ĐẠI HỌC QUỐC GIA THÀNH PHỐ HỒ CHÍ MINH
TRƯỜNG ĐẠI HỌC BÁCH KHOA
Nguyễn Hữu Lộc
Giáo trình
QUY HOẠCH VÀ PHÂN TÍCH
THỰC NGHIỆM
NHÀ XUẤT BẢN ĐẠI HỌC QUỐC GIA
THÀNH PHỐ HỒ CHÍ MINH - 2021
3
MỤC LỤC
LỜI NÓI ĐẦU 7
BẢNG ĐỐI CHIẾU THUẬT NGỮ ANH – VIỆT VÀ KÝ HIỆU 9
Chương 1 GIỚI THIỆU 15
1.1. Các bài toán quy hoạch thực nghiệm 16
1.2. Trình tự thực hiện quy hoạch thực nghiệm 18
1.3. Các đại lượng ngẫu nhiên 19
Chương 2 XỬ LÝ CÁC KẾT QUẢ THỐNG KÊ BAN ĐẦU
VÀ CHỌN MÔ HÌNH PHƯƠNG TRÌNH HỒI QUY 24
2.1. Khái niệm 25
2.2. Giá trị trung bình và độ lệch chuẩn 25
2.3. Tính khoảng tin cậy của kỳ vọng 33
2.4. Xác định số thí nghiệm lặp 37
2.5. Loại bỏ các quan sát có sai số lớn 38
2.6. Kiểm tra giả thuyết về tính đồng nhất hai phương sai 39
2.7. Kiểm tra tính đồng nhất vài phương sai theo mẫu có số lượng
giống nhau 41
2.8. Kiểm tra tính đồng nhất các phương sai theo mẫu có số lượng
khác nhau 43
2.9. Phân tích tương quan 45
2.10. Chọn mô hình phương trình hồi quy 53
2.11. Sử dụng Minitab xử lý dữ liệu thống kê 54
Bài tập 68
Chương 3 PHƯƠNG TRÌNH BÌNH PHƯƠNG NHỎ NHẤT 79
3.1. Phương trình bậc nhất với một nhân tố 81
3.2. Phương trình hồi quy bậc cao cho một nhân tố 85
3.3. Phương pháp bình phương nhỏ nhất nhiều nhân tố 89
3.4. Phương trình hồi quy nhiều nhân tố dạng ma trận 95
3.5. Phương trình hồi quy dạng đa thức bậc cao 99
3.6. Phương trình hồi quy có dạng bất kỳ được tuyến tính hóa 100
3.7. Sử dụng Minitab 103
Bài tập 107
4
Chương 4 PHÂN TÍCH PHƯƠNG SAI (ANOVA)
PHƯƠNG TRÌNH HỒI QUY 113
4.1. Phương sai tái hiện 114
4.2. Đánh giá độ chính xác, ý nghĩa các hệ số phương trình hồi quy
và phân tích kết quả 118
4.3. Kiểm tra tính thích hợp phương trình hồi quy 122
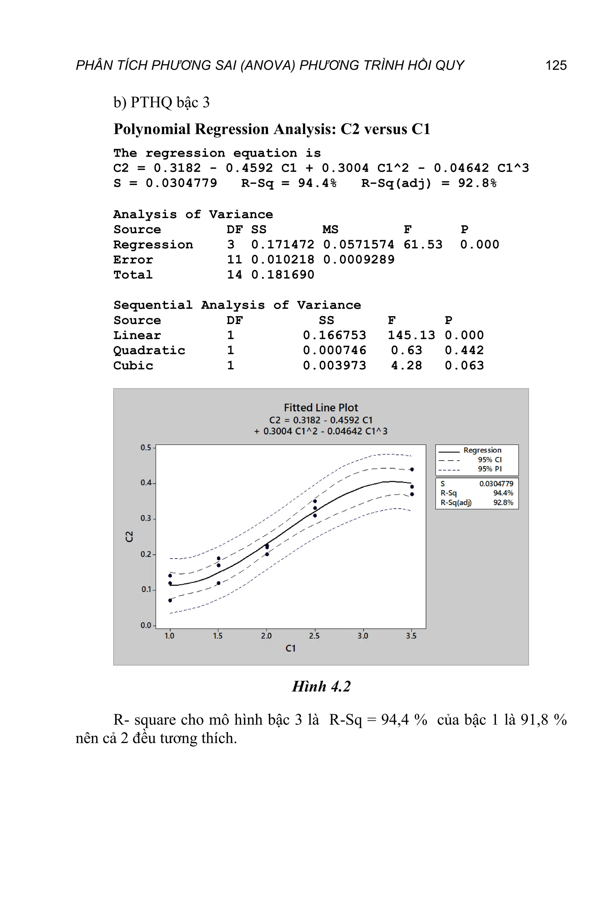
4.4. Ví dụ xử lý kết quả nghiên cứu thực nghiệm 126
4.5. R bình phương (R-Square) 131
Bài tập 133
Chương 5 QUY HOẠCH THỰC NGHIỆM TOÀN PHẦN VÀ
RIÊNG PHẦN 134
5.1. Quy hoạch thực nghiệm nhân tố toàn phần (TNT) 135
5.2. Tính toán hệ số hồi quy 141
5.3. Tính tương tác các nhân tố theo kết quả TNT 2k
145
5.4. Phân tích thống kê mô hình hồi quy thu được theo TNT 148
5.5. Thực nghiệm nhân tố riêng phần (TNR) 153
5.6. Thực hiện TNT và TNR khi có sai lệch giá trị các mức nhân tố
với các giá trị cho trước 167
5.7. Ứng dụng thực nghiệm nhân tố toàn phần trong thiết kế 170
5.8. Ví dụ sử dụng Minitab 172
Bài tập 185
Chương 6 QUY HOẠCH THỰC NGHIỆM BẬC 2 189
6.1. Giới thiệu 190
6.2. Quy hoạch hỗn hợp đối xứng bậc 2 dạng FCCCD 191
6.3. Quy hoạch hỗn hợp bậc 2 quay đều 214
6.4. Quy hoạch hỗn hợp bậc 2 trực giao 227
6.5. Quy hoạch đối xứng không hỗn hợp Box-Behnken 238
6.6. Quy hoạch đối xứng không hỗn hợp dạng D 249
6.7. Quy hoạch thực nghiệm bậc 2 dạng 3k
260
6.8. Xác định số thí nghiệm lặp từ độ chính xác cho trước
phương trình hồi quy 273
6.9. Phân tích mặt đáp ứng 277
6.10. Quy hoạch thực nghiệm bậc 2 trong thiết kế 279
6.11. Sử dụng Minitab trong quy hoạch thực nghiệm bậc 2 278
5
Bài tập 293
Chương 7 PHƯƠNG PHÁP TAGUCHI 302
7.1. Giới thiệu 303
7.2. Ma trận quy hoạch theo phương pháp Taguchi 307
7.3. Sử dụng Minitab 313
7.4. Các ví dụ ứng dụng phương pháp Taguchi 315
Bài tập 324
Chương 8 QUY HOẠCH HỖN HỢP THÀNH PHẦN – TÍNH CHẤT 326
8.1. Giới thiệu 327
8.2. Quy hoạch Simplex Lattice 329
8.3. Quy hoạch Simplex Centroid 336
8.4. Quy hoạch Simplex Axial 339
8.5. Quy hoạch Extreme Vertex 341
8.6. Quy hoạch thực nghiệm tối ưu 348
Bài tập 349
Chương 9 QUY HOẠCH THỰC NGHIỆM CHỌN LỌC 350
9.1. Quy hoạch thực nghiệm bão hòa 351
9.2. Sử dụng quy hoạch Plackett-Burman 354
9.3. Phương pháp cân bằng ngẫu nhiên 363
9.4. Phương pháp lấy ý kiến chuyên gia 367
Bài tập 370
Chương 10 THIẾT LẬP BÀI TOÁN TỐI ƯU VÀ TỐI ƯU TUYẾN
TÍNH 372
10.1. Giới thiệu thiết kế tối ưu kết cấu 373
10.2. Các thành phần bài toán thiết kế tối ưu 375
10.3. Các phương pháp giải bài toán thiết kế tối ưu 379
10.4. Kết hợp giải bài toán tối ưu trong quy hoạch thực nghiệm 383
Chương 11 PHƯƠNG PHÁP QUY HOẠCH THỰC NGHIỆM VÀ TỐI
ƯU MỘT NHÂN TỐ 385
11.1. Giới thiệu 387
11.2. Phương pháp chia khoảng 391
6
11.3. Phương pháp chia đôi 393
11.4. Phương pháp mặt cắt vàng 396
11.5. Phương pháp Fibonacci 405
11.6. Các phương pháp khác 408
Bài tập 417
Chương 12 PHƯƠNG PHÁP QUY HOẠCH THỰC NGHIỆM VÀ TỐI
ƯU NHIỀU NHÂN TỐ 419
12.1. Phương pháp tìm kiếm theo tọa độ 421
12.2. Phương pháp độ dốc nhất 424
12.3. Phương pháp đơn hình 437
Bài tập 454
Chương 13 BÀI TOÁN TỐI ƯU PHI TUYẾN NHIỀU BIẾN
CÓ RÀNG BUỘC 457
13.1. Giới thiệu 458
13.2. Phương pháp đồ thị 459
13.3. Phương pháp nhân tử Lagrange 463
13.4. Điều kiện Kuhn-Tucker 466
13.5. Bài toán quy hoạch động 468
13.6. Các giải thuật giải bài toán tối ưu 469
Bài tập 471
Phần Phụ lục 479
TÀI LIỆU THAM KHẢO 487
7
Lời nói đầu
Quy hoạch thực nghiệm và thiết kế tối ưu là công cụ rất hữu ích trong
việc giải quyết các vấn đề kỹ thuật, tối ưu hóa sản phẩm, quá trình và hệ
thống,… theo các mô hình thực nghiệm. Ngày nay quy hoạch thực nghiệm
được ứng dụng trong nhiều lãnh vực như kinh tế, công nghiệp, xã hội,...
Ngoài ra còn ứng dụng rộng rãi trong thiết kế để thay thế các mô hình giải
tích phức tạp bằng các đa thức bậc nhất hoặc bậc hai nhằm giảm bớt thời
gian tính toán…
Giáo trình Quy hoạch và phân tích Thực nghiệm biên soạn phục vụ
cho đào tạo cao học và đại học, cũng như hỗ trợ các cán bộ kỹ thuật để sử
dụng phương pháp quy hoạch thực nghiệm và tối ưu trong nghiên cứu và
đào tạo. Sách đã được xuất bản đầu tiên năm 2011 và nay bổ sung, hoàn
thiện thành giáo trình. Sách bao gồm 13 chương, trình bày những vấn đề
liên quan quy hoạch thực nghiệm và tối ưu hóa:
Chương 1. Tổng quan
Chương 2. Xử lý kết quả thống kê ban đầu và chọn mô hình phương
trình hồi quy
Chương 3. Phương pháp bình phương nhỏ nhất
Chương 4. Đánh giá các hệ số và kiểm tra tính thích hợp phương trình
hồi quy
Chương 5. Quy hoạch thực nghiệm toàn phần và riêng phần
Chương 6. Các phương pháp quy hoạch thực nghiệm bậc hai
Chương 7. Phương pháp Taguchi
Chương 8. Quy hoạch hỗn hợp (thành phần – tính chất)
Chương 9. Quy hoạch thực nghiệm chọn lọc
Chương 10. Bài toán tối ưu và tối ưu tuyến tính nhiều biến
Chương 11. Tối ưu phi tuyến một biến không ràng buộc
Chương 12. Tối ưu phi tuyến nhiều biến không ràng buộc
Chương 13. Tối ưu phi tuyến nhiều biến có ràng buộc
Các ví dụ trong sách được tích lũy từ quá trình giảng dạy, nghiên cứu,
hướng dẫn sinh viên đại học, cao học,… hoặc tham khảo từ các tài liệu
khác. Cuối mỗi chương có bài tập và bài tập lớn. Để nắm bắt được những
8
khái niệm cơ bản của phương pháp này, bạn đọc cần phải có kiến thức cơ sở
về xác suất và thống kê cũng như có nền tảng toán học. Ngoài ra để xử lý
các kết quả thực nghiệm ta còn có thể sử dụng rất nhiều phần mềm để hỗ trợ
cho phương pháp này, ví dụ Design-Expert, Minitab, Statistica, Ms Excel,
Matlab,… Trong giáo trình này, chúng tôi sử dụng phần mềm Minitab.
Tác giả xin thành thật cảm ơn Nhà xuất bản Đại học Quốc gia TP Hồ
Chí Minh tạo nhiều điều kiện để xuất bản giáo trình này. Cám ơn PGS.TS
Phan Đình Huấn, PGS.TS Nguyễn Đình Huy, PGS.TS Đặng Vũ Ngoạn
thẩm định giáo trình. Cám ơn Tổ Giáo trình Trường Đại học Bách khoa –
ĐHQG-HCM, Bộ môn Thiết kế máy và Khoa Cơ khí. Cảm ơn các bạn có ý
kiến đóng góp, phê bình những thiếu sót của giáo trình để cho các lần xuất
bản sau, sách được hoàn thiện hơn. Mọi ý kiến đóng góp, phê bình và thắc
mắc xin gửi về địa chỉ:
Nguyễn Hữu Lộc, Bộ môn Thiết kế máy, Khoa Cơ khí, Trường Đại học
Bách khoa – ĐHQG-HCM, 268 Lý Thường Kiệt, Phường 14, Quận 10.
hoặc liên hệ trực tiếp qua email: nhlcad@yahoo.com, nhloc@hcmut.edu.vn
PGS. TS Nguyễn Hữu Lộc
9
BẢNG ĐỐI CHIẾU THUẬT NGỮ ANH – VIỆT
VÀ KÝ HIỆU
TT Anh Việt Ký hiệu Minitab
1 1-tailed test Kiểm nghiệm 1 - đuôi
2 2- tailed test Kiểm nghiệm 2 - đuôi
3 2-way interaction Tương tác đôi
2-Way
Interaction
4 Abstract Tóm tắt
5 Adjusted mean squares
Hiệu chỉnh bình
phương trung bình
Adj MS
6
Adjustment to the sum
of squares
Hiệu chỉnh tổng bình
phương
Adj SS
7 Analysis of covariance Phân tích tương quan ANCOVA
8 Analysis of Mean
Phân tích giá trị trung
bình
ANOM
9 Analysis of Variance Phân tích phương sai ANOVA
10 Balanced design Quy hoạch bão hòa
11 Bartlett's test
Kiểm theo tiêu chuẩn
Barlett
12 Binary blends Hỗn hợp 2 nhân tố
13 Box - Behnken design
Quy hoạch bậc hai
Box-Behnken
BBD
14 Boxplot of data
Đồ thị dữ liệu dạng
hộp
15 Center point Điểm ở tâm
16 Centroid Trọng tâm
17 Cochran's C test
Kiểm theo chuẩn
Corchan
18 Coded coefficients
Các hệ số PTHQ dạng
mã hóa
19 Coefficient of variation Hệ số biến phân
20 Confidence interval Khoảng tin cậy CI
21 Control variable Biến điều khiển
22
Coordinate search
method
Phương pháp tìm kiếm
theo tọa độ
23 Corner point Điểm góc
10
24 Cubic search method
Phương pháp tìm kiếm
bậc 3
25
Cumulative
distribution function
Hàm phân phối tích lũy
F(x) CDF
26 Cumulative percent Phần trăm tích lũy
27 D - optimal designs Quy hoạch dạng D
28 Degree of Freedom Bậc tự do DF
29 Design of experments Quy hoạch thực nghiệm QHTN DOE
30 Double blend Hỗn hợp đôi
31 Equality constraints Ràng buộc đẳng thức
32 Error Sai số Error
33 Estimation Ước lượng
34 Extreme vertex Đỉnh cực trị
35
Face Centered Central
Composite Design
Quy hoạch hỗn hợp đối
xứng dạng FCCCD
FCCCD
36 F test F test F
37 Factor Nhân tố
38 Factorial design
Thực nghiệm nhân tố
toàn phần
TNT
39 First quartile Tứ phân vị thứ nhất
40 Fisher value, F-value Giá trị Fisher F- Value F- Value
41 Fit Giá trị theo PTHQ Fit
42
Fractional factorial
design
Thực nghiệm nhân tố
riêng phần
TNR
43
F-test of equality of
variances
Kiểm tra giả thuyết về
tính đồng nhất các
phương sai
F-test F
44
F-test of the equality of
two variances
Kiểm tra giả thuyết về
tính đồng nhất hai
phương sai
F-test F
45
Full Factorial Array 3
Levels
Quy hoạch dạng 3k
46 Full factorial design
Thực nghiệm nhân tố
toàn phần
TNT
47 Genetic Algorithm Giải thuật di truyền GA
48 Golden section method
Phương pháp mặt cắt
vàng
11
49
Gradient descent
method
Phương pháp độ dốc
nhất
50 Higher is better Lớn hơn tốt hơn
51 Hill Climbing Giải thuật leo đồi
52 Histogam of data Biểu đồ dữ liệu phân bố
53
Histogam of data, with
normal curve
Biểu đồ dữ liệu phân bố
với đường cong chuẩn
54
Hooke-jeeves pattern
search method
Phương pháp tìm kiếm
theo mẫu Hooke-Jeeves
55 Interquartile Tứ phân vị thứ tư
56 Inequality constraints
Ràng buôc bất đẳng
thức
57 Interval halving method Phương pháp chia đôi
58
Kuhn–Tucker
conditions
Điều kiện Kuhn–
Tucker
59 Kurtosis Độ nhọn
60 Lack-of-Fit Không phù hợp
Lack-of-
Fit
61 Lack-of-fit error Sai lệch không phù hợp
62 Large residual
Sai lệch lớn giữa thực
nghiệm và PTHQ
Large
residual
63 Least squares method
Phương pháp bình
phương nhỏ nhất
PP BPNN
64 Left-tailed test Kiểm nghiệm đuôi trái
65 Level Mức giá trị
66 Linear regression Hồi quy bậc nhất
67 Lower is better Nhỏ hơn tốt hơn
68 Mathematical expectation Kỳ vọng toán m
69 Maximum Giá trị lớn nhất max
70 Mean Trung bình Mean
71 Mean of Square Trung bình bình phương MS
72 Mean squared error Phương sai tái hiện MSE
73 Mean Sum of Variance Trung bình bình phương MSV
74
Mean Sum-of-square
Treatment
Tổng bình phương
“điều trị” trung bình
MST
75 Median Trung vị Median
76
Method of Lagrange
Multipliers
Phương pháp nhân tử
Lagrange
77 Minimum Giá trị nhỏ nhất min
12
78 Mixture design
Quy hoạch thành phần
hỗn hợp
79 Mode Mốt (Yếu vị) Mode
80 Multiple regression
Hệ số tương quan hồi
quy nhiều lần
Multiple r
81 Nominal is best
Đánh giá ảnh hưởng
của các nhân tố
82
Normal density
functions
Hàm mật độ phân phối
chuẩn
83 Null hypothesis Giả thuyết Null
84 Number of coeficients
Số hệ số phương trình
hồi quy
85 Objective function Hàm mục tiêu
86
Orthogonal Central
Composite Design
Quy hoạch hỗn hợp
trực giao
Box -
Hunter
87 P- value Giá trị P P- Value
88 Pattern Search Method
Phương pháp tìm kiếm
theo mẫu
89 Pattern Move Hướng nhảy theo mẫu
90 Pattern move point
Điểm di chuyển theo
mẫu
91 Percentile Điểm phân vị z
92
Plackett–Burman
designs
Quy hoạch Plackett–
Burman
PBD
93 Predicted R2
R bình phương dự đoán R-sq (pred)
94
Probability density
function
Hàm mật độ phân phối
f(x) PDF
95
Quadratic estimation
methods
Phương pháp xấp xỉ đa
thức bậc 2
96 R square adj
R bình phương hiệu
chỉnh
rhc R-sq (adj)
97 R square R bình phương R-sq
98
Random balance
designs
Phương pháp cân bằng
ngẫu nhiên
99 Random variable Đại lượng ngẫu nhiên
100 Range Miền giá trị
101 Regression analysis Phân tích hồi quy
13
102 Regression equation Phương trình hồi quy PTHQ
103 Rejection region Miền bác bỏ
104 Replicates Thí nghiệm lặp n
105 Residual
Sai lệch giữa thực
nghiệm và PTHQ
Resid
106
Residual sum of
squares
Phương sai thí nghiệm
RSS
107 Response Thông số đầu ra
108 Right-tailed test Kiểm nghiệm đuôi phải
109 Robust design Thiết kế bền vững
110
Rotatability and
orthogonality
Quay và trực giao
111
Rotatable Central
Composite
Circumscribed design
Quy hoạch hỗn hợp đối
xứng quay đều
Box-
Wilson
112 Sample size Số lượng mẫu
113 Screening design QHTN chọn lọc
114 Signal to Noise Ratio Tín hiệu/nhiễu S/N S/N
115 Simplex Đơn hình
116 Simplex axial Trục đơn hình
117 Simplex centroid Tâm khối đơn hình
118 Simplex lattice Mạng đơn hình
119 Simplex method Phương pháp đơn hình
120 Simplex search method
Phương pháp tìm kiếm
đơn hình
121 Simulated Annealing
Mô phỏng ủ (luyện)
thép
SA
122 Skewness Độ lệch
123 Smaller is better Nhỏ hơn tốt hơn
124 Standard deviation Độ lệch chuẩn S StDev
125 Standard error Sai số chuẩn SE mean
126
Standard error of
the coefficient
Sai lệch chuẩn
các hệ số
SE Coef.
127
Standard Error of the
mean
Sai số chuẩn
SEM SE mean
128 Star points Các điểm sao 2k
129 Statistical estimation Ước lượng thống kê
14
130 Sum Tổng số
131 Sum of Square Tổng bình phương SS
132
Sum of
squared residuals
Tổng bình phương
phần dư
SSR
133 Sum of Square Tổng bình phương SS
134
Sum-of-Square
between Column
Tổng bình phương theo
cột
SSC
135
Sum-of-Square due to
Error
Tổng bình phương sai
lệch
SSE
136
Sum-of-Square of
Treatment
Tổng bình phương
“điều trị”
SST
137
Sum-of-Square of
treatment in Rows
Tổng bình phương
“điều trị” theo hàng
SSR
138 Testing for lack of fits
Tính tương thích
phương trình hồi quy
139
The Method of Least
Squares
Phương pháp bình
phương nhỏ nhất
PP BPNN
140
The prediction error
sum of squares
Dự đoán tổng sai số sai
lệch bình phương trung
bình
PRESS
141
The standard error of
the coefficient
Sai số chuẩn của hệ số
SE
142 Third quartile Tứ phân vị thứ ba
143
Three-level full
factorial designs
Quy hoạch 3k
144 Trimmed mean Trung hình hiệu chỉnh
145 T-value
Giá trị Student tính
toán
T-Value T-Value
146 Uncoded coefficients Các hệ số tự nhiên
147 Variable Biến Var
148 Variance Phương sai D
149
Variance-inflating
factor
Hệ số phóng đại
phương sai
VIF
150 Vertex Đỉnh
GIỚI THIỆU 15
Chương 1
GIỚI THIỆU
Chương này gồm các nội dung sau:
1.1. Các bài toán quy hoạch thực nghiệm
1.2. Trình tự thực hiện quy hoạch thực nghiệm
1.3. Các đại lượng ngẫu nhiên
16 CHƯƠNG 1
Quy hoạch thực nghiệm (QHTN) được giới thiệu lần đầu tiên vào năm
1935 bởi Ronald A. Fisher trong tài liệu Design of Experiments [1].
Sau đó vài dạng quy hoạch được giới thiệu bởi Raj Chandra Bose và
K. Kishen vào năm 1940 tại Indian Statistical Institute và quy hoạch mà mọi
người chú ý đến là quy hoạch Plackett-Burman được đăng trên tạp chí
Biometrika vào năm 1946 [2]. Cùng lúc đó C. R. Rao giới thiệu khái niệm
ma trận trực giao như là một dạng QHTN. Khái niệm này đóng vai trò quan
trọng trong việc phát triển phương pháp Taguchi (Genichi Taguchi thăm
Viện thống kê Ấn Độ vào năm 1950).
Vào năm 1950, Gertrude Mary Cox và William Gemmell Cochran
xuất bản sách “Experimental Designs” và đây là sách tham khảo chính về
QHTN trong nhiều năm [3].
Các nhà khoa học đóng góp đáng kể vào lãnh vực QHTN bao gồm C. S.
Peirce, R. A. Fisher, F. Yates, C. R. Rao, R. C. Bose, J. N. Srivastava,
Shrikhande S. S., D. Raghavarao, W. G. Cochran, O. Kempthorne, W. T.
Federer, A. S. Hedayat, J. A. Nelder, R. A. Bailey, J. Kiefer, W. J. Studden, F.
Pukelsheim, D. R. Cox, H. P. Wynn, A. C. Atkinson, G. E. P. Box và G.
Taguchi. Trong đó, sách của D. Montgomery và R. Myers là tài liệu được nhiều
sinh viên và các nhà thực nghiệm sử dụng [4].
1.1. CÁC BÀI TOÁN QUY HOẠCH THỰC NGHIỆM
QHTN đóng vai trò quan trọng trong khoa học, công nghệ, kỹ thuật,
kinh tế và dịch vụ,… để thiết kế và phát triển sản phẩm, quy trình mới, nâng
cao chất lượng sản phẩm hiện có, quản lý quá trình,… Trong thiết kế kỹ
thuật, QHTN được ứng dụng:
- Đánh giá và so sánh các chỉ tiêu thiết kế.
- Lựa chọn và ước lượng thành phần vật liệu.
- Chọn các thông số thiết kế để sản phẩm làm việc tối ưu, bền vững.
- Xác định các nhân tố công nghệ ảnh hưởng chất lượng gia công sản
phẩm.
- Nghiên cứu tạo sản phẩm mới.
Ứng dụng QHTN trong thiết kế và phát triển sản phẩm làm cho sản
phẩm được chế tạo dễ dàng hơn, đạt độ tin cậy cao, giảm chi phí, giảm thời
gian thiết kế và phát triển sản phẩm,…
GIỚI THIỆU
GIỚI THIỆU 17
Cụ thể ta sử dụng QHTN để giải quyết các bài toán sau:
1. QHTN với mục đích thu được mô hình toán học của đối tượng nghiên
cứu (Hình 1.1).
Hình 1.1 Mô hình nghiên cứu quá trình: X – các nhân tố đầu vào, Y – đối
tượng nghiên cứu (đầu ra), G – các nhân tố nhiễu, không kiểm tra được…
2. QHTN chọn lọc (Screening design – Chương 9). Vì số nhân tố
trong bài toán 1 không nên vượt quá 6-8, nếu không quá trình thực nghiệm
sẽ tiến hành khó khăn do số lượng thực ngiệm lớn. Trong thực tế nhiều qui
trình công nghệ hoặc bài toán thiết kế có đến vài chục đến vài trăm nhân tố
ảnh hưởng. Tuy nhiên chỉ có vài nhân tố trong đó có ảnh hưởng lớn. Do đó
đầu tiên ta chỉ xét ảnh hưởng các nhân tố này. Do đó ta tiến hành thực
nghiệm theo 2 bước: bước 1 tiến hành xác định các nhân tố nào ảnh hưởng
nhiều nhất – ta gọi là thực nghiệm chọn lọc, bước 2 ta tiến hành thực
nghiệm đối với các biến quan trọng này và sử dụng QHTN.
3. QHTN để tìm nghiệm tối ưu (Chương 11 và 12). Mục tiêu thực
nghiệm là tìm các giá trị nhân tố, mà khi đó đại lượng đầu ra của đối tượng
đạt giá trị cực trị, tức là giá trị lớn nhất hoặc nhỏ nhất. Phương pháp QHTN
với mục đích này cần phải có trình tự tiến hành đặc biệt.
4. QHTN với các nhân tố định tính. Các thực nghiệm với nhân tố định
tính thực hiện theo từng nhóm riêng trong điều kiên không đồng nhất, hạn
chế số thí nghiệm.
5. QHTN khi nghiên cứu thành phần hỗn hợp (Chương 8). Đối tượng
nghiên cứu là hỗn hợp nhiều thành phần, các nhân tố sẽ là thành phần phần
trăm trong hỗn hợp. Khi đó tổng của tất cả các nhân tố trên bằng 100 %, do
đó các nhân tố là phụ thuộc mà không độc lập.
6. Trong tính toán thiết kế ta thay thế các hàm phức tạp bằng các đa
thức nhờ phương pháp QHTN để dễ dàng giải các bài toán số (Chương 5
và 6).
18 CHƯƠNG 1
1.2. TRÌNH TỰ THỰC HIỆN QUY HOẠCH THỰC NGHIỆM
Thông thường QHTN bao gồm giải quyết các vấn đề lớn sau:
- Tổ chức thực nghiệm (quy hoạch + thí nghiệm) – nghĩa là sử dụng
cách thức tốt nhất để giải bài toán đặt ra thời gian và chi phí ít nhất,
độ chính xác cao nhất.
- Xử lý kết quả thực nghiệm để thu được nhiều thông tin nhất về đối
tượng nghiên cứu.
- Phân tích và giải thích và đánh giá các hiện tượng theo kết quả
thực nghiệm.
QHTN thực hiện theo trình tự (CDEA) sau:
Các bước thực hiện QHTN với mục tiêu xây dựng mô hình toán
(phương trình hồi quy) cho đối tượng nghiên cứu:
1. Chọn các nhân tố thay đổi, các nhân tố ổn định và các thông số đầu
ra cho thực nghiệm.
2. Xác định miền giá trị các nhân tố – thực nghiệm thăm dò, Thực
nghiệm chọn lọc xác định nhấn tố ảnh hưởng nhiều nhất (Chương
9).
3. Chọn mô hình phương trình hồi quy (Nghiên cứu tổng quan).
4. Chọn ma trận QHTN (Chọn ma trận X, tham khảo Chương 5 đến
Chương 8).
5. Lập phương pháp (trình tự) tiến hành thực nghiệm.
6. Tiến hành các thí nghiệm thăm dò. Kiểm tra phân phối chuẩn thông
số đầu ra. Xác định số thí nghiệm lặp trên mỗi thí nghiệm chính
(Chọn n).
7. Tiến hành N thí nghiệm chính (Xác định giá trị đáp ứng Y bằng
thực nghiệm).
8. Loại bỏ các quan sát sai số thô (Chương 2). Kiểm tra tính đồng
nhất phương sai các thí nghiệm, tính toán phương sai tái hiện
(khi không có các thí nghiệm lặp trên mỗi thí nghiệm chính thì ta
thực hiện các thí nghiệm riêng để xác định giá trị này).
GIỚI THIỆU 19
9. Tính toán hệ số hồi qui của mô hình toán (Chương 3, 5 đến 8).
10. Đánh giá giá trị của hệ số phương trình hồi quy. Bỏ qua các hệ số
không ảnh hưởng và xác định lại các hệ số phương trình hồi quy
(Chương 4).
11. Kiểm tra tính tương thích và hiệu quả của mô hình hồi quy
(Chương 4).
12. Phân tích kết quả.
1.3. CÁC ĐẠI LƯỢNG NGẪU NHIÊN
Đặc trưng một cách tương đối đầy đủ phân phối đại lượng ngẫu nhiên
(random variable) bằng các tập hợp thống kê (Hình 1.2). Kỳ vọng toán (giá
trị trung bình – mean), yếu vị (mốt - mode) và điểm trung vị (median), đặc
trưng bởi vị trí các điểm tâm nhóm các đại lượng ngẫu nhiên theo trục số.
Phương sai (variance), độ lệch chuẩn (standard deviation), hệ số biến phân
(coefficient of variation), đặc trưng cho sự phân phối đại lượng ngẫu nhiên.
x
f(x)
x
R(x)
x
F(x)
c)
b)
a)
1,0
0
0
0
1
2
3
Hình 1.2 Các đặc trưng số của tâm nhóm đại lượng ngẫu nhiên:
1- Điểm trung vị, 2- Mode; 3- Kỳ vọng toán
Các đặc trưng được sử dụng trong lý thuyết thống kê (để xử lý các kết
quả quan sát) và trong lý thuyết xác suất bao gồm:
Kỳ vọng toán (giá trị trung bình) mx - là đặc tính chủ yếu và đơn giản
nhất của đại lượng ngẫu nhiên X. Giá trị kỳ vọng toán theo kết quả quan sát
đối với các đại lượng rời rạc cũng như liên tục được gọi là ước lượng
(estimation) kỳ vọng toán hoặc ước lượng giá trị trung bình x .
N
i
i 1
x
x
N

 
20 CHƯƠNG 1
hoặc
m
i i
i 1
p x
N

 (1.1)
trong đó: N - tổng số các quan sát;
xi - giá trị thứ i đại lượng ngẫu nhiên;
pi - số các giá trị xi giống nhau.
Trong công thức đầu tiên ta xác định tổng của phần tử, trong trường
hợp thứ hai pi các phần tử với các giá trị xi giống nhau. Khi số quan sát (thử
nghiệm) đủ lớn ta có mx = x .
Trong các bài toán xác suất người ta xác định kỳ vọng toán theo sự
phụ thuộc vào hàm mật độ phân phối f(x) (đối với các giá trị liên tục) hoặc
xác suất pi xuất hiện giá trị xi (đối với các đại lượng rời rạc).
mx = xf(x)dx


 ; mx = pixi (1.2)
Phương sai (variance) đại lượng ngẫu nhiên - kỳ vọng toán của bình
phương các sai lệch đại lượng ngẫu nhiên này so với kỳ vọng toán của nó.
Ước lượng phương sai đại lượng ngẫu nhiên - giá trị trung bình
bình phương hiệu số giữa giá trị đại lượng ngẫu nhiên và giá trị trung
bình của chúng:
Dx* =  
N 2
i
i 1
1
x x
N 1 



hoặc  
N 2
i i
i 1
1
g x x
N 1 


 (1.3)
Thuật ngữ “phương sai” có nghĩa là độ phân tán và đặc trưng bởi độ
tản mạn (phân tán) đại lượng ngẫu nhiên.
Đối với các đại lượng ngẫu nhiên liên tục:
Dx = s2
=  2
x
x-m f(x)dx


 (1.4)
GIỚI THIỆU 21
Đối với các đại lượng ngẫu nhiên rời rạc:
Dx =  
m
2
i x i
i 1
x m p


 (1.5)
Phương sai có thứ nguyên bằng bình phương đại lượng ngẫu nhiên.
Để sử dụng thuận tiện hơn đặc trưng độ phân tán có cùng thứ nguyên với
đại lượng ngẫu nhiên, người ta thường sử dụng đặc trưng là độ lệch chuẩn
(standard deviation) là căn bậc hai của phương sai:
S = x
D (1.6)
Để đánh giá độ phân tán nhờ vào một đại lượng không thứ nguyên
người ta sử dụng hệ số biến phân (coefficient of variation) bằng tỉ số giữa
độ lệch chuẩn và kỳ vọng toán, tức là:
x
S S
v
m
x
  (1.7)
Phương sai và độ lệch chuẩn đặc trưng độ phân tán điển hình hơn
các đại lượng khác như giá trị trung bình các đại lượng ngẫu nhiên.
Điểm phân vị (z - Percentile) được gọi là giá trị của đại lượng ngẫu
nhiên tương ứng với xác suất cho trước.
Điểm phân vị tương ứng với xác suất 0,5 được gọi là điểm trung vị.
Điểm trung vị đặc trưng cho vị trí của tâm nhóm đại lượng ngẫu nhiên. Diện
tích đồ thị hàm mật độ phân phối được chia bởi trung vị thành hai phần bằng
nhau (Hình 1.1).
Để đặc trưng cho độ phân tán đại lượng ngẫu nhiên người ta sử
dụng thêm sai lệch xác suất, bằng một nửa hiệu các điểm phân vị x0,75
và x0,25 tức là giá trị đại lượng ngẫu nhiên tương ứng với xác suất 0,75
và 0,25.
Mode (yếu vị) đại lượng ngẫu nhiên được gọi là giá trị khi mà mật độ
xác suất lớn nhất.
Các đại lượng điểm trung vị và mode, tương tự như các đại lượng
vừa liệt kê, được chuyển thành các thuật ngữ trong lý thuyết thống kê. Đối
với các phân phối đối xứng (chẳng hạn phân phối chuẩn) thì kỳ vọng toán,
mode và điểm trung vị trùng nhau.
22 CHƯƠNG 1
Ví dụ 1.1 Khi đo chiều dày lớp sơn của một chi tiết thu được các kết quả
số (10 lần đo) h = 470, 354, 402, 434, 351, 413, 465, 448, 540, 393. Xác
định giá trị trung bình h và độ lệch chuẩn S.
Giải:
Giá trị trung bình:
N
i
i 1
h
h 427 m
N

  

Phương sai:
Dx* =  
N 2
i
i 1
1
x x
N 1 



Hoặc theo công thức rút gọn:
2 2
i
2
x
* h Nh
S 3293
N
D
1

  


Độ lệch chuẩn:
2
S S 57,4 m
  
Nếu biết giá trị trung bình mx và độ lệch chuẩn S, hàm mật độ phân
phối có dạng:
f(x) =
 



