…
…
…
112
©SrinivasaKasireddy©+91-9959765211
Assign Holiday button
Select holidays to be included
Assign publ. holiday button
Save
Continue
Back button twice
Factory calendar
Change button
Create button
Factory calendar ID : LF
Description : Factory calendar for LAP
Holiday calendar ID : LC
Workdays
Select Monday to Saturday
Save
Continue
2. Define plant:
SPROEnterprise StructureDefinitionLogistics-GeneralDefine, Copy, delete,
check
plant
Double click on Define Plant
New Entries
Plant : LAP1
Name 1 : LAP Hyd plant
Factory calendar : LF
Save
Name : LAP Hyd plant
Country : IN
Region : 01
City : Hyd
Enter
Create Request button
Short Description : MM configuration for LAP
Enter
Continue
…
…
…
…
113
©SrinivasaKasireddy©+91-9959765211
Next entry button
Plant : LAP2
Name 1 : LAP mum plant
Factory calendar : LF
Save
Name : LAP mum plant
Country : IN
Region : 13
City : Mum
Enter
Continue
Next entry button
Plant : LAP3
Name 1 : LAP Chennai plant
Factory calendar : LF
Save
Name : LAP Chennai plant
Country : IN
Region : 22
City : Chennai
Enter
Continue
3. Define Division:
Same path
Define, copy, delete, check division
Double click on Define Division
New Entries
Division Name
LS Small Cars
Save
Continue
4. Maintain Storage Location:
114
©SrinivasaKasireddy©+91-9959765211
Up to Definition same path
Materials Management Maintain storage location
Plant : LAP1
Enter
New Entries
SLoc Description
LAP1 Hyd Storage Location
Enter
Save
Continue
Plant : LAP2
Enter
New Entries
SLoc Description
LAP2 Mum Storage Location
Enter
Save
Continue
Plant : LAP3
Enter
New Entries
SLoc Description
LAP3 Chennai Storage Location
Enter
Save
Continue
5. Maintain purchasing organisation:
Same path next line
115
©SrinivasaKasireddy©+91-9959765211
New Entries
Purch. Organisation Purch. Org Descr
LAPO LAP purchase org.
Save
 Continue
6. Assign plant to company code:
Up to Enterprise Structure same path
AssignmentLogistics-General Assign plant to company code
New Entries
CoCd Plnt
LAP LAP1
LAP LAP2
LAP LAP3
Save
Continue
7. Assign Business Area to Plant/Valuation Area and
Division:
Same path next line
Valuation area - division button
New entries
ValA Dv BusA
LAP1 (Valuation area is nothing but plant LS LANZ
LAP2 LS LANZ
LAP3 LS LANZ
Save
Continue
8. Assign Purchasing organization to company code:
Up to Assignment same path
Materials ManagementAssign purchasing organisation to company code
Position
Purchasing org : LAPO
Enter
POrg CoCd
116
©SrinivasaKasireddy©+91-9959765211
LAPO LAP
Save
Continue
9. Assign purchase organisation to plant:
Same path next line
New Entries
POrg Plnt
LAPO LAP1
LAPO LAP2
LAPO LAP3
Save
Continue
10. Create Purchasing Groups:
SPROMaterials ManagementPurchasingCreate Purchasing Groups
New Entries
Purchasing Group Desc. Pur.Grp
LPG LAP purchasing group
Save
Continue
11. Define Material Group:
SPROLogistics-GeneralMaterial MasterSettings for Key FieldsDefine Material
Groups
New Entries
Matl Group Material Group Desc
LAPM Metals
Save
Continue
12. Maintain Company Code for Material Management:
TCode :OMSY
Up to Material Master same path
Basic SettingsMaintain Company Codes for Material Management
Position
Company code : LAP
Enter
(CAUTION: Enter current period .If you enter wrong period it can’t be changed)
117
©SrinivasaKasireddy©+91-9959765211
Cocd Year Period ABp
LAP 2012 5(Current period) √
Save
Continue
Note: Material posting starts from the above period . ABp is Allow Back posting .
If ABp is selected 2 periods(current and previous) are allowed , other wise only current
period is allowed.
13. Define Attributes of Material Types:
Up to Basic Settings same path
Material typesDefine Attributes of Material types
Position
Material type : FERT
Enter
Select Material Type ‘FERT’
Double click on ‘Quantity/value updating’ folder
Position
Enter
Valuatin area : LAP1
Enter
Valuation area Material
s
Qty updating Value Update
LAP1 FERT √ √
LAP2 FERT √ √
LAP3 FERT √ √
Save
Continue
Back button
Position
Material type : ROH
Enter
Select Material type ‘ROH’
Double click on Quantity/value updating folder
Postion
Valuation Area : LAP1
118
©SrinivasaKasireddy©+91-9959765211
Enter
Val .area Matl type Qty updating Value Update
LAP1 ROH √ √
LAP2 ROH √ √
LAP3 ROH √ √
Save
Back button
Position
Material type : HALB
Enter
Select Material type ‘HALB’
Double click on Quantity/value updating folder
Postion
Enter
Valuation Area : LAP1
Enter
Val .area Matl type Qty updating Value Update
LAP1 HALB √ √
LAP2 HALB √ √
LAP3 HALB √ √
Save
Back button
Position
Material type : VERP Packaging
Enter
Select Material type ‘VERP’
Double click on Quantity/value updating folder
Postion
Enter
Valuation Area : LAP1
Enter
Val .area Matl type Qty updating Value Update
LAP1 VERP √ √
LAP2 VERP √ √
Save
119
©SrinivasaKasireddy©+91-9959765211
Double click on Mtyp ‘FERT’
Int. purchase orders : 2 ie Int. purchase orders are allowed
Save
14. Set Tolerance Limits for Price variance ( purchasing
order):
SPROMaterial ManagementPurchasingPurchase OrderSet Tolerance Limits
for
Price Variance
Select ‘TlKy’s PE, SE for Company code ‘1000’
Copy as button
Change the Company Code to ‘LAP’
 Enter
Again change the Company Code to LAP
Enter
 Save
Continue
15. Plant Parameters
Up to Materials Management same path
Inventory Management and Physical InventoryPlant Parameters
Select Plant ‘1000’
Copy as button
Change the plant to ‘LAP1’
Enter
Select Plant ‘1000’
Copy as button
Change the plant to ‘LAP2’
Enter
Select Plant ‘1000’
Copy as button
Change the plant to ‘LAP3’
120
©SrinivasaKasireddy©+91-9959765211
Enter
Save
Continue
16. Define Number Assignment for Material and Phys.
Inv .Docs
(One time setting)
SPROMaterials ManagementInventory Management and Physical
InventoryNumber
Assignment Define Number Assignment for Material and Phys. Inv .Docs
Maintain Groups button
√ Material documents for goods receipts
WE WF WO WW
Interval menuMaintain
Position the cursor on any interval
Edit menuInsert year
Year From number To number
2013
(Calendar year)
4500000000 4599999999
Enter
Back button
√ Material documents for goods movements and inventory diffs
WA WH WI WL WQ WR WS WZ
Interval menuMaintain
Position the cursor on any interval
Edit menuInsert year
Year From number To number
2013
(Calendar year)
5000000000 5099999999
Enter
Save
Continue
17. Set Tolerance Group (for GR):
Same path up to Inventory Management and Physical Inventory
Goods ReceiptsSet Tolerance Limits
121
©SrinivasaKasireddy©+91-9959765211
Select Tlky B1, B2, VP for company code ‘1000’
Copy as button
Change Company Code to ‘LAP’
Enter
Change Company Code to ‘LAP’
Enter
Change Company Code to ‘LAP’
Enter
Save
Continue
18. Maintain Default Values for Tax codes:
Up to Material Management same path
Logistics Invoice VerificationIncoming InvoiceMaintain Default Values for tax codes
New Entries
Company Code : LAP
Save
Continue
19. Set Tolerance Limits (for invoice verification):
Up to Logistic Invoice Verification same path
Invoice BlockSet Tolerance Limits
Select Tolerance Keys PP, PS & ST for company code ‘1000’
Copy as button
Change Company Code to ‘LAP’ (3times)
Enter (3 times)
Save
Continue
20. Define Automatic status change:
Up to Logistics Invoice Verification same path
Invoice Verification in Back groundDefine Automatic Status change
New Entries
CoCd Set correct invoice to’’completed’’
LAP Blank
122
©SrinivasaKasireddy©+91-9959765211
Save
Continue
21. Group together Valuation areas:
Up to Materials Management same path
Valuation and Account AssignmentAccount DeterminationAccount Determination
Without WizardGroup Together Valuation Areas
Position
Valuation area : LAP1
Enter
Valuation Area Val. Grpg code
LAP1 X
LAP2 X
LAP3 X
Save
Continue
22. Define Valuation Classes:
Same path next lineDefine Valuation Classes
Valuation Class button
Select Valuation Class 3000 ( ie Raw material1) ,7900 (ie Semi-finished products)
and
7920 ( ie FinishedGoods)
Copy as button
Change Valuation Class 3000 to ‘LAP1’
Change Valuation Class 7900 to ‘LAP2’
Change valuation class 7920 to ‘LAP3’
Enter
Save
Continue
2. FI Consultant’s Job
123
©SrinivasaKasireddy©+91-9959765211
1. Changing GL account Inventory RM
Tcode: FS00
Select GL account 200700 (RM Inventory)
Change button
Create /Bank/Interest tab
Field Status Group : G006 (Material Accounts)
√ Post automatically only
Save
Enter to ignore the warning message
2. Creating GL accounts
Inventory FG :
Select 200700 (Inventory RM)
Copy button
GL account : 200702
Enter
Description : Inventory FG
Control Data tab
Tax category : Blank
√ Posting without tax allowed
Save
Enter to ignore the warning message
Inventory SemiFG :
Select 200702 (Inventory FG)
Copy button
GL account : 200701
Enter
Description : Inventory SemiFG
Save
Enter to ignore the warning message
GR/INR account
Select 100800 Expenses payable account
Copy button
GL account : 100520
124
©SrinivasaKasireddy©+91-9959765211
Enter
Description : GR/INR account’
Control data tab
Tax category : - (Minus)
√ Posting without tax allowed
Sort key : 010 (Purchase order No.)
(Make sure Open Item Management is on)
Create/Bank/Interest tab
Field Status Group : G045 Goods/Invoice Received clearing account
Save
Freight Clrng account
Select G/L account 100520 (GR/INR account)
Copy button
GL account : 100521
Enter
Description : Freight Clrng account
Create/Bank/Interest tab
Field Status Group : G017 Freight/customs provisions/ clearing (MM)
Save
RM Consumption Account
Select 400500 (Salaries)
Copy Button
GL account : 400599
Enter
Description : RM Consumption
Create/Bank/Interest tab
Field Status Group : G003 (Material Consumption Account)
Save
Edit Cost Element button
Valid From : 01.04.2012
Enter
Cost Elem category : 1
Save
SFG Consumption Account
Select 400599 RM Consumption
125
©SrinivasaKasireddy©+91-9959765211
Copy Button
GL account : 400950
Enter
Description : SFG Consumption
Save
Edit Cost Element button
Valid From : 01.04.2012
Enter
Cost Elem category : 1
Save
Cost Of Goods Sold a/c
Select 400500 (Salaries)
Copy Button
GL account : 400204
Enter
Description : Cost Of Goods Sold a/c
Create/Bank/Interest tab
Field Status Group : G030 ie Change in stock accounts
Save
Inc/Dec in stock account
Select 300510 (Sales account)
Copy Button
GL Account : 300204
Enter
Description : Inc/Dec in stock
Control data tab
Tax category : Blank
√ Posting without tax allowed
Create/Bank/Interest tab
Field Status Group : G030 (Change in stock account)
Save
3. Assignment of Accounts:
Tcode: OBYC
SPROMaterial ManagementValuation and Account AssignmentAccount
126
©SrinivasaKasireddy©+91-9959765211
Determination Account Determination without wizardConfigure Automatic Posting
Cancel button
Account Assignment button
Double click on transaction ‘BSX’ (Inventory posting)
Chart of account : LACA
Enter
Valuation class √
 Save
Valuation class Account
LAP1 200700(Inventory RM)
LAP2 200701(Inventory SemiFG)
LAP3 200702(Inventory FG)
Save
Continue
 Back button
Double click on Transaction ‘FR1’ (Freight clearing)
Valuation modif √
Valuation class √
Save
Valuation
modif
Valuation Class Account
X LAP1 100521
Save
Back button
Double click on Transaction ‘WRX’ (GR/IR clearing account)
Valuation modif √
Valuation class √
Save
Valuation
modif
Valuation Class Account
X LAP1 100520
Save
Back button
127
©SrinivasaKasireddy©+91-9959765211
Double Click on transaction ‘GBB’
General modification √
Valuation modif √
Valuation class √
Save
Valuation
modif
General
Modification
Valuation Class Account
X VBR LAP1 400591
X VBR LAP2(SemiFG) 400990
X VAY LAP3 400204
X AUF LAP3 300204
X AUF LAP2 300204
X VAX LAP3 400204
X ZOF LAP3 300249
X ZOB LAP1 100520
Note: GL account 400599 is RM consumption a/c
300204 is Inc/Dec in stock and
400204 is Cost of Goods Sold a/c
100520 is GR/INR account
Save
Continue
VBR : RM consumption
VNG : Material Scrapping
ZOB : GR w/o purchase order (movement type 501)
FG Reciept from Production
AUF ZOF
With Production Order
[PP implemented]
Without Production Order
[PP not implemented]
FG Delivery to customer
VAY VAX
Sales A/C as Revenue element
[CO Implemented)
Sales A/C not as a Revenue element
(CO not implemented)
4. Creating No. ranges for Document types WE WA RE
128
©SrinivasaKasireddy©+91-9959765211
Tcode :OBA7
Double Click on document type ‘WA’
Note down the No range ‘49’
Back button
Doubl Click on document type ‘WE’
Note down the no range ‘50’
Back button
Double Click on document type ‘RE’
Note down the no range ‘51’
In the same screen ‘Number range information’ button
Company Code : LAP
Change Intervals button
Interval button
No Year From Number To Number
49 2012 4900000000 4999999999
Enter
Interval button
No Year From Number To Number
50 2012 5000000200 5099999999
Enter
Interval button
No Year From Number To Number
51 2012 5100000000 5199999999
Enter
Save
Continue
3. MM End User
Planned delivery costs Unplanned Delivery Costs
If you know the freight charges at the time of PO
creation, you can enter in PO. During the GR, the
freight charges will be posted to Freight clrng
If you don’t know the freight charges at
the time of PO creation, you can enter
them during Inv Verification (MIRO)
129
©SrinivasaKasireddy©+91-9959765211
account.
Freight charges will be posted to Inventory
account
During freight invoice verification they are
transferred to vendor account.
There are two options as how to post
unplanned delivery cost (This is a CoCd
level setting).
1. Freight charges can be distributed
among invoice items
2. Freight charges can be posted to
Expenses account
Planned delivery costs:
Scenario1 : Goods inv and Freight inv are from single vendor
Solution : Goods inv and Freight inv can be entered in one step
Scenario2 : Freight inv is from a different vendor
Solution : Goods inv and Freight inv have to be entered in separate steps
(We are following scenario 2 ie Transport vendor is separate from goods vendor)
1. Creation of RM master
TCode :MM01
SAP Easy AccessLogisticsMaterials ManagementMaterial
MasterMaterialCreate
(General) Immediately MM01
Material : LAPRM
Industry Sector : Mechanical Engineering
Material type : ROH Raw Material
Select View(s) button
Select views Basic data1, Purchasing , General Plant Data / Storage 1 , Accounting 1,
Costing1 and Costing2
Org. Levels button
Plant : LAP1
Stor. location : LAP1
Enter
Basic Data1 tab:
Material : LAP RM (Steel)
Basic unit of measures : KG
Material Group : LAPM
130
©SrinivasaKasireddy©+91-9959765211
Division : LS
Net Weight : 1 KG
Gross Weight : 1 KG
Purchasing Tab
Purchasing Group : LPG
Accounting 1 tab
Valuation class : LAP1
Price Control : V (Moving Average Price)
Moving Price : 200
Save
2. Creation of Vendor Masters
Tcode : XK01
Vendor : LAPRMVNDR
Company Code : LAP
Purchase Organisation: LAPO
Account Group : LARM
Enter
Name : LAP RM vendor
Country : IN
Region : 01
Enter 4 times (or Next Screen button 4 times)
Recon. account : 100980 (Sundry creditors)
Sort Key : 012 (Vendor Number]
Cash Management Group : A1
Enter
Payt Terms : 0001
Tolerance Group : blank
Chk double inv √
Save
3. Creation of Vendor Masters
Tcode : XK01
Vendor : LAPTRVNDR
Company Code : LAP
Purchase Organisation: LAPO
Account Group : LARM
Enter
131
©SrinivasaKasireddy©+91-9959765211
Name : LAP Transport vendor
Country : IN
Region : 01
Enter 4 times (or Next Screen button 4 times)
Recon. account : 100980 (Sundry creditors)
Sort Key : 012 (Vendor Number]
Cash Management Group : A1
Enter
Payt Terms : 0001
Tolerance Group : blank
Chk double inv √
Save
4. Open Period for Current month
(Periodic activity)
Tcode : MMPV
Up to Material Master same path
OtherClose Period
From Company Code : LAP
To Company Code : LAP
Period : 5 (Current period)
Fiscal Year : 2012
Check and close period
Execute
Intialize the closed period : TCode : MMPI can be used to open the period which is closed
by mistake. But this is to be done very carefully. Any postings done in the new period will
have impact if we reopen the previous period and post to it.
User prifle ?
5. Purchase Order Creation:
Tcode : ME21N
Up to Materials Management same path
PurchasingPurchase OrderCreateVendor/Supplying Plant Known
Vendor : LAPRMVNDR
Enter
…
…
…
…
132
©SrinivasaKasireddy©+91-9959765211
Org.Data tab
Purch. Org : LAPO
Purch. Group : LPG
Company Code : LAP
Item Material PO
Quantity
Deliv.
Date
Net
Price
Currency Plnt Stor.
Location
10 LAPRM 100 15.08.2012 200 INR LAP1 LAP1
Enter
Expand ‘Item Detail’ button
Conditions tab
Enter amount for condition type ‘FRB1’ as below
CnTy Name Amount
FRB1 Freight (Value) 45.00
Messages button to see any errors
Back button
Check button
Save
Note down the purchase order No. 4500017175
6. Goods Receipt
Tcode :MIGO
Up to Material Management same path
Inventory ManagementGoods MovementGoods ReceivedFor Purchase
OrderPO
Number Known
Purchase order : 4500017175
Enter
Where tab
Storage Location : LAP1
Text : GR
Quantity tab
Qty in Delivery Note : 100 kg
√ Item OK
Check button (‘Document is 0K ‘ msg should come)
Post
(Note down the material document no 600000030)
133
©SrinivasaKasireddy©+91-9959765211
7. Displaying Material document
Tcode: MB03
Up to Inventory Management same path
Material DocumentDisplay
Material Document : 600000030
Material document year : 2012
Enter
Accounting Documents button
Dr. 89 Inventory RM 20,045.00
Cr. 96 GR/INR account 20,000.00
Cr 50 Freight clrng account 45.00
8. Invoice Verification for goods
Tcode : MIRO
Up to Material Management same path
Logistics Invoice VerificationDocument EntryEnter Invoice
Invoice date : Todays date
√ Calculate tax
Tax code : V1 4%Input tax
Text : Inv Verifcation
PO Reference Tab
Purchase order/Scheduling agreement 4500017175 Goods/service items
Enter
Select √ Booking OK for item 1
Enter
Copy the amount in Balance field (red signal)
Paste to Amount field (without –‘ve sign)
Enter
(Red signal should turn into green signal)
Payment tab
Baseline date : Todays date
Payment term : 0001
Simulate button
Close the window
Post
134
©SrinivasaKasireddy©+91-9959765211
Invoice Document menu Display
Follow-On Documents button
LAP RMvendor 20,800.00
GR/INR clrng account 20,000.00
VAT Receivable 800.00
9. Inv Verification for Freight
Tcode: MIRO
Invoice date : Todays date
√ Calculate tax
Tax code : V0 0%Input tax
Text : Freight Inv verifcation
PO Reference Tab
Purchase order/Schedulin agreement 4500017175 Planned delivery costs
Enter
Select √ Booking OK for item 1
Enter
Details tab
Inv. Party : LAPTRVNDR
Enter
Enter to ignore the msg
Basic data tab
Copy the amount in Balance field (red signal)
Paste it to Amount field (without –‘ve sign)
Enter
(Red signal should turn into green signal)
Payment tab
Baseline date : Todays date
Payment term : 0001
Simulate button
Entry should look like the following
Cr LAP TR vendor 45.00-
Dr Freight clrng account 45.00
Close the window
135
©SrinivasaKasireddy©+91-9959765211
Post
10. RM Consumption
Tcode : MB1A
Up to Materials Management same path
Inventory ManagementGoods MovementGoods Issue
Movement type : 201 (Consumption for CC)
Plant : LAP1
Storage location : LAP1
Enter
Cost Centre : 1001
Material : LAPRM
Qty : 25
Enter
Post
(Document 500000350 generated)
Goods Issue menuDisplay
Material Doc : 100000350
Mat. Doc. Year : 2012
Enter
Accounting Documents button
Double click on Accounting document
Entry should be :
Cr. Inventory RM 5011.25-
Dr. RM Consumption 5011.25
11. Display Stock Ledger
Tcode : MMBE
up to Material Management same path
Inventory ManagementEnvironmentStockStock Overview
Material : LAPRM
Plant : LAP1
Storage location : LAP1
Execute
136
©SrinivasaKasireddy©+91-9959765211
12. Display Stock for posting date
Tcode :MB5B
Same path
Material No. : LAPRM
Company Code : LAP
Plant : LAP1
Valuated stock
Execute
…
…
…
…
137
©SrinivasaKasireddy©+91-9959765211
8. SD Integration
1. SD consultant job
1. Define Sales Organisation:
SPROEnterprise StructureDefinitionSales and DistributionDefine, copy, delete,
check sales organization
Double click on Define Sales Organisation
New Entries
Sales Organisation : LANS
Description : LAP North sales org
Statistics currency : INR
Save
Enter to ignore the warning message
Name : LAP North sales org
Country : IN Region : 01
Enter
Create Request button
Short Description: SD configuration for LAP
EnterContinue
Next Entry button
Sales Organisation : LASS
Description : LAP South sales org
Statistics currency : INR
Save
Enter to ignore the warning message
Name : LAP South sales org
Country : IN Region : 01
Enter
Continue
2. Define Distribution Channel:
Same path Next line
Define ,copy , delete ,check distribution channel .
138
©SrinivasaKasireddy©+91-9959765211
Double click on Define distribution channel .
New Entries
Distr. Channel Name
LD Direct Sales
Save
Continue
3. Define shipping points:
Up to Definition same path
Logistics Execution  Define, copy, delete, check shipping Point.
Double click on Define shipping point.
New Entries
Shipping point : LASH
Description : LAP shipping point
Save
Name : LAP Shipping point.
Country : IN Region : 01
Enter
Continue.
4. Assign Sales Organisation to Company code:
SPROEnterprise StructureAssignmentSales and DistributionAssign Sales
Organisation to Company code
Position
Sales Org : LANS
Enter.
Sorg. CoCd
LANS LAP
Position
Sales Org : LASS
Enter.
Sorg. CoCd
LASS LAP
Save
139
©SrinivasaKasireddy©+91-9959765211
Continue
5. Assign Distribution channel to sales organisation:
Same path (next line)
Assign distribution channel to Sales Organisation.
New entries
SOrg
.
Dchl
LANS LD
LASS LD
Save
Continue.
6. Assign division to Sales Organization:
Same path next line
New Entries.
SOrg
.
Dv
LANS LS
LASS LS
Save
Continue.
7. Set up sales area:
Same path next line
 New Entries
SOrg
.
DChl Dv
LANS LD LS
LASS LD LS
 Save
Continue.
8. Assign sales organisation- distribution channel - Plant:
Same path
New Entries
SOrg
.
DChCust/Mt Plant
LANS LD LAP1
140
©SrinivasaKasireddy©+91-9959765211
LASS LD LAP1
LANS LD LAP2
LASS LD LAP2
LANS LD LAP3
LASS LD LAP3
Save
Continue
9. Define Rules by Sales area:
Up to Sales and Distribution same path
Business Area Account AssignmentDefine Rules for Sales area
Position
Sales Org. : LANS
Enter
SOrg
.
Rule
LANS 001 (Bus Area determination from plant & division)
LASS 001 (Bus Area determination from plant & division)
Save
Continue
10. Assign Business Area to Plant And Division
Same Path next line
New Entries
Plnt Dv BusA
LAP1 LS LANZ
LAP2 LS LANZ
LAP3 LS LANZ
Save
Continue
11. Assign Shipping Point to Plant:
Up to Assignment same path
Logistics ExecutionAssign Shipping point to Plant
141
©SrinivasaKasireddy©+91-9959765211
Find Button
Find : LAP1
Enter
Click on LAP1
Keep the cursor on LAP1
Assign Button
√ LASH
Enter
Save
Continue
12. Assign Shipping Points:
SPROLogistics ExecutionShippingBasic Shipping FunctionsShipping point and
Goods receiving point DeterminationAssign shipping points
New Entries
SC LGrp Plnt PrShP MShPt
01 0003 LAP1 LASH LASH
Save
Continue
13. Maintain Pricing Procedure:
SPROSales and DistributionBasic FunctionsPricingPricing controlDefine
and Assign Pricing Procedures
Double click on Maintain pricing procedures
Select Procedure ‘RVAA01’ ie Standard or ‘RVAACA’
Copy as button
Change Procedure with ‘LAPPP’
Change Description with ‘LAP Pricing Procedure’
Enter
Copy all button
Enter to ignore the Wrng Msg
Select Procedure ‘ LAPPP’
Double click on Control Data folder
For Condition types SKTV (step 914), deselect Required
For Condition types K007 (step 104) MWST (step 915) select Required
142
©SrinivasaKasireddy©+91-9959765211
Make a note of AccKey for ‘CTyp’s PR00 , MWST and K007 (ERL and ERS
respectively)
(Make sure CTyp ‘VPRS’(step 940) is copied )
Save
Enter to ignore the msg
Continue
14. Define Pricing Procedure Determination:
Same Path same lineDefine and Assign Pricing Procedure
Double click on Define Pricing Procedure Determination
New Entries
SOrg. DChl Dv DoPr CuPP PriPr CTyp
LANS LD LS A 1 LAPPP PR00
LANS LD LS 2 1 LAPPP PR00
LASS LD LS A 1 LAPPP PR00
LASS LD LS 2 1 LAPPP PR00
Save
Continue
15. Define Tax Determination Rules:
Up to Basic Functions same path
TaxesDefine Determination Rules
New Entries
Tax Count. : IN
Seq : 1
Tax categ. : UTXJ
Save
Continue (skip this step lab)
16. Set up Partner Determination:
Customer Partner role
Customer’sH Office Sold to party Sales to party
Payer HO will settle the bill
Customer’sPlant Ship to party Send goods to plant
Customer’s Br office Bill to party Send bill to Br Office
143
©SrinivasaKasireddy©+91-9959765211
Up to Basic Function same path
Partner DeterminationSet up Partner Determination
Double click on Set up Partner Determination for Customer Master
Double click on ‘Account Groups- Function assignment’ folder
New Entries
Partn. Funct. Name Account Grp
SP Sold to party LASD
SH Ship to Party LASD
BP Bill to Party LASD
PY Payer LASD
Save
Enter 4times to ignore the msg
Continue
Double click on ‘Partner Determination Procedures’ folder
New Entries
Part. Det .proc Name
LAPD PDP for LAP
Save
Enter to ignore wrng msg
Select Partner Determination ‘LAPD’
Double click on ‘Partner Functions in Procedure’ folder
New Entries
Part.Det.
Proc
Partn.Funct. Not Modifiable Mandat.Funct
LAPD SP √ √
LAPD BP √
LAPD SH √
LAPD PY √
Save
Double click on ‘Partner Determination Procedure Assignment’ folder
Position
Account Group : LASD
144
©SrinivasaKasireddy©+91-9959765211
Enter
Group ParPr
LASD LAPD
Save
17. Changing Schedule Line Category
Tcode : VOV6
Double cl ick on SLCa ‘DN’ ie Returns
Movement Type : 653 ie GD returns unrestr.
Save
Continue
2. FI Consultants job
1. Changing GL account
Tcode :FS00
Select GL account ‘300510’ ie Sales
Change button
Create/Bank/Interest tab
Change the Field Status Group to ‘G029’ ie Revenue accounts
Save
2. Assignment of Accounts for Automatic Posting:
SPROSales and DistributionBasic Functions Account
Assignment/CostingRevenue
Account DeterminationAssign G/L accounts
Double Click on table 1
New Entries
App CndTy ChAc SOrg
.
AAG AAG ActKy GL A/C
V KOFI LACA LANS 01 03 ERL 300510
V KOFI LACA LANS 01 03 ERS 400491
V KOFI LACA LASS 01 03 ERL 300510
V KOFI LACA LASS 01 03 ERS 400491
Save
Continue
145
©SrinivasaKasireddy©+91-9959765211
3. SD End User
1. Creation of Customer
Tcode : XD01
Account Group : LASD (SD Customers)
Customer : LAPSDCUST
Company Code : LAP
Sales Organisation : LANS
Distribution Channel : LD
Division : LS
Enter
Name : LAP SD customer
Country : IN
Region : 01
Company Code Data button
Recon. account : 200610 (Sundry Debtors)
Sort Key : 031 (Customer Number)
Payment transactions tab
Terms of payment : 0001
Sales Area Data button
Sales tab
Cust. pric. proc : 1
Shipping Tab
Delivery priority : 02 (normal)
Shipping condition : 01 (as soon as possible)
Delivering plant : LAP1
Billing Documents tab
√ Price determine.
Inco terms : EXW (customer will take care of goods from plant only)
Terms of payment : 0001
Acct assgmt group : 01
Tax classification: 1 (liable for tax) for UTXJ
1 for MWST
Save
2. Creation of Material FG
Tcode : MM01
Material : LAPFG
146
©SrinivasaKasireddy©+91-9959765211
Industry Sector : Mechanical Engineering
Material Type : Finished products
Select View(s) button
Select Basic Data1, Sales: Sales Org. Data 1 , Sales: Sales Org. Data2 ,
Sales: General/Plant Data , MRP 1 , Accounting 1 , Costing1 and Costing2
Org. Levels button
Plant : LAP1
Stor. Location : LAP1
Sales Org. : LANS
Distr. Channel : LD
Enter
Description : LAP FG
Base Unit of Measure : EA
Material Group : LAPM
Division : LS
GenItemCatGroup : NORM
Sales: sales org .1 tab
Delivering plant : LAP1
Tax Data
Tax Classification : 1 for UTXJ
1 for MWST
Sales: sales org. 2 tab
Acct assignment grp : 03 ie Finished Goods
Item category group : NORM
Sales: General/Plant tab
Gross Weight : 1
Net Weight : 1
Availability check : KP (no check)
Trans. Grp : 0003
Loading Grp : 0003 ie Manual
MRP 1 Tab
MRP type : ND ie No plan
Accounting 1 tab
Valuation class : LAP3 (Finished Product)
Price control : S (std. price)
Standard price : 600
147
©SrinivasaKasireddy©+91-9959765211
Save
3. Creation of Condition records
Tcode : VK11
SAP Easy AccessLogisticsSales and Distribution  MasterData Conditions
Select Using Condition TypeCreate
Condition type : PR00
Key Combination button
Material with release status
Enter
Sales Organization : LANS
Distribution Channel : LD
Material Amount Valid From Valid to
LAPFG 700 1.04.2011 31.03.2012
Save
Back button
Condition type : K007
Key Combination button
Division/Customer
Enter
Sales Organization : LANS
Distribution Channel : LD
Division : LS
Customer Amount Valid From Valid to
LAPSDCUST 1 1.04.2011 31.03.2012
Save
Back button
Condition type : MWST
Key Combination button
Domestic taxes
Enter
Country : IN
TaxCl1Cust Tax cl. Mat Amount Valid From Valid to TaxCode
1 1 1.04.2011 31.03.2012 A1
Save
…
…
…
…
…
…
…
…
…
…
…
…
148
©SrinivasaKasireddy©+91-9959765211
4. Creation of Sales order
Tcode :VA01
Up to Sales and Distribution same path
SalesOrderCreate
Order type : OR
Sales Organization : LANS
Distribution Channel : LD
Division : LS
Enter
Sold-to party : LAPSDCUST
PO Number : 567 (customer’s Purchase order no)
PO date : Todays date
Req. deliv. date : Todays date
Delivery plant : LAP1
√ Complete dlv
Payment Terms : 0001
Item Material Order Quantity Plant
10 LAPFG 10 LAP1
Enter
Select item 10
GoTo menuItemConditions
Enter CnTy ‘MWST’ and Amount ‘5%’
CnTy Amount
MWST 5
Make a note of Discount amount ie 7 Rs
Make a note of profit margin 93 ( ie (700-7)-600)
Back button
Edit menuIncompletion log
Save
Note down the order no
5. Production Receipts
Tcode :MB1C
Up to Logistics same pathMaterails ManagementInventory ManagementGoods
Movement Goods ReceiptsOthers
Document date : Todays date
149
©SrinivasaKasireddy©+91-9959765211
Movement type : 521 (receipt w/o production order into unrestricted use stock)
Plant : LAP1
Storage location : LAP1
Enter
Material Qty.
LAPFG 150
Enter
Text : GR from production
Post
Enter to ignore the warning message
Post
Note down the material document no. 100000360
Other Goods Receipt menuDisplay
Material document : 100000360
Mat. Doc year : 2012
Enter
Accounting Documents button
Double click on Accounting Document
Dr Inventory FG .90000.00
Cr To Inc/Dec. in stock 90000.00- (=150*600)
6. Delivery
Tcode : VL01N
Up to Logistics same path
Sales and DistributionSalesOrderSubsequent FunctionsOut bound Delivery
Shipping point : LASH
Selection date : Sales order date (automatically come)
Order : 12124 (sales order)
Enter
Actual GI date : Todays date
Picking tab
Picked qty.
10
Post Goods Issue button
150
©SrinivasaKasireddy©+91-9959765211
Note down the delivery document 80015213
Outbound Delivery menuDisplay
Outbound delivery : 80015213 (comes automatically)
Enter
Document flow button
Select GD goods issue
Display document button
Accounting Documents button
Dr Cost of Goods Sold 6000.00
Cr Inventory FG 6000.00-
7. Sales billing
Tcode: VF01
Same pathBilling Document
Select the Delivery document
Execute button
Goto menu ItemItem Conditions
Enter CnTy ‘MWST’ and Amount ‘5%’
CnTy Amount
MWST 5
Back button
Save
[Note down the billing document no)
Billing document menuDisplay
Billing document : xxxxxxxxxxxxx
Accounting button
Dr LAP SD Customer 7276.50
Cr Sales 7000.00-
Dr Discount 70.00
Cr VAT Payable 346.50
In case of error ‘Document xxxxxxxx saved (no accounting document generated)’ ,
for complete error analysis:
TCode: VF02
151
©SrinivasaKasireddy©+91-9959765211
Billing document :
Billing document menu Release To Accounting
Double click on the error msg
Error: Account 400491 requires an assignment to a CO object
Solution : Delete cost element 400491 temprorarily and create again in the netx topic
8. Creating Cr Memo request
Tcode : VA01
SAPEasy AccessLogisticsSales and DistributionSalesOrderCreate
Order type : CR
Sales Organization : LANS
Distribution Channel : LD
Division : LS
Create with Reference button
Bill doc tab
Billing Document : XXXXXXXXXXX
Copy button
Item overview tab
Billing block : Blank
Target quantity
2
Sales tab
Billing block : Blank
Order reason : Damaged in transit
Billing Date: Today’s date
Item detail tab
Billing block : Blank
Edit menu  Incompletion log
Save
9. Posting Cr Memo
Tcode : VF01
Document
152
©SrinivasaKasireddy©+91-9959765211
Enter Cr memo request
Execute button
Save
Billing document menuDisplay
Billing document 90036292
Accounting button
Double click on Accounting document
Entry should be :
Cr LAP SD Customer 1455.30-
Dr To Sales 1400.00
Cr Discount given 14.00-
Dr VAT Payable 69.30
10. Sales Return Order (RE)
Tcode : VA01
Order Type : RE
Create with Reference button
Order tab
Order : xxxxx
Copy button
Sales Tab :
Delivery block : Blank
Billing block : Blank
Order reason : Returns
Order Quantity
5
Select Item 10
Goto menu ItemConditions
Edit menuIncompletion log
Save
11. Return Delivery (VL02n)
Tcode : VA02
Order : XXXX
Enter
Sales document menuDeliver
153
©SrinivasaKasireddy©+91-9959765211
Actual GI date : Todays date
Picking Tab
Deliv
.Qty
SLoc
5 LAP1
Post goods Reciept button
12. CR Memo with reference to Returns order
TCode : VF01
Select Return sales order Execute
Save
Billing document menuDisplay
Billing document : xxxxxxxxxxx
 Accounting button
154
©SrinivasaKasireddy©+91-9959765211
9. Profitability Analysis
In SAP we have two tools to analyse the Profitability
EC-PCA CO-PA
Profit Centre Accounting Profitability Analysis
To analyze the Profitability at organizational
units called Profit Centres.
Profit centres can be structured according to
Plants, Branch offices, Products or Product
ranges.
To analyze the Profitability at Profitability
segments like Customer , Employee ,
Product etc
This is called Multidimensional Profitability
Eg: Customer wise profit, Employee wise
profit ,Product wise profit
PCA uses Period accounting and Cost-of-
sales accounting
PA uses Cost-of-sales accounting method
PA is of two types Costing-Based and Account-Based . Both types can be used
simultaneously.
Costing-Based PA Account-Based PA
Costing-Based PA uses Value fields to group cost and
revenue elements.
Account-Based PA uses cost
and revenue elements
Reconcilation issues : Reconciliation between FI and
COPA.
SD: Delivery updates COGS in FI immediately but not
COPA. Billing updates FI with revenue.
Billing : During billing COPA is updated with COGS and
revenue
Reconcilation issues happens when delivery isdone in
one period and billing is done in a different period
No reconciliation issues
COGS can be split in to cost components Cost component split is not
possible
Varaince analysis is possible Variance analysis not poosible
1. Settings
1. Maintain Operating Concern
Operating Concern is the highest node in CO. ie It is above the Controlling Area.
155
©SrinivasaKasireddy©+91-9959765211
Op Concern 1
CoArea1
CoCd1
CoCd2
Co Area 2
CoCd3
CoCd4
Info : In Operating Concern we define the PA reporting data structure . Operating concern
contains a list of Characteristics and Value fileds.
Characteristic is the level at which you see the report and Value field is what figure you
want to see in the report .
Eg: You want to see customer wise revenue /cost of sales/ profit. Here customer is the
characteristic . and revenue /cost of sales/ profit are the value fields .
Path:SPROControllingProfitabilty AnalysisStructuresDefine Operating
ConcernMaintain Operating Concern
Operating Concern : LAP1
Create button
Enter to Ignore the msg
Description : LAP Operating concern
Costing-based
Account-based
Attributes tab
Operating concern currency : INR
Company Code Currency √
Fiscal year variant : V3
Save
Data Structure Tab
Create button
Select KMVTNR Sales employee and MATKL Material Group
Fixed Characteristics: In every opearing concern there are some fixed characteristics,
which are included into operating concern automatically.
Eg: Product ,Company code,Co-area, Sales order etc
Predefined Characteristics : Optionally we can include more characteristics . These are
predefined in the field catalogue and explicitly added to operating concern .
Eg : Sales employee , Material Group, Customer group etc
Customer –defined Characteristics :
We can also define our own characteristics in field catalogue . From there you can include
them in your operatining concern.
√
√
156
©SrinivasaKasireddy©+91-9959765211
Left arrow button
Value fields Tab
Select VV010 Revenue,
VV030 Customer discount,
VV100 Outgoing Freight
VV130 Internal sales comm
VV140 COGS,
VV150 Material Input,
VV250 Mat OH
VV400 Production costs
VV700 Sales Quantity
VV713 Advertising,
VVIQT Invoiced Quantity ,
KWSGEK Other overhead
Info : Value fields are to be included in to the operating concern according to the requirement
from the field catalogue . Here we are including the above value fields.
A value field can be either an amount field or a quantity field. In the above value fields sales
quantity, invoiced quantity are quantity fields and others are amount fields.
Left arrow button
Save
Activate button
Back button
Yes button to generate Operating Concern environment
(Status should turn into green))
Enter to ignore the Msg
Save
2. Displaying Characteristic list
Upto Define Operating Concern Same path
Maintain Characteristics
Display button
Extras menuFixed fields
157
©SrinivasaKasireddy©+91-9959765211
3. Define Profitability Segment Characteristics(Segment-
Lvl Characteristics)
Upto Structures same path
Define Profitability Segment Characteristics(Segment-Lvl Characteristics)
Operating concern : LAP1
Enter
Char Description CostBased+AcctBased
ARTNR Product
KNDNR Customer
KAUFN Sales Order
Save
Continue
Info : Profitability segment is a unique combination of the above selected characteristics . ie
Only the characteristics selected for the above setting will be used in profitability segments.
