Seminar on measurements of
solar radiation, optimal
orientation of building & shadow
analysis
By
Dhanalakshmi C K
IV sem M.Tech.,
GEC,Hasssan
1
Measurements of solar radiation
The instrument which measures the solar
radiation are
1. Pyranometer
2. Pyrheliometer
3. Sunshine recorder
2
Pyranometer
• It is a type of “actionometer”
used to measure the broadband
solar irradiation on a planar
surface.
• It is a sensor i.e., designed to
measure the solar radiation
flux density (W/m3) from a
field of view of 1800.
• Also called directional
response or cosine response
• Solar radiation spectrum : 300
to 2800nm
• Pyranometers are standardized
according to ISO 9060.
3
Main componets of Pyranometer
1. Thermopile sensor with black coating
 Absorbs all solar radiations, which is converted into heat
 The heat flows through the sensor to the pyranometer
housing.
 Has a flat spectrum covering the 300 -50000nm range
 Has a near perfect cosine response
2. Glass dome:
 This dome limits the spectral response from 300-2800nm.
 Shields the thermopile sensor from convection.
4
Applications of Pyranometer
• Meteorology
• Climatology
• Solar energy studies
• Building physics
5
Pyrheliometer
• It is an instrument for measurement of
direct beam solar irradiance.
• Sunlight enters the instrument
through a window & is directed on a
thermopile which converts heat to an
electrical signal that can be recorded.
•The signal voltage is converted via a
formula to measure watts per square
meter.
•It is used with a solar tracking system
to keep the instrument aimed at the
sun.
6
Applications of Pyrheliometer
• Scientific meteorological & climate observation
• Material testing research
• Assessment of efficient of solar collector &
photovoltaic devices
7
Differences between Pyranometer &
Pyrheliometer
Pyranometer Pyrheliometer
•It is a dome like structure that measures
diffused sun energy.
•It is used in meteorological research
station.
•It doesn't measures the efficiency of solar
panels.
•It is an instrument that measure direct
sun’s energy.
•It is used in meteorological research
station.
•It helps to assessing the efficiency of
solar panels.
8
• A sunshine recorder is device
that records the amount of
sunshine at a given location.
• It is used to provide the
information about the weather
& climate of a geographical
area.
• This information is useful in
meteorology , science,
agriculture, tourism and other
fields
9
What is building orientation
• Building orientation refers to the way a
building is situated on a site and the
positioning of windows, rooflines, and other
features.
10
Conditions Orientation of building
• Solar heat gain is the important parameter in the selection of
optimal orientation of buildings. Other factors like the
direction of wind, rainfall & site conditions cannot be
overlooked while final choice of orientation.
• Most of the cases building byelaws and other regulations do
not permit in the selection of optimal orientation.
• If the best orientation is not possible for the building, it is
obtained by compromising the solar & climatic data
available for the place, site conditions & building byelaws.
• The selection of optimum orientation should be based
on the summer conditions .
11
The building orientation should be based on
• Building shape
• Room location
• Evaluation of best orientation
• Shading of windows
• Design of shading devices
12
Building shape:
• For practical evaluation of orientation for any specific
building, it is necessary to know its shape, the
location of various shading devices, and the shaded
and unshaded areas during the day.
• From this, it is possible to locate the living rooms
where other portions of the building provide shade
during summer afternoon.
• Exposed surfaces can be shaded by verandah or
overhangs
13
Room Location:
• The layout of the rooms inside the building is also
important for choosing proper orientation
• Discomfort due to ingress of excessive solar heat inside
rooms can be offset by favourable breeze during the period
of occupancy.
• Location of window inside the room should ensure desirable
wind speed and requisite ventilation.
• It has been observed by experiments that deviation up to 300
from the direction of optimum wind makes only slight
reduction in wind velocity available inside the room.
• Sun breakers and louvers on windows may also serve as
good wind scoops which may be utilized to promote indoor
ventilation.