2
x
2
x m
2S
1
e
S 2
(1.8)
Dưới đây là kết quả đươc tính trên Minitab
Variable N N* Mean SE Mean StDev Minimum Q1 Median Q3 Maximum
C3 10 0 427.0 18.1 57.4 351.0 383.3 423.5 466.3 540.0
Hình 1.3 là ví dụ phân bố điểm thi Tốt nghiệp Phổ thông Trung học
một số năm gần đây.
GIỚI THIỆU 23
a) Phổ điểm thi môn Hóa học năm 2016
b) Phổ điểm các môn khối A00 năm 2020
Hình 1.3 Một số ví dụ phổ điểm thi tuân theo hàm mật độ phân bố
24 CHƯƠNG 2
Chương 2
XỬ LÝ CÁC KẾT QUẢ THỐNG KÊ BAN ĐẦU
VÀ CHỌN MÔ HÌNH PHƯƠNG TRÌNH HỒI QUY
Chương này gồm các nội dung sau:
2.1. Khái niệm
2.2. Giá trị trung bình và độ lệch chuẩn
2.3. Tính khoảng tin cậy của kỳ vọng
2.4. Xác định số thí nghiệm lặp
2.5. Loại bỏ các quan sát có sai số lớn
2.6. Kiểm tra giả thuyết về tính đồng nhất hai phương sai
2.7. Kiểm tra tính đồng nhất vài phương sai theo mẫu có số lượng
giống nhau
2.8. Kiểm tra tính đồng nhất các phương sai theo mẫu có số lượng
khác nhau
2.9. Phân tích tương quan
2.10. Chọn mô hình phương trình hồi quy
2.11. Sử dụng Minitab xử lý dữ liệu thống kê
Bài tập
XỬ LÝ CÁC KẾT QUẢ THỐNG KÊ BAN ĐẦU VÀ CHỌN MÔ HÌNH PT HỒI QUY 25
2.1. KHÁI NIỆM
Đối tượng nghiên cứu thực nghiệm là nghiên cứu các ảnh hưởng khác
nhau của các nhân tố lên đối tượng nghiên cứu. Các nhân tố có thể là nhân
tố chính và phụ. Các nhân tố có giá trị thay đổi trong quá trình thực nghiệm
được gọi là các nhân tố thay đổi. Thông thường kết quả đo sẽ có sai lệch với
kết quả thật vì khi thực nghiệm ta chỉ xét đến ảnh hưởng của một số nhân tố.
Sai số bao gồm sai số thô, sai số hệ thống và sai số ngẫu nhiên.
Các thí nghiệm được tiến hành trong các điều kiện giống nhau, khi các
giá trị các nhân tố chính không đổi được gọi là đồng nhất. Tính đồng nhất
thực nghiệm là một trong những điều kiện quan trọng để ứng dụng các
phương pháp xử lý thống kê các quan sát. Để đảm bảo tính đồng nhất các thí
nghiệm thì mỗi loạt thí nghiệm được thực hiện trên một trang thiết bị như
nhau, theo phương pháp như nhau, do một người nghiên cứu tiến hành và
trong một thời gian cố định. Để thu được kết quả đáng tin cậy thì số thực
nghiệm thực hiện phải tương đối lớn.
2.2. GIÁ TRỊ TRUNG BÌNH VÀ ĐỘ LỆCH CHUẨN
Khi nghiên cứu, người thực hiện không có giá trị thực của các đặc
trưng số của các đại lượng ngẫu nhiên, vì vậy phải ước lượng các đặc trưng
ấy trên cơ sở các số liệu thí nghiệm.
Kỳ vọng mx được ước lượng bằng giá trị trung bình x (khi số mẫu N
đủ lớn), giá trị trung bình (mean) đặc trưng cho tâm nhóm hàm phân phối:
N
i
i 1
x
x
m x
N

 

(2.1)
trong đó: xi - số đo đại lượng ngẫu nhiên x ở thí nghiệm thứ i;
N - số lượng mẫu.
Phương sai D (Variance) được xác định bằng phương sai mẫu:
D = S2
 
N
2
2
i
i 1
1
s x x
N 1 
 

 (2.2)
hoặc công thức:
D= S2
2
N N N
2 2 2 2
i i i
i 1 i 1 i 1
1 1 1
s x x x Nx
N 1 N N 1
  
 
   
 
   
   
 
 
   
   
 
 
   (2.3)
26 CHƯƠNG 2
Độ lệch chuẩn S D
 (Standard Deviation - StDev) đặc trưng cho độ
phân tán phân phối. Giá trị S càng lớn thì mức độ phân tán phân phối hay
độ bất định của biến ngẫu nhiên càng rộng.
Sai số chuẩn (Standard error of the mean – SEM – SE mean) được xác
định theo công thức:
S
SEM
N

Thông thường, khi đánh giá sự thay đổi các đại lượng ngẫu nhiên
người ta sử dụng hệ số biến phân (Coefficient of variation):
x
S S
v .100% .100%
m
x
  (2.4)
Với số lượng mẫu N lớn, để xác định giá trị trung bình my, độ lệch
chuẩn S, biểu đồ phân phối, mật độ phân phối,… nếu tính thủ công người ta
chia ra nhóm số liệu. Các số liệu thống kê được liệt kê trong Bảng 2.1, để
lập bảng này ta thực hiện theo trình tự:
- Theo kết quả quan sát (đo) ta tìm giá trị lớn nhất xmax và nhỏ nhất
xmin và xác định: R = xmax - xmin
- Sau đó chia khoảng giá trị thay đổi R thành k đoạn.
Tùy vào trường hợp cụ thể ta chọn số đoạn k như sau: thông thường
chọn k nằm trong khoảng 9 – 15, một số trường hợp có thể chọn k = 7.
Chiều rộng mỗi đoạn được xác định bằng một khoảng giá trị h:
max min
x x
h
k

 (2.5)
Đoạn thứ nhất có giá trị nằm trong khoảng từ xmin đến x1, trong đó x1 =
xmin + h; đoạn thứ hai trong khoảng từ x1 đến x2, trong đó x2 = x1 + h. Đối
với đoạn thứ i ta tính giá trị trung bình theo công thức:
* i 1 i
i
x x
x
2
 
 , với i = 1, 2,...k. (2.6)
Số đại lượng ngẫu nhiên mi trong đoạn xi và xi+1 được xác định và
k
i
i 1
m N


 .
Khi đó, giá trị trung bình x và sai lệch bình phương trung bình xác
định theo công thức:
XỬ LÝ CÁC KẾT QUẢ THỐNG KÊ BAN ĐẦU VÀ CHỌN MÔ HÌNH PT HỒI QUY 27
k
*
i i
i 1
1
x x m
N 
  (2.7a)
S2
=  
k 2
2 *
i i
i 1
1
s m x x
N 1 
 

 (2.7b)
Tần suất tương đối, bằng tỷ số giữa số quan sát mi rơi vào đoạn i với
tổng số quan sát N, được ký hiệu:
* i
i
m
p
N

Kết quả thống kê được cho trong Bảng 2.1.
Bảng 2.1
Đoạn
Khoảng
giá trị
Giá trị
trung bình *
i
y
Số quan sát fi
Tần số
tương đối
1 xmin – x1 *
1
y f1 *
1
p
2 x1 – x2 *
2
y f2 *
2
p
    
i xi-1 - xi *
i
y fi *
i
p
    
k xk-1 - xk *
k
y fk *
k
p
Dựa trên kết quả ta xác định giá trị trung bình x , độ lệch chuẩn S và
vẽ biểu đồ phân phối đại lượng ngẫu nhiên:
- Trên trục tung xác định tung độ
*
i
i
p
f
h
 với pi
*
là tần số tương đối,
h là chiều rộng khoảng.
- Trên mỗi chiều rộng khoảng h ta xác định fi và dựng hình chữ nhật
có chiều cao bằng fi và chiều rộng h. Diện tích mỗi hình chữ nhật
này bằng pi
*
= mi/N. Kết quả ta có biểu đồ f(x) như Hình 2.1.
- Dựng biểu đồ hàm xác suất tích lũy F(x) bằng tổng các thành phần
pi
*
.
28 CHƯƠNG 2
Hình 2.1 Biểu đồ hàm phân phối và mật độ phân phối
a)Mật độ phân phối; b) Phân phối
Ví dụ 2.1 Xác định khả năng tải của thép khi ram theo chiều sâu người ta
thử nghiệm 150 mẫu. Thử nghiệm theo phương pháp Erikson và mẫu được
ép lún với đầu ép côn có đỉnh mặt cầu. Chiều sâu đo bằng mm. Kết quả cho
trong Bảng 2.2. Yêu cầu xác định giá trị trung bình, độ lệch chuẩn, hàm mật
độ phân bố và vẽ các biểu đồ. :
Bảng 2.2 Số liệu thử nghiệm – chiều sâu lún, mm
10,62
10,18
10,85
11,02
9,78
10,42
10,90
10,23
9,45
10,50
10.48
11,11
11,58
9,53
10,05
9,72
10,59
9,68
10,92
9,87
10,27
10,22
10,97
10,82
10,66
10,69
10,80
9,42
10,69
10,54
10,85
10,24
10,48
10,35
11,07
9,54
11,18
9,67
11,43
9,80
10,86
11,15
10,23
10,08
9,73
11,05
10,07
10,03
10,57
10,27
9,97
9,92
10,62
10,87
10,47
10,12
10,08
9,99
9,96
9,85
9,85
10,63
10,22
9,30
9,83
10,75
10,65
10,20
9,57
9,89
10,17
10,05
10,02
10,35
10,34
10,22
9,75
10,00
9,85
10,77
11,23
10,05
10,30
10,03
10,73
9,79
10,88
10,03
10,17
10,22
9,10
10,02
11,53
11,40
9,80
9,80
9,83
10,13
10,23
10,50
11,45
10,51
10,67
10,45
10,77
9,97
10,72
10,55
10,42
11,66
9,31
9,46
10,00
11,35
9,33
10,05
10,27
10,38
10,24
10,43
10,30
11,61
10,22
9,08
10,34
10,41
11,22
11,28
9,85
9,63
10,03
10,40
10,93
10,46
10,58
10,57
9,28
10,33
9,12
10,32
9,23
11,51
10,33
9,30
9,65
9,98
10,77
10,07
9,57
10,24
XỬ LÝ CÁC KẾT QUẢ THỐNG KÊ BAN ĐẦU VÀ CHỌN MÔ HÌNH PT HỒI QUY 29
Thông thường chọn k nằm trong khoảng 9 – 15, một số trường hợp có
thể chọn k = 7. Do đó trong ví dụ vụ này ta chọn số đoạn k = 14. Mỗi đoạn
được xác định bằng khoảng giá trị h:
max min
x x
h
k

 = (11,66 – 9,08)/14 = 0,18
Để thuận tiện tính toán ta chọn h = 0,20 và chọn lại xmin= 9,005 và
xmax = 11,805.
Bảng 2.3
Khoảng giá trị,
(mm)
Trung
bình
x*
,
(mm)
Phân bố số liệu
Tần
số fi
Tích lũy,
tần số Fi
ui fiui fiui
2
9,005-9,205
9,205-9,405
9,405-9,605
9,605-9,805
9,805-10,005
10,005-10,205
10,205-10,405
10,405-10,605
10,605-10,805
10,805-11,005
11,005-11,205
11,205-11,405
11,405-11,605
11,605-11,805
9,105
9,305
9,505
9,705
9,905
10,105
10,305
10,505
10,705
10,905
11,105
11,305
11,505
11,705
///
//// /
//// //
//// //// //
//// //// //// /
//// //// //// ////
//// //// //// //// ////
//// //// //// ///
//// //// ////
//// ////
//// /
////
////
//
3
6
7
12
16
20
25
18
15
10
6
5
5
2
3
9
16
28
44
64
89
107
122
132
138
143
148
150
-6
-5
-4
-3
-2
-1
0
1
2
3
4
5
6
7
-18
-30
-28
-36
-32
-20
0
18
30
30
24
25
30
14
108
150
112
108
64
20
0
18
60
90
96
125
180
98
Tổng cộng 150 7 1229
Giá trị cột 6 được tính theo công thức:
i
i
x 10,305
u
0,20

 (2.8)
Khi đó giá trị trung bình độ lệch chuẩn được xác định theo công thức:
14 14
i i i i
i 1 i 1
f u f u
u
N 150
 
 
 
30 CHƯƠNG 2
 
2 2
14 14 14 14
2 2
i i i i i i i i
i 1 i 1 i 1 i 1
2
u
N f u f u 150 f u f u
S
N N 1 150.149
   
   
 
   
   
   
 

   
a)
11.6
11.2
10.8
10.4
10.0
9.6
9.2
25
20
15
10
5
0
Mean 10.31
StDev 0.5711
N 150
h
Frequency
Histogram (with Normal Curve) of h
b)
Hình 2.2 Biểu đồ mật độ phân phối
XỬ LÝ CÁC KẾT QUẢ THỐNG KÊ BAN ĐẦU VÀ CHỌN MÔ HÌNH PT HỒI QUY 31
Tính toán giá trị trung bình và độ lệch chuẩn của u:
Từ công thức (2.8) suy ra giá trị trung bình và độ lệch chuẩn đại
lượng x:
x 10,305 0,20u 10,314
   mm
Sx
2
= h2
.Su
2
Suy ra:
Hình 2.3 Biểu đồ phân phối
Kiểm tra kết quả trên Minitab (Mục 2.11.1):
Descriptive Statistics: x
Variable Mean StDev CoefVar Minimum Maximum
x 10.306 0.571 5.54 9.080 11.660
Hàm mật độ phân phối chuẩn
Phân phối luôn luôn tuân theo quy luật chuẩn nếu như ảnh hưởng đến
sự thay đổi đại lượng ngẫu nhiên là các nhân tố gần như cùng giá trị.
Hàm mật độ phân phối có dạng (Hình 2.4):
f(x) =
 



2
x
2
x m
2S
1
e
S 2
(2.9)
32 CHƯƠNG 2
Phân phối chuẩn có hai tham số độc lập: kỳ vọng mx và độ lệch chuẩn S.
Người ta ước lượng giá trị các tham số mx và S theo kết quả thực nghiệm
theo công thức (2.1) và (2.2).
Hình 2.4 Hàm mật độ phân phối f(x) phân phối chuẩn
x mx-3SX mx -2SX mx –Sx mx mx +Sx mx +2Sx mx +3Sx
f(x)


9
2
X
1
e
S 2


2
X
1
e
S 2


1
2
X
1
e
S 2 
X
1
S 2


1
2
X
1
e
S 2


2
X
1
e
S 2


9
2
X
1
e
S 2
Sự xấp xỉ giữa các tham số và các ước lượng của chúng được tăng lên
với việc tăng số mẫu thực nghiệm. Đôi khi thuận tiện ta dựa trên phương sai
D = S2
.
Với các giá trị trung bình và độ lệch chuẩn thu được Ví dụ 2.1, hàm
mật độ phân phối có dạng:
f(x) =
 



2
2
x 10,314
2.0,574
1
e
0,574 2
Kỳ vọng xác định trên đồ thị (Hình 2.4) vị trí đường cong và độ lệch
chuẩn - chiều rộng đường cong. Khi S càng nhỏ thì đường cong mật độ phân
phối càng hẹp và cao hơn. Đường cong thay đổi từ x = - đến x = +, tuy
nhiên không đáng kể khi nằm ngoài khoảng (mx– 3S, mx+3S), bởi vì xác
suất x nằm ngoài khoảng này chỉ bằng 0,14 % và thông thường được bỏ qua
khi tính toán. Xác suất hỏng đến mx – 2S bằng 2,175 %. Giá trị lớn nhất của
tung độ đường cong mật độ phân phối bằng 0,399/S.
Người ta thay thế việc tính tích phân bằng cách sử dụng bảng tra. Các
bảng tra đối với phân phối chuẩn của hàm số theo (  x
x m ) và s rất phức tạp
vì có hai tham số độc lập. Có thể thay thế bằng các bảng tra phân phối
XỬ LÝ CÁC KẾT QUẢ THỐNG KÊ BAN ĐẦU VÀ CHỌN MÔ HÌNH PT HỒI QUY 33
chuẩn, mà khi đó mx = 0 và Sx = 1. Đối với phân phối này hàm mật độ phân
phối:
f0(x) =
2
x
2
1
e
2


chỉ có một biến số x. Đại lượng x là đại lượng trung tâm bởi vì mx = 0 và
chuẩn hóa Sx = 1. Hàm mật độ phân phối được viết trong tọa độ tương đối
với gốc tọa độ trên trục đối xứng đường cong.
2.3. TÍNH KHOẢNG TIN CẬY CỦA KỲ VỌNG
(Confidence Interval – CI)
Đại lượng ngẫu nhiên x xác định theo mẫu cần phải đánh giá theo kỳ
vọng my. Ta tìm sai số ∆ lớn nhất có thể chấp nhận được (Hình 2.5).
x
x m x
      (2.10)
Hình 2.5 Khoảng tin cậy của kỳ vọng
Khoảng trên gọi là khoảng tin cậy của kỳ vọng (Hình 2.6). Sai số ∆
phụ thuộc vào số lượng mẫu N, và thường được xác định theo công thức:
(2.11)
Hình 2.6 Khoảng tin cậy (Ci)
34 CHƯƠNG 2
Đại lượng S - độ lệch chuẩn, t - giá trị tiêu chuẩn Student là giá trị tra
bảng (theo Phụ lục 1 chọn theo số bậc tự do f = N - 1 và mức ý nghĩa α cho
trước).
Ví dụ 2.2 Khi đo chiều dày lớp sơn của một chi tiết thu được các kết quả số
(10 lần đo) h (µm) = 470, 354, 402, 434, 351, 413, 465, 448, 540 và 393.
Xác định giá trị trung bình, độ lệch chuẩn S và khoảng tin cậy cho kỳ vọng
tính toán.
Giải:
Giá trị trung bình:
n
i
i 1
h
h 427 m
N

  

S2
2 2
i
2 h Nh
s 3293
n 1

 


Suy ra, 2
S S 57,4 m
  
Cho trước mức ý nghĩa α = 0,05. Tương ứng với xác suất tin cậy 1 –
α = 0,95. Theo bảng phân vị phân bố Student (Phụ lục1) ta tìm t = 2,26
(với f = 10 – 1 = 9).
Khi đó:
Trong Minitab ta xác định khoảng tin cậy theo trình tự:
1. Nhập dữ liệu vào cột trong worksheet.
2. Trên menu Stat chọn Basis Statistics > 1 Sample t… (Hình 2.7)
XỬ LÝ CÁC KẾT QUẢ THỐNG KÊ BAN ĐẦU VÀ CHỌN MÔ HÌNH PT HỒI QUY 35
Hình 2.7
3. Chọn set C1 và nhập vào box bên phải (Hình 2.8).
Hình 2.8
4. Chọn tab Options
5. Chọn Confidence level là 95 (Hình 2.9)
Hình 2.9
36 CHƯƠNG 2
6. Nhấp OK
Kết quả như dưới đây:
One-Sample T: x
Variable N Mean StDev SE Mean 95% CI
x 10 427.0 57.4 18.1 (386.0, 468.0)
Ví dụ 2.3 Với kết quả Mục 2.2 (Ví dụ 2.1) xác định khoảng tin cậy cho kỳ
vọng tính toán.
Giải:
Giá trị trung bình và độ lệch chuẩn đại lượng x:
x 10,305 0,20u 10,314
   mm
Suy ra:
Cho trước mức ý nghĩa α = 0,05. Tương ứng với xác suất tin cậy 1 –
α = 0,95. Theo bảng phân vị phân bố Student (Phụ lục 1) ta tìm t = 1,98 (với
f = 150 – 1 = 149).
Từ đây:
150 15
10,314 1,98.0,574 / 10,314 1,98.0,574 0
/
x
m 
 

150 15
10,314 1,98.0,574 / 10,314 1,98.0,574 0
/
x
m 
 

10,224 ≤ mx ≤ 10,497
Kết quả trên Minitab:
One-Sample T: x
Variable N Mean StDev SE Mean 95% CI
x 150 10.3056 0.5711 0.0466 (10.2135, 10.3977)
XỬ LÝ CÁC KẾT QUẢ THỐNG KÊ BAN ĐẦU VÀ CHỌN MÔ HÌNH PT HỒI QUY 37
2.4. XÁC ĐỊNH SỐ THÍ NGHIỆM LẶP (Replication)
Giả sử ta tìm số thí nghiệm ít nhất lặp lại trên mỗi thực nghiệm, khi đó
giá trị trung bình x theo mẫu này khác với kỳ vọng không lớn hơn đại
lượng cho trước ∆. Để giải bài toán này cần tìm độ lệch chuẩn s2
. Khi đó,
giá trị n được xác định như sau:
n = t2
S2
/(mx)2
(2.12)
Đại lượng t tìm theo bảng (Phụ lục 1) phụ thuộc vào mức ý nghĩa α và
bậc tự do f. Nếu số thí nghiệm lớn hơn 120 thì thay vì t ta xác định  theo
Bảng 2.4.
Bảng 2.4
α 0,2 0,1 0,05 0,01 0,005
 1,28 1,64 1,96 2,58 2,81
Ví dụ 2.4. Để xác định số thí nghiêm lặp n khi nghiên cứu để xác định công
riêng quá trình phay gỗ, ta tiến hành thực nghiệm và thu được các giá trị
trong Bảng 2.5.
Bảng 2.5
1 33,2 11 35,3 21 31 31 33,2
2 33,6 12 33,6 22 30 32 33,6
3 31,5 13 32,3 23 32,4 33 34,2
4 33,6 14 32,7 24 33,7 34 30,2
5 33,2 15 33,6 25 34,3 35 32,2
6 34,4 16 34,9 26 32,1 36 32,8
7 34,4 17 32,3 27 33,5 37 34,2
8 31,0 18 36,2 28 30,5 38 31,6
9 34,4 19 31,0 29 32,5 39 32,3
10 35,2 20 33,6 30 32,5 40 33,6
Khi f = 40 – 1 = 39, tra bảng tiêu chuẩn Student ta thu được t = 2,02;
S2
– phương sai kết quả loạt thực nghiệm 1.4412
; y – giá trị trung bình kết
quả thực nghiệm 33.01; α – mức ý nghĩa (giá trị), chọn α = 0.05.
38 CHƯƠNG 2
Thay thế vào ta có:
n = 1,4412
.2,022
/(0,05.33,01)2
= 3,11
Chọn n = 4.
Đại lượng S - độ lệch chuẩn, t - giá trị tiêu chuẩn Student là giá trị
tra bảng (theo Phụ lục 1 chọn theo số bậc tự do f = N - 1 và mức ý nghĩa α
cho trước).
Ngoài ra ta có thể tính số thí nghiệm lặp trên Minitab (Hình 2.10).
Hình 2.10 Tính số thí nghiệm lặp trên Minitab (Sample Size for Estimation)
2.5. LOẠI BỎ CÁC QUAN SÁT CÓ SAI SỐ LỚN
Các quan sát sai số lớn cần loại bỏ khỏi tập mẫu. Để phát hiện quan
sát này ta phải sử dụng tiêu chuẩn Student. Trong trường hợp này quan sát
đang xem xét yi tạm thời loại bỏ khỏi tập mẫu và với các quan sát còn lại ta
xác định giá trị trung bình và độ lệch chuẩn x và S2
. Sau đó tính hệ số tính
toán.
(2.13)
Theo bảng tiêu chuẩn Student (Phụ lục 1) ta chọn tb theo α (ví dụ α =
0,01) và f, ví dụ (f = n -1) và so sánh với ttt. Nếu ttt > tb thì ta loại quan sát yi
khỏi mẫu.
Thông thường, trong các quan sát nghi ngờ ta chọn quan sát có giá trị
gần với giá trị trung bình nhất để so sánh. Các quan sát nghi ngờ loại khỏi
mẫu và thực hiện theo trình tự trên. Nếu ttt > tb thì loại tất cả các quan sát
nghi ngờ.
XỬ LÝ CÁC KẾT QUẢ THỐNG KÊ BAN ĐẦU VÀ CHỌN MÔ HÌNH PT HỒI QUY 39
Ví dụ 2.5 Khi đo chiều dày lớp sơn của một chi tiết thu được các kết quả số
(10 lần đo) h (m) = 470, 354, 402, 434, 351, 413, 465, 448, 540 và 393.
cv a) Đánh giá quan sát h = 540 m
b) Giả sử thay giá trị h = 540m bằng quan sát h = 600 m. Đánh giá
quan sát này.
Giải:
a) Loại bỏ quan sát h = 540 m khỏi mẫu và ta tính giá trị trung bình
h và S:
44
,
414
h 
85
,
2
44
)
4
,
414
540
(
ttt 


Tương ứng mức ý nghĩa α = 0,01; f = 9 – 1 = 8
Ta chọn tb = 3,36 vì tb > ttt
Do đó quan sát h = 540 m vẫn chấp nhận được.
b) Khi h = 600 m thì ttt = 4,28 > tb = 3,36 nên quan sát h = 600 m
không được chấp nhận.
2.6. KIỂM TRA GIẢ THUYẾT VỀ TÍNH ĐỒNG NHẤT HAI
PHƯƠNG SAI (F-test of the equality of two variances)
Kết quả nghiên cứu thực nghiệm được so sánh giữa các tập hợp mẫu
thí nghiệm khác nhau. Khi đó, cần phải so sánh độ chính xác các dụng cụ đo
và đánh giá phương sai các mẫu tương ứng.
Giả sử ta cần hai tập hợp mẫu n1 và n2 tương ứng phương sai 2
1
s và
2
2
s . Giả sử 2
2
2
1 s
s  cần phải xác định là hai tập hợp mẫu này được lấy từ tập
hợp mẫu chung ( 2
2
2
1 

 ). Khi đó, các phương sai chọn 2
1
s và 2
2
s gọi là
đồng nhất và khác nhau giữa chúng là do sai số ngẫu nhiên.
Khi đó, ta kiểm tra theo tiêu chuẩn Fisher (F-test). Đầu tiên, giả sử
2
1
s > 2
2
s :
2
2
2
1
tt
s
s
F  (2.14)
40 CHƯƠNG 2
Sau đó, theo bảng phân bố Fisher (Phụ lục 2) tra Fb phụ thuộc vào q
và
f1 = n1 – 1; f2 = n2 – 1
Nếu Ftt > Fb thì phương sai hai mẫu là không đồng nhất. Ngược lại,
chúng đồng nhất.
si
2
=  
N 2
i
i 1
1
x x
N 1 



Chi tiết ứng dụng Minitab để kiểm tra tính đồng nhất 2 phương sai
trình bày Mục 2.11.3.
Ví dụ 2.6 Nghiên cứu phụ thuộc độ tù mũi dao  vào chiều dài L cắt ta thu
được kết quả trên Bảng 2.6..
Bảng 2.6 Kết quả đo độ tù mũi dao  (µm) vào chiều dài L (km)
STT
Độ tù mũi dao  theo chiều dài cắt L
L = 5.10-11
km L0,25 km
1 3,76 7,05
2 4,23 7,05
3 4,7 6,11
4 3,76 6,58
5 3,76 6,58
6 4,23 7,05
7 3,76 7,05
8 3,76 7,52
9 3,76 7,52
10 4,23 7,52
11 4,23 7,52
12 4,23 6,58
13 4,23 7,05
14 4,23 7,05
15 4,23 6,58
16 3,76 7,05
Xác định tính đồng nhất 2 phương sai.
Giải:
Xác định giá trị trung bình và phương sai bằng Minitab.
XỬ LÝ CÁC KẾT QUẢ THỐNG KÊ BAN ĐẦU VÀ CHỌN MÔ HÌNH PT HỒI QUY 41
Descriptive Statistics: x1
Variable N N* Mean Variance Minimum Q1 Median Q3 Maximum
x1 16 0 4.0538 0.0847 3.7600 3.7600 4.2300 4.2300 4.7000
Descriptive Statistics: x2
Variable N N* Mean Variance Minimum Q1 Median Q3 Maximum
x2 16 0 6.991 0.173 6.110 6.580 7.050 7.402 7.520
Tỉ số:
Sau đó, tra bảng theo Phụ lục 2 (theo tiêu chuẩn Fisher) giá trị Fb phụ
thuộc vào α và bậc tự do f1 = n1 – 1=15; f2 = n2 – 1 = 15.
Do Ftt = 2,04 < Fb = 2,4 thì phương sai 2 mẫu là đồng nhất.
Method
Null hypothesis All variances are equal
Alternative hypothesis At least one variance is different
Significance level α = 0.05
95% Bonferroni Confidence Intervals for Standard Deviations
Sample N StDev CI
x1 16 0.290995 (0.204260, 0.482096)
x2 16 0.415979 (0.289009, 0.696268)
Individual confidence level = 97.5%
Tests
Method Statistic P-Value
Multiple comparisons 1.93 0.165
Levene 0.38 0.540
Test for Equal Variances: x1, x2
P- Value < 0,05 cho nên 2 phương sai là đồng nhất.
2.7. KIỂM TRA TÍNH ĐỒNG NHẤT VÀI PHƯƠNG SAI THEO
MẪU CÓ SỐ LƯỢNG GIỐNG NHAU (Cochran's C test)
Để kiểm tra tính đồng nhất của vài phương sai khi số lượng mẫu
giống nhau:
n1 = n2 = ... = n
Giả sử m là số phương sai cần đánh giá độ đồng nhất. Phương sai thí
nghiệm (Residual sum of squares) của chúng tương ứng là 2
m
2
2
2
1 s
...
s
,
s .
42 CHƯƠNG 2
Kiểm tra theo tiêu chuẩn Cochran. Đầu tiên ta tính hệ số Gtt theo công
thức:
2
max
tt 2 2 2
1 2 m
s
G
s s ... s

  
(2.15)
trong đó 2
max
s là giá trị lớn nhất trong các giá trị 2
i
s .
Theo Phụ lục 3 (tiêu chuẩn Cochran) ta tra Gb theo α và f = m – 1.
Nếu Gb > Gtt thì giả thuyết về tính đồng nhất các phương sai được
chấp nhận.
Ví dụ 2.7 Xác định tính đồng nhất của các phương sai cho thí nghiệm Bảng
2.7.
Bảng 2.7
N
Áp lực nén xj,
MPa
Biến dạng yj, mm
i
y , mm
xj
2
Phương sai thí
nghiệm si
2
y1 y2 y3
1 1,0 0,12 0,07 0,14 0,11 1,00 0,0013
2 1,5 0,19 0,17 0,12 0,16 2,25 0,0013
3 2,0 0,225 0,22 0,20 0,215 4,00 0,000175
4 2,5 0,31 0,33 0,35 0,33 6,25 0,0004
5 3,5 0,39 0,44 0,37 0,40 12,25 0,0013
Giải:
Đầu tiên ta tính hệ số Gtt theo công thức:
2
max
tt 2 2 2
1 2 m
s
G
s s ... s

  
Suy ra: Gtt = 0,0013/0,004475 = 0,290503
Theo Phụ lục 3 (tiêu chuẩn Cochran) ta tra Gb = 0,68 theo α = 0,05 và
f = 3 – 1 = 2, N = 5.
Vì Gb > Gtt thì giả thuyết về tính đồng nhất các phương sai được
chấp nhận.
XỬ LÝ CÁC KẾT QUẢ THỐNG KÊ BAN ĐẦU VÀ CHỌN MÔ HÌNH PT HỒI QUY 43
Ngoài ra ta còn có thể sử dụng Hartley's Fmax test, nhưng Hartley's
Fmax test có nhược điểm là đánh giá theo phương sai lớn nhất và nhỏ nhất
chứ không phải toàn bộ phương sai của các thí nghiệm.
Ngoài ra để kiểm tra tính đồng nhất các phương sai ta còn sử dụng
Bartlett's test, Levene's test và Brown–Forsythe test.
2.8. KIỂM TRA TÍNH ĐỒNG NHẤT CÁC PHƯƠNG SAI THEO
MẪU CÓ SỐ LƯỢNG KHÁC NHAU (Bartlett's test)
Thông thường nhà thực nghiệm xây dựng kế hoạch thí nghiệm với số
lượng mẫu giống nhau. Tuy nhiên trong thực tế phải loại bỏ các quan sát có
sai số lớn, do đó sau khi loại bỏ các quan sát này thì số lượng mẫu khác nhau.
Ta có m phương sai 2
m
2
2
2
1 s
...
s
,
s với số lượng mẫu:
m
3
2
1 n
,
n
,
n
,
n 
Khi đó sử dụng tiêu chuẩn Bartlett (Bartlett's test). Đầu tiên tính 2
y
s
f
s
f
s
m
1
2
i
i
2
y

 (2.16)
trong đó m
2
1 f
f
f
f 



với m
2
1 f
f
,
f  - số bậc tự do các phương sai tương ứng .
1
n
f i
i 
 Sau đó
tính tỷ số B = V/C với V và C xác định tương ứng:
m
2 2
y i i
i 1
V 2,303 f lgs f lgs

 
 
 
 
 
 (2.17)
m
i
i 1
1 1 1
C 1
3(m 1) f f

 
  
 
 
  
 (2.18)
Theo bảng tiêu chuẩn Barlett (Phụ lục 4) ta xác định 2
b
 theo α và k =
m – 1.
Giả thuyết về tính đồng nhất phương sai chấp nhận khi thỏa mãn điều
kiện:
2
b
B 

44 CHƯƠNG 2
Ví dụ 2.8 Nghiên cứu độ mòn khi thực nghiệm phay gỗ chukrasia với
dụng cụ cắt 8Cr6NiVTi trong giai đoạn chạy rà ta thu được các kết quả theo
Bảng 2.8:
Bảng 2.8 Kết quả đo Bán kính cong mũi dao 1 (µm)
STT
Bán kính cong mũi dao 1 (µm) theo chiều dài cắt L (km)
5.10-11
0,25 1,25 3,25 6,25 8
1 3,76 7,05 9,4 12,22 14,57 16,45
2 4,23 7,05 9,4 11,28 14,57 16,45
3 4,7 6,11 9,4 12,22 14,1 16,45
4 3,76 6,58 9,4 12,22 14,1 16,45
5 3,76 6,58 9,4 11,75 14,57 16,92
6 4,23 7,05 8,46 12,69 15,51 16,45
7 3,76 7,05 10,34 11,75 14,57 16,45
8 3,76 7,52 9,4 11,75 15,98 15,98
9 3,76 7,52 10,34 11,75 15,04 15,98
10 4,23 7,52 9,87 11,75 15,04 15,98
11 4,23 7,52 9,4 11,75 15,51 16,45
12 4,23 6,58 9,4 12,69 15,04 16,45
13 4,23 7,05 9,4 12,69 14,1 16,45
14 4,23 7,05 9,4 13,16 14,1 14,1
15 4,23 6,58 8,46 12,69 15,04 15,51
16 3,76 7,05 - 10,81 15,04 16,45
17 - - 13,16 14,1 15,98
18 - - 12,69 15,04 16,45
19 - - 11,75 15,04 15,04
20 - - 12,69 14,1 15,04
21 - - 11,28 14,1 15,98
22 - - 12,22 15,98 15,04
23 - - 12,22 15,98 16,45
24 - - 12,22 - 15,98
25 - - - - 16,45
26 - - - - 17,39
Giá trị trung bình độ tù mũi dao
4,05375 6,99125 9,43133 12,1417 14,8357 16,1065
Độ lệch chuẩn
0,291 0,416 0,517 0,599 0,647 0,685
Số mẫu đo
16 16 15 24 23 26
XỬ LÝ CÁC KẾT QUẢ THỐNG KÊ BAN ĐẦU VÀ CHỌN MÔ HÌNH PT HỒI QUY 45
Bảng 2.9 phân tích và đánh giá theo tiêu chuẩn Barllet:
Bảng 2.9
Đại lượng Ký hiệu Giá trị
Số thí nghiệm chính N 6
Số bậc tự do phương sai tái hiện f 114
Phương sai tái hiện s2
{y} 0,32
Giá trị đại lượng V1 V1 12,56
Giá trị đại lượng C1 C1 1,02
Giá trị tỉ số B1=V1/C1 B1 12,31
Giá trị tra bảng tiêu chuẩn Bartlett 2
b
 15,1
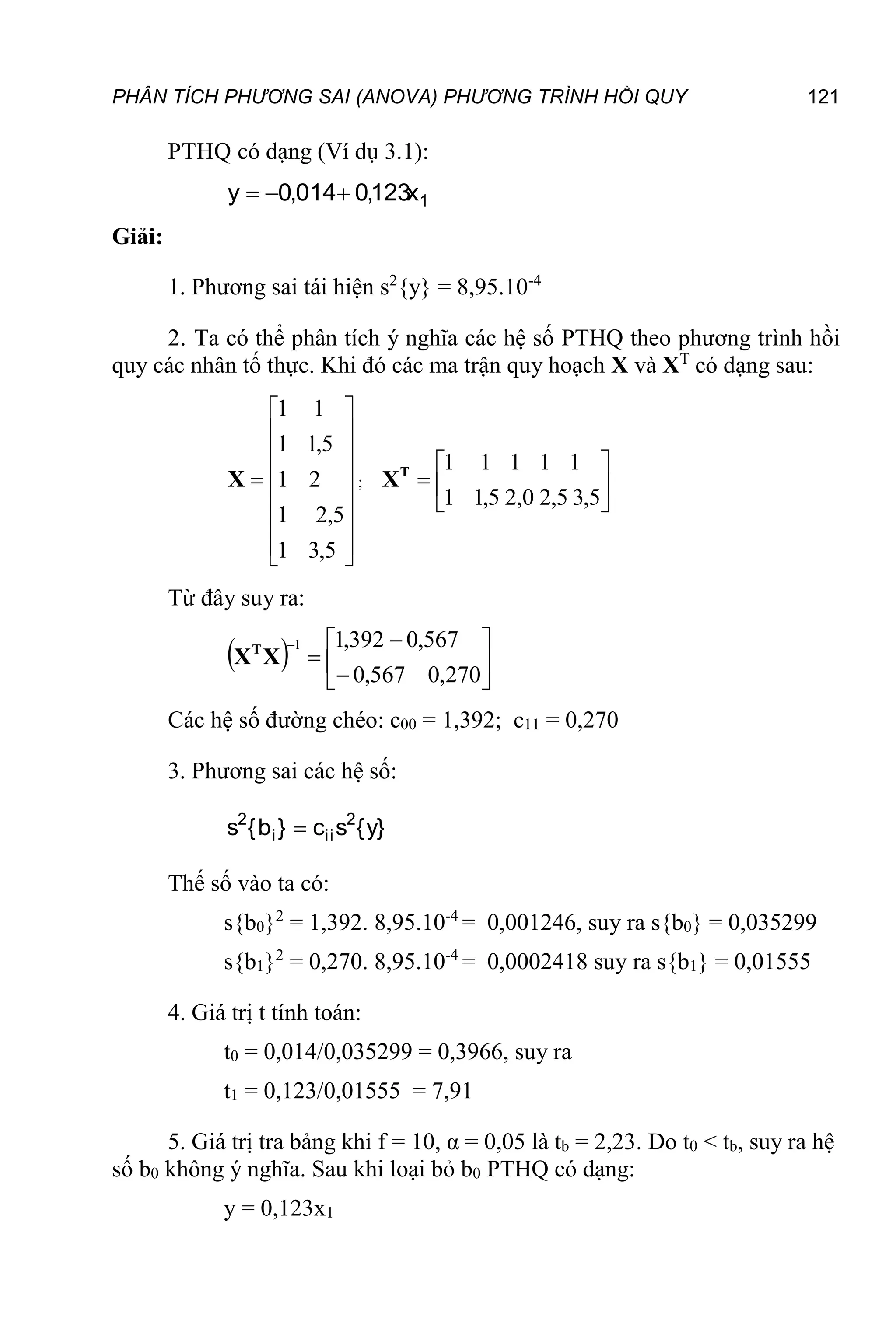
2.9. PHÂN TÍCH TƯƠNG QUAN (Analysis of covariance-ANCOVA)
Vì lý thuyết xác suất dựa trên các đại lượng ngẫu nhiên cho nên trong
lý thuyết này người ta sử dụng phụ thuộc xác suất ngẫu nhiên thay cho các
phụ thuộc hàm số.
Hai đại lượng ngẫu nhiên, như đã biết là độc lập với nhau, nếu như
mỗi quy luật phân phối của đại lượng này không phụ thuộc vào giá trị của
đại lượng ngẫu nhiên khác. Các đại lượng ngẫu nhiên này có thể là giới hạn
mỏi vật liệu chi tiết và hệ số tập trung ứng suất lý thuyết tại tiết diện nguy
hiểm của chi tiết.
Các đại lượng được gọi là phụ thuộc hàm số (Hình 2.11a) nếu như ta
biết được giá trị của một đại lượng thì suy ra một giá trị cụ thể đã biết của
đại lượng kia. Ví dụ cho sự phụ thuộc này là ứng suất và biến dạng trong
vùng biến dạng đàn hồi.
a) Phụ thuộc hàm số b) Tương quan chặt c) Tương quan yếu
Hình 2.11 Các mô hình tương quan
46 CHƯƠNG 2
Cuối cùng, các đại lượng gọi là quan hệ theo sự phụ thuộc xác suất
hoặc ngẫu nhiên nếu như theo giá trị đã biết của một đại lượng không
tương ứng với một giá trị cụ thể mà tương ứng với quy luật phân phối của
đại lượng khác (Hình 2.11b, c).
Các sự phụ thuộc xác suất không chỉ phụ thuộc vào các nhân tố tổng
quát m mà vào các nhân tố ngẫu nhiên khác nhau. Các sự phụ thuộc xác suất
đặc trưng bởi xu hướng thay đổi của một đại lượng ngẫu nhiên trong sự phụ
thuộc vào sự thay đổi của đại lượng khác. Chúng có thể chặt chẽ nhiều hoặc
ít hơn trong giới hạn không có sự phụ thuộc và có sự phụ thuộc hàm số. Ví
dụ điển hình của mối quan hệ xác suất có thể là sự phụ thuộc giữa khối
lượng và chiều cao con người.
Trong kỹ thuật các mối quan hệ xác suất rất phổ biến (ví dụ giữa các
đặc tính vật liệu và các tham số cụm máy riêng biệt).
Nghiên cứu sự phụ thuộc xác suất giữa các đại lượng ngẫu nhiên là
đối tượng của phân tích tương quan.
Thông tin đầy đủ về sự liên hệ xác suất của hai đại lượng ngẫu nhiên
là hàm mật độ phân phối chung f(x, y) hoặc mật độ phân phối (có điều kiện)
f(x/y), f(y/x) tức là mật độ phân phối các đại lượng ngẫu nhiên X và Y khi
cho trước các giá trị cụ thể x và y tương ứng.
Mật độ chung và mật độ phân phối có điều kiện liên hệ bởi các biểu
thức dưới đây:
f(x,y) =
y
f f (x, y)dy
x


