Lecture 4 : Asymptotic Notations
Jayavignesh T
Asst Professor
SENSE
How to calculate running time then?
for (i=0; i < n ; i ++) // 1 ; n+1 ; n times
{
for (j=0; j < n ; j ++) // n ; n(n+1) ; n(n)
{
c[i][j] = a[i][j] + b[i][j];
}
}
3n2+4n+ 2 = O(n2)
Analysis – Insertion Sort
Insertion Sort – Tracing Input
Analysis – Insertion Sort
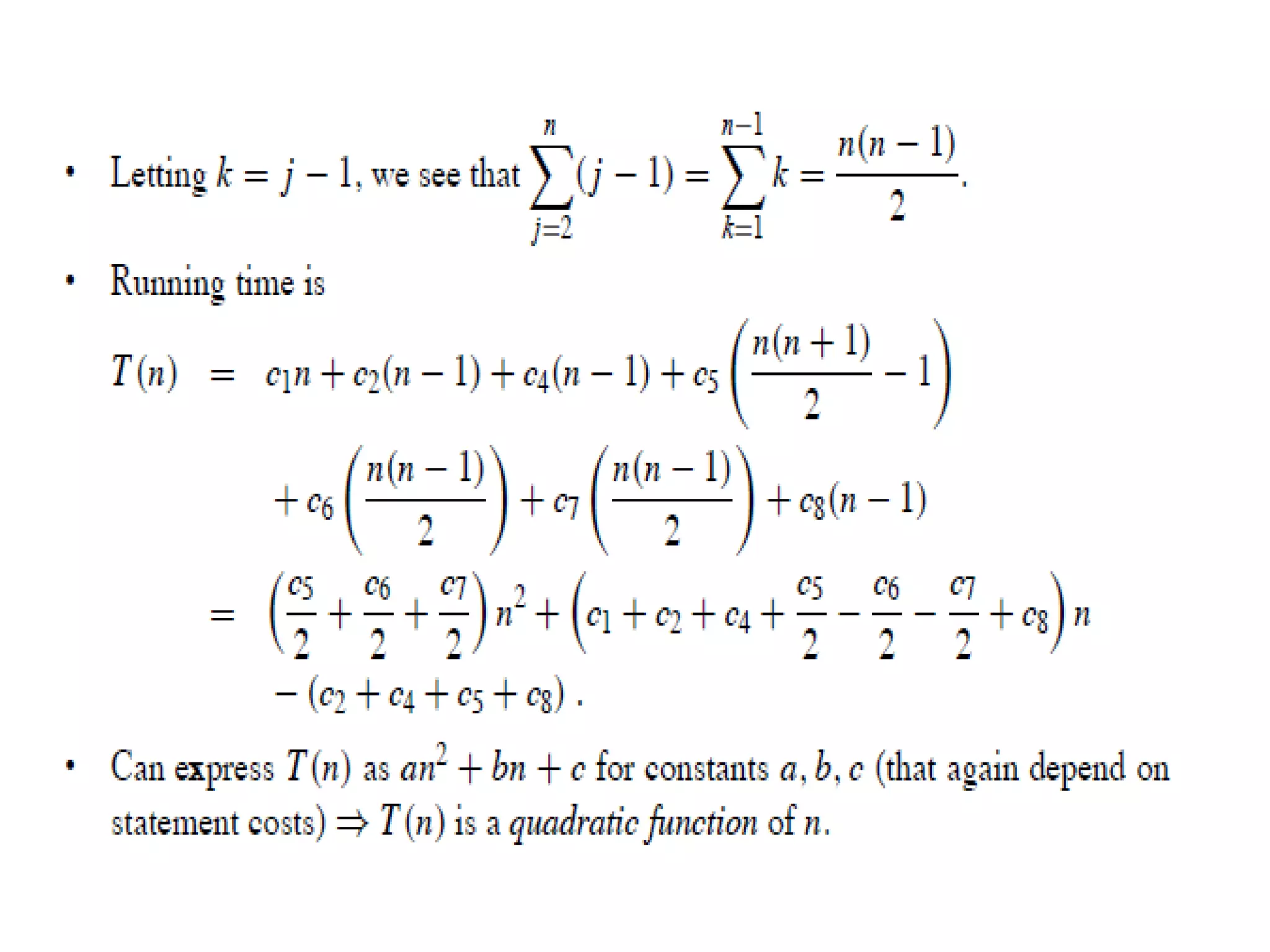
• Assume that the i th line takes time ci , which is a constant.