Eg :
ProdA / Customer 1 = Proft seg 1
ProdB / Customer 1 = Proft seg 2
ProdA / Customer 2 = Proft seg 3
4. Assign Co-Area to Operating Concern
SPROEnterprise StructureAssignmentControllingAssign controlling area to
operating concern
Position button
CO Area : LAP
Enter
COAr OpCo
LAP LAP1
Save
Continue
Error : Controlling area and op. concern have different fiscal year variants
Solution : Make sure if Op Concern and CoArea have same FYV. If they are different
change the FYV in Op Concern , logoff, re-login and peroform the above step .
158
©SrinivasaKasireddy©+91-9959765211
5. Define No ranges for Actual Postings
Path: SPROControllingProfitability Analysis Flows of Actual Values Initial
Steps
Define Number Ranges for Actual Postings
Operating concern : LAP1
Maintain Groups button
Create button
Group : COPA docs LAP
From No To Number
9000000000 9999999999
Save
Continue
Back button
Click on ‘F’
Element/Group button
Double click on ‘ COPA docs LAP’
Repeat the process for A, B, C
Save
Continue
Info:
Data is generated in PA when documents are posted in SD , FI or MM components. For Eg
when a billing document is generated in SD , a PA document is generated as well.
6. Activate Tranfer of Incoming Sales Orders
Up to Flows of Actual Values same path
 Transfer of Incoming Sales Orders Activate Transfer of Incoming Sales Orders
Position button
CO Area : LAP
Enter
COAr Inc.SO
LAP 1 ie Active with date of entry
Save
Continue
159
©SrinivasaKasireddy©+91-9959765211
7. Maintain Assignment of SD Conditions to CO-PA Value
Fields
Up to Flows of Actual Values same path
 Transfer of Billing Documents Assign Value Fields
Double click on Maintain Assignment of SD Conditions to CO-PA Value Fields
New Entries
CTyp Val.fld
PR00 VV010
VPRS VV140
K007 VV030
Save
Continue
8. Assign Quantity Fields
Up to Flows of Actual Values same path
Transfer of Billing Documents Assign Quantity Fields
New Entries
SD qty field Name CO-PA qty field Name
FKIMG Billed Quantity VVIQT Invoiced Quantity
KWMENG Order
Quantity
VV700 Sales quantity
Save
9. Create Revenue element for GL account ‘Sales’
Tcode : FS00
Select GL account 300510
Change button
Edit Cost element button
Valid From : 1.4.2011
Enter
CostElemCategory : 11 i.e. Revenue
Save
10. Create Cost element for GL account ‘Discount given’
160
©SrinivasaKasireddy©+91-9959765211
Tcode : FS00
Select GL account 400491
Change button
Edit Cost element button
Valid From : 1.4.2011
Enter
CostElemCategory : 12 i.e. Sales deduction
Save
11. Creating GL account Advertising
Tcode : FS00
Select GL account 400500 Salaries
Copy button
GL account: 400707
Enter
Change the Description to ‘Advertising’
Save
Edit Cost element button
Valid From : 1.4.2011
Enter
CostElemCategory : 1
Save
12. Create Secondary Cost Element(Settlement)
Tcode : KA06
Cost Element : 1000000008
Valid From : 1.4.2011 to 31.12.9999
Enter
Name : IO settlemnt
Description : IO Settement
CElem category : 21
Save
13. Maintain allocation Structure :
161
©SrinivasaKasireddy©+91-9959765211
SPROControllingInternal OrdersActual PostingsSettlementMaintain
Allocation Structure
Select Allocation Structure ‘A1’
Double click on Assignments folder
New Entries
Assignment Text
070 Advtising
Save
Continue
Select Assignment ‘070’
Double click on Source folder
From cost el To cost elem
400707
Save
Double click on Settlment cost elements folder
New Entries
Receiver cat By cost element settlement cost elem
PSG 100000008
Save
14. Maintain PA Tranfer Structure
Same path
Maintain PA Transfer Structure
New Entries
Structur
e
Text
L1 IO --> PA tranfer
Save
Continue
162
©SrinivasaKasireddy©+91-9959765211
Select Structure ‘L1’
Double click on Assignment lines folder
New Entries
Assignment Text
Q1 All cost
Save
Select Assignment ‘L1’
Double Click on Source folder
Cost Element
From : 400707
Costs/revenue
Save
Double click on Value fields folder
New Entries
Quantity/valu
e
Fixed/Variable Value fld
Value field 2 Variable VV713
Save
15. Maintain Settlement Profile
Same path
Maintain Settlment Profile
Double click on ‘Maintain Settlement Profiles’
 New Entries
Settlement profile : LAP1 IO-->COPA
Actual Costs/Costs of Sales
To Be Settled in Full
Default Values
Allocation structure : A1
PA transfer str. : L1
Default object type : PSG
Indicators
163
©SrinivasaKasireddy©+91-9959765211
%-Settlement
Valid Recievers
Cost center : Settlement Optional
Profit. Segment : Settlement Optional
Other Parameters
Document type : SA
Max.no.dist.rls : 999
Residence time : 3
Save
16. Maintain Number Ranges for Settlement Documents
(Skip this step already done in topic IO->CC settlement)
Same menu path
Maintain groups button
Create button
Group : Settlemnt DOcs LAP
From No To Number
070000000 0799999999
Save
Enter
Back button
Click on ‘LAP’
Assign elemnt group button
Double click on ‘Settlemnt Docs LAP’
Save
17. Creation of internal Order Types
SPROControllingInternal ordersOrder Master DataDefine Order types
New Entries
Order category : 01 ie Internal Order (Controlling)
Enter
Order type : EVNT
Description : Events
Settlement prof : LAP1
Planning profile : 000001
164
©SrinivasaKasireddy©+91-9959765211
Object class : Overhead cost
√ Release immediately
Assign/change interval button (next to Number range interval)
Yes button
Continue
√ Motor pool A-zzzzzzzz(external)
Not assigned
Double click on EVNT
Element/Group button
Save
Continue
18. Activate Profitability Analysis
Up to Flows of Actual Values same path
 Activate Profitability Analysis
Position
CO Area : LAP
COAr Name FromFY Op.concern Active status
LAP CO area for LAP 2012 LAP1 4
Save
Continue
19. Create IO Adv Event
Tcode: KO01
Order type : EVNT
Enter
Order : ADVEVNT_LAP
Description : Adverstsing Event
Company Code : LAP
Business area : LANZ
Control data Tab
Statistical order
Info:Select the check box to make it a statistical IO , else it will be a Real IO
Save
 Settlement Rule button
Cat Settlement Reciever
PSG
165
©SrinivasaKasireddy©+91-9959765211
Enter
Product : LAPFG
Enter
Cat Settlement Reciever % Settlemnt type
PSG 100 FUL
Save
20. Create No. Range intervals for Bus Transactions KOAO
Tcode : KANK
CO Area : LAP
Maintain Groups Button
√ No. Range for CO Document (LAP)
Double click on Business Transaction ‘KOAO’ ie Actual settlemnt,
Element/Group button
Save
Continue
21. Maintain PA Transfer Structure for Direct posting
Up to Flows of Actual Values same path
Direct Posting from FI/MM Maintain PA Transfer Structure for Direct Postings
Select Structure ‘FI’ ie Financial Accounting --> CO-PA
Double click on Assignment lines folder
Controlling Area : LAP
Enter
 Select Assignment ‘10’ ie Direct costs from FI
Double click on Source folder
Cost Element
From : To :
Group :
Double click on Value fields folder
New Entries
Quantity/valu
e
Fixed/variable Value fld
166
©SrinivasaKasireddy©+91-9959765211
Value field 1
Double click on Assignment lines folder
 Select Assignment ‘20’ ie Direct revenues from FI
Double click on ‘Source’ folder
Cost Element
From : 300510 To :
Double click on ‘Value fields’ folder
New Entries
Quantity/valu
e
Fixed/variable Value fld
Value field 1 VV010
Double click on Assignment lines folder
 Select Assignment ‘30’ ie Sales Deductions / Rebates
Double click on ‘Source’ folder
Cost Element
From : 400491 To :
Double click on ‘Value fields’ folder
New Entries
Quantity/valu
e
Fixed/variable Value fld
Value field 1 VV030
Save
Continue
22. Transfer of old SD data to PA
We perform this activity in the following two scenarios
Scenario 1 : In the lab if we post SD documents before configuring PA.
Scenario 2 : In the live project if SD module has been implemented before implementing
PA. After implementing the PA we can generate the PA documents for old SD documents.
Scenario 3 : Can also be used for corrective posting of documents in COPA. Existing COPA
docs are reversed and new documents are generated
Path: SPROControllingProfitability AnalysisToolsProduction Start
upSubsequent
Posting of Documents Post Billing Documents Subsequently
TCode : KE4S
167
©SrinivasaKasireddy©+91-9959765211
Billing Type : F2 ,G2
Company Code : LAP
√ Test run
√ Create log
Check for existing records
Execute
Back button
Test run
Execute
Error : Document with unauthorized business transaction “SD00”
Solution : Activate profitability analysis
2. SD End User
1. Creating Sales order
Tcode: VA01
Create a Sales order for Material LAPFG
Qty : 50
2. Delivery of goods to customer
Tcode : VL01N
Post goods issue for the above sales order
Picked Qty : 50
3. Billing document
Tcode : VF01
Post a billing document for above Delivery document
4. Display Billing document
Tcode : VF03
Billing document : 90036262
Accounting button
Double click on Profitab. Analysis
Value fields Tab
Make a note of Value fields Cash discount, Cost of goods sold, Revenue
Invoiced quantity 50 EA
Cash discount : 350.00
168
©SrinivasaKasireddy©+91-9959765211
Cost of goods sold : 30,000.00
Revenue : 35,000.00
3. FI Enduser
1. Posting transaction in FI
Posting cash sales :
Tcode : F-02
Dr LANZ 0000200691 Cash 18.000,00
Cr LANZ 0000300510 Sales 18.000,00-
In the second Item
Profit ,segment button
Plant : LAP1
Sales Org. : LANS
Division : LS
Continue button
Post
2. Posting Advertising expenses in IO
Tcode :F-02
PstKy : 40 Account : 400707
Enter
Amount : 18000
Cost centre : Order : ADVEVNT
Text : Advertising expenses
PstKy : 50 Account : 200691
Enter
Amount : *
Business area : LANZ
Text : +
Document MenuSimulate
Post
169
©SrinivasaKasireddy©+91-9959765211
4. CO End User
1. Set Operating Concern
Tcode : KEBC
SAP Easy Access AccountingControllingProfitability
AnalysisEnvironmentSet
Operating Concern
Operating concern : LAP1
Costing-based
Enter
2. IO Settlement
SAP Easy AccessAccountingControllingInternal OrdersPeriod End
ClosingSingle FunctionsSettlementIndividual Processing
Tcode : KO88
Order : ADVEVNT
Parameters
Settlement period : 6
Fiscal Year : 201
Processing type : Full Settlement
√ Test Run
√ Check trans. Data
Execute
Details list button
Back button two times
Test Run
Execute
3. Display COPA Line items:
Upto Profitability Analysis Same path
Actual PostingsDipaly Line Items
Tcode :KE24
Currency type : 10
Company code : LAP
Execute
170
©SrinivasaKasireddy©+91-9959765211
Enter
4. Checking the flow of Billing Documents
SAP Easy AccessAccountsControllingProfitability AnalysisToolsAnalyze
Value
Flows Check Value Flow in Billing Document Transfer
Tcode: KEAT
Company Code : LAP
Currency type : 10
Sales Organization : LANS
√ Display FI values
Execute
5. Displaying COPA tables(Costing Based)
When we a create an operating concern a set of tables are created . The name of
COPA tables start with ‘CE’ .
For eg : CE1XXXX - Actual line items
CE2XXXX - Planned line items
CE3XXXX – Segment level totals/Period
CE4XXXX- Segment definition
where XXXX stands for your Opearting concern name.
171
©SrinivasaKasireddy©+91-9959765211
10. COPA-Valuation Overview
Valuation is used to calculate/extract extra information which is not available at the
time of data transfer to CO-PA .
Eg : Sale deduction like commission, cash rebates which are not available in the
invoice can be calculated
Cost of sales can be extracted using standard cost estimates from Product cost
planning component or actual cost from Actual costing / ML component.
Special direct costs like transporting ,packaging can be calculated
Data transfer to CO-PA without valuation function :
Information available based on SDCOPA mapping()
Product COGS Discount Revnue ?
Prod A 2700 100 3600
Prod B 3000 150 4000
Contbution margin(Gross profit) = 7600-(5700+250)= 1550
Profit from prod A = 3600-(2700+100) = 800
1. Valuation using Conditions
Condition technique can be used to calculate sales deductions like commsion, Cash
deductions, rebates which are unknown at the time of invoice generation. And also to
determine direct costs such as frieght, packaging or insurance which are not known at
the time of billing.
172
©SrinivasaKasireddy©+91-9959765211
Requirment 1 : Calculate Sales Commsion, Freght charges
Solution : We can valuate Sales commission and freight in COPA using Condition
tequniue
(We are going to configure this scenario in a dedicated topic ‘CO-PA Valuation-1’)
Sales commsion = 2% revenue
Freight = 5 Rs /Kg
Product COGS Discount Revnue Quantity Antcipated
Sales
commison
Anticipated
Freght
Prod A 2700 100 3600 10 72 50
Prod B 3000 150 4000 5 80 25
2. Valuation using Mat. Cost Estimates
To update Cost of sales with latest material cost estimate.
Requirement 2 : Component wise analysis for COGS
COGS is to be split into components like Mat cost, Mat OH ,Prod cost etc
Solution = Valuation with Mat cost estimate
(We are going to configure this scenario in a dedicated topic ‘CO-PA Valuation-2’)
Extra mapping to be done as shown in the following image
Image : Mapping Cost component structure-COPA value fields
173
©SrinivasaKasireddy©+91-9959765211
Product COGS Discount Revnue Quantity Sales
commison
Freght RM
cost
RM
OH
Prod Cost
Prod A 2700 100 360 10 72 50 1500 150 1050
Prod B 3000 150 400 5 80 25 2000 200 800
Requirement3 : Revaluated prices should reflect in COPA at month end
Month end revaluation of stock using new standard price
During the month :
Standard price prod A = 270.00 Rs
Reciept of FG to inventory from Prod :
Posting to inv a/c = 270X50 = 13,500.00
Delivery to customer :
Posting to inv a/c = 270X10 = - 2700.00.00
Current inventory = 40X270 = 10800.00
At month end
New standard price = 280.00 Rs
Revalution of stock with new standard price :
40X280 = 11200.00
Amount to be posted to Loss/gain from revaluation a/c = 400.00 Rs
Solution : Periodic Revaluation
(We are going to configure this scenario in a dedicated topic ‘CO-PA Valuation-3’)
For prod A the defference is posted as a delta item as shown in the 3rd
row
Product COGS Discount Revnue Quantity Sales
commison
Freght RM
cost
RM
OH
Prod Cost
Prod A 2700 100 3600 10 7.2 50 1500 150 1050
Prod B 3000 150 4000 5 8 25 2000 200 800
Prod A 100 50 20 30
174
©SrinivasaKasireddy©+91-9959765211
175
©SrinivasaKasireddy©+91-9959765211
1. CO-PA Valuation-1
(In this Chapter we configure Valution using condtions)
Valuation using conditions : We use costing sheet and condition technique to
calculate anticipated freight charges based on the sale-quantity , anticipated
commission based on the revenue.
1. Settings
1. Create Condition Types and Costing Sheets
SPROControllingProfitability AnalysisMaster Data ValuationSet UP
Conditions and Costing SheetsCreate Condition Types and Costing Sheets
Select ACT001 under pricing procedures
Copy button
Pricing procedure : LAP1 Actual: Commisions, Freight.. (LAP)
Save
Continue
2. Define and Assign Valuation Strategy:
Upto Valuation same path
Valuation Valuation StrategiesDefine and Assign Valuation Strategy
Operating concern : LAP1
Enter
Select Val.strat ‘001’ Online Valuation Actual
Double click on Details folder
New Entries
sequence Appl Costg sheet Mat.cstg Qty.field
1 KE LAP1 VVIQT
Double click on Assignment of Valuation strategy folder
New Entries
176
©SrinivasaKasireddy©+91-9959765211
PV Rec. Plan ver Val .strat Name
01 F 001
Save
3. Assign Value Fields
Upto Valuation same path
Set UP Conditions and Costing SheetsAssign Value Fields
Assign Value Fields
New Entries
CTyp Name Value fld Description
COGS Cost Price: CO-PA VV140 Cost of goods sold
DISC Customer discount VV030 Customer discount
PROV Int.Sales
Commission
VV130 Internal sales Comm.
REVN Revenue VV010 Revenue
Save
Continue
4. Valuation Analysis
Upto Profitability Analysis same path
ToolsAnalysisCheck Customazing Settings
TCode : KECM
Select ‘Overview of Valuation’ under Analysis Options folder
Point of valuation : 01 Realtime valuation of actual data
√ Billing Document
Execute
The following image explains how values flow between CO-PA value fields and costing
sheet records.
177
©SrinivasaKasireddy©+91-9959765211
2. Enduser :
1. Maintain condition record:
SAP Easy AccessAccountsControllingProfitability AnalysisMaster
DataCondition Records/PricesCreate
TCode : KE41
Condition type : PROV
Enter
Access to Sales organization
Enter
Sales Org Amount Valid From Valid to
LANS 3 1.4.2012 31.3.2013
Save
2. Creating Sales order
Tcode: VA01
Create a Sales order for Material LAPFG
Qty : 30
3. Delivery of goods to customer
178
©SrinivasaKasireddy©+91-9959765211
Tcode : VL01N
Post goods issue for the above sales order
Picked Qty : 30
4. Billing document
Tcode : VF01
Post a billing document for above Delivery document
5. Display Billing document
Tcode : VF03
Billing document : XXXXXXx
Accounting button
Double click on Profitab. Analysis
Value fields Tab
Value fields ‘Interanl sales comm’ should be filled with value
6. Valuation Simulation
SPROControllingProfitability AnalysisToolsAnalysisValuation Simulation
TCode : KE21S
Posting date : 27.11.2013 Record Type : F
Pt.of valuation : 01 Version : Blank
Legal View
Enter
Characterstics tab
Company Code : LAP
Sales Org. : LANS
Value fields tab
Revenue : 3000 (or any amount)
Valuation button( )
( Calculated Internal sales Comm. should be 90.00 per a revenue of 3000.00 )
179
©SrinivasaKasireddy©+91-9959765211
180
©SrinivasaKasireddy©+91-9959765211
2. Characteristic Derivation
181
©SrinivasaKasireddy©+91-9959765211
3. CO-PA Manual Line Item Entry
We can manually post entries in CO-PA in rare cases. If these postings are made without a
corresponding FI entry, then this can lead to a FI & CO-PA reconciliation issue. It should be
used in rare care cases like when it is too late to go back to the source module to make the
posting (e.g. when the period closing for that module has been carried out.)
TCode : KE21N
SAP Easy AccessAccountsControllingProfitability AnalysisActual
PostingsCreate Line items
182
©SrinivasaKasireddy©+91-9959765211
4. Top-Down Distribution of Actual Data
In CO-PA value fields like revenue , sales deductions and COGM are posted to
detailed level characteristics like Product/customer . Some transactions like freight
charges, insurance cost can not be attributed directly to detailed levels like
product/customer . So they are posted summarily to higher levels like division ,sale
organization etc.
The ‘Top-Down Distribution’ function can be used periodically to distribute the data from
higher summerised levels to lower detailed levels.
Scenario : There are two products under one material group. When posting in FI,
Freight charges are transferred to material group in CO-PA . For the sake of analysis ,
product level freight charges are to be calculated. ‘Invoiced quantity’ is the basis for
distribution.
1. Settings
1. Maintain Characteristic Groups
SPROControllingProfitability Analysis Flows of Actual Values
Initial StepsCharacteristic GroupsMaintain Characteristic Groups
Operating concern : LAP1
Enter
New Entries
Characteristic group Text
LAP1 Freight Charges posting
Save
Continue
Select Characteristic group ‘LAP1’
Double click on Characteristics folder
New Entries
Row number Field Name Field Description Entry Status
1
2
3
4
5
6
7
KNDNR
ARTNR
WERKS
VKORG
VTWEG
SPART
MATKL
Customer
Product
Plant
Sales Org.
Distr. Channel
Division
Material Group
Field ready for input
Field ready for input
Required entry
Required entry
Required entry
Required entry
Field ready for input
183
©SrinivasaKasireddy©+91-9959765211
8 KOKRS CO Area Field not ready for input
Save
2. Assign Characteristic Groups for Assignment Screen
Same Path
New Entries
BusTran Name Charct.group Name Entry aid
RFBU FI: Postings LAP1 Freight charges posting
Click on the button in the Entry aid column
Plant : LAP1
Sales Org. : LANS
Distr. Channel : LD
Division : LS
 ‘Save new entry aid’ button ( )
Name : Mat Group
Continue
Continue
2. Enduser
1. Creation of Material FG(LAPFG9)
Tcode : MM01
Material : LAPFG9
Industry Sector : Mechanical Engineering
Material Type : Finished products
Select View(s) button
Select Basic Data1, Sales: Sales Org. Data 1 , Sales: Sales Org. Data2 ,
Sales: General/Plant Data , MRP 1 , and Accounting 1
Org. Levels button
Plant : LAP1
Stor. Location : LAP1
Sales Org. : LANS
Distr. Channel : LD
Enter
Description : LAP FG9
Base Unit of Measure : EA
Material Group : LAPM
184
©SrinivasaKasireddy©+91-9959765211
Division : LS
GenItemCatGroup : NORM
Sales: sales org .1 tab
Delivering plant : LAP1
Tax Data
Tax Classification : 1 for UTXJ
1 for MWST
Sales: sales org. 2 tab
Acct assignment grp : 03 ie Finished Goods
Item category group : NORM
Sales: General/Plant tab
Gross Weight : 1
Net Weight : 1
Availability check : KP (no check)
Trans. Grp : 0003
Loading Grp : 0003 ie Manual
MRP 1 Tab
MRP type : ND ie No plan
Accounting 1 tab
Valuation class : LAP3 (Finished Product)
Price control : S (std. price)
Standard price : 900
Save
2. Create Condition Record
TCode : VK11
Condition type : PR00
Key Combination button
Material with release status
Enter
Sales Organization : LANS
Distribution Channel : LD
Material Amount Valid From Valid to
LAPFG9 1200 1.04.2011 31.03.2012
Save
…
…
…
…
185
©SrinivasaKasireddy©+91-9959765211
3. Sales Order
TCode : VA01
Material Order quantity
LAPFG9 10
4. GRfrom Production
Tcode :MB1C
Up to Logistics same pathMaterails ManagementInventory ManagementGoods
Movement Goods ReceiptsOthers
Document date : Todays date
Movement type : 521 (receipt w/o production order into unrestricted use stock)
Plant : LAP1
Storage location : LAP1
Enter
Material Qty.
LAPFG9 50
Enter
Text : GR from production
Post
Enter to ignore the warning message
Post
5. Delivery
TCode : VL01N
6. Billing
TCode :VF01
7. Posting Freight charges in FI
Tcode : F-02
PstKy : 40 Account : 400592 Freight Charges
Enter
Amount : 9000
Cost Centre : 1000
Text : Freight charges payment
’Enter account assignment’ button( ) next to Profit.Segment
186
©SrinivasaKasireddy©+91-9959765211
Double click on ‘Mat Group’ under Central entry aids
Material Group : LAPM
(Plant , Sales Org. Distr. Channel, Division, filled automatically)
Continue
Pst Ky : 50 Account : 200691
Enter
Amount : *
Text : +
Document menu Simulate
Post
8. Display Actual line items
TCode : KE24
9. Top-Down Distribution
SAP Easy Access  AccountingControlling  Profitability Analysis  Actual
Postings  Period-End Closing Periodic Adjustments Top-Down Distribution
TCode :KE28
Operating concern : LAP1
Enter
Actual Data
From Period : 8.2013 to 8.2013
Record Type : B Dir.posting from FI
All Valuation Views
Reference Data
From Period : 8.2013 to 8.2013
Version : Actual data
Record Type : F
Cumulative Periods
Cumulate Record Type
Reference base
Single Val. Fld
Value Field : Invoiced quantity
√ Test run
187
©SrinivasaKasireddy©+91-9959765211
Selction Criteria button
Product : *
Material Group : LAPM
(All remaining charceristics value = *)
Processing Instructions button
Characteristic Distibution Lvl Copy Value Summarize Value
Customer
Product
Sales Order
Company Code
CO Area
Plant
Business Area
Sales Org.
Distr. Channel
Division
Profit Center
Sales employee
Material Group
Unit Sales qty
Unit Inv. qty
Value fields button
Deselct all button
√ Outgoing freight
( Other value fields should be deselected)
Save button(to save the variant)
Variant : LAP1_testmode
Save
188
©SrinivasaKasireddy©+91-9959765211
Back button
Execute
Messages tab
(Msg for successful distribution : Editing has been completed successfully)
Result tab
Click in ‘Receivers’ column (It should display number of receivers)
(Inv.qty is the basis for distribution of freight charges )
Back button
Test run
(Enter all other input parameters as before)
Save button(to save the variant)
Variant : LAP1_updatemode
Save
Back button
Execute
189
©SrinivasaKasireddy©+91-9959765211
10. Display Actual Line items
TCode : KE24
(A new COPA document with 3 items is generated)
11. History
Same path
TCode : KE28L
Operating concern : LAP1
Enter
Variants
Variant : LAP1_updatemode
Status
√ Test Run √ Update Run √ Cancelled
√ Successful √ with Warnings √ Errors Found
Execute
Expand subtree button( )
Line Items button ( )
190
©SrinivasaKasireddy©+91-9959765211
5. Profit Centre Accounting
EC-PCA(Enterprise control PC
accounting)
CO-PA(Profitablity Analysis )
is used to analyse profits at
organizational levels
PA is multidimensional
Used to analyse profits in multiple dimensions
like customer, Products, Sales org
Sales employee etc
1. Set controlling area:
Path: SPROControllingProfit Center AccountingBasic SettingsSet Controlling
area
T Code : OKKS
Controlling area : LAP
Enter
2. Maintain Controlling Area Settings:
Same path up to Basic settingsControlling Area SettingsMaintain Controlling area
Settings
Standard Hierarchy : STD_HIER
Elim. of Int. Business vol. √
PCtr Local Currency Type : 20 (CoArea currency)
Control indicators
From Yr. Active Indicator
2012 √
Save
Continue
3. Create Dummy profit centre:
Up to Profit Center accounting same path
Master DataProfit CentreCreate Dummy Profit Centre
Double click on ‘EC-PCA:Create Dummy Profit Center’
Dummy Profit Center : LAP_DUMMY
Basic Data button
Name : Dummy PC for LAP
191
©SrinivasaKasireddy©+91-9959765211
Description : Dummy PC for LAP
Porfit Center Group : STD_HIER
Save
Enter to ignore the warning message
4. Set Control Parameter for Actual Data:
Up to Profit Center Accounting same pathBasic settings Controlling area Settings
Activate Direct postingsSet Controls Parameters for Actual Data
New entries
From year Line items Online transfer
2012 √ √
Save
Continue
5. Maintain Plan Versions
Same path up to Activate Direct postings
Plan VersionsMaintain Plan Versions
Select version ‘0’ ie Plan/actual version
DoubleClick on ‘Settings for Profit Center Accounting’ folder
New Entries
Year Online Transfer Line items ExRate Type
2012 √ √ M
Save
 Continue
6. Define Number Ranges for Local Documents:
Up to Prfit Center Accounting same path
Actual PostingsBasic Settings: ActualDefine Number Ranges for Local Documents
Maintain Groups button.
√ Act document from direct posting with GB01
Interval menuMaintain
Company code : LAP
Enter
Insert interval button
Year From Number To Number
2012 0100000000 0199999999
192
©SrinivasaKasireddy©+91-9959765211
Enter
Save
Continue
 Back button
√ Planned doc. from direct posting with GB01
Interval MenuMaintain
Company Code : LAP
Enter
Interval Button
Year From number To number
2012 0700000000 0799999999
Enter
Save
7. Creating Profit Centres
Tcode : KE51
SAP Easy AccessAccountingControllingProfitCenterAccountingMasterData
ProfitCenterIndividual
ProcessingCreate
Profit Centre : 1001
Enter
Analysis Period 01.04.2012
Name : Hyd plant
Long text : Hyd Plant
Person responsible : Mr. T
Profit centre group : STD_HIER
Save
Enter to ignore the warning message
Enter to confirm the message
Activate button
Profit centre : 1002
Enter
Name : Mum plant
193
©SrinivasaKasireddy©+91-9959765211
Long text : Mum plant
Person Responsible : MR. M
Profit Centre group : STD_HIER
Save
Enter
Activate
8. Assign Profit Center in CostCenter :
Tcode : KS02
Cost Centre : 1001
Enter
Profit Centre : 1001
Save
Yes button to ignore the warning message
Enter to ignore the warning message
Repeat the same procedure for CCs 1002 and 1003
Error : Changing profit center from to xxxx is not permitted
Solution : Change error msg to warning msg
Double click on the error msg
Note down the msg no (here it is FAGL_ORG_UNITS011 )
Path : Up to Prfit Center Accounting same path
ToolsChange Message control
Application Area : FAGL_ORG_UNITS
Enter
New Entries
MsgNo User Name Online Batchl
011 W E
Save
Continue
9. Create Sales Account As Revenue Element:
Tcode : FS00
Select GL account 300510 (Sales)
194
©SrinivasaKasireddy©+91-9959765211
Change buttonEdit cost element button
Valid From : 1.4.2012
Enter
Cost Elem category : 11 ie Revenue
Save
(Already done in PA)
10. Maintain Automatic Account Assignment Revenue
element:
SPROControllingProfitCenter Accounting Actual PostingsMaintain Automatic
Account Assignment of Revenue Element
New Entries
CoCd Cost Elem. Profit Ctr Acct assignment detail
LAP 300510 1001 2 Business Area is mandatory
Save
Continue
Select Company code LAP with CostElement ‘300510’
Double click Details per business area/Valuation area
New Entries
ValA Business Area Cost Center Profit Center
Blank LANZ 1001
Save
1. End User
1. Posting of Salaries
Tcode : F-02
PstKy : 40 Account : 400500
Enter
Amount : 36000
Cost Centre : 1001
Text : Salaries payment
Pst Ky : 50 Account : 200792
Enter
195
©SrinivasaKasireddy©+91-9959765211
Amount : *
Text : +
Document menu Simulate
Post
2. Posting Sales Invoice
Tcode : F-22
Psky : 01 Account : LAPGNCUST
Enter
Amount : 43000
Business area : LANZ
Text : Sales invoice
Psky : 50 Account : 300510
Enter
Amount : *
Text : +
Profitability segment button
Profit Center : 1001
Enter
Document menu Simulate
Post
3. Transfer of values from one ProfitCenter To another
ProfitCenter:
Tcode: 9KE0
Up to ProfitCenter Accounting same path
Actual PostingsProfitCenter DocumentEnter
Layout : 8A-001
Document type : A0
Execute
Company code : LAP
Entry Screen button
Profit
center
Account number In pctr local curr
1001 400500 -9000
1002 400500 9000
Save
196
©SrinivasaKasireddy©+91-9959765211
4. Display Profit Centre Report:
Up to Profit Accounting same path
Information systemReports for ProfitCenter AccountingLine item Reports
 ProfitCenter :Actual Line items
Tcode : KE5Z
Record type : 0
Co Area : LAP
Company Code : LAP
Posting Period : 5
Fiscal Year : 2012
Account :
Profit Center : 1001
Execute
197
©SrinivasaKasireddy©+91-9959765211
6. Product Cost Planning
Moving Average Price/Standard price
Moving Average Price Standard Price
Price is updated on every goods receipt and
invoice reciept.
Variance arises rarely (for example GR price is
different and enough stock is not available to
adjust)
Generally used for RM
Price is fixed for at least over a period.
We calculte the std price periodically.
Varaince is calculated and posted to
variance accounts .
Generally used for FG , Semi FG
Std price can be calculated with either
product cost planning or Actual costing
The following types of cost estimates can be created in the Product Cost Planning
component :
1 . Cost Estimate for Base planning object (Reference and Simualtion Costing)
2. Cost Estimate with Quantity Structure
3 . Cost Estimate with out Quantity Structure
Costing Sequence
Type of
Cost
Estimate 
Reference and
Simualtion Costing

Cost Estimate without
Quantity Structure

Cost Estimate with
Quantity Structure
Time
Stage
New product
proposal / Master
data is not
available

First Prototype/ Material
master data is available /
PP master data not
available
(Eg : BOM and routing
data not available

Production stage /
Complete MM and PP
master data is availble
Cost
estimate
type
Unit Cost Estimate Unit Cost Estimate Automatic Cost Estimate
and Unit Cost
Estimate(only for Additive
cost)
Automatic vs Unit Cost Estimate
Automatic Cost Estimate Unit Cost Estimates(Manual entry of cost items)
Cost Esimate is created automatically Unit Cost Estimate is prepared manually for various
198
©SrinivasaKasireddy©+91-9959765211
based on the PP quantity Structure .
BOM (Bill of Material provides
planned qty of RM)
Routing( Priovides number of Activity
uints required )
cost items or by copying from other cost objects.
Eg: Unit Costing is used for
1. Materials without quantity structure
2. Materials with quantity structure to enter
additive costs
3. Base Planning objects
Cost Component Split
We can generate one or two types of the following cost component splits.
1. Cost of goods manufactured
2. Primary cost component split
We specify one of the above cost component splits as the Main cost component split
and one as the Auxiliary cost component split.
Main CCS and Auxiliary Aux CCS can be specified at the combination of company code
, plant and costing variant level as in the following screen shot
199
©SrinivasaKasireddy©+91-9959765211
Main Cost Copmonent Split is used for updating the standard price in the material
master. An Itemization is avialble for only Main cost component split.
Auxiliary cost component split is used for comparision purpose.
1. Reference and Simualtion Costing
Reference and Simualtion Costing is used to create a cost estimate for a newly
propsed product/service for which no master data is available.
Scenario : A cost estimate is to be created for a product(LAPFG1) which is to be
manufactured in house . In the production process various components are used and
activities(internal and external ) are performed apart from subcontracting .
The components/subcomponents materials are given in the following table.
Component Material type Procurement Valuation
LAPRM1 Raw Material External purchase from two
different vendors(Procurement
alternatives)
Price from purchase
info record
LAPRM2 Raw Material External purchase Price from material
master record
LAPSFG1 Semifinished
product
In-house production in the same
plant with two production versions
To be costed
LAPSFG2 Semifinished
product
In-house production/Different plant
(Special Procurement)
Existing costing data
from supplying plant is
to be used
LAPPM Packing
material
External purchase Price from material
master
200
©SrinivasaKasireddy©+91-9959765211
Solution : We create a baseplanning objects for each of the two semifinished
products .For these two base planning objects we create single level unit cost
estimates. The costing items are to be entered manually in the list screen/detail screen
of unit costing .
Then we perform multilevel unit costing We can create a worklist which facilitates
access to frequently used data.
The activity details are given in the following table
Activity Internal or
external ?
Valuation
Machine
hour
Internal Calculating actual cost using actual costs recorded in
cost centers
Assembling Internal Activity price is set manually
Processing Internal Activity price is set manually
Packing External Price from purchase info record
1. CO Settings
1. Creating Secondary Cost Elements
TCode : KA06
Extras menu  Set Controlling area
Controlling Area : LAP
Enter
Cost element : 1000000001
Valid From : 1.4.2011 to 31.12.9999
Enter
Name : RM OH
Description : RM OH
CostElem Category : 41 (OH rate)
Save
Cost element : 1000000002
Valid From : 1.4.2011 to 31.12.9999
Enter
Name : Activity Allocation
Description : Activity Allocation
CostElem Category : 43 (Internal Activity Allocation)
Indicators tab
201
©SrinivasaKasireddy©+91-9959765211
√ Record qty
Unit of Measure : H Hour
Note : Record qty is very important setting. This can not be changed in the fiscal year if
already data is posted . This can only be changed in a new fiscal year before any data is
posted .
Save
Cost element : 1000000003
Valid From : 1.4.2011 to 31.12.9999
Enter
Name : Prod OH
Description : Prod OH
CostElem Category : 41 (OH rate)
Save
2. Creating Activity Types Machine Hour/ Packing/
Asssembling/ Processing
SAP Easy Access Accounting  Controlling  Cost Center Accounting Master
Data 
Activity type Individual Processing Create
Tcode: KL01
Activity Type : MCH
Valid From : 1.4.2011 to 31.12.9999
Enter
Name : Machine Hours
Description : Machine Hours
Activity Unit : H
CCtr categories : * (All Cost Centre Categories)
ATyp Category : 1 (Manual Entry & Manual Allocation)
Allocation Cost Element : 1000000002
Price indicator : 1 Plan price, automatically based on activity
Act. price indicator : 5 Actual price, automatically based on activity
Save
Activity Type : PCKG
Valid From : 1.4.2011 to 31.12.9999
Master Data button
202
©SrinivasaKasireddy©+91-9959765211
Name : Packing
Description : Packing
Activity Unit : UN Unit
CCtr categories : * (All Cost Centre Categories)
ATyp Category : 1 (Manual Entry & Manual Allocation)
Allocation Cost Element : 1000000002
Price indicator : 1 Plan price, automatically based on activity
Act. price indicator : 5 Actual price, automatically based on activity
Save
Activity Type : ASMB
Valid From : 1.4.2011 to 31.12.9999
Master Data button
Name : Assembling
Description : Assembling
Activity Unit : UN Unit
CCtr categories : * (All Cost Centre Categories)
ATyp Category : 1 (Manual Entry & Manual Allocation)
Allocation Cost Element : 1000000002
Price indicator : 1 Plan price, automatically based on activity
Act. price indicator : 5 Actual price, automatically based on activity
Save
Activity Type : PRCS
Valid From : 1.4.2011 to 31.12.9999
Master Data button
Name : Processing hrs
Description : Processing hours
Activity Unit : H Hours
CCtr categories : * (All Cost Centre Categories)
ATyp Category : 1 (Manual Entry & Manual Allocation)
Allocation Cost Element : 1000000002
Price indicator : 1 Plan price, automatically based on activity
Act. price indicator : 5 Actual price, automatically based on activity
Save
203
©SrinivasaKasireddy©+91-9959765211
2. MM Enduser
1. Creating Material master LAPRM1
Error : Tables TCURM and T001W inconsistent
Reason : This problem arises when a plant is created by copying another plant. Plant
assignment to company code is also copied .
Solution : Assign the plant to company code using TCode : SM31, instead of through SPRO
customizing. Table/View to be maintained is V_T001K_ASSIGN.