 
 
 
 (2.19a)
f(x,y) =
x
f f (x, y)dx
y


 
 
 
 (2.19b)
Đối với các đại lượng ngẫu nhiên độc lập, hàm mật độ phân phối
chung f(x,y) bằng tích các hàm mật độ phân phối các đại lượng ngẫu nhiên
X và Y:
f(x,y) = fx(x)fy(y) (2.20)
Các đặc tính chủ yếu của sự phụ thuộc xác suất là mô men tương quan
(covarian) và hệ số tương quan.
Covarian của hai đại lượng ngẫu nhiên X và Y xác định theo các công
thức sau:
XỬ LÝ CÁC KẾT QUẢ THỐNG KÊ BAN ĐẦU VÀ CHỌN MÔ HÌNH PT HỒI QUY 47
- Đối với các đại lượng ngẫu nhiên rời rạc:
cov(X, Y)= i x j y ij
i j
(x m )(y m )p
 
 (2.21)
- Đối với trường hợp liên tục:
cov(X, Y) = x y
(x m )(y m )dxdy
 
 
 
  (2.22)
trong đó: mx, my - kỳ vọng của các đại lượng ngẫu nhiên X và Y;
pij - xác suất có giá trị riêng lẻ xi và yj.
Covarian đặc trưng đồng thời sự liên quan giữa các đại lượng ngẫu
nhiên và độ phân tán của chúng. Theo thứ nguyên, chúng tương ứng với
phương sai các đại lượng ngẫu nhiên độc lập.
Nếu các đại lượng ngẫu nhiên là độc lập thì covarian bằng 0 bởi vì
chúng có thể biểu diễn như là tích các mômen trung tâm của các đại lượng
X và Y, mà các đại lượng này có giá trị bằng 0.
Nếu một trong các đại lượng ngẫu nhiên có độ phân tán nhỏ thì
covarian sẽ nhỏ mặc dù có sự quan hệ chặt chẽ giữa các đại lượng ngẫu
nhiên, cho nên để rút ra các đặc tính quan hệ giữa các đại lượng ngẫu nhiên
ta chuyển sang hệ số tương quan:
(X, Y) = cov(X, Y)
x y
1
S . S
(2.23)
trong đó Sx, Sy - sai lệch bình phương trung bình các đại lượng ngẫu nhiên
X và Y.
a)  = 1 b)  = 0
Hình 2.12 Sự phụ thuộc theo giá trị hệ số tương quan 
48 CHƯƠNG 2
Hệ số tương quan đặc trưng cho mức độ chặt chẽ sự phụ thuộc và có
thể thay đổi trong miền giới hạn –1    1. Giá trị  = 1 và  = –1 tương
ứng sự phụ thuộc hàm số (Hình 2.12a), giá trị  = 0 tương ứng sự không
tương quan các đại lượng ngẫu nhiên (Hình 2.12b). Đối với các đại lượng
ngẫu nhiên độc lập ta có  = 0. Tuy nhiên  = 0 không thể kết luận chúng
độc lập.
Ta khảo sát sự tương quan giữa các đại lượng ngẫu nhiên cũng như
giữa các sự kiện và tương quan tập hợp. Đặc trưng của mối quan hệ giữa
nhiều sự kiện và đại lượng ngẫu nhiên.
Bằng cách phân tích tương tự sự liên hệ xác suất, người ta xác định
kỳ vọng có điều kiện các đại lượng ngẫu nhiên my x, mx y tức là kỳ vọng
các đại lượng ngẫu nhiên Y và X tương ứng với các giá trị cụ thể x và y
cho trước.
Sự phụ thuộc kỳ vọng có điều kiện my x vào x gọi là phép hồi quy Y
theo X. Sự phụ thuộc mx y vào y tương ứng được gọi là phép hồi quy X
theo Y.
Đối với các đại lượng ngẫu nhiên phân phối chuẩn Y và X, PTHQ có
dạng:
my|x = my +  y
x
x
S
(x m )
S
 (2.24)
Đối với phép hồi quy X theo Y:
mx|y = mx +  x
y
y
S
(y m )
S
 (2.25)
trong đó:  - hệ số tương quan;
mx, my và Sx, Sy - kỳ vọng và độ lệch chuẩn các đại lượng ngẫu nhiên
tương ứng.
Lĩnh vực ứng dụng quan trọng phân tích tương quan trong các bài
toán độ tin cậy là xử lý và tổng kết các kết quả quan sát khi làm việc (vận
hành).
Kết quả quan sát các đại lượng ngẫu nhiên Y và X được biểu diễn
bằng các cặp giá trị yi, xi của lần quan sát thứ i, trong đó i = 1, 2,..., n, với n
là số các quan sát.
XỬ LÝ CÁC KẾT QUẢ THỐNG KÊ BAN ĐẦU VÀ CHỌN MÔ HÌNH PT HỒI QUY 49
Ước lượng r của hệ số tương quan  xác định theo công thức:
r = i x i y
x y
(x )(y )
(n 1)s s
   

 (2.26)
trong đó: x
 , y
 - tương ứng ước lượng kỳ vọng mx, my, tức là giá trị trung
bình từ n quan sát:
x i
1
x
n
   ; y i
1
y
n
  
sx, sy - tương ứng ước lượng các độ lệch chuẩn Sx và Sy:
sx = 2
i x
1
(x )
n 1


 (2.27)
sy = 2
i y
1
(y )
n 1
 

 (2.28)
Đặt ước lượng các kỳ vọng có điều kiện my/x , mx/y tương ứng là Y
 và
X
 , PTHQ thực nghiệm Y theo X và X theo Y được viết dưới dạng sau:
y
y x
x
ˆ s
Y r (x )
s
     (2.29)
x
x y
y
ˆ s
X r (y )
s
     (2.30)
Tuy nhiên chỉ có một trong hai PTHQ kể trên có ý nghĩa thực tế.
Nhận xét rằng khi ước lượng hệ số tương quan r = 1 thì các đại lượng
này phụ thuộc hàm số.
Ví dụ 2.9 Xác định hệ số tương quan giữa giới hạn bền uốn  vào khối
lượng riêng  vật liệu gỗ nhân tạo. Kết quả thực nghiệm cho trong Bảng
2.10.
Bảng 2.10 Phụ thuộc giữa giới hạn bền khi uốn  vào khối lượng riêng 
vật liệu gỗ nhân tạo 
, kg/dm3 0,55 0,6 0,65 0,7 0,75 0,8
i, MPa 15 20 24 29,5 36 42
50 CHƯƠNG 2
Giải: Ta lập bảng tương quan:
Bảng 2.11
i, kg/dm3
i, MPa i - i i - i (i-i)(i -i) (i - i)2
(i - i)2
0,55 15 -0,125 -12,75 1,59375 0,015625 162,5625
0,60 20 -0,075 -7,75 0,58125 0,005625 60,0625
0,65 24 -0,025 -3,75 0,09375 0,000625 14,0625
0,70 29,5 0,025 1,75 0,04375 0,000625 3,0625
0,75 36 0,075 8,25 0,61875 0,005625 68,0625
0,80 42 0,125 14,25 1,78125 0,015625 203,0625
4,05
i=0,675
166,5
i=27,75 4,7125 0,04375 510,875
r =
i x i y
x y
(x )(y )
(n 1)s s
   


= 4,7125/(0,04375.510,875)1/2
= 4,7125/4,72766 = 0,99679
Vì r  1 cho nên sự phụ thuộc giữa hạn bền khi uốn  vào khối lượng
riêng  là phụ thuộc hàm số.
Sử dụng Minitab để xác định ước lượng hệ số tương quan r (R-
square)
1. Nhập số liệu và lưu file
2. Trên Stat menu, chọn Basic Statistics > Correlation…(Hình 2.13).
XỬ LÝ CÁC KẾT QUẢ THỐNG KÊ BAN ĐẦU VÀ CHỌN MÔ HÌNH PT HỒI QUY 51
Hình 2.13
3. Trên hộp thoại Correlation, chọn biến (Variables) và phương pháp
(Method) như Hình 2.14.
Hình 2.14
4. Nhấp OK thu kết quả.
52 CHƯƠNG 2
Correlation: C1, C2
Pearson correlation of C1 and C2 = 0.997
P-Value = 0.000
Spearman Rho: C1, C2
Spearman rho for C1 and C2 = 1.000
P-Value = *
Sử dụng Minitab để xác định R Square
Xác định PTHQ y và x (Hình 2.15).
(Polynomial Regression Analysis: C1 versus C2)
The regression equation is
C1 = - 19.1 + 63.4 C2 - 43 C2^2 + 74.1 C2^3
S = 0.541896 R-Sq = 99.9% R-Sq(adj) = 99.7%
Analysis of Variance
Source DF SS MS F P
Regression 3 510.288 170.096 579.25 0.002
Error 2 0.587 0.294
Total 5 510.875
Sequential Analysis of Variance
Source DF SS F P
Linear 1 507.604 620.65 0.000
Quadratic 1 2.679 13.55 0.035
Cubic 1 0.006 0.02 0.903
Fitted Line: C1 versus C2
Hình 2.15
XỬ LÝ CÁC KẾT QUẢ THỐNG KÊ BAN ĐẦU VÀ CHỌN MÔ HÌNH PT HỒI QUY 53
2.10. CHỌN MÔ HÌNH PHƯƠNG TRÌNH HỒI QUY
Trên cơ sở xử lý các kết quả thống kê ta thu được mô hình toán cho
đối tượng nghiên cứu. Quá trình này gọi là phân tích hồi quy, bao gồm tìm
các hệ số cho mô hình toán và xử lý dữ liệu thống kê.
Phụ thuộc giữa thông số đầu ra y và các nhân tố ngẫu nhiên x1,…,xk
bằng cách sử dụng phân tích hồi quy gọi là mô hình hồi quy:
y = f(x1, x2 … xk) (2.35)
Mô hình PTHQ chỉ là trường hợp riêng mô hình toán của đối tượng.
Thông số đầu ra có thể một hoặc nhiều hơn. Ví dụ, khi gia công một chi tiết
trên máy công cụ thì thông số đầu ra có thể là lực cắt, độ nhám bề mặt và
kích thước. Với các bài toán thiết kế có thể là ứng suất và biến dạng. Theo
kết quả một thí nghiệm ta đo được nhiều thông số đầu ra, nếu so sánh với
một thông số đầu ra thì ta chỉ tăng thêm chi phí cho việc đo và xử lý kết quả
thực nghiệm.
Mô hình hồi quy vừa tạo cho phép thu được các thông tin về chính đối
tượng và phương pháp điều khiển chúng, từ mô hình này ta phân tích được
ảnh hưởng của từng nhân tố đến thông số đầu ra và mô hình được sử dụng
chủ yếu tối ưu hóa quá trình hoặc kết cấu.
Dạng PTHQ thường cho biết trước, có thể là đa thức bậc nhất, bậc hai,
bậc cao, hàm mũ, lượng giác...
Để đánh giá dạng PTHQ ta kiểm tra tính thích hợp mô hình hồi quy.
Theo kết quả đánh giá ta chấp nhận hay bác bỏ giả thuyết rằng mô hình hồi
quy có thích hợp để mô tả đối tượng nghiên cứu không.
Đa số các trường hợp ta ứng dụng mô hình hồi quy ở dạng đa thức bậc
nhất hoặc bậc hai.
Phương trình bậc nhất:


 i
i
o x
b
b
y (2.36)
có tương tác:

 

 j
i
ij
i
i
o x
x
b
x
b
b
y (2.37)
hoặc bậc hai:
 
 


 j
i
ij
2
i
ii
i
i
o x
x
b
x
b
x
b
b
y (2.38)
Tuy nhiên, trong một số trường hợp ta không thể sử dụng đa thức bậc
hai được là do:
54 CHƯƠNG 2
1. Sự phụ thuộc đại lượng đầu ra vào nhiều nhân tố có nhiều hơn 1 giá
trị cực trị (Hình 2.16a).
2. Phụ thuộc y = f(xi) có điểm uốn (Hình 2.16b).
3. Tại vi giá trị xi, giá trị thông số đầu ra có thay đổi đột ngột (Hình
2.16c).
2
3
1
a) b) c)
Hình 2.16
Trường hợp 1 và 2 ta sử dụng đa thức bậc 3 hoặc chia thành các đoạn
1-2 và 2-3 và dùng đa thức bậc 2 để mô tả.
2.11. SỬ DỤNG MINITAB XỬ LÝ DỮ LIỆU THỐNG KÊ
2.11.1. Xử lý số liệu thống kê ban đầu
Tính Ví dụ 2.1 bằng Minitab:
1. Nhập số liệu Bảng 2.12 trên cột C1.
Bảng 2.12 Số liệu thực nghiệm, mm
10,62
10,18
10,85
11,02
9,78
10,42
10,90
10,23
9,45
10,50
10,48
11,11
11,58
9,53
10,05
9,72
10,59
9,68
10,92
9,87
10,27
10,22
10,97
10,82
10,66
10,69
10,80
9,42
10,69
10,54
10,85
10,24
10,48
10,35
11,07
9,54
11,18
9,67
11,43
9,80
10,86
11,15
10,23
10,08
9,73
11,05
10,07
10,03
10,57
10,27
9,97
9,92
10,62
10,87
10,47
10,12
10,08
9,99
9,96
9,85
9,85
10,63
10,22
9,30
9,83
10,75
10,65
10,20
9,57
9,89
10,17
10,05
10,02
10,35
10,34
10,22
9,75
10,00
9,85
10,77
11,23
10,05
10,30
10,03
10,73
9,79
10,88
10,03
10,17
10,22
9,10
10,02
11,53
11,40
9,80
9,80
9,83
10,13
10,23
10,50
11,45
10,51
10,67
10,45
10,77
9,97
10,72
10,55
10,42
11,66
9,31
9,46
10,00
11,35
9,33
10,05
10,27
10,38
10,24
10,43
10,30
11,61
10,22
9,08
10,34
10,41
11,22
11,28
9,85
9,63
10,03
10,40
10,93
10,46
10,58
10,57
9,28
10,33
9,12
10,32
9,23
11,51
10,33
9,30
9,65
9,98
10,77
10,07
9,57
10,24
XỬ LÝ CÁC KẾT QUẢ THỐNG KÊ BAN ĐẦU VÀ CHỌN MÔ HÌNH PT HỒI QUY 55
2. Trên Stat menu, chọn Basic Statistics > Display Descriptive
Statistics.
Hình 2.17
3. Trên hộp thoại Display Descriptive Statistics… chọn C1 và nút
Select.
Hình 2.18
4. Trên hộp thoại Display Descriptive Statistics: Statistics và Graphs
chọn các chọn các kết quả và đồ thị cần xuất.
Hình 2.19
56 CHƯƠNG 2
5. Nhấp nút OK và có các kết quả như sau:
Descriptive Statistics: C1
Variable Mean SE Mean StDev Variance CoefVar Minimum Maximum
C1 10.306 0.0466 0.571 0.326 5.54 9.080 11.660
a) b)
c)
Hình 2.20
XỬ LÝ CÁC KẾT QUẢ THỐNG KÊ BAN ĐẦU VÀ CHỌN MÔ HÌNH PT HỒI QUY 57
2.11.2. Kiểm tra phân phối chuẩn (Normality test)
1. Trên Stat menu, chọn Basic Statistics > Normality Test,…
Hình 2.21
2. Trên hộp thoại Display Descriptive Statistics,… chọn C1 và nút
Select.
Hình 2.22
58 CHƯƠNG 2
3. Trên mục Percentile Lines chọn None. Nhấp OK.
Hình 2.23
4. Do P-Value = 0,480 > 0,05 nên kiểm tra phân phối chuẩn được thỏa.
2.11.3. Kiểm tra tính đồng nhất 2 phương sai (F-Test for Equality of Two
Variances)
Ví dụ 2.10 Nhiệt độ đo được khi thực nghiệm trong 2 tháng khác nhau có
các kết quả Bảng 2.13. Lập bảng giá trị, xác định giá trị trung bình, độ lệch
chuẩn và vẽ các biểu đồ phân bố. Nhận xét về kết quả thu được giữa 2
tháng. Yêu cầu:
a) Tính giá trị trung bình và phương sai (hay độ lệch chuẩn)
b) Kiểm tra tính đồng nhất hai phương sai.
Bảng 2.13
Kết quả tháng 8 Kết quả tháng 9
35
39
37
35
34
38
40
37
33
38
36
35
38
39
36
35
37
35
39
36
38
27
28
29
29
27
28
23
29
24
24
25
29
21
30
33
20
32
27
28
26
22
XỬ LÝ CÁC KẾT QUẢ THỐNG KÊ BAN ĐẦU VÀ CHỌN MÔ HÌNH PT HỒI QUY 59
1. Nhập các số liệu vào cột C1 và C2
2. Trên menu Stat, chọn Basic Statistics> 2 Variances…
Hình 2.24
3. Trên hộp thoại Two-Sample Variance chọn C1 là Sample 1 và C2
là Sample 2.
Hình 2.25
4. Chọn các nút và OK xuất kết quả.
60 CHƯƠNG 2
Test and CI for Two Variances: Thang 8, Thang 9
Method
Null hypothesis σ(Thang 8) / σ(Thang 9) = 1
Alternative hypothesis σ(Thang 8) / σ(Thang 9) ≠ 1
Significance level α = 0.05
Statistics
95% CI for
Variable N StDev Variance StDevs
Thang 8 21 1.880 3.533 (1.510, 2.581)
Thang 9 21 3.437 11.814 (2.655, 4.908)
Ratio of standard deviations = 0.547
Ratio of variances = 0.299
Do Fb = 2,12 < Ftt = 1/0,299 = 3,34 nên hai phương sai không đồng
nhất (Ftt > Fb).
95% Confidence Intervals
Method CI for StDev Ratio CI for Variance Ratio
Bonett (0.370, 0.844) (0.137, 0.712)
Levene (0.375, 0.966) (0.141, 0.934)
Tests
Test Method DF1 DF2 Statistic P-Value
Bonett 1 — 6.35 0.012
Levene 1 40 4.59 0.038
P-Value < 0,05 nên hai phương sai không đồng nhất.
XỬ LÝ CÁC KẾT QUẢ THỐNG KÊ BAN ĐẦU VÀ CHỌN MÔ HÌNH PT HỒI QUY 61
Test and CI for Two Variances: Thang 8, Thang 9
Hình 2.26
Histogram of Thang 8, Thang 9
Hình 2.27
Ví dụ 2.11. Thử nghiệm cho 1 loại vật liệu bánh hơi cao su ta thu được các
kết quả Bảng 2.14 với kết quả là số lần hạ cánh cho đến lúc hỏng.
62 CHƯƠNG 2
Bảng 2.14
Số hiệu máy bay 1 2 3 4 5 6 7 8 9 10
Số lần hạ cánh cho đến
lúc hỏng
7
5
64
5
5
14
45
7
55
14
25
8
61
5
24
24
56
38
32
27
57
32
14
56
49
10
5
14
7
24
57
46
7
14
38
26
7
64
32
41
68
17
18
10
32
66
8
14
8
24
Nhân xét về sự tương quan giữa các kết quả.
Welcome to Minitab, press F1 for help.
Test for Equal Variances: C1, C2, C3, C4, C5, C6, C7, C8, C9, C10
Hình 2.28
Method
Null hypothesis All variances are equal
Alternative hypothesis At least one variance is different
Significance level α = 0.05
95% Bonferroni Confidence Intervals for Standard Deviations
Sample N StDev CI
C1 5 26.1763 (2.66029, 587.254)
C2 5 21.4826 (6.68506, 157.400)
C3 5 21.4826 (6.68506, 157.400)
C4 5 12.6807 (1.94499, 188.498)
C5 5 18.3929 (3.94742, 195.401)
C6 5 7.5166 (1.22975, 104.754)
C7 5 21.2438 (6.32173, 162.767)
C8 5 20.8926 (3.66336, 271.671)
C9 5 23.2164 (3.15183, 389.910)
C10 5 24.3721 (2.96048, 457.470)
Individual confidence level = 99.5%
XỬ LÝ CÁC KẾT QUẢ THỐNG KÊ BAN ĐẦU VÀ CHỌN MÔ HÌNH PT HỒI QUY 63
Tests
Test
Method Statistic P-Value
Multiple comparisons — 0.601
Levene 0.22 0.990
Hình 2.29
2.11.4. Giá trị p (p – value - Probability value)
Về bản chất thì p-value và α cùng có nghĩa là mức ý nghĩa (level of
significance). Tuy nhiên α được chọn trước, còn p-value là giá trị được
xác định khi quan sát.
Khi kiểm nghiệm một giả thuyết, chúng ta chọn một mức ý nghĩa
(α), và sau đó tính toán số liệu thống kê dựa trên dữ liệu để xác định một
mức ý nghĩa quan sát được (p-value). Cuối cùng, so sánh 2 mức này (α và p-
value) để đưa ra quyết định bác bỏ giả thuyết hoặc không bác bỏ giả thuyết.
Giá trị p-value và α được xác định theo điểm phân vị của phân phối
chuẩn và được ký hiệu là z là tỉ số của giá trị trung bình m và độ lệch chuẩn
S (tra theo Phụ lục 4):
z =
m
S
64 CHƯƠNG 2
Diện tích của miền bác bỏ (rejection region)
Theo định nghĩa, α là phần diện tích phía dưới phân phối chuẩn. Với
kiểm nghiệm 1-đuôi (1-tailed test), α sẽ là toàn bộ phần diện tích ở phía
đuôi phải (right-tailed test) hoặc đuôi trái (left-tailed test).
Hình 2.30 Kiểm nghiệm một đuôi: a) đuôi trái; b) đuôi phải
Đối với kiểm nghiệm 2-đuôi (2-tailed test), phần diện tích sẽ được
chia đều giữa phần đuôi phải (right-tailed) và đuôi trái (left-tailed):
Hình 2.31 Kiểm nghiệm hai đuôi
Vì p-value là mức ý nghĩa quan sát được, nó cũng là phần diện tích ở
dưới phân phối chuẩn. Điểm khác biệt chính giữa α và p:
- α tương ứng với giá trị tra bảng zc (critical value zc - được xác định
theo giá trị điểm phân vị zc = m/s và được chọn trước). Ví dụ,
đuôi phải test với giá trị tra bảng zc = 1,65; khi đó α tương ứng là 5
% .
- p tương ứng giá trị tính toán ztt (calculated value - được tính
toán): ztt được tính từ các số liệu thống kê. Ví dụ, nếu ta tính ra
ztt = 2,00 giá trị p-value tương ứng sẽ là 2,27 % (xem Phụ lục 5).
Chúng ta có thể lấy được con số này bằng tra bảng phân phối
chuẩn, giá trị ứng với z = 2,00 là 0,9773, đồng nghĩa với việc
phần diện tích ở phía phải của z = 1,80 là 1 – 0,9773 = 0,0227, hay
2,27 %).
XỬ LÝ CÁC KẾT QUẢ THỐNG KÊ BAN ĐẦU VÀ CHỌN MÔ HÌNH PT HỒI QUY 65
Nếu giá trị tra bảng zc = 1,65 và giá trị tính toán ztt = 2,0 chúng ta sẽ
bác bỏ giả thuyết Null (Null hypothesis). Một cách nói khác là nếu chúng
ta có α = 5 % và p-value = 2,27 %, ta bác bỏ giả thuyết. Đồ thị minh họa
như sau:
Hình 2.32 Giả thuyết Null (α= 5%; 1 – đuôi, p = 2,27%)
Tổng quát hóa: nếu p < α thì bác bỏ giả thuyết Null, ngược lại
nếu p > α thì không bác bỏ giả thuyết Null.
Với kiểm nghiệm 1-đuôi, một vài ví dụ của p-value và giá trị z tương
ứng trong Bảng 2.15 (Phụ lục 5).
Bảng 2.15
1-Tailed Test 2-Tailed Test
p-value z - statistic p-value z-statistic
0,50% 2,58 0,50 % ±2,81
1,00% 2,33 1,00 % ±2,58
1,50% 2,17 1,50% ±2,43
2,00% 2,05 2,00% ±2,33
2,50% 1,96 2,50% ±2,24
5,00% 1,64 5,00% ±1,96
10,00% 1,28 10,00% ±1,64
15,00% 1,04 15,00% ±1,44
20,00% 0,84 20,00% ±1,28
66 CHƯƠNG 2
Ví dụ 2.12 Giả sử đang thực hiện kiểm nghiệm 2-đuôi. Mức ý nghĩa α
được chọn là 5 %, và kết quả tính được p-value là 2%. Cho biết các giá trị
tra bảng zc, z- tính toán tương ứng? Dựa vào đó, bác bỏ hay không bác bỏ
giả thuyết Null ?
Giải:
Do p < α nên chúng ta bác bỏ giả thuyết Null. Vùng bác bỏ (α – màu
đỏ) và p-value – màu xanh được minh họa như Hình 2.33.
Hình 2.33 α= 5%; 2 – đuôi, p = 2%
Vì là kiểm định 2 đuôi, chúng ta tìm trong bảng các giá trị z tương
ứng với 2,5% (= 5%/2) và 1% (= 2%/2). Ta tìm được zc tra bảng là
1,96 và −1,96 và ztt giá trị tính toán là 2,33 hoặc -2,33. Bởi vì 1,96 < 2,33 và
-1,96 > -2,33; ta bác bỏ giả thuyết Null.
Kurtosis là một chỉ số để đo lường về đặc điểm hình dáng của một
phân phối xác suất. Cụ thể hơn, nó so sánh độ cao phần trung tâm của một
phân phối với một phân phối chuẩn. Phần trung tâm càng cao và nhọn, chỉ
số Kurtosis của phân phối đó càng lớn. Hay nói cách khác, Kurtosis đo
lường độ phân tán phần đuôi của một phân phối xác suất. Tùy vào giá trị
kurtosis: 3 - phân phối chuẩn; < 3: nhọn hơn (Platykurtic – 2,7); > 3: tù hơn
(Leptokurtic – 4) như Hình 2.34.
XỬ LÝ CÁC KẾT QUẢ THỐNG KÊ BAN ĐẦU VÀ CHỌN MÔ HÌNH PT HỒI QUY 67
Hình 2.34 Kurtosis
Kurtosis của một mẫu được xác định theo công thức sau:
 
 

 
  
 
N N
4 4
i i
i 1 i 1
4 4
(x x) (x x)
N(N 1) 1
Kurtosis
(N 1)(N 2)(N 3) N
S S
(2.39)
Lưu ý, tuy trên đồ thị không thể hiện rõ lắm, nhưng phân phối
Leptokurtic có phần đuôi (phần lớn hơn +4 và nhỏ hơn -4) “rộng” hơn
phân phối chuẩn khoảng gấp đôi, và phân phối Platykurtic có phần
đuôi “hẹp” hơn phân phối chuẩn khoảng một nửa.
Độ lệch (skewness) của một phân phối xác suất đo lường sự đối xứng
của phân phối đó. Giá trị tuyệt đối của độ lệch càng cao thì phân
phối đó càng bất đối xứng. Một phân phối đối xứng có độ lệch bằng 0. Độ
lệch được xác định theo công thức sau:
 
 
 
 
 
