Ontology modelling
and the semantic web
Asgeir Rekkavik
Deichmanske bibliotek
What does the word
semantic mean?
• Semantics: The branch of linguistics
concerned with meaning.
(Shorter Oxford English dictionary)

• Semantics is the study of meaning.
(Wikipedia 2013-10-16)
I love you
I♥ U
Different syntax, same semantics
What does ontology mean?
• Ontology: The science or study of being.
(Shorter Oxford English dictionary)

• In computer science and information science,
an ontology formally represents knowledge
as a set of concepts within a domain, and the
relationships between those concepts.
(Wikipedia 2013-10-16)
What does ontology mean?
• The world can be described in many different
ways: e.g. language, art etc.
• An ontology describes the world in a way that is
formal, structured and unambiguous.
• Why? Because we want to describe it to
computers.
Ann and Becky are sisters
Ann and Becky are mothers
Taxonomies
Taxonomies
• Hierarchical classification
• Characteristics
•
•
•
•

Generic relations (’is-a’ relations)
Directed graph
Nodes represent categories
Arrows represent broader/narrower relations

• Especially known from biology. Developed
by Carl von Linné.
Taxonomies
Transitive relations
• If A is related to B and B is related to C,
then A is related to C
• Examples:
• If Ann is younger than Bob and Bob is younger
than Carl, then Ann is younger than Carl
• If a wolf is a mammal and a mammal is an
animal, then a wolf is an animal.
Transitive relations
• Other transitive relations can exist between
concepts, e.g. ’part-of’ relations
Different types of relations
• Generic (’is-a’, e.g. Cat - Animal)
• Partitive (’part-of’, e.g. Oslo - Norway)
• Instance (e.g. Socrates - Philospher)
• Equivalence (e.g. Dove – Pigeon)
• Associative (’the rest’)
Thesaurus
• Concepts are represented by terms
• Certain types of relations between concepts
are formalized:
• Generic, partitive and instance relations are all
formalized as ’broader / narrower’
• Equivalence relations are formalized as ’use% /
use for ’
• Some associative relations are formalized as
’see also:’
Thesaurus hierarchy
Thesaurus
• Solar systems
NT: Planets
• Planets
BT: Solar systems
NT: Gas giants
• Gas giants
BT: Planets
NT: Jupiter
• Jupiter
BT: Gas giants
Protégé
• Free, open source ontology editor
• Developed by Stanford University and the
University of Manchester
• Available from:
http://protege.stanford.edu
Ontology – key concepts
• Classes
• Instances (individuals)
• Properties
Classes
• Represent categories, sets of individual
instances
• Are related to eachother through parentchild relationships (superclass-subclass)
• Only generic ’is a’-relations are allowed
• Unlike in a taxonomy, multiple inheritence
is allowed.
Generic class hierarchy
Generic class hierarchy
Properties of classes
• Classes can be:
• Disjoint
(if n is a member of A, n is not a member of B)
(e.g. if Robin is a girl, then Robin is not a boy)
• Equivalent
(if n is a member of A, n is also a member of B and
if n is a member of B, n is also a member of A)
(e.g. Firstgraders ≡ Pupils born in 2007)
Exercise
Create a taxonomy with these classes:
•
•
•
•
•
•
•
•
•
•