TCode : MM01
Material : LAPRM1
Industry Sector : Mechanical Engineering
Material type : ROH Raw Material
Select View(s) button
Select views Basic data1, Purchasing , General Plant Data / Storage 1 , Accounting 1
Org. Levels button
Plant : LAP1
Stor. location : LAP1
Enter
Basic Data1 tab:
Material : LAP RM1 (Steel)
Basic unit of measures : KG
Material Group : LAPM
Division : LS
Net Weight : 1 KG
Gross Weight : 1 KG
Purchasing Tab
Purchasing Group : LPG
Accounting 1 tab
Valuation class : LAP1
Price Control : V (Moving Average Price)
Moving Price : 270
Save
204
©SrinivasaKasireddy©+91-9959765211
2. Creating Material master LAPRM2
TCode : MM01
Material : LAPRM2
Industry Sector : Mechanical Engineering
Material type : ROH Raw Material
Select View(s) button
Select views Basic data1, Purchasing , General Plant Data / Storage 1 , Accounting 1,
Costing1 and Costing2
Org. Levels button
Plant : LAP2
Stor. location : LAP2
Enter
Basic Data1 tab:
Material : LAP RM2 (Steel)
Basic unit of measures : KG
Material Group : LAPM
Division : LS
Net Weight : 1 KG
Gross Weight : 1 KG
Purchasing Tab
Purchasing Group : LPG
Accounting 1 tab
Valuation class : LAP1
Price Control : V (Moving Average Price)
Moving Price : 360
Save
3. Creating Purchase Info Record for External activity
PCKG
SAP Easy AccessLogisticsMaterail ManagementPurchasingMaster DataInfo
RecordCreate
TCode : ME11
Vendor : LAPTRVNDR
Material : Blank
Purchasing Org. : LAPO
Plant : LAP1
Info Record :
Info category
205
©SrinivasaKasireddy©+91-9959765211
Standard`
Enter
Description : Packing
Material Group : 0001
Order Unit : UN
Sort Term : SERVICES
Enter (or ‘Purch .Org Data 1‘ button)
Control
Pl. Deliv. Time : 1 Days
Purch Group : LPG
Standard Qty : 1 UN
Conditions
Net Price 10 INR / 1 UN
Conditions button
Double click on condition type ‘PB00’
Save
1. CO Enduser
1. Create Cost Element Group
Tcode :KAH1
Cost element group : RSE
Enter
Description: Rent , Salary , Elect
Insert Cost Element button
RSE
400500
400600
400392
206
©SrinivasaKasireddy©+91-9959765211
Save
2. Create Activity type Group
TCode :KLH1
CO Area : LAP
Activity Type group :
Enter
Description : Testing
Activity Type button
TSHRA
TSHRM
Save
3. CC Planning for CC 1001
Tcode : KP06
Version : 0
From Period : 1
To Perod : 12
Fiscal Year : 2011
Cost centre : 1001
Cost element group : RSE
Form based
Overview Screen button
Costelement Plan fixed cost Distribution
400500 1 (Equal distribution)
…
…
…
…
207
©SrinivasaKasireddy©+91-9959765211
400600
400392
Total
Post
4. Activity planning for MCH
SAP Easy AccessAccountingControllingCost Centre
AccountingPlanningActivity
Ouput /PricesChange
Tcode : KP26
Version : 0
From Period : 1
To Perod : 12
Fiscal Year : 2011
Cost centre : 1001
Activity Type : MCH
Form based
Overview Screen button
Activity Type Plan Activity
MCH
Post
5. CC Planning for CC 2001
Tcode : KP06
Version : 0
From Period : 1
To Perod : 12
Fiscal Year : 2011
Cost centre : 2001
Cost element group : RSE
Form based
Overview Screen button
Costelement Plan fixed cost Distribution
400500 1 (Equal distribution)
…
…
…
…
…
…
…
…
208
©SrinivasaKasireddy©+91-9959765211
400600
400392
Total
Post
6. Activity planning for PRCS
SAP Easy AccessAccountingControllingCost Centre
AccountingPlanningActivity
Ouput /PricesChange
Tcode : KP26
Version : 0
From Period : 1
To Perod : 12
Fiscal Year : 2011
Cost centre : 2001
Activity Type : PRCS
Form based
Overview Screen button
Activity Type Plan Activity
PRCS
Post
7. CC Planning for CC 1002
Tcode : KP06
Version : 0
From Period : 1
To Perod : 12
Fiscal Year : 2011
Cost centre : 1002
Cost element group: RSE
Form based
Overview Screen button
Costelement Plan fixed cost Distribution
400500 1 (Equal distribution)
…
…
…
…
…
…
…
…
209
©SrinivasaKasireddy©+91-9959765211
400600
400392
Total
Post
8. Activity planning for ASMB
SAP Easy AccessAccountingControllingCost Centre
AccountingPlanningActivity
Ouput /PricesChange
Tcode : KP26
Version : 0
From Period : 1
To Perod : 12
Fiscal Year : 2011
Cost centre : 1002
Activity Type : ASMB
Form based
Overview Screen button
Activity Type Plan Activity
ASMB
Post
9. Calculating planned Activity Price
Upto Cost Centre Accounting same path
PlanningAllocationsPrice Calculation
Tcode : KSPI
All Cost Centres
Version : 0
From Period : 1
To Perod : 12
Fiscal Year : 2011
√ Test Run
√ Details List
Execute
Messages button ( Messages button is available only in case of any errors)
…
…
…
…
…
…
…
…
210
©SrinivasaKasireddy©+91-9959765211
Save
Enter
Back button
10. Activity planning for PCKG
SAP Easy AccessAccountingControllingCost Centre
AccountingPlanningActivity
Ouput /PricesChange
Tcode : KP26
Version : 0
From Period : 2
To Perod : 2
Fiscal Year : 2011
Cost centre : 1002
Activity Type : PCKG
Form based
Overview Screen button
Activity Type Capacity Fixed price Variable price
PCKG
Post
4. Creating a Base Planning Object LAPSFG1_BPO in
plant LAP1
SAP Easy Access AccountingControllingProduct Cost ControllingProduct Cost
Planning Reference and Simulation CostingCreate Base Planning Object
TCode :KKE1
Controlling Area : LAP
Enter
Base Planning Object : LAPSFG1_BPO
Enter
Base Unit of Measure : EA
Company Code : LAP
…
…
…
…
211
©SrinivasaKasireddy©+91-9959765211
Plant : LAP1
Name BPO for LAPSFG1
Save
5. Create single level unit cost estimate for
LAPSFG1_BPO
Same path
Change Base Planning Object
TCode : KKE2
Base Planning Object : LAPSFG1_BPO
Enter
Create Cost Estimate button
Costing Variant : PG
Lot Size : 1 EA
Enter
Item Category Resource Pant/Activity Quantity Description CostElement Formula
1 M LAPRM1 LAP1 400599
2 E 1001 MCH 1000000002
3 O Mat OH =(('1')*5)/100
Save
Save
6. Creating a Base Planning Object LAPSFG2_BPO in
plant LAP2
SAP Easy Access AccountingControllingProduct Cost ControllingProduct Cost
Planning Reference and Simulation CostingCreate Base Planning Object
TCode :KKE1
Controlling Area : LAP
Enter
Base Planning Object : LAPSFG2_BPO
Enter
212
©SrinivasaKasireddy©+91-9959765211
Base Unit of Measure : EA
Company Code : LAP
Plant : LAP2
Name BPO for LAPSFG2
Save
7. Create single level unit cost estimate for
LAPSFG2_BPO
Same path
Change Base Planning Object
TCode : KKE2
Base Planning Object : LAPSFG2_BPO
Enter
Create Cost Estimate button
Costing Variant : PG
Lot Size : 1 EA
Copy from
Base Object : LAPSFG1_BPO
Enter
Item Category Resource Pant/Activity Quantity Description CostElement Formula
1 M LAPRM2 LAP2 400599
2 E 2001 PRCS 1000000002
3 O Mat OH =(('1')*5)/100
Save
Save
8. Create multilevel unit cost estimate
The component materials are given in the following table.
213
©SrinivasaKasireddy©+91-9959765211
Activity Internal or
external ?
Valuation
Machine
hour
Internal Calculating actual cost using actual costs recorded in
cost centers
Packing External Price from purchase info record
Material BOM
LAPFG1
LAPSFG1
LAPSFG2
LAPPM
LAPSFG1 LAPRM1
LAPSFG2 LAPRM2
Same path
 Edit Base Planning Object-Multievel
TCode: CKUC
Right Click on the Costing StructureCreate Base Planning Object
Base Planning Object : LAPFG1_BPO
Enter
Base Unit of Measure : EA
Company Code : LAP
Plant : LAP1
Name BPO for LAPFG1
Save
Costing Variant : PG
Lot Size : 1 EA
Enter
Now we are creating a worklist in which we include the items that are used in the multilevel
cost estimate.
214
©SrinivasaKasireddy©+91-9959765211
’Worklist On’ button
’Create Worklist’ button
Name : cost_estimate_LAP
Manually-configured container : LAPFG1
Item category-Independent
Enter
Right click on worklist ‘LAPFG1’ Select Base Planning Object
Base Planning Object : LAPSFG1_BPO to LAPSFG2_BPO
Execute button
Select the two Base Planning Objects
Enter
Right click on worklist ‘LAPFG1’ Select Internal Activity
Controlling Area : LAP
Enter
Select ASMB
Enter
Now we can drap and drop the items from worklist into the costing structure.
Drag ‘LAPSFG1_BPO’ from worklist and drop on ‘LAPFG1_BPO’
Drag ‘LAPSFG2_BPO’ from worklist and drop on ‘LAPFG1_BPO’
Drag ‘Assembling’ from worklist and drop on ‘LAPFG1_BPO’
Change the quantity as shown in the table below
Enter items of category F manually
Ite
m
Categor
y
Resource Pant/Activ
ity
Pur
Org
Quantity Description CostElment
1 B LAPSFG1_BP0 400599
2 B LAPSFG2_BP0 1000000002
3 E 1002 ASMB 1000000002
215
©SrinivasaKasireddy©+91-9959765211
4 F 250(Pur Info
Rec)
LAP1 LAPO Packing 1000000002
Enter
Select the 4 items
Keep the curser in 5th
line
Insert total( ) button
Save
Yes button
9. Exploding a material cost estimate/Base Planning
Object
While in the same screen
Funtions menu Explode Base Planning Object
Select the two base planning objects
Explode button
2. Creating a cost estimate w/o quantity
structure
Scenario : A cost estimate is to be created for the product for which we created a cost
estimate using Reference and Simulation costing . Material master has been created
for the material but not the PP master data(BOM and Routing) .
Solution : We create a multilevel unit cost estimate .
1. CO Settings
1. Creating Cost Center (Allocation)
Tcode : KS01
Extras menuSet Controlling Area
Controlling Area : LAP
Enter
Cost center: 1005
Valid From : 1.4.2011 to : 31.12.9999
Enter
216
©SrinivasaKasireddy©+91-9959765211
Name : OH CC
Description : OH CC
Person Responsible : Mr. A
Cost Center Category : 9 (Allocation Cost Centre)
Hierarchy Area : STD_HIER
Business Area : LANZ
Currency : INR
Save
Enter to ignore the warning msg
2. Define OH keys
SPROControllingProduct Cost ControllingProduct Cost PlanningBasic Settings
for Material CostingOverheadDefine Overhead Keys
New Entries
Over Head Key Description
LAP1 LAP OH key
Save
Continue
3. Define OH Groups
Same Path Next line
New Entries
Valuation Area Over Head Group Over Head Key Name of the Over Head Key
LAP1 LAPOHG LAP1 LAP OH group
LAP2 LAPOHG LAP1 LAP OH group
Save
Continue
4. Define Calculation Bases
Upto Overhead same path
Costing Sheet:ComponentsDefine Calculation Bases
New Entries
Base Name
K1 RM cost
K2 Prod cost
Enter
Select Base K1
217
©SrinivasaKasireddy©+91-9959765211
Double click on Details folder
Controlling Area : LAP
Enter
New Entries
From Cost element
400599
Save
Continue
Double click on Calculation base folder
Select Base K2
Double click on Details folder
Controlling Area : LAP
Enter
New Entries
From Cost element
10000000002
Save
5. Define Percentage OH Rates
Same path Next line
New Entries
O/H Rate Name Dependency Description
LAP3 RM OH D010
LAP4 Prod OH D020
Save
Continue
Select OH rate LAP3
Double click on Details folder
New Entries
Valid from Valid To CO area OH Type OH key Percentage
1.4.2011 31.12.9999 LAP 1 LAP1 5
1.4.2011 31.12.9999 LAP 2 LAP1 5
Save
218
©SrinivasaKasireddy©+91-9959765211
Continue
Double click on Prcentage overhead folder
Select OH rate LAP4
Double click on Details folder
New Entries
Valid from To CO area OH Type Plant Percentage
1.4.2011 31.12.9999 LAP 1 LAP1 5
1.4.2011 31.12.9999 LAP 2 LAP1 5
1.4.2011 31.12.9999 LAP 1 LAP2 5
1.4.2011 31.12.9999 LAP 2 LAP2 5
Save
6. Define Credits
we are going to create 2 credit keys one for material overhead and other for the production
overhead. By defining the credit key you are crediting the cost centre and debiting the
product or the production order. The credit on the cost centre happens with the overhead
cost element which we created earlier 1000000001 (RM OH) and 1000000003 (Prod OH).
Here we specify the allocation cost centre which is to be credited. You can also define what
percentage of the overhead is to be allocated as fixed costs.
Same path
New Entries
Credit Name
K5 LAP RM OH credit
K6 LAP Prod OH credit
Enter
Select Credit K5
Double click on Details folder
Controlling Area : LAP
Enter
New entries
Valid To Cost element Fixed % Cost centre
31.3.9999 1000000001 100 1005
Save
Continue
Double click on Credit folder
219
©SrinivasaKasireddy©+91-9959765211
Select Credit K6
Double click on Details folder
Controlling Area : LAP
Enter
New entries
Valid To Cost element Fixed % Cost centre
31.3.9999 1000000003 100 1005
Save
Continue
7. Define Costing Sheet
Same path up to overhead
Define Costing Sheets
New Entries
Costing Sheet Description
LAP1 LAP costing Sheet
Save
Continue
Select Costing Sheet LAP1
Double click on Costing sheet rows folder
New Entries
Row Base O/H Rate Description From To Row Credit
10 K1 RM
20 K3 RM OH 10 10 K5
30 K2 Prod
40 K4 Prod OH 30 30 K6
50 COGM 10 40
Save
Continue
8. Define Costing Variant
Same path upto Product Cost Planning
Material Cost Estimate With Quantity StructureDefine Costing Varaint
Select Costing Variant PPC1
Copy as button
220
©SrinivasaKasireddy©+91-9959765211
Costing Variant : LAP1 Standard Cost Est. LAP
Enter
Enter to ignore the warning msg
Select Costing Variant LAP1
Details button
Create button (Button next to Valuation Variant)
Select Valuation Variant 001
Details button
Create button ( Button next to Valuation Variant/Plant)
Select Valuation variant 001 for plant 1000
Copy As button
In plnt : LAP1
Enter
Select Valuation Variant 001 for plant LAP1
Details button
Overhead tab
Enter Costing Sheet 'LAP Costing Sheet ‘ in both places
 Save
Continue
Back button
Select Valuation Variant 001 for plant LAP1
Copy as button
in plnt : LAP1
Enter
Save
9. Define Cost Component Structure
Same path up to Product Cost Planning
Basic settings for Material CostingDefine Cost Component Structure
Select Cost Component Structure ‘01’
’Copy As’ button
Cost Component Structure Active Prim Cost Comp Split Name
L1 √ . LAP COGM Cost comp str
Enter
Continue
221
©SrinivasaKasireddy©+91-9959765211
Save
Continue
Select Cost Component Structure ‘L1’
Double Click on Cost Components with Attributes
Delete all Cost Components except 10, 50, 70 and 80
Cost Comp
Struct
Cost Comp Name
L1 10 Raw Materials
L1 50 Production
L1 70 Production OH
L1 80 Material Overhead
Save
Select Cost Component structure ‘L1’ with Cost Component ‘10’ (Raw Materials)
Double click on ‘Assignment: Cost Components-Cost Element Interval
New Entries
Cost Comp
Struct
Chart of
Acc
From cost el. Cost Comp
L1 LACA 010
L1 LACA 010
Double Click on Cost Components with Attributes
Select Cost Component structure ‘L1’ with Cost Component ‘50’ (Prod machine)
Double click on ‘Assignment: Cost Components-Cost Element Interval
New Entries
Cost Comp
Struct
Chart of
Acc
From Cost Comp
L1 LACA 050
Double Click on Cost Components with Attributes
Select Cost Component structure ‘L1’ with Cost Component ‘80’ (Materials OH)
Double click on ‘Assignment: Cost Components-Cost Element Interval
New Entries
Cost Comp
Struct
Chart of
Acc
From Cost Comp
L1 LACA 080
222
©SrinivasaKasireddy©+91-9959765211
Double Click on Cost Components with Attributes
Select Cost Component structure ‘L1’ with Cost Component ‘70’
Double click on ‘Assignment: Cost Components-Cost Element Interval
New Entries
Cost Comp
Struct
Chart of
Acc
From Cost Comp
L1 LACA 070
Save
Continue
Double Click on Cost Components Structure folder
Double click on ‘Assignment:Organiz.Units-Cost Component Struct’ folder
New Entries
Company
Code
Plant Costing
Variant
Valid
from
Cost Comp Structure(Main
CCS)
LAP ++++ ++++ L1
Save
Double Click on Cost Components Structure folder
Cost Comp
Struct
Active Prim Cost Comp Split Name
L1 √ . LAP COGM Cost comp str
L2 √ √ LAP Actvity Cost Comp Str
Save
10. Check/Change price calculation settings in Version
(Already done in Cost Center Accounting)
TCode: OKEQ
Select Version ‘0’ ie Plan/actual version
Double click on ‘Settings for Each Fiscal Year ’ folder
Controlling Area : LAP
Version : 0
Enter
223
©SrinivasaKasireddy©+91-9959765211
Double click on top row
Price calculation tab
Plan
Method : Periodic price
Actual
Methods : Periodic price
Revaluation : Own business transaction
Cost Comp. Str. : L2 LAP Actvity Cost Comp Str
Back button repeat the procedure for all rows(ie for all years)
Save
Continue
2. MM Enduser
1. Creating Material master LAPFG1
224
©SrinivasaKasireddy©+91-9959765211
Tcode : MM01
Material : LAPFG1
Industry Sector : Mechanical Engineering
Material Type : Finished products
Select View(s) button
Select Basic Data1, Sales: Sales Org. Data 1 , Sales: Sales Org. Data2 ,
Sales: General/Plant Data , MRP 1 , Accounting 1 , Costing1 and Costing2
Org. Levels button
Plant : LAP1
Stor. Location : LAP1
Sales Org. : LANS
Distr. Channel : LD
Enter
Description : LAP FG1
Base Unit of Measure : EA
Material Group : LAPM
Division : LS
GenItemCatGroup : NORM
Sales: sales org .1 tab
Delivering plant : LAP1
Tax Data
Tax Classification : 1 for UTXJ
1 for MWST
Sales: sales org. 2 tab
Acct assignment grp : 03 ie Finished Goods
Item category group : NORM
Sales: General/Plant tab
Gross Weight : 1
Net Weight : 1
Trans. Grp : 0003
Loading Grp : 0003 ie Manual
MRP 1 Tab
MRP type : ND ie No plan
Accounting 1 tab
Valuation class : LAP3 (Finished Product)
Price control : S (std. price)
225
©SrinivasaKasireddy©+91-9959765211
Standard price : 50000
Save
2. Creating Material master LAPSFG1
Tcode : MM01
Material : LAPSFG1
Industry Sector : Mechanical Engineering
Material Type : Semi-finished products
Select View(s) button
Select Basic Data1, General Plant Data /Storage 1 ,Accounting 1 , Costing1 and
Costing2
Org. Levels button
Plant : LAP1
Stor. Location : LAP1
Enter
Description : LAP SFG1
Base Unit of Measure : EA
Material Group : LAPM
Division : LS
GenItemCatGroup : NORM
Gross Weight : 1 KG
Net Weight : 1
Accounting 1 tab
Valuation class : LAP2 (Semi -finished products)
Price control : S (std. price)
Standard price : 3000
Save
3. Creating Material master LAPSFG2
Tcode : MM01
Material : LAPSFG2
Industry Sector : Mechanical Engineering
Material Type : Semi-finished products
Select View(s) button
Select Basic Data1, General Plant Data /Storage 1 , Accounting 1 , Costing1 and
Costing2
226
©SrinivasaKasireddy©+91-9959765211
Org. Levels button
Plant : LAP1
Stor. Location : LAP1
Enter
Description : LAP SFG2
Base Unit of Measure : EA
Material Group : LAPM
Division : LS
GenItemCatGroup : NORM
Gross Weight : 1 KG
Net Weight : 1
Accounting 1 tab
Valuation class : LAP2 (Semi -finished products)
Price control : S (std. price)
Standard price : 6000
Save
4. Creating Material master LAPSFG2
Tcode : MM01
Material : LAPSFG2
Industry Sector : Mechanical Engineering
Material Type : Semi-finished products
Select View(s) button
Select General Plant Data /Storage 1 , MRP1 ,MRP2 ,Accounting 1 , Costing1 and
Costing2,
Org. Levels button
Plant : LAP2
Stor. Location : LAP2
Enter
Accounting 1 tab
Valuation class : LAP2 (Semi -finished products)
Price control : S (std. price)
Standard price : 6000
Save
5. Creating Purchase Info Record LAPRM1 / two vendors
227
©SrinivasaKasireddy©+91-9959765211
We are creating pur info record for two vendors with different price
SAP Easy AccessLogisticsMaterail ManagementPurchasingMaster DataInfo
RecordCreate
TCode : ME11
Vendor : LAPRMVNDR
Material : LAPRM1
Purchasing Org. : LAPO
Plant : LAP1
Info Record :
Info category
Standard`
Enter
Purch.Org.Data 1 button
Control
Pl. Deliv. Time : 1 Days
Purch. Group : LPG
Standard Qty : 10 KG
Conditions
Net Price INR / 1 KG
Conditions button
Double click on condition type ‘PB00’
Save
TCode : ME11
Vendor : LAPTRVNDR
Material : LAPRM1
Purchasing Org. : LAPO
Plant : LAP1
Info Record :
Info category
Standard`
Enter
Purch.Org.Data 1 button
Control
Pl. Deliv. Time : 1 Days
228
©SrinivasaKasireddy©+91-9959765211
Purch. Group : LPG
Standard Qty : 10 KG
Conditions
Net Price INR / 1 KG
Conditions button
Double click on condition type ‘PB00’
Save
3. CO Enduser
1. Cost Estimate W/O Quantity Structure(Single level) for
LAPSFG1
Option1 : we can create single level unit cost estimate as shown in this step.
Option2: We can also create single level unit cost estimate in multilevel costing
screen(TCode :CKUC)
SAP Easy Access AccountingControllingProduct Cost ControllingProduct Cost
Planning Material CostingCost Estimate Without Quantity StructureCreate
TCode: KKPAN
Material : LAPSFG1
Plant LAP1
Costing Data Tab
Costing Variant : LAP1 Standard Cost Est. (Mat.)
Costing Version : 1
Dates Tab
Default Values button
(Date Fields filled automatically)
Enter
Enter the data as shown in the table
Item Category Resource Pant/Activity Quantity Description CostElement Formula
229
©SrinivasaKasireddy©+91-9959765211
1 M LAPRM1 LAP1
2 E 1001 MCH
3 O Mat OH 1000000001 =(('1')*5)/100
Enter ( if any warning messages)
Save
Save
2. Multilevel Cost Estimate for LAPFG1
SAP Easy Access AccountingControllingProduct Cost ControllingProduct Cost
Planning Material CostingCost Estimate Without Quantity StructureEdit Multilevel
TCode: CKUC
Right Click on the Costing StructureCreate Material Cost Estimate
Material : LAPFG1
Plant : LAP1
Costing Data tab
Costing Variant : LAP1
Costing Version : 1
Dates tab
Default Values button
Enter
Now we are creating a worklist in which we include the items that are going to be used in
the multilevel cost estimate.
’Worklist On’ button
 Container button( )Insert Container
Name of new container: LAPFG1
Item category-Independent
Enter
Right click on worklist ‘LAPFG1’ Select Material Cost Estimate
230
©SrinivasaKasireddy©+91-9959765211
Material Number : Blank
Plant : LAP1
Std cost est √ Future √ Current √ Previous
Execute button
Select the LAPSFG1
Enter
Right click on worklist ‘LAPFG1’ Select Internal Activity
Controlling Area : LAP
Enter
Select all the three activity types
Enter
Now we can drap and drop the items from worklist into the costing structure.
Drag ‘LAPSFG1’ from worklist and drop on ‘LAPFG1’ under Costing Structure
Copy
Enter
Right click on ‘LAPFG1’ under Costing StructureCreate Material Cost Estimate
Material : LAPSFG2
Plant : LAP2
Costing Data tab
Costing Variant : LAP1
Costing Version : 1
Dates tab
Default Values button
Enter
Change the quantity as shown in the table below
Item Category Resource Pant/Activity Quantity Description CostElement Formula
1 M LAPRM2 LAP2 400599
231
©SrinivasaKasireddy©+91-9959765211
2 E 2001 PRCS
3 O Mat OH 100000000001 =(('1')*5)/100
Save
Enter
Include cost estimate LAPSFG2 to LAPFG1 by drag n drop
(Cost estimate for LAPFG1 will be updated)
Drag ‘Assembling’ from worklist and drop on ‘LAPFG1’ under Costing Structure
Change the quantity column asshown in the table
Item Category Resource Pant/Activity Pur
Org
Quantity Description CostElement
1 M LAPSFG1 LAP1 400599
2 M LAPSFG2 LAP2
3 E 1002 ASMB
4 F 250(Pur info
rec)
LAP1 LAPO 1000000002
Save
Yes button
Functions menuExplode Material Cost Estimates
All Levels
Material : LAPFG1
Enter
Material Number : LAPFG1
Plant : blank
Execute
Double click on material LAPFG1
232
©SrinivasaKasireddy©+91-9959765211
3. Creating a cost estimate with quantity
structure
Scenario: PP master data like BOM , routing is available for the material LAPFG1.
The below given tables gives information of various components, activities . Certain
costs like freight charges , additional components are to be added manually.
The components/subcomponents materials are given in the following table.
Component Material type Procurement Valuation
LAPRM1 Raw Material External purchase from two
different vendors(Procurement
alternatives)
Price from purchase
info record
LAPRM2 Raw Material External purchase Price from material
master record
LAPSFG1 Semifinished
product
In-house production in the same
plant with two production versions
To be costed
LAPSFG2 Semifinished
product
In-house production/Different plant
(Special Procurement)
Existing costing data
from supplying plant is
to be used
LAPPM Packing
material
External purchase Price from material
master
The activity details are given in the following table
Activity Internal or
external ?
Valuation
Machine
hour
Internal Calculating actual cost using actual costs recorded in
cost centers
Assembling Internal Activity price is set manually
Processing Internal Activity price is set manually
Packing External Price from purchase info record
Solution : A cost estimate with quantity structure is to be created for the material. As
semifinshed products are involved in production process multilevel costing is to be
233
©SrinivasaKasireddy©+91-9959765211
done. The cost estimate is a mixed cost estimate because one of the component has
procurement alternatives.
Freight charges , additional components can be included into cost components
manually using the function ‘Additive costs’.
1. FI Settings
1. Create GL Account Gain/Loss from Revaluation :
GL Account : 400502
2. Automatic account assignment for transaction UMB
TCode : OBYC
2. PP settings
1. Define MRP Controller
SPROProductionMaterial Requirement Planning Master DataDefine MRP
controllers
New Entries
Plant MRP Controller
LAP1 MRP
LAP2 MRP
Save
Continue
2. Define Floats(Scheduling Margin Key)
Upto Material Requirement Planning same path
PlanningScheduling And Capacity parametersDefine Floats
New Entries
Plnt Marg Op. Per FI Bef FI
After
Rel.Per
LAP1 LAP 02 02 02 02
LAP2 LAP 02 02 02 02
Save
Continue
3. Define Production Scheduler
Upto Production Same path
Shop Floor ControlMaster DataDefine Production scheduler
New Entries
234
©SrinivasaKasireddy©+91-9959765211
Plant ProdSched
LAP1 MrS
LAP2 Mrx
Save
4. Determine Person Responsible for WorkCenter
SPROProductionBasic DataWork CentreGeneral DataDetermine Person
Responsible
New Entries
Plnt Pers. respons
LAP1 MRw
LAP2 Mrx
LAP3 Mr3
Save
Continu
5. Define parameters
Upto General Data Same path
Standard Value Define parameters
Select parameter ‘SAP_14’ ie User field
Copy as button
Parameter : LAP_14
Origin : 2 Standard value in the op
Parameter text : Assembling
Keyword : Assembling
Dimension : AAAADL
Standard Value : 1
Standard value unit : UN
Enter
Save
Select parameter ‘SAP_14’ ie User field
Copy as button
Parameter : LAP_15
Origin : 2 Standard value in the op
Parameter text : Packing
235
©SrinivasaKasireddy©+91-9959765211
Keyword : Packing
Dimension : AAAADL
Standard Value : 1
Standard value unit : UN
Enter
Save
Select parameter ‘SAP_02’ ie Machine
Copy as button
Parameter : LAP_16
Origin : 2 Standard value in the op
Parameter text : Processing
Keyword : Processing
Dimension : TIME
Standard Value :
Standard value unit : H
Enter
Save
6. Define Standard value key
Same path
 Define Standard value key
Select Satndard ‘SAP1’ ie Normal Production
Copy as button
Std val. key : LAP1
4th
Parameter : LAP_14
5th Parameter : LAP_15
6th Parameter : LAP_16
Enter
Save
7. Check Formulas for Costing
SPROControllingProduct Cost Controlling Product Cost Planning Material
Cost Estimate with Quantity StructureSettings for Quantity Structure
ControlRouting Selection Check Formulas for Costing
New Entries
236
©SrinivasaKasireddy©+91-9959765211
Formula key : LAP_14 Assembling
Formula
LAP_14 * SAP_09 / SAP_08 / SAP_11
Indicators
√ Generate PRT Allowed For Reqmts
√ Allowed for Calulation √ Allowed for Scheduling
Work Center for Capacity Reqmts
Save
Next Entry button( )
Formula key : LAP_15 Packing
Formula
LAP_15 * SAP_09 / SAP_08 / SAP_11
Indicators
√ Generate PRT Allowed For Reqmts
√ Allowed for Calulation √ Allowed for Scheduling
Work Center for Capacity Reqmts
Save
Next Entry button( )
Formula key : LAP_16 Processing
Formula
LAP_16 * SAP_09 / SAP_08 / SAP_11
Indicators
√ Generate PRT Allowed For Reqmts
√ Allowed for Calulation √ Allowed for Scheduling
Work Center for Capacity Reqmts
237
©SrinivasaKasireddy©+91-9959765211
Save
3. PP Enduser
1. Creating BOM for LAPSFG1
SAP Easy Access LogisticsProductionMaster Data Bills of Material Bill of
Material
Material BOMCreate
Tcode : CS01
Material : LAPSFG1
Plant : LAP1
BOM usage : 6 (Costing)
Enter
Component Quantity
LAPRM1
Enter
Save
2. Creating BOM for LAPSFG2 in plant LAP2
SAP Easy Access LogisticsProductionMaster Data Bills of Material Bill of
Material
Material BOMCreate
Tcode : CS01
Material : LAPSFG2
Plant : LAP2
BOM usage : 6 (Costing)
Enter
Component Quantity
LAPRM2
Enter
Save
3. Creating BOM for LAPFG1
SAP Easy Access LogisticsProductionMaster Data Bills of Material Bill of
Material
Material BOMCreate
Tcode : CS01
Material : LAPFG1
238
©SrinivasaKasireddy©+91-9959765211
Plant : LAP1
BOM usage : 6 (Costing)
Enter
ICt Component Quantity
N LAPSFG1
N LAPSFG2
Enter
Save
4. Material BOM Browser
Same path upto Material BOM
MultilevelMaterial BOM Browser
TCode : CSMB
Material : LAPFG1
Plant : LAP1
Alternative :
Application : PC01
Enter
Goto menuExplode Material BOMMulti-level
Execute
5. Creating Work Center
Same path upto MasterData
WorkCentresWorkCentreCreate
Tcode : CR01
Plant : LAP1
WorkCentre : 1001 Machining
WorkCentre Cat. : 0001 Machine
Enter
Description : Machining
Person Responsible : MRW
Usage : 009 (All task list types)
Standard Value Key : LAP1 (Normal Production)
Enter
Costing Tab
239
©SrinivasaKasireddy©+91-9959765211
Cost Centre : 1001
Alt Activity
Descr
Activity Type Activity Unit Formula
No Activity
Machine MCH H SAP002
No Activity
No Activity
No Activity
No Activity
Save
6. Creating Work Center
Tcode : CR01
Plant : LAP2
WorkCentre : 1002 Processing
WorkCentre Cat. : 0001 Machine
Enter
Description : Processing
Person Responsible : MRX
Usage : 009 (All task list types)
Standard Value Key : LAP1 (Normal Production)
Costing Tab
Cost Centre : 2001
Alt Activity
Descr
Activity Type Activity Unit Formula
No Activity
No Activity
No Activity
No Activity
No Activity
Processing PRCS H LAP_16
Save
7. Creating Work Center
Tcode : CR01
Plant : LAP1
WorkCentre : 1003 Assembling
WorkCentre Cat. : 0001 Machine
240
©SrinivasaKasireddy©+91-9959765211
Enter
Description : Assembling
Person Responsible : MRW
Usage : 009 (All task list types)
Standard Value Key : LAP1 ( )
Costing Tab
Cost Centre : 1002
Alt Activity
Descr
Activity Type Activity Unit Formula
No Activity
No Activity
No Activity
Asemmbling ASMB UN LAP_14
Packing PCKG UN LAP_15
No Activity
Save
8. Creating Routing for LAPSFG1
Upto Master Data same path
RoutingsRoutingsStandard RoutingsCreate
Tcode : CA01
Material : LAPSFG1
Plant : LAP1
Operations button
New entries button( )
Usage : 1 (Production)
Status : 4 (Released general )
Planning Work Centre : 1001
Save
Operations button
Operatio
n
WorkCentre Plant Control Key
0010 1001 LAP1 PP01
Double Click on Operation ‘0010’
241
©SrinivasaKasireddy©+91-9959765211
Std Value Un Act. Type
Machine H MCH
Save
9. Creating Routing for LAPSFG2
Tcode : CA01
Material : LAPSFG2
Plant : LAP2
Operations button
New entries button( )
Usage : 1 (Production)
Status : 4 (Released general )
Planning Work Centre : 1002
Save
Operations button
Operatio
n
WorkCentre Plant Control Key
0010 1002 LAP2 PP01
Double Click on Operation ‘0010’
Std Value Un Act. Type
Processing H PRCS
Save
10. Creating Routing for LAPFG1
Tcode : CA01
Material : LAPFG1
Plant : LAP1
Operations button
New Entries button( )
Usage : 1 (Production)
Status : 4 (Released general )
242
©SrinivasaKasireddy©+91-9959765211
Planning Work Centre : 1003
Save
Operations button
Operatio
n
WorkCentre Plant Control Key Units of Measure
0010 1003 LAP1 PP01
0020 1003 LAP1 PP02 UN
Double Click on Operation ‘0010’
Std Value Un Act. Type
Assembling UN ASMB
Back button
Double Click on Operation ‘0020’
Std Value Un Act. Type
Packing UN PCKG
External processing
(Scroll down)
Purchasing Info Rec. : 250 Purch. Organization : LAPO
Cost Element : 1000000002
Enter
Save
4. CO settings
1. Creating Tranfer Control
We are using SFG from one plant as a component in FG of another plant(in the same CO-
area). SFG is costed in the supplying plant and cost estimate is tranfered to receiving plant .
For that we have to assign Transfer control in Costing variant. Transfer control determines
how Cost estimate is tranfered from one plant to other.
SPROControllingProduct Cost ControllingProduct Cost PlanningMaterial Cost
Estimate with Quantity StructureCosting Variant ComponentsDefine Transfer
Control
Select ‘PC01’ Transfer w. Plant Change
Copy As button
243
©SrinivasaKasireddy©+91-9959765211
Transfer Control LAP1 Transfer w. Plant Change LAP
Single-Plant tab
Strategy .Seq Fiscal year
No Transfer
No Transfer
No Transfer
Cross-Plant tab
Strategy .Seq Fiscal year
Period-Based Transfer
Current Standard Cost Estimate √
Future Standard Cost Estimate √
Enter
Save
2. Assigning Transfer Control in Costing variant
Same path upto Material Cost Estimate with Quantity Structure
Define Costing Variants
Double click on LAP1
Tranfer Control : Trnsfr w. Plant Change LAP
Save
3. Creating Special Procurement Types
A link can be set up between supplying plant and recieving plant with help of special
procurement.
Material master data is maintained in both plants. In recieving plant
SPROControllingProduct Cost ControllingProduct Cost PlanningMaterial Cost
Estimate with Quantity StructureSettingsfor Quantity Structure ControlMaterial
DataCheck Special Procurement Types
244
©SrinivasaKasireddy©+91-9959765211
New Entries
Plant : LAP1
Sp.Pr.Type : 81 Stock transfer (proc.from plant LAP2)
Procurement type : E In-house production
Special Procurement
Special procurement :P Prod. other plant
Plant : LAP2
√ Direct production
Save
4. Update Additive Costs
TCode : OKTZ
Double click on ‘Cost Component Structure’ folder
Select Cost Comp .Str ’L1 ’
Double click on ‘Cost Components with Attributes’ folder
Select Cost Comp .Str ‘L1 ’ with Cost Component ‘50’
Double click on ‘Update of Additive Cost ’ folder
New Entries
Cost Comp .Str Cost Component Chart of Accts Cost Element
L1 50 LACA 1000000002
Save
Double click on ‘Cost Component Structure’ folder
Cost Comp
Str
Active
L1 √
Save
245
©SrinivasaKasireddy©+91-9959765211
5. Check Settings (for Costing Variant)
Info : We can display all the applicable settings in one place for a combination of Costing
Variant CompanyCode/Plant using this transaction
SPROControllingProduct Cost ControllingProduct Cost PlanningBasic Settings
for Material CostingCheck Settings
TCode : CKC1
Costing Variant : GAC1
Company Code : LAP
Plant : LAP1
Date :
Version : Blank
Execute
(Scroll down to see all the settings that are applied)
5. MM Enduser
1. Enter Spl Proc type in Mat master LAPSFG2 in
plant LAP1
TCode : MM01
Material : LAPSFG2
Enter
Select ‘Costing 1’ ‘MRP2’ and ‘MRP1’views
Enter
Plant : LAP1
Enter
MRP2 tab
Procurement type : E
Special procurement : 81
Costing 1 tab
Quantity structure data
246
©SrinivasaKasireddy©+91-9959765211
SpecProcurem Costing : 81
Save
2. Maintain OH key in Material master
TCode : MM01
Material : LAPRM1
Enter
Select ‘Costing 1’ view
Enter
Plant : LAP1
Enter
Costing 1 tab
Overhead Group : LAPOHG
Save
TCode : MM01
Material : LAPRM2
Enter
Select ‘Costing 1’ view
Enter
Plant : LAP2
Enter
Costing 1 tab
Overhead Group : LAPOHG
Save
6. CO Enduser
247
©SrinivasaKasireddy©+91-9959765211
1. Creating Procurement alternatives
We can procure a material into a plant in different ways.
For example
Process
Category
Procurement
alternatives
Purchase
order
We can purchase the material from a vendor Vendor X
Vendor Y
Production We can produce in house in the same plant Prod version1
Prod version2
Production in
other plant*
We can produce in-house in a different plant(an SFG
can be produced in a different plant )
Prod in PlantX
Prod in PlantY
Stock
transfer*
We can purchase a RM in to one plant and tranfered to
other plant.
From Plant1
From Plant2
*Production in other plant and Stock transfer are treated as special procurements. If we
procure a material in any of these two ways , we need to maintain Procuremetn type in
MRP/Costing views of the material master.
In our scenario we are creating two procurement alternatives of type purchasing. Ie we can
purchase the material from any of the two vendors .
SAP Easy AccessControlling  Product Cost Controlling  Product Cost Planning
 Material Costing Master Data for Mixed Cost Estimate  Edit Procurement
Alternatives.
TCode : CK91N
Material : LAPRM1
Plant : LAP1
Create button
Process Cat. : Purchase order
Purchasing Org. : LAPO
Vendor : LAPRMVNDR
Cstg Lot Size : 1
Confirm button
Create button
Process Cat. : Purchase order
Purchasing Org. : LAPO
Vendor : LAPTRVNDR
248
©SrinivasaKasireddy©+91-9959765211
Cstg Lot Size : 1
Confirm button
Save
2. Creating /Changing Mixing Ratios
If Procurement Alternatives are available for a material , mixing ratio is used to determine
which alternative is used in what proportions . For example in this scenario LAPRM1
material has two vendors with different prices ie Rs 270.00 and Rs 280.00 (Please check
the Pur Info record in MM end user section ). If 50% is procured from each of the vendor,
final procurement price in the cost estimate will be Rs275.00
Same path upto Master Data for Mixed Cost Estimate
Mixing Ratios Create /Change
TCode :CK94
Material : LAPRM1
Plant : LAP1
Mixing Ratio
Period : 9
Fiscal Yr : 2015
QtyStruct. Type : MIX
Enter
PCat Changeable name QtyStrDate MR Mixing Ratios
BB Vendor:LAPRMVNDR PurchOrg.:LAPO √
BB Vendor:LAPTRVNDR PurchOrg.:LAPO √
Save
3. Creating Unit cost estimate for Additive Costs
Any costs which can not be calculated using automatic cost estimate ,can be included
manually by using additive costs which is nothing but a unit cost estimate.
SAP Easy Access AccountingControllingProduct Cost ControllingProduct Cost
Planning Material Costing Cost Estimate with Quantity StructureAdditive
CostsCreate
TCode :CK74N
Material : LAPFG1
Plant : LAP1
249
©SrinivasaKasireddy©+91-9959765211
Costing Data tab
Costing Variant : LAP1
Costing Version : 1
Dates tab
Default Values button
Enter
Item Category Resource Pant/Activity Quantity Description CostElement Formula
1 E 2001 PRCS
Enter
Save
Save
4. Creating Cost Estimate for plant LAP1 and
LAP2
When Cost Estimate with Quantity Structure is used there are 2 options to calculate
the cost and update the price
Option 1 : Option 2 :
Step 1.Create Cost Estimate with Quantity
Structure
Tcode : CK11N
Step 2. Price Update
Tcode : CK24
Edit costing Run
Tcode : CK40N
Materials already costed (but with errors) can be
recosted using this method
Multiple materials can be costed at a
time using this method
1. Costing Run
SAP Easy Access AccountingControllingProduct Cost ControllingProduct Cost
Planning Material CostingCosting RunEdit Costing Run
Tcode : CK40N
Create Costing Run button
Costing Run : LAP
Description : LAP Costing Run
250
©SrinivasaKasireddy©+91-9959765211
Costing Run Date : Today’s date
Costing Variant : LAP1
Costing Version : 01
Controlling Area : LAP
Company Code : LAP
Enter
Dates tab
Costing Date From : Todays date
Costing Date To : 31.9.2011 (Month End date)
Quantity Structure Date : Todays Date
Valuation Date : Todays Date
Save
Expand Processing
Change Parameter button( ) In the ‘Selection’ Flowstep
Material Number : LAPSFG1 , LAPSFG2, LAPFG1,
Plant : LAP1, LAP2
√ Background Processing
Print Log
 Save
Back Button
Execute button in the Selection Flowstep
(Status should be green)
Change Parameter button In the ‘Struct. Explosion’ Flowstep
√ Background Processing
 Save
Back Button
Execute button in the ‘Struct. Explosion’ Flowstep
(Status should be green)
Change Parameter button In the ‘Costing’ Flowstep
√ Log by Costing Level
√ Background Processing
 Save
Back Button
Execute button in the ‘Costing’ Flowstep
(Status should be green)
251
©SrinivasaKasireddy©+91-9959765211
(Costing Status should be ‘KA’ ie Costed Without Errors , in all levels . If any level has
status ‘KF’ ie Costed With Errors , double click on the level to see complete error
message)
Msg :No structure could be determined for internal activity ASMB (1002)
Solution : (You can ignore this msg if it is of type warning or info )
Create a primary cost component structure in OKTZ
Assign cost elements to cost components
Assign the cost component structure in OKEQ
Change Parameter button In the ‘Analysis’ Flowstep
Double click on ‘SAP&12’
Plant : blank
Cost Component View : 01
√ Background Processing
 Save
Back Button
Execute button in the ‘Analysis’ Flowstep
Double Click on LAPFG1
Materails only/All Items button ( ) (To display all items)
Right click on LAPFG1  Expand subtree
(The following image shows what costs arises at what level )
252
©SrinivasaKasireddy©+91-9959765211
Cost Comps button ( )
Choose Layout button( )Choose Layout
Select layout ‘1SAP03’ ie Total/Level/Lower level by clicking
Double click on a material under costing structure
(By selecting a material under the costing structure we can analyse costs at the level of
the material and its lower level )
Back button
Goto button ( )Itemization
Back to CK40N screen
Note :Do all the error corrections before going further for Marking and Releasing flow steps.