N N
3 3
i i
i 1 i 1
3 3
(x x) (x x)
N 1
Skewness
(N 1)(N 2) N
S S
(2.40)
Tính chất quan trọng của độ lệch được minh họa qua Hình 2.35 với
một phân phối có một mode duy nhất, cần phải biết giá trị tương đối của giá
trị trung bình (mean), mốt (mode) và trung vị (median).
Nếu phân phối có độ lệch dương – nó sẽ bị lệch sang trái – khi đó:
mean > median > mode.
Ngược lại, nếu phân phối có độ lệch âm – nó sẽ bị lệch sang phải –
khi đó: mean < median < mode.
68 CHƯƠNG 2
a) Độ lệch dương b) Độ lệch chuẩn c) Độ lệch âm
Hình 2.35 Skewness (Độ lệch)
BÀI TẬP
2.1. Thời gian làm việc cho đến lúc hỏng của sản phẩm điện tử cho trong
dãy số sau: 159; 280; 125; 212; 224; 379; 179; 264; 222; 362; 125; 250;
149; 260; 420; 170; 285; 290; 286; 320; 333; 250; 246; 340; 320. Lập bảng,
xác định giá trị trung bình, độ lệch chuẩn và vẽ các biểu đồ phân bố.
2.2. Khi đo kiểm tra 15 lần chỉ số Octan của 1 loại nhiên liệu ta thu được
các kết quả Bảng 2.16.
Bảng 2.16
38
41
41
42
39
38
41
44
45
41
44
42
41
40
40
42
45
41
44
43
43
37
40
39
41
Lập bảng giá trị, xác định giá trị trung bình, độ lệch chuẩn và vẽ các
biểu đồ phân bố.
2.3. Số sản phẩm được chế tạo bởi một xí nghiệp thu được các giá trị
Bảng 2.17.
Bảng 2.17
136
134
143
118
128
141
134
150
122
127
122
149
134
128
136
144
125
126
142
142
132
238
128
122
132
138
140
135
127
144
128
127
131
130
126
133
135
136
127
125
123
119
118
139
124
127
129
150
132
132
133
137
133
145
117
150
138
135
145
145
130
133
131
122
139
144
138
138
140
137
131
130
132
130
132
133
147
140
133
132
XỬ LÝ CÁC KẾT QUẢ THỐNG KÊ BAN ĐẦU VÀ CHỌN MÔ HÌNH PT HỒI QUY 69
Lập bảng giá trị, xác định giá trị trung bình, độ lệch chuẩn và vẽ các
biểu đồ phân bố.
2.4. Giới hạn chảy (MPa) khi thử nghiệm 100 mẫu của 1 loại vật liệu có
các giá trị Bảng 2.18.
Bảng 2.18
150
152
163
161
139
166
142
156
154
160
154
150
141
159
153
135
144
148
150
148
148
166
148
149
154
158
150
153
151
138
149
158
139
146
136
155
145
151
154
141
160
138
153
156
166
138
145
150
138
158
147
151
171
152
169
136
146
158
154
156
158
147
141
130
147
136
157
168
158
167
164
136
143
137
152
150
125
139
134
155
153
160
156
142
156
159
144
139
146
144
135
160
164
152
154
173
132
164
154
147
Lập bảng giá trị, xác định giá trị trung bình, độ lệch chuẩn và vẽ các
biểu đồ phân bố.
2.5. Nhiệt độ đo được khi thực nghiệm trong 2 tháng khác nhau có các kết
quả như Bảng 2.19 (Số mẫu khác nhau).
Bảng 2.19
Kết quả tháng 8 Kết quả tháng 9
35
39
37
35
34
38
40
37
33
38
36
35
38
36
35
37
35
39
36
27
28
29
29
27
28
23
29
24
24
25
29
21
30
33
20
32
27
28
26
22
Lập bảng giá trị, xác định giá trị trung bình, độ lệch chuẩn và vẽ các
biểu đồ phân bố. Nhận xét về kết quả thu được giữa 2 tháng. Yêu cầu:
a) Tính giá trị trung bình và phương sai (hay độ lệch chuẩn)
b) Kiểm tra các sai số lớn
c) Kiểm tra tính đồng nhất hai phương sai.
2.6. Thời gian thực hiện sản phẩm cho trong Bảng 2.20.
70 CHƯƠNG 2
Bảng 2.20
Yêu cầu:
a) Tính giá trị trung bình và phương sai (hay độ lệch chuẩn)
b) Kiềm tra các sai số lớn
c) Kiểm tra tính đồng nhất hai phương sai.
2.7. Tiến hành thực nghiệm để xác định tuổi thọ 1 loại bánh hơi cao su của
càng máy bay cho 10 máy bay khác nhau. Kết quả thu được là số lần hạ
cánh máy bay cho đến lúc bánh hơi bằng cao su bị hỏng. Đối với mỗi máy
bay ta thu 5 kết quả khác nhau.
a) Đối với mỗi máy bay lập bảng giá trị, xác định giá trị trung bình,
độ lệch chuẩn và vẽ các biểu đồ phân bố.
b) Nhận xét và giải thích về các kết quả thu được.
Bảng 2.21
Số hiệu máy bay 1 2 3 4 5 6 7 8 9 10
Số lần hạ cánh cho đến
lúc bánh hơi bị hỏng
7
5
64
5
5
14
45
7
55
14
25
8
61
5
24
24
56
38
32
27
57
32
14
56
49
10
5
14
7
24
57
46
7
14
38
26
7
64
32
41
68
17
18
10
32
66
8
14
8
24
c) Tiếp tục thử nghiệm cho 1 loại vật liệu bánh hơi cao su khác ta thu
được các kết quả sau:
Số hiệu máy bay 1 2 3 4 5 6 7 8 9 10
Số lần hạ cánh cho đến
lúc bánh hơi bị hỏng
7
5
64
5
5
14
45
7
55
14
25
8
61
5
24
24
56
38
32
27
57
32
14
56
49
10
5
14
7
24
57
46
7
14
38
26
7
64
32
41
68
17
18
10
32
66
8
14
8
24
Nhận xét về sự tương quan giữa các kết quả.
XỬ LÝ CÁC KẾT QUẢ THỐNG KÊ BAN ĐẦU VÀ CHỌN MÔ HÌNH PT HỒI QUY 71
2.8. Bài tập lớn
Khi tiện chi tiết trục trên máy tiện ta đo được các giá trị đường kính d
theo các phương án sau. Yêu cầu:
a) Xác định các đặc tính phân bố giá trị đường kính d (giá trị trung
bình, độ lệch chuẩn).
b) Hàm mật độ phân phối f(d), vẽ đồ thị.
c) Kiểm tra bằng phần mềm Minitab. So sánh kết quả.
d) Tìm khoảng tin cậy kỳ vọng và số thí nghiêm lặp.
e) Tìm giá trị trung bình và độ lệch chuẩn 20 giá trị đầu và 20 giá trị
cuối, đánh giá tính đồng nhất 2 phương sai .
f) Tìm giá trị trung bình và độ lệch chuẩn 10 giá trị đầu và 40 giá trị
cuối, đánh giá tính đồng nhất 2 phương sai.
g) Đánh giá số nhỏ nhất và lớn nhất có phải sai số thô không?
Phương án 1
45,455
45,308
45,537
45,691
45,680
45,760
45,172
45,465
45,664
45,337
45,396
45,246
45,223
45,353
45,384
45,182
45,415
45,439
45,520
45,445
45,451
45,444
45,701
45,487
45,472
45,423
45,796
45,630
45,856
45,402
45,749
45,258
45,581
45,635
45,788
45,487
45,421
45,601
45,443
45,614
45,283
45,373
45,272
45,446
45,495
45,504
45,452
45,829
45,239
45,390
45,113
45,717
45,308
45,402
45,614
45,570
45,631
45,589
45,294
45,333
45,604
45,548
45,359
45,464
45,520
45,584
45,521
45,363
45,783
45,573
45,511
45,624
45,629
45,405
45,362
45,667
45,320
45,266
45,607
45,596
Phương án 2
29,680
29,404
29,593
29,467
29,307
29,438
29,512
29,428
29,578
29,730
29,378
29,593
29,407
29,549
29,247
29,740
29,286
29,430
29,583
29,479
29,553
29,251
29,285
29,389
29,367
29,398
29,556
29,490
29,513
29,279
29,274
29,597
29,231
29,486
29,523
29,357
29,631
29,480
29,461
29,517
29,463
29,383
29,379
29,483
29,317
29,211
29,649
29,490
29,696
29,481
29,485
29,691
29,617
29,357
29,395
29,527
29,740
29,648
29,532
29,404
29,512
29,652
29,749
29,741
29,708
29,449
29,477
29,501
29,500
29,507
29,274
29,412
29,292
29,425
29,620
29,675
29,224
29,394
29,762
29,633
72 CHƯƠNG 2
Phương án 3
37,499
37,495
37,614
37,368
37,478
37,586
37,611
37,510
37,451
37,476
37,327
37,646
37,553
37,348
37,312
37,467
37,521
37,657
37,509
37,299
37,430
37,432
37,422
37,567
37,446
37,421
37,609
37,330
37,444
37,478
37,402
37,767
37,613
37,738
37,943
37,563
37,333
37,614
37,652
37,552
37,638
37,484
37,665
37,517
37,593
37,353
37,444
37,471
37,506
37,367
37,401
37,507
37,578
37,560
37,521
37,389
37,491
37,416
37,571
37,281
37,484
37,416
37,462
37,270
37,334
37,286
37,419
37,474
37,443
37,785
37,432
37,290
37,537
37,501
37,498
37,567
37,425
37,506
37,371
37,610
Phương án 4
53,822
53,727
53,349
53,525
53,572
53,531
53,409
53,692
53,803
53,586
53,734
53,323
53,626
53,335
53,726
53,440
53,954
53,555
53,765
53,573
53,383
53,471
53,608
53,577
53,621
53,294
53,601
53,594
53,416
53,510
53,167
53,691
53,559
53,228
53,459
53,476
53,584
53,563
53,215
53,529
53,509
53,478
53,734
53,444
53,359
53,368
53,487
53,652
53,371
53,344
53,541
53,380
53,276
53,402
53,440
53,113
53,505
53,780
53,542
53,290
53,623
53,698
53,685
53,284
53,607
53,360
53,624
53,512
53,389
53,554
53,433
53,627
53,306
53,464
53,371
53,656
53,481
53,504
53,474
53,628
Phương án 5
43,697
43,696
43,639
43,517
43,610
43,740
43,433
43,538
43,524
43,582
43,505
43,659
43,566
43,638
43,585
43,334
43,560
43,917
43,215
43,743
43,283
43,616
43,575
43,497
43,333
43,573
43,412
43,354
43,597
43,341
43,504
43,415
43,175
43,336
43,747
43,335
43,590
43,774
43,438
43,214
43,605
43,186
43,718
43,509
43,282
43,775
43,491
43,848
43,402
43,421
43,429
43,738
43,328
43,531
43,369
43,990
43,492
43,447
43,327
43,768
43,491
43,334
43,838
43,439
43,587
43,394
43,507
43,402
43,510
43,342
43,647
43,344
43,489
43,806
43,602
43,673
43,570
43,600
43,537
43,685
Phương án 6
43,697
43,696
43,639
43,517
43,610
43,740
43,433
43,538
43,524
43,582
43,505
43,659
43,566
43,638
43,585
43,334
43,560
43,917
43,215
43,743
43,283
43,616
43,575
43,497
43,333
43,573
43,412
43,354
43,597
43,341
43,504
43,415
43,175
43,336
43,747
43,335
43,590
43,774
43,438
43,214
43,605
43,186
43,718
43,509
43,282
43,775
43,491
43,848
43,402
43,421
43,429
43,738
43,328
43,531
43,369
43,990
43,492
43,447
43,327
43,768
43,491
43,334
43,838
43,439
43,587
43,394
43,507
43,402
43,510
43,342
43,647
43,344
43,489
43,806
43,602
43,673
43,570
43,600
43,537
43,685
XỬ LÝ CÁC KẾT QUẢ THỐNG KÊ BAN ĐẦU VÀ CHỌN MÔ HÌNH PT HỒI QUY 73
Phương án 7
23,822
23,727
23,349
23,525
23,572
23,531
23,409
23,692
23,803
23,586
23,734
23,323
23,626
23,335
23,726
23,440
23,954
23,555
23,765
23,573
23,383
23,471
23,608
23,577
23,621
23,294
23,601
23,594
23,416
23,510
23,167
23,691
23,559
23,228
23,459
23,476
23,584
23,563
23,215
23,529
23,509
23,478
23,734
23,444
23,359
23,368
23,487
23,652
23,371
23,344
23,541
23,380
23,276
23,402
23,440
23,113
23,505
23,780
23,542
23,290
23,623
23,698
23,685
23,284
23,607
23,360
23,624
23,512
23,389
23,554
23,433
23,627
23,306
23,464
23,371
23,656
23,481
23,504
23,474
23,628
Phương án 8
29,680
29,292
29,593
29,467
29,307
29,438
29,512
29,428
29,578
29,404
29,378
29,593
29,407
29,549
29,247
29,740
29,286
29,730
29,583
29,479
29,553
29,251
29,285
29,389
29,367
29,430
29,556
29,490
29,513
29,279
29,274
29,597
29,231
29,398
29,523
29,357
29,631
29,480
29,461
29,517
29,463
29,486
29,379
29,483
29,317
29,211
29,649
29,490
29,696
29,383
29,485
29,691
29,617
29,357
29,395
29,527
29,449
29,481
29,532
29,404
29,512
29,652
29,749
29,741
29,740
29,648
29,477
29,501
29,500
29,507
29,274
29,412
29,708
29,425
29,620
29,675
29,224
29,394
29,762
29,633
Phương án 9
32,680
32,404
32,593
32,467
32,307
32,438
32,512
32,428
32,578
32,730
32,378
32,593
32,407
32,549
32,247
32,740
32,286
32,430
32,583
32,479
32,553
32,251
32,285
32,389
32,367
32,398
32,242
32,024
32,513
32,279
32,274
32,597
32,231
32,486
32,523
32,357
32,631
32,480
32,461
32,517
32,463
32,383
32,379
32,483
32,317
32,211
32,649
32,490
32,696
32,383
32,485
32,691
32,617
32,357
32,395
32,527
32,740
32,648
32,532
32,404
32,512
32,132
32,749
32,741
32,708
32,449
32,477
32,501
32,500
32,507
32,274
32,896
32,292
32,425
32,620
32,675
32,224
32,394
32,762
32,633
Phương án 10
45,387
45,418
45,527
45,580
45,303
45,405
45,611
45,410
45,450
45,591
45,501
45,577
45,252
45,811
45,670
45,763
45,113
45,569
45,520
45,206
45,308
45,351
45,810
45,703
45,585
45,396
45,322
45,406
45,242
45,391
45,315
45,305
45,670
45,479
45,560
45,337
45,658
45,338
45,572
45,454
45,780
45,726
45,269
45,584
45,536
45,277
45,341
45,678
45,572
45,498
45,525
45,550
45,547
45,566
45,410
45,329
45,803
45,347
45,428
45,298
45,571
45,559
45,484
45,542
45,704
45,656
45,495
45,666
45,405
45,545
45,677
45,534
45,495
45,553
45,364
45,452
45,325
45,549
45,431
45,856
74 CHƯƠNG 2
Phương án 11
142,197
142,271
142,563
142,313
142,475
142,715
142,534
142,479
142,396
142,558
142,469
142,532
142,797
142,755
142,605
142,553
142,701
142,490
142,516
142,214
142,300
142,116
142,356
142,289
142,556
142,596
142,575
142,632
142,563
142,307
142,567
142,391
142,595
142,499
142,471
142,670
142,373
142,761
142,544
142,688
142,305
142,544
142,566
142,377
142,578
142,437
142,385
142,936
142,766
142,793
142,398
142,513
142,456
142,677
142,319
142,359
142,525
142,781
142,570
142,661
142,398
142,619
142,756
142,275
142,192
142,397
142,454
142,237
142,583
142,291
142,207
142,747
142,445
142,518
142,712
142,636
142,478
142,373
142,461
142,288
Phương án 12
105,174
105,570
105,675
105,336
105,383
105,340
105,254
105,521
105,603
105,828
105,871
105,267
105,296
105,568
105,574
105,761
105,273
105,357
105,284
105,625
105,669
105,377
105,314
105,731
105,438
105,524
105,207
105,657
105,592
105,516
105,717
105,523
105,243
105,441
105,466
105,649
105,184
105,262
105,403
105,749
105,758
105,575
105,468
105,566
105,406
105,488
105,420
105,603
105,455
105,572
105,471
105,488
105,112
105,473
105,585
105,797
105,351
105,714
105,776
105,376
105,670
105,140
105,468
105,567
105,602
105,645
105,550
105,460
105,685
105,379
105,361
105,649
105,784
105,609
105,387
105,779
105,992
105,403
105,384
105,506
Phương án 13
54,405
54,398
54,517
54,389
54,639
54,630
54,604
54,551
54,446
54,802
54,160
54,533
54,355
54,757
54,441
54,779
54,672
54,440
54,520
54,496
54,614
54,494
54,495
54,966
54,558
54,473
54,578
54,283
54,737
54,458
54,494
54,253
54,394
54,512
54,321
54,526
54,340
54,669
54,663
54,597
54,644
54,518
54,598
54,553
54,259
54,324
54,857
54,730
54,581
54,597
54,760
54,593
54,225
54,988
54,491
54,783
54,469
54,359
54,435
54,840
54,737
54,543
54,513
54,534
54,899
54,512
54,618
54,466
54,658
54,392
54,682
54,496
54,359
54,498
54,611
54,584
54,559
54,943
54,957
54,577
Phương án 14
73,822
73,727
73,349
73,525
73,572
73,531
73,409
73,692
73,803
73,126
73,734
73,323
73,195
73,500
73,726
73,440
73,954
73,555
73,765
73,573
73,383
73,471
73,608
73,780
73,621
73,294
73,601
73,594
73,416
73,510
73,167
73,691
73,559
73,228
73,459
73,476
73,584
73,563
73,406
73,529
73,509
73,478
73,734
73,444
73,359
73,368
73,487
73,652
73,371
73,344
73,541
73,219
73,276
73,593
73,440
73,113
73,505
73,780
73,542
73,290
73,623
73,698
73,685
73,874
73,607
73,360
73,624
73,512
73,389
73,313
73,687
73,627
73,306
73,464
73,371
73,656
73,481
73,504
73,474
73,628
XỬ LÝ CÁC KẾT QUẢ THỐNG KÊ BAN ĐẦU VÀ CHỌN MÔ HÌNH PT HỒI QUY 75
Phương án 15
42,116
42,424
42,909
42,368
42,279
42,681
42,804
42,932
42,219
42,328
42,319
42,901
42,189
42,307
42,399
42,851
42,322
42,321
42,599
42,478
42,318
42,390
42,666
42,387
42,425
42,427
42,117
42,869
42,934
42,648
42,895
42,461
42,528
42,507
42,900
42,277
42,555
42,929
42,709
42,309
42,631
42,531
42,400
42,544
42,807
42,142
42,649
42,687
42,734
42,602
42,632
42,449
42,689
42,241
42,603
42,803
42,837
42,722
42,566
42,369
42,333
42,297
42,877
42,688
42,218
42,709
42,538
42,357
42,888
42,444
42,629
42,348
42,320
42,836
42,599
42,258
42,547
42,682
42,364
42,686
Phương án 16
17,397
17,418
17,547
17,580
17,303
17,405
17,611
17,410
17,450
17,591
17,501
17,364
17,252
17,801
17,387
17,913
17,499
17,569
17,520
17,672
17,308
17,351
17,810
17,703
17,585
17,396
17,322
17,425
17,242
17,872
17,355
17,305
17,670
17,479
17,560
17,337
17,658
17,338
17,572
17,454
17,780
17,726
17,269
17,584
17,536
17,277
17,341
17,679
17,572
17,498
17,525
17,550
17,557
17,566
17,410
17,329
17,803
17,347
17,428
17,595
17,971
17,557
17,691
17,542
17,704
17,656
17,495
17,666
17,405
17,545
17,677
17,534
17,495
17,553
17,364
17,452
17,325
17,549
17,431
17,724
Phương án 17
77,317
77,438
77,529
77,880
77,333
77,435
77,621
77,490
77,410
77,531
77,501
77,364
77,252
77,810
77,387
77,413
77,499
77,549
77,520
77,672
77,308
77,351
77,800
77,703
77,535
77,396
77,392
77,406
77,272
77,882
77,315
77,305
77,640
77,499
77,560
77,387
77,678
77,338
77,592
77,454
77,780
77,726
77,269
77,594
77,536
77,277
77,341
77,678
77,582
77,498
77,525
77,550
77,547
77,566
77,410
77,329
77,803
77,347
77,428
77,565
77,570
77,559
77,691
77,542
77,708
77,653
77,405
77,606
77,405
77,845
77,687
77,504
77,490
77,503
77,374
77,252
77,335
77,589
77,436
77,723
Phương án 18
25,405
25,309
25,597
25,691
25,680
25,769
25,132
25,485
25,664
25,337
25,396
25,246
25,222
25,353
25,384
25,182
25,415
25,439
25,527
25,445
25,451
25,444
25,701
25,487
25,479
25,423
25,796
25,630
25,856
25,402
25,749
25,288
25,581
25,635
25,888
25,487
25,491
25,601
25,843
25,684
25,253
25,373
25,272
25,446
25,490
25,564
25,452
25,629
25,239
25,320
25,113
25,717
25,308
25,402
25,614
25,579
25,631
25,589
25,694
25,333
25,684
25,548
25,359
25,484
25,520
25,584
25,561
25,363
25,783
25,573
25,581
25,654
25,699
25,405
25,362
25,777
25,329
25,286
25,607
25,599
76 CHƯƠNG 2
Phương án 19
140,997
140,271
140,563
140,493
140,475
140,340
140,254
140,521
140,603
140,558
140,469
140,532
140,707
140,755
140,574
140,761
140,273
140,357
140,516
140,214
140,300
140,116
140,356
140,731
140,439
140,524
140,207
140,632
140,563
140,307
140,567
141,391
140,243
140,441
140,466
140,649
140,373
140,761
140,504
140,688
140,305
140,575
140,468
140,566
140,406
140,437
140,385
140,936
140,766
140,793
140,471
140,488
140,112
140,473
140,319
140,359
140,525
140,781
140,570
140,376
140,690
140,140
140,468
140,215
140,192
140,397
140,454
140,237
140,685
140,379
140,361
140,649
140,499
140,518
140,712
140,636
140,478
140,403
140,384
140,506
140,285
Phương án 20
25,405
25,309
25,597
25,691
25,680
25,769
25,132
25,485
25,664
25,337
25,396
25,246
25,222
25,353
25,384
25,182
25,415
25,439
25,527
25,445
25,451
25,444
25,701
25,487
25,479
25,423
25,796
25,630
25,856
25,402
25,749
25,288
25,581
25,635
25,888
25,487
25,491
25,601
25,843
25,684
25,253
25,373
25,272
25,446
25,490
25,564
25,452
25,629
25,239
25,320
25,113
25,717
25,308
25,402
25,614
25,579
25,631
25,589
25,694
25,333
25,684
25,548
25,359
25,484
25,520
25,584
25,561
25,363
25,783
25,573
25,581
25,654
25,699
25,405
25,362
25,777
25,329
25,286
25,607
25,599
Phương án 21
13,822
13,727
13,349
13,525
13,303
13,405
13,611
13,410
13,803
13,586
13,734
13,323
13,252
13,811
13,836
13,413
13,954
13,555
13,765
13,573
13,308
13,351
13,810
13,703
13,621
13,294
13,601
13,594
13,242
13,358
13,549
13,305
13,559
13,228
13,459
13,476
13,658
13,338
13,572
13,454
13,509
13,478
13,734
13,444
13,536
13,277
13,341
13,678
13,371
13,344
13,541
13,380
13,547
13,566
13,410
13,932
13,505
13,780
13,542
13,290
13,571
13,559
13,691
13,542
13,607
13,360
13,624
13,512
13,453
13,545
13,645
13,534
13,306
13,464
13,371
13,656
13,325
13,549
13,431
13,724
Phương án 22
12,116
12,424
12,909
12,368
12,279
12,681
12,804
12,932
12,219
12,328
12,319
12,901
12,189
12,307
12,399
12,851
12,322
12,321
12,599
12,478
12,318
12,390
12,666
12,387
12,425
12,427
12,117
12,869
12,934
12,648
12,895
12,461
12,528
12,507
12,900
12,277
12,555
12,929
12,709
12,309
12,631
12,531
12,400
12,544
12,807
12,142
12,649
12,387
12,734
12,602
12,632
12,449
12,689
12,241
12,603
12,803
12,837
12,722
12,566
12,369
12,333
12,297
12,877
12,688
12,218
12,709
12,538
12,357
12,888
12,444
12,629
12,348
12,320
12,836
12,599
12,158
12,547
12,682
12,364
12,686
XỬ LÝ CÁC KẾT QUẢ THỐNG KÊ BAN ĐẦU VÀ CHỌN MÔ HÌNH PT HỒI QUY 77
Phương án 23
17,489
17,495
17,614
17,368
17,478
17,586
17,611
17,510
17,451
17,476
17,329
17,646
17,553
17,348
17,312
17,467
17,521
17,657
17,509
17,299
17,430
17,432
17,422
17,567
17,446
17,421
17,609
17,330
17,444
17,478
17,402
17,767
17,613
17,738
17,943
17,563
17,333
17,694
17,652
17,552
17,638
17,484
17,666
17,517
17,593
17,353
17,444
17,471
17,506
17,367
17,401
17,507
17,578
17,560
17,521
17,389
17,491
17,416
17,571
17,281
17,484
17,416
17,462
17,270
17,334
17,286
17,419
17,474
17,443
17,785
17,432
17,290
17,537
17,501
17,498
17,567
17,425
17,506
17,371
17,610
Phương án 24
33,349
33,525
33,572
33,822
33,727
33,531
33,409
33,692
33,734
33,323
33,626
33,803
33,586
33,335
33,726
33,440
33,765
33,573
33,383
33,954
33,555
33,471
33,608
33,577
33,601
33,594
33,416
33,621
33,294
33,510
33,167
33,691
33,459
33,476
33,584
33,559
33,228
33,563
33,215
33,529
33,734
33,444
33,359
33,509
33,478
33,368
33,487
33,652
33,541
33,380
33,276
33,371
33,344
33,402
33,440
33,113
33,542
33,290
33,623
33,505
33,780
33,698
33,685
33,284
33,624
33,512
33,389
33,607
33,360
33,554
33,433
33,627
33,371
33,656
33,481
33,306
33,464
33,504
33,474
33,628
Phương án 25
19,405
19,611
19,410
19,166
19,527
19,580
19,903
19,418
19,811
19,836
19,813
19,450
19,501
19,364
19,252
19,591
19,351
19,810
19,703
19,499
19,520
19,672
19,308
19,569
19,358
19,549
19,305
19,585
19,741
19,406
19,242
19,396
19,338
19,572
19,454
19,670
19,560
19,837
19,658
19,479
19,277
19,341
19,678
19,780
19,269
19,584
19,536
19,726
19,566
19,410
19,932
19,572
19,525
19,262
19,547
19,498
19,999
19,691
19,542
19,803
19,428
19,565
19,571
19,347
19,545
19,645
19,534
19,704
19,495
19,666
19,953
19,656
19,549
19,431
19,724
19,495
19,364
19,452
19,325
19,553
Phương án 26
10,493
10,755
10,731
10,649
10,437
10,359
10,397
10,384
10,707
10,356
10,243
10,406
10,319
10,192
10,712
10,521
10,116
10,391
10,575
10,473
10,215
10,518
10,254
10,273
10,567
10,305
10,471
10,468
10,499
10,563
10,761
10,524
10,688
10,793
10,376
10,649
10,271
10,532
10,439
10,466
10,766
10,570
10,685
10,997
10,469
10,300
10,441
10,566
10,781
10,237
10,403
10,558
10,214
10,307
10,468
10,112
10,454
10,478
10,603
10,516
10,563
10,504
10,488
10,140
10,636
10,340
10,357
10,632
10,761
10,936
10,690
10,361
10,475
10,574
10,207
10,373
10,385
10,525
10,379
10,506
78 CHƯƠNG 2
Phương án 27
33,371
33,656
33,481
33,306
33,464
33,504
33,474
33,628
33,734
33,444
33,359
33,509
33,478
33,368
33,487
33,652
33,541
33,380
33,276
33,371
33,344
33,402
33,440
33,113
33,542
33,290
33,623
33,505
33,780
33,698
33,685
33,284
33,624
33,512
33,389
33,607
33,360
33,554
33,433
33,627
33,349
33,525
33,572
33,822
33,727
33,531
33,409
33,692
33,734
33,323
33,626
33,803
33,586
33,335
33,726
33,440
33,765
33,573
33,383
33,954
33,555
33,471
33,608
33,577
33,601
33,594
33,416
33,621
33,294
33,510
33,167
33,691
33,349
33,525
33,572
33,822
33,727
33,531
33,409
33,692
Phương án 28
140,632
140,563
140,307
140,567
141,391
140,243
140,441
140,466
140,649
140,373
140,761
140,504
140,688
140,305
140,575
140,468
140,566
140,406
140,437
140,385
140,936
140,766
140,793
140,471
140,488
140,112
140,473
140,997
140,271
140,563
140,493
140,475
140,340
140,254
140,521
140,603
140,558
140,469
140,532
140,707
140,755
140,574
140,761
140,273
140,357
140,516
140,214
140,300
140,116
140,356
140,731
140,439
140,524
140,207
140,319
140,359
140,525
140,781
140,570
140,376
140,690
140,140
140,468
140,499
140,518
140,712
140,636
140,478
140,403
140,384
140,506
140,301
140,215
140,192
140,397
140,454
140,237
140,685
140,379
140,361
140,649
Phương án 29
140,997
140,271
140,563
140,493
140,475
140,340
140,254
140,521
140,603
140,558
140,469
140,532
140,707
140,755
140,574
140,761
140,273
140,357
140,516
140,214
140,300
140,116
140,356
140,731
140,439
140,524
140,207
140,215
140,192
140,397
140,454
140,237
140,685
140,379
140,361
140,649
140,997
140,271
140,563
140,493
140,475
140,340
140,254
140,521
140,603
140,558
140,469
140,532
140,707
140,755
140,574
140,761
140,273
140,357
140,516
140,214
140,300
140,116
140,356
140,731
140,439
140,524
140,207
140,319
140,359
140,525
140,781
140,570
140,376
140,690
140,140
140,468
140,712
140,636
140,478
140,403
140,384
140,506
140,761
140,504
140,688
Phương án 30
25,253
25,373
25,272
25,446
25,490
25,564
25,452
25,629
25,239
25,320
25,113
25,717
25,308
25,402
25,614
25,579
25,520
25,584
25,561
25,363
25,783
25,573
25,581
25,654
25,699
25,405
25,362
25,777
25,329
25,286
25,607
25,599
25,581
25,635
25,888
25,487
25,491
25,601
25,843
25,684
25,272
25,446
25,253
25,373
25,272
25,446
25,490
25,564
25,308
25,402
25,614
25,579
25,717
25,308
25,402
25,614
25,631
25,589
25,694
25,333
25,684
25,548
25,359
25,484
25,479
25,423
25,796
25,630
25,856
25,402
25,749
25,288
25,581
25,635
25,888
25,487
25,491
25,601
25,843
25,684
PHÂN TÍCH PHƯƠNG SAI (ANOVA) PHƯƠNG TRÌNH HỒI QUY 113
Chương 4
PHÂN TÍCH PHƯƠNG SAI (ANOVA)
PHƯƠNG TRÌNH HỒI QUY
Chương này gồm các nội dung sau:
4.1. Phương sai tái hiện
4.2. Đánh giá độ chính xác, ý nghĩa các hệ số phương trình hồi quy
và phân tích kết quả
4.3. Kiểm tra tính thích hợp phương trình hồi quy
4.4. Ví dụ xử lý kết quả nghiên cứu thực nghiệm
4.5. R bình phương (R-Square)
Bài tập
114 CHƯƠNG 4
Sau khi thu được phương trình hồi quy (PTHQ) ta thực hiện phân tích
thống kê. Để thực hiện điều này ta giải hai bài toán chính:
- Đánh giá ý nghĩa các hệ số phương trình hồi quy.
- Kiểm tra mô hình toán với thực nghiệm.
4.1. PHƯƠNG SAI TÁI HIỆN (Mean Squared Error - MSE)
Để thực hiện các đánh giá trên ta cần phải ước lượng sai số thí
nghiệm. Cụ thể là phương sai tái hiện ký hiệu }
y
{
s2
.
Công thức tính phương sai tái hiện, phụ thuộc vào phương pháp lặp
thực nghiệm.
1) Số lặp trong mỗi thực nghiệm như nhau
Trong N thực nghiệm thì mỗi thực nghiệm lặp lại n lần. Giả sử ta gọi
kết quả của n thí nghiệm lặp lại trong thực nghiệm đầu tiên là n
1
12
11 y
,...
y
,
y .
Theo kết quả này ta tính phương sai thí nghiệm (RSS- Residual sum
of squares) đầu tiên 2
1
s :
n
2
2 2 2 1u 1
11 1 12 1 1n 1
2 u 1
1
(y y )
(y y ) (y y ) (y y )
s
(n 1) n 1


 
     
 
 
 

(4.1)
trong đó y là giá trị trung bình của n thí nghiệm lặp của thực nghiệm đầu tiên






n
1
u
u
1
n
1
12
11
1
n
y
n
y
y
y
y

(4.2)
Tương tự ta tính giá trị trung bình j
y và phương sai 2
j
s cho tất cả (N-1)
thực nghiệm còn lại:



n
1
u
ju
j
n
y
y (4.3)
1
n
)
y
y
(
s
n
1
u
2
j
ju
2
j





, j = 1, 2, ... N (4.4)
Chú ý rằng, số bậc tự do tất cả phương sai bằng nhau và bằng n – 1,
1
n
f
fj 

 . Phương sai tái hiện }
y
{
s2
được lấy trung bình từ tất cả
phương sai của N thí nghiệm chính:
PHÂN TÍCH PHƯƠNG SAI (ANOVA) PHƯƠNG TRÌNH HỒI QUY 115
(4.5)
Số bậc tự do y
f (Degree of Freedom) của phương sai này bằng tổng
số bậc tự do của các thí nghiệm:
)
1
n
(
N
f
f
N
1
j
j
y 

 

(4.6)
Điều kiện tiên quyết của phân tích thống kê là tính chuẩn của phân
phối đại lượng đầu ra và tính đồng nhất phương sai các thí nghiệm. Kiểm tra
tính đồng nhất phương sai tiến hành theo tiêu chuẩn Cochran.
Ví dụ 4.1 Xác định phương sai tái hiện khi nghiên sứu sự phụ thuộc biến
dạng một loại vật liệu (mm) phụ thuộc vào áp lực nén (MPa). Mỗi thí
nghiệm chính được lặp lại 3 lần (Ví dụ 3.1).
Kết quả thí nghiệm cho trong Bảng 4.1.
Bảng 4.1
N X0
Áp lực nén x1
(MPa)
Biến dạng đo được
yj (mm)
Trung bình
i
y (mm)
S
i
2
1 1 1,0 0,12 0,07 0,14 0,11 1.3.10-3
2 1 1,5 0,19 0,17 0,12 0,16 1.3.10-3
3 1 2,0 0,225 0,22 0,20 0,215 1.75.10-4
4 1 2,5 0,31 0,33 0,35 0,33 4.10-4
5 1 3,5 0,39 0,44 0,37 0,4 1.3.10-3
Tổng 10,5 1,215
Kết quả tính phương sai thí nghiệm trong cột cuối của Bảng 4.1. Sau
đó phương sai tái hiện được xác định:






N
1
j
2
j
2
N
2
2
2
1
2
N
s
N
s
s
s
}
y
{
s

= 8,95.10-4
Kết quả: s2
{y}= 8,95.10-4
Ví dụ 4.2 Nghiên cứu ảnh hưởng nhiệt độ 20  t o
C  60, thời gian 0 ph  
 60 ph và độ pH: 4,5  pH  5,2 khi thủy phân đến độ bền uốn  một loại
vật liệu. Xác định giá trị trung bình và phương sai tái hiện.
116 CHƯƠNG 4
Giải:
Kết quả thực nghiệm theo Bảng 4.2. Cột 1 là số thứ tự thực nghiệm.
Cột 2, 3, 4 là các giá trị nhân tố. Cột 5 đến 9 là kết quả thực nghiệm với số
lần lặp là n = 5.
Bảng 4.2
N
Giá trị nhân tố Kết quả thực nghiệm  (MPa) Kết quả tính
t
(o
C)

(min)
pH yj1 yj2 yj3 yj4 yj5
_
j
y 2
j
s
1 2 3 4 5 6 7 8 9 10 11
1
2
3
4
5
6
7
8
20
60
20
60
20
60
20
60
0
0
60
60
0
0
60
60
4,5
4,5
4,5
4,5
5,2
5,2
5,2
5,2
39
46
53
47
32
38
43
55
41,5
44
53,5
50
31
37
45
52,5
40,5
43,5
53
49
34
39
46,5
53,5
41
43,5
53
49
34
39
46,5
53,5
39
44
52
51
33,5
36,5
45
53
40,2
44,2
52,9
49,2
32,9
37,9
45,2
53,5
1,325
1,075
0,3
2,2
1,80
1,3
2,075
0,875
Trong cột 10 là giá trị trung bình kết quả thực nghiệm, tính theo giá trị
trung bình các thí nghiệm lặp:
5
ju
u 1
j
y
y
5



, j = 1, 2, ..., 8
Ở đây yju - giá trị đáp ứng trong thí nghiệm lặp thứ u của thực nghiệm
thứ j, u = 1, 2,…5.
Cột thứ 11 là kết quả tính toán phương sai thực nghiệm với n thí
nghiệm lặp (rút gọn từ công thức 4.4):
5
2 2
ju j
2 u 1
j
y y
s
4




, j = 1, 2, 3, ..., 8
Phương sai tái hiện phương trình hồi quy:
s2
{y} = (s2
1+ s2
2+…+ s2
8)/8 = 10,95/8 = 1,368
PHÂN TÍCH PHƯƠNG SAI (ANOVA) PHƯƠNG TRÌNH HỒI QUY 117
2) Số thí nghiệm lặp không bằng nhau
Mỗi j thực nghiệm được lặp lại nj lần (ví dụ kết quả thí nghiệm trong
Bảng 4.3). Như phần trên ta tính phương sai cho từng thí nghiệm chính
2
N
2
2
2
1 s
s
,
s  - theo công thức:
,
1
n
)
y
y
(
s
j
n
1
u
2
j
ju
2
j





(thay vì n ta thay bằng nj) (4.7)
Số bậc tự do mỗi thí nghiệm chính .
1
n
f j
j 
 Phương sai tái hiện
trong trường hợp này được xác định theo công thức:











 N
1
j
j
N
1
j
j
2
j
N
2
1
N
2
N
2
2
2
1
2
1
2
f
f
s
f
f
f
f
s
f
s
f
s
}
y
{
s


(4.8)
Số bậc tự do sẽ bằng:







N
1
j
j
N
1
j
j
y )
1
n
(
f
f (4.9)
Để kiểm tra tính đồng nhất ta sử dụng tiêu chuẩn Barllet (Phụ lục 4).
3) Khảo sát trường hợp đặc biệt là không có lặp trong mỗi thí
nghiệm chính. Khi đó ta tiến hành riêng biệt no thí nghiệm để đánh giá
phương sai này.
Bảng 4.3 Kết quả thực nghiệm với số thí nghiệm lặp không bằng nhau
N
Giá trị nhân tố Kết quả thực nghiệm  (MPa)
Kết quả
tính
t
(o
C)

(min)
pH yj1 yj2 yj3 yj4 yj5
_
j
y fi 2
j
s
1 2 3 4 5 6 7 8 9 10 11
1
2
3
4
5
6
7
8
20
60
20
60
20
60
20
60
0
0
60
60
0
0
60
60
4,5
4,5
4,5
4,5
5,2
5,2
5,2
5,2
39
46
53
47
32
38
43
55
41,5
44
53,5
50
31
37
45
52,5
40,5
43,5
53
49
34
39
46,5
53,5
41
-
53
49
34
39
-
53,5
-
-
52
51
-
36,5
-
53
40,5
44,5
52,9
49,2
32,75
37,9
44,83
53,5
3
2
4
4
3
4
2
4
1,167
1,75
0,3
2,2
2,25
1,3
3,083
0,875
118 CHƯƠNG 4
Phương sai tái hiện theo công thức (4.8) với kết quả theo Bảng 4.3:











 N
1
j
j
N
1
j
j
2
j
N
2
1
N
2
N
2
2
2
1
2
1
2
f
f
s
f
f
f
f
s
f
s
f
s
}
y
{
s


= 38,617/26 = 1,4853
4.2. ĐÁNH GIÁ ĐỘ CHÍNH XÁC, Ý NGHĨA CÁC HỆ SỐ PHƯƠNG
TRÌNH HỒI QUY (Significance Test of Individual Regression
Coefficients) VÀ PHÂN TÍCH KẾT QUẢ
Sau khi xác định phương sai tái hiện ta đánh giá các hệ số phương trình
hồi quy. Các hệ số xác định theo kết quả thực nghiệm, các kết quả này là đại
lượng ngẫu nhiên, do đó các hệ số hồi quy bi là các đại lượng ngẫu nhiên.
Do đó để đánh giá ý nghĩa hệ số bi ta đánh giá phương sai của chúng là
}.
b
{
s i
2
Khảo sát cho trường hợp không có thí nghiệm lặp trong thực nghiệm.
Để nhận được phương sai của các hệ số phương trình hồi quy ta sử
dụng ma trận thực nghiệm X. Khảo sát ma trận (XTX)–1, các phần tử ma trận
này được ký hiệu cij. Ma trận vuông có kích thước )
1
k
(
x
)
1
k
( 
 được gọi
là ma trận tương quan:
(XTX)-1 =














kk
1
k
0
k
k
1
11
10
k
0
01
00
1
T
c
c
c
c
c
c
c
c
c
)
X
X
(







(4.10)
Nhân mỗi phần tử ma trận trên cho ước lượng phương sai tái hiện
}
y
{
s2
. Khi đó ma trận có dạng:
(XTX)-1
















}
b
{
s
}
b
,
b
cov{
}
b
,
b
cov{
}
b
,
b
cov{
}
b
{
s
}
b
,
b
cov{
}
b
,
b
cov{
}
b
,
b
cov{
}
b
{
s
}
y
{
s
)
X
X
(
k
2
1
k
0
k
k
1
1
2
0
1
k
0
1
0
0
2
2
1
T







Do đó: }
y
{
s
c
}
b
{
s 2
ii
i
2
 (4.11)
trong đó s{bi} là độ lệch chuẩn hệ số phương trình hồi quy (SE Coef. - Standard
error of the coefficient).
PHÂN TÍCH PHƯƠNG SAI (ANOVA) PHƯƠNG TRÌNH HỒI QUY 119
Theo đường chéo chính của ma trận theo công thức (4.11) là
phương sai các hệ số s2
{bi} phương trình hồi quy. Các phần tử không
đường chéo là covarian giữa các hệ số phương trình hồi quy. Do đó
tương ứng hệ số tương quan, covarian giữa các đại lượng ngẫu nhiên độc
lập bằng 0. Như thế để tìm phương sai hệ số PTHQ ta phải thực hiện các
phép biến đổi ma trận phức tạp.
Trong trường hợp số thí nghiệm lặp bằng nhau ở tại mỗi thực nghiệm,
để ước lượng phương sai và covarian các hệ số PTHQ thì đối với mỗi phần
tử của ma trận (XTX)–1
s2
{y} chia cho số thí nghiệm lặp. Số thí nghiệm lặp
không đều thì ước lượng phương sai và covarian các hệ số PTHQ là các
phần tử của ma trận (XTPX)–1
s2
{y} trong đó P là ma trận thí nghiệm lặp.
Đối với đa số dạng quy hoạch theo lý thuyết thực nghiệm ta có các
công thức đơn giản để tìm phương sai hệ số PTHQ và covarian giữa chúng.
Ngoài ra, các quy hoạch dạng này được thực hiện từ yêu cầu covarian giữa
các hệ số PTHQ bằng 0. Các dạng quy hoạch đó gọi là trực giao, ví dụ: thực
nghiệm nhân tố toàn phần hoặc riêng phần. Khi quy hoạch trực giao thì việc
loại bỏ các hệ số PTHQ không ý nghĩa không cần đánh giá lại các hệ số còn
lại (vì chúng không thay đổi).
Trong các Chương 5 và 6, tùy thuộc vào dạng quy hoạch thực nghiệm
ta có các công thức rút gọn xác định phương sai hệ số PTHQ.
Sau khi tìm được phương sai các hệ số PTHQ ta cần xác định các hệ
số không ý nghĩa, tức là các hệ số có thể lấy bằng 0, khi đó ta sử dụng tiêu
chuẩn Student (t – test). Đối với hệ số PTHQ bi ta tìm tỉ số ti:
}
b
{
s
|
b
|
t
i
i
i  (4.12)
Ngoài ra, ta có thể phân tích ý nghĩa các hệ số PTHQ theo PTHQ các
nhân tố thực (dạng tự nhiên). Khi đó:
}
B
{
s
|
B
|
t
i
i
i  (4.13)
Trong cả hai trường hợp tử số là giá trị tuyệt đối hệ số PTHQ, mẫu số
là căn bậc 2 của phương sai. Giá trị tính toán ti so sánh với giá trị tra bảng tb
(theo tiêu chuẩn Student - Phụ lục 1) theo mức ý nghĩa  và bậc tự do fy =
N(n - 1) mà theo đó ta xác định phương sai tái hiện }
y
{
s2
. Nếu b
i t
t  thì
hệ số bi không có ý nghĩa và có thể loại bỏ khỏi PTHQ.
Biểu thức (4.12) có thể viết dưới dạng:
120 CHƯƠNG 4
}
b
{
s
t
|
b
| i
b
i  (4.14)
Khi loại bỏ các hệ số không ý nghĩa ta phải xác định lại các hệ số còn
lại PTHQ bằng cách sử dụng lại phương pháp bình phương nhỏ nhất.
Với sự trợ giúp tiêu chuẩn Student ta có thể xác định khoảng tin cậy cho
hệ số PTHQ bất kỳ bi. Giả sử giá trị lý tưởng bi là i, khi đó:
}
b
{
s
t
b
}
b
{
s
t
b i
b
i
i
i
b
i 