14
Evaluation of Best Orientation:
• For best orientation, the building should receive maximum
solar radiation in winter and minimum in summer.
• Normally roofs of buildings are horizontal, hence these will
receive the same solar heat irrespective of the building
orientation.
• The total amount of solar radiation incident on different
vertical surfaces may be calculated for all possible
orientations of the building.
• For practical evaluation, it is necessary to know the duration
of sunshine and hourly solar intensity on the various
external surfaces on representative days of the seasons.
15
16
Shading of windows:
• It has been observed that heat gain through glazed window
is more as compared that through solid wall.
• The heat gain through fenestration is a function of
orientation, window area and shade factor.
• The heat gain factors for different orientation both for solid
wall and glazed window with different percentage of
shading.
• The minimum window area for a given building is mainly
worked out based upon adequate daylighting and natural
ventilation.
17
Types of Shading Devices
There are different methods of reducing solar heat gains through
glasses. Shading devices used are generally classified into three groups
• External shading, such as louvers, sunbreakers, verandahs, etc;
• Internal shading, like curtain, Venetian blind, etc;
• Translucent materials, like heat absorbing or heat reflecting glass,
plastics, painted glass, etc.
The effectiveness of these shading devices are evaluated in
terms of shade factors.
• The maximum shade factor and U values for windows has been
recommended in IS : 3792-1978.
• From this, it is evident that air-conditioned buildings need full
protection from solar heat through window. For non-air-conditioned
buildings, this requirement can be fulfilled by proper orientation and
selection of economical shading devices.
18
19
Design of Shading Devices:
• Design of external shading devices for a given percentage
of window area can be worked out with a knowledge of
solar chart and shadow angles.
• Selection of proper shading devices can be made
based on cost as well as performance standard,
both for non-air-conditioned and air-conditioned building.
20
Shadow analysis
• Shading analysis is one of the most essential steps in phase of solar
energy system design or analysis.
• In photovoltaics it is important to analyse shading caused by
surrounding objects and or vegetation. Basic calculations can be