Configuartional changes/corrections may not reflect in costing even when the flow steps
( Selection, Struct. Explosion , Costing , Anlaysis ) are re-executed.
For Eg : If we make any changes in the costing variant , the changes will not have any effect
even if we execute costing flow step again. We may have to delete the costing run and
create a new costing run again.
Delete Costing Run :
SAP Easy Access AccountingControllingProduct Cost ControllingProduct Cost
Planning EnvironmentCosting RunDelete Costing Run
TCode : CK44
Costing Run : LAP
Costing Run Date :
√ Background Processing
Execute
Delete
Note: Please check the period closed for the company code using TCode MMPV/MMRV
before marking/releasing.
Lock button for ‘Marking’ Flowstep
Double Click on Company code ‘LAP’
Costing Variant : PPC1
Costing Version : 01
 ‘Issue Allowance for Marking ‘ button ( =Save button)
Back button
253
©SrinivasaKasireddy©+91-9959765211
Change Parameter button In the ‘Marking’ Flowstep
√ Test Run
√ With List Output
√ Background Processing
 Save
Back Button
Execute button in the ‘Marking‘ Flowstep
Back to CK40N screen
Change Parameter button In the ‘Marking’ Flowstep again
√ Test Run
Save
Back button
Execute button in the ‘Marking‘ Flowstep again
Double Click on LAPFG1
Costing 2 tab
Make note of change in Future Planned price
Back to CK40N screen
Change Parameter button In the ‘Release’ Flowstep
√ Test Run
√ With List Output
√ Background Processing
 Save
Back Button
Execute button in the ‘Release’ Flowstep
Back to CK40N screen
Change Parameter button In the ‘Release’ Flowstep again
√ Test Run
Save
Back button
Execute button in the ‘Release‘ Flowstep again
Double Click on LAPFG1
Costing 2 tab
Make note of change in Current Planned Price and Standard Price
Marking : Marking updates the future price
254
©SrinivasaKasireddy©+91-9959765211
Releasing : Releasing updates the current price
Intialize the closed period : TCode : MMPI or program RMMMINIT can be used to open
the period which is closed by mistake. But this is to be done very carefully. Any material
postings done in the new period will have impact if we reopen the previous period and post
to it.
Parameter ID MMPI_READ_NOTE with current date(YYYYMMDD) as parameter value is to
be maintained in user profile(SU2) before running MMPI.(Note 487381)
Error : Materials locked
Solution : Use Tcode SM12 to unlock.
255

SAP CO step by step config guide & user manual part 1

  • 1.
    CO Integrated TrainingProgram Book- 1 / 2 (Version 16-1) Trainer & Author: © Srinivas Kasireddy 91-9959765211 Skype : srinivas3d Date printed : 5 November 2016 File Name : costepbystepconfigusermanualpart1-161105073908.doc © Srinivas Kasireddy
  • 2.
  • 3.
    Table of Contents: 1.CO-Basic Settings.........................................................................................................8 2.Cost Centre Accounting...........................................................................................13 3.Allocations...................................................................................................................31 4.Allocation by Assessment using SKF ........................................................................35 5.Allocation by Distribution .........................................................................................43 6.Allocation by Periodic Reposting ...........................................................................51 7.Indirect Activity Allocation using SKF.....................................................................57 8.Direct Activity Allocation...........................................................................................76 9.Internal Orders(I.O).....................................................................................................81 10.Real IO with settlement to CC................................................................................87 11.Real Time Integration (New GL)..............................................................................96 12.Sales/Purchase Tax.................................................................................................105 7.MM Integration..........................................................................................................112 8.SD Integration............................................................................................................138 9.Profitability Analysis...................................................................................................155 10.COPA-Valuation Overview..................................................................................172 1.CO-PA Valuation-1...................................................................................................176 2.Characteristic Derivation.........................................................................................181 3.CO-PA Manual Line Item Entry...............................................................................182 4.Top-Down Distribution of Actual Data...................................................................183 5.Profit Centre Accounting........................................................................................191 6.Product Cost Planning ............................................................................................198
  • 4.
  • 5.
    Introduction This book isvol-2 of 2 volumes This book was initially a set of tutorials taught by me during class room training. After gradual development over the years, now it has become a complete configuration guide/ end-user manual for SAP FICO module. Obviously this book is more a practical guide than a reference book even though some info stuff has been inserted at some places. Having taught the SAP FICO course to hundreds of beginners and experienced at various institutions, I know the kind of problems and questions you will have when learning this module.This book is full of detailed step-by-step procedures with necessary screen shots and sample configurations. Having worked as a SAP Consultant at various organizations, I know the kind of requirements that may arise at clients. To this end, most of the business processes and underlying concepts have been explained thoroughly through out the book. By understanding the how and whys, you will start gaining basic knowledge which reaches to advanced level with in no time. As you go through the material, if you have problems or questions please do mail me. If you find an error in this book, or suspect there may be an error, kindly notify . I hope you will find using this book as enjoyable. Conventions Used in This Book ‘’ indicates a next thing in navigation or next action ‘----- button’ means to hit the button . For example ‘ Position button’ means ‘to hit Positon button’. ‘:’ is followed by the value/text to be entered Multiple inputs/input values in a single screen are shown in the form of table. How to use the book Just read line by line and follow the instructions. Refering to screen shots makes your job easy . Please refer to Info boxes for additional info.
  • 6.
  • 7.
    ©SrinivasaKasireddy©+91-9959765211 Controlling CO FI CO isfor internal Reporting FI is for Internal & external Reporting 7
  • 8.
    ©SrinivasaKasireddy©+91-9959765211 1. CO -BasicSettings Organizational Structure : Controlling FI Accounting Operating Concern (CO-PA) CO Area1 CoCd1 Plant1 Plant2 CoCd2 Plant3 Plant4 CO Area2 CoCd3 Plant5 Plant6 CoCd4 Plant7 Plant8 1. Copy comp code TCode :EC01 2. Maintain Controlling Area CO FI CO-Area CoCd Scenario:1 (1:1 relationship) Company Code = Controlling Area (Company code and Controlling area are in same levels or One Company code under a Controlling area) Scenario 2: (1:n relationship) Company Code under the Co area (more than one CoCd under a Co-area) This is also called cross company code cost accounting. CO-area Company Code Co Area1 CoCd 1 CoCd 2 Co Area2 CoCd 3 CoCd4 We are going to follow scenario 2 . SPROControllingGeneral Controlling OrganisationMaintain Controlling Area Double click on Maintain Controlling Area 8
  • 9.
    ©SrinivasaKasireddy©+91-9959765211 New Entries Controlling Area: LAP Name : Co Area for LAP Co Cd  CO Area : Cross-company-code cost accounting Currency Type : 10 Currency : INR Chart of Accts : LACA Fiscal Year Variant : V3 CCtr Std. Hierarchy : Std_Hier Save ’Yes’ Button to create std hierarchy Create Request Button Short description : CO Settings for LAP Enter Continue Double click on ‘Assignment of Company Code(s)’ folder New Entries CoCd Company Name LAP Lair p div 9
  • 10.
    ©SrinivasaKasireddy©+91-9959765211 Save Continue Double click on‘Activate components/control indicators’ folder New Entries Fiscal Year : 2012 Cost Centres : Component Active AA: Activity type OrderManagement : Component Active Profit Centre Acctg √ √ 10
  • 11.
    ©SrinivasaKasireddy©+91-9959765211 Save Enter to ignorethe warning message 3. Cost Centre Standard Hierarchy Up to Controlling Same path Cost Centre AccountingMaster Data Cost CentresDefine standard Hierarchy Controlling Area : LAP  Enter Group Name : STD_HIER Description : Standard hierarchy for LAP Save Info : Std hierarchy is top node in the cost centre hierarchy . Std hierarchy represents all cost centres in the Co Area 4. Maintain Versions SPROControllingGeneral Controlling OrganisationMaintain Versions Select version ‘0’ iePlan/Actual version Double click on ‘Settings for Each Fiscal Year ‘ folder `` Controlling Area : LAP Version : 0 Enter New entries Fiscal Year : 2012 11
  • 12.
  • 13.
    ©SrinivasaKasireddy©+91-9959765211 2. Cost CentreAccounting Cost Centre Profit Centre Cost Centre Accounting(CCA) is used to record costs at org units called Cost centres. Eg:Cost centre can be a department Profit Centre Accounting(PCA) is used to record costs and revenues at org units called Profit centres. Eg: Profit centre can be a plant. Profit centre is an internal org. unit at which you can analyze profitability independently. Eg: Plant wise profitability is possible In FI module we can record expenses & revenues at GL account level. Department level expenses can be captured in CCA . Plant level expenses and revenues can be captured in PCA. Relationship between Profit centre & Cost centre A cost centre can be independent or assigned to a profit centre. For eg we have two plants We can create each plant as a profit centre . We can create each department in the plant as a cost centre. Profit center Cost centre 1000 (Mumbai plant) 1001 (Body shop) 1002 (Assembling) 1003 (Paint shop) 2000 (Hyd Plant) 2001 (Body shop) 2002 (Assembling) 2003 (Paint shop ) Independent 9000 (Sales) Independent 9001 (Admin) Cost Element Primary Cost Element Secondary Cost Element Primary Cost Elements are nothing but ‘Expenses’ GL accounts 13
  • 14.
    ©SrinivasaKasireddy©+91-9959765211 Primary cost elementsSecondary cost elements Used to transfer data from FI module to CO Used to transfer data within CO module For eg you post to Salary a/c in FI . It can be transfered to CO with a cost element called Salary For eg allocations from one CO-object to other(Cost center to Costcenter ) Profit centre 1000 (Mumbai Plant) Profit centre 2000 (HydPlant) Cost/Revenue element 1001 1002 1003 2001 2002 2003 Cost / Revenue element wise Totals(FI) 400500(Salaries) 27000 18000 9000 9000 27000 18000 108000 400600(Rent) 45000 54000 27000 27000 9000 9000 171000 CC wise Total 72000 72000 36000 36000 36000 27000 279000 PC wise Total 180000 99000 300510 (Sales) 207000 135000  342000 PC wise Profitability 27000 36000  63000 1. Settings 1. Maintain Number Ranges for Controlling Document SPROControllingGeneral Controlling OrganisationMaintain Number Ranges for Controlling Document Tcode :KANK CO Area : LAP  Maintan Groups button Create button Group : No. ranges for CO documents (LAP) From number To number 090000000 099999999 Save Continue Back buton 14
  • 15.
    ©SrinivasaKasireddy©+91-9959765211 Non-Assigned Elements Click onCOIN Element/Group button  Double click on ‘No. ranges for CO documents (LAP)’ (Repeat the same procedure for , RKP1, RKU1, RKU3)  Save Continue Info: FI CO Doument types Eg: SA, KR, KZ Business transactions Eg: COIN , RKU1 , RKU3 Eg: Bus.transaction ‘COIN’ arises when a CO object like Cost centre is entered in FI document . In this case a CO document is generated apart from a FI document. Bus.transaction ‘RKU1’ arises when reposting of costs from one CC to other CC . In this case only CO document is generated. 2. Creation of Primary Cost Element a.FI area Tcode : FS00 Select 1st expenses Account Change button’Edit cost element’ button Valid From : 1-4-2011 to : 31-12-9999 Enter CElem category : 1 (Primary cost/cost-reducing revenue) 15
  • 16.
    ©SrinivasaKasireddy©+91-9959765211 Save Note down the2nd Expenses GL account 400409 Travelling Expenses b. Co. Area: SAP Easy AccessAccountingControllingCost element AccountingMaster DataCost Element Individual processingCreate Primary Tcode : KA01 Cost Element : 400509 (2nd exp a/c) Enter CElem category : 1 Save c. Automatic Creation: SPROControllingCost Element AccountingMaster DataCost elementsAutomatic Creation of Primary and Secondary Cost ElementsMake Default settings Chart of Accounts : LACA Enter NewEntries Acct from Account to CECt 400403 (3rd Exp A/C) 400490 1 400491 400491 12 400492 499999 1 Save Continue Back button twice Create Batch Input session: Same path Create Batch Input session Controling Area : LAP Valid From : 1.4.2011 Valid to : 31.12.9999 Session : CE_CREATE_LA Execute Back button twice Execute Batch Input session 16
  • 17.
    ©SrinivasaKasireddy©+91-9959765211 Same path  ExecuteBatch Input session Select Session name : CE_CREATE_LA Process button Process button again Keep on pressing Enter until processing batch input session completed Exit batch input session button 3. Display Cost Elements Tcode :KA23 SAP Easy AccessAccountingControllingCost element AccountingMaster DataCost elementCollective ProcessingDisplay All Cost Elements Execute 4. Creation of FSG (Cost Centre required) Tcode : OBC4 Select FS variant ‘LAFS’ Double click on ‘Field Status groups’ folder Select FSG ‘G004’ (Cost Accounts) Copy as button Change Field status group to2 ‘G002’ Change the Text to ‘Cost accounts (CC req)’ Enter Double click on Field Status Group ‘G002’ Double click on ‘Additional account assignment’ Req. Entry Cost centre Save Continue 5. Assign New FSG in Expenses G/L Account SAP Easy AccessAccountingFinancial AccountingGeneral LedgerMaster RecordsGL AccountsCollective ProcessingCompany Code Data Enter to ignore the warning message TCode:OB_GLACC12 … … … … … … … … 17
  • 18.
    ©SrinivasaKasireddy©+91-9959765211 Company Code :LAP G/L Account : 400000 To 499999 Execute Replace Field status group with ‘G002’ for all GL accounts Save Enter to ignore the warning message 6. Creation of Cost Centre SAP Easy AccessAccountingControllingCost Center AccountingMaster DataCost CenterIndividual ProcessingCreate Tcode: KS01 Extras menuSet Controlling Area Controlling Area : LAP Enter Cost center: 1001 Valid From : 1.4.2011 to : 31.12.9999 Enter Name : Body shop Description : Body shop Person Responsible : Mr. T Cost Center Category : 1 Hierarchy Area : STD_HIER Business Area : LANZ Currency : INR Save 18
  • 19.
    ©SrinivasaKasireddy©+91-9959765211 Enter to ignorethe warning msg Cost Center : 1002 Reference Cost Center : 1001 Controlling Area : LAP Enter Replace the Name & Description with ‘ Assembling’ Person responsible : Mr. T Save Enter to ignore the warning message Cost Center : 1003 Reference Cost center: 1001 Controlling Area : LAP  Enter Replace the Name with ‘Paint shop’ Replace the Description with ‘Paint shop’ Person Responsible : MR. T Save Enter to ignore the warning message Cost Center : 2001 Reference Cost center: 1001 Controlling Area : LAP  Enter Replace the Name with ‘Processing’ Replace the Description with ‘Processing’ Person Responsible : MR. T Save Enter to ignore the warning message 7. Creation CC Groups Tcode : KSH1 19
  • 20.
    ©SrinivasaKasireddy©+91-9959765211 Up to MasterData same path CostCenter Group Create Cost Center Group : PROD Enter Description : Production cost Insert Cost Center button PROD 1001 Body Shop 1002 Assembling 1003 Paint Shop Save 8. Creation of CE groups Tcode :KAH1 Up to Master Data same path Cost Element GroupCreate Cost element group : ADMIN Enter Description: Admn Cost Insert Cost Element button ADMIN 400591 Travelling Exp. Save Cost element group : PERSNL Enter Description : Personal cost Insert Cost Element button PERSNL 20
  • 21.
    ©SrinivasaKasireddy©+91-9959765211 400500 Salaries (Enter GLaccounts like Wages , Bonus etc) save 2. End User: 1. Posting of transaction in FI Tcode :F-02 Doc Date : Type : SA Posting Key : 40 Account : 400500 (Salaries) Enter Amount : 27000 Cost Center : 1001 Text : Salaries Payment Posting Key : 40 Account : 400600(Rent) Enter Amount : 18000 Cost Center : 1001 Text : Rent Payment Posting Key : 50 Account : 200691(Cash) Enter 21
  • 22.
    ©SrinivasaKasireddy©+91-9959765211 Amount : * Busarea : LANZ Text : Expenses Payment DocumentSimulatePost Post one more document for Rent 9000.00 & Salaries 36000.00 for Cost Center ‘ 1002’ 2. Display CC Report Tcode:KSB1 Up to Cost Centre Accounting same path Information SystemReports for CostCenter AccountingLine itemsCost Center: Actual Line Items Cost Center Group : PROD Cost Element : 400500, 400600 Execute Change Layout button Find button Search term : ‘Business’ Enter Select ‘Business Transaction’ under Column Name Left arrow button Select ‘Document Number’ under Column Name Left arrow button 22
  • 23.
    ©SrinivasaKasireddy©+91-9959765211 Select ‘Ref DocumentNumber ‘ under Column Name Left arrow button Enter Make a note of Business Transaction , Doc no, Ref doc no. RefDoNo is Fi document DocumentNo is CO document 3. Display CO Document Tcode:KSB5 Same Path CO Documents: Actual Costs Document Number : 090000000 Execute 4. Repost CO Line item Info : This function is used to rectify posting to wrong CO objects. For eg if during FI posting it is been posted to wrong CC , you transfer to right CC without having impact on FI posting. In this transaction only a CO document is generated. Tcode:KB61 Up to Cost Centre Accounting same path Actual postingsRepost Line ItemsEnter Document Number : 1000000024 Company Code : LAP Fiscal year : 2011 Execute Value Tran curr Acct Assgt 1 11000 1003 7000 1003 23
  • 24.
    ©SrinivasaKasireddy©+91-9959765211 Enter (Screen is updatedas shown in the following image) Post 5. Display Cost Center Report Tcode: KSB1 Extras menuSet Controlling Area Controlling Area : LAP Enter Cost Center Group : PROD Execute 24
  • 25.
    ©SrinivasaKasireddy©+91-9959765211 6. Creating CommonCost center Tcode:KS01 CostCenter : 2000 Valid from : 1.4.2012 to : 13.12.1999 Enter Name : Common for CC 1001, 1002, 1003 Person responsible Mr. T CostCenter Category : 1 (Prod) Hierarchy area : STD_HIER Busines area : LANZ Currency : INR Save Enter to ignore the warning message 7. Posting to Common Cost center Tcode F-02 1.Post one document for Salary Amount : 36000 Cost Centre : 2000 2. Post one document for Rent Amount : 9000 25
  • 26.
    ©SrinivasaKasireddy©+91-9959765211 Cost Centre :2000 8. Repost Costs: Info: This functionality is used to simplify FI postings. For eg FI user can post to common CC if the amount belongs to multiple CCs. Later cost accountant can transfer the amount to individual CCs without having impact on FI posting. In this transaction only a CO document is generated. Tcode: KB11N Up to Cost Centre Accounting Same path Actual posting Manual Reposting of Costs  Enter Extra menuSet Controlling area Controlling Area : LAP Enter CCtr (old) Cost Elem. Amount CCtr (new) 2000 400500 12000 1001 2000 400500 10000 1002 2000 400500 14000 1003 2000 400600 3000 1001 2000 400600 3000 1002 2000 400600 3000 1003 Post 9. Display Cost Center Report 26
  • 27.
    ©SrinivasaKasireddy©+91-9959765211 Tcode: KSB1 CostCenter Group: PROD Execute Back button Cost centre : 2000 Multiple Entries button Single value 1001 1002 1003 2000 Copy button Execute 10. Period Lock At end of the month we lock the previous month FI CO PPV Period lock Open and close Posting Period for Account type & accounts lock& unlock period for business transaction Eg : (COIN, RKU1) Tcode : OKP1 Path: AccountingControllingCostcenterAccountingEnvironmentPeriodlockChange Controlling area : LAP Fiscal Year : 2011 Actual button Locking transaction for all period: 27
  • 28.
    ©SrinivasaKasireddy©+91-9959765211 Keep the cursoron transaction ‘CO through posting from FI’ Lock transaction button Lock period for all transactions : select the period Lock period button Save 11. Planning Cost Centre wise Tcode : KP06 Up to CostCenter Accounting same path PlanningCost and Activity InputsChange Version : 0 From period : 1 To period : 12 Fiscal Year : 2011 Cost centre : 1001 Cost element : 400500 Form-Based Overview screen button Costelement Plan fixed cost Distribution key 400500 240000 1 (Equal distribution) … … … … 28
  • 29.
    ©SrinivasaKasireddy©+91-9959765211 Select the costelement 400500 Period screen button (Next image shows period wise planned costs) Post 12. Display Variance report Tcode : S_ALR_87013611 Path: up to CostCenter Accounting Same path Information systemReports for CostCenter AccountingPlan/Actual Comparisons Cost Centers:Actual/Plan/ Variance Controlling Area : LAP Fiscal Year : 2011 From Period : 5 (Current period) To Period : 5 29
  • 30.
    ©SrinivasaKasireddy©+91-9959765211 Plan Version :0 Cost Center Group : PROD Or Values : 400500 Execute 30
  • 31.
    ©SrinivasaKasireddy©+91-9959765211 3. Allocations Periodic allocationsare done for planning data at the beginning of period (posting date will be 1st day of the period). Periodic allocations are done for actual data at the end of period (posting date will be last day of the period). . The following periodic allocation methods are availble in SAP . They can be used for allocating both planned and actual costs/activity quantities. Allocations Distribution Periodic Reposting Asessment Indirect activity allocation Used for allocating primary costs Similar to distribution Used for allocating primary and secondary costs Used for allocating activity type ( like Man Hrs , Mach Hrs etc) quanities Primary cost elements are used Similar to distribution Secondary cost elements (category : Assesment ) are used Secondary cost elements(category : Internal allocation) are used Detailed breakup at cost element level is available Similar to distribution Data is summerized on assesment cost element/s Data is summerized on allocation cost element/s Used for plan and actual costs Used for actual costs Used for plan and actual costs Used for plan and actual costs Detailed analysis is available at sender and receiving cost center Analysis is available at receiving cost center only Used if sender cost center is important for cost analysis Eg : Cafetaria Used if sender is just a cost collector cost center Used just to simplify account assignments during FI postings eg : Comon CC Creates more no of line items,uses more memory compared to periodic reposting Creates less no of line items,uses less memory compared to distribution 31
  • 32.
    ©SrinivasaKasireddy©+91-9959765211 Direct Activity allocation: is used for recording actual quantities of activity types consumed by the receving CO object. This allocation happens as and when an activity type is consumed by the receiving cost center . So this is not a periodc allocation. KB21N is the TCode used . 1. Cost Center relatioships: Cost Centers used : Cost Center Cost Center Name Costcenter category 1001 Bodyshop A : Production 1002 Assembling 1003 Paintshop 1004 Cafetaria K : Service 1006 Cost Collector 9 : Common 1008 Plant mainatance B: Maintanance 1009 Quality control N:Quality assurance 1011 Plant Admin C: Administration 2. Assesment Cost center cafeteria is used by other cost centers as shown in the following table Allocation method used is assesment. SKF (no of emplyees) is the allocation criteria. Ie . Cafetaria charges are to be allocated based on the no of employees . Note : Cost Center cafeteria itself has 5 employees Sender CostCenter Reciving cost Center No of emplyees 1004(Cafetaria) 1001 75 1002 100 1003 75 1004(Cafetaria) 5 1008 20 1009 25 3. Periodic Reposting : To simplify the FI postings we use cost collector cost center. We can post costs like rent , Electricity charges to cost collector cost center during the period. At period end we allocate to 3 production cost centers using allocation method periodic reposting. Rent is to be allocated based on percentage basis 32
  • 33.
    ©SrinivasaKasireddy©+91-9959765211 Electricity charges isto be allocated based on no of units ie SKF : EU (Electric Units) Sender CostCenter Reciving cost Center Rent Electricity charges 1006(Cost collector) 1001 50% As recorded 1002 30% As recorded 1003 20% As recorded 4. Distribution: Cost center plant admin takes care of 3 production cost centers. Costs like salaries of administration department , stationery charges, vehicle maintanance , travelling expenses are recorded in the cost center. At period end we allocate all the costs to 3 production cost centers using allocation method distribution. Salaries is to be allocated based on number of employees in the receiver cost center Stationery charges , vehicle maintanance , travelling expenses are to be allocated based on percentage basis. Sender CostCenter Reciving cost Center Salaries Stat chrges Vhcle maint TrExp 1011(Plant Admin) 1001 75 25% 30% 20% 1002 100 50% 60% 70% 1003 75 25% 10% 10% 5. Indirect activity allocation: Cost center quality control gives quality check service to 3 production cost centers. Activity type tesing hours(Tst Hrs) is to be allocated to 3 production cost centers Quantity of Tst Hrs is allocated based on the number of tested items . Allocated activity type is Tst Hrs and allocation basis is SKF (test items)Allocation method used is indirect activity allocation. Sender CostCenter Reciving cost Center Tested items 1009(Qulatity control) 1001 1002 1003 6. Direct activity allocation: Cost center plant maintenance gives maintenance service to 3 production cost centers. Activity type maintenance hours(Mnt Hrs) is to be allocated to 3 production cost centers 33
  • 34.
    ©SrinivasaKasireddy©+91-9959765211 Actual quantity ofMnt Hrs is recorded in the receiving cost center when the services are consumed. Allocated activity type is Mnt Hrs and Allocation method used is direct activity allocation. Sender Cost Center Reciving cost Center 1008(Plant maintanance) 1001 1002 1003 34
  • 35.
    ©SrinivasaKasireddy©+91-9959765211 4. Allocation byAssessment using SKF SKF(Satistical Key Figures) is used as a basis to allocate costs from one cost centre to other.If total number of employees in 3cost centers is 300. Cafetaria charges are to be shared between 3 cost centers based on the number of employees. Sender CostCenter Reciving cost Center No of emplyees 1004(Cafetaria) 1001 75 1002 25 1003 200 Costs recorded in cost center Cafetaria by FI postings : Cost Center Primary Cost elements Costs incured 1004(Cafetaria) 400500 (Salaries) 400600(Rent) 45000.00 27000.00 Total cafeteria charges 72000.00 Formula used for allocation : (No of employees /Total no of employees)* Total amount Eg : Cost allocation for cost center 1001 = (75/300)*72000.00 = 18000.00 Allocation of Cafetaria charges to 3 cost centers: Sender CostCenter Sending Amount Sec.Cost element Reciving cost Center Allocated amount 1004(Cafetaria) -18000.00 10000000(Cafetari a charges) 1001 18000.00 -6000.00 1002 6000.00 -48000.00 1003 48000.00 -72000.00 72000.00 Summary of the above transactions: Sender CostCenter Posted/Allocated amounts Prim/Sec Cost element Reciving cost Center Allocated amount 1004 (Cafetaria) 45000.00 400500 (Salaries) 27000.00 400600(Rent) -18000.00 10000000(Cafetaria charges) 1001 18000.00 -6000.00 1002 6000.00 -48000.00 1003 48000.00 Balance 0.00 Total 72000.00 35
  • 36.
    ©SrinivasaKasireddy©+91-9959765211 allocation 1. Settings 1. CreateCost Centre Tcode : KS01 Extras menuSet Controlling Area Controlling Area : LAP Enter Cost Centre : 1004 Valid From : 1.4.2012 Enter Name : Cafetaria Descritpion : Cafetaria Person responsible : MR. k Cost Center Category : 9 (Allocation cost ctr) Hierarchy area : STD_HIER Business Area : LANZ Currency : INR Save Enter to ignore the warning msg 2. Create No. Ranges interval for Business transaction RKS RKIU Tcode : KANK CO Area : LAP Maintain Groups Button √ No. Range for CO Document (LAP) Double click on Business Transactions RKS, RKIU, Element/Group button Save Continue 3. Create SKF 36
  • 37.
    ©SrinivasaKasireddy©+91-9959765211 Tcode : KK01 SAPEasy AccessAccountingControllingCost Center AccountingMasterData Statistical Key FiguresIndividual ProcessingCreate (KK01) Stat. key figure : EMP Enter Name : Employee Stat. key fig. UnM. : EA (Each) (Unm = Units of Measure) Fxd val Save 4. Enter SKF Tcode : KB31N Up to Cost Center Accounting same path Actual PostingsStatistical Key FiguresEnter Rec. CCtr StatKF Total Quantity 1001 EMP 75 1002 EMP 25 1003 EMP 200 Save 5. Allocation method (Assessment Method): 1. Creation of secondary cost element Tcode :KA06 SAP Easy AccessAccountingControllingCost Element AccountingMaster Data Cost ElementIndividual ProcessingCreate Secondary Cost Element : 10000000 Valid From : 1.4.2012 Enter Name : Cafetaria charges Description : Cafetaria charges CElem category : 42 (Assessment) Save … … … … 37
  • 38.
    ©SrinivasaKasireddy©+91-9959765211 2. Creation ofAssessment Cycle Scenario: Cafetaria charges are to be shared between 3 cost centers based on number of employees Option 1: Assesment cycle 1 for Salaries and Rent Segment 1 for Salaries Segment 2 for Rent Option 2: Assesment cycle 1 for Salaries and Rent Segment 1 for Salaries& Rent Option3: Assesment cycle 1 for Salaries Segment 1 for Salaries Assesment cycle 2 for Rent Segment 1 for Rent We are using option 1 for the following configuration scenario SPROControllingCost Center AccountingActual PostingsPeriod-End Closing AssessmentMaintain Assessment Double click on Create Actual Assessment Cycle : LAP1 Start Date : 1.4.2012  Enter Text : Assesment of Cafertia Charges Indicators √ Iterative Attach segment button Segment Name : SAL Description : Salary Assessment Assessment CEle : 1000000000 Sender Rule : 1 posted amounts Share in % : 100 Actual value origin Receiver rule : Variable portions Var . portion type: Actual Statistical Key Figures Senders/Receivers tab: From To Group Sender Cost Centre 1004 - - Cost Element 400500 - - … … … … 38
  • 39.
    ©SrinivasaKasireddy©+91-9959765211 Receiver Cost centre -- PROD Receiver Tracing Factor tab: From Stat. key fig. EMP Attach segment button Segment Name : RENT Description : Rent Assessment Assessment CEle : 1000000000 Sender Rule : 1 posted amounts Share in % : 100 Receiver rule : Variable portions Var . portion type: Actual Statistical Key Figures 39
  • 40.
    ©SrinivasaKasireddy©+91-9959765211 Sender/Receivers tab From ToGroup Sender Cost Centre 1004 - - Cost Element 400600 - - Receiver Cost centre - - PROD Receiver Tracing Factor tab: From Stat. key fig. EMP  Save Continue 1. Enduser 1. Posting of Rent & Salary in CC 1004 Tcode : F-02 40
  • 41.
    ©SrinivasaKasireddy©+91-9959765211 40 Salary 40 Rent 50Cash * 2. Execution of Assessment cycle (Month end activity) T code : KSU5 Up to Cost Center Accounting same path Period-End ClosingSingle FunctionsAllocationsAssessment Period : 5 To 5 Fiscal Year : 2012 √ Test Run √ Details Lists Cycle LAP1 Enter Execute Double click on the item Back button 2 twice Yes button to leave the list Test Run Execute 3. Cost Centre Report Tcode : KSB1 CostCenter: 1004 Costelement : 10000000 Execute Back button CostCenter: 1001 To 1003 Costelement : 1000000000Multiple selection button Select Single values tab Single values 1000000000 400500 41
  • 42.
  • 43.
    ©SrinivasaKasireddy©+91-9959765211 5. Allocation byDistribution Cost center plant admin takes care of 3 production cost centers. Costs like salaries of administration department , stationery charges, vehicle maintanance , travelling expenses are recorded in the cost center. At period end we allocate all the costs to 3 production cost centers using allocation method distribution. Salaries is to be allocated based on number of employees in the receiver cost center Vehicle maintanance are to be allocated based on percentage basis. Sender CostCenter Reciving cost Center Salaries Rent Vhcle maint 1011(Plant Admin) 1001 75 25% 30% 1002 25 50% 60% 1003 200 25% 10% Costs recorded in cost center Plant admin by FI postings : Cost Center Primary Cost elements Costs incured 1011(Plant Admin) 400500 (Salaries) 400600(Rent) Vehicle maintenance 72000.00 18000.00 27000.00 Total Plant admin charges 81000.00 Sender CostCenter Sending Amount Cost element Reciving cost Center Allocated amount 1011(Plant Admin) -18000.00 400500 (Salaries) 1001 18000.00 -6000.00 1002 6000.00 -48000.00 1003 48000.00 -72000.00 72000.00 400600(Rent) 43
  • 44.
    ©SrinivasaKasireddy©+91-9959765211 2. Settings 1. CreateCost Centre Tcode : KS01 Extras menuSet Controlling Area Controlling Area : LAP Enter Cost Centre : 1011 Valid From : 1.4.2012 Enter Name : Plant Admin Descritpion : Plant Admin Person responsible : MR. k Cost Center Category : C: Administration Hierarchy area : STD_HIER Business Area : LANZ Currency : INR Save Enter to ignore the warning msg 2. Create GL account/cost element Vehicle maintenance G/L account 400203 3. Create No. Ranges interval for Business transaction RKIV Tcode : KANK CO Area : LAP Maintain Groups Button √ No. Range for CO Document (LAP) Double click on Business Transactions RKIV (Actual Overhead Distribution) Element/Group button Save Continue 4. Create SKF (already done) Tcode : KK01 44
  • 45.
    ©SrinivasaKasireddy©+91-9959765211 SAP Easy AccessAccountingControllingCostCenter AccountingMasterData Statistical Key FiguresIndividual ProcessingCreate (KK01) Stat. key figure : EMP Enter Name : Employee Stat. key fig. UnM. : EA (Each) (Unm = Units of Measure) Fxd val Save 5. Enter SKF ((already done)) Tcode : KB31N Up to Cost Center Accounting same path Actual PostingsStatistical Key FiguresEnter Rec. CCtr StatKF Total Quantity 1001 EMP 75 1002 EMP 25 1003 EMP 200 Save 6. Allocation method (Distribution): 1. Creation of Distribution Cycle Scenario: Plant admin charges are to be shared between 3 cost centers based on different criteria Option 1: Cycle 1 for Salaries and Rent Segment 1 for Salaries Segment 2 for Rent Segment 3 for Vehicle maintenance Option 2: Cycle 1 for Salaries and Rent Segment 1 for Salaries, Rent & Vehicle maintenance Option3: Cycle 1 for Salaries Segment 1 for Salaries Assesment cycle 2 for Rent Segment 1 for Rent Assesment cycle 3 for Vehicle maintenance Segment 1 for Vehicle … … … … 45
  • 46.
    ©SrinivasaKasireddy©+91-9959765211 maintenance We are usingoption 1 for the following configuration scenario SPROControllingCost Center AccountingActual PostingsPeriod-End Closing DistributionDefine Distribution Double click on Create Actual Distribution Cycle : LAP2 Start Date : 1.4.2012  Enter Text : Plant admin costs distribution Indicators √ Iterative Attach segment button Segment Name : SAL Description : Salary Distrbution Sender Rule : 1 posted amounts Share in % : 100 Actual value origin Receiver rule : Variable portions Var . portion type: Actual Statistical Key Figures Senders/Receivers tab: From To Group Sender Cost Centre 1011 - - Cost Element 400500 - - Receiver Cost centre - - PROD … … … … 46
  • 47.
    ©SrinivasaKasireddy©+91-9959765211 Receiver Tracing Factortab: From Stat. key fig. EMP Attach segment button Segment Name : RENT Description : Rent Distribution Sender Rule : 1 posted amounts Share in % : 100 Receiver rule : Fixed percentages Sender/Receivers tab From To Group Sender Cost Centre 1011 - - 47
  • 48.
    ©SrinivasaKasireddy©+91-9959765211 Cost Element 400600- - Receiver Cost centre - - PROD Receiver Tracing Factor tab: Cost Ctr Portion/percent 1001 25% 1002 50% 1003 25% Attach segment button Segment Name : Veh Description : Vehcile maintance distribution Sender Rule : 1 posted amounts Share in % : 100 Receiver rule : Fixed percentages Sender/Receivers tab From To Group Sender Cost Centre 1011 - - Cost Element 400203 - - Receiver Cost centre - - PROD Receiver Tracing Factor tab: Cost Ctr Portion/percent 1001 30% 1002 60% 1003 10%  Save Continue 2. Enduser 48
  • 49.
    ©SrinivasaKasireddy©+91-9959765211 4. Posting ofRent , Salary ,Veh maintanance in CC 1011 Tcode : F-02 40 Salary 45000 40 Rent 27000 40 Vehcile maintance 18000 50 Cash * 5. Execution of Distribution cycle (Month end) T code : KSV5 Up to Cost Center Accounting same path Period-End ClosingSingle FunctionsAllocationsDistribution Period : 5 To 5 Fiscal Year : 2012 √ Test Run √ Details Lists Cycle LAP2 Enter Execute Back button Yes button to leave the list Test Run Execute 6. Cost Centre Report Tcode : KSB1 CostCenter: 1011 Costelement : 400500, 400600,400203 Execute Back button CostCenter: 1001 To 1003 Costelement : 400500, 400600,400xxx Select Single values tab Single values 49
  • 50.
  • 51.
    ©SrinivasaKasireddy©+91-9959765211 6. Allocation byPeriodic Reposting To simplify the FI postings we use cost collector cost center. We can post costs like rent , Electricity charges to cost collector cost center during the period. At period end we allocate to 3 production cost centers using allocation method periodic reposting. Rent is to be allocated based on percentage basis Electricity charges is to be allocated based on no of units ie SKF : EU (Electric Units) Sender CostCenter Reciving cost Center Rent Electricity charges 1006(Cost collector) 1001 50% As recorded 1002 30% As recorded 1003 20% As recorded 1. Settings 1. Create Cost Centre Tcode : KS01 Extras menuSet Controlling Area Controlling Area : LAP Enter Cost Centre : 1006 Valid From : 1.4.2012 Enter Name : Cost collector Descritpion : Cost collector Person responsible : MR. k Cost Center Category : 9 Allocation Hierarchy area : STD_HIER Business Area : LANZ Currency : INR Save Enter to ignore the warning msg 51
  • 52.
    ©SrinivasaKasireddy©+91-9959765211 2. Create GLa/c& cost element Elec Charges G/L account : 400392 3. Create No. Ranges interval for Business transaction RKIB Tcode : KANK CO Area : LAP Maintain Groups Button √ No. Range for CO Document (LAP) Double click on Business Transactions RKIB (Actual Periodic Repostings) Element/Group button Save Continue 4. Create SKF Tcode : KK01 SAP Easy AccessAccountingControllingCost Center AccountingMasterData Statistical Key FiguresIndividual ProcessingCreate (KK01) Stat. key figure : EU Enter Name : Electrical Units Stat. key fig. UnM. : KWH (Unm = Units of Measure) Tot val Save 5. Allocation method (Periodic Reposting): 1. Creation of Periodic Reposting cycle SPROControllingCost Center AccountingActual PostingsPeriod-End Closing Periodic RepostingDefine Periodic Reposting Double click on Create Actual Periodic Reposting … … … … 52
  • 53.
    ©SrinivasaKasireddy©+91-9959765211 TCode : KSW1 Cycle: LAP3 Start Date : 1.4.2012  Enter Text : Prim costs reposting Indicators √ Iterative Attach segment button Segment Name : ELEC Description : Elcricity bills reposting Sender Rule : 1 posted amounts Share in % : 100 Actual value origin Receiver rule : Variable portions Var . portion type: Actual Statistical Key Figures Senders/Receivers tab: From To Group Sender Cost Centre 1006 - - Cost Element 400392 - - Receiver Cost centre - - PROD Receiver Tracing Factor tab: From Stat. key fig. EU … … … … 53
  • 54.
    ©SrinivasaKasireddy©+91-9959765211 Attach segment button SegmentName : RENT Description : Rent reposting Sender Rule : 1 posted amounts Share in % : 100 Receiver rule : Fixed percentages Sender/Receivers tab From To Group Sender Cost Centre 1006 - - Cost Element 400600 - - Receiver Cost centre - - PROD Receiver Tracing Factor tab: Cost Ctr Portion/percent 1001 50% 1002 20% 1003 30% Save 3. Enduser 7. Posting of Rent , Elc bills , in CC 1006 Tcode : F-02 54
  • 55.