Bicycle
Boat
Bulldog
Car
Cat
Colour
Dog
Dolphin
Flower
Man

•
•
•
•
•
•
•
•
•
•

Oak
Person
Pet
Pinetree
Plant
Puppy
Rose
Whale
Woman
Zebra
Instances
• Individual entities that can populate any
number of classes.
• An instance that is a member of a class, is
necessarily also a member of all its
superclasses.
Exercise
Create these instances:
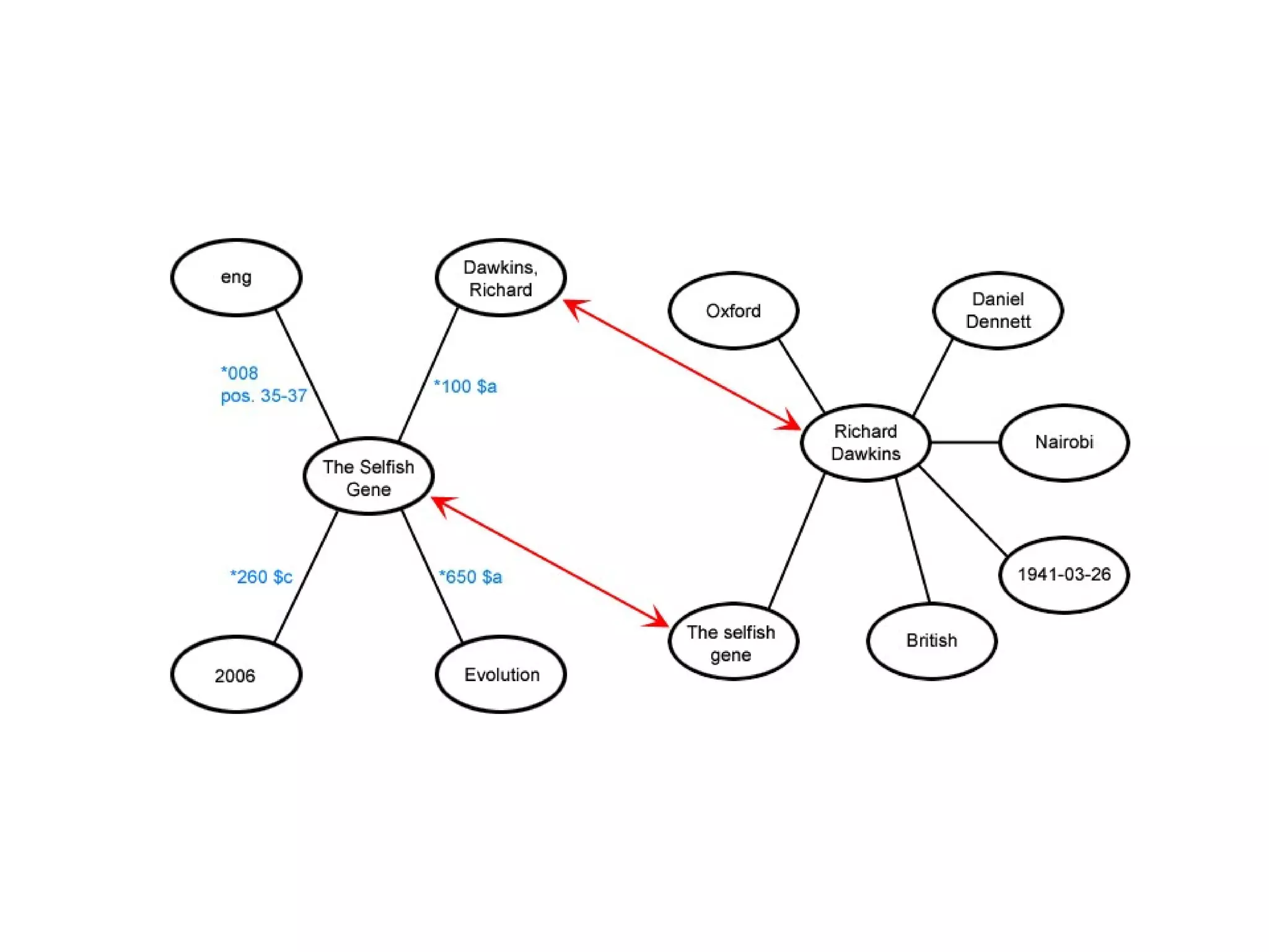
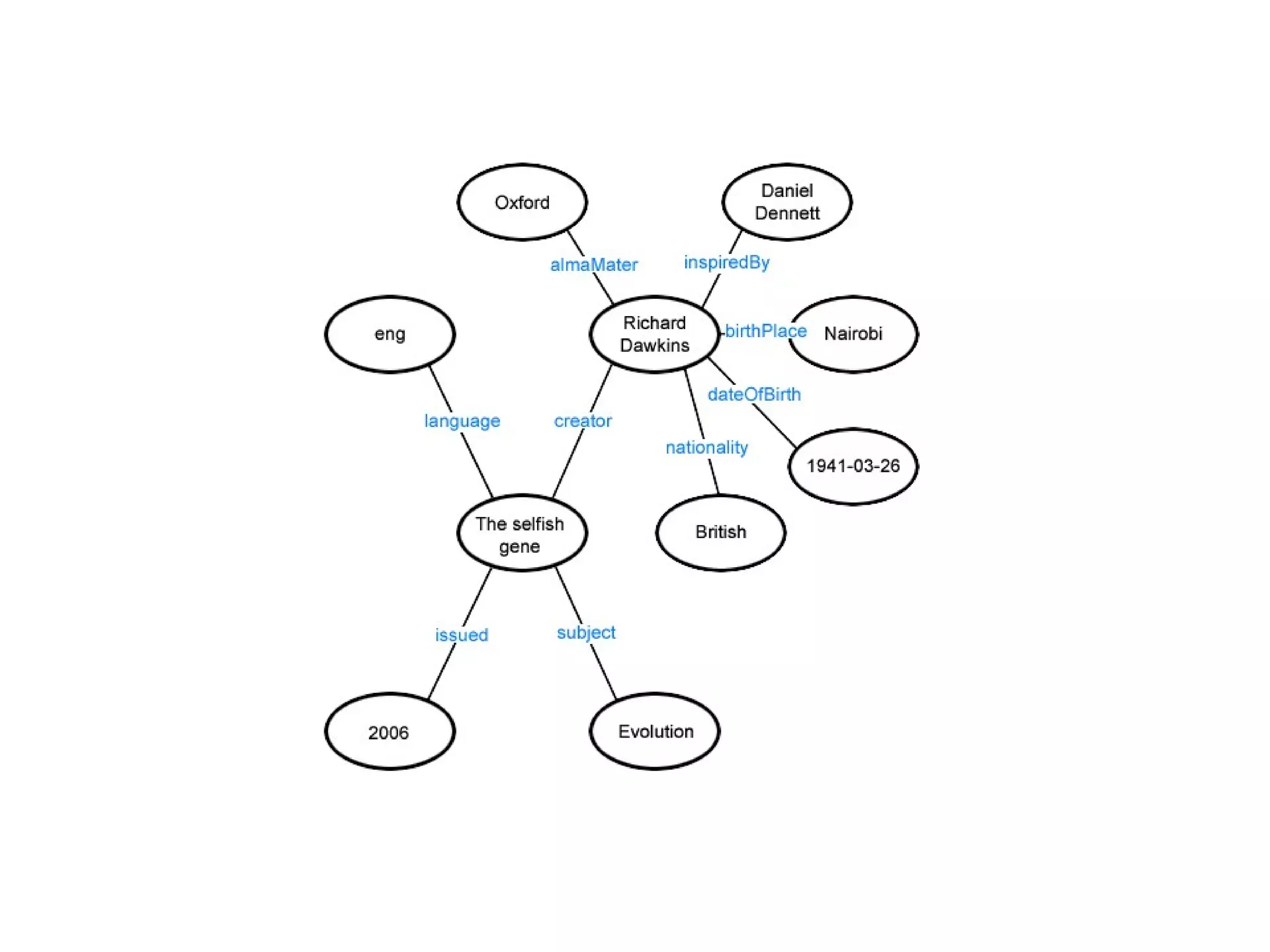
The semantic triple
• A semantic triple is a statement consisting
of three parts:
• an instance (subject)
• a property that refers to that instance
(predicate)
• a value for that property (object)