done by some simple equations.
• Some graphical tools like solar path calculator (pilkington) are also
available. For analysis of complex objects several computer tools
are available. Some of them offer even 3D simulation.
• Shading is especially important in photovoltaics. It should be
eliminated as much as possible. Even small obstacles like chimneys,
telephone poles etc. shouldn't be neglected. To minimise influence
of photovoltaic array shading (if shading can not be avoided)
different system optimisation techniques can be used.
21
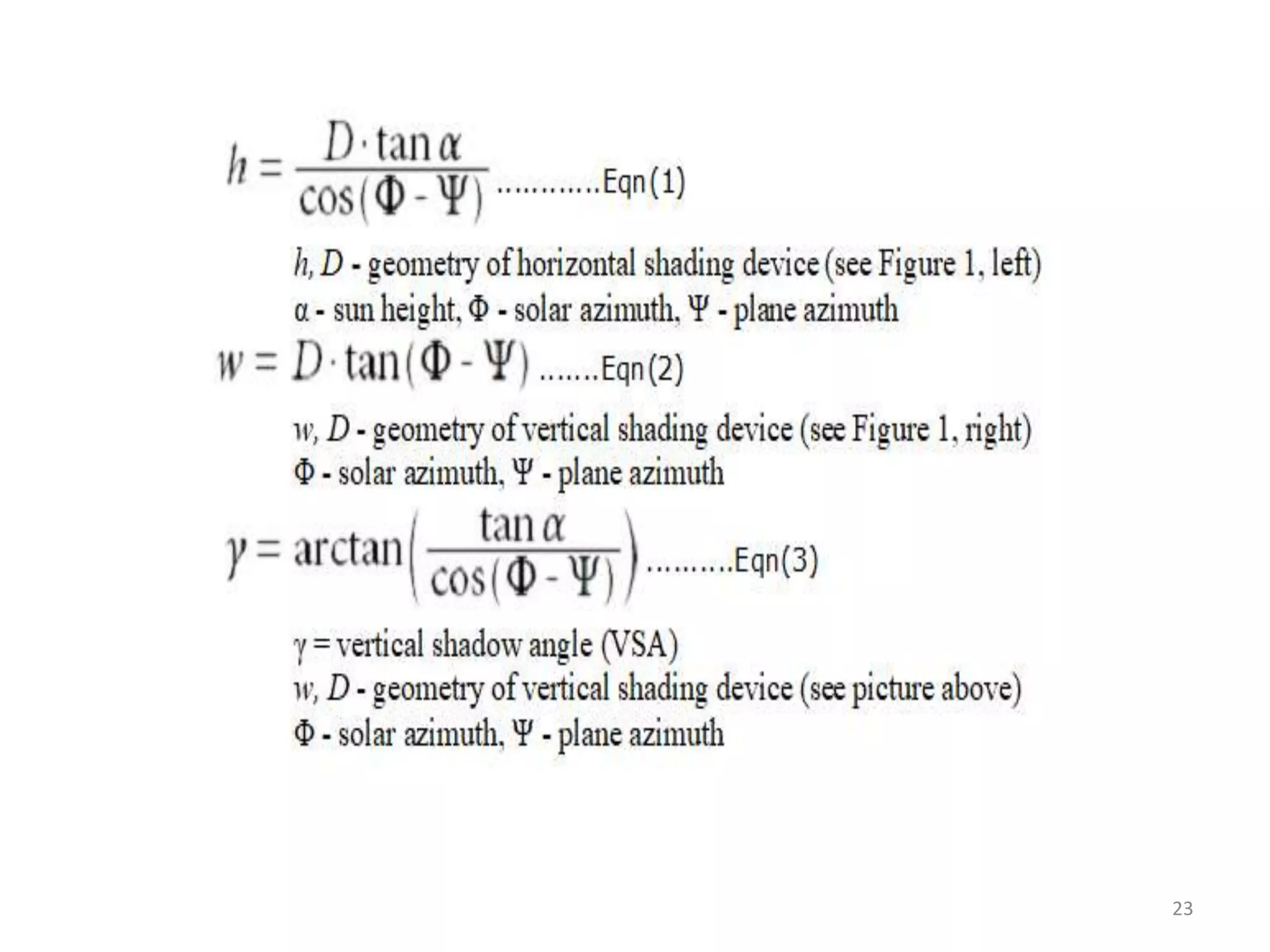
FIGURE : Horizontal shading device, overhang, side view (left)
vertical shading device, vertical fin, top view (right)
In general most of the cases, it is not difficult to calculate shadows for
particular day and time. Some of the formulae's and equations which are used to
calculate shadows for most common particular cases in engineering practice are
mentioned below
Shading devices:
22
23
Tools for shading analysis:
• Solar Pathfinder: The Solar Pathfinder has been the standard in the solar industry for solar
site analysis for decades. Its panoramic reflection of the site instantly provides a full year of
accurate solar/shade data, making it the instrument of choice.
• SunEyeTM :The Solmetric SunEye™ is a hand held electronic device that allows users to
instantly assess total potential solar energy given the shading of a particular site. Identifying
the shading pattern early in the process reduces the expense of system and home design and
improves the efficiency of the final system or house.
• Solmetric iPV: It is an iPhone® based site evaluation tool, providing full solar site analysis
in an affordable hand held package.
• HORIcatcher: HORIcatcher is an easy and fast tool to take outdoor pictures of the horizon.
The pictures can be used to determine the solar energy input, sunshine duration and sun
exposure reduced by obstacles like trees, houses or mountains. HORIcatcher is supplied with
a digital camera.
• Pilkington Sun Angle Calculator: This handy tool provides a relatively simple method of
determining solar geometry variables for architectural design
• Sonnenbahn Indikator Pro : It is a simple tool for site evaluation.
24
Software for shadow analysis
• Autodesk ECOTECT Analysis - is an industry leading building analysis program that
allows designers to work easily in 3D and apply all the tools neccesary for an energy efficient
and sustainable future.