    ©SrinivasaKasireddy©+91-9959765211 40 Elc bills45000 40 Rent 27000 50 Cash * 8. Enter SKF (Month end) Tcode : KB31N Up to Cost Center Accounting same path Actual PostingsStatistical Key FiguresEnter Rec. CCtr StatKF Total Quantity 1001 EU 750 1002 EU 250 1003 EU 2000 Save 9. Execution of Periodic reposting cycle (month end) T code : KSW5 Up to Cost Center Accounting same path Period-End ClosingSingle FunctionsPeriodic Reposting Period : 5 To 5 Fiscal Year : 2012 √ Test Run √ Details Lists Cycle LAP3 Enter Execute Back button Yes button to leave the list Test Run Execute 10. Cost Centre Report 55
  • 56.
    ©SrinivasaKasireddy©+91-9959765211 Tcode : KSB1 CostCenter:1006 Execute Back button CostCenter: 1001 To 1003 Costelement : 400600Multiple selection button Select Single values tab Single values 400600 400392 Copy button Execute 56
  • 57.
    ©SrinivasaKasireddy©+91-9959765211 7. Indirect ActivityAllocation using SKF Cost center quality control gives quality check service to 3 production cost centers. Two activity types are used . 1.Testing hours-Manual (Act type category = 2 Indirect determination, indirect allocation) 2.Testing hours-Automated(Act type category =3 Manual entry, indirect allocation) Both activity types are allocated on the basis of SKF (test items) . Allocation method used is indirect activity allocation. Splitting : Costs that incured in the costcenter quality control are to be split between the two activity types . For that we need to define Splitting Structure and assign to the cost center. Actual activity valuation : During allocation activity quantity is valuated with plan price or manually set price initially when actual price calculation is not done. At the time of actual price calculation we can optionally revaluate the allocated activity. Variance amount is posted . After revaluation process sender balance will be zero . Settings for price calculation ,revaluation and cost component structure : During Version maintenance we can make settings for price calculation and revaluation on fiscal year basis. In the Activity type master data we maintain actual price indicator 5 or 6. 57
  • 58.
    ©SrinivasaKasireddy©+91-9959765211 Sender CostCenter Recivingcost Center Tested items 1009(Qulatity control) 1001 300 1002 200 1003 220 Costs recorded in cost center Quality control by FI postings : Cost Center Primary Cost elements Planned Costs 1009 (Quality control) 400500 (Salaries) 400600(Rent) 45000.00 27000.00 Total charges 72000.00 58
  • 59.
    ©SrinivasaKasireddy©+91-9959765211 1. Settings 1. CreateCost Centre Tcode : KS01 Extras menuSet Controlling Area Controlling Area : LAP Enter Cost Centre : 1009 Valid From : 1.4.2012 Enter Name : Quality control Descritpion : Quality control Person responsible : MR. k Cost Center Category : N (Quality Assurance) Hierarchy area : STD_HIER Business Area : LANZ Currency : INR Save Enter to ignore the warning msg 2. Create No. Ranges interval for Business transaction RKL , RKN, KSI0,KSII Tcode : KANK CO Area : LAP Maintain Groups Button √ No. Range for CO Document (LAP) Double click on Business Transactions RKL,RKN,RKIL, KSI0,KSII Element/Group button Save Continue 3. Create SKF Tcode : KK01 SAP Easy AccessAccountingControllingCost Center AccountingMasterData 59
  • 60.
    ©SrinivasaKasireddy©+91-9959765211 Statistical Key FiguresIndividualProcessingCreate (KK01) Stat. key figure : ITEM Enter Name : Testing items Stat. key fig. UnM. : EA (Each) (Unm = Units of Measure) Tot Values Save 4. Creation of secondary cost element Tcode :KA06 SAP Easy AccessAccountingControllingCost Element AccountingMaster Data Cost ElementIndividual ProcessingCreate Secondary Cost Element : 1000000026 Valid From : 1.4.2012 Enter Name : Testing chrges-Manual Description : Testing charges Manual CElem category : 43 (Internal activity allocation) Save 5. Creating Activity Type Testing hours-Manual SAP Easy Access Accounting  Controlling  Cost Center Accounting Master Data  Activity type Individual Processing Create Tcode: KL01 Activity Type : TSHRM Valid From : 1.4.2011 to 31.12.9999 Enter Name : Testing Hours--Manual Description : Testing Hours-Manual Activity Unit : H CCtr categories : * (All Cost Centre Categories) Allocation of default values ATyp Category : Allocation Cost Element : 1000000026 Price indicator : 1 … … … … 60
  • 61.
    ©SrinivasaKasireddy©+91-9959765211 Variation Values forActual Alloccation Actl Acty Type Cat. : Blank As in planning Act. price indicator : 5 Actual price, automatically based on activity Save 6. Creation of secondary cost element Tcode :KA06 SAP Easy AccessAccountingControllingCost Element AccountingMaster Data Cost ElementIndividual ProcessingCreate Secondary Cost Element : 1000000027 Valid From : 1.4.2012 Enter Name : Testing charges-Automated Description : Testing charges- Automated CElem category : 43 (Internal activity allocation) Save 7. Creating Activity Type Testing hours-Automated SAP Easy Access Accounting  Controlling  Cost Center Accounting Master Data  Activity type Individual Processing Create Tcode: KL01 Activity Type : TSHRA Valid From : 1.4.2011 to 31.12.9999 Enter Name : Testing Hours- Automated Description : Testing Hours-Automated Activity Unit : H CCtr categories : * (All Cost Centre Categories) ATyp Category : 3 (Manual Entry & Indirect Allocation) Allocation Cost Element : 1000000027 Price indicator : 1 Plan price, automatically based on activity Actl Acty Type Cat. : Blank As in planning Act. price indicator : 5 Actual price, automatically based on activity 61
  • 62.
    ©SrinivasaKasireddy©+91-9959765211 Save 8. Creating CostElement Group TCode :KAH1 CO Area : LAP Cost element group : OH_COST Enter Description : OH Cost Cost Element button 400500 400600 Save 9. Creating Activity Type Group TCode :KLH1 CO Area : LAP Activity Type group : TEST Enter Description : Testing Activity Type button TSHRA TSHRM Save 10. Define Splitting Structure TCode : OKES SPROControllingCost Center AccountingActual PostingsPeriod-End Closing  Activity Allocation SplittingDefine Splitting Structure Double click on ‘Splitting rules’ folder New Entries Rule Text Meth Wt LAP1 21 . Enter Select rule ‘LAP1’ 62
  • 63.
    ©SrinivasaKasireddy©+91-9959765211 Double click on‘Selection for rules’ folder New Entries Field Label From Value Version 0 (Co area LAP/ version 0) Double click on ‘Splitting Structures’ folder New Entries Structur e Text L1 LAP Splitting Structure Enter Select structure ‘L1’ Double click on ‘Assignments’ folder New Entries Assignment Text Rule Text LA1 LAP1 Enter Select assignment ‘LA1’ Double click on ‘Selection for assignments’ folder New Entries Field Label From Value To Value Group Cost Element Acivity Type Save Continue 63
  • 64.
    ©SrinivasaKasireddy©+91-9959765211 11. Assign SplittingStructure to Cost Centers Same Path Cost centre : 1009 All versions Fiscal Year : 201x Change button √ 1009 Click on ‘L1’ under splitting Structures Assign button( ) Save Continue Category 3 Direct entry Indirect Allocation Category 2 Indirect entry Indirect Allocation Planning : Activity planning allowed Activity planning not allowed Price can be calculated Price cant be calculated because sender quantity is unknown Actual: Enter Sender Activity Enter Sender Activity not allowed Price can be calculated Price cant be calculated sender quantity is unknown Quantity and cost can be allocated Only quantity can be allocated Sender quantity is determined only after activity allocation Then only we can calculate the price Sender Quantity : 720 hrs Allocated Quantity : 300+200+220 hrs Allocation Basis : 300:200:220 items Allocated quantity : 300*1hr +200*1hr+220*1hr = 720 hr 720 items *1hr = 720 hrs … … … … … … … … 64
  • 65.
    ©SrinivasaKasireddy©+91-9959765211 12. Define CostComponent Structure SPROControllingCost Center AccountingActual PostingsPeriod-End Closing  Activity AllocationPrice CalculationSettings for Cost Component Split Define Cost Component Structure TCode:OKTZ  Double click on Define Cost Component Structure folder Select Cost Comp Str ‘01’ Copy As button Cost Comp Str Active Prim.Cost Comp .Split Name L2 √ √ LAP Actvity Cost Comp Str Enter Enter to confirm the message Select Cost Comp Str ‘L2’ Double Click on ‘Cost Components with Attributes’ folder Change the name as shown in the table Cost Comp Str Cost Com Name of Cost Comp L2 10 L2 30 L2 50 L2 90 Delete the remaining cost components Save Double Click on ‘Assignment :Cost Component – Cost Element Interval’ folder New Entries button Cost Comp Str Chart of Accts From cost el. Cost Component L2 LACA 30 L2 LACA 50 L2 LACA 90 Save  Double click on Define Cost Component Structure folder Cost Comp Str Active Prim.Cost Comp .Split Name L2 √ √ LAP Actvity Cost Comp Str 65
  • 66.
    ©SrinivasaKasireddy©+91-9959765211 Save 13. Change Revaluation/Pricecalculation/Cost comp Structure settings in Version 0 TCode : OKEQ SPROControlling General ControllingOrganizationMaintain Versions Select version ‘0’ Double click on ‘Settings for Each Fiscal Year ’ folder Controlling Area : LAP Version : 0 Enter Double click on the current fiscal year Price calculation tab Purely Iter. Price Plan Method : Periodic price Actual Method : Periodic price Revaluation : Same line Cost Comp. Str. : Save (Repeat the process for other fiscal years) 14. Allocation method (Indirect Activity Allocation): 1. Creation of Indirect Activity Allocation Cycle TCode : KSC1 SPROControllingCost Center AccountingActual PostingsPeriod-End Closing  Activity Allocation  Indirect Activity AllocationDefine Indirect Activity Allocation Double click on Create actual indirect activity allocation Cycle : LAP4 66
  • 67.
    ©SrinivasaKasireddy©+91-9959765211 Start Date :1.4.2012  Enter Text : Allocation of testing activity Attach segment button Segment Name : TEST_A Description : Tstng hr-Automate Allocation Sender Rule : 1 posted quantities Share in % : 100 Actual value origin Receiver rule : Variable portions Var . portion type: Actual Statistical Key Figures Senders/Receivers tab: From To Group Sender Cost Centre 1009 - - Activity Type TSHRA - - Receiver Cost centre - - PROD Receiver Tracing Factor tab: From Stat. key fig. ITEM Attach segment button Segment Name : TEST_M Description : Tstng hr-Manual Allocation Sender Rule : Quantities caulated inversly Share in % : 100 Actual values Receiver rule : Variable portions Var . portion type: Actual Statistical Key Figures Senders/Receivers tab: From To Group … … … … … … … … 67
  • 68.
    ©SrinivasaKasireddy©+91-9959765211 Sender Cost Centre 1009- - Activity Type TSHRM - - Receiver Cost centre - - PROD Sender Values tab: Sender Cost Ctr ActTyp Factor per 100 AUn 1009 TSHRM 100 H Receiver Tracing Factor tab: From Stat. key fig. ITEM Save 2. Enduser 1. CC Planning Tcode : KP06 Version : 0 From Period : 1 To Perod : 12 Fiscal Year : 201 Cost centre : 1009 Cost element group: OH_COST Form based Overview Screen button Costelement Plan fixed cost Distribution 400500 1 (Equal distribution) 400600 1 Post 2. Activity planning for TSHRA/ TSHRM … … … … 68
  • 69.
    ©SrinivasaKasireddy©+91-9959765211 SAP Easy AccessAccountingControllingCostCentre AccountingPlanningActivity Ouput /PricesChange Tcode : KP26 Version : 0 From Period : 2 To Perod : 2 Fiscal Year : 2011 Cost centre : 1009 Activity Type group: TEST Form based Overview Screen button Activity Type Plan Activity EquiNo TSHRA 1 TSHRM 2 (EquNo is the basis for splitting) Make sure the activity type category is correct before posting and going further. Post 3. Splitting (Planned cost) TCode : KSS4 Same path Controlling Area : LAP Enter Cost centre : 1009 … … … … … … … … 69
  • 70.
    ©SrinivasaKasireddy©+91-9959765211 Version : 0 Period: 3 Fiscal Year : 201x √ Test Run √ Details List Execute (Splitting should be in 2:1 ratio ) Cost Element button(to cost element wise splitting) Back button Yes button to leave the list Test Run Execute 4. Calculating Activity Price(planned) for TSHRA Upto Cost Centre Accounting same path PlanningAllocationsPrice Calculation Tcode : KSPI All Cost Centres Version : 0 Period : 2 To 2 Fiscal Year : 2011 √ Test Run √ Details List Execute Display primary cost component split : … … … … 70
  • 71.
    ©SrinivasaKasireddy©+91-9959765211 Select a lineGoto menuComponents Save Enter Back button (Activity price only calculated for TSHRA and should be 33.33 ) 5. Enter SKF Tcode : KB31N Up to Cost Center Accounting same path Actual PostingsStatistical Key FiguresEnter Rec. CCtr StatKF Total Quantity 1001 ITEM 300 1002 ITEM 200 1003 ITEM 220 Save 6. Posting of Rent & Salary in CC 1009 Tcode : F-02 40 Salary 40 Rent 50 Cash * 71
  • 72.
    ©SrinivasaKasireddy©+91-9959765211 7. Sender activitiesfor TSHRA TCode :KB51N Send. CCtr SAtyTyp Total Quantity 1009 TSHRA Save 8. Indirect Activity Allocation T code : KSC5 Up to Cost Center Accounting same path Period-End ClosingSingle FunctionsAllocations Indirect Activity Allocation Period : 5 To 5 Fiscal Year : 2012 √ Test Run √ Details Lists Cycle LAP4 Enter Execute Segments button Select segment ‘TEST_A’ Line items button( ) Unhide total quantity column. (Quantity and costs are allocated . Actiivty type is valuated with planned price.) Back button Select segment ‘TEST_M’ Line items button( ) 72
  • 73.
    ©SrinivasaKasireddy©+91-9959765211 (Only quantity isallocated as planned price/manually set price is not availlable.) Back button 2 twice Yes button to leave the list Test Run Execute 9. Cost Centre Report Tcode : KSB1 CostCenter: 1009 Execute (Only quantity is allocated for activity type TSHRM . Both quantity and cost both are allocated for activity type TSHRA ) 73
  • 74.
    ©SrinivasaKasireddy©+91-9959765211 10. Price Calculation(Actual) Tcode : KSII Up to Cost Center Accounting same path Period-End ClosingSingle FunctionsPrice Calculation All Cost Centres Period : 2 To 2 Fiscal Year : 2011 √ Test Run √ Details List Execute (Activity price should be 37.00 For TSHRA 75 for TSHRM) Save Yes button Back button 11. Cost Centre Report Tcode : KSB1 CostCenter: 1009 Execute … … … … 74
  • 75.
    ©SrinivasaKasireddy©+91-9959765211 (Apart from quantityallocated , costs allocated should be displayed for TSHRM. For TSHRA diference amount is posted) 75
  • 76.
    ©SrinivasaKasireddy©+91-9959765211 8. Direct ActivityAllocation Cost center plant maintenance gives maintenance service to 3 production cost centers. Activity type to be allocated is Maintenance hours(MNTHR) of category 1 ie Manual entry, manual allocation Sender Cost Center Reciving cost Center 1008(Plant maintanance) 1001 1002 1003 Business transaction involved is RKL . Allocation method is called direct activity allocation. The allocated activity quantities are entered directly using TCode KB21N . (Eg :Sender can be OH cost center and receiver can be a production cost center ) or Direct allocation happens automatically through production order confirmations (TCode : CO11N) (Eg : Sender is production cost center receiver is a cost object . Cost object can be a production order or a product cost collector) In this scenario activity type is valuated initially by planned price which is set manually(plan price indicator 3 ). At the time of actual price calculation activity type is revaluated and difference is allocated to receivers. 1. Settings 1. Create Cost Centre Tcode : KS01 Extras menuSet Controlling Area Controlling Area : LAP Enter Cost Centre : 1008 Valid From : 1.4.2012 Enter Name : Plant maintanance Descritpion : Plant maintanance Person responsible : MR. k 76
  • 77.
    ©SrinivasaKasireddy©+91-9959765211 Cost Center Category: 2 Hierarchy area : STD_HIER Business Area : LANZ Currency : INR Save Enter to ignore the warning msg 2. Creation of secondary cost element Tcode :KA06 SAP Easy AccessAccountingControllingCost Element AccountingMaster Data Cost ElementIndividual ProcessingCreate Secondary Cost Element : 1000000029 Valid From : 1.4.2012 Enter Name : Plant Maintenance Charges Description : Plant Maintenance Charges CElem category : 43 (Internal activity allocation) Save 3. Creating Activity Type Maintenance hours SAP Easy Access Accounting  Controlling  Cost Center Accounting Master Data  Activity type Individual Processing Create Tcode: KL01 Activity Type : MNTHR Valid From : 1.4.2011 to 31.12.9999 Enter Name : Maintenance hours Description : Maintenance hours Activity Unit : H CCtr categories : * (All Cost Centre Categories) ATyp Category : Allocation Cost Element : 1000000029 77
  • 78.
    ©SrinivasaKasireddy©+91-9959765211 Price indicator :3 Determined manually Act. price indicator : 5 Actual price, automatically based on activity Save 4. Create No. Ranges interval for Business transaction RKL Tcode : KANK CO Area : LAP Maintain Groups Button √ No. Range for CO Document (LAP) Double click on Business Transactions RKL, Element/Group button Save Continue 2. Enduser 1. Posting of Rent & Salary in CC 1008 2. Cost Centre Report Tcode : KSB1 CostCenter: 1008 Execute 3. Set Activity price(planned) manually SAP Easy AccessAccountingControllingCost Centre AccountingPlanningActivity Ouput /PricesChange Tcode : KP26 Version : 0 From Period : 1 To Perod : 12 Fiscal Year : 2011 Cost centre : 1008 Activity Type : MNTHR Form based Overview Screen button … … … … 78
  • 79.
    ©SrinivasaKasireddy©+91-9959765211 Activity Type Fixedprice MNTHR 100 Make sure the activity type category, price indicator is correct before posting and going further. Post 4. Direct Activity Allocation TCode :KB21N Up to Cost Center Accounting same path Actual PostingsActivity AllocationEnter Scrn var.: Cost center Input Type : List Entry Send. CCtr SAtyTyp Rec.CCtr Total Quantity Post 5. Cost Centre Report Tcode : KSB1 CostCenter: 1008 Execute 6. Price Calculation T code : KSII Up to Cost Center Accounting same path Period-End ClosingSingle FunctionsPrice Calculation 79
  • 80.
    ©SrinivasaKasireddy©+91-9959765211 Cost Centre group Period: 2 To 2 Fiscal Year : 2011 √ Test Run √ Details List Execute (Activity price should be 112.50) Save Yes button Back button 7. Cost Centre Report Tcode : KSB1 CostCenter: 1008 Execute (Balance should be 0 in the sender CC ) … … … … 80
  • 81.
    ©SrinivasaKasireddy©+91-9959765211 9. Internal Orders(I.O) Scenario1: (Telephone wise expenses ) There is one GL account ‘Telephone Expenses’ and there are 5 telephones Problem : How to record telephone wise expenses ? Solution : Create an I.O for each telephone. While posting Tel phone expenses in FI, TeI No can be entered in Internal order field. Scenario 2 : (Vehicle wise expenses) There is one GL account ‘Petrol Exp’ and one GL account ‘Vehicle Maintenance’ and there are 10 vehicles. Problem : How to display vehicle wise expenses. Solution : Create an I.O for each vehicle Scenario 3 : (Event wise expenses) There is a cost centre for ‘sales department’. Several activities like promotional events happen in the department. For every event certain expenses incur . Problem : Event wise expenses are to be recorded. Solution : Create an I.O for each event . Cost Centre & Internal Orders : Internal Orders are of two types Real and Statistical. Statistical IO : are used merely for reporting purpose. In the following two cases, CC is the real CO -object and IO is statistical object. Case1 : While posting in FI , CO-object like Cost centre should be entered apart from IO . 81
  • 82.
    ©SrinivasaKasireddy©+91-9959765211 Case2 : IO canbe assigned to a CC(as shown in the next image). While posting in FI, only IO need to be entered. Real IO : are used for settlement purpose .While posting in FI , only IO should be entered. Amount in the IO can be settled to Cost centre(s) later . Balance in the IO becomes zero after complete settlement . 1. Settings 1. Creation of internal Order Types SPROControllingInternal ordersOrder Master DataDefine Order types New Entries Order category : 01 ie Internal Order (Controlling) Enter Order type : TEL Description : Telephone Planning profile : 000001 Object class : Overhead cost √ Release immediately Assign/change interval button (next to Number range interval) 82
  • 83.
    ©SrinivasaKasireddy©+91-9959765211 Yes button Continue Not assigned Clickon TEL Element/Group button Double click on ‘Motor pool A-zzzzzzzz(external)’ Save Continue 2. Creation of FS Group Tcode:OBC4 Select FStV ‘LAFS’ Double click on Field status groups folder  Select Field status group ‘G002’ Copy as button Change the Field Status group to ‘G015’ Change the Text to ‘Cost accounts (CC req &IO Optinl) ‘ Enter Double click on FSG ‘G015’ Double click on ‘Additional account assignment’ Optional.Entry CO/PP order Save Continue 3. Creation of Tel expenses A/C Tcode : FS00 Select GL account 400500 Salaries Copy button GL account: 400581 Enter Change the Description to ‘Telephone expenses’ Create/Bank/interest tab Change Field status group to ‘G015’ Save … … … … 83
  • 84.
    ©SrinivasaKasireddy©+91-9959765211 Edit Cost elementbutton Valid from : 1.4.2.2012 Enter Cost Elem Category : 01 Save 4. Creation of Internal order Tcode: KO01 SAP Easy AccessAccountingControllingInternal OrdersMaster DataSpecial FunctionsOrderCreate Order type : TEL Enter Order : Tel 040230900 Description : Tel 040230900 Company Code : LAP Business area : LANZ Control data Tab √ Statistical order Info:Select the check box to make it a statistical IO , else it will be a Real IO Save Order type : TEL Enter Order : Tel040230901 Description : Tel040230901 (Other fields same as before) Save 5. Creation of IO group Tcode : KOH1 Same path upto Master DataOrder Group Create Order Group : HYD_TEL Enter Description : Hyd telephones Insert order button 84
  • 85.
    ©SrinivasaKasireddy©+91-9959765211 HYD_TEL Tel040230900 Tel040230901 Save 2. End User 1.Posting Telephone Expenses Tcode :F-02 PstKy : 40 Account : 400581 Enter Amount : 18000 Cost centre : 1001 Order : TEL040230900 Text : Telephone expenses PstKy : 50 Account : 200691 Enter Amount : * Business area : LANZ Text : + Document MenuSimulate Post Post one more document for IO TEL040230901 2. Display IO Report Tcode :KOB1 Up to Internal Orders same pathInformation System Reports for Internal OrdersLine itemsOrders: Actual Line Items Order Group : HYD_TEL Cost element : 400581 Execute 3. Planning order wise Tcode : KPF6 Up to Internal Orders same path PlanningCosts & Activity inputsChange Version : 0 85
  • 86.
    ©SrinivasaKasireddy©+91-9959765211 From period :1 To period : 12 Fiscal Year : 2012 Order group : HYD_TEL Cost Element : 400581 Form-Based Overview Screen button Total plan costs Distribution key 240000 1 Next Combination button (Down arrow) Total plan cost Distribution key 120000 1 Save 4. Display Variance Reports Up to Internal Orders same path Information SystemReports for Internal OrdersPlan/Actual Comparisons Order: Actual/Plan /Variance Controlling area : LAP Fiscal Year : 2012 From Period : 5 To Period : 5 Plan version : 0 Order group : HYD_TEL Cost element group : Blank Or value(s) : 400581 Execute … … … … 86
  • 87.
    ©SrinivasaKasireddy©+91-9959765211 10. Real IOwith settlement to CC Eg : Real IO : Promtional event Real IO : are used for settlement purpose .While posting in FI , only IO should be entered. Amount in the IO can be settled to Cost centre(s) later . Balance in the IO becomes zero after complete settlement . Requirement : Costs should be captured under a promotional event for the sake of analysis. Also the costs should be recorded in CC ‘Sales promotion’. 1. Settings 1. Creation of FS Group Tcode:OBC4 Select FStV ‘LAFS’ Double click on Field status groups folder  Select Field status group ‘G002’ Copy as button Change the Field Status group to ‘G016’ Change the Text to ‘Cost accounts (CC &IO Optinl) ‘ Enter Double click on FSG ‘G016’ Double click on ‘Additional account assignment’ Opt.Entry Cost Center CO/PP order Save Continue 2. Creation of G/L Promotional expenses … … … … … … … … 87
  • 88.
    ©SrinivasaKasireddy©+91-9959765211 Tcode : FS00 SelectGL account 400500 Salaries Copy button GL account: 400518 Enter Change the Description to ‘Promotional expenses’ Create/Bank/interest tab Change Field status group to ‘G016’ Save Edit Cost element button Valid from : 1.4.2.2012 Enter Cost Elem Category : 01 Save 3. Creation of secondary cost element Tcode :KA06 SAP Easy AccessAccountingControllingCost Element AccountingMaster Data Cost ElementIndividual ProcessingCreate Secondary Cost Element : 1000000036 Valid From : 1.4.2012 Enter Name : Promotional Expenses Description : Promotional Expenses CElem category : 21 (Internal Settlment) Save 4. Create Cost Center Tcode : KS01 Extras menuSet Controlling Area Controlling Area : LAP Enter Cost Centre : 1017 Valid From : 1.4.2012 Enter 88
  • 89.
    ©SrinivasaKasireddy©+91-9959765211 Name : Sales&Promotion Descritpion : Sales &Promotion Person responsible : MR. k Cost Center Category : P Sales & Marketing Hierarchy area : STD_HIER Business Area : LANZ Currency : INR Save Enter to ignore the warning msg 5. Maintain allocation structure: SPROControlling Internal ordersActual posting SettlementMaintain allocation structures New Entries Allocation structure : L1 Text : IO-->CC settlment LAP Save Continue Select Allocation structure ‘L1’ Double click on Assignments folder New entries Assignment : LA1 Text : Promotional Expenses Save Select ‘LA1’ Double click on Source folder Controlling Area : LAP Enter 89
  • 90.
    ©SrinivasaKasireddy©+91-9959765211 From cost element: 400518 expenses Save Continue Double click on Settlement cost elements folder New entries button Receiver cat By cost element Settlement cost elem Name CTR . 1000000036 Promotional Expense Save 6. Maintain settlement profiles: Same path Double click on Maintain settlement profiles New entries Settlement profiles : LAP1 Description : IOCC LAP To be settled in full Allocation structure : L1 Indicators √ 100%-validation √ %-Settlement √ Equivalence number √ Amount settlement Valid receivers Cost center : Settlement Required … … … … 90
  • 91.
    ©SrinivasaKasireddy©+91-9959765211 Other Parameters Document type: SA Max.no. distribution rules : 999 Residence time : 3 months Save Continue 7. Creation of internal Order Types SPROControllingInternal ordersOrder Master DataDefine Order types New Entries Order category : 01 ie Internal Order (Controlling) Enter Order type : PEVT Description : Promo Events General parameters Settlement prof. : LAP1 Planning profile : 000001 Object class : Overhead cost √ Release immediately Assign/change interval button (next to Number range interval) Yes button Continue Not assigned Click on PEVT Element/Group button Double clikc on ‘Motor pool A - ZZZZZZZZZZZZ (external)’ Save 8. Maintain number range for settlement documents: Same path 91
  • 92.
    ©SrinivasaKasireddy©+91-9959765211 TCode : SNUM Maintaingroups button Create button Group : Settlemnt Docs LAP From No. To Number 090000000 0999999999 Save Continue Back button Non-Assigned Elements Click on LAP Element/Group button Double click on Settlemnt Docs LAP Save 9. Maintain Number Ranges for Bus transaction KOAO Tcode :KANK CO Area : LAP  Maintan Groups button Non-Assigned Elements Click on KOAO Element/Group button  Double click on ‘No. ranges for CO documents (LAP)’ Save 2. End User 1. Creation of Internal order & Settlement rule Tcode: KO01 SAP Easy AccessAccountingControllingInternal OrdersMaster DataSpecial FunctionsOrderCreate Order type : PEVT 92
  • 93.
    ©SrinivasaKasireddy©+91-9959765211 Enter Order : EXHST_LAP Description: Exhibition stall Company Code : LAP Business area : LANZ Control data Tab Statistical order Info: Do not select the check box for a Real IO Goto menuSettlement Rule New rule button( ) Settlement Reciever Cost Center : 1017 Percent : 100 % Valid from : 1..201x to Blank Save 2. Posting Expenses Tcode :F-02 PstKy : 40 Account : 400518 Enter Amount : 18000 Cost centre : Blank Order : EXHST_LAP Text : Ehibition stall rent PstKy : 50 Account : 200691 Enter Amount : * Business area : LANZ Text : + Document MenuSimulate Post 3. Display IO Report Tcode :KOB1 93
  • 94.
    ©SrinivasaKasireddy©+91-9959765211 Up to InternalOrders same pathInformation System Reports for Internal OrdersLine itemsOrders: Actual Line Items Order : EXHST_LAP Cost element : Blank Execute 4. Settlement : TCode : K088 Accounting ControllingInternal orderPeriod end closingSingle functionsSettlement Individual processing Order : EXHST_LAP Settlement period : Current month Fiscal year : 201x √ Test run √ Check transaction data Execute  Details list button( ) Back button twice Test run Execute 5. Display IO Report TCode :KOB1 Up to Internal Orders same pathInformation System Reports for Internal OrdersLine itemsOrders: Actual Line Items Order : EXHST_LAP Cost element : Blank Execute 6. Display CC Report TCode :KSB1 Cost center : 1017 Cost element : Blank 94
  • 95.
  • 96.
    ©SrinivasaKasireddy©+91-9959765211 11. Real TimeIntegration (New GL) Real Time Integration is a component of New-GL . Previously if users make any cross company code postings in CO , these transactions do not reflect in FI. Users had to process a job at month end to allow the system to reconcile the differences and post corresponding entries in FI ledger. With the new GL, this reconciliation and posting of entry in FI ledger has become an automatic process . Scenario : Allocation of costs from CC1 to CC2 . CC1 and CC2 are two costcenters which belongs to different company codes (Cross company code allocation) . FI posting should happen automatically in two company codes . Prerequisites : 1 The two company codes must belong to same CO-Area 2 The two company codes must have same Chart of accounts. 1. Settings : 1. Create second company code ie LAC Company code LAC should be assigned with 1. same Chart of accounts that is assigned to LAP. 2. same Co-Area that is assigned to LAP SPROEnterprise StructureDefinitionFinancial AccoutingEdit,Copy,Delete,Check Company Code Double click on ‘Copy, delete, check company code’ Copy Org Object button From Company Code : LAP To Company Code : LAC Enter ’Yes’ button to create GL Account Data ’No’ button for different local currency Enter to ignore the msg Enter ’Yes’ button to transport number ranges Continue 96
  • 97.
    ©SrinivasaKasireddy©+91-9959765211 Keep on pressingEnter ’Yes’ button to transport intervals Continue Enter 2. Assign Co-Area Tcode : OKKP Double Click on Co-area ‘LAP’ CoCd->CO Area : Cross-companycode cost accounting  Double Click on Assignment of company code(s) folder New Entries button CoCd Company Name LAC Save Continue 3. Activate CoCd Validation in Co-Area TCode : OKKP Double Click on Co-Area ‘LAP’ Double click on Activate component/control indicators folder √ CoCd Validation Save Continue Enter to Ignore wrn msg 4. Deactivate Reconcilition Ledger: We have to deactivate the Reconcilition Ledger ,(if it is activated ) before using Realtime Integration.We can use Tcode : OKKP to check the status. 97
  • 98.
    ©SrinivasaKasireddy©+91-9959765211 We can skipthis step in the lab. Tcode : KALB SPROControllingCost Element AccountingReconciliation LedgerActivate/Deactivate Reconciliation Ledger Deactivate Reconciliation ledger Controlling Area : LAP Execute 5. Creation of Cost Center in Comapany code LAC: TCode : KS01 Extras menu Set Controlliong Area Controlling Area : LAP Enter Cost Center : 1010 Enter Name : Services Description : Services Person Responsible : mrt Cost Center Category : 2 Hierarchy area : STD_HIER Company Code : LAC Business Area : LANZ Currency : INR Save Enter to ignore the wrng msg 6. Activate intercompany postings in doc type SA. 98
  • 99.
    ©SrinivasaKasireddy©+91-9959765211 TCode : OBA7 DoubleClick on Doc type ‘SA’ √ Inter-company posting Save Continue 7. Creation of GL accounts in LAP: Tcode : FS00 Select GL account ‘400500’ Copy button G/L Account 400509 Enter Short Text : FICO Recon account Field status group : ICCF ie CO <-> FI reconciliation posting Save Select GL account ‘200700’ Copy button G/L Account 200970 Enter Short Text : LAC account Field status group : G067 Save 8. Creation of GL accounts in LAC: Tcode : FS00 Select GL account ‘400500’ Copy button G/L Account 400509 Enter Field status group : ICCF ie CO <-> FI reconciliation posting Save Select GL account ‘200700’ Copy button 99
  • 100.
    ©SrinivasaKasireddy©+91-9959765211 G/L Account :200971 Enter Short Text : LAP account Field status group : G067 Save Block GL account 200971 for creation in company code LAP Block GL account 200970 for creation in company code LAC 9. Define Variants for Real time Integration: SPROFinancial Accounting (New)  Financial Accounting Global Settings (New) Ledgers Real-Time Integration of Controlling with Financial Accounting  Define Variants for Real-Time Integration New Entries Var. for R-T Integ. : L1 √ R.-Time Integ:Active Key Date:Active from : 1.4. 2012 √ Acct Deter. :Active Document Type : SA Ledger Group (FI) : 0L Text : Varaint for LAP Use Checkboxes √ Cross-Company-Code √ Cross-Profit-Center √ Cross-Business-Area Save Continue 10. Assign Varaints for Real-Time Integration to Company Codes: Same Path  Assign Variants for Real-Time Integration to Company Codes New Entries … … … … 100
  • 101.
    ©SrinivasaKasireddy©+91-9959765211 Company Code Variantfor Real-Time Integration LAP L1 LAC L1 Save Continue 11. Define Intercompany Clearing Accounts: Upto Real-Time Integration of Controlling with Financial Accounting same path  Define Account Determination for Real-Time IntegrationDefine Intercompany Clearing Accounts Alterantive path1 : SPROControllingCost Element AccountingReconciliation LedgerDefine Adjustment Accounts for Reconciliation Posting Double click on ‘Maintain Clearing Accounts for Company Codes’ Tcode : OBYA Alterantive path2: SPROFinancial AcccoutningGeneral Ledger AccountingBusiness Transactions Prepare cross company code transactions Company code 1 : LAP Company code 2 : LAC Enter Posted in : LAP Cleared against : LAC Debit posting key : 40 Credit posting key : 50 Account debit : 200970 Account credit : 200970 Posted in : LAC Cleared against : LAP Debit posting key : 40 Credit posting key : 50 Account debit : 200971 Account credit : 200971 Save Continue 101
  • 102.
    ©SrinivasaKasireddy©+91-9959765211 12. Define Accountdetermination for Real-Time Integration: Tcode:OK17 Upto Define Account Determination for Real-Time Integration same path Define Account determination for Real-Time Integration Alterantive path : SPROControllingCost Element AccountingReconciliation LedgerDefine Adjustment Accounts for Reconciliation Posting Double click on ‘Define Accounts for Automatic Postings’ Tcode : OBYB Controlling Area : LAP Enter Change Account Determin. Button Save Account 400509 Save Continue 102
  • 103.
    ©SrinivasaKasireddy©+91-9959765211 2. Enduser 1. Postingexpenses to common CC (1004) Tcode F-02 Post one document for Salary in company code LAP Amount : 18000 Cost Centre : 1004 2. Reposing of Costs: Tcode: KB11N Extra menuSet Controlling area Controlling Area : LAP Enter CCtr (old) Cost Elem. Amount CCtr (new) 1004 400500 7000 1010 Post 3. Displaying CO document: TCode : KSB5 Document Number : 900000000X Execute Click on CO document Enviroment menu-Accounting Documents (Two FI documents are generated , one in company code LAP the other one in Company code LAC) Double click on the Accounting document to be displayed. Entry in LAP Should be : Cr Salaries 7000.00- Dr LAC account 7000.00 Entry in LAC Should be : Dr Salaries 7000.00 103
  • 104.
  • 105.
    ©SrinivasaKasireddy©+91-9959765211 12. Sales/Purchase Tax Salestax = Output tax Purchase tax = Input tax VAT : Value Added Tax VAT is a mode of collection of tax Purchase of RM Sale of FG Pay purchase tax to Vendors Collect Sales tax from Customers 5000 Rs 7000 Rs The diff is 2000. This amount is to be remitted to tax authority. 3. Settings 1. Define Tax procedure: SPROFinancial accounting Financial accounting Global settingsTax on Sales/Purchases Basic settingsCheck Calculation Procedure Double click on Define Procedures New Entries Procedure Description TAXIN Ind Tax procedure(LAP) Save Create Request button Short Description: Sales/Pur Tax Settings (LAP) Enter Continue Select Tax Procedure ‘TAXIN’ Double click on Control Data folder New Entries Step Ctyp Description Fro To AccKey 100 BASB Base amount 110 MWAS Output Tax 100 100 MWS 120 MWVS Input tax 100 100 VST Save 105
  • 106.
    ©SrinivasaKasireddy©+91-9959765211 2. Assign Countryto Calculation procedure : Same path Position Country : IN Enter Cty Proc IN TAXIN Save Continue Info: Tax is configured at country level but not at Comp Code level. This setup is going to work for all Comp Codes which belongs to India . 3. Define Tax Codes for Sales and Purchases Upto Tax on Sales/Purchases same path Calculation Define Tax Codes for Sales and Purchases Country : IN Enter Taxcode : V0 Enter Description : 0% input tax Taxtype : V ie inputtax Check ID √ Continue Keep the cursor on Output tax(Click) Deactivate line button InputTax : 0 Save Taxcode : V1 Enter Description : 4% input tax Taxtype : V ie inputtax Check ID √ Continue 106
  • 107.
    ©SrinivasaKasireddy©+91-9959765211 Keep the cursoron Output tax(Click) Deactivate line button InputTax : 4 Save Taxcode : A0 Enter Description : 0% output tax Taxtype : A ie outputtax Check ID √ Continue Keep the cursor on Input tax(Click) Deactivate line button OutputTax : 0 Save Taxcode : A1 Enter Description : 14.5% output tax Taxtype : A ie outputtax Check ID √ Continue Keep the cursor on Input tax(Click) Deactivate line button OutputTax : 14.5 Save 4. Creation of 2 GL accounts a. VAT Payable Tcode: FS00 Select GL account 100800 Expenses payable Copy button GL account : 100530 Enter Description : VAT Payable Control Data tab 107
  • 108.
    ©SrinivasaKasireddy©+91-9959765211 Tax Category :> ie Output Tax Account Create/Bank/Interest tab Field status group : G041 Save b. VAT Recievable Select GL account 100530 VAT Payable Copy button GL account : 200530 Enter Account Group : Assets Description : VAT Receivable Control Data tab Tax category : < ie Input Tax Account Save 5. Change GL accounts Sales, Inventory RM Tcode :FS00 Select GL account 300510 Sales Change button Control Data Tab Tax category : + ie Only output tax allowed √ Posting without tax allowed Save Enter to Ignore the Wrng Msg Select GL account 200700 RM inventory Change button Control Data Tab Tax category : - ie Only input tax allowed √ Posting without tax allowed Save Enter to Ignore the Wrng Msg 108
  • 109.
    ©SrinivasaKasireddy©+91-9959765211 6. Define Taxacounts Upto Tax on Sales/Purchases same path Posting Define Tax accounts Double click on transaction MWS ( Output tax) Chart of accounts : LACA Enter Save Account 100530  Save button Continue Back button Double click on transaction VST ( Input tax) Save Account 200530 Save Continue 7. Define Tax Determination Rules SPROSales and Distribution  Basic FunctionsTaxes Define Tax Determination Rules New entries Tax count Name Seq Tax Categ Name IN 5 MWST Taxble Save 8. Define Tax Relevancy Of Master Records SPROSales and Distribution  Basic FunctionsTaxesDefine Tax Relevancy Of Master Records Double click on ‘Customer Taxes’ New entries Tax categ Tax class Description MWST 1 Taxable MWST 0 No tax 109
  • 110.
    ©SrinivasaKasireddy©+91-9959765211 Back button Double clickon ‘Material Taxes’ New entries Tax categ Tax class Description MWST 1 Taxable MWST 0 No tax Save 4. Enduser 1. Posting Pur Inv Tcode: F-43 PstKy : 31 Account : LAPGNVNDR Enter Amount : 27000 √ Calculate Tax Bus. Area : LANZ Text : Pur inv PstKy : 40 Account : 200700 Enter Amount : * Tax Code : V1 Busi Area : LANZ Text : + Document menuSimulate Post Entry should be: 31 LANZ LAPFIVNDR LAP vndr 27.000,00- 40 LANZ 0000200700 RM inventory 25.714,29 40 0000200530 VAT Recievable 1.285,71 110
  • 111.