 (4.15)
Giả sử ta có PTHQ dạng đơn giản sau đây:
k
k
2
2
1
1
0 x
b
x
b
x
b
b
y 



 (4.16)
Hệ số của PTHQ này có ý nghĩa vật lý chính xác. Hệ số b0 bằng giá trị
đại lượng đầu ra y tương ứng với tất cả các nhân tố ở mức cơ sở (các giá trị
xi = 0). Dấu của hệ số bi tương ứng với sự ảnh hưởng của nhân tố. Nếu bi >
0 thì khi xi tăng thì y tăng. Ngược lại bi < 0 thì khi xi tăng thì y giảm.
Khi giá trị |bi| càng lớn thì nhân tố xi càng ảnh hưởng đến thông số đầu
ra. Do đó, nhờ vào PTHQ bậc 1 ta xét đến ảnh hưởng của các nhân tố xi đến
thông số đầu ra y và xác định được các thông số ảnh hưởng nhất đến thông
số đầu ra.
Nếu PTHQ tuyến tính thì mức độ ảnh hưởng của nhân tố có thể thay
đổi từ đầu đến cuối của miền thay đổi và phụ thuộc vào mức thay đổi các
nhân tố khác.
Ví dụ 4.3 Phân tích mức ý nghĩa các hệ số PTHQ, xác định sự phụ thuộc
biến dạng một loại vật liệu (mm) phụ thuộc vào áp lực nén (MPa). Mỗi thí
nghiệm chính lặp lại 3 lần như Ví dụ 3.1. Kết quả thí nghiệm cho trong
Bảng 4.4.
Bảng 4.4
N
Áp lực nén xj
(MPa)
Biến dạng yj (mm) i
y
(mm)
sj
2
i
y

x0 x1 y1 y2 y3
1 1 1,0 0,12 0,07 0,14 0,11 0,0013 0,109 1.10-6
2 1 1,5 0,19 0,17 0,12 0,16 0,0013 0,17 100.10-6
3 1 2,0 0,225 0,22 0,20 0,215 0,00175 0,232 289.10-6
4 1 2,5 0,31 0,33 0,35 0,33 0,0004 0,293 1369 .10-6
5 1 3,5 0,39 0,44 0,37 0,4 0,0013 0,416 256.10-6
Tổng 10,5 1,215 2015.10-6
PHÂN TÍCH PHƯƠNG SAI (ANOVA) PHƯƠNG TRÌNH HỒI QUY 121
PTHQ có dạng (Ví dụ 3.1):
1
x
123
,
0
014
,
0
y 


Giải:
1. Phương sai tái hiện s2
{y} = 8,95.10-4
2. Ta có thể phân tích ý nghĩa các hệ số PTHQ theo phương trình hồi
quy các nhân tố thực. Khi đó các ma trận quy hoạch X và XT
có dạng sau:

















5
,
3
1
5
,
2
1
2
1
5
,
1
1
1
1
X ; 






5
,
3
5
,
2
0
,
2
5
,
1
1
1
1
1
1
1
T
X
Từ đây suy ra:
  









270
,
0
567
,
0
567
,
0
392
,
1
1
X
XT
Các hệ số đường chéo: c00 = 1,392; c11 = 0,270
3. Phương sai các hệ số:
}
y
{
s
c
}
b
{
s 2
ii
i
2

Thế số vào ta có:
s{b0}2
= 1,392. 8,95.10-4
= 0,001246, suy ra s{b0} = 0,035299
s{b1}2
= 0,270. 8,95.10-4
= 0,0002418 suy ra s{b1} = 0,01555
4. Giá trị t tính toán:
t0 = 0,014/0,035299 = 0,3966, suy ra
t1 = 0,123/0,01555 = 7,91
5. Giá trị tra bảng khi f = 10, α = 0,05 là tb = 2,23. Do t0 < tb, suy ra hệ
số b0 không ý nghĩa. Sau khi loại bỏ b0 PTHQ có dạng:
y = 0,123x1
122 CHƯƠNG 4
4.3. KIỂM TRA TÍNH TƯƠNG THÍCH PHƯƠNG TRÌNH HỒI
QUY (Testing for lack of fit)
PTHQ xây dựng theo kết quả thực nghiệm cho phép tính giá trị thông
số đầu ra tại các điểm khác nhau của miền thay đổi các nhân tố. Để làm điều
đó trong PTHQ ta đặt các giá trị tương ứng của các nhân tố thay đổi. Kiểm
tra tính tương thích của mô hình tính toán giúp cho nhà thực nghiệm trả lời
câu hỏi là mô hình được xây dựng dự đoán được giá trị của đại lượng đầu ra
với độ chính xác như kết quả thực nghiệm.
Giả sử N là số thực nghiệm của quy hoạch hay gọi là số các loạt các
thực nghiệm song song nếu mỗi thực nghiệm được lặp lại n lần; p – số hệ số
của PTHQ. Kiểm tra tính tương thích chỉ thực hiện khi N > p. Kiểm tra tính
tương thích của mô hình ta cần phải ước lượng phương sai tái hiện }
y
{
s2
.
Trình tự thực hiện kiểm tra tính tương thích:
1) Xác định tổng bình phương sai lệnh, đặc trưng tương thích mô hình
Sth. Khi số thí nghiệm lặp n như nhau trong mỗi thực nghiệm:
N
2 2 2 2
th 1 1 2 2 N N j j
j 1
S n[(y y ) (y y ) (y y ) ] n (y y )

        
 (4.17)
trong đó: j
y là giá trị trung bình thông số đầu ra ở thực nghiệm thứ j, j = 1,
2,... N; j
y

- giá trị thông số đầu ra, tính theo PTHQ tương ứng thí nghiệm
chính thứ j.
Trong trường hợp có thí nghiệm lặp không bằng nhau:
2
j
j
N
1
j
j
th )
y
y
(
n
S


 

(4.18)
trong đó nj - số thí nghiệm lặp ở thí nghiệm chính thứ j.
Khi không có thí nghiệm lặp:




N
1
j
2
j
j
th )
y
y
(
S

(4.19)
trong đó yj - kết quả thực nghiệm thứ j.
2) Tính bậc tự do fth phương sai tương thích:
fth = N - p (4.20)
với p là số hệ số PTHQ.
PHÂN TÍCH PHƯƠNG SAI (ANOVA) PHƯƠNG TRÌNH HỒI QUY 123
3) Tính phương sai tương thích:
th
th
2
th
f
S
s  (4.21)
4) Dùng tiêu chuẩn Fisher (F test) ta kiểm tra tính đồng nhất. Khi đó ta
tính giá trị tính toán Ftt theo phương sai tương thích 2
th
s và phương sai tái
hiện }.
y
{
s2
:
}
y
{
s
s
F 2
2
th
tt  (4.22)
và so sánh với giá trị bảng Fb (tra theo α và fth (fth = N-p) ở tử số và fy (fy =
N(n - 1) ở mẫu số Phụ lục 2). Nếu Ftt < Fb thì mô hình là tương thích và có thể
sử dụng để mô tả đối tượng. Còn ngược lại thì không tương thích.
Ví dụ 4.4 Đánh giá tính tương thích PTHQ thu được trong Ví dụ 4.1.
Giải:
Ta xét tính tương thích PTHQ:
1
x
123
,
0
014
,
0
y 


1. Theo kết quả thực nghiệm cho trong Bảng 4.4.
Suy ra: 2
j
j
N
1
j
j
th )
y
y
(
n
S


 

= 2015.10-6
trong đó nj = 3 - số thí nghiệm lặp ở thực nghiệm thứ j.
2. Tính bậc tự do fth phương sai tương thích:
fth = N - p = 5 – 2 = 3
p = 2 - số hệ số PTHQ
3. Tính phương sai tương thích:
th
th
2
th
f
S
s  = 2015.10-6
/3 = 0,672.10-3
4. Giá trị tính toán Ftt:
}
y
{
s
s
F 2
2
th
tt  = 0,672.10-3
/8.95.10-4
= 0,75
124 CHƯƠNG 4
5. Giá trị tra bảng Fb = 3,71 (tra theo α và fth = N-p = 3 và fy = N(n-1) = 10
ở mẫu số Phụ lục 2.
Do Ftt = 0,75 < Fb = 3,71 thì mô hình là tương thích.
Sử dụng Minitab kiểm tra tính tương thích PTHQ Ví dụ 4.1, ta có các
kết quả sau:
a) PTHQ bậc 1
Hình 4.1
Regression Analysis: C2 versus C1
The regression equation is
C2 = - 0.01439 + 0.1226 C1
S = 0.0338967 R-Sq = 91.8% R-Sq(adj) = 91.1%
Analysis of Variance
Source DF SS MS F P
Regression 1 0.166753 0.166753 145.13 0.000
Error 13 0.014937 0.001149
Total 14 0.181690
PHÂN TÍCH PHƯƠNG SAI (ANOVA) PHƯƠNG TRÌNH HỒI QUY 125
b) PTHQ bậc 3
Polynomial Regression Analysis: C2 versus C1
The regression equation is
C2 = 0.3182 - 0.4592 C1 + 0.3004 C1^2 - 0.04642 C1^3
S = 0.0304779 R-Sq = 94.4% R-Sq(adj) = 92.8%
Analysis of Variance
Source DF SS MS F P
Regression 3 0.171472 0.0571574 61.53 0.000
Error 11 0.010218 0.0009289
Total 14 0.181690
Sequential Analysis of Variance
Source DF SS F P
Linear 1 0.166753 145.13 0.000
Quadratic 1 0.000746 0.63 0.442
Cubic 1 0.003973 4.28 0.063
Hình 4.2
R- square cho mô hình bậc 3 là R-Sq = 94,4 % của bậc 1 là 91,8 %
nên cả 2 đều tương thích.
126 CHƯƠNG 4
4.4. VÍ DỤ XỬ LÝ KẾT QUẢ NGHIÊN CỨU THỰC NGHIỆM
Ví dụ 4.5 Nghiên cứu ảnh hưởng lực cắt Fz (N) vật liệu khi phay, phụ
thuộc vào các nhân tố: góc cắt 350
≤  ≤ 550
và góc sau 00
≤ α ≤ 100
của
dụng cụ cắt. Quy hoạch không theo lý thuyết thực nghiệm. Vì lý do công
nghệ nhà nghiên cứu chọn 5 mức thay đổi cho mỗi nhân tố và khảo sát tất cả
sự kết hợp có thể giữa 2 nhân tố này (các sự kết hợp khác không tồn tại
trong thực tế) [30]. Tiến hành tất cả 21 thực nghiệm.
Giá trị  = 550
; 500
; 450
; 400
và 350
Giá trị  = 00
; 2,50
; 50
; 7,50
và 100
Hình 4.3
Giải:
Thực nghiệm thực hiện trên mô hình thí nghiệm. Trước khi tiến hành
thí nghiệm chính, ta tiến hành loạt thí nghiệm riêng để kiểm tra giả thuyết
về độ chuẩn phân phối đại lượng đầu ra và xác định số thí nghiệm lặp ở mỗi
thực nghiệm. Xác định số thí nghiệm lặp là 8, và quyết định chọn n = 10,
nhưng sau khi thực nghiệm loại bỏ các sai số thô thì số thí nghiệm lặp còn
lại là 9. Khi đó ta có số thí nghiệm lặp n bằng nhau và bằng 9.
Để tính hệ số PTHQ ta phải xác định ma trận các hàm cơ sở theo
ký hiệu mã hóa các nhân tố. Cho mô hình hồi quy đa thức bậc 2:
2
1
12
2
2
22
2
1
11
2
2
1
1
0 x
x
b
x
b
x
b
x
b
x
b
b
y 





Khi đó ma trận các hàm số cơ sở của mô hình này chứa các cột
2
2
2
1
2
1
o x
,
x
,
x
,
x
,
x và 2
1x
x (Bảng 4.1). Ma trận thực nghiệm cho trong Bảng
4.1.
PHÂN TÍCH PHƯƠNG SAI (ANOVA) PHƯƠNG TRÌNH HỒI QUY 127
1) Mã hóa và thực nghiệm
Đối với nhân tố (X1) tương ứng nhân tố mã hóa x1:
- Mức cơ sở:
(0)
1
55 35
X 45
2

 
- Khoảng thay đổi
(0)
1 1max 1
X X 55 45 10
     
Từ đây suy ra khi:
 1
X 55
   thì x1 = 1
 1
X 50
   thì
(0)
1 1
1
X X 50 45
x 0,5
1 10
 
  

 1
X 45
   thì x1 = 0
 1
X 40
   thì 1
40 45
x 0,5
10

  
 1
X 35
   thì x1 = –1
Tương tự với góc cắt α = X2 tương ứng nhân tố mã hóa x2:
(0)
2
2
0 10
X 5
2
10 5 5

 
   
Suy ra khi
α = X2 = 0 thì x2 = –1
α = X2 = 2,5 thì x2 = –0,5
α = X2 = 5 thì x2 = 0
α = X2 = 7,5 thì x2 = 0,5
α = X2 = 10 thì x2 = 1
2) Kiểm tra tính đồng nhất
Kết quả thực nghiệm thể hiện ở Bảng 4.5. Cột thứ tư là giá trị trung
bình lực cắt Fz, cột thứ 5 là phương sai thí nghiệm. Theo tiêu chuẩn Cochran
ta đánh giá giả thuyết về tính đồng nhất các phương sai này. Khi đó hệ số
tính toán Gtt xác định theo công thức (Bảng 4.5).
128 CHƯƠNG 4
Gtt
2 2
max 11
t 21 21
2 2
i i
1 1
s s 632 632
G 0,086
290 475 ... 431 7371
s s
    
  
 
với 2
11
s là phương sai có giá trị lớn nhất.
Bảng 4.5 Kết quả thực nghiệm
N0
Góc cắt
, o
Góc sau
, o
xo x1 x2 x1
2
x2
2
x1x2 j
y= fzj
2
j
s j
y

1
2
3
4
5
6
7
8
9
10
11
12
13
14
15
16
17
18
19
20
21
50
40
50
40
50
40
50
40
55
35
55
35
45
45
45
45
50
40
55
35
45
7,5
7,5
2,5
2,5
10
10
0
0
7,5
2,5
10
0
7,5
2,5
10
0
5
5
5
5
5
1
1
1
1
1
1
1
1
1
1
1
1
1
1
1
1
1
1
1
1
1
0,5
-0,5
0,5
-0,5
0,5
-0,5
0,5
-0,5
1
-1
1
-1
0
0
0
0
0,5
-0,5
1
-1
0
0,5
0,5
-0,5
-0,5
1
1
-1
-1
0,5
-0,5
1
-1
0,5
-0,5
1
-1
0
0
0
0
0
0,25
0,25
0,25
0,25
0,25
0,25
0,25
0,25
1
1
1
1
0
0
0
0
0,25
0,25
1
1
0
0,25
0,25
0,25
0,25
1
1
1
1
0,25
0,25
1
1
0,25
0,25
1
1
0
0
0
0
0
0,25
-0,25
-0,25
0,25
0,5
-0,5
-0,5
0,5
0,5
0,5
1
1
0
0
0
0
0
0
0
0
0
475
364
498
389
475
365
501
393
534
371
516
383
417
417
409
441
479
384
535
359
418
290
475
300
320
527
234
327
399
334
337
632
332
217
385
309
370
254
296
235
367
431
466,936
374,385
484,894
391,353
460,784
368,728
496,702
402,666
534,171
365,543
527,772
376,608
413,673
431,137
407,769
442,697
474,972
381,926
542,455
356,363
421,463
Theo bảng phân phối Cochran (Phụ lục 3), tương ứng với α = 0,05 và
8
1
9
1
n
f 



 và N = 21 ta tìm được giá trị tra bảng Gb = 0,14.
Vì Gtt < Gb cho nên giả thuyết về tính đồng nhất phương sai được
chấp nhận.
3) Xác định các hệ số và đánh giá mức ý nghĩa các hệ số
Sau đó ta tính toán phương sai tái hiện như là giá trị trung bình
phương sai thí nghiệm theo công thức:
PHÂN TÍCH PHƯƠNG SAI (ANOVA) PHƯƠNG TRÌNH HỒI QUY 129
351
21
7371
N
s
}
y
{
s
N
1
i
2
j
2





Số bậc tự do:
168
)
1
9
(
21
)
1
n
(
N
fy 




Hệ số PTHQ xác định theo phương pháp bình phương nhỏ nhất (lập
trình trên máy tính) và thu được keát quaû nhö Bảng 4.6.
Bảng 4.6 Kết quả tính toán
I bi cii s{bi} tbs{bi} bi
0
1
2
11
22
12
b0= 421,46
b1= 93,05
b2= -17,46
b11= 27,95
b22= 3,77
b12= -0,99
0,1940
0,1315
0,1180
0,4831
0,3040
0,4861
8,24
6,80
6,25
13,02
10,32
13,05
16,10
13,13
12,25
25,52
20,22
25,58
423,48
93,05
-17,46
27,04
-
-
Để đánh giá ý nghĩa các hệ số PTHQ ta thực hiện theo điều kiện:
}
y
{
s
c
}
b
{
s
};
b
{
s
t
|
b
| 2
ii
i
2
i
b
i 

Để thực hiện điều đó ta xác định giá trị phần tử cii của ma trận
(XTX)-1, trong đó X là ma trận thực nghiệm. Kết quả tính cho trên cột 2
Bảng 4.6 (tương ứng các hệ số q = 0,05 và số bậc tự do fu = 168, theo Phụ
lục 1 ta chọn được tb = 1,97).
Giá trị s{bi} trên cột s{bi} của Bảng 4.6.
Nếu }
b
{
s
t
|
b
| i
b
i  thì hệ số bi không ý nghĩa. Chỉ có 2 hệ số b22 và
b12 thỏa mãn điều kiện trên. Ta loại bỏ 2 hệ số này, sau đó ta viết lại ma trận
thực nghiệm và tính lại giá trị các hệ số. PTHQ có dạng:
2
1
2
1
z x
04
,
27
x
42
,
17
x
05
,
93
48
,
432
F 



Chỉ có 2 hệ số b0 và b11 có chút ít thay đổi. Các hệ số còn lại giữ nguyên.
4) Kiểm tra tính tương thích PTHQ
Tiếp theo ta kiểm tra tính tương thích mô hình vừa nhận được. Đầu
tiên ta xác định giá trị j
y

theo mô hình toán. Kết quả tính cho trên cột cuối
của Bảng 4.5.
130 CHƯƠNG 4
1. Ta xác định tổng bình phương đặc trưng sự tương thích mô hình:
11208
]
)
48
,
423
418
(
)
03
,
468
475
[(
9
)
y
y
(
n
S
2
2
N
1
f
2
j
j
th







 



2. Tương ứng số bậc tự do ;
17
4
21
p
N
fth 




3. Phương sai tương thích 2
th
s được xác định theo công thức:
3
,
659
17
11208
f
S
s
th
th
2
th 


4. Giá trị tính toán Ft theo tiêu chuẩn Fisher được xác định theo công thức:
88
,
1
351
3
,
659
}
y
{
s
s
F 2
2
th
t 


5. Tương ứng mức ý nghĩa α = 0,01 và fth = 17 (N-p) ở tỷ số và fy = 168
ở mẫu số ta tìm được Fb = 1,95 (nội suy theo Phụ lục 2).
Vì Fb = 1,95 > Ft = 1,88 nên mô hình hồi quy là tương thích.
Kết quả tính trên Minitab.
Analysis of Variance
Source DF Adj SS Adj MS F-Value P-Value
Model 5 69265.5 13853.1 173.50 0.000
Linear 2 66889.5 33444.8 418.87 0.000
x1 1 65797.5 65797.5 824.06 0.000
x2 1 2726.9 2726.9 34.15 0.000
Square 2 1631.8 815.9 10.22 0.002
x1*x1 1 1616.6 1616.6 20.25 0.000
x2*x2 1 46.8 46.8 0.59 0.456
2-Way Interaction 1 2.0 2.0 0.03 0.876
x1*x2 1 2.0 2.0 0.03 0.876
Error 15 1197.7 79.8
Total 20 70463.1
Model Summary
S R-sq R-sq(adj) R-sq(pred)
8.93563 98.30% 97.73% 96.48%
Coded Coefficients
Term Coef SE Coef T-Value P-Value VIF
Constant 421.46 3.94 107.08 0.000
x1 93.05 3.24 28.71 0.000 1.12
x2 -17.46 2.99 -5.84 0.000 1.12
x1*x1 27.95 6.21 4.50 0.000 1.54
x2*x2 3.77 4.93 0.77 0.456 1.14
x1*x2 -0.99 6.23 -0.16 0.876 1.61
PHÂN TÍCH PHƯƠNG SAI (ANOVA) PHƯƠNG TRÌNH HỒI QUY 131
Regression Equation in Uncoded Units
y = 585 - 15.75 x1 - 4.11 x2 + 0.2795 x1*x1 + 0.151 x2*x2 -
0.020 x1*x2
Trong Chương 6 ta so sánh ví dụ này khi áp dụng phương pháp quy
hoạch thực nghiệm với N = 9 thí nghiệm chính.
4.5. R BÌNH PHƯƠNG (R-SQUARE)
R square là hệ số được sử dụng trong thống kê để đánh giá tính tương
thích của PTHQ, cho biết PTHQ đó phù hợp với dữ liệu ở mức bao nhiêu
%. Ví dụ: nếu R square = 0,9 thì mô hình hồi quy tuyến tính thu được sẽ
tương thích với dữ liệu ở mức 90 %.
Khi R square > 50 % thì một mô hình được đánh giá là tương thích.
Đặc biệt, giá trị R square càng cao thì mối quan hệ giữa nhân tố độc lập
(biến độc lập) và nhân tố phụ thuộc càng chặt chẽ. Vì thế mà R square còn
được biết tới với tên hệ số tương quan R square. Tuy nhiên thường trong
nghiên cứu ta chọn R square > 90 %.
Công thức tính hệ số tương quan R square có dạng sau:
r2
= 1 – ESS/TSS (4.23)
trong đó: ESS - là viết tắt của Explained Sum of Squares, tức là tổng các độ
lệch bình phương của phần dư (độ lệch):
 
n
2
i
i 1
ESS y y

 
 (4.24)
TSS là viết tắt của Total Sum of Squares, tức là tổng độ lệch bình
phương của toàn bộ các giá trị PTHQ:
 
n
2
i
i 1
TSS y y

 
 (4.25)
Từ công thức này, có thể thấy R square sẽ trong khoảng từ 0 đến 1.
Trong khi tính ESS ta cũng cần lưu ý multiple r. Multiple r là viết tắt của
Multiple regression. Đây là hệ số tương quan hồi quy nhiều lần gắn liền mật
thiết với R square. Chỉ số này cho phép ta kiểm tra xem việc đưa thêm một
biến vào mô hình có còn được hay không, đồng thời nó còn có khả năng loại
trừ ảnh hưởng của một số biến khác.
132 CHƯƠNG 4
Hệ số R Square hiệu chỉnh
Bên cạnh R square, R square hiệu chỉnh cũng là một khái niệm không
thể bỏ qua. Đây là một hệ số được sử dụng để hạn chế những nhược điểm
của R square. Công thức tính R square hiệu chỉnh:
r2
hc =1– (ESS/(N-p))/(TSS/(N-1)) (4.26)
Sau khi biến đổi ta được:
r2
hc =1 – (N − 1) (1 − R2
)/(N – k) (4.27)
trong đó: N - số lượng mẫu quan sát; p - số hệ số của PTHQ.
Ý nghĩa của R square hiệu chỉnh: Hạn chế nổi bật nhất của R square là
việc giảm tính chính xác của mô hình khi ta thêm một tham số trong quá trình
tính toán. Vì vậy, R square hiệu chỉnh được nghiên cứu giúp khắc phục nhược
điểm của R square thông thường. Hệ số này cho phép ta đo độ tương thích khi
ta thêm một tham số nữa. Qua đó giúp giảm sự phức tạp của mô hình.
VIF là hệ số phóng đại phương sai (variance-inflating factor), được
xác định theo công thức:
 

 2
1
1
1
VIF
R x
(4.28)
Nếu hệ số VIF xung quanh giá trị 1 là rất tốt. Nếu VIF > 10, các nhân tố
có đa cộng tuyến cao. Hai nhân tố có mối tương quan mạnh khi có VIF lớn
hơn 5, khi đó có thể loại bỏ một trong hai nhân tố.
Tóm lại để đánh giá mức độ tương thích PTHQ ta sử dụng các hệ số
theo Bảng 4.7.
Bảng 4.7
S Tổng bình phương các sai lệch
R-sq R bình phương
R-sq (adj) R bình phương hiệu chỉnh
PRESS The prediction error sum of squares - Dự đoán tổng sai số sai lệch
bình phương trung bình
R-sq (pred) Predicted R2
– R bình phương dự đoán
F F test
VIF VIF là hệ số phóng đại phương sai (variance-inflating factor)
PHÂN TÍCH PHƯƠNG SAI (ANOVA) PHƯƠNG TRÌNH HỒI QUY 133
BÀI TẬP
4.1. Kiểm tra tính tương thích PTHQ theo Ví dụ 3.1, Chương 3.
4.2. Bài tập lớn Chương 4: Sử dụng 7 trong 21 thí nghiệm chính của Bảng
4.5 để xác định và phân tích thống kê PTHQ (số thứ tự là số các phương
án):
2
1
12
2
2
22
2
1
11
2
2
1
1
0 x
x
b
x
b
x
b
x
b
x
b
b
y 





Yêu cầu:
1. Sử dụng ma trận xác định PTHQ.
2. Xác định phương sai tái hiện.
3. Kiểm tra mức ý nghĩa các hệ số PTHQ.
4. Kiểm tra tính tương thích PTHQ.
1.1 – 7
2.2 - 8
3.3 – 9
4.4 – 10
5.5 -11
6. 6 -12
7. 7-13
k. k - (k+6)
.........
14. 13-19
15. 15 - 21
16. Số chẵn 2, 4, 6, 8, 10, 12, 14
17. Số chẵn 4 – 16
18. Số chẵn 6 – 18
19. Số chẵn 8 – 20
20. Số lẻ 1, 3, 5, 7, 9, 11, 13
21. Số lẻ 3, 5, 7, 9, 11, 13, 15
22. Số lẻ 5, 7, 9, 11, 13, 15, 17
23. Số lẻ 7, 9, 11, 13, 15, 17, 19
24. Số lẻ 9, 11, 13, 15, 17, 19, 21
25. 3, 5, 7, 8, 10, 12, 14
26. 9, 11, 13, 15, 10, 12, 14
27. 2, 4, 6, 8, 11, 13, 15
134 CHƯƠNG 5
Chương 5
QUY HOẠCH THỰC NGHIỆM TOÀN PHẦN
VÀ RIÊNG PHẦN
Chương này gồm các nội dung sau:
5.1. Quy hoạch thực nghiệm nhân tố toàn phần
5.2. Tính toán hệ số hồi quy
5.3. Tính tương tác các nhân tố theo kết quả thực nghiệm nhân tố
toàn phần
5.4. Phân tích thống kê mô hình hồi quy thu được theo thực nghiệm
nhân tố toàn phần
5.5. Thực nghiệm nhân tố riêng phần 1
5.6. Thực hiện thực nghiệm nhân tố toàn phần và riêng phần khi có
sai lệch giá trị các mức nhân tố với các giá trị cho trước
5.7. Ứng dụng thực nghiệm nhân tố toàn phần trong thiết kế
5.8. Ví dụ sử dụng Minitab
Bài tập
QUY HOẠCH THỰC NGHIỆM TOÀN PHẦN VÀ RIÊNG PHẦN 135
Nội dung chủ yếu chọn phương pháp QHTN là trả lời cho câu hỏi: ở các mức
giá trị nào và sự kết hợp như thế nào giữa các nhân tố trong thực nghiệm.
Trong chương này ta khảo sát QHTN nhiều nhân tố với PTHQ bậc 1.
Thực nghiệm mà khi đó số mức thay đổi của tất cả các nhân tố như
nhau, và tất cả sự tổ hợp này đều được sử dụng để nghiên cứu gọi là thực
nghiệm nhân tố toàn phần (TNT).
Nếu số mức thay đổi nhân tố là 2, và số nhân tố là k thì số thí nghiệm
chính phải thực hiện là N = 2k
. Theo kết quả TNT 2k
ta có thể nhận được
PTHQ bậc 1:
y = b0 + b1x1 + b2x2 + ... + bkxk (5.1)
Phương trình này có thể bổ sung thêm các thành phần là tích các
nhân tố, hay gọi là các tương tác bijxixj.
Thực nghiệm nhân tố riêng phần (TNR) cho phép ta giảm bớt số thí
nghiệm chính so với TNT trong trường hợp PTHQ có số hệ số nhỏ hơn rất
nhiều so với tổng số thí nghiệm chính N = 2k
. TNT và TNR được sử dụng
rộng rãi trong giai đoạn đầu tiên nghiên cứu thực nghiệm: xác định xem
nhân tố nào ảnh hưởng nhiều nhất đến đối tượng nghiên cứu (Chương 7).
5.1. QUY HOẠCH THỰC NGHIỆM NHÂN TỐ TOÀN PHẦN
(Full Factorial Design)
Trong lý thuyết QHTN thì TNT có rất nhiều ưu điểm so với các dạng
quy hoạch khác:
- Ước lượng độc lập các hệ số PTHQ,
- Phương sai chính là nhỏ nhất,
- Xử lý kết quả thực nghiệm đơn giản.
Ý tưởng xây dựng TNT với số thí nghiệm chính N = 2k
đơn giản
nhất cho trường hợp 2 nhân tố X1 và X2. Cần chú ý:
- Đầu tiên cần chọn miền giá trị các nhân tố. Giả sử đối với nhân
tố X1 ta chọn miền X1min  X1  X1max và đối với nhân tố X2:
X2min  X2  X2max (Bảng 5.2).
- Trong TNT 2k
mỗi nhân tố đều thay đổi ở 2 mức - mức cao nhất
và thấp nhất.
136 CHƯƠNG 5
- Kết hợp tất cả giá trị có thể của các mức này giữa các nhân tố: khi đó
đối với số nhân tố bất kỳ là k thì số thí nghiệm chính trong TNT là
2k
. Nghĩa là nếu có 2 nhân tố thì số thí nghiệm chính là 22
= 4.
Ma trận quy hoạch cho trường hợp 2 nhân tố cho trong Bảng 5.1.
Bảng 5.1 Bảng ma trận quy hoạch TNT với 2 nhân tố dạng tự nhiên
N
Giá trị nhân tố tự nhiên Giá trị đại lượng
đầu ra
X1 X2
1
2
3
4
X1min
X1max
X1min
X1max
X2min
X2min
X2max
X2max
y1
y2
y3
y4
Tương tự ta xây dựng được ma trận thực nghiệm cho nhiều nhân tố.
Để việc xử lý kết quả được thuận tiện hơn thì các nhân tố này nên được mã
hóa. Ma trận TNT với 2 và 3 nhân tố (quy hoạch 22
, 23
) trong ký hiệu được
mã hóa trình bày trong Bảng 5.2 và 5.3.
Hình 5.1 Chọn miền thay đổi các nhân tố
Ta biểu diễn miền thay đổi các nhân tố dưới dạng hình học (Hình 5.1
và 5.2). Giả sử ta tiến hành thực nghiệm với hai nhân tố thay đổi X1, X2 và
miền thay đổi các nhân tố này là (Bảng 5.2):
X1min  X1  X1max; X2min  X2  X2max
138 CHƯƠNG 5
Hình 5.2 Miền giá trị các nhân tố trường hợp 2 nhân tố:
a) Dạng tự nhiên; b) Mã hóa
Bảng 5.3 Ma trận quy hoạch TNT với 2 nhân tố y = bo + b1x1 + b2x2
N Nhân tố tự nhiên Nhân tố mã hóa
Kết quả thực nghiệm
X1 X2 x0 x1 x2
1
2
3
4
X1min
X1max
X1min
X1max
X2min
X2min
X2max
X2max
1
1
1
1
-1
+1
-1
+1
-1
-1
+1
+1
y1
y2
y3
y4
Đối với TNT với 3 nhân tố, ký hiệu 23
, ma trận quy hoạch với các
nhân tố dạng mã hóa cho trong Bảng 5.4.
Bảng 5.4 TNT với 3 nhân tố dạng mã hóa
N Nhân tố tự nhiên Nhân tố mã hóa
Kết quả thực nghiệm
X1 X2 X3 x0 x1 x2 x3
1
2
3
4
5
6
7
8
X1min
X1max
X1min
X1max
X1min
X1max
X1min
X1max
X2min
X2min
X2max
X2max
X2min
X2min
X2max
X2max
X3min
X3min
X3min
X3min
X3max
X3max
X3max
X3max
+1
+1
+1
+1
+1
+1
+1
+1
–1
+1
–1
+1
–1
+1
–1
+1
–1
–1
+1
+1
–1
–1
+1
+1
–1
–1
–1
–1
+1
+1
+1
+1
y1
y2
y3
y4
y5
y6
y7
y8
QUY HOẠCH THỰC NGHIỆM TOÀN PHẦN VÀ RIÊNG PHẦN 139
Ma trận theo Bảng 5.3 và 5.4 chỉ ra điều kiện tiến hành thực nghiệm.
Trình tự tiến hành thí nghiệm chính, không nhất thiết phải theo thứ tự trên
mà theo thuận tiện chọn giá trị các nhân tố.
Tồn tại vài phương pháp xây dựng TNT, như trên Bảng 5.3 và 5.4 thì
cột đầu tiên số mức -1 và +1 nối tiếp nhau 20
= 1, cột thứ 2 từ phải số mức
-1 và +1 lần lượt là 21
= 2, và cột cuối cùng là 2k-1
.
Các điểm thí nghiệm 2 nhân tố nằm trên các đỉnh hình vuông (Hình
5.2) tương ứng với ma trận thực nghiệm (Bảng 5.3 và 5.4).
Hình 5.3 Biểu diễn hình học trường hợp 3 nhân tố dạng mã hóa
Biểu diễn hình học TNT 3 nhân tố dạng khối chữ nhật Hình 5.3 và
Bảng 5.4. Các đỉnh khối chữ nhật tương ứng các mức thực nghiệm, nếu ở
dạng mã hóa thì là các đỉnh của khối vuông. Khi số nhân tố k > 3 thì biểu
diễn hình học rất bổ ích để hình dung nhưng khó khăn khi thể hiện chúng
trên giấy.
Các ưu điểm TNT là do một số tính chất đặc biệt của ma trận thực
nghiệm. Ma trận thực nghiệm TNT 2k
với các nhân tố được mã hóa có các tính
chất sau:
1) Tính đối xứng với tâm quy hoạch. Tổng đại số các phần tử cột của
bất kỳ nhân tố nào cũng đều bằng 0.
0
1



N
j
ij
x (5.3)
trong đó: xij - giá trị nhân tố i trong thí nghiệm thứ j; i = 1, 2, ..., k; j = 1, 2, ..., N;
N - số thí nghiệm chính trong quy hoạch.
140 CHƯƠNG 5
2) Tính chuẩn hóa. Tổng bình phương các phần tử cột của một nhân
tố bất kỳ bằng số thí nghiệm chính N:
k
i
N
x
N
j
ij ...
2
,
1
;
1
2




(5.4)
3) Tính trực giao. Tổng của tích 2 cột bất kỳ trong ma trận quy hoạch
bằng 0. Ví dụ trong trường hợp TNT:
k
...
2
,
1
u
,
i
;
u
i
;
0
x
x
N
1
j
uj
ij 




là số các nhân tố (5.5)
Ma trận quy hoạch có tính chất 3 gọi là ma trận trực giao. Tất cả các
tính chất này đều có thể kiểm tra theo Bảng 5.4 và 5.5.
Sự phụ thuộc đáp ứng vào các nhân tố thay đổi được cho bằng PTHQ
được gọi là hàm đáp ứng. Biểu diễn hình học của hàm đáp ứng là bề mặt đáp
ứng. Ví dụ để biểu diễn mô hình bậc 1 y = b0 + b1x1 + b2x2 ta cần khảo sát
không gian 3 chiều với các trục tọa độ x1, x2 và y.
Các dạng PTHQ dạng tổng quát:
- Không có tương tác:
y = b0 + b1x1 + b2x2 + ... + bkxk
- Có thành phần tương tác:
y = b0 + b1x1 + b2x2 + ... + bkxk + b12x1x2 + b13x1x3+…+ b(k-1)kx(k-1)xk
Đối với loạt N thí nghiệm chính với số thí nghiệm lặp n ta kiểm tra
tính đồng nhất các phương sai. Nếu đồng nhất thì ta tiếp tục xác định hệ số
PTHQ, còn không phải tăng độ chính xác thí nghiệm, giảm miền giá trị các
nhân tố (ximax - ximin) hoặc tăng số thí nghiệm lặp n.
Trong trường hợp tổng quát có k nhân tố PTHQ không có tương tác,
ma trận quy hoạch có dạng như Bảng 5.5.
Bảng 5.5
N
Nhân tố tự nhiên Nhân tố mã hóa
Kết quả thực nghiệm
X1 X2 ... XK x0 x1 x2 ... xk
1 X1min X2min ... Xkmin 1 -1 -1 ... -1 y1
2 X1max X2min ... Xkmin 1 +1 -1 ... -1 y2
3 X1min X2max ... Xkmin 1 -1 +1 ... -1 y3
          
N X1max X2max ... Xkmax 1 +1 +1 ... +1 yN
QUY HOẠCH THỰC NGHIỆM TOÀN PHẦN VÀ RIÊNG PHẦN 141
5.2. TÍNH TOÁN HỆ SỐ HỒI QUY
Để xác định các hệ số PTHQ của TNT ta sử dụng phương pháp bình
phương nhỏ nhất. Sử dụng phương pháp này ta phải giải hệ phương trình
với p ẩn số (p là số hệ số PTHQ).
Các tính chất từ 1 đến 3 (công thức 5.3, 5.4 và 5.5) của TNT giúp cho
việc xác định các hệ số PTHQ trở thành dễ dàng hơn. Đầu tiên ta tìm các hệ
số PTHQ được viết dưới dạng mã hóa:
y = b0 + b1x1 + b2x2 + ... + bkxk
Từ công thức (3.33) ta có ma trận xác định các hệ số PTHQ:
1
2
oj j
0 oj oj 1j oj 2j oj kj
2
1j j
1 1j oj 1j 1j 2j 1j kj
2
2j j
2 2j oj 2j 1j 2j 2j kj
2
kj j
k kj oj kj 1j kj 2j kj
x y
b x x x x x x x
x y
b x x x x x x x
x y
b x x x x x x x
x y
b x x x x x x x