(Since the third line is a comment, it takes no time.)
• For j = 2, 3, . . . , n, let tj be the number of times that the
while loop test is executed for that value of j .
• Note that when a for or while loop exits in the usual way -
due to the test in the loop header - the test is executed
one time more than the loop body.
Analysis – Insertion Sort – Running time
Best case Analysis
Worst case Analysis
Average Case
Importance of Constants during Algorithmic
Analysis
• Problem Size gets sufficiently large, lower order
terms and constants do not matter and are dropped
• Two Algorithms may have same Big-Oh Time
Complexity even if one is faster than other
• Algorithm 1 : N2 time
• Algorithm 2 : 10N2 + N
– Both these algorithms time is O(N2) but Alg 1 faster.
• Constants do not matter when algorithm scales?
Linear Time vs Quadratic Time
2 Algorithms have different Big-Oh time complexity, constants & lower order terms
matter only when problem size is small.
What is Asymptote?
• Provides a behavior in respect of other function for
varying value of input size.
• An asymptote is a line or curve that a graph
approaches but does not intersect.
• An asymptote of a curve is a line in such a way that
distance between curve and line approaches zero
towards large values or infinity.
Asymptotic Notations
• Asymptotic notations (as n tends to ∞)
– used to express the running time of an algorithm in terms
of function, whose domain is the set of natural numbers
N={1,2,3,…..}.
• Asymptotic notation gives the rate of growth,
– i.e. performance of the run time for “sufficiently large
input sizes” (as n tends to infinity)
• Easier to predict bounds for the algorithm than to
predict an exact speed.
– Short-hand way to represent fastest possible, slowest
possible running times of algorithm using high and low
bounds on speed.
Asymptotic Notations contd..
• O (Big – Oh)
– This notation is used to express Upper bound (maximum
steps) required to solve a problem
– Worst case growth of algorithm
• Ω (Big – Omega)
– To express Lower bound i.e. minimum (at least) steps
required to solve a problem
– Best case growth of algorithm
• Θ (Big - Theta)
– To express both Upper & Lower bound, also called tight
bound
– (i.e. Average case) on a function
Asymptotic Order of Growth
• A way of comparing functions that ignores constant
factors and small input sizes
• O(g(n)): class of functions f(n) that grow no faster
than g(n)
• Θ(g(n)): class of functions f(n) that grow at same
rate as g(n)
• Ω(g(n)): class of functions f(n) that grow at least as
fast as g(n)
Why are asymptotic notations important?
• They give a simple characterization of an algorithm’s
efficiency.
• They allow the comparison of the performances of
various algorithms.
• For large values of components/inputs, the
multiplicative constants and lower order terms of an
exact running time are dominated by the effects of
the input size (the number of components).
Asymptotic – Summary
• A way to describe behavior of functions in the limit.
• Describe growth of functions.
• Focus on what’s important by abstracting away low order
terms and constant factors.
• Indicate running times of algorithms.
• A way to compare “sizes” of functions.
• Examples: – n steps vs. n+5 steps, – n steps vs. n2 steps
• Running time of an algorithm as a function of input size n for
large n.
• Expressed using only the highest-order term in the expression
for the exact running time.
Asymptotic Notations..
Asymptotic Notations..
Problems – Big Oh, Big Omega, Big Thetha
• First two functions are linear and hence have a lower order
of growth than g(n) = n2, while the last one is quadratic and
hence has the same order of growth as n2
• Functions n3 and 0.00001n3 are both cubic and hence have a
higher order of growth than n2, and so has the fourth-
degree polynomial n4 + n + 1
Problems – Big Oh, Big Omega, Big Thetha
• Ω(g(n)), stands for the set of all functions with a higher or
same order of growth as g(n) (to within a constant multiple,
as n goes to infinity).
• Θ(g(n)) is the set of all functions that have the same order of
growth as g(n) (to within a constant multiple, as n goes to
infinity). Every quadratic function an2 + bn + c with a > 0 is in
Θ(n2).
Exercise

Lecture 4 asymptotic notations

  • 1.
    Lecture 4 :Asymptotic Notations Jayavignesh T Asst Professor SENSE
  • 2.