• METEONORM - Global Meteorological Database for Solar Energy and Applied
Meteorology. METEONORM is a comprehensive climatological database for solar energy
applications: a meteorological database containing comprehensive climatological data for
solar engineering applications at all points of the globe between the polar circles; a computer
program for climatological calculations; a data source for engineering design programs in the
passive, active and photovoltaic application of solar energy with comprehensive data
interfaces; a standardization tool permitting developers and users of engineering design
programs access to a comprehensive, uniform data basis.
• Shadow Analyser - Shadow Analyzer is an advanced parametric CAD tool for professionals
in the area of Solar Energy Engineering and Architecture.
• Shadows - Shadows is a program used to design sundials and astrolabes and it is very useful
also in solar energy engineering. Supports plane sundials with polar style of any orientation
and reclination, analemmatic sundials, cylindrical and bifilar sundials. Simulates, displays and
animates the shadow of the style and offers complete ephemeris of the Sun and draws the
Solar Diagram.
25
pvPlanner- Simulation tool for planning and optimisation of photovoltaic systems using
climate and geographic data at high temporal and spatial resolution and new generation
high performance algorithms.
Amethyst ShadowFX - Amethyst ShadowFX is a sun and shadow modeling program
for architects and town planners. Amethyst ShadowFX enables you to easily generate
shadow profiles cast by buildings and other objects for any latitude, longitude and time
of year.
Sombrero- A PC-tool to calculate shadows on arbitrarily oriented surfaces. For both,
active use of solar energy (domestic hot water, photovoltaics) as well as for passive solar
architecture, shading or lighting of planes plays an important role Sombrero provides
quantitative results for the shading of collectors or windows by buildings, trees,
overhangs or the horizon.
Panorama master - with "Panorama master" you can make exact matched set of photos
- base for panorama picture.
Horizon- software simulates sun path diagrams for arbitrary latitude.
26
cont..
27

Opimal orientation1.pptx

  • 1.
    Seminar on measurementsof solar radiation, optimal orientation of building & shadow analysis By Dhanalakshmi C K IV sem M.Tech., GEC,Hasssan 1
  • 2.
    Measurements of solarradiation The instrument which measures the solar radiation are 1. Pyranometer 2. Pyrheliometer 3. Sunshine recorder 2
  • 3.
    Pyranometer • It isa type of “actionometer” used to measure the broadband solar irradiation on a planar surface. • It is a sensor i.e., designed to measure the solar radiation flux density (W/m3) from a field of view of 1800. • Also called directional response or cosine response • Solar radiation spectrum : 300 to 2800nm • Pyranometers are standardized according to ISO 9060. 3
  • 4.
    Main componets ofPyranometer 1. Thermopile sensor with black coating  Absorbs all solar radiations, which is converted into heat  The heat flows through the sensor to the pyranometer housing.  Has a flat spectrum covering the 300 -50000nm range  Has a near perfect cosine response 2. Glass dome:  This dome limits the spectral response from 300-2800nm.  Shields the thermopile sensor from convection. 4
  • 5.
    Applications of Pyranometer •Meteorology • Climatology • Solar energy studies • Building physics 5
  • 6.
    Pyrheliometer • It isan instrument for measurement of direct beam solar irradiance. • Sunlight enters the instrument through a window & is directed on a thermopile which converts heat to an electrical signal that can be recorded. •The signal voltage is converted via a formula to measure watts per square meter. •It is used with a solar tracking system to keep the instrument aimed at the sun. 6
  • 7.
    Applications of Pyrheliometer •Scientific meteorological & climate observation • Material testing research • Assessment of efficient of solar collector & photovoltaic devices 7
  • 8.
    Differences between Pyranometer& Pyrheliometer Pyranometer Pyrheliometer •It is a dome like structure that measures diffused sun energy. •It is used in meteorological research station. •It doesn't measures the efficiency of solar panels. •It is an instrument that measure direct sun’s energy. •It is used in meteorological research station. •It helps to assessing the efficiency of solar panels. 8
  • 9.