George likes chocolate
s
p
o
Properties
• The instances are described through properties.
• There are two different types of properties:
• Object property:
• Takes another instance as value
• e.g. Alice knows Fred
• Datatype property
• Takes a distinct datatype value, like a number, a string etc.
• e.g. King Harald has year of birth 1937

• The property is the ”predicate” in the semantic triple.
Domain and Range
• The domain and range of a property determine
what kind of instances it can be used for and what
kind of values it can have.
• Domain
• The class, whose instances can have the property
• If domain is not set, domain=Thing

• Range
• The class, whose instances can be value for an object
property
• The type of data that is allowed as value for a datatype
property
Properties of properties
• Properties can be:
• symmetric
(Martin has cousin Thomas) ⇔ (Thomas has cousin Martin)

• asymmetric
(Martin is father of Rosie) ⇒ (Rosie can not be father of Martin)

• inverse
(Martin is parent of Rosie) ⇔ (Rosie is child of Martin)
• transitive
(Rosie descends from Martin) and (Martin descends from Emma)
⇒ (Rosie descends from Emma)

• functional (can have only one value)
• inverse functional (value can be held by only one instance)
• reflexive (instance takes itself as a value)
Exercise
Object properties
• Create the following object properties
• owns
• ownedBy
• hasNeighbour

• Set domain and range
• Connect instances, so that:

• Mr. Taylor owns Duchess
• Mrs. Robertson owns Lassie
• Mr. Taylor and Mrs. Robertson are neighbours
Restrictions
• Classes can be populated according to rules
called restrictions.
• This is done by expressing that a class is
equivalent to a certain set of instances.
• The set can be defined by
• combining other classes with and/or/not
operators
• using criteria based on desired properties for
the instances
Restrictions
• Add new class LivingThing
• Use class expression editor to express
equivalence relation:
LivingThing

≡

Animal or Plant or Person
•
•
•
•

Add the class Gender
Add the individuals Male and Female
Add the property hasGender, domain: LivingThing
Express that:
•
•
•
•
•
•

Lassie is female
Duchess is female
Moby Dick is male
Mr. Taylor is male
Mrs. Robertson is female
Thomas O’Malley is male
• Add classes FemaleBeing and MaleBeing
• Use class expression editor to express
equivalence relations:
FemaleBeing ≡
MaleBeing
≡
Pet

≡

hasGender value Female
hasGender value Male

Animal and ownedBy some Person
What about this?

WildAnimal ≡

Animal and not (ownedBy some Person)
Open world assumption
• The truth-value of an assumption does not
depend on whether it is known or not
• The absence of a statement therefore does
not count as a negation of that statement
• Statements:
• Mary is a woman
• George is a man
• Mary is an American citizen

• Question:
• Is George an American citizen?

• Answers
• Closed world assumption:
• Open world assumption:

"No"
"Unknown"
Example ontologies
• Dublin Core metadata terms
http://purl.org/dc/terms/