    How to calculaterunning time then? for (i=0; i < n ; i ++) // 1 ; n+1 ; n times { for (j=0; j < n ; j ++) // n ; n(n+1) ; n(n) { c[i][j] = a[i][j] + b[i][j]; } } 3n2+4n+ 2 = O(n2)
  • 3.
  • 4.
    Insertion Sort –Tracing Input
  • 5.
    Analysis – InsertionSort • Assume that the i th line takes time ci , which is a constant. (Since the third line is a comment, it takes no time.) • For j = 2, 3, . . . , n, let tj be the number of times that the while loop test is executed for that value of j . • Note that when a for or while loop exits in the usual way - due to the test in the loop header - the test is executed one time more than the loop body.
  • 6.
    Analysis – InsertionSort – Running time
  • 7.
  • 10.
  • 11.
  • 13.
    Importance of Constantsduring Algorithmic Analysis • Problem Size gets sufficiently large, lower order terms and constants do not matter and are dropped • Two Algorithms may have same Big-Oh Time Complexity even if one is faster than other • Algorithm 1 : N2 time • Algorithm 2 : 10N2 + N – Both these algorithms time is O(N2) but Alg 1 faster. • Constants do not matter when algorithm scales?
  • 14.
    Linear Time vsQuadratic Time 2 Algorithms have different Big-Oh time complexity, constants & lower order terms matter only when problem size is small.
  • 15.
    What is Asymptote? •Provides a behavior in respect of other function for varying value of input size. • An asymptote is a line or curve that a graph approaches but does not intersect. • An asymptote of a curve is a line in such a way that distance between curve and line approaches zero towards large values or infinity.
  • 17.
    Asymptotic Notations • Asymptoticnotations (as n tends to ∞) – used to express the running time of an algorithm in terms of function, whose domain is the set of natural numbers N={1,2,3,…..}. • Asymptotic notation gives the rate of growth, – i.e. performance of the run time for “sufficiently large input sizes” (as n tends to infinity) • Easier to predict bounds for the algorithm than to predict an exact speed. – Short-hand way to represent fastest possible, slowest possible running times of algorithm using high and low bounds on speed.
  • 18.
    Asymptotic Notations contd.. •O (Big – Oh) – This notation is used to express Upper bound (maximum steps) required to solve a problem – Worst case growth of algorithm • Ω (Big – Omega) – To express Lower bound i.e. minimum (at least) steps required to solve a problem – Best case growth of algorithm • Θ (Big - Theta) – To express both Upper & Lower bound, also called tight bound – (i.e. Average case) on a function
  • 19.
    Asymptotic Order ofGrowth • A way of comparing functions that ignores constant factors and small input sizes • O(g(n)): class of functions f(n) that grow no faster than g(n) • Θ(g(n)): class of functions f(n) that grow at same rate as g(n) • Ω(g(n)): class of functions f(n) that grow at least as fast as g(n)
  • 20.
    Why are asymptoticnotations important? • They give a simple characterization of an algorithm’s efficiency. • They allow the comparison of the performances of various algorithms. • For large values of components/inputs, the multiplicative constants and lower order terms of an exact running time are dominated by the effects of the input size (the number of components).
  • 21.
    Asymptotic – Summary •A way to describe behavior of functions in the limit. • Describe growth of functions. • Focus on what’s important by abstracting away low order terms and constant factors. • Indicate running times of algorithms. • A way to compare “sizes” of functions. • Examples: – n steps vs. n+5 steps, – n steps vs. n2 steps • Running time of an algorithm as a function of input size n for large n. • Expressed using only the highest-order term in the expression for the exact running time.
  • 26.
  • 27.
  • 29.
    Problems – BigOh, Big Omega, Big Thetha • First two functions are linear and hence have a lower order of growth than g(n) = n2, while the last one is quadratic and hence has the same order of growth as n2 • Functions n3 and 0.00001n3 are both cubic and hence have a higher order of growth than n2, and so has the fourth- degree polynomial n4 + n + 1
  • 30.
    Problems – BigOh, Big Omega, Big Thetha • Ω(g(n)), stands for the set of all functions with a higher or same order of growth as g(n) (to within a constant multiple, as n goes to infinity). • Θ(g(n)) is the set of all functions that have the same order of growth as g(n) (to within a constant multiple, as n goes to infinity). Every quadratic function an2 + bn + c with a > 0 is in Θ(n2).
  • 31.