    ©SrinivasaKasireddy©+91-9959765211 2. Posting SalesInv: Tcode :F-22 PstKy : 01 Account : LAPGNCUST Enter Amount : 18000 √ Calculate Tax Bus. Area : LANZ Text : Sales inv PstKy : 50 Account : 300510 Enter Amount : * Tax Code : A1 Bus Area : LANZ Text : + Document menuSimulate Post Entry should be 01 LANZ LAPFICUST LAP fi customer 18.000,00 50 LANZ 0000300510 Sales 15.720,52- 50 100631 VAT payable 2.279,48- 111
  • 112.
    ©SrinivasaKasireddy©+91-9959765211 7. MM Integration LIVEproject MM Configuration MM consultant FI Configuration FI consultant FI-MM Integration FI Consultant Learning environment MM Configuration FI consultant FI Configuration FI consultant FI-MM Integration FI Consultant 1. MM configuration 1. Maintain Calendar: SPROSAP Net weaverGeneral SettingsMaintain Calendar Public holidays Change button Create Button With fixed date Enter Day : 15 Month : 8 Not Guaranteed Short holiday name : Independence day Long holiday name : Independence day Enter Continue Back button Holiday Calendar Change button Create button Calendar ID : LC Description : holiday calendar for LAP … … … … … … … … … … … … … … … … 112
  • 113.
    ©SrinivasaKasireddy©+91-9959765211 Assign Holiday button Selectholidays to be included Assign publ. holiday button Save Continue Back button twice Factory calendar Change button Create button Factory calendar ID : LF Description : Factory calendar for LAP Holiday calendar ID : LC Workdays Select Monday to Saturday Save Continue 2. Define plant: SPROEnterprise StructureDefinitionLogistics-GeneralDefine, Copy, delete, check plant Double click on Define Plant New Entries Plant : LAP1 Name 1 : LAP Hyd plant Factory calendar : LF Save Name : LAP Hyd plant Country : IN Region : 01 City : Hyd Enter Create Request button Short Description : MM configuration for LAP Enter Continue … … … … 113
  • 114.
    ©SrinivasaKasireddy©+91-9959765211 Next entry button Plant: LAP2 Name 1 : LAP mum plant Factory calendar : LF Save Name : LAP mum plant Country : IN Region : 13 City : Mum Enter Continue Next entry button Plant : LAP3 Name 1 : LAP Chennai plant Factory calendar : LF Save Name : LAP Chennai plant Country : IN Region : 22 City : Chennai Enter Continue 3. Define Division: Same path Define, copy, delete, check division Double click on Define Division New Entries Division Name LS Small Cars Save Continue 4. Maintain Storage Location: 114
  • 115.
    ©SrinivasaKasireddy©+91-9959765211 Up to Definitionsame path Materials Management Maintain storage location Plant : LAP1 Enter New Entries SLoc Description LAP1 Hyd Storage Location Enter Save Continue Plant : LAP2 Enter New Entries SLoc Description LAP2 Mum Storage Location Enter Save Continue Plant : LAP3 Enter New Entries SLoc Description LAP3 Chennai Storage Location Enter Save Continue 5. Maintain purchasing organisation: Same path next line 115
  • 116.
    ©SrinivasaKasireddy©+91-9959765211 New Entries Purch. OrganisationPurch. Org Descr LAPO LAP purchase org. Save  Continue 6. Assign plant to company code: Up to Enterprise Structure same path AssignmentLogistics-General Assign plant to company code New Entries CoCd Plnt LAP LAP1 LAP LAP2 LAP LAP3 Save Continue 7. Assign Business Area to Plant/Valuation Area and Division: Same path next line Valuation area - division button New entries ValA Dv BusA LAP1 (Valuation area is nothing but plant LS LANZ LAP2 LS LANZ LAP3 LS LANZ Save Continue 8. Assign Purchasing organization to company code: Up to Assignment same path Materials ManagementAssign purchasing organisation to company code Position Purchasing org : LAPO Enter POrg CoCd 116
  • 117.
    ©SrinivasaKasireddy©+91-9959765211 LAPO LAP Save Continue 9. Assignpurchase organisation to plant: Same path next line New Entries POrg Plnt LAPO LAP1 LAPO LAP2 LAPO LAP3 Save Continue 10. Create Purchasing Groups: SPROMaterials ManagementPurchasingCreate Purchasing Groups New Entries Purchasing Group Desc. Pur.Grp LPG LAP purchasing group Save Continue 11. Define Material Group: SPROLogistics-GeneralMaterial MasterSettings for Key FieldsDefine Material Groups New Entries Matl Group Material Group Desc LAPM Metals Save Continue 12. Maintain Company Code for Material Management: TCode :OMSY Up to Material Master same path Basic SettingsMaintain Company Codes for Material Management Position Company code : LAP Enter (CAUTION: Enter current period .If you enter wrong period it can’t be changed) 117
  • 118.
    ©SrinivasaKasireddy©+91-9959765211 Cocd Year PeriodABp LAP 2012 5(Current period) √ Save Continue Note: Material posting starts from the above period . ABp is Allow Back posting . If ABp is selected 2 periods(current and previous) are allowed , other wise only current period is allowed. 13. Define Attributes of Material Types: Up to Basic Settings same path Material typesDefine Attributes of Material types Position Material type : FERT Enter Select Material Type ‘FERT’ Double click on ‘Quantity/value updating’ folder Position Enter Valuatin area : LAP1 Enter Valuation area Material s Qty updating Value Update LAP1 FERT √ √ LAP2 FERT √ √ LAP3 FERT √ √ Save Continue Back button Position Material type : ROH Enter Select Material type ‘ROH’ Double click on Quantity/value updating folder Postion Valuation Area : LAP1 118
  • 119.
    ©SrinivasaKasireddy©+91-9959765211 Enter Val .area Matltype Qty updating Value Update LAP1 ROH √ √ LAP2 ROH √ √ LAP3 ROH √ √ Save Back button Position Material type : HALB Enter Select Material type ‘HALB’ Double click on Quantity/value updating folder Postion Enter Valuation Area : LAP1 Enter Val .area Matl type Qty updating Value Update LAP1 HALB √ √ LAP2 HALB √ √ LAP3 HALB √ √ Save Back button Position Material type : VERP Packaging Enter Select Material type ‘VERP’ Double click on Quantity/value updating folder Postion Enter Valuation Area : LAP1 Enter Val .area Matl type Qty updating Value Update LAP1 VERP √ √ LAP2 VERP √ √ Save 119
  • 120.
    ©SrinivasaKasireddy©+91-9959765211 Double click onMtyp ‘FERT’ Int. purchase orders : 2 ie Int. purchase orders are allowed Save 14. Set Tolerance Limits for Price variance ( purchasing order): SPROMaterial ManagementPurchasingPurchase OrderSet Tolerance Limits for Price Variance Select ‘TlKy’s PE, SE for Company code ‘1000’ Copy as button Change the Company Code to ‘LAP’  Enter Again change the Company Code to LAP Enter  Save Continue 15. Plant Parameters Up to Materials Management same path Inventory Management and Physical InventoryPlant Parameters Select Plant ‘1000’ Copy as button Change the plant to ‘LAP1’ Enter Select Plant ‘1000’ Copy as button Change the plant to ‘LAP2’ Enter Select Plant ‘1000’ Copy as button Change the plant to ‘LAP3’ 120
  • 121.
    ©SrinivasaKasireddy©+91-9959765211 Enter Save Continue 16. Define NumberAssignment for Material and Phys. Inv .Docs (One time setting) SPROMaterials ManagementInventory Management and Physical InventoryNumber Assignment Define Number Assignment for Material and Phys. Inv .Docs Maintain Groups button √ Material documents for goods receipts WE WF WO WW Interval menuMaintain Position the cursor on any interval Edit menuInsert year Year From number To number 2013 (Calendar year) 4500000000 4599999999 Enter Back button √ Material documents for goods movements and inventory diffs WA WH WI WL WQ WR WS WZ Interval menuMaintain Position the cursor on any interval Edit menuInsert year Year From number To number 2013 (Calendar year) 5000000000 5099999999 Enter Save Continue 17. Set Tolerance Group (for GR): Same path up to Inventory Management and Physical Inventory Goods ReceiptsSet Tolerance Limits 121
  • 122.
    ©SrinivasaKasireddy©+91-9959765211 Select Tlky B1,B2, VP for company code ‘1000’ Copy as button Change Company Code to ‘LAP’ Enter Change Company Code to ‘LAP’ Enter Change Company Code to ‘LAP’ Enter Save Continue 18. Maintain Default Values for Tax codes: Up to Material Management same path Logistics Invoice VerificationIncoming InvoiceMaintain Default Values for tax codes New Entries Company Code : LAP Save Continue 19. Set Tolerance Limits (for invoice verification): Up to Logistic Invoice Verification same path Invoice BlockSet Tolerance Limits Select Tolerance Keys PP, PS & ST for company code ‘1000’ Copy as button Change Company Code to ‘LAP’ (3times) Enter (3 times) Save Continue 20. Define Automatic status change: Up to Logistics Invoice Verification same path Invoice Verification in Back groundDefine Automatic Status change New Entries CoCd Set correct invoice to’’completed’’ LAP Blank 122
  • 123.
    ©SrinivasaKasireddy©+91-9959765211 Save Continue 21. Group togetherValuation areas: Up to Materials Management same path Valuation and Account AssignmentAccount DeterminationAccount Determination Without WizardGroup Together Valuation Areas Position Valuation area : LAP1 Enter Valuation Area Val. Grpg code LAP1 X LAP2 X LAP3 X Save Continue 22. Define Valuation Classes: Same path next lineDefine Valuation Classes Valuation Class button Select Valuation Class 3000 ( ie Raw material1) ,7900 (ie Semi-finished products) and 7920 ( ie FinishedGoods) Copy as button Change Valuation Class 3000 to ‘LAP1’ Change Valuation Class 7900 to ‘LAP2’ Change valuation class 7920 to ‘LAP3’ Enter Save Continue 2. FI Consultant’s Job 123
  • 124.
    ©SrinivasaKasireddy©+91-9959765211 1. Changing GLaccount Inventory RM Tcode: FS00 Select GL account 200700 (RM Inventory) Change button Create /Bank/Interest tab Field Status Group : G006 (Material Accounts) √ Post automatically only Save Enter to ignore the warning message 2. Creating GL accounts Inventory FG : Select 200700 (Inventory RM) Copy button GL account : 200702 Enter Description : Inventory FG Control Data tab Tax category : Blank √ Posting without tax allowed Save Enter to ignore the warning message Inventory SemiFG : Select 200702 (Inventory FG) Copy button GL account : 200701 Enter Description : Inventory SemiFG Save Enter to ignore the warning message GR/INR account Select 100800 Expenses payable account Copy button GL account : 100520 124
  • 125.
    ©SrinivasaKasireddy©+91-9959765211 Enter Description : GR/INRaccount’ Control data tab Tax category : - (Minus) √ Posting without tax allowed Sort key : 010 (Purchase order No.) (Make sure Open Item Management is on) Create/Bank/Interest tab Field Status Group : G045 Goods/Invoice Received clearing account Save Freight Clrng account Select G/L account 100520 (GR/INR account) Copy button GL account : 100521 Enter Description : Freight Clrng account Create/Bank/Interest tab Field Status Group : G017 Freight/customs provisions/ clearing (MM) Save RM Consumption Account Select 400500 (Salaries) Copy Button GL account : 400599 Enter Description : RM Consumption Create/Bank/Interest tab Field Status Group : G003 (Material Consumption Account) Save Edit Cost Element button Valid From : 01.04.2012 Enter Cost Elem category : 1 Save SFG Consumption Account Select 400599 RM Consumption 125
  • 126.
    ©SrinivasaKasireddy©+91-9959765211 Copy Button GL account: 400950 Enter Description : SFG Consumption Save Edit Cost Element button Valid From : 01.04.2012 Enter Cost Elem category : 1 Save Cost Of Goods Sold a/c Select 400500 (Salaries) Copy Button GL account : 400204 Enter Description : Cost Of Goods Sold a/c Create/Bank/Interest tab Field Status Group : G030 ie Change in stock accounts Save Inc/Dec in stock account Select 300510 (Sales account) Copy Button GL Account : 300204 Enter Description : Inc/Dec in stock Control data tab Tax category : Blank √ Posting without tax allowed Create/Bank/Interest tab Field Status Group : G030 (Change in stock account) Save 3. Assignment of Accounts: Tcode: OBYC SPROMaterial ManagementValuation and Account AssignmentAccount 126
  • 127.
    ©SrinivasaKasireddy©+91-9959765211 Determination Account Determinationwithout wizardConfigure Automatic Posting Cancel button Account Assignment button Double click on transaction ‘BSX’ (Inventory posting) Chart of account : LACA Enter Valuation class √  Save Valuation class Account LAP1 200700(Inventory RM) LAP2 200701(Inventory SemiFG) LAP3 200702(Inventory FG) Save Continue  Back button Double click on Transaction ‘FR1’ (Freight clearing) Valuation modif √ Valuation class √ Save Valuation modif Valuation Class Account X LAP1 100521 Save Back button Double click on Transaction ‘WRX’ (GR/IR clearing account) Valuation modif √ Valuation class √ Save Valuation modif Valuation Class Account X LAP1 100520 Save Back button 127
  • 128.
    ©SrinivasaKasireddy©+91-9959765211 Double Click ontransaction ‘GBB’ General modification √ Valuation modif √ Valuation class √ Save Valuation modif General Modification Valuation Class Account X VBR LAP1 400591 X VBR LAP2(SemiFG) 400990 X VAY LAP3 400204 X AUF LAP3 300204 X AUF LAP2 300204 X VAX LAP3 400204 X ZOF LAP3 300249 X ZOB LAP1 100520 Note: GL account 400599 is RM consumption a/c 300204 is Inc/Dec in stock and 400204 is Cost of Goods Sold a/c 100520 is GR/INR account Save Continue VBR : RM consumption VNG : Material Scrapping ZOB : GR w/o purchase order (movement type 501) FG Reciept from Production AUF ZOF With Production Order [PP implemented] Without Production Order [PP not implemented] FG Delivery to customer VAY VAX Sales A/C as Revenue element [CO Implemented) Sales A/C not as a Revenue element (CO not implemented) 4. Creating No. ranges for Document types WE WA RE 128
  • 129.
    ©SrinivasaKasireddy©+91-9959765211 Tcode :OBA7 Double Clickon document type ‘WA’ Note down the No range ‘49’ Back button Doubl Click on document type ‘WE’ Note down the no range ‘50’ Back button Double Click on document type ‘RE’ Note down the no range ‘51’ In the same screen ‘Number range information’ button Company Code : LAP Change Intervals button Interval button No Year From Number To Number 49 2012 4900000000 4999999999 Enter Interval button No Year From Number To Number 50 2012 5000000200 5099999999 Enter Interval button No Year From Number To Number 51 2012 5100000000 5199999999 Enter Save Continue 3. MM End User Planned delivery costs Unplanned Delivery Costs If you know the freight charges at the time of PO creation, you can enter in PO. During the GR, the freight charges will be posted to Freight clrng If you don’t know the freight charges at the time of PO creation, you can enter them during Inv Verification (MIRO) 129
  • 130.
    ©SrinivasaKasireddy©+91-9959765211 account. Freight charges willbe posted to Inventory account During freight invoice verification they are transferred to vendor account. There are two options as how to post unplanned delivery cost (This is a CoCd level setting). 1. Freight charges can be distributed among invoice items 2. Freight charges can be posted to Expenses account Planned delivery costs: Scenario1 : Goods inv and Freight inv are from single vendor Solution : Goods inv and Freight inv can be entered in one step Scenario2 : Freight inv is from a different vendor Solution : Goods inv and Freight inv have to be entered in separate steps (We are following scenario 2 ie Transport vendor is separate from goods vendor) 1. Creation of RM master TCode :MM01 SAP Easy AccessLogisticsMaterials ManagementMaterial MasterMaterialCreate (General) Immediately MM01 Material : LAPRM Industry Sector : Mechanical Engineering Material type : ROH Raw Material Select View(s) button Select views Basic data1, Purchasing , General Plant Data / Storage 1 , Accounting 1, Costing1 and Costing2 Org. Levels button Plant : LAP1 Stor. location : LAP1 Enter Basic Data1 tab: Material : LAP RM (Steel) Basic unit of measures : KG Material Group : LAPM 130
  • 131.
    ©SrinivasaKasireddy©+91-9959765211 Division : LS NetWeight : 1 KG Gross Weight : 1 KG Purchasing Tab Purchasing Group : LPG Accounting 1 tab Valuation class : LAP1 Price Control : V (Moving Average Price) Moving Price : 200 Save 2. Creation of Vendor Masters Tcode : XK01 Vendor : LAPRMVNDR Company Code : LAP Purchase Organisation: LAPO Account Group : LARM Enter Name : LAP RM vendor Country : IN Region : 01 Enter 4 times (or Next Screen button 4 times) Recon. account : 100980 (Sundry creditors) Sort Key : 012 (Vendor Number] Cash Management Group : A1 Enter Payt Terms : 0001 Tolerance Group : blank Chk double inv √ Save 3. Creation of Vendor Masters Tcode : XK01 Vendor : LAPTRVNDR Company Code : LAP Purchase Organisation: LAPO Account Group : LARM Enter 131
  • 132.
    ©SrinivasaKasireddy©+91-9959765211 Name : LAPTransport vendor Country : IN Region : 01 Enter 4 times (or Next Screen button 4 times) Recon. account : 100980 (Sundry creditors) Sort Key : 012 (Vendor Number] Cash Management Group : A1 Enter Payt Terms : 0001 Tolerance Group : blank Chk double inv √ Save 4. Open Period for Current month (Periodic activity) Tcode : MMPV Up to Material Master same path OtherClose Period From Company Code : LAP To Company Code : LAP Period : 5 (Current period) Fiscal Year : 2012 Check and close period Execute Intialize the closed period : TCode : MMPI can be used to open the period which is closed by mistake. But this is to be done very carefully. Any postings done in the new period will have impact if we reopen the previous period and post to it. User prifle ? 5. Purchase Order Creation: Tcode : ME21N Up to Materials Management same path PurchasingPurchase OrderCreateVendor/Supplying Plant Known Vendor : LAPRMVNDR Enter … … … … 132
  • 133.
    ©SrinivasaKasireddy©+91-9959765211 Org.Data tab Purch. Org: LAPO Purch. Group : LPG Company Code : LAP Item Material PO Quantity Deliv. Date Net Price Currency Plnt Stor. Location 10 LAPRM 100 15.08.2012 200 INR LAP1 LAP1 Enter Expand ‘Item Detail’ button Conditions tab Enter amount for condition type ‘FRB1’ as below CnTy Name Amount FRB1 Freight (Value) 45.00 Messages button to see any errors Back button Check button Save Note down the purchase order No. 4500017175 6. Goods Receipt Tcode :MIGO Up to Material Management same path Inventory ManagementGoods MovementGoods ReceivedFor Purchase OrderPO Number Known Purchase order : 4500017175 Enter Where tab Storage Location : LAP1 Text : GR Quantity tab Qty in Delivery Note : 100 kg √ Item OK Check button (‘Document is 0K ‘ msg should come) Post (Note down the material document no 600000030) 133
  • 134.
    ©SrinivasaKasireddy©+91-9959765211 7. Displaying Materialdocument Tcode: MB03 Up to Inventory Management same path Material DocumentDisplay Material Document : 600000030 Material document year : 2012 Enter Accounting Documents button Dr. 89 Inventory RM 20,045.00 Cr. 96 GR/INR account 20,000.00 Cr 50 Freight clrng account 45.00 8. Invoice Verification for goods Tcode : MIRO Up to Material Management same path Logistics Invoice VerificationDocument EntryEnter Invoice Invoice date : Todays date √ Calculate tax Tax code : V1 4%Input tax Text : Inv Verifcation PO Reference Tab Purchase order/Scheduling agreement 4500017175 Goods/service items Enter Select √ Booking OK for item 1 Enter Copy the amount in Balance field (red signal) Paste to Amount field (without –‘ve sign) Enter (Red signal should turn into green signal) Payment tab Baseline date : Todays date Payment term : 0001 Simulate button Close the window Post 134
  • 135.
    ©SrinivasaKasireddy©+91-9959765211 Invoice Document menuDisplay Follow-On Documents button LAP RMvendor 20,800.00 GR/INR clrng account 20,000.00 VAT Receivable 800.00 9. Inv Verification for Freight Tcode: MIRO Invoice date : Todays date √ Calculate tax Tax code : V0 0%Input tax Text : Freight Inv verifcation PO Reference Tab Purchase order/Schedulin agreement 4500017175 Planned delivery costs Enter Select √ Booking OK for item 1 Enter Details tab Inv. Party : LAPTRVNDR Enter Enter to ignore the msg Basic data tab Copy the amount in Balance field (red signal) Paste it to Amount field (without –‘ve sign) Enter (Red signal should turn into green signal) Payment tab Baseline date : Todays date Payment term : 0001 Simulate button Entry should look like the following Cr LAP TR vendor 45.00- Dr Freight clrng account 45.00 Close the window 135
  • 136.
    ©SrinivasaKasireddy©+91-9959765211 Post 10. RM Consumption Tcode: MB1A Up to Materials Management same path Inventory ManagementGoods MovementGoods Issue Movement type : 201 (Consumption for CC) Plant : LAP1 Storage location : LAP1 Enter Cost Centre : 1001 Material : LAPRM Qty : 25 Enter Post (Document 500000350 generated) Goods Issue menuDisplay Material Doc : 100000350 Mat. Doc. Year : 2012 Enter Accounting Documents button Double click on Accounting document Entry should be : Cr. Inventory RM 5011.25- Dr. RM Consumption 5011.25 11. Display Stock Ledger Tcode : MMBE up to Material Management same path Inventory ManagementEnvironmentStockStock Overview Material : LAPRM Plant : LAP1 Storage location : LAP1 Execute 136
  • 137.
    ©SrinivasaKasireddy©+91-9959765211 12. Display Stockfor posting date Tcode :MB5B Same path Material No. : LAPRM Company Code : LAP Plant : LAP1 Valuated stock Execute … … … … 137
  • 138.
    ©SrinivasaKasireddy©+91-9959765211 8. SD Integration 1.SD consultant job 1. Define Sales Organisation: SPROEnterprise StructureDefinitionSales and DistributionDefine, copy, delete, check sales organization Double click on Define Sales Organisation New Entries Sales Organisation : LANS Description : LAP North sales org Statistics currency : INR Save Enter to ignore the warning message Name : LAP North sales org Country : IN Region : 01 Enter Create Request button Short Description: SD configuration for LAP EnterContinue Next Entry button Sales Organisation : LASS Description : LAP South sales org Statistics currency : INR Save Enter to ignore the warning message Name : LAP South sales org Country : IN Region : 01 Enter Continue 2. Define Distribution Channel: Same path Next line Define ,copy , delete ,check distribution channel . 138
  • 139.
    ©SrinivasaKasireddy©+91-9959765211 Double click onDefine distribution channel . New Entries Distr. Channel Name LD Direct Sales Save Continue 3. Define shipping points: Up to Definition same path Logistics Execution  Define, copy, delete, check shipping Point. Double click on Define shipping point. New Entries Shipping point : LASH Description : LAP shipping point Save Name : LAP Shipping point. Country : IN Region : 01 Enter Continue. 4. Assign Sales Organisation to Company code: SPROEnterprise StructureAssignmentSales and DistributionAssign Sales Organisation to Company code Position Sales Org : LANS Enter. Sorg. CoCd LANS LAP Position Sales Org : LASS Enter. Sorg. CoCd LASS LAP Save 139
  • 140.
    ©SrinivasaKasireddy©+91-9959765211 Continue 5. Assign Distributionchannel to sales organisation: Same path (next line) Assign distribution channel to Sales Organisation. New entries SOrg . Dchl LANS LD LASS LD Save Continue. 6. Assign division to Sales Organization: Same path next line New Entries. SOrg . Dv LANS LS LASS LS Save Continue. 7. Set up sales area: Same path next line  New Entries SOrg . DChl Dv LANS LD LS LASS LD LS  Save Continue. 8. Assign sales organisation- distribution channel - Plant: Same path New Entries SOrg . DChCust/Mt Plant LANS LD LAP1 140
  • 141.
    ©SrinivasaKasireddy©+91-9959765211 LASS LD LAP1 LANSLD LAP2 LASS LD LAP2 LANS LD LAP3 LASS LD LAP3 Save Continue 9. Define Rules by Sales area: Up to Sales and Distribution same path Business Area Account AssignmentDefine Rules for Sales area Position Sales Org. : LANS Enter SOrg . Rule LANS 001 (Bus Area determination from plant & division) LASS 001 (Bus Area determination from plant & division) Save Continue 10. Assign Business Area to Plant And Division Same Path next line New Entries Plnt Dv BusA LAP1 LS LANZ LAP2 LS LANZ LAP3 LS LANZ Save Continue 11. Assign Shipping Point to Plant: Up to Assignment same path Logistics ExecutionAssign Shipping point to Plant 141
  • 142.
    ©SrinivasaKasireddy©+91-9959765211 Find Button Find :LAP1 Enter Click on LAP1 Keep the cursor on LAP1 Assign Button √ LASH Enter Save Continue 12. Assign Shipping Points: SPROLogistics ExecutionShippingBasic Shipping FunctionsShipping point and Goods receiving point DeterminationAssign shipping points New Entries SC LGrp Plnt PrShP MShPt 01 0003 LAP1 LASH LASH Save Continue 13. Maintain Pricing Procedure: SPROSales and DistributionBasic FunctionsPricingPricing controlDefine and Assign Pricing Procedures Double click on Maintain pricing procedures Select Procedure ‘RVAA01’ ie Standard or ‘RVAACA’ Copy as button Change Procedure with ‘LAPPP’ Change Description with ‘LAP Pricing Procedure’ Enter Copy all button Enter to ignore the Wrng Msg Select Procedure ‘ LAPPP’ Double click on Control Data folder For Condition types SKTV (step 914), deselect Required For Condition types K007 (step 104) MWST (step 915) select Required 142
  • 143.
    ©SrinivasaKasireddy©+91-9959765211 Make a noteof AccKey for ‘CTyp’s PR00 , MWST and K007 (ERL and ERS respectively) (Make sure CTyp ‘VPRS’(step 940) is copied ) Save Enter to ignore the msg Continue 14. Define Pricing Procedure Determination: Same Path same lineDefine and Assign Pricing Procedure Double click on Define Pricing Procedure Determination New Entries SOrg. DChl Dv DoPr CuPP PriPr CTyp LANS LD LS A 1 LAPPP PR00 LANS LD LS 2 1 LAPPP PR00 LASS LD LS A 1 LAPPP PR00 LASS LD LS 2 1 LAPPP PR00 Save Continue 15. Define Tax Determination Rules: Up to Basic Functions same path TaxesDefine Determination Rules New Entries Tax Count. : IN Seq : 1 Tax categ. : UTXJ Save Continue (skip this step lab) 16. Set up Partner Determination: Customer Partner role Customer’sH Office Sold to party Sales to party Payer HO will settle the bill Customer’sPlant Ship to party Send goods to plant Customer’s Br office Bill to party Send bill to Br Office 143
  • 144.
    ©SrinivasaKasireddy©+91-9959765211 Up to BasicFunction same path Partner DeterminationSet up Partner Determination Double click on Set up Partner Determination for Customer Master Double click on ‘Account Groups- Function assignment’ folder New Entries Partn. Funct. Name Account Grp SP Sold to party LASD SH Ship to Party LASD BP Bill to Party LASD PY Payer LASD Save Enter 4times to ignore the msg Continue Double click on ‘Partner Determination Procedures’ folder New Entries Part. Det .proc Name LAPD PDP for LAP Save Enter to ignore wrng msg Select Partner Determination ‘LAPD’ Double click on ‘Partner Functions in Procedure’ folder New Entries Part.Det. Proc Partn.Funct. Not Modifiable Mandat.Funct LAPD SP √ √ LAPD BP √ LAPD SH √ LAPD PY √ Save Double click on ‘Partner Determination Procedure Assignment’ folder Position Account Group : LASD 144
  • 145.
    ©SrinivasaKasireddy©+91-9959765211 Enter Group ParPr LASD LAPD Save 17.Changing Schedule Line Category Tcode : VOV6 Double cl ick on SLCa ‘DN’ ie Returns Movement Type : 653 ie GD returns unrestr. Save Continue 2. FI Consultants job 1. Changing GL account Tcode :FS00 Select GL account ‘300510’ ie Sales Change button Create/Bank/Interest tab Change the Field Status Group to ‘G029’ ie Revenue accounts Save 2. Assignment of Accounts for Automatic Posting: SPROSales and DistributionBasic Functions Account Assignment/CostingRevenue Account DeterminationAssign G/L accounts Double Click on table 1 New Entries App CndTy ChAc SOrg . AAG AAG ActKy GL A/C V KOFI LACA LANS 01 03 ERL 300510 V KOFI LACA LANS 01 03 ERS 400491 V KOFI LACA LASS 01 03 ERL 300510 V KOFI LACA LASS 01 03 ERS 400491 Save Continue 145
  • 146.
    ©SrinivasaKasireddy©+91-9959765211 3. SD EndUser 1. Creation of Customer Tcode : XD01 Account Group : LASD (SD Customers) Customer : LAPSDCUST Company Code : LAP Sales Organisation : LANS Distribution Channel : LD Division : LS Enter Name : LAP SD customer Country : IN Region : 01 Company Code Data button Recon. account : 200610 (Sundry Debtors) Sort Key : 031 (Customer Number) Payment transactions tab Terms of payment : 0001 Sales Area Data button Sales tab Cust. pric. proc : 1 Shipping Tab Delivery priority : 02 (normal) Shipping condition : 01 (as soon as possible) Delivering plant : LAP1 Billing Documents tab √ Price determine. Inco terms : EXW (customer will take care of goods from plant only) Terms of payment : 0001 Acct assgmt group : 01 Tax classification: 1 (liable for tax) for UTXJ 1 for MWST Save 2. Creation of Material FG Tcode : MM01 Material : LAPFG 146
  • 147.
    ©SrinivasaKasireddy©+91-9959765211 Industry Sector :Mechanical Engineering Material Type : Finished products Select View(s) button Select Basic Data1, Sales: Sales Org. Data 1 , Sales: Sales Org. Data2 , Sales: General/Plant Data , MRP 1 , Accounting 1 , Costing1 and Costing2 Org. Levels button Plant : LAP1 Stor. Location : LAP1 Sales Org. : LANS Distr. Channel : LD Enter Description : LAP FG Base Unit of Measure : EA Material Group : LAPM Division : LS GenItemCatGroup : NORM Sales: sales org .1 tab Delivering plant : LAP1 Tax Data Tax Classification : 1 for UTXJ 1 for MWST Sales: sales org. 2 tab Acct assignment grp : 03 ie Finished Goods Item category group : NORM Sales: General/Plant tab Gross Weight : 1 Net Weight : 1 Availability check : KP (no check) Trans. Grp : 0003 Loading Grp : 0003 ie Manual MRP 1 Tab MRP type : ND ie No plan Accounting 1 tab Valuation class : LAP3 (Finished Product) Price control : S (std. price) Standard price : 600 147
  • 148.
    ©SrinivasaKasireddy©+91-9959765211 Save 3. Creation ofCondition records Tcode : VK11 SAP Easy AccessLogisticsSales and Distribution  MasterData Conditions Select Using Condition TypeCreate Condition type : PR00 Key Combination button Material with release status Enter Sales Organization : LANS Distribution Channel : LD Material Amount Valid From Valid to LAPFG 700 1.04.2011 31.03.2012 Save Back button Condition type : K007 Key Combination button Division/Customer Enter Sales Organization : LANS Distribution Channel : LD Division : LS Customer Amount Valid From Valid to LAPSDCUST 1 1.04.2011 31.03.2012 Save Back button Condition type : MWST Key Combination button Domestic taxes Enter Country : IN TaxCl1Cust Tax cl. Mat Amount Valid From Valid to TaxCode 1 1 1.04.2011 31.03.2012 A1 Save … … … … … … … … … … … … 148
  • 149.
    ©SrinivasaKasireddy©+91-9959765211 4. Creation ofSales order Tcode :VA01 Up to Sales and Distribution same path SalesOrderCreate Order type : OR Sales Organization : LANS Distribution Channel : LD Division : LS Enter Sold-to party : LAPSDCUST PO Number : 567 (customer’s Purchase order no) PO date : Todays date Req. deliv. date : Todays date Delivery plant : LAP1 √ Complete dlv Payment Terms : 0001 Item Material Order Quantity Plant 10 LAPFG 10 LAP1 Enter Select item 10 GoTo menuItemConditions Enter CnTy ‘MWST’ and Amount ‘5%’ CnTy Amount MWST 5 Make a note of Discount amount ie 7 Rs Make a note of profit margin 93 ( ie (700-7)-600) Back button Edit menuIncompletion log Save Note down the order no 5. Production Receipts Tcode :MB1C Up to Logistics same pathMaterails ManagementInventory ManagementGoods Movement Goods ReceiptsOthers Document date : Todays date 149
  • 150.
    ©SrinivasaKasireddy©+91-9959765211 Movement type :521 (receipt w/o production order into unrestricted use stock) Plant : LAP1 Storage location : LAP1 Enter Material Qty. LAPFG 150 Enter Text : GR from production Post Enter to ignore the warning message Post Note down the material document no. 100000360 Other Goods Receipt menuDisplay Material document : 100000360 Mat. Doc year : 2012 Enter Accounting Documents button Double click on Accounting Document Dr Inventory FG .90000.00 Cr To Inc/Dec. in stock 90000.00- (=150*600) 6. Delivery Tcode : VL01N Up to Logistics same path Sales and DistributionSalesOrderSubsequent FunctionsOut bound Delivery Shipping point : LASH Selection date : Sales order date (automatically come) Order : 12124 (sales order) Enter Actual GI date : Todays date Picking tab Picked qty. 10 Post Goods Issue button 150
  • 151.
    ©SrinivasaKasireddy©+91-9959765211 Note down thedelivery document 80015213 Outbound Delivery menuDisplay Outbound delivery : 80015213 (comes automatically) Enter Document flow button Select GD goods issue Display document button Accounting Documents button Dr Cost of Goods Sold 6000.00 Cr Inventory FG 6000.00- 7. Sales billing Tcode: VF01 Same pathBilling Document Select the Delivery document Execute button Goto menu ItemItem Conditions Enter CnTy ‘MWST’ and Amount ‘5%’ CnTy Amount MWST 5 Back button Save [Note down the billing document no) Billing document menuDisplay Billing document : xxxxxxxxxxxxx Accounting button Dr LAP SD Customer 7276.50 Cr Sales 7000.00- Dr Discount 70.00 Cr VAT Payable 346.50 In case of error ‘Document xxxxxxxx saved (no accounting document generated)’ , for complete error analysis: TCode: VF02 151
  • 152.
    ©SrinivasaKasireddy©+91-9959765211 Billing document : Billingdocument menu Release To Accounting Double click on the error msg Error: Account 400491 requires an assignment to a CO object Solution : Delete cost element 400491 temprorarily and create again in the netx topic 8. Creating Cr Memo request Tcode : VA01 SAPEasy AccessLogisticsSales and DistributionSalesOrderCreate Order type : CR Sales Organization : LANS Distribution Channel : LD Division : LS Create with Reference button Bill doc tab Billing Document : XXXXXXXXXXX Copy button Item overview tab Billing block : Blank Target quantity 2 Sales tab Billing block : Blank Order reason : Damaged in transit Billing Date: Today’s date Item detail tab Billing block : Blank Edit menu  Incompletion log Save 9. Posting Cr Memo Tcode : VF01 Document 152
  • 153.
    ©SrinivasaKasireddy©+91-9959765211 Enter Cr memorequest Execute button Save Billing document menuDisplay Billing document 90036292 Accounting button Double click on Accounting document Entry should be : Cr LAP SD Customer 1455.30- Dr To Sales 1400.00 Cr Discount given 14.00- Dr VAT Payable 69.30 10. Sales Return Order (RE) Tcode : VA01 Order Type : RE Create with Reference button Order tab Order : xxxxx Copy button Sales Tab : Delivery block : Blank Billing block : Blank Order reason : Returns Order Quantity 5 Select Item 10 Goto menu ItemConditions Edit menuIncompletion log Save 11. Return Delivery (VL02n) Tcode : VA02 Order : XXXX Enter Sales document menuDeliver 153
  • 154.
    ©SrinivasaKasireddy©+91-9959765211 Actual GI date: Todays date Picking Tab Deliv .Qty SLoc 5 LAP1 Post goods Reciept button 12. CR Memo with reference to Returns order TCode : VF01 Select Return sales order Execute Save Billing document menuDisplay Billing document : xxxxxxxxxxx  Accounting button 154
  • 155.
    ©SrinivasaKasireddy©+91-9959765211 9. Profitability Analysis InSAP we have two tools to analyse the Profitability EC-PCA CO-PA Profit Centre Accounting Profitability Analysis To analyze the Profitability at organizational units called Profit Centres. Profit centres can be structured according to Plants, Branch offices, Products or Product ranges. To analyze the Profitability at Profitability segments like Customer , Employee , Product etc This is called Multidimensional Profitability Eg: Customer wise profit, Employee wise profit ,Product wise profit PCA uses Period accounting and Cost-of- sales accounting PA uses Cost-of-sales accounting method PA is of two types Costing-Based and Account-Based . Both types can be used simultaneously. Costing-Based PA Account-Based PA Costing-Based PA uses Value fields to group cost and revenue elements. Account-Based PA uses cost and revenue elements Reconcilation issues : Reconciliation between FI and COPA. SD: Delivery updates COGS in FI immediately but not COPA. Billing updates FI with revenue. Billing : During billing COPA is updated with COGS and revenue Reconcilation issues happens when delivery isdone in one period and billing is done in a different period No reconciliation issues COGS can be split in to cost components Cost component split is not possible Varaince analysis is possible Variance analysis not poosible 1. Settings 1. Maintain Operating Concern Operating Concern is the highest node in CO. ie It is above the Controlling Area. 155
  • 156.
    ©SrinivasaKasireddy©+91-9959765211 Op Concern 1 CoArea1 CoCd1 CoCd2 CoArea 2 CoCd3 CoCd4 Info : In Operating Concern we define the PA reporting data structure . Operating concern contains a list of Characteristics and Value fileds. Characteristic is the level at which you see the report and Value field is what figure you want to see in the report . Eg: You want to see customer wise revenue /cost of sales/ profit. Here customer is the characteristic . and revenue /cost of sales/ profit are the value fields . Path:SPROControllingProfitabilty AnalysisStructuresDefine Operating ConcernMaintain Operating Concern Operating Concern : LAP1 Create button Enter to Ignore the msg Description : LAP Operating concern Costing-based Account-based Attributes tab Operating concern currency : INR Company Code Currency √ Fiscal year variant : V3 Save Data Structure Tab Create button Select KMVTNR Sales employee and MATKL Material Group Fixed Characteristics: In every opearing concern there are some fixed characteristics, which are included into operating concern automatically. Eg: Product ,Company code,Co-area, Sales order etc Predefined Characteristics : Optionally we can include more characteristics . These are predefined in the field catalogue and explicitly added to operating concern . Eg : Sales employee , Material Group, Customer group etc Customer –defined Characteristics : We can also define our own characteristics in field catalogue . From there you can include them in your operatining concern. √ √ 156
  • 157.
    ©SrinivasaKasireddy©+91-9959765211 Left arrow button Valuefields Tab Select VV010 Revenue, VV030 Customer discount, VV100 Outgoing Freight VV130 Internal sales comm VV140 COGS, VV150 Material Input, VV250 Mat OH VV400 Production costs VV700 Sales Quantity VV713 Advertising, VVIQT Invoiced Quantity , KWSGEK Other overhead Info : Value fields are to be included in to the operating concern according to the requirement from the field catalogue . Here we are including the above value fields. A value field can be either an amount field or a quantity field. In the above value fields sales quantity, invoiced quantity are quantity fields and others are amount fields. Left arrow button Save Activate button Back button Yes button to generate Operating Concern environment (Status should turn into green)) Enter to ignore the Msg Save 2. Displaying Characteristic list Upto Define Operating Concern Same path Maintain Characteristics Display button Extras menuFixed fields 157
  • 158.
    ©SrinivasaKasireddy©+91-9959765211 3. Define ProfitabilitySegment Characteristics(Segment- Lvl Characteristics) Upto Structures same path Define Profitability Segment Characteristics(Segment-Lvl Characteristics) Operating concern : LAP1 Enter Char Description CostBased+AcctBased ARTNR Product KNDNR Customer KAUFN Sales Order Save Continue Info : Profitability segment is a unique combination of the above selected characteristics . ie Only the characteristics selected for the above setting will be used in profitability segments. Eg : ProdA / Customer 1 = Proft seg 1 ProdB / Customer 1 = Proft seg 2 ProdA / Customer 2 = Proft seg 3 4. Assign Co-Area to Operating Concern SPROEnterprise StructureAssignmentControllingAssign controlling area to operating concern Position button CO Area : LAP Enter COAr OpCo LAP LAP1 Save Continue Error : Controlling area and op. concern have different fiscal year variants Solution : Make sure if Op Concern and CoArea have same FYV. If they are different change the FYV in Op Concern , logoff, re-login and peroform the above step . 158
  • 159.