    • A sunshinerecorder is device that records the amount of sunshine at a given location. • It is used to provide the information about the weather & climate of a geographical area. • This information is useful in meteorology , science, agriculture, tourism and other fields 9
  • 10.
    What is buildingorientation • Building orientation refers to the way a building is situated on a site and the positioning of windows, rooflines, and other features. 10
  • 11.
    Conditions Orientation ofbuilding • Solar heat gain is the important parameter in the selection of optimal orientation of buildings. Other factors like the direction of wind, rainfall & site conditions cannot be overlooked while final choice of orientation. • Most of the cases building byelaws and other regulations do not permit in the selection of optimal orientation. • If the best orientation is not possible for the building, it is obtained by compromising the solar & climatic data available for the place, site conditions & building byelaws. • The selection of optimum orientation should be based on the summer conditions . 11
  • 12.
    The building orientationshould be based on • Building shape • Room location • Evaluation of best orientation • Shading of windows • Design of shading devices 12
  • 13.
    Building shape: • Forpractical evaluation of orientation for any specific building, it is necessary to know its shape, the location of various shading devices, and the shaded and unshaded areas during the day. • From this, it is possible to locate the living rooms where other portions of the building provide shade during summer afternoon. • Exposed surfaces can be shaded by verandah or overhangs 13
  • 14.
    Room Location: • Thelayout of the rooms inside the building is also important for choosing proper orientation • Discomfort due to ingress of excessive solar heat inside rooms can be offset by favourable breeze during the period of occupancy. • Location of window inside the room should ensure desirable wind speed and requisite ventilation. • It has been observed by experiments that deviation up to 300 from the direction of optimum wind makes only slight reduction in wind velocity available inside the room. • Sun breakers and louvers on windows may also serve as good wind scoops which may be utilized to promote indoor ventilation. 14
  • 15.
    Evaluation of BestOrientation: • For best orientation, the building should receive maximum solar radiation in winter and minimum in summer. • Normally roofs of buildings are horizontal, hence these will receive the same solar heat irrespective of the building orientation. • The total amount of solar radiation incident on different vertical surfaces may be calculated for all possible orientations of the building. • For practical evaluation, it is necessary to know the duration of sunshine and hourly solar intensity on the various external surfaces on representative days of the seasons. 15
  • 16.
  • 17.
    Shading of windows: •It has been observed that heat gain through glazed window is more as compared that through solid wall. • The heat gain through fenestration is a function of orientation, window area and shade factor. • The heat gain factors for different orientation both for solid wall and glazed window with different percentage of shading. • The minimum window area for a given building is mainly worked out based upon adequate daylighting and natural ventilation. 17
  • 18.
    Types of ShadingDevices There are different methods of reducing solar heat gains through glasses. Shading devices used are generally classified into three groups • External shading, such as louvers, sunbreakers, verandahs, etc; • Internal shading, like curtain, Venetian blind, etc; • Translucent materials, like heat absorbing or heat reflecting glass, plastics, painted glass, etc. The effectiveness of these shading devices are evaluated in terms of shade factors. • The maximum shade factor and U values for windows has been recommended in IS : 3792-1978. • From this, it is evident that air-conditioned buildings need full protection from solar heat through window. For non-air-conditioned buildings, this requirement can be fulfilled by proper orientation and selection of economical shading devices. 18
  • 19.
  • 20.
    Design of ShadingDevices: • Design of external shading devices for a given percentage of window area can be worked out with a knowledge of solar chart and shadow angles. • Selection of proper shading devices can be made based on cost as well as performance standard, both for non-air-conditioned and air-conditioned building. 20
  • 21.