  
 
   
 
   
 

 
    
 
  
 

  
    
 
  
 
  
 
  
  
   
 
   
 






Thay đường chéo bằng N, và do tính chất trực giao các thành phần
còn lại bằng 0.
Suy ra:
142 CHƯƠNG 5
Cụ thể để xác định các hệ số bậc 1 PTHQ b1, b2, ... bk ta có công thức
tổng quát sau:
N
y
x
N
y
x
...
y
x
y
x
b
N
1
j
j
ij
N
iN
2
2
i
1
1
i
i















(5.6)
với i =1, 2, ..., k.
Ví dụ 5.1 Xác định sự phụ thuộc giữa giới hạn bền vật liệu vào độ ẩm W và
nhiệt độ t. Tương tự Ví dụ 3.4, nhưng ta chỉ tiến hành 4 thí nghiệm (bỏ 2 thí
nghiệm 2 và 4).
Bảng 5.6 Bảng giá trị các nhân tố
STT Nhân tố Ký hiệu Mức giá trị Khoảng
thay đổi
Tự nhiên Mã hóa Dưới -1 Trên +1
1 Độ ẩm (%) W x1 6 30 24
2 Nhiệt độ (o
C) t x2 40 80 40
Với kết quả thực nghiệm cho trong Bảng 5.7.
Bảng 5.7 Kết quả thực nghiệm phụ thuộc giới hạn bền loại vật liệu vào độ
ẩm W và nhiệt độ t
N
Tự nhiên Mã hóa Kết quả thí nghiệm Trung
bình y
Giá trị PTHQ

y
W (%) t (0
C) xo x1 x2 y1 y2 y3
1 6 40 1 -1 -1 9,2 8,7 9,1 9 8,7
2 30 80 1 +1 -1 2,8 2,9 3,3 3 2,95
3 6 40 1 -1 +1 7,2 7,6 7,7 7,5 7,44
4 30 80 1 +1 +1 1,9 2,3 1,8 2 1,69
Sử dụng công thức (5.6) ta thu được giá trị các hệ số:
4
0j j
j 1
0
x y
8,7 2,95 7,44 1,69
b 5,375
4 4
   
  

4
1j j
j 1
1
x y
8,7 2,95 7,44 1,69
b 2,875
4 4
    
   

QUY HOẠCH THỰC NGHIỆM TOÀN PHẦN VÀ RIÊNG PHẦN 143
4
2j j
j 1
2
x y
8,7 2,95 7,44 1,69
b 0,625
4 4
    
   

PTHQ dạng mã hóa:
y = 5,375 – 2,875x1 – 0,625x2
So sánh với kết quả với Ví dụ 3.4:
2
1 x
63
,
0
x
875
,
2
2
,
5
y 


nhận thấy rằng không có sự sai lệch đáng kể.
Sử dụng Minitab
Model Summary
S R-sq R-sq(adj) R-sq(pred)
0.288194 99.29% 99.13% 98.73%
Coded Coefficients
Term Effect Coef SE Coef T-Value P-Value VIF
Constant 5.3750 0.0832 64.61 0.000
v -5.7500 -2.8750 0.0832 -34.56 0.000 1.00
t -1.2500 -0.6250 0.0832 -7.51 0.000 1.00
Regression Equation in Coded Units
y = 5.3750 - 2.8750 x1 - 0.6250 x2
Regression Equation in Uncoded Units
y = 11.563 - 0.23958 v - 0.03125 t
Ví dụ 5.2 Khảo sát sự phụ thuộc đại lượng y (cm2
/s) vào 3 nhân tố: đường
kính d (cm), chiều dài L (cm) và vận tốc v (m/s). Các giá trị nhân tố dạng tự
nhiên và mã hóa và kết quả thực nghiệm cho trong Bảng 5.8 và 5.9.
Bảng 5.8
STT Nhân tố
Ký hiệu Mức giá trị Khoảng
thay đổi
Tự nhiên Mã hóa Dưới -1 Trên +1
1 Đường kính (cm) d x1 30,5 53 22,5
2 Chiều dài (cm) L x2 48 66 18
3 Vận tốc (m/s) v x3 11,5 15,5 4
144 CHƯƠNG 5
Bảng 5.9 Ma trận thực nghiệm với nhân tố tự nhiên
N
Nhân tố tự nhiên Nhân tố mã hóa Kết quả
d (cm) L (cm) v (m/s) x0 x1 x2 x3 y (cm2
/s)
1
2
3
4
5
6
7
8
30,5
53
30,5
53
30,5
53
30,5
53
48
48
66
66
48
48
66
66
11,5
11,5
11,5
11,5
15,5
15,5
15,5
15,5
+1
+1
+1
+1
+1
+1
+1
+1
–1
+1
–1
+1
–1
+1
–1
+1
–1
–1
+1
+1
–1
–1
+1
+1
–1
–1
–1
–1
+1
+1
+1
+1
24,0
42,2
33,8
41,4
57,8
51,0
51,7
54,6
Giải : Theo công thức (5.6) ta xác định các hệ số:
8
0j j
j 1
0
x y
24 42,2 33,8 41,4 57,8 51,0 51,7 54,6
b
8 8
       
 

8
1j j
j 1
1
x y
24 42,2 33,8 41,4 57,8 51,0 51,7 54,6
b
8 8
        
 

8
2j j
j 1
2
x y
24 42,2 33,8 41,4 57,8 51,0 51,7 54,6
b
8 8
        
 

8
3j j
j 1
3
x y
24 42,2 33,8 41,4 57,8 51,0 51,7 54,6
b
8 8
        
 

Thu được các kết quả sau:
b0 = 44,56; b1 = 2,74; b2 = 0,8125; b3 = 9,2125
Từ đây suy ra:
y = 44,56+ 2,74x1 + 0,8125x2 + 9,2125x3
Chuyển sang dạng tự nhiên bằng cách thay thế:
1 2 3
d 41,75 l 57 v 13,5
x ; x ; x
12,25 9 2
  
  
QUY HOẠCH THỰC NGHIỆM TOÀN PHẦN VÀ RIÊNG PHẦN 145
5.3. TÍNH TƯƠNG TÁC CÁC NHÂN TỐ THEO KẾT QUẢ THỰC
NGHIỆM NHÂN TỐ TOÀN PHẦN 2k
Trong nhiều trường hợp mức độ ảnh hưởng một nhân tố phụ thuộc vào
mức giá trị nhân tố khác. Với TNT 2k
ngoài các hệ số tuyến tính hồi quy ta
cần ước lượng tất cả tương tác giữa các nhân tố.
Đầu tiên ta khảo sát trường hợp với 2 nhân tố: chỉ có 1 cặp tác dụng
lẫn nhau duy nhất giữa hai nhân tố x1x2. Hệ số b12 khi đó có thể đánh giá
theo kết quả TNT và khi đó PTHQ có dạng:
y = b0 + b1x1 + b2x2 + b12x1x2 (5.7)
Như thế trong mô hình trên số hệ số p = 4 và nó bằng với số thí
nghiệm chính N = 4. Do đó phương trình (5.7) gọi là phương án bão hòa
(đầy đủ).
Đánh giá tương tác các nhân tố bằng tính chất của ma trận hàm cơ sở
TNT. Ta lập ma trận thực nghiệm với TNT với N = 22
với các ký hiệu nhân
tố được mã hóa (Bảng 5.10).
Bảng 5.10 Ma trận thực nghiệm
N
Nhân tố mã hóa và tương tác Kết quả thực nghiệm
y
xo x1 x2 x1x2
1
2
3
4
+1
+1
+1
+1
–1
+1
–1
+1
–1
–1
+1
+1
+1
–1
–1
+1
y1
y2
y3
y4
Ma trận trong Bảng 5.10 có các Tính chất 1 đến 3, từ đó cho phép ước
lượng hệ số tương tác b12. Để tính chúng ta sử dụng cột x1x2 trong Bảng
5.10.
N
1j 2 j j
j 1
12
x x y
b
4



(5.8)
Đối với quy hoạch trong Bảng 5.10 thì b12 xác định theo công thức:
  
 1 2 3 4
12
y y y y
b
4
Đối với thực nghiệm 3 nhân tố, ngoài 3 hệ số tương tác đôi x1x2, x1x3,
x2x3 ta còn tương tác 3 nhân tố x1x2x3, nó gọi là tương tác bậc 2. Mô hình
khi đó có dạng:
y = b0 + b1x1 + b2x2 + b3x3 + b12x1x2 + b13x1x3 + b23x2x3 + b123 x1x2x3
146 CHƯƠNG 5
Vì p = N, nên mô hình trên là bão hòa. Để tìm giá trị hệ số b123 ta sử
dụng cột x1x2x3 trên ma trận quy hoạch (Bảng 5.11). Tuy nhiên trong thực tế
ít khi đưa hệ số b123 vào PTHQ.
Bảng 5.11 TNT với 3 nhân tố dạng mã hóa
N
Nhân tố Tương tác Kết quả thực nghiệm
y
x0 x1 x2 x3 x1x2 x1x3 x2x3 x1x2x3
1
2
3
4
5
6
7
8
+1
+1
+1
+1
+1
+1
+1
+1
–1
+1
–1
+1
–1
+1
–1
+1
–1
–1
+1
+1
–1
–1
+1
+1
–1
–1
–1
–1
+1
+1
+1
+1
1
-1
-1
1
1
-1
-1
1
1
-1
1
-1
-1
1
-1
1
1
1
-1
-1
-1
-1
1
1
-1
+1
+1
-1
+1
-1
-1
1
y1
y2
y3
y4
y5
y6
y7
y8
Trong trường hợp tổng quát (quy hoạch 2k
, hệ số biu xét đến tương tác
nhân tố xi, xu):
N
y
x
x
b
N
1
j
j
uj
ij
iu


 (5.9)
Ví dụ 5.3 Với các số liệu như Ví dụ 5.2. Khảo sát sự phụ thuộc đại lượng y
(cm2
/s) vào 3 nhân tố: đường kính d (cm), chiều dài L (cm) và vận tốc v
(m/s) nếu kể đến tương tác bậc 1 và 2.
Giải:
PTHQ có dạng:
y = b0 + b1x1 + b2x2 + b3x3 + b12x1x2+ b13x1x3 + b23x2x3+ b123 x1x2x3
Trong Ví dụ 5.2 nếu kể đến tương tác bậc 1 và 2 ta có bảng ma trận
QHTN như Bảng 5.12.
Bảng 5.12
N
Nhân tố Tương tác bậc 1 Tương tác bậc 2 Kết quả
Y
xo x1 x2 x3 x1x2 x1x3 x2x3 x1x2x3
1
2
3
4
5
6
7
8
+1
+1
+1
+1
+1
+1
+1
+1
–1
+1
–1
+1
–1
+1
–1
+1
–1
–1
+1
+1
–1
–1
+1
+1
–1
–1
–1
–1
+1
+1
+1
+1
+1
–1
–1
+1
+1
–1
–1
+1
+1
–1
+1
–1
–1
+1
–1
+1
+1
+1
–1
–1
–1
–1
+1
+1
–1
+1
+1
–1
+1
–1
–1
+1
24,0
42,2
33,8
41,4
57,8
51,0
51,7
54,6
QUY HOẠCH THỰC NGHIỆM TOÀN PHẦN VÀ RIÊNG PHẦN 147
Theo công thức (5.9) ta suy ra các hệ số tương tác bậc 1 và 2:
b13=- 0,1125; b13 = -3,712; b23 = -1,437; b123 = 2,538.
Khi đó PTHQ dạng mã hóa:
y = 44,56+2,738x1 +0,8125x2 +9,213x3
–0,1125x1x2 –3,712x1x3 –1,437x2x3 +2,538x1x2x3
Chuyển sang dạng tự nhiên:
y = -90,1 + 1,51 d + 0,72 L + 3,53 v - 0,0011 dL - 0,0363 dv - 0,0176 Lv
PTHQ dạng tổng quát có tương tác bậc 1, tương ứng ma trận quy
hoạch trong Bảng 5.13.
y = b0 + b1x1 + b2x2 + ... + bkxk + b12x1x2 + b13x1x3+…+ b(k-1)kx(k-1)xk
(5.10)
Trong trường hợp tổng quát có k nhân tố, số tương tác đôi (bậc 1)
được xác định theo công thức:
2
)
1
k
(
k
C2
k

 (5.11)
- Số tương tác 3 (bậc 2):
3
.
2
)
2
k
)(
1
k
(
k
C3
k


 (5.12)
- Số tương tác k (bậc k - 1):
1
!
k
!
0
!
k
Ck
k 

tổng quát:
)!
n
k
(
!
n
!
k
Cn
k

 (5.13)
Tổng số hệ số:
p = k + 1 + k
k
3
k
2
k C
...
C
C 

 (5.14)
Công thức xác định các hệ số tương tác tương tự công thức (5.9).
148 CHƯƠNG 5
Bảng 5.13 Ma trận quy hoạch với k nhân tố
N
Giá trị nhân tố mã hóa Tương tác Kết quả
thực
nghiệm
xo x1 x2 ... xk
x1x2 x1 x3 … xk-1xk
1 1 -1 -1 ... -1 +1 +1 +1 y1
2 1 +1 -1 ... -1 -1 -1 +1 y2
3 1 -1 +1 ... -1 -1 +1 +1 y3
      
N 1 +1 +1 ... +1 +1 +1 yN
5.4. PHÂN TÍCH THỐNG KÊ MÔ HÌNH HỒI QUY THU ĐƯỢC
THEO THỰC NGHIỆM NHÂN TỐ TOÀN PHẦN
Tính chất đối xứng, chuẩn hóa, trực giao theo các Công thức (5.3) đến
(5.5) ma trận TNT làm đơn giản không chỉ tính toán hệ số PTHQ, mà còn
phân tích thống kê mô hình hồi quy.
Ma trận (XTX)-1 là ma trận đường chéo. Theo kết quả thì tất cả
covarian giữa các hệ số hồi quy bằng 0 (tính trực giao). Do đó, các hệ số
PTHQ độc lập và không cần tính lại các hệ số PTHQ khi loại bỏ các hệ số
không ý nghĩa. Ngoài ra, phương sai của tất cả hệ số PTHQ bằng nhau và
xác định theo công thức:
a) Khi số thí nghiệm lặp n bằng nhau:
Theo công thức (4.11):
}
y
{
s
c
}
b
{
s 2
ii
i
2

Suy ra:
2
2
i
s {y}
s {b }
nN
 (5.15)
trong đó: s2
{y} - ước lượng phương sai tái hiện
N - số thí nghiệm chính.
b) Khi không có số thí nghiệm lặp:
N
}
y
{
s
}
b
{
s
2
i
2
 (5.16)
Khi số thí nghiệm lặp n bằng nhau vẫn giữ các tính chất theo các công
thức (5.3) đến (5.5) của ma trận quy hoạch và có tất cả ưu điểm của TNT.
QUY HOẠCH THỰC NGHIỆM TOÀN PHẦN VÀ RIÊNG PHẦN 149
Công thức tính các hệ số vẫn đúng trong trường hợp giá trị đáp ứng thu
được lấy theo giá trị trung bình các thí nghiệm lặp y .
Khi số thí nghiệm lặp không bằng nhau sẽ vi phạm tính trực giao quy
hoạch. Khi đó ta không thể sử dụng các công thức cho TNT để tính các hệ
số. Để tính các hệ số cần sử dụng phương trình tổng quát.
Để ước lượng ý nghĩa của hệ số PTHQ ta sử dụng tiêu chuẩn Student:
}
b
{
s
t
b i
b
i  (5.17)
Khi loại bỏ các hệ số không ý nghĩa ta không cần tính lại các hệ số
PTHQ.
Kiểm tra tính tương thích PTHQ cũng tương tự trường hợp tổng quát.
Ví dụ 5.4 Nghiên cứu ảnh hưởng nhiệt độ 20  t  60 (o
C), thời gian 0  t 
60 (ph) và độ pH: 4,5  pH  5,2 khi thủy phân đến độ bền uốn vật liệu ván
dăm .
Giải:
1) Giá trị các nhân tố cho trong Bảng 5.14.
Bảng 5.14
STT Nhân tố
Ký hiệu Mức giá trị Khoảng
thay đổi
Tự nhiên Mã hóa Dưới -1 Trên +1
1 Nhiệt độ (o
C) t x1 20 60 20
2 Thời gian (ph)  x2 0 60 30
3 Độ pH  x3 4,5 5,2 0,35
2) Sử dụng PTHQ bậc 1 đầy đủ có dạng:
y = b0 + b1x1 + b2x2 + b3x3 + b12x1x2+ b13x1x3 + b23x2x3
3) Quan hệ giữa nhân tố được mã hóa và tự nhiên:
20
40
t
x1

 ;
30
30
x2


 và 3
v 4,85
x
0,35


4) Ma trận quy hoạch và kết quả thực nghiệm cho trong Bảng 5.15.
Mỗi thí nghiệm chính lặp lại 5 lần.
150 CHƯƠNG 5
Bảng 5.15
N
Nhân tố Mã hóa Kết quả thực nghiệm , MPa Kết quả tính toán
t,
o
C
,
ph
,
pH
x1 x2 x3 yj1 yj2 yj3 yj4 yj5
_
j
y
2
j
s j
ŷ
1 2 3 4 5 6 7 8 9 10 11 12 13 14 15
1
2
3
4
5
6
7
8
20
+60
20
+60
20
+60
20
+60
0
0
+60
+60
0
0
+60
+60
4,5
4,5
4,5
4,5
+5,2
+5,2
+5,2
+5,2
-1
1
-1
1
-1
1
-1
1
-1
-1
1
1
-1
-1
1
1
-1
-1
-1
-1
1
1
1
1
39
46
53
47
32
38
43
55
41,5
44
53,5
50
31
37
45
52,5
40,5
43,5
53
49
34
39
46,5
53,5
41
43,5
53
49
34
39
46,5
53,5
39
44
52
51
53
36,5
45
53
40,2
44,2
52,7
49,2
32,9
37,4
45,2
53,5
1,325
1,075
0,45
2,2
2,05
1,175
2,075
0,875
40,65
43,7
52,23
49,65
33,35
36,93
44,73
53,95
5) Để kiểm tra giả thuyết về phân phối chuẩn của đại lượng đầu ra và
số thí nghiệm lặp n ta tiến hành riêng 50 thí nghiệm với điều kiện:
t = 20 %;  = 0 ph;  = 5,2 pH
Tính chất chuẩn của phân bố kiểm tra theo tiêu chuẩn 2
 . Giả sử
55
,
3
2
t

 nhỏ hơn giá trị tra bảng 99
,
5
2
b 
 (khi α = 0,05). Do đó giả
thuyết này được chấp nhận.
Và trên cơ sở 50 thí nghiệm trên ta cũng xác định số thí nghiệm lặp
là n = 5.
6) Thực nghiệm chính. Ma trận thực nghiệm với 3 nhân tố x1, x2, x3
trình bày trên Bảng 5.12. Các giá trị tự nhiên cho trong Bảng 5.14 và kết
quả thực nghiệm cho trong Bảng 5.15. Trong cột 13 là giá trị trung bình đáp
ứng, tính theo giá trị trung bình các thí nghiệm lặp:
5
ju
u 1
1
y
y , j 1, 2,...8
5

 

Ở đây yju - giá trị đáp ứng trong thí nghiệm lặp thứ u của thí nghiệm
chính thứ j, u = 1, 2, …, 5.
7) Cột thứ 14 là kết quả tính toán phương sai mỗi thí nghiệm chính
(với 5 thí nghiệm lặp):
QUY HOẠCH THỰC NGHIỆM TOÀN PHẦN VÀ RIÊNG PHẦN 151
 
5 2
ju j
2 u 1
j
y y
s
4




với j = 1, 2, 3, ..., 8
8) Kiểm tra tính đồng nhất phương sai thí nghiệm (Mục 2.7). Do số thí
nghiệm lặp như nhau nên ta sử dụng tiêu chuẩn Cochran. Phương sai lớn
nhất là của loạt thí nghiệm chính thứ 4 là 2
,
2
s2
4  cho nên:
2
4
tt 2 2 2
1 2 8
s 2,2
G 0,196
11,25
s s s
  
  
Theo bảng tiêu chuẩn Cochran với α = 0,01, số bậc tự do f = n – 1 = 4.
số lượng mẫu N = 8 ta tìm Gb = 0,46. Vì Gtt = 0,196  0,46 nên ta chấp nhận
giả thuyết về tính đồng nhất phương sai thí nghiệm.
9) PTHQ có dạng (5.10). Hệ số PTHQ được xác định theo công thức
(5.6) và (5.9) với sự trợ giúp ma trận quy hoạch (Bảng 5.7) và cột j
y (cột
thứ 10) trong Bảng 5.9. Sau khi tính toán ta thu được PTHQ dạng mã hóa:
y = 44,4 + 1,66x1 + 5,74x2 – 2,16x3 – 0,46x1x2
+ 1,54x1x3 + 1,36x2x3 + 1,41x1x2x3
10) Ước lượng ý nghĩa các hệ số PTHQ. Đại lượng tb được xác định
theo bảng tiêu chuẩn Student với q = 0,01 và số bậc tự do (Phụ lục 1)
fy = N(n – 1) = 8(5 – 1) = 32
Từ Phụ lục 1 ta thu được tb = 2,73.
Phương sai tái hiện PTHQ:
s2
{y} = (s2
1+ s2
2+…+ s2
8)/8 = 11,25/8 = 1,4
Theo công thức (5.16), phương sai hệ số PTHQ:
s2
{bi} = s2
{y}/(n.N) = 1,4/(5,8) = 0,035.
suy ra s{bi} = 0,187
Cho nên 51
,
0
187
,
0
.
73
,
2
}
b
{
s
t i
b 
 .
Trong các hệ số PTHQ thì chỉ có b12 không thỏa mãn điều kiện:
51
,
0
}
b
{
s
t
46
,
0
b i
b
12 


152 CHƯƠNG 5
Cho nên hệ số b12 không ý nghĩa và loại bỏ nó. Ta không cần tính lại
các hệ số PTHQ (do có tính trực giao của ma trận quy hoạch):
y = 44,4 + 1,66x1 + 5,74x2 – 2,16x3 + 1,54x1x3
+ 1,36x2x3 + 1,41x1x2x3
Xác định khoảng tin cậy các hệ số PTHQ:
}
b
{
s
t
b
}
b
{
s
t
b i
b
i
i
i
b
i 




43,89  0  44,91
1,15  1  2,17 1,03  13  2,05
5,23  2  6,25 0,85  23  1,87
–2,67  3  -1,65 0,9  123  1,92
11) Tiếp tục ta kiểm tra tính tương thích PTHQ. Phương sai tương
thích 2
th
s được xác định theo công thức:
 
N 2
j j
j 1
2 th
th
th
ˆ
n y y
s
s
f N p


 


trong đó: p - số hệ số PTHQ (p = 7);
j
y - giá trị đáp ứng của thí nghiệm chính thứ j (trong cột 10 của
Bảng 5.9).
  62
,
8
)
7
8
(
)
45
,
53
5
,
53
(
...
)
7
,
43
2
,
44
(
)
65
,
40
2
,
40
(
5
s
2
2
2
2
th 








Giá trị tính toán theo tiêu chuẩn Fisher Ft được xác định theo công thức:
15
,
6
4
,
1
62
,
8
}
y
{
s
s
F 2
2
th
t 


Từ bảng tiêu chuẩn Fisher (Phụ lục 2) với α = 0,01 và bậc tự do
fth = N – p = 8 – 7 = 1 và fy = N(n – 1) = 32
ta tìm Fb = 7,57.
vì Ft = 6,15 < Fb = 7,57
cho nên điều kiện tính tương tích PTHQ được chấp nhận.
QUY HOẠCH THỰC NGHIỆM TOÀN PHẦN VÀ RIÊNG PHẦN 153
12) Phân tích kết quả:
Biểu diễn PTHQ dạng tự nhiên:
(t 40) ( 30) ( 4,85) (t 40) ( 4,35)
44,4 1,66 5,74 2,16 1,54 .
20 30 0,35 20 0,35
( 30) ( 4,85) t 40 t 30 4,85
1,36 1,41
30 0,35 20 20 0,35
 
       
 
      
 
 
 
 
       
 
 
  
 
 
   
hoặc:
127,46 0,366t 1,287
     19,59 0,08t 0,206 0,0485t 0,01t
         
5.5. THỰC NGHIỆM NHÂN TỐ RIÊNG PHẦN
(TNR - Fractional Factorial Design)
Thông thường thực nghiệm được thực hiện trong các lãnh vực khoa
học, kỹ thuật, công nghệ… tốn nhiều công sức, thời gian và chi phí. Cho
nên vấn đề quan trọng là làm sao giảm chi phí thực nghiệm, cụ thể là giảm
số thí nghiệm.
Trong TNT ta thu được PTHQ với đầy đủ các hệ số, bao gồm cả các
hệ số tương tác. Tuy nhiên trong nhiều trường hợp một số hệ số tương tác là
không cần thiết. Ví dụ như trong giai đoạn đầu nghiên cứu đối tượng, thông
thường ta tiến hành thực nghiệm để thu được PTHQ bậc 1 với các hệ số bi.
Với k nhân tố thực nghiệm, PTHQ có p = k+1 hệ số và số thí nghiệm chính
cần thiết N phải lớn hơn hoặc bằng p. Theo quan điểm về kinh tế thì số N
không được lớn hơn nhiều so với số hệ số PTHQ.
Ví dụ khi k = 6 thì số hệ số PTHQ có tương tác đôi là p = k + 1 + 2
k
C = 1
+ 6 +
2
5
.
6
= 22 hệ số, theo TNT thì N = 26
= 64 thí nghiệm chính, vì N >> p, cho
nên sử dụng TNT không hiệu quả.
Thực nghiệm nhân tố riêng phần (TNR) cho phép ta giảm bớt số thí
nghiệm chính so với TNT trong trường hợp PTHQ có thể bỏ qua (biết trước)
các hệ số tương tác.
Thực nghiệm nhân tố riêng phần với ba nhân tố
Để giải thích ý tưởng xây dựng TNR ta bắt đầu từ TNT với 2 nhân tố.
Trong Bảng 5.6 là ma trận thực nghiệm, quy hoạch này tương ứng PTHQ:
y = b0 + b1x1 + b2x2 + b12x1x2 (5.18)
154 CHƯƠNG 5
Giả sử rằng ta biết trước rằng hệ số tương tác b12 có thể bỏ qua. Khi
đó ta thay cột x1x2 bằng nhân tố mới x3 (Bảng 5.16). Khi đó, nhà thực
nghiệm tiến hành với 3 nhân tố gồm 4 thí nghiệm chính. Theo kết quả thực
nghiệm ta thu được PTHQ:
y = b0 + b1x1 + b2x2 + b3x3 (5.19)
Ma trận quy hoạch trong Bảng 5.6 và 5.12 đều thỏa các tính chất theo
công thức (5.2) đến (5.4). Quy hoạch thu được từ TNT bằng cách thay thế
hệ số tương tác bằng hệ số mới gọi là TNR hay gọi là đáp ứng riêng phần
của TNT.
Bảng 5.16 TNR với 3 nhân tố và 23-1
N Nhân tố tự nhiên Nhân tố mã hóa
Kết quả thực nghiệm
X1 X2 X3 x0 x1 x2 x3 = x1x2
1
2
3
4
X1min
X1max
X1min
X1max
X2min
X2min
X2max
X2max
X3max
X3min
X3min
X3max
1
1
1
1
-1
+1
-1
+1
-1
-1
+1
+1
+1
-1
-1
+1
y1
y2
y3
y4
Trong quy hoạch 23-1
nhân tố x3 được thay bằng tương tác x1x2. Do
đó, trong PTHQ không nên tách rời ảnh hưởng nhân tố x3 khỏi ảnh hưởng
tương tác bằng hệ số b3 mà phải đánh giá đồng thời hoặc phối hợp của các
hệ số 3 và 12. Ta có thể ký hiệu hệ thống đánh giá phối hợp các ước
lượng như sau:
b3  3 + 12
Nếu trên Bảng 5.12 ta thêm vào các cột x1x3 và x2x3 thì chúng sẽ trùng
với các cột x2 và x1. Do đó ta có các đánh giá hỗn hợp sau:
b2  2 + 13
b1  1 + 23
Khi xây dựng quy hoạch 23-1
ta sử dụng biểu thức x3 = x1x2. biểu thức
này gọi là biểu thức sinh (generator) quy hoạch.
Nhân cả hai vế biểu thức sinh cho x3 ta có:
1
x
x
x
x 3
2
1
2
3 

Biểu thức trên với vế phải là 1 và vế trái là tích của vài nhân tố gọi là
độ tương phản xác định (determining contract).
QUY HOẠCH THỰC NGHIỆM TOÀN PHẦN VÀ RIÊNG PHẦN 155
Nhờ vào độ tương phản xác định ta có thể xác định hệ thống phối hợp
các đánh giá mà không cần phải thêm các cột phụ. Để thực hiện điều đó ta
nhân 2 vế độ tương phản xác định cho x1. x2....x3. Ví dụ:
1 = x1x2x3
Nhân 2 vế cho x1: x1 = x2x3  b1  1 + 23
Nhân 2 vế cho x2: x2 = x1x3  b2  2 + 13
Nhân 2 vế cho x3: x3 = x1x2  b3  3 + 12
Chú ý rằng khi đặt x3 = -x1x2 ta có một ma trận thực nghiệm 23-1
khác.
Và cả hai TNR 23-1
này (với x3 = x1x2 và x3 = -x1x2) tạo thành TNT 23
.
Tiếp tục ta xây dựng TNR trên cơ sở TNT 23
.
Ví dụ 5.5 Tương tự Ví dụ 5.3, ta khảo sát sự phụ thuộc đại lượng y (cm2
/s)
vào 3 nhân tố: đường kính d (cm), chiều dài L (cm) và vận tốc v (m/s). Sử
dụng TNR với các giá trị nhân tố dạng tự nhiên và mã hóa (Bảng 5.17), kết
quả thực nghiệm cho trong Bảng 5.18.
Bảng 5.17
STT Nhân tố
Ký hiệu Mức giá trị Khoảng
thay đổi
Tự nhiên Mã hóa Dưới -1 Trên +1
1 Đường kính (cm) d x1 30,5 53 22,5
2 Chiều dài (cm) L x2 48 66 18
3 Vận tốc (m/s) v x3 11,5 15,5 4
Giải:
Với biểu thức sinh x3= x1x2 ta suy ra hệ thống đánh giá phối hợp các
ước lượng:
b3  3 + 12
b2  2 + 13
b1  1 + 23
Do đó PTHQ có dạng:
y = b0 + b1x1 + b2x2 + b3x3
156 CHƯƠNG 5
Bảng 5.18 Ma trận quy hoạch với kết quả thực nghiệm
N
Nhân tố tự nhiên Nhân tố mã hóa Kết quả
d (cm) L (cm) v (m/s) x0 x1 x2 x3 = x1x2 y (cm2
/s)
1
2
3
4
30,5
53
30,5
53
48
48
66
66
11,5
11,5
11,5
11,5
1
1
1
1
–1
1
–1
1
–1
–1
1
1
1
–1
–1
1
57,8
42,2
33,8
54,6
Sử dụng công thức (5.6) ta thu được PTHQ sau dạng mã hóa:
y = 47,10 + 1,300 x1 – 2,900 x2 + 9,100 x3
Một số lưu ý khi thực hiện trên Minitab:
1. Trên menu Stat chọn DOE > Factorial > Create Factorial
Design… (Hình 5.4).
Hình 5.4
2. Trên hộp thoại Create Factorial Design, chọn Type of Design là
2-level factorial (specify generators) và chọn Number of factors là 2.
QUY HOẠCH THỰC NGHIỆM TOÀN PHẦN VÀ RIÊNG PHẦN 157
Hình 5.5
3. Chọn nút Display Avaiable Designs… and Designs… chọn dạng
ma trận quy hoạch với N = 4.
Hình 5.6
4. Chọn nút Generators… trên hộp thoại Create Factorial Design:
Designs để nhập biểu thức sinh C=AB (có nghĩa là x3 = x1x2). Nếu có nhiều
biểu thức sinh thì cách nhau 1 khoảng trống.
158 CHƯƠNG 5
Hình 5.7
5. Các bước tiếp theo như TNT (Mục 5.8).
TNR với 4 nhân tố
Có vài phương pháp xây dựng TNR với 4 nhân tố trên cơ sở quy
hoạch này dựa trên tương tác nào được bỏ qua. Ví dụ ta bỏ qua tương tác
x1x2x3 và thay thế bằng nhân tố x4 = x1x2x3 ta thu được quy hoạch 4 nhân
tố (Bảng 5.19).
Bảng 5.19 TNR với 4 nhân tố mã hóa và x4 = x1x2x3
N x1 x2 x3 x4 (x4 =
x1x2x3)
x1x2 x1x3 x1x4 Kết quả
yi
1 -1 -1 -1 -1 1 1 1 y1
2 1 -1 -1 1 -1 -1 1 y2
3 -1 1 -1 1 -1 1 -1 y3
4 1 1 -1 -1 1 -1 -1 y4
5 -1 -1 1 1 1 -1 -1 y5
6 1 -1 1 -1 -1 1 -1 y6
7 -1 1 1 -1 -1 -1 1 y7
8 1 1 1 1 1 1 1 y8
Với quy hoạch này ta có biểu thức sinh x4 = x1x2x3. độ tương phản xác
định có dạng:
1 = x1x2x3x4
QUY HOẠCH THỰC NGHIỆM TOÀN PHẦN VÀ RIÊNG PHẦN 159
Nhân lần lượt 2 vế biểu thức trên cho x1, x2, x3 và x1x2, x2x3, x1x3 ta có:
x1 = x2x3x4
x2 = x1x3x4
x3 = x1x2x4
x1x2 = x3x4
x2x3 = x1x4
x1x3 = x2x4
Từ đây ta có hệ thống đánh giá phối hợp các ước lượng:
b1  1 + 234 b12  12 + 34
b2  2 + 134 b13  13 + 24
b3  3 + 124 b14  14 + 23
b4  4 + 123
PTHQ xây dựng trên cơ sở quy hoạch ở trên bao gồm các hệ số b0, b1,
b2, b3, b4, b12, b13, b14:
y = b0 + b1x1 + b2x2 + b3x3 + b4x4 + b12x1x2 + b13x1x3 + b14x1x4 (5.20)
Cần chú ý hệ thống phối hợp. Ví dụ hệ số b12 đánh giá không chỉ 12
mà còn 34. Sử dụng ma trận quy hoạch theo Bảng 5.13 để xây dựng mô
hình (5.20) là ma trận bão hòa vì N = 8 = p. Do đó không thể ước lượng tính
tương thích mô hình.
So sánh hai hệ thống phối hợp cả 2 quy hoạch vừa khảo sát ta thấy
ưu điểm của quy hoạch với độ tương phản xác định:
1 = x1x2x3x4
Đối với quy hoạch này thì ước lượng các hệ số tuyến tính PTHQ phối
hợp chỉ với các tương tác ba. Khi đó quy hoạch với độ tương phản xác định
1 = x1 x3 x4 vài ước lượng hệ số tuyến tính phối hợp với các tương tác đôi.
Do đó theo hệ thống phối hợp các ước lượng ta chọn quy hoạch tốt nhất khi
vế phải của độ tương phản xác định có số thành phần nhân tố nhiều nhất.
Ngoài các phương án kể trên ta còn có phương án khác nhau để xây
dựng TNR cho 4 nhân tố trên cơ sở TNT 23
với các biểu thức sinh có thể là:
x4 = -x1x2x3
x4 =  x1x2
x4 = -x1x3
x4 =  x2x3
160 CHƯƠNG 5
Ví dụ 5.6 Sử dụng TNR trường hợp 4 nhân tố với biểu thức sinh x4 = x1x3.
Yêu cầu:
1. Chọn độ tương phản xác định
2. Chọn dạng PTHQ
3. Ma trận quy hoạch
Giải:
1. Độ tương phản xác định:
1 = x1x3x4
Các biểu thức sinh của quy hoạch:
x1 = x3x4 x1x2 = x2x3x4
x2 = x1x2x3x4 x2x3 = x1x2x4
x3 = x1x4 x2x4 = x1x2x3
x4 = x1x3
Hệ thống phối hợp các đánh giá:
b1  1+ 34 b12  12 + 234
b2  2 + 1234 b23  23 + 124
b3  3 + 14 b24  24 + 123
b4  4 + 13
2. Khi đó PTHQ có dạng:
y = b0 + b1x1 + b2x2 + b3x3 + b4x4 + b12x1x2 + b23x2x3 + b24x2x4
3. Ma trận quy hoạch trình bày trên Bảng 5.20.
Bảng 5.20 Ma trận quy hoạch TNR với 4 nhân tố và x4 = x1x3
N x1 x2 x3 x4 (x4 = x1x3) x1x2 x2x3 x2x4 Kết quả yi
1 -1 -1 -1 1 1 1 -1 y1
2 1 -1 -1 -1 -1 1 1 y2
3 -1 1 -1 1 -1 -1 1 y3
4 1 1 -1 -1 1 -1 -1 y4
5 -1 -1 1 -1 1 -1 1 y5
6 1 -1 1 1 -1 -1 -1 y6
7 -1 1 1 -1 -1 1 -1 y7
8 1 1 1 1 1 1 1 y8
QUY HOẠCH THỰC NGHIỆM TOÀN PHẦN VÀ RIÊNG PHẦN 161
TNR với 5 nhân tố và nhiều hơn
Ý tưởng xây dựng TNR cho các trường hợp tổng quát như 2k-1
, 2k-2
,...
2k-p
có thể phát triển trên cơ sở trình bày ở trên.
Trên Bảng 5.21 là TNR 2k-2
với k = 5, khi thay thế x4 = x1x2x3 và
x5 = x2x3 (các biểu thức sinh).
Bảng 5.21 Ma trận QHTN 5 nhân tố 25-2
N x1 x2 x3 x4 (x4 = x1x2x3) x5 (x5 = x2x3) x1x2 x1x3
1 -1 -1 -1 -1 1 1 1
2 1 -1 -1 1 1 -1 -1
3 -1 1 -1 1 -1 -1 1
4 1 1 -1 -1 -1 1 -1
5 -1 -1 1 1 -1 1 -1
6 1 -1 1 -1 -1 -1 1
7 -1 1 1 -1 1 -1 -1
8 1 1 1 1 1 1 1
Để thu được hệ thống phối hợp ta khảo sát các độ tương phản xác định:
1 = x1x2x3x4
1 = x2x3x5
Ngoài ra ta còn thu được hệ thống phối hợp bằng cách nhân theo vế hai
độ tương phản trên:
1 = x1x4x5
Cả ba độ tương phản trên có thể viết dưới dạng một biểu thức và được
gọi là độ tương phản xác định mở rộng:
1 = x1x2x3x4 = x2x3x5 = x1x4x5
Nhân chúng tương ứng cho x1, x2, x3, x4, x5, x1x2, x1x3 ta thu được các
biểu thức:
x1 = x2x3x4 = x1x2x3x5 = x4x5
x2 = x1x3x4 = x3x5 = x1x2x4x5
x3 = x1x2x4 = x2x5 = x1x3x4x5
x4 = x1x2x3 = x2x3x4x5 = x1x5
x5 = x1x2x3x4x5 = x2x3 = x1x4
x1x2 = x3x4 = x1x3x5 = x2x4x5
x1x3= x2x4 = x1x2x5 = x3x4x5
162 CHƯƠNG 5
Từ đây ta có hệ thống phối hợp sau:
45
1235
234
1
1
b 