    ©SrinivasaKasireddy©+91-9959765211 5. Define Noranges for Actual Postings Path: SPROControllingProfitability Analysis Flows of Actual Values Initial Steps Define Number Ranges for Actual Postings Operating concern : LAP1 Maintain Groups button Create button Group : COPA docs LAP From No To Number 9000000000 9999999999 Save Continue Back button Click on ‘F’ Element/Group button Double click on ‘ COPA docs LAP’ Repeat the process for A, B, C Save Continue Info: Data is generated in PA when documents are posted in SD , FI or MM components. For Eg when a billing document is generated in SD , a PA document is generated as well. 6. Activate Tranfer of Incoming Sales Orders Up to Flows of Actual Values same path  Transfer of Incoming Sales Orders Activate Transfer of Incoming Sales Orders Position button CO Area : LAP Enter COAr Inc.SO LAP 1 ie Active with date of entry Save Continue 159
  • 160.
    ©SrinivasaKasireddy©+91-9959765211 7. Maintain Assignmentof SD Conditions to CO-PA Value Fields Up to Flows of Actual Values same path  Transfer of Billing Documents Assign Value Fields Double click on Maintain Assignment of SD Conditions to CO-PA Value Fields New Entries CTyp Val.fld PR00 VV010 VPRS VV140 K007 VV030 Save Continue 8. Assign Quantity Fields Up to Flows of Actual Values same path Transfer of Billing Documents Assign Quantity Fields New Entries SD qty field Name CO-PA qty field Name FKIMG Billed Quantity VVIQT Invoiced Quantity KWMENG Order Quantity VV700 Sales quantity Save 9. Create Revenue element for GL account ‘Sales’ Tcode : FS00 Select GL account 300510 Change button Edit Cost element button Valid From : 1.4.2011 Enter CostElemCategory : 11 i.e. Revenue Save 10. Create Cost element for GL account ‘Discount given’ 160
  • 161.
    ©SrinivasaKasireddy©+91-9959765211 Tcode : FS00 SelectGL account 400491 Change button Edit Cost element button Valid From : 1.4.2011 Enter CostElemCategory : 12 i.e. Sales deduction Save 11. Creating GL account Advertising Tcode : FS00 Select GL account 400500 Salaries Copy button GL account: 400707 Enter Change the Description to ‘Advertising’ Save Edit Cost element button Valid From : 1.4.2011 Enter CostElemCategory : 1 Save 12. Create Secondary Cost Element(Settlement) Tcode : KA06 Cost Element : 1000000008 Valid From : 1.4.2011 to 31.12.9999 Enter Name : IO settlemnt Description : IO Settement CElem category : 21 Save 13. Maintain allocation Structure : 161
  • 162.
    ©SrinivasaKasireddy©+91-9959765211 SPROControllingInternal OrdersActual PostingsSettlementMaintain AllocationStructure Select Allocation Structure ‘A1’ Double click on Assignments folder New Entries Assignment Text 070 Advtising Save Continue Select Assignment ‘070’ Double click on Source folder From cost el To cost elem 400707 Save Double click on Settlment cost elements folder New Entries Receiver cat By cost element settlement cost elem PSG 100000008 Save 14. Maintain PA Tranfer Structure Same path Maintain PA Transfer Structure New Entries Structur e Text L1 IO --> PA tranfer Save Continue 162
  • 163.
    ©SrinivasaKasireddy©+91-9959765211 Select Structure ‘L1’ Doubleclick on Assignment lines folder New Entries Assignment Text Q1 All cost Save Select Assignment ‘L1’ Double Click on Source folder Cost Element From : 400707 Costs/revenue Save Double click on Value fields folder New Entries Quantity/valu e Fixed/Variable Value fld Value field 2 Variable VV713 Save 15. Maintain Settlement Profile Same path Maintain Settlment Profile Double click on ‘Maintain Settlement Profiles’  New Entries Settlement profile : LAP1 IO-->COPA Actual Costs/Costs of Sales To Be Settled in Full Default Values Allocation structure : A1 PA transfer str. : L1 Default object type : PSG Indicators 163
  • 164.
    ©SrinivasaKasireddy©+91-9959765211 %-Settlement Valid Recievers Cost center: Settlement Optional Profit. Segment : Settlement Optional Other Parameters Document type : SA Max.no.dist.rls : 999 Residence time : 3 Save 16. Maintain Number Ranges for Settlement Documents (Skip this step already done in topic IO->CC settlement) Same menu path Maintain groups button Create button Group : Settlemnt DOcs LAP From No To Number 070000000 0799999999 Save Enter Back button Click on ‘LAP’ Assign elemnt group button Double click on ‘Settlemnt Docs LAP’ Save 17. Creation of internal Order Types SPROControllingInternal ordersOrder Master DataDefine Order types New Entries Order category : 01 ie Internal Order (Controlling) Enter Order type : EVNT Description : Events Settlement prof : LAP1 Planning profile : 000001 164
  • 165.
    ©SrinivasaKasireddy©+91-9959765211 Object class :Overhead cost √ Release immediately Assign/change interval button (next to Number range interval) Yes button Continue √ Motor pool A-zzzzzzzz(external) Not assigned Double click on EVNT Element/Group button Save Continue 18. Activate Profitability Analysis Up to Flows of Actual Values same path  Activate Profitability Analysis Position CO Area : LAP COAr Name FromFY Op.concern Active status LAP CO area for LAP 2012 LAP1 4 Save Continue 19. Create IO Adv Event Tcode: KO01 Order type : EVNT Enter Order : ADVEVNT_LAP Description : Adverstsing Event Company Code : LAP Business area : LANZ Control data Tab Statistical order Info:Select the check box to make it a statistical IO , else it will be a Real IO Save  Settlement Rule button Cat Settlement Reciever PSG 165
  • 166.
    ©SrinivasaKasireddy©+91-9959765211 Enter Product : LAPFG Enter CatSettlement Reciever % Settlemnt type PSG 100 FUL Save 20. Create No. Range intervals for Bus Transactions KOAO Tcode : KANK CO Area : LAP Maintain Groups Button √ No. Range for CO Document (LAP) Double click on Business Transaction ‘KOAO’ ie Actual settlemnt, Element/Group button Save Continue 21. Maintain PA Transfer Structure for Direct posting Up to Flows of Actual Values same path Direct Posting from FI/MM Maintain PA Transfer Structure for Direct Postings Select Structure ‘FI’ ie Financial Accounting --> CO-PA Double click on Assignment lines folder Controlling Area : LAP Enter  Select Assignment ‘10’ ie Direct costs from FI Double click on Source folder Cost Element From : To : Group : Double click on Value fields folder New Entries Quantity/valu e Fixed/variable Value fld 166
  • 167.
    ©SrinivasaKasireddy©+91-9959765211 Value field 1 Doubleclick on Assignment lines folder  Select Assignment ‘20’ ie Direct revenues from FI Double click on ‘Source’ folder Cost Element From : 300510 To : Double click on ‘Value fields’ folder New Entries Quantity/valu e Fixed/variable Value fld Value field 1 VV010 Double click on Assignment lines folder  Select Assignment ‘30’ ie Sales Deductions / Rebates Double click on ‘Source’ folder Cost Element From : 400491 To : Double click on ‘Value fields’ folder New Entries Quantity/valu e Fixed/variable Value fld Value field 1 VV030 Save Continue 22. Transfer of old SD data to PA We perform this activity in the following two scenarios Scenario 1 : In the lab if we post SD documents before configuring PA. Scenario 2 : In the live project if SD module has been implemented before implementing PA. After implementing the PA we can generate the PA documents for old SD documents. Scenario 3 : Can also be used for corrective posting of documents in COPA. Existing COPA docs are reversed and new documents are generated Path: SPROControllingProfitability AnalysisToolsProduction Start upSubsequent Posting of Documents Post Billing Documents Subsequently TCode : KE4S 167
  • 168.
    ©SrinivasaKasireddy©+91-9959765211 Billing Type :F2 ,G2 Company Code : LAP √ Test run √ Create log Check for existing records Execute Back button Test run Execute Error : Document with unauthorized business transaction “SD00” Solution : Activate profitability analysis 2. SD End User 1. Creating Sales order Tcode: VA01 Create a Sales order for Material LAPFG Qty : 50 2. Delivery of goods to customer Tcode : VL01N Post goods issue for the above sales order Picked Qty : 50 3. Billing document Tcode : VF01 Post a billing document for above Delivery document 4. Display Billing document Tcode : VF03 Billing document : 90036262 Accounting button Double click on Profitab. Analysis Value fields Tab Make a note of Value fields Cash discount, Cost of goods sold, Revenue Invoiced quantity 50 EA Cash discount : 350.00 168
  • 169.
    ©SrinivasaKasireddy©+91-9959765211 Cost of goodssold : 30,000.00 Revenue : 35,000.00 3. FI Enduser 1. Posting transaction in FI Posting cash sales : Tcode : F-02 Dr LANZ 0000200691 Cash 18.000,00 Cr LANZ 0000300510 Sales 18.000,00- In the second Item Profit ,segment button Plant : LAP1 Sales Org. : LANS Division : LS Continue button Post 2. Posting Advertising expenses in IO Tcode :F-02 PstKy : 40 Account : 400707 Enter Amount : 18000 Cost centre : Order : ADVEVNT Text : Advertising expenses PstKy : 50 Account : 200691 Enter Amount : * Business area : LANZ Text : + Document MenuSimulate Post 169
  • 170.
    ©SrinivasaKasireddy©+91-9959765211 4. CO EndUser 1. Set Operating Concern Tcode : KEBC SAP Easy Access AccountingControllingProfitability AnalysisEnvironmentSet Operating Concern Operating concern : LAP1 Costing-based Enter 2. IO Settlement SAP Easy AccessAccountingControllingInternal OrdersPeriod End ClosingSingle FunctionsSettlementIndividual Processing Tcode : KO88 Order : ADVEVNT Parameters Settlement period : 6 Fiscal Year : 201 Processing type : Full Settlement √ Test Run √ Check trans. Data Execute Details list button Back button two times Test Run Execute 3. Display COPA Line items: Upto Profitability Analysis Same path Actual PostingsDipaly Line Items Tcode :KE24 Currency type : 10 Company code : LAP Execute 170
  • 171.
    ©SrinivasaKasireddy©+91-9959765211 Enter 4. Checking theflow of Billing Documents SAP Easy AccessAccountsControllingProfitability AnalysisToolsAnalyze Value Flows Check Value Flow in Billing Document Transfer Tcode: KEAT Company Code : LAP Currency type : 10 Sales Organization : LANS √ Display FI values Execute 5. Displaying COPA tables(Costing Based) When we a create an operating concern a set of tables are created . The name of COPA tables start with ‘CE’ . For eg : CE1XXXX - Actual line items CE2XXXX - Planned line items CE3XXXX – Segment level totals/Period CE4XXXX- Segment definition where XXXX stands for your Opearting concern name. 171
  • 172.
    ©SrinivasaKasireddy©+91-9959765211 10. COPA-Valuation Overview Valuationis used to calculate/extract extra information which is not available at the time of data transfer to CO-PA . Eg : Sale deduction like commission, cash rebates which are not available in the invoice can be calculated Cost of sales can be extracted using standard cost estimates from Product cost planning component or actual cost from Actual costing / ML component. Special direct costs like transporting ,packaging can be calculated Data transfer to CO-PA without valuation function : Information available based on SDCOPA mapping() Product COGS Discount Revnue ? Prod A 2700 100 3600 Prod B 3000 150 4000 Contbution margin(Gross profit) = 7600-(5700+250)= 1550 Profit from prod A = 3600-(2700+100) = 800 1. Valuation using Conditions Condition technique can be used to calculate sales deductions like commsion, Cash deductions, rebates which are unknown at the time of invoice generation. And also to determine direct costs such as frieght, packaging or insurance which are not known at the time of billing. 172
  • 173.
    ©SrinivasaKasireddy©+91-9959765211 Requirment 1 :Calculate Sales Commsion, Freght charges Solution : We can valuate Sales commission and freight in COPA using Condition tequniue (We are going to configure this scenario in a dedicated topic ‘CO-PA Valuation-1’) Sales commsion = 2% revenue Freight = 5 Rs /Kg Product COGS Discount Revnue Quantity Antcipated Sales commison Anticipated Freght Prod A 2700 100 3600 10 72 50 Prod B 3000 150 4000 5 80 25 2. Valuation using Mat. Cost Estimates To update Cost of sales with latest material cost estimate. Requirement 2 : Component wise analysis for COGS COGS is to be split into components like Mat cost, Mat OH ,Prod cost etc Solution = Valuation with Mat cost estimate (We are going to configure this scenario in a dedicated topic ‘CO-PA Valuation-2’) Extra mapping to be done as shown in the following image Image : Mapping Cost component structure-COPA value fields 173
  • 174.
    ©SrinivasaKasireddy©+91-9959765211 Product COGS DiscountRevnue Quantity Sales commison Freght RM cost RM OH Prod Cost Prod A 2700 100 360 10 72 50 1500 150 1050 Prod B 3000 150 400 5 80 25 2000 200 800 Requirement3 : Revaluated prices should reflect in COPA at month end Month end revaluation of stock using new standard price During the month : Standard price prod A = 270.00 Rs Reciept of FG to inventory from Prod : Posting to inv a/c = 270X50 = 13,500.00 Delivery to customer : Posting to inv a/c = 270X10 = - 2700.00.00 Current inventory = 40X270 = 10800.00 At month end New standard price = 280.00 Rs Revalution of stock with new standard price : 40X280 = 11200.00 Amount to be posted to Loss/gain from revaluation a/c = 400.00 Rs Solution : Periodic Revaluation (We are going to configure this scenario in a dedicated topic ‘CO-PA Valuation-3’) For prod A the defference is posted as a delta item as shown in the 3rd row Product COGS Discount Revnue Quantity Sales commison Freght RM cost RM OH Prod Cost Prod A 2700 100 3600 10 7.2 50 1500 150 1050 Prod B 3000 150 4000 5 8 25 2000 200 800 Prod A 100 50 20 30 174
  • 175.
  • 176.
    ©SrinivasaKasireddy©+91-9959765211 1. CO-PA Valuation-1 (Inthis Chapter we configure Valution using condtions) Valuation using conditions : We use costing sheet and condition technique to calculate anticipated freight charges based on the sale-quantity , anticipated commission based on the revenue. 1. Settings 1. Create Condition Types and Costing Sheets SPROControllingProfitability AnalysisMaster Data ValuationSet UP Conditions and Costing SheetsCreate Condition Types and Costing Sheets Select ACT001 under pricing procedures Copy button Pricing procedure : LAP1 Actual: Commisions, Freight.. (LAP) Save Continue 2. Define and Assign Valuation Strategy: Upto Valuation same path Valuation Valuation StrategiesDefine and Assign Valuation Strategy Operating concern : LAP1 Enter Select Val.strat ‘001’ Online Valuation Actual Double click on Details folder New Entries sequence Appl Costg sheet Mat.cstg Qty.field 1 KE LAP1 VVIQT Double click on Assignment of Valuation strategy folder New Entries 176
  • 177.
    ©SrinivasaKasireddy©+91-9959765211 PV Rec. Planver Val .strat Name 01 F 001 Save 3. Assign Value Fields Upto Valuation same path Set UP Conditions and Costing SheetsAssign Value Fields Assign Value Fields New Entries CTyp Name Value fld Description COGS Cost Price: CO-PA VV140 Cost of goods sold DISC Customer discount VV030 Customer discount PROV Int.Sales Commission VV130 Internal sales Comm. REVN Revenue VV010 Revenue Save Continue 4. Valuation Analysis Upto Profitability Analysis same path ToolsAnalysisCheck Customazing Settings TCode : KECM Select ‘Overview of Valuation’ under Analysis Options folder Point of valuation : 01 Realtime valuation of actual data √ Billing Document Execute The following image explains how values flow between CO-PA value fields and costing sheet records. 177
  • 178.
    ©SrinivasaKasireddy©+91-9959765211 2. Enduser : 1.Maintain condition record: SAP Easy AccessAccountsControllingProfitability AnalysisMaster DataCondition Records/PricesCreate TCode : KE41 Condition type : PROV Enter Access to Sales organization Enter Sales Org Amount Valid From Valid to LANS 3 1.4.2012 31.3.2013 Save 2. Creating Sales order Tcode: VA01 Create a Sales order for Material LAPFG Qty : 30 3. Delivery of goods to customer 178
  • 179.
    ©SrinivasaKasireddy©+91-9959765211 Tcode : VL01N Postgoods issue for the above sales order Picked Qty : 30 4. Billing document Tcode : VF01 Post a billing document for above Delivery document 5. Display Billing document Tcode : VF03 Billing document : XXXXXXx Accounting button Double click on Profitab. Analysis Value fields Tab Value fields ‘Interanl sales comm’ should be filled with value 6. Valuation Simulation SPROControllingProfitability AnalysisToolsAnalysisValuation Simulation TCode : KE21S Posting date : 27.11.2013 Record Type : F Pt.of valuation : 01 Version : Blank Legal View Enter Characterstics tab Company Code : LAP Sales Org. : LANS Value fields tab Revenue : 3000 (or any amount) Valuation button( ) ( Calculated Internal sales Comm. should be 90.00 per a revenue of 3000.00 ) 179
  • 180.
  • 181.
  • 182.
    ©SrinivasaKasireddy©+91-9959765211 3. CO-PA ManualLine Item Entry We can manually post entries in CO-PA in rare cases. If these postings are made without a corresponding FI entry, then this can lead to a FI & CO-PA reconciliation issue. It should be used in rare care cases like when it is too late to go back to the source module to make the posting (e.g. when the period closing for that module has been carried out.) TCode : KE21N SAP Easy AccessAccountsControllingProfitability AnalysisActual PostingsCreate Line items 182
  • 183.
    ©SrinivasaKasireddy©+91-9959765211 4. Top-Down Distributionof Actual Data In CO-PA value fields like revenue , sales deductions and COGM are posted to detailed level characteristics like Product/customer . Some transactions like freight charges, insurance cost can not be attributed directly to detailed levels like product/customer . So they are posted summarily to higher levels like division ,sale organization etc. The ‘Top-Down Distribution’ function can be used periodically to distribute the data from higher summerised levels to lower detailed levels. Scenario : There are two products under one material group. When posting in FI, Freight charges are transferred to material group in CO-PA . For the sake of analysis , product level freight charges are to be calculated. ‘Invoiced quantity’ is the basis for distribution. 1. Settings 1. Maintain Characteristic Groups SPROControllingProfitability Analysis Flows of Actual Values Initial StepsCharacteristic GroupsMaintain Characteristic Groups Operating concern : LAP1 Enter New Entries Characteristic group Text LAP1 Freight Charges posting Save Continue Select Characteristic group ‘LAP1’ Double click on Characteristics folder New Entries Row number Field Name Field Description Entry Status 1 2 3 4 5 6 7 KNDNR ARTNR WERKS VKORG VTWEG SPART MATKL Customer Product Plant Sales Org. Distr. Channel Division Material Group Field ready for input Field ready for input Required entry Required entry Required entry Required entry Field ready for input 183
  • 184.
    ©SrinivasaKasireddy©+91-9959765211 8 KOKRS COArea Field not ready for input Save 2. Assign Characteristic Groups for Assignment Screen Same Path New Entries BusTran Name Charct.group Name Entry aid RFBU FI: Postings LAP1 Freight charges posting Click on the button in the Entry aid column Plant : LAP1 Sales Org. : LANS Distr. Channel : LD Division : LS  ‘Save new entry aid’ button ( ) Name : Mat Group Continue Continue 2. Enduser 1. Creation of Material FG(LAPFG9) Tcode : MM01 Material : LAPFG9 Industry Sector : Mechanical Engineering Material Type : Finished products Select View(s) button Select Basic Data1, Sales: Sales Org. Data 1 , Sales: Sales Org. Data2 , Sales: General/Plant Data , MRP 1 , and Accounting 1 Org. Levels button Plant : LAP1 Stor. Location : LAP1 Sales Org. : LANS Distr. Channel : LD Enter Description : LAP FG9 Base Unit of Measure : EA Material Group : LAPM 184
  • 185.
    ©SrinivasaKasireddy©+91-9959765211 Division : LS GenItemCatGroup: NORM Sales: sales org .1 tab Delivering plant : LAP1 Tax Data Tax Classification : 1 for UTXJ 1 for MWST Sales: sales org. 2 tab Acct assignment grp : 03 ie Finished Goods Item category group : NORM Sales: General/Plant tab Gross Weight : 1 Net Weight : 1 Availability check : KP (no check) Trans. Grp : 0003 Loading Grp : 0003 ie Manual MRP 1 Tab MRP type : ND ie No plan Accounting 1 tab Valuation class : LAP3 (Finished Product) Price control : S (std. price) Standard price : 900 Save 2. Create Condition Record TCode : VK11 Condition type : PR00 Key Combination button Material with release status Enter Sales Organization : LANS Distribution Channel : LD Material Amount Valid From Valid to LAPFG9 1200 1.04.2011 31.03.2012 Save … … … … 185
  • 186.
    ©SrinivasaKasireddy©+91-9959765211 3. Sales Order TCode: VA01 Material Order quantity LAPFG9 10 4. GRfrom Production Tcode :MB1C Up to Logistics same pathMaterails ManagementInventory ManagementGoods Movement Goods ReceiptsOthers Document date : Todays date Movement type : 521 (receipt w/o production order into unrestricted use stock) Plant : LAP1 Storage location : LAP1 Enter Material Qty. LAPFG9 50 Enter Text : GR from production Post Enter to ignore the warning message Post 5. Delivery TCode : VL01N 6. Billing TCode :VF01 7. Posting Freight charges in FI Tcode : F-02 PstKy : 40 Account : 400592 Freight Charges Enter Amount : 9000 Cost Centre : 1000 Text : Freight charges payment ’Enter account assignment’ button( ) next to Profit.Segment 186
  • 187.
    ©SrinivasaKasireddy©+91-9959765211 Double click on‘Mat Group’ under Central entry aids Material Group : LAPM (Plant , Sales Org. Distr. Channel, Division, filled automatically) Continue Pst Ky : 50 Account : 200691 Enter Amount : * Text : + Document menu Simulate Post 8. Display Actual line items TCode : KE24 9. Top-Down Distribution SAP Easy Access  AccountingControlling  Profitability Analysis  Actual Postings  Period-End Closing Periodic Adjustments Top-Down Distribution TCode :KE28 Operating concern : LAP1 Enter Actual Data From Period : 8.2013 to 8.2013 Record Type : B Dir.posting from FI All Valuation Views Reference Data From Period : 8.2013 to 8.2013 Version : Actual data Record Type : F Cumulative Periods Cumulate Record Type Reference base Single Val. Fld Value Field : Invoiced quantity √ Test run 187
  • 188.
    ©SrinivasaKasireddy©+91-9959765211 Selction Criteria button Product: * Material Group : LAPM (All remaining charceristics value = *) Processing Instructions button Characteristic Distibution Lvl Copy Value Summarize Value Customer Product Sales Order Company Code CO Area Plant Business Area Sales Org. Distr. Channel Division Profit Center Sales employee Material Group Unit Sales qty Unit Inv. qty Value fields button Deselct all button √ Outgoing freight ( Other value fields should be deselected) Save button(to save the variant) Variant : LAP1_testmode Save 188
  • 189.
    ©SrinivasaKasireddy©+91-9959765211 Back button Execute Messages tab (Msgfor successful distribution : Editing has been completed successfully) Result tab Click in ‘Receivers’ column (It should display number of receivers) (Inv.qty is the basis for distribution of freight charges ) Back button Test run (Enter all other input parameters as before) Save button(to save the variant) Variant : LAP1_updatemode Save Back button Execute 189
  • 190.
    ©SrinivasaKasireddy©+91-9959765211 10. Display ActualLine items TCode : KE24 (A new COPA document with 3 items is generated) 11. History Same path TCode : KE28L Operating concern : LAP1 Enter Variants Variant : LAP1_updatemode Status √ Test Run √ Update Run √ Cancelled √ Successful √ with Warnings √ Errors Found Execute Expand subtree button( ) Line Items button ( ) 190
  • 191.
    ©SrinivasaKasireddy©+91-9959765211 5. Profit CentreAccounting EC-PCA(Enterprise control PC accounting) CO-PA(Profitablity Analysis ) is used to analyse profits at organizational levels PA is multidimensional Used to analyse profits in multiple dimensions like customer, Products, Sales org Sales employee etc 1. Set controlling area: Path: SPROControllingProfit Center AccountingBasic SettingsSet Controlling area T Code : OKKS Controlling area : LAP Enter 2. Maintain Controlling Area Settings: Same path up to Basic settingsControlling Area SettingsMaintain Controlling area Settings Standard Hierarchy : STD_HIER Elim. of Int. Business vol. √ PCtr Local Currency Type : 20 (CoArea currency) Control indicators From Yr. Active Indicator 2012 √ Save Continue 3. Create Dummy profit centre: Up to Profit Center accounting same path Master DataProfit CentreCreate Dummy Profit Centre Double click on ‘EC-PCA:Create Dummy Profit Center’ Dummy Profit Center : LAP_DUMMY Basic Data button Name : Dummy PC for LAP 191
  • 192.
    ©SrinivasaKasireddy©+91-9959765211 Description : DummyPC for LAP Porfit Center Group : STD_HIER Save Enter to ignore the warning message 4. Set Control Parameter for Actual Data: Up to Profit Center Accounting same pathBasic settings Controlling area Settings Activate Direct postingsSet Controls Parameters for Actual Data New entries From year Line items Online transfer 2012 √ √ Save Continue 5. Maintain Plan Versions Same path up to Activate Direct postings Plan VersionsMaintain Plan Versions Select version ‘0’ ie Plan/actual version DoubleClick on ‘Settings for Profit Center Accounting’ folder New Entries Year Online Transfer Line items ExRate Type 2012 √ √ M Save  Continue 6. Define Number Ranges for Local Documents: Up to Prfit Center Accounting same path Actual PostingsBasic Settings: ActualDefine Number Ranges for Local Documents Maintain Groups button. √ Act document from direct posting with GB01 Interval menuMaintain Company code : LAP Enter Insert interval button Year From Number To Number 2012 0100000000 0199999999 192
  • 193.
    ©SrinivasaKasireddy©+91-9959765211 Enter Save Continue  Back button √Planned doc. from direct posting with GB01 Interval MenuMaintain Company Code : LAP Enter Interval Button Year From number To number 2012 0700000000 0799999999 Enter Save 7. Creating Profit Centres Tcode : KE51 SAP Easy AccessAccountingControllingProfitCenterAccountingMasterData ProfitCenterIndividual ProcessingCreate Profit Centre : 1001 Enter Analysis Period 01.04.2012 Name : Hyd plant Long text : Hyd Plant Person responsible : Mr. T Profit centre group : STD_HIER Save Enter to ignore the warning message Enter to confirm the message Activate button Profit centre : 1002 Enter Name : Mum plant 193
  • 194.
    ©SrinivasaKasireddy©+91-9959765211 Long text :Mum plant Person Responsible : MR. M Profit Centre group : STD_HIER Save Enter Activate 8. Assign Profit Center in CostCenter : Tcode : KS02 Cost Centre : 1001 Enter Profit Centre : 1001 Save Yes button to ignore the warning message Enter to ignore the warning message Repeat the same procedure for CCs 1002 and 1003 Error : Changing profit center from to xxxx is not permitted Solution : Change error msg to warning msg Double click on the error msg Note down the msg no (here it is FAGL_ORG_UNITS011 ) Path : Up to Prfit Center Accounting same path ToolsChange Message control Application Area : FAGL_ORG_UNITS Enter New Entries MsgNo User Name Online Batchl 011 W E Save Continue 9. Create Sales Account As Revenue Element: Tcode : FS00 Select GL account 300510 (Sales) 194
  • 195.
    ©SrinivasaKasireddy©+91-9959765211 Change buttonEdit costelement button Valid From : 1.4.2012 Enter Cost Elem category : 11 ie Revenue Save (Already done in PA) 10. Maintain Automatic Account Assignment Revenue element: SPROControllingProfitCenter Accounting Actual PostingsMaintain Automatic Account Assignment of Revenue Element New Entries CoCd Cost Elem. Profit Ctr Acct assignment detail LAP 300510 1001 2 Business Area is mandatory Save Continue Select Company code LAP with CostElement ‘300510’ Double click Details per business area/Valuation area New Entries ValA Business Area Cost Center Profit Center Blank LANZ 1001 Save 1. End User 1. Posting of Salaries Tcode : F-02 PstKy : 40 Account : 400500 Enter Amount : 36000 Cost Centre : 1001 Text : Salaries payment Pst Ky : 50 Account : 200792 Enter 195
  • 196.
    ©SrinivasaKasireddy©+91-9959765211 Amount : * Text: + Document menu Simulate Post 2. Posting Sales Invoice Tcode : F-22 Psky : 01 Account : LAPGNCUST Enter Amount : 43000 Business area : LANZ Text : Sales invoice Psky : 50 Account : 300510 Enter Amount : * Text : + Profitability segment button Profit Center : 1001 Enter Document menu Simulate Post 3. Transfer of values from one ProfitCenter To another ProfitCenter: Tcode: 9KE0 Up to ProfitCenter Accounting same path Actual PostingsProfitCenter DocumentEnter Layout : 8A-001 Document type : A0 Execute Company code : LAP Entry Screen button Profit center Account number In pctr local curr 1001 400500 -9000 1002 400500 9000 Save 196
  • 197.
    ©SrinivasaKasireddy©+91-9959765211 4. Display ProfitCentre Report: Up to Profit Accounting same path Information systemReports for ProfitCenter AccountingLine item Reports  ProfitCenter :Actual Line items Tcode : KE5Z Record type : 0 Co Area : LAP Company Code : LAP Posting Period : 5 Fiscal Year : 2012 Account : Profit Center : 1001 Execute 197
  • 198.
    ©SrinivasaKasireddy©+91-9959765211 6. Product CostPlanning Moving Average Price/Standard price Moving Average Price Standard Price Price is updated on every goods receipt and invoice reciept. Variance arises rarely (for example GR price is different and enough stock is not available to adjust) Generally used for RM Price is fixed for at least over a period. We calculte the std price periodically. Varaince is calculated and posted to variance accounts . Generally used for FG , Semi FG Std price can be calculated with either product cost planning or Actual costing The following types of cost estimates can be created in the Product Cost Planning component : 1 . Cost Estimate for Base planning object (Reference and Simualtion Costing) 2. Cost Estimate with Quantity Structure 3 . Cost Estimate with out Quantity Structure Costing Sequence Type of Cost Estimate  Reference and Simualtion Costing  Cost Estimate without Quantity Structure  Cost Estimate with Quantity Structure Time Stage New product proposal / Master data is not available  First Prototype/ Material master data is available / PP master data not available (Eg : BOM and routing data not available  Production stage / Complete MM and PP master data is availble Cost estimate type Unit Cost Estimate Unit Cost Estimate Automatic Cost Estimate and Unit Cost Estimate(only for Additive cost) Automatic vs Unit Cost Estimate Automatic Cost Estimate Unit Cost Estimates(Manual entry of cost items) Cost Esimate is created automatically Unit Cost Estimate is prepared manually for various 198
  • 199.
    ©SrinivasaKasireddy©+91-9959765211 based on thePP quantity Structure . BOM (Bill of Material provides planned qty of RM) Routing( Priovides number of Activity uints required ) cost items or by copying from other cost objects. Eg: Unit Costing is used for 1. Materials without quantity structure 2. Materials with quantity structure to enter additive costs 3. Base Planning objects Cost Component Split We can generate one or two types of the following cost component splits. 1. Cost of goods manufactured 2. Primary cost component split We specify one of the above cost component splits as the Main cost component split and one as the Auxiliary cost component split. Main CCS and Auxiliary Aux CCS can be specified at the combination of company code , plant and costing variant level as in the following screen shot 199
  • 200.
    ©SrinivasaKasireddy©+91-9959765211 Main Cost CopmonentSplit is used for updating the standard price in the material master. An Itemization is avialble for only Main cost component split. Auxiliary cost component split is used for comparision purpose. 1. Reference and Simualtion Costing Reference and Simualtion Costing is used to create a cost estimate for a newly propsed product/service for which no master data is available. Scenario : A cost estimate is to be created for a product(LAPFG1) which is to be manufactured in house . In the production process various components are used and activities(internal and external ) are performed apart from subcontracting . The components/subcomponents materials are given in the following table. Component Material type Procurement Valuation LAPRM1 Raw Material External purchase from two different vendors(Procurement alternatives) Price from purchase info record LAPRM2 Raw Material External purchase Price from material master record LAPSFG1 Semifinished product In-house production in the same plant with two production versions To be costed LAPSFG2 Semifinished product In-house production/Different plant (Special Procurement) Existing costing data from supplying plant is to be used LAPPM Packing material External purchase Price from material master 200
  • 201.
    ©SrinivasaKasireddy©+91-9959765211 Solution : Wecreate a baseplanning objects for each of the two semifinished products .For these two base planning objects we create single level unit cost estimates. The costing items are to be entered manually in the list screen/detail screen of unit costing . Then we perform multilevel unit costing We can create a worklist which facilitates access to frequently used data. The activity details are given in the following table Activity Internal or external ? Valuation Machine hour Internal Calculating actual cost using actual costs recorded in cost centers Assembling Internal Activity price is set manually Processing Internal Activity price is set manually Packing External Price from purchase info record 1. CO Settings 1. Creating Secondary Cost Elements TCode : KA06 Extras menu  Set Controlling area Controlling Area : LAP Enter Cost element : 1000000001 Valid From : 1.4.2011 to 31.12.9999 Enter Name : RM OH Description : RM OH CostElem Category : 41 (OH rate) Save Cost element : 1000000002 Valid From : 1.4.2011 to 31.12.9999 Enter Name : Activity Allocation Description : Activity Allocation CostElem Category : 43 (Internal Activity Allocation) Indicators tab 201
  • 202.
    ©SrinivasaKasireddy©+91-9959765211 √ Record qty Unitof Measure : H Hour Note : Record qty is very important setting. This can not be changed in the fiscal year if already data is posted . This can only be changed in a new fiscal year before any data is posted . Save Cost element : 1000000003 Valid From : 1.4.2011 to 31.12.9999 Enter Name : Prod OH Description : Prod OH CostElem Category : 41 (OH rate) Save 2. Creating Activity Types Machine Hour/ Packing/ Asssembling/ Processing SAP Easy Access Accounting  Controlling  Cost Center Accounting Master Data  Activity type Individual Processing Create Tcode: KL01 Activity Type : MCH Valid From : 1.4.2011 to 31.12.9999 Enter Name : Machine Hours Description : Machine Hours Activity Unit : H CCtr categories : * (All Cost Centre Categories) ATyp Category : 1 (Manual Entry & Manual Allocation) Allocation Cost Element : 1000000002 Price indicator : 1 Plan price, automatically based on activity Act. price indicator : 5 Actual price, automatically based on activity Save Activity Type : PCKG Valid From : 1.4.2011 to 31.12.9999 Master Data button 202
  • 203.
    ©SrinivasaKasireddy©+91-9959765211 Name : Packing Description: Packing Activity Unit : UN Unit CCtr categories : * (All Cost Centre Categories) ATyp Category : 1 (Manual Entry & Manual Allocation) Allocation Cost Element : 1000000002 Price indicator : 1 Plan price, automatically based on activity Act. price indicator : 5 Actual price, automatically based on activity Save Activity Type : ASMB Valid From : 1.4.2011 to 31.12.9999 Master Data button Name : Assembling Description : Assembling Activity Unit : UN Unit CCtr categories : * (All Cost Centre Categories) ATyp Category : 1 (Manual Entry & Manual Allocation) Allocation Cost Element : 1000000002 Price indicator : 1 Plan price, automatically based on activity Act. price indicator : 5 Actual price, automatically based on activity Save Activity Type : PRCS Valid From : 1.4.2011 to 31.12.9999 Master Data button Name : Processing hrs Description : Processing hours Activity Unit : H Hours CCtr categories : * (All Cost Centre Categories) ATyp Category : 1 (Manual Entry & Manual Allocation) Allocation Cost Element : 1000000002 Price indicator : 1 Plan price, automatically based on activity Act. price indicator : 5 Actual price, automatically based on activity Save 203
  • 204.
    ©SrinivasaKasireddy©+91-9959765211 2. MM Enduser 1.Creating Material master LAPRM1 Error : Tables TCURM and T001W inconsistent Reason : This problem arises when a plant is created by copying another plant. Plant assignment to company code is also copied . Solution : Assign the plant to company code using TCode : SM31, instead of through SPRO customizing. Table/View to be maintained is V_T001K_ASSIGN. TCode : MM01 Material : LAPRM1 Industry Sector : Mechanical Engineering Material type : ROH Raw Material Select View(s) button Select views Basic data1, Purchasing , General Plant Data / Storage 1 , Accounting 1 Org. Levels button Plant : LAP1 Stor. location : LAP1 Enter Basic Data1 tab: Material : LAP RM1 (Steel) Basic unit of measures : KG Material Group : LAPM Division : LS Net Weight : 1 KG Gross Weight : 1 KG Purchasing Tab Purchasing Group : LPG Accounting 1 tab Valuation class : LAP1 Price Control : V (Moving Average Price) Moving Price : 270 Save 204
  • 205.
    ©SrinivasaKasireddy©+91-9959765211 2. Creating Materialmaster LAPRM2 TCode : MM01 Material : LAPRM2 Industry Sector : Mechanical Engineering Material type : ROH Raw Material Select View(s) button Select views Basic data1, Purchasing , General Plant Data / Storage 1 , Accounting 1, Costing1 and Costing2 Org. Levels button Plant : LAP2 Stor. location : LAP2 Enter Basic Data1 tab: Material : LAP RM2 (Steel) Basic unit of measures : KG Material Group : LAPM Division : LS Net Weight : 1 KG Gross Weight : 1 KG Purchasing Tab Purchasing Group : LPG Accounting 1 tab Valuation class : LAP1 Price Control : V (Moving Average Price) Moving Price : 360 Save 3. Creating Purchase Info Record for External activity PCKG SAP Easy AccessLogisticsMaterail ManagementPurchasingMaster DataInfo RecordCreate TCode : ME11 Vendor : LAPTRVNDR Material : Blank Purchasing Org. : LAPO Plant : LAP1 Info Record : Info category 205
  • 206.
    ©SrinivasaKasireddy©+91-9959765211 Standard` Enter Description : Packing MaterialGroup : 0001 Order Unit : UN Sort Term : SERVICES Enter (or ‘Purch .Org Data 1‘ button) Control Pl. Deliv. Time : 1 Days Purch Group : LPG Standard Qty : 1 UN Conditions Net Price 10 INR / 1 UN Conditions button Double click on condition type ‘PB00’ Save 1. CO Enduser 1. Create Cost Element Group Tcode :KAH1 Cost element group : RSE Enter Description: Rent , Salary , Elect Insert Cost Element button RSE 400500 400600 400392 206
  • 207.
    ©SrinivasaKasireddy©+91-9959765211 Save 2. Create Activitytype Group TCode :KLH1 CO Area : LAP Activity Type group : Enter Description : Testing Activity Type button TSHRA TSHRM Save 3. CC Planning for CC 1001 Tcode : KP06 Version : 0 From Period : 1 To Perod : 12 Fiscal Year : 2011 Cost centre : 1001 Cost element group : RSE Form based Overview Screen button Costelement Plan fixed cost Distribution 400500 1 (Equal distribution) … … … … 207
  • 208.
    ©SrinivasaKasireddy©+91-9959765211 400600 400392 Total Post 4. Activity planningfor MCH SAP Easy AccessAccountingControllingCost Centre AccountingPlanningActivity Ouput /PricesChange Tcode : KP26 Version : 0 From Period : 1 To Perod : 12 Fiscal Year : 2011 Cost centre : 1001 Activity Type : MCH Form based Overview Screen button Activity Type Plan Activity MCH Post 5. CC Planning for CC 2001 Tcode : KP06 Version : 0 From Period : 1 To Perod : 12 Fiscal Year : 2011 Cost centre : 2001 Cost element group : RSE Form based Overview Screen button Costelement Plan fixed cost Distribution 400500 1 (Equal distribution) … … … … … … … … 208
  • 209.
    ©SrinivasaKasireddy©+91-9959765211 400600 400392 Total Post 6. Activity planningfor PRCS SAP Easy AccessAccountingControllingCost Centre AccountingPlanningActivity Ouput /PricesChange Tcode : KP26 Version : 0 From Period : 1 To Perod : 12 Fiscal Year : 2011 Cost centre : 2001 Activity Type : PRCS Form based Overview Screen button Activity Type Plan Activity PRCS Post 7. CC Planning for CC 1002 Tcode : KP06 Version : 0 From Period : 1 To Perod : 12 Fiscal Year : 2011 Cost centre : 1002 Cost element group: RSE Form based Overview Screen button Costelement Plan fixed cost Distribution 400500 1 (Equal distribution) … … … … … … … … 209
  • 210.
    ©SrinivasaKasireddy©+91-9959765211 400600 400392 Total Post 8. Activity planningfor ASMB SAP Easy AccessAccountingControllingCost Centre AccountingPlanningActivity Ouput /PricesChange Tcode : KP26 Version : 0 From Period : 1 To Perod : 12 Fiscal Year : 2011 Cost centre : 1002 Activity Type : ASMB Form based Overview Screen button Activity Type Plan Activity ASMB Post 9. Calculating planned Activity Price Upto Cost Centre Accounting same path PlanningAllocationsPrice Calculation Tcode : KSPI All Cost Centres Version : 0 From Period : 1 To Perod : 12 Fiscal Year : 2011 √ Test Run √ Details List Execute Messages button ( Messages button is available only in case of any errors) … … … … … … … … 210
  • 211.