    Shadow analysis • Shadinganalysis is one of the most essential steps in phase of solar energy system design or analysis. • In photovoltaics it is important to analyse shading caused by surrounding objects and or vegetation. Basic calculations can be done by some simple equations. • Some graphical tools like solar path calculator (pilkington) are also available. For analysis of complex objects several computer tools are available. Some of them offer even 3D simulation. • Shading is especially important in photovoltaics. It should be eliminated as much as possible. Even small obstacles like chimneys, telephone poles etc. shouldn't be neglected. To minimise influence of photovoltaic array shading (if shading can not be avoided) different system optimisation techniques can be used. 21
  • 22.
    FIGURE : Horizontalshading device, overhang, side view (left) vertical shading device, vertical fin, top view (right) In general most of the cases, it is not difficult to calculate shadows for particular day and time. Some of the formulae's and equations which are used to calculate shadows for most common particular cases in engineering practice are mentioned below Shading devices: 22
  • 23.
  • 24.
    Tools for shadinganalysis: • Solar Pathfinder: The Solar Pathfinder has been the standard in the solar industry for solar site analysis for decades. Its panoramic reflection of the site instantly provides a full year of accurate solar/shade data, making it the instrument of choice. • SunEyeTM :The Solmetric SunEye™ is a hand held electronic device that allows users to instantly assess total potential solar energy given the shading of a particular site. Identifying the shading pattern early in the process reduces the expense of system and home design and improves the efficiency of the final system or house. • Solmetric iPV: It is an iPhone® based site evaluation tool, providing full solar site analysis in an affordable hand held package. • HORIcatcher: HORIcatcher is an easy and fast tool to take outdoor pictures of the horizon. The pictures can be used to determine the solar energy input, sunshine duration and sun exposure reduced by obstacles like trees, houses or mountains. HORIcatcher is supplied with a digital camera. • Pilkington Sun Angle Calculator: This handy tool provides a relatively simple method of determining solar geometry variables for architectural design • Sonnenbahn Indikator Pro : It is a simple tool for site evaluation. 24
  • 25.
    Software for shadowanalysis • Autodesk ECOTECT Analysis - is an industry leading building analysis program that allows designers to work easily in 3D and apply all the tools neccesary for an energy efficient and sustainable future. • METEONORM - Global Meteorological Database for Solar Energy and Applied Meteorology. METEONORM is a comprehensive climatological database for solar energy applications: a meteorological database containing comprehensive climatological data for solar engineering applications at all points of the globe between the polar circles; a computer program for climatological calculations; a data source for engineering design programs in the passive, active and photovoltaic application of solar energy with comprehensive data interfaces; a standardization tool permitting developers and users of engineering design programs access to a comprehensive, uniform data basis. • Shadow Analyser - Shadow Analyzer is an advanced parametric CAD tool for professionals in the area of Solar Energy Engineering and Architecture. • Shadows - Shadows is a program used to design sundials and astrolabes and it is very useful also in solar energy engineering. Supports plane sundials with polar style of any orientation and reclination, analemmatic sundials, cylindrical and bifilar sundials. Simulates, displays and animates the shadow of the style and offers complete ephemeris of the Sun and draws the Solar Diagram. 25
  • 26.
    pvPlanner- Simulation toolfor planning and optimisation of photovoltaic systems using climate and geographic data at high temporal and spatial resolution and new generation high performance algorithms. Amethyst ShadowFX - Amethyst ShadowFX is a sun and shadow modeling program for architects and town planners. Amethyst ShadowFX enables you to easily generate shadow profiles cast by buildings and other objects for any latitude, longitude and time of year. Sombrero- A PC-tool to calculate shadows on arbitrarily oriented surfaces. For both, active use of solar energy (domestic hot water, photovoltaics) as well as for passive solar architecture, shading or lighting of planes plays an important role Sombrero provides quantitative results for the shading of collectors or windows by buildings, trees, overhangs or the horizon. Panorama master - with "Panorama master" you can make exact matched set of photos - base for panorama picture. Horizon- software simulates sun path diagrams for arbitrary latitude. 26 cont..
  • 27.