1245
35
134
2
2
b 







1345
25
124
3
3
b 







15
2345
123
4
4
b 







14
23
12345
5
5
b 







245
135
34
12
12
b 







345
125
24
13
b 





Do đó PTHQ có dạng:
y = b0 + b1x1 + b2x2 + b3x3 + b4x4 + b5x5 + b12x1x2 + b13x1x3
Từ đây ta thấy rằng trong quy hoạch đang khảo sát tất cả các hệ số
tuyến tính đều phối hợp tương tác đôi.
Khi thay thế TNT 3 tương tác bằng các nhân tố mới, ta có TNR 2k-3
.
Trên cơ sở TNT 23
ta có thể xây dựng TNR với tối đa 7 nhân tố. Ma trận quy
hoạch trong trường hợp này có dạng như Bảng 5.22 với các biểu thức sinh:
x4 = x1x2x3; x5 = -x1x3; x6 = -x2x3; x7 = -x1x2
Bảng 5.22 Ma trận thực nghiệm TNR với 7 nhân tố
N x1 x2 x3 x4 = x1x2x3 x5 = -x1x3 x6 = -x2x3 x7 = -x1x2
1
2
3
4
5
6
7
8
+1
-1
+1
-1
+1
-1
+1
-1
+1
+1
-1
-1
+1
+1
-1
-1
+1
+1
+1
+1
-1
-1
-1
-1
+1
-1
-1
+1
-1
+1
+1
-1
-1
+1
-1
+1
+1
-1
+1
-1
-1
-1
+1
+1
+1
+1
-1
-1
-1
+1
+1
-1
-1
+1
+1
-1
PTHQ có dạng:
y = b0 + b1x1 + b2x2 + b3x3 + b4x4 + b5x5 + b6x6 + b7x7
Ta không thể kiểm tra tính tương thích phương trình trên vì p = N = 8.
QUY HOẠCH THỰC NGHIỆM TOÀN PHẦN VÀ RIÊNG PHẦN 163
Vì các ma trận TNR có các tính chất tương tự như TNT, cho nên việc
tính các hệ số PTHQ và phân tích thống kê PTHQ thu được tương tự TNT.
Ví dụ 5.7 Nghiên cứu ảnh hưởng 5 nhân tố khi tiện: góc sau α, góc trước
γ, góc chính φ, góc phụ φ1, độ tù mũi dao 0 đến độ bền mòn T của dao
tiện. Giá trị các nhân tố cho trong Bảng 5.23.
Bảng 5.23 Giá trị các nhân tố
STT Nhân tố
Ký hiệu Mức giá trị Khoảng
thay đổi
Tự nhiên Mã hóa Dưới -1 Trên +1
1 Góc sau (độ)  x1 -9o
-2o
3,5o
2 Góc trước (độ)  x2 6o
10o
2o
3 Góc chính (độ) 1 x3 20o
25o
2,5o
4 Góc phụ (độ)  x4 39o
45o
3o
5 Độ tù mũi dao (mm) 0 x5 0,2 0,8 0,3
Giải:
1. Sử dụng TNR với biểu thức sinh: x4 = x1x2; x5 = x1x2x3.
2. Từ các biểu thức sinh x4 = x1x2, x5 = x1x2x3 suy ra PTHQ có dạng:
0 1 1 2 2 3 3 4 4 5 5 13 1 3 23 2 3
y b b x b x b x b x b x b x x b x x
       
3. Ma trân quy hoạch dạng mã hóa và kết quả thực nghiệm cho
trong Bảng 5.24.
Bảng 5.24
N x0 x 1 x 2 x 3 x4 =
x1x2
x5 =
x1x2x3
x1x3 x2x3 y(T)
(min)
1 +1 –1 –1 –1 +1 –1 1 1 31,2
2 +1 +1 –1 –1 –1 +1 -1 1 29,0
3 +1 –1 +1 –1 –1 +1 1 -1 28,5
4 +1 +1 +1 –1 +1 –1 -1 -1 30,0
5 +1 –1 –1 +1 +1 +1 -1 -1 27,0
6 +1 +1 –1 +1 –1 –1 1 -1 28,8
7 +1 –1 +1 +1 –1 –1 -1 1 30,1
8 +1 +1 +1 +1 +1 +1 1 1 29,5
164 CHƯƠNG 5
Ngoài ra tiến hành 4 thí nghiệm với các giá trị nhân tố ở mức cơ sở
(để xác định phương sai tái hiện) với kết quả y thu được:
24,1 23,6 23,9 24,0
1. Hệ số PTHQ xác định theo công thức (5.6):
N
ij i
i 1
i
x y
b
N



Kết quả thu được:
0
29,5 30,1 28,8 27,0 30,0 28,5 29,0 31,2
b 29,263
8
      
 
1
29,5 30,1 28,8 27,0 30,0 28,5 29,0 31,2
b 0,063
8
      
 
2
29,5 30,1 28,8 27,0 30,0 28,5 29,0 31,2
b 0,263
8
      
 
3
29,5 30,1 28,8 27,0 30,0 28,5 29,0 31,2
b 0,413
8
      
  
4
29,5 30,1 28,8 27,0 30,0 28,5 29,0 31,2
b 0,163
8
      
 
5
29,5 30,1 28,8 27,0 30,0 28,5 29,0 31,2
b 0,763
8
      
  
13
29,5 30,1 28,8 27,0 30,0 28,5 29,0 31,2
b 0,2375
8
      
 
15
29,5 30,1 28,8 27,0 30,0 28,5 29,0 31,2
b 0,6875
8
      
 
2. PTHQ có dạng:
1 2 3 4 5
y 29,263 0,063x 0,263x 0,413x 0,163x 0,763x
      +0,2375x1x3
+ 0,6875 x1x5
QUY HOẠCH THỰC NGHIỆM TOÀN PHẦN VÀ RIÊNG PHẦN 165
3. Giá trị phương sai thu được từ 4 thí nghiệm ở tâm:
N yi y (y – y ) (y – y )2 2
y
s
1 24,1 23,9 0,2 0,04 n
2
i
2 i 1
y
0
(y y)
S 0,0467
n 1


 


2 23,6 -0,3 0,09
3 23,9 0 0,0
4 24,0 0,1 0,01
 95,6 0,14
Sử dụng phương sai tái hiện để đánh giá mức ý nghĩa các hệ số PTHQ
và tính tương thích PTHQ.
Ví dụ 5.8 Sử dụng TNR nghiên cứu ảnh hưởng 6 nhân tố công nghệ quá
trình ép ván ép đến độ bền giữa các lớp. Các nhân tố khảo sát bao gồm
(Bảng 5.25).
Bảng 5.25
STT Nhân tố
Ký hiệu Mức giá trị Khoảng
thay đổi
Tự nhiên Mã hóa Dưới -1 Trên +1
1 Độ nhớt keo dán X1 x1 50 200 150
2 Áp lực ép (MPa) X2 x2 1,6 2,2 0,6
3 Nhiệt độ ép (o
C) X3 x3 130 150 20
4 Lượng keo (g/m2
) X4 x4 110 150 40
5 Thời gian ép (ph) X5 x5 11,5 14,5 3
6 Hệ số chất lượng X6 x6 0,95 0,99 0,04
Giải:
Sử dụng TNR 26-2
= 24
= 16 với các biểu thức sinh:





4
2
1
6
3
2
1
5
x
x
x
x
x
x
x
x
(5.21)
Để xây dựng quy hoạch này trên cột 2-5 Bảng 5.26. ta sắp xếp theo
ma trận quy hoạch TNT 24
. Nhờ vào các biểu thức sinh (5.21). Ta có các cột
x5 và x6.
166 CHƯƠNG 5
Bảng 5.26
N
Nhân tố Kết quả
thực
nghiệm y,
MPa
Kết quả
PPHQ
x0 x1 x2 x3 x4
x5 =
x1x2x3
x6 =
x1x2x4
1 1 -1 -1 -1 -1 -1 -1 1,045 0,97375
2 1 1 -1 -1 -1 1 1 1,28 116,813
3 1 -1 1 -1 -1 1 1 1,045 115,688
4 1 1 1 -1 -1 -1 -1 1,31 138,125
5 1 -1 -1 1 -1 1 -1 0,95 102,125
6 1 1 -1 1 -1 -1 1 1,30 141,188
7 1 -1 1 1 -1 -1 1 1,22 110,813
8 1 1 1 1 -1 1 -1 1,31 123,875
9 1 -1 -1 -1 1 -1 1 0,58 0,65125
10 1 1 -1 -1 1 1 -1 0,99 110,188
11 1 -1 1 -1 1 1 -1 1,42 130,813
12 1 1 1 -1 1 -1 1 1,045 0,97375
13 1 -1 -1 1 1 1 1 1,22 114,875
14 1 1 -1 1 1 -1 -1 1,31 119,813
15 1 -1 1 1 1 -1 -1 1,00 111,188
16 1 1 1 1 1 1 1 1,21 128,125
Số hệ số PTHQ p = k + 1 + k(k-1) = 6 + 1 + 6.5/2 = 22
Để xác định hệ thống phối hợp, ta tìm các độ tương phản xác định
mở rộng:
6
5
4
3
6
4
2
1
5
3
2
1
x
x
x
x
1
x
x
x
x
1
x
x
x
x
1



(5.22)
Nhân hai vế phương trình (5.22) cho các thành phần tuyến tính và
tương tác khác nhau, ta thu được hệ thống phối hợp các đánh giá. Ví dụ,
nhân (5.22) cho x1x2 ta thu được:
x1x2 = x3x5 = x4x6 = x1x2x3x4x5x6
QUY HOẠCH THỰC NGHIỆM TOÀN PHẦN VÀ RIÊNG PHẦN 167
Từ đây suy ra:
123456
46
35
12
12
b 







…………………………
PTHQ có dạng sau:
y = b0+ b1x1 + b2x2 + b3x3 + b4x4 + b5x5 + b6x6 + b12x1x2 + b13x1x3+
b14x1x4 + b15x1x5 + b16x1x6 + b34x3x4 + b36x3x6
Trên cột 8 Bảng 5.18 là kết quả thực nghiệm, theo các công thức (5.6)
và (5.9) ta tính các hệ số. Sau khi bỏ qua các hệ số không ý nghĩa ta thu
được PTHQ sau:
y = 1,14 + 0,08x1 + 0,055x2 + 0,05x3 – 0,06x2x3 + 0,075x4x5 – 0,056x3x5
Để chuyển về dạng tự nhiên ta sử dụng các công thức:
75
)
125
X
(
x 1
1

 ;
3
,
0
)
9
,
1
X
(
x 2
2

 ;
10
140
X
x 3
3


20
130
X
x 4
4

 ;
5
,
1
13
X
x 5
5

 ;
02
,
0
97
,
0
X
x 6
6


Kết quả trên Minitab:
Model Summary
S R-sq R-sq(adj) R-sq(pred)
0.265274 78.24% 0.00% 0.00%
Regression Equation in Uncoded Units
y = 1.1397 + 0.0797 X1 + 0.0553 X2 + 0.0503 X3 - 0.0428 X4
+ 0.0384 X5 - 0.0272 X6
- 0.0559 X1*X2 + 0.0128 X1*X3 - 0.0378 X1*X4 - 0.0603 X1*X5
+ 0.0166 X1*X6 + 0.0378 X3*X4
+ 0.0747 X3*X6
5.6. THỰC HIỆN THỰC NGHIỆM NHÂN TỐ TOÀN PHẦN VÀ
RIÊNG PHẦN KHI CÓ SAI LỆCH GIÁ TRỊ CÁC MỨC NHÂN
TỐ VỚI CÁC GIÁ TRỊ CHO TRƯỚC
Khi tiến hành thực nghiệm thì các giá trị thực của các nhân tố không
trùng với các giá trị trong QHTN. Trong công nghệ chế tạo có thể là do đặc
tính rời rạc các mức giá trị các nhân tố (vận tốc cắt. đẩy phôi. chiều dày cắt.
độ tù lưỡi dao...).
168 CHƯƠNG 5
Khi đó ta có thể sử dụng các công thức sẵn có để xác định các hệ số
nhưng có hiệu chỉnh. Giả sử khi thực hiện TNT và TNR và xj là mức độ giá
trị theo quy hoạch của nhân tố i và thí nghiệm chính thứ j (ký hiệu mã hóa):
ij
x
~ - mức độ giá trị thực của các nhân tố này;
xij - giá trị theo quy hoạch
ij
 - sai số giữa giá trị thực và giá trị quy hoạch ij
 = ij
ij x
x
~  . Nếu
sai số ij
 là ngẫu nhiên thì các hệ số PTHQ được tính theo công
thức:



 



 







 N
1
j
2
ij
N
1
j
j
ij
N
1
j
2
ij
N
1
i
N
1
j
j
ij
j
ij
i
N
y
x
~
N
y
y
x
b (5.23)
Phương sai đối với các hệ số hiệu chỉnh PTHQ xác định theo công
thức:










 

N
1
j
2
ij
2
i
2
N
}
y
{
s
}
b
{
s (5.24)
Ví dụ 5.9 Khi khảo sát độ bền vật liệu vào nhiệt độ gia công t (o
C) và thời
gian gia công  (min/mm).
Giải:
Ta lập quy hoạch theo Bảng 5.27.
Bảng 5.27
N
Giá trị tự nhiên Giá trị mã hóa Kết quả
thực nghiệm
t (o
C)  (min) x1 x2
1
2
3
4
140
180
140
180
0,5
0,5
0,9
0,9
-1
+1
-1
+1
-1
-1
+1
+1
y1
y2
y3
y4
Trong thực tế các giá trị thực cho trong Bảng 5.28.
QUY HOẠCH THỰC NGHIỆM TOÀN PHẦN VÀ RIÊNG PHẦN 169
Bảng 5.28
N
Nhân tố
t (o
C)  (min)
1
2
3
4
138
179
140
183
0,5
0,49
0,91
0,9
36,2
33,3
36,5
33,9
Do điều kiện thực tế có sai lệch so với các giá trị quy hoạch. Kết quả
thực nghiệm cho trong Bảng 5.29. Các hệ số dạng mã hóa và hệ số hiệu
chỉnh cho trong bảng này.
Bảng 5.29 Trong dạng mã hóa
N
Giá trị tự nhiên Giá trị mã hóa thực
Hệ số hiệu
chỉnh
Kết quả
thực
nghiệm 
(MPa)
t (o
C)  (min) xo
1
x
~
2
x
~ 1 2
1
2
3
4
138
179
140
183
0,5
0,49
0,91
0,9
+1
+1
+1
+1
-1,1
+0,95
-1
1,15
-1
-1,05
+1,05
+1
-0,1
-0,05
0
0,15
0
-0,05
0,05
0
36,2
33,3
36,5
33,9
Ta có 1
t 160
x
20

 ; 2
0,7
x
0,2
 

ij
j
1
j
1 x
x
~ 

 ; 2 j 2 j 2 j
x x
  
Khi đó: 035
,
0
4
1
j
2
j
1 



;
4
2
2j
j 1
0,005

 

Theo công thức ta xác định các hệ số:
1
2
4
j
0
j 1
1,1.36,2 0,95.33,3 36,5 1,15.33,9
b 1,413
4 0,035
36,2 1,05.33,3 1,05.365 33,9
b 0,265
4 0,005
y 36,2 33,3 36,5 33,9
b 34,975
4 4

   
  

   
 

  
  

170 CHƯƠNG 5
Do đó PTHQ có dạng:
1 2
34,975 1,413x 0,265x
   
5.7. ỨNG DỤNG THỰC NGHIỆM NHÂN TỐ TOÀN PHẦN TRONG
THIẾT KẾ
Trong thiết kế ta sử dụng QHTN thay thế các công thức phức tạp bằng
các đa thức bậc 1 hoặc 2. Trong mục này ta khảo sát đa thức bậc 1.
PTHQ bậc 1 có dạng:
i
k
1
i
i
0 x
b
b
y 


 (5.25)
với 


N
1
j
j
ji
i y
x
N
1
b với i = 1, 2,…k (5.26)
trong đó: k là số nhân tố độc lập; N là số thí nghiệm chính.
Ví dụ 5.10 Sử dụng phương pháp QHTN để thay thế hàm
2 2
2 2 2 3 2 2
r r
3
32
b F 0,75T 10 1152,81F 0,10674166T
d

    

bằng đa thức bậc 1.
Giải:
Thực nghiệm được thực hiện với các số liệu cho trong Bảng 5.30.
Bảng 5.30 Ma trận quy hoạch 2 nhân tố
N
Các nhân tố tự nhiên Các nhân tố mã hóa Kết quả
, MPa
Fr2 T x0 x1 x2
1 554,4 126966 +1 -1 -1 45,5226
2 1029,6 126966 +1 +1 -1 54,2474
3 554,4 235794 +1 -1 +1 79,3034
4 1029,6 235794 +1 +1 +1 84,5977
Xác định các hệ số PTHQ bậc 1:
N
0 0j j
j 1
1 45,5226 54,2474 79,3034 84,5977
b x y 65,91775
N 4

  
  

QUY HOẠCH THỰC NGHIỆM TOÀN PHẦN VÀ RIÊNG PHẦN 171
N
1 1j j
j 1
1 45,5226 54,2474 79,3034 84,5977
b x y 3,504775
N 4

   
  

N
2 2j j
j 1
1 45,522 54,2474 79,30346 84,5977
b x y 16,032775
N 4

   
  

PTHQ có dạng:
2
1 x
032775
,
16
x
504775
,
3
91775
,
65 



Thay thế các giá trị:
r2
1
F 792
x
237,6

 và 2
T 181380
x
54414


vào phương trình trên ta có:
r2
F 792 T 181380
65,91775 3,504775 16,032775
237,6 54414
 
   
r2
0,79258 0,014750736F 0,0002946443T
   
Nếu xét mô hình đầy đủ hơn thì PTHQ bậc 1 đầy đủ có dạng:
k k
0 i i iu i u
i 1 i,u 1
i u
y b b x b x x
 

  
  (5.27)
Các hệ số biu được xác định theo công thức (5.9).
Ví dụ 5.11 Giải bài toán Ví dụ 5.10 với PTHQ bậc 1 đầy đủ.
Giải:
Thực nghiệm được thực hiện với các số liệu cho trong Bảng 5.31.
Bảng 5.31 Ma trận quy hoạch 2 nhân tố
N
Các nhân tố tự nhiên Các nhân tố mã hóa Kết quả
, MPa
Fr2 T x0 x1 x2 x1x2
1 554,4 126966 +1 -1 -1 +1 45.5226
2 1029,6 126966 +1 +1 -1 -1 54.2474
3 554,4 235794 +1 -1 +1 -1 79.3034
4 1029,6 235794 +1 +1 +1 +1 84.5977
172 CHƯƠNG 5
Xác định các hệ số PTHQ bậc 1 đầy đủ:
N
1 2 j j
j 1
12
(x x ) y
b 0,857625
N

  

PTHQ có dạng:
1 2 1 2
65,91775 3,504775x 16,032775x 0,857625x x
    
Thay thế các giá trị:
r2
1
F 792
x
237,6

 và 2
T 181380
x
54414


vào phương trình trên ta có:
r2 r2
F 792 F 792
T 181380 T 181380
65,91775 3,504775 16,032775 0,857625
237,6 54414 237,6 54414
 
 
  
      
 
 
 
8
r2 r2
8,7365867 0,026782512F 0,00034718133T 6,63346.10 TF

     
5.8. VÍ DỤ SỬ DỤNG MINITAB
Giải Ví dụ 5.1 bằng Minitab.
Xác định sự phụ thuộc giữa giới hạn bền loại vật liệu vào độ ẩm W và
nhiệt độ t.
Với kết quả thực nghiệm cho trong Bảng 5.32.
Bảng 5.32 Kết quả thực nghiệm phụ thuộc giới hạn bền loại vật liệu, vào độ
ẩm W và nhiệt độ t
N xo
W
(%)
t
(0
)
x1 x2 x1
2
x2
2
x1x2 y1 y2 y3 y x1y x2y

y
1 1 6 40 -1 +1 1 1 -1 7,2 7,6 7,7 7,5 -7,5 7,5 7,44
2 1 30 80 +1 -1 1 1 -1 2,8 2,9 3,3 3 3 -3 2,95
3 1 6 40 -1 -1 1 1 1 9,2 8,7 9,1 9 -9 -9 8,7
4 1 30 80 +1 +1 1 1 1 1,9 2,3 1,8 2 2 2 1,69
Tổng 6 0 0 4 6 0 31,2 11,5 3,8
QUY HOẠCH THỰC NGHIỆM TOÀN PHẦN VÀ RIÊNG PHẦN 173
Thực hiện Minitab theo trình tự sau:
1. Chọn dạng quy hoạch theo trình tự:
Từ menu Stat chọn DOE > Factorial > Create Factorial Design…
Hình 5.8
Trên hộp thoại Create Factorial Design, chọn Type of Design là 2-
level factorial và Number of factors là 2.
Hình 5.9
Tiếp tục chọn nút Display Available Design…. Trên hộp thoại Create
Factorial Design: Display Available Design cột 2 chọn Full và nút OK.
174 CHƯƠNG 5
Hình 5.10
Trên hộp thoại Create Factorial Design, chọn Designs… Trên hộp
thoại Create Factorial Design: Designs chọn thông số cho ma trân quy
hoạch.
Hình 5.11
Chú ý do số lần lặp mỗi thí nghiệm chính là 3, nên chọn nút Number
of replicates for corner points là 3 (số thí nghiệm lặp n = 3), nếu nhập giá trị
trung bình kết quả thí nghiệm lặp thì chọn 1.
QUY HOẠCH THỰC NGHIỆM TOÀN PHẦN VÀ RIÊNG PHẦN 175
Nhấp nút OK.
Trên hộp thoại Create Factorial Design, chọn Factors… có thể thay
ký hiệu nhân tố tại cột Name.
Hình 5.12
Trên hộp thoại Create Factorial Design, chọn nút Options… và trên
hộp thoại Options ta không chọn nút Randomize runs.
Hình 5.13
Để lưu ma trận quy hoạch trên Worksheet ta chọn nút Store design in
worksheet.
Trên hộp thoại Create Factorial Design, chọn nút Results…
176 CHƯƠNG 5
Hình 5.14
Nhấp OK trên các hộp thoại ta có ma trận quy hoạch sau:
Hình 5.15
2. Để nhập dữ liệu giá trị tự nhiên hoặc ma trận quy hoạch theo nhu
cầu ta chọn nút Define Custom Factorial Design…
DOE > Factorial > Define Factorial Design
QUY HOẠCH THỰC NGHIỆM TOÀN PHẦN VÀ RIÊNG PHẦN 177
Hình 5.16
Trên hộp thoại Define Custom Factorial Design, ta chọn các nhân
tố ma trận quy hoạch và chọn nút Select. Trong ví dụ này ta có 2 nhân tố
x1 và x2.
Hình 5.17
Chọn nút Low/High và trên hộp thoại Define Custom Factorial
Design: Low/High ta nhập lần lượt các giá trị tự nhiên nhỏ nhất và lớn nhất
các nhân tố.
178 CHƯƠNG 5
Hình 5.18
Nhập kết quả thực nghiệm theo các cột tương ứng.
Hình 5.19
3. Để xử lý chọn Analyze Factorial Design…
- Nhập kết quả thực nghiệm vào cột y (4  3 = 12 kết quả)
QUY HOẠCH THỰC NGHIỆM TOÀN PHẦN VÀ RIÊNG PHẦN 179
Hình 5.20
- Chọn DOE > Factorial > Analyze Factorial Design…
Hình 5.21
- Trên hộp thoại Analyze Factorial Design ta chọn Responses: cho
thông số đầu ra Y và chọn Select.
180 CHƯƠNG 5
Hình 5.22
Hình 5.23
QUY HOẠCH THỰC NGHIỆM TOÀN PHẦN VÀ RIÊNG PHẦN 181
Ta nhập các cột kết quả tương ứng vào và chọn sẽ phân tích phương sai.
Hình 5.24
Chọn các nút chọn tương ứng:
Hình 5.25
182 CHƯƠNG 5
Hình 5.26
Sau khi chọn xong nhấp Ok sẽ xuất hiện các kết quả tương ứng:
Full Factorial Design
Factors: 2 Base Design: 2. 4
Runs: 12 Replicates: 3
Blocks: 1 Center pts (total): 0
All terms are free from aliasing.
Analysis of Variance
Source DF Seq SS Contribution Adj SS Adj MS F-Value P-Value
Model 3 104.062 99.46% 104.062 34.6875 495.54 0.000
Linear 2 103.875 99.29% 0.694 0.3471 4.96 0.040
A 1 99.187 94.81% 0.071 0.0713 1.02 0.342
B 1 4.687 4.48% 0.098 0.0975 1.39 0.272
2-Way Interactions
1 0.187 0.18% 0.187 0.1875 2.68 0.140
A*B 1 0.187 0.18% 0.187 0.1875 2.68 0.140
Error 8 0.560 0.54% 0.560 0.0700
Total 11 104.622 100.00%
Model Summary
S R-sq R-sq(adj) PRESS R-sq(pred)
0.264575 99.46% 99.26% 1.26 98.80%
Regression Equation in Uncoded Units
Y = 5.3750 - 2.8750 A - 0.6250 B + 0.1250 A*B
QUY HOẠCH THỰC NGHIỆM TOÀN PHẦN VÀ RIÊNG PHẦN 183
4. Phân tích kết quả…
PTHQ dạng mã hóa có dạng:
y = 5,375 – 2,875x1 – 0,625x2 + 0.1250x1x2
So sánh với kết quả Ví dụ 3.4:
2
1 x
63
,
0
x
875
,
2
2
,
5
y 


nhận thấy rằng có sự sai lệch do làm tròn số khi tính toán và Minitab tính số
thí nghiệm lặp n = 3 chứ không theo giá trị trung bình.
5. Factorial Plot
a)
b)
Hình 5.27
184 CHƯƠNG 5
Contour Plot và Surface Plot.
a)
A
B
0.8
0.4
0.0
-0.4
-0.8
1.0
0.5
0.0
-0.5
-1.0
>
–
–
–
–
< 3.0
3.0 4.5
4.5 6.0
6.0 7.5
7.5 9.0
9.0
Y
Contour Plot of Y vs B, A
b)
2
4
6
-1
0 -1
1
0
1
8
B
Y
A
A
,
B
s
v
Y
f
o
t
o
l
P
e
c
a
f
r
u
S
Hình 5.28
Chú ý:
Khi sử dụng Minitab cho TNR, ví dụ x6 = x1x2x3; x7 = x1x2x4 ta có thể
nhập biểu thức sinh theo trình tự sau (tham khảo thêm Ví dụ 5.5):
- Trên hộp thoại Create Factorial Design, chọn Type of Design là
2-level factorial (Specify Generators) và Number of factors là 2
hoặc 3… theo số mũ của quy hoạch riêng phần 2k - p’
.
- Trên hộp thoại Create Factorial Design: Generators như hình
dưới đây, nhập Generators với G =ABC, H = ABD (theo thứ tự
bảng chữ cái với A, B, C… tương ứng x1, x2, x3).
QUY HOẠCH THỰC NGHIỆM TOÀN PHẦN VÀ RIÊNG PHẦN 185
Hình 5.29
BÀI TẬP
5.1. Xác định dạng PTHQ bậc 1 với 4 nhân tố với biểu thức sinh x4 = x1x2
và số thí nghiệm chính N = 24-1
= 8.
5.2. Xác định PTHQ sự phụ thuộc đại lượng đầu ra y vào các đại lượng
đầu vào x1, x2, x3 với các giá trị cho trong Bảng 5.33.
Bảng 5.33
N
Nhân tố
tự nhiên
Nhân tố
mã hóa
Tương tác
đôi
Tương
tác ba
Kết
quả
yj
X1 X2 X3 x1 x2 x3 x1x3 x2x3 x1x2 x1x2x3
1
2
3
4
5
6
7
8
100
200
100
200
100
200
100
200
20
20
60
60
20
20
60
60
10
10
10
10
30
30
30
30
–1
+1
–1
+1
–1
+1
–1
+1
–1
–1
+1
+1
–1
–1
+1
+1
–1
–1
–1
–1
+1
+1
+1
+1
+1
–1
+1
–1
–1
+1
–1
+1
+1
+1
–1
–1
–1
–1
+1
+1
+1
–1
–1
+1
+1
–1
–1
+1
–1
+1
+1
–1
+1
–1
–1
+1
2
6
4
8
10
18
8
12
y = b0 + b1 x1 + b2x2 + b3x3 + b12x1x2 + b13x1x3 + b23x2x3
5.3. Lập ma trận quy hoạch TNR 27-3
với các biểu thức sinh x5 = x1x2x3,
x6 = x1x3x4 và x7 = x2x3x4. Biểu diễn dạng tổng quát PTHQ trong trường
hợp này.
5.4. Quy hoạch thực nghiệm toàn phần: Nghiên cứu ảnh hưởng các nhân tố
khi tiện: góc trước γ, góc chính φ, độ tù mũi dao r đến độ bền mòn T của dao
tiện với ma trận quy hoạch như Bảng 5.27. Các giá trị thay đổi trong khoảng
186 CHƯƠNG 5
sau:  = 2o
– 9o
,  = 39o
– 45o
, r = 0,2 – 0,8. Kết quả thực nghiệm cho trong
Bảng 5.27.
5.5. Lập ma trận quy họach TNR 26-2
với các biểu thức sinh x5 = x1x2x3,
x6 = x1x3x4 (Bảng 5.34). Biểu diễn dạng tổng quát PTHQ trong trường hợp này.
Bảng 5.34
N x0 x 1 x 2 x 3 x 4 x5 = x1x2x3 x6 = x1x3x4 Y
1 +1 –1 –1 –1 –1 –1 –1
2 +1 +1 –1 –1 –1 +1 +1
3 +1 –1 +1 –1 –1 +1 –1
4 +1 +1 +1 –1 –1 –1 +1
5 +1 –1 –1 +1 –1 +1 +1
6 +1 +1 –1 +1 –1 –1 –1
7 +1 –1 +1 +1 –1 –1 +1
8 +1 +1 +1 +1 –1 +1 –1
9 +1 –1 –1 –1 +1 –1 +1
10 +1 +1 –1 –1 +1 +1 –1
11 +1 –1 +1 –1 +1 +1 +1
12 +1 +1 +1 –1 +1 –1 –1
13 +1 –1 –1 +1 +1 +1 –1
14 +1 +1 –1 +1 +1 –1 +1
15 +1 –1 +1 +1 +1 –1 –1
16 +1 +1 +1 +1 +1 +1 +1
5.6. Lập ma trận quy hoạch TNR 25-2
với các biểu thức sinh x4 = x1x2,
x5 = x1x3. Biểu diễn dạng tổng quát PTHQ và bảng ma trận QHTN trong
trường hợp này.
Phương trình hồi quy có dạng:
y = b0 + b1x1 + b2x2 + b3x3 + b4x4 + b5x5 + b23x2x3 + b34x3x4
N x0 x 1 x 2 x 3 x4 = x1x2 x5 = x1x3 x2x3 x3x4 Y
1 +1 –1 –1 –1 1 1 1 -1
2 +1 +1 –1 –1 -1 -1 1 1
3 +1 –1 +1 –1 -1 1 -1 1
4 +1 +1 +1 –1 1 -1 -1 -1
5 +1 –1 –1 +1 1 -1 -1 1
6 +1 +1 –1 +1 -1 1 -1 -1
7 +1 –1 +1 +1 -1 -1 1 -1
8 +1 +1 +1 +1 1 1 1 1
QUY HOẠCH THỰC NGHIỆM TOÀN PHẦN VÀ RIÊNG PHẦN 187
5.7. Sử dụng Minitab xử lý kết quả thực nghiệm theo giá trị thực nghiệm
các Bảng 5.35 và 5.36.
Trường hợp 2 nhân tố:
Bảng 5.35
N
Giá trị tự nhiên Giá trị mã hóa Kết quả
t, o
C (X1) , min (X2) x0 x1 x2 x1x2 yj 2
j
s
1
2
3
4
20
60
20
60
0
0
60
60
+1
+1
+1
+1
-1
+1
-1
+1
-1
-1
+1
+1
+1
-1
-1
+1
40,2
44,2
52,7
49,2
1,325
1,075
0,45
2,2
Mã hóa các nhân tố và hoàn chỉnh bảng kết quả QHTN 3 nhân tố với
kết quả trong Bảng 5.36.
Bảng 5.36
N
Giá trị nhân tố Giá trị mã hóa Tương tác Kết quả tính
t, o
C , min , pH x0 x1 x2 x3 x1x2 x1x3 x2x3
_
j
y 2
j
s
1
2
3
4
5
6
7
8
20
60
20
60
20
60
20
60
0
0
60
60
0
0
60
60
4,5
4,5
4,5
4,5
5,2
5,2
5,2
5,2
+1
+1
+1
+1
+1
+1
+1
+1
-1
+1
-1
+1
-1
+1
-1
+1
-1
-1
+1
+1
-1
-1
+1
+1
-1
-1
-1
-1
+1
+1
+1
+1
1
-1
-1
1
1
-1
-1
1
1
-1
1
-1
-1
1
-1
1
1
1
-1
-1
-1
-1
1
1
40,2
44,2
52,7
49,2
32,9
37,4
45,2
53,5
1,325
1,075
0,45
2,2
2,05
1,175
2,075
0,875
5.8. Bài tập lớn: QHTN riêng phần: Nghiên cứu ảnh hưởng các nhân tố
khi tiện: góc sau α, góc trước γ, góc chính φ, góc phụ φ1, độ tù mũi dao r đến
độ bền mòn T của dao tiện. Các giá trị thay đổi trong khoảng sau:  = 6o
–
10o
,  = 2o
– 9o
,  = 39o
– 45o
, 1 = 20o
– 25o
, r = 0,2 – 0,8. Kết quả thực
nghiệm cho trong Bảng 5.37. Các biểu thức sinh:
x4 = x1x2; x5 = x1x2x3
a) Tìm dạng PTHQ
b) Xác định các hệ số PTHQ
c) Đánh giá mức ý nghĩa và kiểm tra tính tương thích PTHQ
d) Thực hiện bài tập trên phần mềm Minitab
188 CHƯƠNG 5
Bảng 5.37 Bảng kết quả thực nghiệm theo phương án
Phương
án
Kết quả độ bền mòn dao tiện T (min)
Giá trị thực nghiệm chính
Giá trị thực nghiệm
ở tâm
1 2 3 4 5 6 7 8 9 10 11 12
1 29,5 30,1 28,8 27,0 30,0 28,5 29,0 31,2 24,1 23,6 23,9 24,0
2 30,5 31,02 30,0 29,9 32,1 29,8 32,6 30,1 25,0 23,9 23,8 29,0
3 35,1 35,4 35,6 35,7 35,0 35,46 35,74 35,8 26,1 26,0 26,58 26,5
4 27,1 28,0 29,0 27,89 27,9 27,8 28,5 30,1 27,9 28,6 29,1 29,3
5 32,1 32,0 32,9 32,5 32,4 33,0 32,7 32,5 26,6 26,5 26,8 26,9
6 27,6 27,8 27,9 28,0 28,1 27,5 27,2 27,3 24,5 26,6 25,1 26,8
7 28,9 29,2 29,1 28,7 28,4 29,0 30,1 31,0 25,6 25,7 25,1 25,3
8 35,6 35,7 35,0 35,4 35,2 35,9 35,2 35,4 30,3 30,4 30,5 30,7
9 33,3 33,5 33,6 33,8 33,7 33,1 33,2 33,8 23,3 23,5 23,6 23,4
10 34,5 34,4 34,3 34,6 33,8 33,0 33,9 33,1 28,3 28,8 28,1 28,5
11 35,3 35,6 35,9 35,4 35,6 35,4 35,4 35,8 30,3 30,1 30,5 30,6
12 25,3 25,6 25,6 25,4 25,7 25,9 25,0 26,0 26,0 26,1 26,8 25,8
13 40,5 40,4 40,1 40,0 40,6 40,9 40,8 40,5 39,1 38,89 38,4 38,1
14 37,1 37,5 37,6 37,6 37,1 37,0 37,2 37,4 29,9 30,1 30,0 29,8
15 37,2 38,0 38,1 38,6 38,1 37,9 37,6 39,0 30,5 30,4 30,6 30,7
16 28,4 28,3 28,1 28,6 28,7 28,9 28,8 28,5 27,3 27,6 27,5 27,4
17 32,2 32,6 32,4 32,7 32,6 32,9 33,0 32,5 30,3 31,0 30,5 30,1
18 25,3 26,0 25,8 25,6 25,9 26,1 26,2 25,7 27,0 26,9 26,8 30,0
19 33,6 36,4 36,1 35,0 34,9 33,8 35,1 36,3 30,3 30,5 30,1 28,0
20 25,0 24,8 24,9 25,1 25,2 25,8 25,6 27,0 28,1 28,0 30,1 33,0
21 38,0 38,1 38,6 38,2 38,3 39,0 41,0 37,0 33,0 36,0 34,0 34,6
22 22,0 22,6 22,4 22,9 22,4 23,0 22,9 22,4 25,0 24,9 25,1 25,8
23 37,0 37,5 37,3 36,8 36,9 37,4 37,3 37,7 28,0 29,6 28,5 25,6
24 24,0 24,4 24,6 24,1 24,6 24,8 24,9 24,6 20,1 20,6 22,0 23,0
25 26,6 26,5 26,4 26,6 26,8 26,9 26,1 26,3 25,0 25,1 24,7 24,6
26 28,8 28,6 28,9 28,4 28,9 28,4 28,5 28,2 27,6 27,0 26,6 26,9
27 29,9 29,1 29,0 29,3 29,3 29,4 29,6 29,2 29,0 28,4 28,6 29,1
28 34,6 34,8 34,5 34,6 34,1 34,3 34,2 34,6 33,0 32,7 33,1 33,5
29 44,1 44,5 44,6 44,0 44,2 44,3 44,4 45,0 39,8 40,0 40,3 40,5
30 26,6 26,3 26,2 26,4 25,9 26,4 26,8 26,7 25,0 25,6 26,0 26,9
QUY HOẠCH THỰC NGHIỆM BẬC 2 189
Chương 6
QUY HOẠCH THỰC NGHIỆM BẬC 2
(Response surface)
Chương này gồm các nội dung sau:
6.1. Giới thiệu
6.2. Quy hoạch hỗn hợp đối xứng bậc 2 dạng FCCCD
6.3. Quy hoạch hỗn hợp bậc 2 quay đều
6.4. Quy hoạch hỗn hợp bậc 2 trực giao
6.5. Quy hoạch đối xứng không hỗn hợp Box-Behnken
6.6. Quy hoạch đối xứng không hỗn hợp dạng D
6.7. Quy hoạch thực nghiệm bậc 2 dạng 3k
6.8. Xác định số thí nghiệm lặp từ độ chính xác cho trước
phương trình hồi quy
6.9. Phân tích mặt đáp ứng
6.10. Quy hoạch thực nghiệm bậc 2 trong thiết kế
6.11. Sử dụng Minitab trong quy hoạch thực nghiệm bậc 2
Bài tập 2
190 CHƯƠNG 6
6.1. GIỚI THIỆU
Thực nghiệm nhân tố toàn phần (TNT) và riêng phần (TNR) thu
được PTHQ bậc 1 phụ thuộc giữa đáp ứng và các nhân tố. Nếu khi phân
tích thì PTHQ bậc 1 này có các sai số lớn và không tương thích để mô tả
thực nghiệm, ta tiến hành bổ sung các thí nghiệm thu được mô hình hồi
quy bậc 1 đầy đủ (có các tương tác). Nếu phương trình này tiếp tục
không phù hợp thì ta cần phải tiến hành QHTN bậc 2 (Hình 6.1). Hoặc
khi mô hình bậc 1 là phù hợp, tuy nhiên để khảo sát miền bên trong
khoảng giá trị các nhân tố ảnh hưởng như thế nào đến thông số đầu ra
(hoặc tìm giá trị tối ưu) ta tiếp tục quy hoạch bậc 2.
Hình 6.1 Các bước lựa chọn mô hình quy hoạch tương thích
QUY HOẠCH THỰC NGHIỆM BẬC 2 191
PTHQ đa thức bậc 2 có dạng tổng quát:
k k k
2
0 i i ii i ij i j
i 1 i 1 i j
i,j 1
y b b x b x b x x
  