    ©SrinivasaKasireddy©+91-9959765211 Save Enter Back button 10. Activityplanning for PCKG SAP Easy AccessAccountingControllingCost Centre AccountingPlanningActivity Ouput /PricesChange Tcode : KP26 Version : 0 From Period : 2 To Perod : 2 Fiscal Year : 2011 Cost centre : 1002 Activity Type : PCKG Form based Overview Screen button Activity Type Capacity Fixed price Variable price PCKG Post 4. Creating a Base Planning Object LAPSFG1_BPO in plant LAP1 SAP Easy Access AccountingControllingProduct Cost ControllingProduct Cost Planning Reference and Simulation CostingCreate Base Planning Object TCode :KKE1 Controlling Area : LAP Enter Base Planning Object : LAPSFG1_BPO Enter Base Unit of Measure : EA Company Code : LAP … … … … 211
  • 212.
    ©SrinivasaKasireddy©+91-9959765211 Plant : LAP1 NameBPO for LAPSFG1 Save 5. Create single level unit cost estimate for LAPSFG1_BPO Same path Change Base Planning Object TCode : KKE2 Base Planning Object : LAPSFG1_BPO Enter Create Cost Estimate button Costing Variant : PG Lot Size : 1 EA Enter Item Category Resource Pant/Activity Quantity Description CostElement Formula 1 M LAPRM1 LAP1 400599 2 E 1001 MCH 1000000002 3 O Mat OH =(('1')*5)/100 Save Save 6. Creating a Base Planning Object LAPSFG2_BPO in plant LAP2 SAP Easy Access AccountingControllingProduct Cost ControllingProduct Cost Planning Reference and Simulation CostingCreate Base Planning Object TCode :KKE1 Controlling Area : LAP Enter Base Planning Object : LAPSFG2_BPO Enter 212
  • 213.
    ©SrinivasaKasireddy©+91-9959765211 Base Unit ofMeasure : EA Company Code : LAP Plant : LAP2 Name BPO for LAPSFG2 Save 7. Create single level unit cost estimate for LAPSFG2_BPO Same path Change Base Planning Object TCode : KKE2 Base Planning Object : LAPSFG2_BPO Enter Create Cost Estimate button Costing Variant : PG Lot Size : 1 EA Copy from Base Object : LAPSFG1_BPO Enter Item Category Resource Pant/Activity Quantity Description CostElement Formula 1 M LAPRM2 LAP2 400599 2 E 2001 PRCS 1000000002 3 O Mat OH =(('1')*5)/100 Save Save 8. Create multilevel unit cost estimate The component materials are given in the following table. 213
  • 214.
    ©SrinivasaKasireddy©+91-9959765211 Activity Internal or external? Valuation Machine hour Internal Calculating actual cost using actual costs recorded in cost centers Packing External Price from purchase info record Material BOM LAPFG1 LAPSFG1 LAPSFG2 LAPPM LAPSFG1 LAPRM1 LAPSFG2 LAPRM2 Same path  Edit Base Planning Object-Multievel TCode: CKUC Right Click on the Costing StructureCreate Base Planning Object Base Planning Object : LAPFG1_BPO Enter Base Unit of Measure : EA Company Code : LAP Plant : LAP1 Name BPO for LAPFG1 Save Costing Variant : PG Lot Size : 1 EA Enter Now we are creating a worklist in which we include the items that are used in the multilevel cost estimate. 214
  • 215.
    ©SrinivasaKasireddy©+91-9959765211 ’Worklist On’ button ’CreateWorklist’ button Name : cost_estimate_LAP Manually-configured container : LAPFG1 Item category-Independent Enter Right click on worklist ‘LAPFG1’ Select Base Planning Object Base Planning Object : LAPSFG1_BPO to LAPSFG2_BPO Execute button Select the two Base Planning Objects Enter Right click on worklist ‘LAPFG1’ Select Internal Activity Controlling Area : LAP Enter Select ASMB Enter Now we can drap and drop the items from worklist into the costing structure. Drag ‘LAPSFG1_BPO’ from worklist and drop on ‘LAPFG1_BPO’ Drag ‘LAPSFG2_BPO’ from worklist and drop on ‘LAPFG1_BPO’ Drag ‘Assembling’ from worklist and drop on ‘LAPFG1_BPO’ Change the quantity as shown in the table below Enter items of category F manually Ite m Categor y Resource Pant/Activ ity Pur Org Quantity Description CostElment 1 B LAPSFG1_BP0 400599 2 B LAPSFG2_BP0 1000000002 3 E 1002 ASMB 1000000002 215
  • 216.
    ©SrinivasaKasireddy©+91-9959765211 4 F 250(PurInfo Rec) LAP1 LAPO Packing 1000000002 Enter Select the 4 items Keep the curser in 5th line Insert total( ) button Save Yes button 9. Exploding a material cost estimate/Base Planning Object While in the same screen Funtions menu Explode Base Planning Object Select the two base planning objects Explode button 2. Creating a cost estimate w/o quantity structure Scenario : A cost estimate is to be created for the product for which we created a cost estimate using Reference and Simulation costing . Material master has been created for the material but not the PP master data(BOM and Routing) . Solution : We create a multilevel unit cost estimate . 1. CO Settings 1. Creating Cost Center (Allocation) Tcode : KS01 Extras menuSet Controlling Area Controlling Area : LAP Enter Cost center: 1005 Valid From : 1.4.2011 to : 31.12.9999 Enter 216
  • 217.
    ©SrinivasaKasireddy©+91-9959765211 Name : OHCC Description : OH CC Person Responsible : Mr. A Cost Center Category : 9 (Allocation Cost Centre) Hierarchy Area : STD_HIER Business Area : LANZ Currency : INR Save Enter to ignore the warning msg 2. Define OH keys SPROControllingProduct Cost ControllingProduct Cost PlanningBasic Settings for Material CostingOverheadDefine Overhead Keys New Entries Over Head Key Description LAP1 LAP OH key Save Continue 3. Define OH Groups Same Path Next line New Entries Valuation Area Over Head Group Over Head Key Name of the Over Head Key LAP1 LAPOHG LAP1 LAP OH group LAP2 LAPOHG LAP1 LAP OH group Save Continue 4. Define Calculation Bases Upto Overhead same path Costing Sheet:ComponentsDefine Calculation Bases New Entries Base Name K1 RM cost K2 Prod cost Enter Select Base K1 217
  • 218.
    ©SrinivasaKasireddy©+91-9959765211 Double click onDetails folder Controlling Area : LAP Enter New Entries From Cost element 400599 Save Continue Double click on Calculation base folder Select Base K2 Double click on Details folder Controlling Area : LAP Enter New Entries From Cost element 10000000002 Save 5. Define Percentage OH Rates Same path Next line New Entries O/H Rate Name Dependency Description LAP3 RM OH D010 LAP4 Prod OH D020 Save Continue Select OH rate LAP3 Double click on Details folder New Entries Valid from Valid To CO area OH Type OH key Percentage 1.4.2011 31.12.9999 LAP 1 LAP1 5 1.4.2011 31.12.9999 LAP 2 LAP1 5 Save 218
  • 219.
    ©SrinivasaKasireddy©+91-9959765211 Continue Double click onPrcentage overhead folder Select OH rate LAP4 Double click on Details folder New Entries Valid from To CO area OH Type Plant Percentage 1.4.2011 31.12.9999 LAP 1 LAP1 5 1.4.2011 31.12.9999 LAP 2 LAP1 5 1.4.2011 31.12.9999 LAP 1 LAP2 5 1.4.2011 31.12.9999 LAP 2 LAP2 5 Save 6. Define Credits we are going to create 2 credit keys one for material overhead and other for the production overhead. By defining the credit key you are crediting the cost centre and debiting the product or the production order. The credit on the cost centre happens with the overhead cost element which we created earlier 1000000001 (RM OH) and 1000000003 (Prod OH). Here we specify the allocation cost centre which is to be credited. You can also define what percentage of the overhead is to be allocated as fixed costs. Same path New Entries Credit Name K5 LAP RM OH credit K6 LAP Prod OH credit Enter Select Credit K5 Double click on Details folder Controlling Area : LAP Enter New entries Valid To Cost element Fixed % Cost centre 31.3.9999 1000000001 100 1005 Save Continue Double click on Credit folder 219
  • 220.
    ©SrinivasaKasireddy©+91-9959765211 Select Credit K6 Doubleclick on Details folder Controlling Area : LAP Enter New entries Valid To Cost element Fixed % Cost centre 31.3.9999 1000000003 100 1005 Save Continue 7. Define Costing Sheet Same path up to overhead Define Costing Sheets New Entries Costing Sheet Description LAP1 LAP costing Sheet Save Continue Select Costing Sheet LAP1 Double click on Costing sheet rows folder New Entries Row Base O/H Rate Description From To Row Credit 10 K1 RM 20 K3 RM OH 10 10 K5 30 K2 Prod 40 K4 Prod OH 30 30 K6 50 COGM 10 40 Save Continue 8. Define Costing Variant Same path upto Product Cost Planning Material Cost Estimate With Quantity StructureDefine Costing Varaint Select Costing Variant PPC1 Copy as button 220
  • 221.
    ©SrinivasaKasireddy©+91-9959765211 Costing Variant :LAP1 Standard Cost Est. LAP Enter Enter to ignore the warning msg Select Costing Variant LAP1 Details button Create button (Button next to Valuation Variant) Select Valuation Variant 001 Details button Create button ( Button next to Valuation Variant/Plant) Select Valuation variant 001 for plant 1000 Copy As button In plnt : LAP1 Enter Select Valuation Variant 001 for plant LAP1 Details button Overhead tab Enter Costing Sheet 'LAP Costing Sheet ‘ in both places  Save Continue Back button Select Valuation Variant 001 for plant LAP1 Copy as button in plnt : LAP1 Enter Save 9. Define Cost Component Structure Same path up to Product Cost Planning Basic settings for Material CostingDefine Cost Component Structure Select Cost Component Structure ‘01’ ’Copy As’ button Cost Component Structure Active Prim Cost Comp Split Name L1 √ . LAP COGM Cost comp str Enter Continue 221
  • 222.
    ©SrinivasaKasireddy©+91-9959765211 Save Continue Select Cost ComponentStructure ‘L1’ Double Click on Cost Components with Attributes Delete all Cost Components except 10, 50, 70 and 80 Cost Comp Struct Cost Comp Name L1 10 Raw Materials L1 50 Production L1 70 Production OH L1 80 Material Overhead Save Select Cost Component structure ‘L1’ with Cost Component ‘10’ (Raw Materials) Double click on ‘Assignment: Cost Components-Cost Element Interval New Entries Cost Comp Struct Chart of Acc From cost el. Cost Comp L1 LACA 010 L1 LACA 010 Double Click on Cost Components with Attributes Select Cost Component structure ‘L1’ with Cost Component ‘50’ (Prod machine) Double click on ‘Assignment: Cost Components-Cost Element Interval New Entries Cost Comp Struct Chart of Acc From Cost Comp L1 LACA 050 Double Click on Cost Components with Attributes Select Cost Component structure ‘L1’ with Cost Component ‘80’ (Materials OH) Double click on ‘Assignment: Cost Components-Cost Element Interval New Entries Cost Comp Struct Chart of Acc From Cost Comp L1 LACA 080 222
  • 223.
    ©SrinivasaKasireddy©+91-9959765211 Double Click onCost Components with Attributes Select Cost Component structure ‘L1’ with Cost Component ‘70’ Double click on ‘Assignment: Cost Components-Cost Element Interval New Entries Cost Comp Struct Chart of Acc From Cost Comp L1 LACA 070 Save Continue Double Click on Cost Components Structure folder Double click on ‘Assignment:Organiz.Units-Cost Component Struct’ folder New Entries Company Code Plant Costing Variant Valid from Cost Comp Structure(Main CCS) LAP ++++ ++++ L1 Save Double Click on Cost Components Structure folder Cost Comp Struct Active Prim Cost Comp Split Name L1 √ . LAP COGM Cost comp str L2 √ √ LAP Actvity Cost Comp Str Save 10. Check/Change price calculation settings in Version (Already done in Cost Center Accounting) TCode: OKEQ Select Version ‘0’ ie Plan/actual version Double click on ‘Settings for Each Fiscal Year ’ folder Controlling Area : LAP Version : 0 Enter 223
  • 224.
    ©SrinivasaKasireddy©+91-9959765211 Double click ontop row Price calculation tab Plan Method : Periodic price Actual Methods : Periodic price Revaluation : Own business transaction Cost Comp. Str. : L2 LAP Actvity Cost Comp Str Back button repeat the procedure for all rows(ie for all years) Save Continue 2. MM Enduser 1. Creating Material master LAPFG1 224
  • 225.
    ©SrinivasaKasireddy©+91-9959765211 Tcode : MM01 Material: LAPFG1 Industry Sector : Mechanical Engineering Material Type : Finished products Select View(s) button Select Basic Data1, Sales: Sales Org. Data 1 , Sales: Sales Org. Data2 , Sales: General/Plant Data , MRP 1 , Accounting 1 , Costing1 and Costing2 Org. Levels button Plant : LAP1 Stor. Location : LAP1 Sales Org. : LANS Distr. Channel : LD Enter Description : LAP FG1 Base Unit of Measure : EA Material Group : LAPM Division : LS GenItemCatGroup : NORM Sales: sales org .1 tab Delivering plant : LAP1 Tax Data Tax Classification : 1 for UTXJ 1 for MWST Sales: sales org. 2 tab Acct assignment grp : 03 ie Finished Goods Item category group : NORM Sales: General/Plant tab Gross Weight : 1 Net Weight : 1 Trans. Grp : 0003 Loading Grp : 0003 ie Manual MRP 1 Tab MRP type : ND ie No plan Accounting 1 tab Valuation class : LAP3 (Finished Product) Price control : S (std. price) 225
  • 226.
    ©SrinivasaKasireddy©+91-9959765211 Standard price :50000 Save 2. Creating Material master LAPSFG1 Tcode : MM01 Material : LAPSFG1 Industry Sector : Mechanical Engineering Material Type : Semi-finished products Select View(s) button Select Basic Data1, General Plant Data /Storage 1 ,Accounting 1 , Costing1 and Costing2 Org. Levels button Plant : LAP1 Stor. Location : LAP1 Enter Description : LAP SFG1 Base Unit of Measure : EA Material Group : LAPM Division : LS GenItemCatGroup : NORM Gross Weight : 1 KG Net Weight : 1 Accounting 1 tab Valuation class : LAP2 (Semi -finished products) Price control : S (std. price) Standard price : 3000 Save 3. Creating Material master LAPSFG2 Tcode : MM01 Material : LAPSFG2 Industry Sector : Mechanical Engineering Material Type : Semi-finished products Select View(s) button Select Basic Data1, General Plant Data /Storage 1 , Accounting 1 , Costing1 and Costing2 226
  • 227.
    ©SrinivasaKasireddy©+91-9959765211 Org. Levels button Plant: LAP1 Stor. Location : LAP1 Enter Description : LAP SFG2 Base Unit of Measure : EA Material Group : LAPM Division : LS GenItemCatGroup : NORM Gross Weight : 1 KG Net Weight : 1 Accounting 1 tab Valuation class : LAP2 (Semi -finished products) Price control : S (std. price) Standard price : 6000 Save 4. Creating Material master LAPSFG2 Tcode : MM01 Material : LAPSFG2 Industry Sector : Mechanical Engineering Material Type : Semi-finished products Select View(s) button Select General Plant Data /Storage 1 , MRP1 ,MRP2 ,Accounting 1 , Costing1 and Costing2, Org. Levels button Plant : LAP2 Stor. Location : LAP2 Enter Accounting 1 tab Valuation class : LAP2 (Semi -finished products) Price control : S (std. price) Standard price : 6000 Save 5. Creating Purchase Info Record LAPRM1 / two vendors 227
  • 228.
    ©SrinivasaKasireddy©+91-9959765211 We are creatingpur info record for two vendors with different price SAP Easy AccessLogisticsMaterail ManagementPurchasingMaster DataInfo RecordCreate TCode : ME11 Vendor : LAPRMVNDR Material : LAPRM1 Purchasing Org. : LAPO Plant : LAP1 Info Record : Info category Standard` Enter Purch.Org.Data 1 button Control Pl. Deliv. Time : 1 Days Purch. Group : LPG Standard Qty : 10 KG Conditions Net Price INR / 1 KG Conditions button Double click on condition type ‘PB00’ Save TCode : ME11 Vendor : LAPTRVNDR Material : LAPRM1 Purchasing Org. : LAPO Plant : LAP1 Info Record : Info category Standard` Enter Purch.Org.Data 1 button Control Pl. Deliv. Time : 1 Days 228
  • 229.
    ©SrinivasaKasireddy©+91-9959765211 Purch. Group :LPG Standard Qty : 10 KG Conditions Net Price INR / 1 KG Conditions button Double click on condition type ‘PB00’ Save 3. CO Enduser 1. Cost Estimate W/O Quantity Structure(Single level) for LAPSFG1 Option1 : we can create single level unit cost estimate as shown in this step. Option2: We can also create single level unit cost estimate in multilevel costing screen(TCode :CKUC) SAP Easy Access AccountingControllingProduct Cost ControllingProduct Cost Planning Material CostingCost Estimate Without Quantity StructureCreate TCode: KKPAN Material : LAPSFG1 Plant LAP1 Costing Data Tab Costing Variant : LAP1 Standard Cost Est. (Mat.) Costing Version : 1 Dates Tab Default Values button (Date Fields filled automatically) Enter Enter the data as shown in the table Item Category Resource Pant/Activity Quantity Description CostElement Formula 229
  • 230.
    ©SrinivasaKasireddy©+91-9959765211 1 M LAPRM1LAP1 2 E 1001 MCH 3 O Mat OH 1000000001 =(('1')*5)/100 Enter ( if any warning messages) Save Save 2. Multilevel Cost Estimate for LAPFG1 SAP Easy Access AccountingControllingProduct Cost ControllingProduct Cost Planning Material CostingCost Estimate Without Quantity StructureEdit Multilevel TCode: CKUC Right Click on the Costing StructureCreate Material Cost Estimate Material : LAPFG1 Plant : LAP1 Costing Data tab Costing Variant : LAP1 Costing Version : 1 Dates tab Default Values button Enter Now we are creating a worklist in which we include the items that are going to be used in the multilevel cost estimate. ’Worklist On’ button  Container button( )Insert Container Name of new container: LAPFG1 Item category-Independent Enter Right click on worklist ‘LAPFG1’ Select Material Cost Estimate 230
  • 231.
    ©SrinivasaKasireddy©+91-9959765211 Material Number :Blank Plant : LAP1 Std cost est √ Future √ Current √ Previous Execute button Select the LAPSFG1 Enter Right click on worklist ‘LAPFG1’ Select Internal Activity Controlling Area : LAP Enter Select all the three activity types Enter Now we can drap and drop the items from worklist into the costing structure. Drag ‘LAPSFG1’ from worklist and drop on ‘LAPFG1’ under Costing Structure Copy Enter Right click on ‘LAPFG1’ under Costing StructureCreate Material Cost Estimate Material : LAPSFG2 Plant : LAP2 Costing Data tab Costing Variant : LAP1 Costing Version : 1 Dates tab Default Values button Enter Change the quantity as shown in the table below Item Category Resource Pant/Activity Quantity Description CostElement Formula 1 M LAPRM2 LAP2 400599 231
  • 232.
    ©SrinivasaKasireddy©+91-9959765211 2 E 2001PRCS 3 O Mat OH 100000000001 =(('1')*5)/100 Save Enter Include cost estimate LAPSFG2 to LAPFG1 by drag n drop (Cost estimate for LAPFG1 will be updated) Drag ‘Assembling’ from worklist and drop on ‘LAPFG1’ under Costing Structure Change the quantity column asshown in the table Item Category Resource Pant/Activity Pur Org Quantity Description CostElement 1 M LAPSFG1 LAP1 400599 2 M LAPSFG2 LAP2 3 E 1002 ASMB 4 F 250(Pur info rec) LAP1 LAPO 1000000002 Save Yes button Functions menuExplode Material Cost Estimates All Levels Material : LAPFG1 Enter Material Number : LAPFG1 Plant : blank Execute Double click on material LAPFG1 232
  • 233.
    ©SrinivasaKasireddy©+91-9959765211 3. Creating acost estimate with quantity structure Scenario: PP master data like BOM , routing is available for the material LAPFG1. The below given tables gives information of various components, activities . Certain costs like freight charges , additional components are to be added manually. The components/subcomponents materials are given in the following table. Component Material type Procurement Valuation LAPRM1 Raw Material External purchase from two different vendors(Procurement alternatives) Price from purchase info record LAPRM2 Raw Material External purchase Price from material master record LAPSFG1 Semifinished product In-house production in the same plant with two production versions To be costed LAPSFG2 Semifinished product In-house production/Different plant (Special Procurement) Existing costing data from supplying plant is to be used LAPPM Packing material External purchase Price from material master The activity details are given in the following table Activity Internal or external ? Valuation Machine hour Internal Calculating actual cost using actual costs recorded in cost centers Assembling Internal Activity price is set manually Processing Internal Activity price is set manually Packing External Price from purchase info record Solution : A cost estimate with quantity structure is to be created for the material. As semifinshed products are involved in production process multilevel costing is to be 233
  • 234.
    ©SrinivasaKasireddy©+91-9959765211 done. The costestimate is a mixed cost estimate because one of the component has procurement alternatives. Freight charges , additional components can be included into cost components manually using the function ‘Additive costs’. 1. FI Settings 1. Create GL Account Gain/Loss from Revaluation : GL Account : 400502 2. Automatic account assignment for transaction UMB TCode : OBYC 2. PP settings 1. Define MRP Controller SPROProductionMaterial Requirement Planning Master DataDefine MRP controllers New Entries Plant MRP Controller LAP1 MRP LAP2 MRP Save Continue 2. Define Floats(Scheduling Margin Key) Upto Material Requirement Planning same path PlanningScheduling And Capacity parametersDefine Floats New Entries Plnt Marg Op. Per FI Bef FI After Rel.Per LAP1 LAP 02 02 02 02 LAP2 LAP 02 02 02 02 Save Continue 3. Define Production Scheduler Upto Production Same path Shop Floor ControlMaster DataDefine Production scheduler New Entries 234
  • 235.
    ©SrinivasaKasireddy©+91-9959765211 Plant ProdSched LAP1 MrS LAP2Mrx Save 4. Determine Person Responsible for WorkCenter SPROProductionBasic DataWork CentreGeneral DataDetermine Person Responsible New Entries Plnt Pers. respons LAP1 MRw LAP2 Mrx LAP3 Mr3 Save Continu 5. Define parameters Upto General Data Same path Standard Value Define parameters Select parameter ‘SAP_14’ ie User field Copy as button Parameter : LAP_14 Origin : 2 Standard value in the op Parameter text : Assembling Keyword : Assembling Dimension : AAAADL Standard Value : 1 Standard value unit : UN Enter Save Select parameter ‘SAP_14’ ie User field Copy as button Parameter : LAP_15 Origin : 2 Standard value in the op Parameter text : Packing 235
  • 236.
    ©SrinivasaKasireddy©+91-9959765211 Keyword : Packing Dimension: AAAADL Standard Value : 1 Standard value unit : UN Enter Save Select parameter ‘SAP_02’ ie Machine Copy as button Parameter : LAP_16 Origin : 2 Standard value in the op Parameter text : Processing Keyword : Processing Dimension : TIME Standard Value : Standard value unit : H Enter Save 6. Define Standard value key Same path  Define Standard value key Select Satndard ‘SAP1’ ie Normal Production Copy as button Std val. key : LAP1 4th Parameter : LAP_14 5th Parameter : LAP_15 6th Parameter : LAP_16 Enter Save 7. Check Formulas for Costing SPROControllingProduct Cost Controlling Product Cost Planning Material Cost Estimate with Quantity StructureSettings for Quantity Structure ControlRouting Selection Check Formulas for Costing New Entries 236
  • 237.
    ©SrinivasaKasireddy©+91-9959765211 Formula key :LAP_14 Assembling Formula LAP_14 * SAP_09 / SAP_08 / SAP_11 Indicators √ Generate PRT Allowed For Reqmts √ Allowed for Calulation √ Allowed for Scheduling Work Center for Capacity Reqmts Save Next Entry button( ) Formula key : LAP_15 Packing Formula LAP_15 * SAP_09 / SAP_08 / SAP_11 Indicators √ Generate PRT Allowed For Reqmts √ Allowed for Calulation √ Allowed for Scheduling Work Center for Capacity Reqmts Save Next Entry button( ) Formula key : LAP_16 Processing Formula LAP_16 * SAP_09 / SAP_08 / SAP_11 Indicators √ Generate PRT Allowed For Reqmts √ Allowed for Calulation √ Allowed for Scheduling Work Center for Capacity Reqmts 237
  • 238.
    ©SrinivasaKasireddy©+91-9959765211 Save 3. PP Enduser 1.Creating BOM for LAPSFG1 SAP Easy Access LogisticsProductionMaster Data Bills of Material Bill of Material Material BOMCreate Tcode : CS01 Material : LAPSFG1 Plant : LAP1 BOM usage : 6 (Costing) Enter Component Quantity LAPRM1 Enter Save 2. Creating BOM for LAPSFG2 in plant LAP2 SAP Easy Access LogisticsProductionMaster Data Bills of Material Bill of Material Material BOMCreate Tcode : CS01 Material : LAPSFG2 Plant : LAP2 BOM usage : 6 (Costing) Enter Component Quantity LAPRM2 Enter Save 3. Creating BOM for LAPFG1 SAP Easy Access LogisticsProductionMaster Data Bills of Material Bill of Material Material BOMCreate Tcode : CS01 Material : LAPFG1 238
  • 239.
    ©SrinivasaKasireddy©+91-9959765211 Plant : LAP1 BOMusage : 6 (Costing) Enter ICt Component Quantity N LAPSFG1 N LAPSFG2 Enter Save 4. Material BOM Browser Same path upto Material BOM MultilevelMaterial BOM Browser TCode : CSMB Material : LAPFG1 Plant : LAP1 Alternative : Application : PC01 Enter Goto menuExplode Material BOMMulti-level Execute 5. Creating Work Center Same path upto MasterData WorkCentresWorkCentreCreate Tcode : CR01 Plant : LAP1 WorkCentre : 1001 Machining WorkCentre Cat. : 0001 Machine Enter Description : Machining Person Responsible : MRW Usage : 009 (All task list types) Standard Value Key : LAP1 (Normal Production) Enter Costing Tab 239
  • 240.
    ©SrinivasaKasireddy©+91-9959765211 Cost Centre :1001 Alt Activity Descr Activity Type Activity Unit Formula No Activity Machine MCH H SAP002 No Activity No Activity No Activity No Activity Save 6. Creating Work Center Tcode : CR01 Plant : LAP2 WorkCentre : 1002 Processing WorkCentre Cat. : 0001 Machine Enter Description : Processing Person Responsible : MRX Usage : 009 (All task list types) Standard Value Key : LAP1 (Normal Production) Costing Tab Cost Centre : 2001 Alt Activity Descr Activity Type Activity Unit Formula No Activity No Activity No Activity No Activity No Activity Processing PRCS H LAP_16 Save 7. Creating Work Center Tcode : CR01 Plant : LAP1 WorkCentre : 1003 Assembling WorkCentre Cat. : 0001 Machine 240
  • 241.
    ©SrinivasaKasireddy©+91-9959765211 Enter Description : Assembling PersonResponsible : MRW Usage : 009 (All task list types) Standard Value Key : LAP1 ( ) Costing Tab Cost Centre : 1002 Alt Activity Descr Activity Type Activity Unit Formula No Activity No Activity No Activity Asemmbling ASMB UN LAP_14 Packing PCKG UN LAP_15 No Activity Save 8. Creating Routing for LAPSFG1 Upto Master Data same path RoutingsRoutingsStandard RoutingsCreate Tcode : CA01 Material : LAPSFG1 Plant : LAP1 Operations button New entries button( ) Usage : 1 (Production) Status : 4 (Released general ) Planning Work Centre : 1001 Save Operations button Operatio n WorkCentre Plant Control Key 0010 1001 LAP1 PP01 Double Click on Operation ‘0010’ 241
  • 242.
    ©SrinivasaKasireddy©+91-9959765211 Std Value UnAct. Type Machine H MCH Save 9. Creating Routing for LAPSFG2 Tcode : CA01 Material : LAPSFG2 Plant : LAP2 Operations button New entries button( ) Usage : 1 (Production) Status : 4 (Released general ) Planning Work Centre : 1002 Save Operations button Operatio n WorkCentre Plant Control Key 0010 1002 LAP2 PP01 Double Click on Operation ‘0010’ Std Value Un Act. Type Processing H PRCS Save 10. Creating Routing for LAPFG1 Tcode : CA01 Material : LAPFG1 Plant : LAP1 Operations button New Entries button( ) Usage : 1 (Production) Status : 4 (Released general ) 242
  • 243.
    ©SrinivasaKasireddy©+91-9959765211 Planning Work Centre: 1003 Save Operations button Operatio n WorkCentre Plant Control Key Units of Measure 0010 1003 LAP1 PP01 0020 1003 LAP1 PP02 UN Double Click on Operation ‘0010’ Std Value Un Act. Type Assembling UN ASMB Back button Double Click on Operation ‘0020’ Std Value Un Act. Type Packing UN PCKG External processing (Scroll down) Purchasing Info Rec. : 250 Purch. Organization : LAPO Cost Element : 1000000002 Enter Save 4. CO settings 1. Creating Tranfer Control We are using SFG from one plant as a component in FG of another plant(in the same CO- area). SFG is costed in the supplying plant and cost estimate is tranfered to receiving plant . For that we have to assign Transfer control in Costing variant. Transfer control determines how Cost estimate is tranfered from one plant to other. SPROControllingProduct Cost ControllingProduct Cost PlanningMaterial Cost Estimate with Quantity StructureCosting Variant ComponentsDefine Transfer Control Select ‘PC01’ Transfer w. Plant Change Copy As button 243
  • 244.
    ©SrinivasaKasireddy©+91-9959765211 Transfer Control LAP1Transfer w. Plant Change LAP Single-Plant tab Strategy .Seq Fiscal year No Transfer No Transfer No Transfer Cross-Plant tab Strategy .Seq Fiscal year Period-Based Transfer Current Standard Cost Estimate √ Future Standard Cost Estimate √ Enter Save 2. Assigning Transfer Control in Costing variant Same path upto Material Cost Estimate with Quantity Structure Define Costing Variants Double click on LAP1 Tranfer Control : Trnsfr w. Plant Change LAP Save 3. Creating Special Procurement Types A link can be set up between supplying plant and recieving plant with help of special procurement. Material master data is maintained in both plants. In recieving plant SPROControllingProduct Cost ControllingProduct Cost PlanningMaterial Cost Estimate with Quantity StructureSettingsfor Quantity Structure ControlMaterial DataCheck Special Procurement Types 244
  • 245.
    ©SrinivasaKasireddy©+91-9959765211 New Entries Plant :LAP1 Sp.Pr.Type : 81 Stock transfer (proc.from plant LAP2) Procurement type : E In-house production Special Procurement Special procurement :P Prod. other plant Plant : LAP2 √ Direct production Save 4. Update Additive Costs TCode : OKTZ Double click on ‘Cost Component Structure’ folder Select Cost Comp .Str ’L1 ’ Double click on ‘Cost Components with Attributes’ folder Select Cost Comp .Str ‘L1 ’ with Cost Component ‘50’ Double click on ‘Update of Additive Cost ’ folder New Entries Cost Comp .Str Cost Component Chart of Accts Cost Element L1 50 LACA 1000000002 Save Double click on ‘Cost Component Structure’ folder Cost Comp Str Active L1 √ Save 245
  • 246.
    ©SrinivasaKasireddy©+91-9959765211 5. Check Settings(for Costing Variant) Info : We can display all the applicable settings in one place for a combination of Costing Variant CompanyCode/Plant using this transaction SPROControllingProduct Cost ControllingProduct Cost PlanningBasic Settings for Material CostingCheck Settings TCode : CKC1 Costing Variant : GAC1 Company Code : LAP Plant : LAP1 Date : Version : Blank Execute (Scroll down to see all the settings that are applied) 5. MM Enduser 1. Enter Spl Proc type in Mat master LAPSFG2 in plant LAP1 TCode : MM01 Material : LAPSFG2 Enter Select ‘Costing 1’ ‘MRP2’ and ‘MRP1’views Enter Plant : LAP1 Enter MRP2 tab Procurement type : E Special procurement : 81 Costing 1 tab Quantity structure data 246
  • 247.
    ©SrinivasaKasireddy©+91-9959765211 SpecProcurem Costing :81 Save 2. Maintain OH key in Material master TCode : MM01 Material : LAPRM1 Enter Select ‘Costing 1’ view Enter Plant : LAP1 Enter Costing 1 tab Overhead Group : LAPOHG Save TCode : MM01 Material : LAPRM2 Enter Select ‘Costing 1’ view Enter Plant : LAP2 Enter Costing 1 tab Overhead Group : LAPOHG Save 6. CO Enduser 247
  • 248.
    ©SrinivasaKasireddy©+91-9959765211 1. Creating Procurementalternatives We can procure a material into a plant in different ways. For example Process Category Procurement alternatives Purchase order We can purchase the material from a vendor Vendor X Vendor Y Production We can produce in house in the same plant Prod version1 Prod version2 Production in other plant* We can produce in-house in a different plant(an SFG can be produced in a different plant ) Prod in PlantX Prod in PlantY Stock transfer* We can purchase a RM in to one plant and tranfered to other plant. From Plant1 From Plant2 *Production in other plant and Stock transfer are treated as special procurements. If we procure a material in any of these two ways , we need to maintain Procuremetn type in MRP/Costing views of the material master. In our scenario we are creating two procurement alternatives of type purchasing. Ie we can purchase the material from any of the two vendors . SAP Easy AccessControlling  Product Cost Controlling  Product Cost Planning  Material Costing Master Data for Mixed Cost Estimate  Edit Procurement Alternatives. TCode : CK91N Material : LAPRM1 Plant : LAP1 Create button Process Cat. : Purchase order Purchasing Org. : LAPO Vendor : LAPRMVNDR Cstg Lot Size : 1 Confirm button Create button Process Cat. : Purchase order Purchasing Org. : LAPO Vendor : LAPTRVNDR 248
  • 249.
    ©SrinivasaKasireddy©+91-9959765211 Cstg Lot Size: 1 Confirm button Save 2. Creating /Changing Mixing Ratios If Procurement Alternatives are available for a material , mixing ratio is used to determine which alternative is used in what proportions . For example in this scenario LAPRM1 material has two vendors with different prices ie Rs 270.00 and Rs 280.00 (Please check the Pur Info record in MM end user section ). If 50% is procured from each of the vendor, final procurement price in the cost estimate will be Rs275.00 Same path upto Master Data for Mixed Cost Estimate Mixing Ratios Create /Change TCode :CK94 Material : LAPRM1 Plant : LAP1 Mixing Ratio Period : 9 Fiscal Yr : 2015 QtyStruct. Type : MIX Enter PCat Changeable name QtyStrDate MR Mixing Ratios BB Vendor:LAPRMVNDR PurchOrg.:LAPO √ BB Vendor:LAPTRVNDR PurchOrg.:LAPO √ Save 3. Creating Unit cost estimate for Additive Costs Any costs which can not be calculated using automatic cost estimate ,can be included manually by using additive costs which is nothing but a unit cost estimate. SAP Easy Access AccountingControllingProduct Cost ControllingProduct Cost Planning Material Costing Cost Estimate with Quantity StructureAdditive CostsCreate TCode :CK74N Material : LAPFG1 Plant : LAP1 249
  • 250.
    ©SrinivasaKasireddy©+91-9959765211 Costing Data tab CostingVariant : LAP1 Costing Version : 1 Dates tab Default Values button Enter Item Category Resource Pant/Activity Quantity Description CostElement Formula 1 E 2001 PRCS Enter Save Save 4. Creating Cost Estimate for plant LAP1 and LAP2 When Cost Estimate with Quantity Structure is used there are 2 options to calculate the cost and update the price Option 1 : Option 2 : Step 1.Create Cost Estimate with Quantity Structure Tcode : CK11N Step 2. Price Update Tcode : CK24 Edit costing Run Tcode : CK40N Materials already costed (but with errors) can be recosted using this method Multiple materials can be costed at a time using this method 1. Costing Run SAP Easy Access AccountingControllingProduct Cost ControllingProduct Cost Planning Material CostingCosting RunEdit Costing Run Tcode : CK40N Create Costing Run button Costing Run : LAP Description : LAP Costing Run 250
  • 251.
    ©SrinivasaKasireddy©+91-9959765211 Costing Run Date: Today’s date Costing Variant : LAP1 Costing Version : 01 Controlling Area : LAP Company Code : LAP Enter Dates tab Costing Date From : Todays date Costing Date To : 31.9.2011 (Month End date) Quantity Structure Date : Todays Date Valuation Date : Todays Date Save Expand Processing Change Parameter button( ) In the ‘Selection’ Flowstep Material Number : LAPSFG1 , LAPSFG2, LAPFG1, Plant : LAP1, LAP2 √ Background Processing Print Log  Save Back Button Execute button in the Selection Flowstep (Status should be green) Change Parameter button In the ‘Struct. Explosion’ Flowstep √ Background Processing  Save Back Button Execute button in the ‘Struct. Explosion’ Flowstep (Status should be green) Change Parameter button In the ‘Costing’ Flowstep √ Log by Costing Level √ Background Processing  Save Back Button Execute button in the ‘Costing’ Flowstep (Status should be green) 251
  • 252.
    ©SrinivasaKasireddy©+91-9959765211 (Costing Status shouldbe ‘KA’ ie Costed Without Errors , in all levels . If any level has status ‘KF’ ie Costed With Errors , double click on the level to see complete error message) Msg :No structure could be determined for internal activity ASMB (1002) Solution : (You can ignore this msg if it is of type warning or info ) Create a primary cost component structure in OKTZ Assign cost elements to cost components Assign the cost component structure in OKEQ Change Parameter button In the ‘Analysis’ Flowstep Double click on ‘SAP&12’ Plant : blank Cost Component View : 01 √ Background Processing  Save Back Button Execute button in the ‘Analysis’ Flowstep Double Click on LAPFG1 Materails only/All Items button ( ) (To display all items) Right click on LAPFG1  Expand subtree (The following image shows what costs arises at what level ) 252
  • 253.
    ©SrinivasaKasireddy©+91-9959765211 Cost Comps button( ) Choose Layout button( )Choose Layout Select layout ‘1SAP03’ ie Total/Level/Lower level by clicking Double click on a material under costing structure (By selecting a material under the costing structure we can analyse costs at the level of the material and its lower level ) Back button Goto button ( )Itemization Back to CK40N screen Note :Do all the error corrections before going further for Marking and Releasing flow steps. Configuartional changes/corrections may not reflect in costing even when the flow steps ( Selection, Struct. Explosion , Costing , Anlaysis ) are re-executed. For Eg : If we make any changes in the costing variant , the changes will not have any effect even if we execute costing flow step again. We may have to delete the costing run and create a new costing run again. Delete Costing Run : SAP Easy Access AccountingControllingProduct Cost ControllingProduct Cost Planning EnvironmentCosting RunDelete Costing Run TCode : CK44 Costing Run : LAP Costing Run Date : √ Background Processing Execute Delete Note: Please check the period closed for the company code using TCode MMPV/MMRV before marking/releasing. Lock button for ‘Marking’ Flowstep Double Click on Company code ‘LAP’ Costing Variant : PPC1 Costing Version : 01  ‘Issue Allowance for Marking ‘ button ( =Save button) Back button 253
  • 254.
    ©SrinivasaKasireddy©+91-9959765211 Change Parameter buttonIn the ‘Marking’ Flowstep √ Test Run √ With List Output √ Background Processing  Save Back Button Execute button in the ‘Marking‘ Flowstep Back to CK40N screen Change Parameter button In the ‘Marking’ Flowstep again √ Test Run Save Back button Execute button in the ‘Marking‘ Flowstep again Double Click on LAPFG1 Costing 2 tab Make note of change in Future Planned price Back to CK40N screen Change Parameter button In the ‘Release’ Flowstep √ Test Run √ With List Output √ Background Processing  Save Back Button Execute button in the ‘Release’ Flowstep Back to CK40N screen Change Parameter button In the ‘Release’ Flowstep again √ Test Run Save Back button Execute button in the ‘Release‘ Flowstep again Double Click on LAPFG1 Costing 2 tab Make note of change in Current Planned Price and Standard Price Marking : Marking updates the future price 254
  • 255.
    ©SrinivasaKasireddy©+91-9959765211 Releasing : Releasingupdates the current price Intialize the closed period : TCode : MMPI or program RMMMINIT can be used to open the period which is closed by mistake. But this is to be done very carefully. Any material postings done in the new period will have impact if we reopen the previous period and post to it. Parameter ID MMPI_READ_NOTE with current date(YYYYMMDD) as parameter value is to be maintained in user profile(SU2) before running MMPI.(Note 487381) Error : Materials locked Solution : Use Tcode SM12 to unlock. 255