• Bibo (Bibliographic ontology)
http://purl.org/ontology/bibo/

• Core FRBR
http://purl.org/spar/frbr/

• FOAF (Friend of a friend)
http://xmlns.com/foaf/spec/

Ontology modelling and the semantic web

  • 1.
    Ontology modelling and thesemantic web Asgeir Rekkavik Deichmanske bibliotek
  • 2.
    What does theword semantic mean? • Semantics: The branch of linguistics concerned with meaning. (Shorter Oxford English dictionary) • Semantics is the study of meaning. (Wikipedia 2013-10-16)
  • 3.
    I love you I♥U Different syntax, same semantics
  • 9.
    What does ontologymean? • Ontology: The science or study of being. (Shorter Oxford English dictionary) • In computer science and information science, an ontology formally represents knowledge as a set of concepts within a domain, and the relationships between those concepts. (Wikipedia 2013-10-16)
  • 10.
    What does ontologymean? • The world can be described in many different ways: e.g. language, art etc. • An ontology describes the world in a way that is formal, structured and unambiguous. • Why? Because we want to describe it to computers.
  • 11.
    Ann and Beckyare sisters Ann and Becky are mothers
  • 12.
  • 13.
    Taxonomies • Hierarchical classification •Characteristics • • • • Generic relations (’is-a’ relations) Directed graph Nodes represent categories Arrows represent broader/narrower relations • Especially known from biology. Developed by Carl von Linné.
  • 14.
  • 15.
    Transitive relations • IfA is related to B and B is related to C, then A is related to C • Examples: • If Ann is younger than Bob and Bob is younger than Carl, then Ann is younger than Carl • If a wolf is a mammal and a mammal is an animal, then a wolf is an animal.
  • 16.
    Transitive relations • Othertransitive relations can exist between concepts, e.g. ’part-of’ relations
  • 17.
    Different types ofrelations • Generic (’is-a’, e.g. Cat - Animal) • Partitive (’part-of’, e.g. Oslo - Norway) • Instance (e.g. Socrates - Philospher) • Equivalence (e.g. Dove – Pigeon) • Associative (’the rest’)
  • 18.
    Thesaurus • Concepts arerepresented by terms • Certain types of relations between concepts are formalized: • Generic, partitive and instance relations are all formalized as ’broader / narrower’ • Equivalence relations are formalized as ’use% / use for ’ • Some associative relations are formalized as ’see also:’
  • 19.
  • 20.
    Thesaurus • Solar systems NT:Planets • Planets BT: Solar systems NT: Gas giants • Gas giants BT: Planets NT: Jupiter • Jupiter BT: Gas giants
  • 21.
    Protégé • Free, opensource ontology editor • Developed by Stanford University and the University of Manchester • Available from: http://protege.stanford.edu
  • 22.
    Ontology – keyconcepts • Classes • Instances (individuals) • Properties
  • 23.
    Classes • Represent categories,sets of individual instances • Are related to eachother through parentchild relationships (superclass-subclass) • Only generic ’is a’-relations are allowed • Unlike in a taxonomy, multiple inheritence is allowed.
  • 24.
  • 25.
  • 26.
    Properties of classes •Classes can be: • Disjoint (if n is a member of A, n is not a member of B) (e.g. if Robin is a girl, then Robin is not a boy) • Equivalent (if n is a member of A, n is also a member of B and if n is a member of B, n is also a member of A) (e.g. Firstgraders ≡ Pupils born in 2007)
  • 27.
    Exercise Create a taxonomywith these classes: • • • • • • • • • • Bicycle Boat Bulldog Car Cat Colour Dog Dolphin Flower Man • • • • • • • • • • Oak Person Pet Pinetree Plant Puppy Rose Whale Woman Zebra
  • 28.
    Instances • Individual entitiesthat can populate any number of classes. • An instance that is a member of a class, is necessarily also a member of all its superclasses.
  • 30.
  • 31.
    The semantic triple •A semantic triple is a statement consisting of three parts: • an instance (subject) • a property that refers to that instance (predicate) • a value for that property (object) George likes chocolate s p o
  • 36.
    Properties • The instancesare described through properties. • There are two different types of properties: • Object property: • Takes another instance as value • e.g. Alice knows Fred • Datatype property • Takes a distinct datatype value, like a number, a string etc. • e.g. King Harald has year of birth 1937 • The property is the ”predicate” in the semantic triple.
  • 37.
    Domain and Range •The domain and range of a property determine what kind of instances it can be used for and what kind of values it can have. • Domain • The class, whose instances can have the property • If domain is not set, domain=Thing • Range • The class, whose instances can be value for an object property • The type of data that is allowed as value for a datatype property
  • 38.
    Properties of properties •Properties can be: • symmetric (Martin has cousin Thomas) ⇔ (Thomas has cousin Martin) • asymmetric (Martin is father of Rosie) ⇒ (Rosie can not be father of Martin) • inverse (Martin is parent of Rosie) ⇔ (Rosie is child of Martin) • transitive (Rosie descends from Martin) and (Martin descends from Emma) ⇒ (Rosie descends from Emma) • functional (can have only one value) • inverse functional (value can be held by only one instance) • reflexive (instance takes itself as a value)
  • 39.
    Exercise Object properties • Createthe following object properties • owns • ownedBy • hasNeighbour • Set domain and range • Connect instances, so that: • Mr. Taylor owns Duchess • Mrs. Robertson owns Lassie • Mr. Taylor and Mrs. Robertson are neighbours
  • 40.
    Restrictions • Classes canbe populated according to rules called restrictions. • This is done by expressing that a class is equivalent to a certain set of instances. • The set can be defined by • combining other classes with and/or/not operators • using criteria based on desired properties for the instances
  • 41.
    Restrictions • Add newclass LivingThing • Use class expression editor to express equivalence relation: LivingThing ≡ Animal or Plant or Person
  • 42.
    • • • • Add the classGender Add the individuals Male and Female Add the property hasGender, domain: LivingThing Express that: • • • • • • Lassie is female Duchess is female Moby Dick is male Mr. Taylor is male Mrs. Robertson is female Thomas O’Malley is male
  • 43.
    • Add classesFemaleBeing and MaleBeing • Use class expression editor to express equivalence relations: FemaleBeing ≡ MaleBeing ≡ Pet ≡ hasGender value Female hasGender value Male Animal and ownedBy some Person
  • 44.
    What about this? WildAnimal≡ Animal and not (ownedBy some Person)
  • 45.
    Open world assumption •The truth-value of an assumption does not depend on whether it is known or not • The absence of a statement therefore does not count as a negation of that statement
  • 46.
    • Statements: • Maryis a woman • George is a man • Mary is an American citizen • Question: • Is George an American citizen? • Answers • Closed world assumption: • Open world assumption: "No" "Unknown"
  • 47.
    Example ontologies • DublinCore metadata terms http://purl.org/dc/terms/ • Bibo (Bibliographic ontology) http://purl.org/ontology/bibo/ • Core FRBR http://purl.org/spar/frbr/ • FOAF (Friend of a friend) http://xmlns.com/foaf/spec/