   
   (6.1)
Quy hoạch cho phép ta thu được PTHQ dạng đa thức bậc 2 (Hình 6.1)
gọi là quy hoạch thực nghiệm bậc 2. Các hàm đáp ứng là bậc 2, nên thường
gọi là mặt đáp ứng (Hình 6.2).
Số thí nghiệm chính N phải lớn hơn số hệ số p: N ≥ p. Số hệ số p của
PTHQ bậc 2 theo công thức (6.1) được xác định như sau:
2
)
2
k
)(
1
k
(
2
/
)
1
k
(
k
k
2
1
p






 (6.2)
Từ công thức (6.1) ta thấy rằng quy hoạch bậc 2 cho ta mô tả sự phụ
thuộc đại lượng đầu ra với mỗi nhân tố có dạng phương trình parabol.
Hình 6.2 Các mặt đáp ứng [24]
192 CHƯƠNG 6
Theo các quan điểm hiện đại trong QHTN tổng hợp thì thực nghiệm
tiến hành theo quan điểm nhiều tiêu chuẩn khác nhau, liên quan đến đánh
giá các tham số của mô hình hồi quy nhận được. Ví dụ, ta xây dựng quy
hoạch trực giao bậc 2 cho phép thu được các đánh giá hệ số hồi quy độc lập.
Đối với các quy hoạch này, ma trận (XTX)–1 là ma trận đường chéo, do đó
covarian giữa tất cả các hệ số hồi quy bằng 0: 0
}
b
,
b
cov{ j
i  khi j
i  . Tuy
nhiên, tính trực giao đối với quy hoạch bậc 2 không liên quan đến yêu cầu
về nâng cao tính chính xác mô hình toán.
Trong Bảng 6.1 và 6.2 trình bày một số tính chất QHTN bậc 2.
Bảng 6.1 Tính chất các dạng quy hoạch bậc 2 hỗn hợp đối xứng
Dạng quy hoạch Tính chất
Rotatable Central Composite
Circumscribed Design -
Quy hoạch hỗn hợp đối xứng
quay đều (Box – Wilson)
Quy hoạch Box – Wilson mô tả tốt
tính chất đối tượng nghiên cứu trong
toàn bộ không gian thiết kế, tuy nhiên
các nhân tố có 5 mức giá trị. Do đó
phải xác định lại miền giá trị các nhân
tố để ±α nằm trong miền giá trị khả
thi.
Mỗi nhân tố yêu cầu 5 mức giá trị.
Face Centered Central
Composite Design (FCCCD) -
Quy hoạch hỗn hợp đối xứng
dạng FCCCD (hay còn gọi
dạng B)
Quy hoạch FCCCD mô tả tương đối
tốt tính chất đối tượng nghiên cứu
trong toàn bộ không gian thiết kế, các
nhân tố nằm trong miền giá trị. Tuy
nhiên các hệ số bậc 2 có độ chính xác
thấp.
Mỗi nhân tố yêu cầu 3 mức giá trị.
Orthogonal Central Composite
Design - Quy hoạch hỗn hợp
trực giao (Box-Hunter)
Quy hoạch Box – Hunter có tính chất
trực giao với 5 mức giá trị các nhân
tố, khi đó các hệ số được xác định dễ
dàng. Sau khi loại bỏ các hệ số không
ý nghĩa không cần tính toán lại.
Ngoài các tính chất đối xứng, chuẩn và trực giao thì QHTN còn có
tính hỗn hợp.
Quy hoạch gọi là hỗn hợp là thực hiện theo trình tự, bao gồm QHTN
bậc 1: nhân tố toàn phần hoặc riêng phần, sau đó tiến hành thí nghiệm tại
các điểm sao và trong một số trường hợp còn có các điểm ở tâm để xác định
bậc 2 (Hình 6.1). Các quy hoạch hỗn hợp bậc 2 bao gồm: quy hoạch dạng
FCCCD, quy hoạch quay đều, quy hoạch trực giao…
QUY HOẠCH THỰC NGHIỆM BẬC 2 193
Như ta đã biết, độ chính xác mô hình toán được xác định bằng phương
sai các hệ số PTHQ và phương sai giá trị tính toán của đáp ứng. Cho nên
theo quan điểm nhà thực nghiệm thì quy hoạch tốt nhất là quy hoạch cho
phép người ta thu được mô hình hồi quy với giá trị nhỏ nhất của phương sai
và covarian của các hệ số PTHQ và phương sai nhỏ nhất các giá trị của đáp
ứng. Yêu cầu tối thiểu đồng thời các phương sai trên là khó thực hiện.
Bảng 6.2 So sánh giữa các dạng QHTN bậc 2 quay đều, dạng FCCCD và
Box-Behnken với 3 nhân tố
Quy hoạch hỗn hợp (Central composite) Quy hoạch không hỗn hợp
Quay đều (Box-Wilson) FCCCD Box-Behnken
N x1 x2 x3 N x1 x2 x3 N x1 x2 x3
1 -1 -1 -1 1 -1 -1 -1 1 -1 -1 0
1 +1 -1 -1 1 +1 -1 -1 1 +1 -1 0
1 -1 +1 -1 1 -1 +1 -1 1 -1 +1 0
1 +1 +1 -1 1 +1 +1 -1 1 +1 +1 0
1 -1 -1 +1 1 -1 -1 +1 1 -1 0 -1
1 +1 -1 +1 1 +1 -1 +1 1 +1 0 -1
1 -1 +1 +1 1 -1 +1 +1 1 -1 0 +1
1 +1 +1 +1 1 +1 +1 +1 1 +1 0 +1
1 -1,682 0 0 1 -1 0 0 1 0 -1 -1
1 1,682 0 0 1 +1 0 0 1 0 +1 -1
1 0 -1,682 0 1 0 -1 0 1 0 -1 +1
1 0 1,682 0 1 0 +1 0 1 0 +1 +1
1 0 0 -1,682 1 0 0 -1 3 0 0 0
1 0 0 1,682 1 0 0 +1
6 0 0 0 1 0 0 0
Tổng cộng N = 20 Tổng cộng N = 14
hoặc 15
Tổng cộng N = 15
Trong lý thuyết QHTN, người ta đưa ra các dạng quy hoạch chỉ có
thể tối thiểu vài giá trị từ các tham số trên. Ví dụ:
- Quy hoạch cho phép thu được mô hình toán với giá trị trung bình
phương sai hệ số PTHQ là nhỏ nhất - tối ưu A.
- Nhỏ nhất - tối thiểu giá trị phương sai lớn nhất các giá trị tính toán
đáp ứng - tối ưu G
- Nhỏ nhất phương sai đánh giá các hệ số PTHQ - tương ứng (XTX)–1
/N → min, gọi là tối ưu D.
194 CHƯƠNG 6
Trên lý thuyết quy hoạch có trên 20 tiêu chuẩn. Do đó trong chương
này ta chỉ khảo sát một vài dạng quy hoạch. Ngoài 3 dạng quy hoạch hỗn
hợp đối xứng: quy hoạch dạng FCCCD, quy hoạch quay đều (Box –
Wilson), quy hoạch trực giao (Box – Hunter), trong chương này trình
bày thêm các dạng Box – Behnken, 3k
và tối ưu D.
6.2. QUY HOẠCH HỖN HỢP ĐỐI XỨNG BẬC 2 DẠNG FCCCD
Trong quy hoạch dạng FCCCD, mỗi nhân tố Xi thay đổi ở ba mức giá trị.
Ở mỗi thí nghiệm, các nhân tố ở một trong ba mức Ximin, Ximax và
2
X
X
X max
i
min
i
o
i

 . Trong dạng mã hóa tương ứng là -1, +1, 0.
Đầu tiên ta tiến hành các thí nghiệm ở nhân bao gồm 2k
thí nghiệm
chính để thu được PTHQ bậc 1. Sau đó kiểm tra tính tương thích của PTHQ
bậc 1. Nếu tương thích ta dừng thí nghiệm và sử dụng PTHQ bậc 1. Nếu
không tương thích ta sẽ tiếp tục thí nghiệm ở các điểm sao và tâm. Tuy
nhiên, để khảo sát miền bên trong khoảng giá trị các nhân tố ảnh hưởng
như thế nào đến thông số đầu ra (hoặc tìm giá trị tối ưu) ta tiếp tục quy
hoạch bậc 2 mặc dù PTHQ bậc 1 đã tương thích.
Ta gọi điểm sao của quy hoạch FCCCD với điều kiện mà khi đó một
trong các nhân tố có giá trị -1 hoặc +1, các nhân tố còn lại đều có giá trị 0.
Có tất cả 2k thí nghiệm chính ở các điểm sao.
Ví dụ, đối với quy hoạch gồm 3 nhân tố các điểm sao là:
1) x1 = -1; x2 = 0; x3 = 0
2) x1 = +1; x2 = 0; x3 = 0
3) x1 = 0; x2 = -1; x3 = 0
4) x1 = 0; x2 = +1; x3 = 0
5) x1 = 0; x2 = 0; x3 = -1
6) x1 = 0; x2 = 0; x3 = +1
hoặc theo dạng Bảng 6.3.
Quy hoạch FCCCD gồm 2k
thí nghiệm chính TNT và thêm 2k thí
nghiệm chính tại các điểm sao. Tổng số thí nghiệm chính N = 2k
+ 2k+ n0.
Tuy nhiên khi số nhân tố k  5, ta có thể sử dụng TNR gồm 2k-1
thí nghiệm
và 2k thí nghiệm tại các điểm sao. Khi đó tổng số thí nghiệm chính sẽ là N
= 2k-1
+ 2k + n0.
Bảng 6.3 và 6.4 là ma trận quy hoạch gồm 2 và 3 nhân tố.
QUY HOẠCH THỰC NGHIỆM BẬC 2 195
Bảng 6.3 QHTN k = 2 nhân tố Bảng 6.4 QHTN k = 3 nhân tố
N x0 x1 x2 N x1 x2 x3
1
2
3
4
1
1
1
1
-1
+1
-1
+1
-1
-1
+1
+1
Các thí
nghiệm ở
nhân
(TNT)
N1 = 22
= 4
1
2
3
4
5
6
7
8
-1
+1
-1
+1
-1
+1
-1
+1
-1
-1
+1
+1
-1
-1
+1
+1
-1
-1
-1
-1
+1
+1
+1
+1
Các thí
nghiệm ở
nhân
(TNT)
N1 = 23
= 8
5
6
7
8
1
1
1
1
-1
+1
0
0
0
0
-1
+1
Các thí
nghiệm ở
điểm sao
2.k = 2.2 =
4
9
10
11
12
13
14
-1
+1
0
0
0
0
0
0
-1
+1
0
0
0
0
0
0
-1
+1
Các thí
nghiệm ở
điểm sao
2.k = 2.3 =
6
9 0 0 0 Thí nghiệm
ở tâm n0
15 0 0 0 Thí nghiệm
ở tâm n0
Biểu diễn hình học quy hoạch FCCCD với k = 2 trong mặt phẳng nhân
tố (Hình 6.3a). Các thí nghiệm từ 1 đến 4 (thực nghiệm nhân tố toàn phần -
TNT) nằm ở các đỉnh hình vuông.
Theo Hình 6.3a ta thấy rằng các thí nghiệm từ 5 đến 8, nằm tại điểm
giữa các cạnh hình vuông. Khi k = 3 nằm trên các đỉnh và tâm các mặt bên
của khối vuông trong không gian nhân tố.
a) Hai nhân tố b) Ba nhân tố
Hình 6.3 Các điểm thí nghiệm chính theo phương pháp FCCCD
196 CHƯƠNG 6
Như thế tại vùng tâm không gian nhân tố, ta có thể không tiến
hành các thí nghiệm. Do đó độ chính xác mô hình hồi quy gần tâm quy
hoạch không cao.
Do đó trong các bài toán tối ưu đối tượng nghiên cứu, ví dụ tìm chế độ
cắt hợp lý, cần phải tiến hành thực nghiệm tại tâm quy hoạch. Khi đó ta bổ
sung một số thí nghiệm tại không gian nhân tố: x1 = x2 = ... = xk = 0. Điều
đó làm tăng độ chính xác mô hình hồi quy. Ngoài ra, ta còn có thể sử dụng
các thí nghiệm lặp lại tại tâm nhân tố, để đánh giá phương sai tái hiện trong
trường hợp các thí nghiệm chính không có thí nghiệm lặp.
Quy hoạch bậc 2, chứa trong thành phần của mình QHTN bậc 1
được gọi là quy hoạch hỗn hợp, ví dụ quy hoạch FCCCD. Tính chất hỗn
hợp rất thuận tiện cho nhà nghiên cứu. Cho phép nhà nghiên cứu tiến
hành quy hoạch và thực nghiệm từng bước. Đầu tiên ta tiến hành theo
TNT hoặc TNR thu được PTHQ bậc 1, nếu mô hình không tương thích ta
có thể bổ sung thí nghiệm tại các điểm sao, ở tâm. Khi đó ta thu được
PTHQ bậc 2.
Các hệ số PTHQ có thể xác định dễ dàng từ ma trận quy hoạch X .
x0 x1... xi... xk x1x2... xixj... xk-1xk
2
1
x 2
i
x 2
k
x
2 2 2
01 11 i1 k1 1 2 1 i j 1 k 1 k 1 11 ij k1
2 2 2
0u 1u iu ku 1 2 u i j u k 1 k u 1u iu ku
2 2 2
0N 1N iN kN 1 2 N i j N k 1 k N 1N iN kN
x x x x (x x ) (x x ) (x x ) x x x
x x x x (x x ) (x x ) (x x ) x x x
x x x x (x x ) (x x ) (x x ) x x x



 
 
 
 
 

 
 
 
 
 
 
X (6.3)
QUY HOẠCH THỰC NGHIỆM BẬC 2 197
Ma trận chuyển vị XT có dạng:
01 0u 0x
11 1u 1N
i1 iu iN
k1 ku kN
1 2 1 1 2 u 1 2 N
i j 1 i j u i j N
k 1 k 1 k 1 k u k 1 k N
2 2 2
11 1u 1N
2 2 2
i1 iu iN
2 2 2
k1 ku kN
x x x
x x x
x x x
x x x
(x x ) (x x ) (x x )
(x x ) (x x ) (x x )
(x x ) (x x ) (x x )
x x x
x x x
x x x
  







T
X





 
 
 
 
 
 
 
 
 
 
 
 
 
 
 
 
 
 
 
 
 (6.4)
Hệ số PTHQ xác định theo công thức:
B = (XTX)-1(XTY)
Đối với quy hoạch FCCCD:
2 2 2
0 1 2 i j k 1 k 1 i k
x x x x x x x x x x
1 1 1 1 1 1 1 1 1 1
1 1 1 1 1 1 1 1 1 1
1 1 0 0 0 0 0 1 0 0
1 0 0 1 0 0 0 0 0 1
1 0 0 0 0 0 0 0 0 0
1 0 0 0 0 0 0 0 0 0

 
 
 
 
 
 

 
 
 
 
 
 
 
1 i k
x x x
X
(6.5)
198 CHƯƠNG 6
 
0
1
i
k
12
1
ij
(k 1)k
11
ii
kk
b
b
b
b
b
b
b
b
b
b


 
 
 
 
 
 
 
 
 
 
 
 
 
 
 
 
 
 
 
 
 
 
 
 
 
 
 
T T
B X X (X Y)
(6.6)
trong đó Y
1
2
N
y
y
Y
y
 
 
 

 
 
 
 
2 2 2
1u iu ku
2
1u
2
iu
2
ku
2 2
1u 2u
2 2
iu ju
2 2
i j
2 4 2 2 2 2
1u 1u 1u iu 1u ku
N 0 0 0 0 0 0 x x x
0 x 0 0 0 0 0 0 0 0
0 0 x 0 0 0 0 0 0 0
0 0 0 x 0 0 0 0 0 0
0 0 0 0 x x 0 0 0 0 0
0 0 0 0 0 x x 0 0 0 0
0 0 0 0 0 0 x x 0 0 0
x 0 0 0 0 0 0 x x x x x
  







   
T
X X
2 2 2 4 2 2
iu iu 1u iu iu ku
2 2 2 2 2 4
ku ku 1u ku iu kN
x 0 0 0 0 0 0 x x x x x
x 0 0 0 0 0 0 x x x x x
 
 
 
 
 
 
 
 
 
 
 
 
 
 
 
 
 
 
 
 
   
 
 
 
   
 
 
(6.7)
QUY HOẠCH THỰC NGHIỆM BẬC 2 199
PTHQ bậc 2 có dạng:
k k k
2
0 i i ii i iu i u
i 1 i 1 i u
u,i 1
y b b x b x b x x
  

   
   (6.8)
Nhân các ma trận ta suy ra các công thức xác định các hệ số:
N k k
2
0 i ij i
j 1 i 1 j 1
a b
b y x y
N N
  
 
  (6.9)




N
1
j
j
ij
2
i y
x
N
1
b (6.10)
(6.11)
(6.12)
Các hệ số c
,
b
,
a
,
,
, 4
3
2 

 được xác định:
N N N
2 2 2 4
2 ij 3 ij uj 4 ij
j 1 j 1 j 1
2
2 2
2 2
4 3 3 2 4 3 3 2
2
3 2
2
4 3 4 3 4 3 3 2
1 1 1
x ; x x ; x
N N N
k
a 1; b
k k k k
1
c ; d
( )( k k )
  

      


  
   
              

  

 
             

  
(6.13)
Phương sai hệ số hồi quy và covarian giữa chúng xác định theo công
thức (n – số thí nghiệm lặp trong mỗi thí nghiệm):
   
   
   
   
   
   
2 2
1
0
2 2
3
i
2 2
4 5
ii
2 2
6
iu
2
2
0 ii
2
5
ii iu
c
s b s y
n
c
s b s y
n
c c
s b s y
n
c
s b s y
n
c
cov b ,b s y
n
c
cov b ,b s y
n

 
   
  

 
   
  

  
   

 

  
   
 

  
   
 

  
   
  
(6.14)
200 CHƯƠNG 6
Giá trị các hệ số c1-c6 tra trong Bảng 6.5.
Bảng 6.5
ci
Dạng quy hoạch FCCCD (B)
B2
(k = 2, N = 8)
B3
(k = 3, N = 14)
B4
(k = 4, N = 24)
B5 với TNT
(k = 5, N = 42)
c1
c2
c3
c4
c5
c6
1,25
0,75
0,1667
0,5
0,25
0,25
0,40924
0,15624
0,1
0,5
-0,09375
0,125
0,22917
0,0625
0,05556
0,5
-0,10417
0,0625
0,15821
0,0332
0,02941
0,5
-0,0918
0,03125
Ví dụ 6.1 Khi nghiên cứu độ bền uốn vật liệu ván nhân tạo phụ thuộc độ ẩm
W và nhiệt độ ép t (Bảng 6.6) ta sử dụng QHTN bậc 2 dạng FCCCD. Xác
định PTHQ bậc 2.
Bảng 6.6
STT Nhân tố
Ký hiệu Mức giá trị Khoảng
thay đổi
Tự nhiên Mã hóa Dưới -1 Cơ sở 0 Trên +1
1 Độ ẩm (%) W x1 6 18 30 24
2 Nhiệt độ (0
C) t x2 80 100 120 40
Bảng 6.7 là ma trận quy hoạch với kết quả thực nghiệm.
Bảng 6.7
N
Các nhân tố Bậc 2
Tương
tác Kết quả TN
j
y
Kết quả
PTHQ
Sai lệch
(Resit)
x0 x1 x2 x1
2
x2
2
x1x2
1 +1 -1 -1 +1 +1 +1 12 11,8000 0,200000
2 +1 +1 -1 +1 +1 -1 14,4 14,4333 -0,033333
3 +1 -1 +1 +1 +1 -1 20 19,9667 0,033333
4 +1 +1 +1 +1 +1 +1 25,6 25,8000 -0,200000
5 +1 -1 0 +1 0 0 13,8 14,0333 -0,233333
6 +1 +1 0 +1 0 0 18,5 18,2667 0,233333
7 +1 0 -1 0 +1 0 12,1 12,2667 -0,166667
8 +1 0 +1 0 +1 0 22,2 22,0333 0,166667
9 +1 0 0 0 0 0 15,4 11,8000 0,200000
QUY HOẠCH THỰC NGHIỆM BẬC 2 201
Phương sai tái hiện: s2
{y} = 0,090.
Giải:
Ma trận quy hoạch:
Ma trận chuyển vị:
Ma trận kết quả thực nghiệm:
12
14,4
20
25,6
13,8
18,5
12,1
22,2
15,4

Y
202 CHƯƠNG 6
Hệ số PTHQ được xác định theo ma trận:
 
0
1
1
2
11
22
12
b
b
b
b
b
b

 
 
 
 
 
 
 
 
 
 
 
 
T T
B X X (X Y) (6.15)
Kết quả tính toán các hệ số của PTHQ theo các ma trận trình bày ở
trên hoặc theo các công thức (6.6) hoặc từ (6.9) đến (6.13). Sau khi tính toán
ta thu được: b0 = 15,300; b1 = 2,117; b2 = 4,883; b11 = 0,850; b22 = 1,850;
b12 = 0,800.
PTHQ có dạng:
Y = 15,300 + 2,117x1 + 4,883x2 + 0,850 x1
2
+ 1,850 x2
2
+ 0,800x1x2
Số bậc tự do fy = 9. Tra bảng Student theo Phụ lục 1 với  = 0,05 với
fy = 9 ta có tb = 2,26. Xác định phương sai các hệ số s2
{bi} theo công thức
(4.11). So sánh các hệ số PTHQ với tích tbs{bi} để loại bỏ các hệ số không
có ý nghĩa.
Tổng bình phương đặc trưng sự tương thích của mô hình:
Sth = 0,493
s2
th = Sth /fth =0,247
Tỷ số Ftt tính toán:
Ftt = s2
th/ s2
{y} = 2,741
Tra Phụ lục 1 với f1 = fth = 3 và f2 = fy = 9 ta tìm được Fb = 3.860
Vì Ftt < Fb nên giả thuyết về tính tương thích PTHQ được chấp nhận.
Chú ý khi tính trên Minitab theo phương pháp FCCCD: Tham
khảo Mục 6.11 và trên hộp thoại Create Response Surface Design:
Designs (Hình 6.4) ta chọn nút Custom trên vùng Number of Center Point
và nhập số thí nghiệm ở tâm (trong hình n0 =1). Và trên vùng Value of Alpha
chọn Face Center.
QUY HOẠCH THỰC NGHIỆM BẬC 2 203
Hình 6.4
Kết quả tính trên Minitab:
Model Summary
S R-sq R-sq(adj) R-sq(pred)
0.351188 99.86% 99.51% 97.50%
Coded Coefficients
Term Coef SE Coef T-Value P-Value VIF
Constant 15.300 0.393 38.97 0.001
X1 2.117 0.143 14.76 0.005 1.00
X2 4.883 0.143 34.06 0.001 1.00
X1*x1 0.850 0.304 2.79 0.108 1.13
X2*x2 1.850 0.304 6.08 0.026 1.13
X1*x2 0.800 0.176 4.56 0.045 1.00
Regression Equation in Coded Units
Y = 15.300 + 2.117 x1 + 4.883 x2 + 0.850 x1*x1 + 1.850 x2*x2
+ 0.800 x1*x2
Regression Equation in Uncoded Units
y = 41.02 - 0.3611w - 0.724 t + 0.00567w2 + 0.004542t2 + 0.003333 wt
So sánh với ví dụ 3.4, chỉ cần bổ sung 3 thí nghiệm ta thu được PTHQ
bậc 2 với R-sq = 99,86%.
204 CHƯƠNG 6
Ví dụ 6.2 So sánh ví dụ trên Mục 4.4 ta sử dụng quy hoạch dạng
FCCCD. Nghiên cứu ảnh hưởng lực cắt Fz (N) vật liệu khi phay, phụ
thuộc vào các nhân tố: góc cắt  và góc sau  của dụng cụ cắt. Tiến
hành tất cả 9 thí nghiệm chính.
Bảng 6.8 Bảng giá trị các nhân tố
STT Nhân tố
Ký hiệu Mức giá trị Khoảng
thay đổi
Tự nhiên Mã hóa Dưới -1 Cơ sở 0 Trên +1
1 Góc cắt (độ)  x1 35 45 55 10
2 Góc sau (độ)  x2 0 5 10 5
Bảng giá trị các nhân tố cho trong Bảng 6.8 và kết quả thực nghiệm
trong Bảng 6.9.
Bảng 6.9 Bảng ma trận quy hoạch và kết quả thực nghiệm
N
Nhân tố tự
nhiên
Nhân tố mã hóa và tương tác Kết
quả
thực
nghiệm
y
Giá trị
theo
PTHQ
Chú
thích
Góc
cắt 
(o
)
Góc
sau
 (o
)
x0 x1 x2 x1
2
x2
2
x1x2
1
2
3
4
35
55
35
55
0
0
10
10
1
1
1
1
-1
+1
-1
+1
-1
-1
+1
+1
1
1
1
1
1
1
1
1
1
-1
-1
1
383
572
348
516
381,083
569,250
350,583
517,750
Các thí
nghiệm
ở nhân
(TNT)
22
= 4
5
6
7
8
35
55
45
45
5
5
0
10
1
1
1
1
-1
+1
0
0
0
0
-1
+1
1
1
0
0
0
0
1
1
0
0
0
0
359
535
441
409
358,333
536,000
445,667
404,667
Các thí
nghiệm
ở điểm
sao
2.2 = 4
9 45 5 0 0 0 0 0 0 418 417,667 TN tại
tâm
QUY HOẠCH THỰC NGHIỆM BẬC 2 205
Tính trên Minitab thu được kết quả như sau:
Analysis of Variance
Source DF Adj SS Adj MS F-Value P-Value
Model 5 51832.9 10366.6 492.99 0.000
Linear 2 1907.3 953.6 45.35 0.006
x1 1 1820.6 1820.6 86.58 0.003
x2 1 59.4 59.4 2.82 0.191
Square 2 1853.0 926.5 44.06 0.006
x1*x1 1 1740.5 1740.5 82.77 0.003
x2*x2 1 112.5 112.5 5.35 0.104
2-Way Interaction 1 110.2 110.2 5.24 0.106
x1*x2 1 110.2 110.2 5.24 0.106
Error 3 63.1 21.0
Total 8 51896.0
Model Summary
S R-sq R-sq(adj) R-sq(pred)
4.58561 99.88% 99.68% 98.52%
Coded Coefficients
Term Coef SE Coef T-Value P-Value VIF
Constant 63056 6585 9.58 0.002
x1 27176 2921 9.30 0.003 24338.50
x2 -909 541 -1.68 0.191 3338.50
x1*x1 2950 324 9.10 0.003 24301.00
x2*x2 187.5 81.1 2.31 0.104 301.00
x1*x2 -262 115 -2.29 0.106 3076.00
Regression Equation in Coded Units
Y = 417.67 + 88.83 x1 - 20.50 x2 + 29.50 x1*x1 + 7.50 x2*x2 -
5.25 x1*x2
So sánh với Ví dụ 4.4 thì khi QHTN theo phương pháp FCCCD Ví dụ
6.2 có số thí nghiệm chính N giảm đáng kể: từ N = 21 giảm xuống N = 9, và
kết quả thực nghiệm có sự sai lệch không đáng kể, ngoài ra tính tương thích
PTHQ thu được được đảm bảo với R – sq = 99,88 %.
Ví dụ 6.3 QHTN bậc 2 dạng FCCCD cho 3 nhân tố. Giá trị các nhân tố và
ma trận quy hoạch cho trong các Bảng 6.10 và 6.11.Thông số đầu ra là độ
bền uốn (MPa).
Bảng 6.10
N Nhân tố
Ký hiệu Mức giá trị Khoảng
thay đổi
Tự nhiên Mã hóa Dưới -1 Cơ sở 0 Trên +1
1 Độ ẩm (%) W x1 6 17 28 22
2 Thời gian (s) T x2 30 45 60 30
3 Nhiệt độ (0
C) t x3 80 110 140 60
206 CHƯƠNG 6
Giải:
Bảng ma trận quy hoạch và kết quả thực nghiệm:
Bảng 6.11
N
Nhân tố mã hóa Tương tác Bậc 2 Kết
quả
j
y
Kết quả
PTHQ
x0 x1 x2 x3 x1x2 x1x3 x2x3 x1
2
x2
2
x3
2
1 +1 -1 -1 -1 +1 +1 +1 +1 +1 +1 6 6,6436
2 +1 +1 -1 -1 -1 -1 +1 +1 +1 +1 15,2 14,7616
3 +1 -1 +1 -1 -1 +1 -1 +1 +1 +1 22,7 22,1676
4 +1 +1 +1 -1 +1 -1 -1 +1 +1 +1 34,68 34,9456
5 +1 -1 -1 +1 +1 -1 -1 +1 +1 +1 13,5 13,2136
6 +1 +1 -1 +1 -1 +1 -1 +1 +1 +1 23,66 24,1716
7 +1 -1 +1 +1 -1 -1 +1 +1 +1 +1 30,5 30,9176
8 +1 +1 +1 +1 +1 +1 +1 +1 +1 +1 47,2 46,5356
9 +1 -1 0 0 0 0 0 +1 0 0 14,5 14,2578
10 +1 +1 0 0 0 0 0 +1 0 0 25,8 26,1258
11 +1 0 -1 0 0 0 0 0 +1 0 11,5 11,0698
12 +1 0 +1 0 0 0 0 0 +1 0 29,5 30,0138
13 +1 0 0 -1 0 0 0 0 0 +1 15 15,0618
14 +1 0 0 +1 0 0 0 0 0 +1 24,12 24,1418
15 +1 0 0 0 0 0 0 0 0 0 18,25 18,0829
Các hệ số b của PTHQ thu được khi sử dụng các công thức (6.6)
tương tự Ví dụ 6.1 hoặc theo các công thức từ (6.9) đến (6.13):
b0 = 18,015; b1 = 5,934; b2 = 9,472; b3 = 4,540; b1
2
= 2,109;
b2
2
= 2,459; b3
2
= 1,519; b12 = 1,165; b13 = 0,710; b23 = 0,545
PTHQ bậc 2 có dạng (tính theo công thức):
2 2 2
1 2 3 1 2 3
1 2 1 3 2 3
y 18,015 5,934x 9,472x 4,54x 2,135x 2,485x 1,545x
1,165x x 0,71x x 0,545x x
      
  
PTHQ bậc 2 có dạng (tính theo Minitab):
Regression Equation in Uncoded Units
Y = 18.083 + 5.934 x1 + 9.472 x2 + 4.540 x3
+ 2.109 x1*x1 + 2.459 x2*x2 + 1.519 x3*x3 + 1.165 x1*x2
+ 0.710 x1*x3 + 0.545 x2*x3
QUY HOẠCH THỰC NGHIỆM BẬC 2 207
Ví dụ 6.4 Xác định sự phụ thuộc của lực cắt vào 5 nhân tố khi cắt một loại
vật liệu (Bảng 6.12): lượng đưa phôi, vận tốc cắt, lực nén trên phôi, chiều
dài cắt, chiều dài làm việc dụng cụ cắt [30].
Bảng 6.12 Các nhân tố
N Nhân tố
Ký hiệu Mức giá trị Khoảng
thay
đổi
Tự
nhiên
Mã
hóa
Dưới, -
1
Cơ sở,
0
Trên,
1
1 Chiều dài làm việc dụng
cụ cắt (cm)
L0 x1 30 48 66 18
2 Chiều dài cắt (cm) L1 x2 10 20 30 10
3 Lực nén trên phôi (N) F x3 60 90 120 30
4 Vận tốc cắt (m/s) v x4 8,9 13,5 18,1 4,6
5 Lượng đưa phôi (mm)  x5 0,6 0,9 1,2 0,3
Bảng 6.13 là ma trận quy hoạch và kết quả thực nghiệm.
Bảng 6.13
N0
x0 x1 x2 x3 x4 x5 N
,
yj Kết quả Resit
1 +1 –1 –1 –1 –1 –1 83 90,792 -7,7923
2 +1 +1 –1 –1 –1 –1 110 108,270 1,7298
3 +1 –1 +1 –1 –1 –1 55 53,108 1,8915
4 +1 +1 +1 –1 –1 –1 102 99,211 2,7886
5 +1 –1 –1 +1 –1 –1 180 165,028 14,9724
6 +1 +1 –1 +1 –1 –1 204 202,381 1,6195
7 +1 –1 +1 +1 –1 –1 131 140,719 -9,7188
8 +1 +1 +1 +1 –1 –1 203 206,697 -3,6967
9 +1 –1 –1 –1 +1 –1 100 100,800 -0,7996
10 +1 +1 –1 –1 +1 –1 132 119,903 12,0974
11 +1 –1 +1 –1 +1 –1 66 62,741 3,2592
12 +1 +1 +1 –1 +1 –1 100 110,469 -10,4688
13 +1 –1 –1 +1 +1 –1 175 180,910 -5,9099
14 +1 +1 –1 +1 +1 –1 208 219,888 -11,8879
15 +1 –1 +1 +1 +1 –1 157 156,226 0,7739
16 +1 +1 +1 +1 +1 –1 233 223,829 9,1710
17 +1 –1 –1 –1 –1 +1 134 140,358 -6,3585
18 +1 +1 –1 –1 –1 +1 155 151,461 3,5386
19 +1 –1 +1 –1 –1 +1 125 106,300 18,7004
20 +1 +1 +1 –1 –1 +1 138 146,028 -8,0276
208 CHƯƠNG 6
21 +1 –1 –1 +1 –1 +1 237 237,469 -0,4688
22 +1 +1 –1 +1 –1 +1 269 268,447 0,5533
23 +1 –1 +1 +1 –1 +1 206 216,785 -10,7849
24 +1 +1 +1 +1 –1 +1 283 276,388 6,6121
25 +1 –1 –1 –1 +1 +1 143 144,991 -1,9908
26 +1 +1 –1 –1 +1 +1 166 157,719 8,2812
27 +1 –1 +1 –1 +1 +1 105 110,557 -5,5570
28 +1 +1 +1 –1 +1 +1 148 151,910 -3,9099
29 +1 –1 –1 +1 +1 +1 259 247,976 11,0239
30 +1 +1 –1 +1 +1 +1 272 280,579 -8,5790
31 +1 –1 +1 +1 +1 +1 221 226,917 -5,9173
32 +1 +1 +1 +1 +1 +1 293 288,145 4,8548
33 +1 –1 0 0 0 0 182 177,324 4,6765
34 +1 +1 0 0 0 0 212 216,676 -4,6765
35 +1 0 –1 0 0 0 190 200,029 -10,0294
36 +1 0 +1 0 0 0 195 184,971 10,0294
37 +1 0 0 –1 0 0 152 159,382 -7,3824
38 +1 0 0 +1 0 0 272 264,618 7,3824
39 +1 0 0 0 –1 0 210 215,559 -5,5588
40 +1 0 0 0 +1 0 232 226,441 5,5588
41 +1 0 0 0 0 –1 197 195,029 1,9706
42 +1 0 0 0 0 +1 250 251,971 -1,9706
Tính theo các công thức từ (6.9) đến (6.13) ta thu được các hệ số
PTHQ (Bảng 6.14).
Bảng 6.14 Giá trị các hệ số
Hệ số bo b1 b2 b3 b4 b5 b11 b22 b33 b44 b55
Tínhtoán 219,46 21,18 -8,87 52,82 3,94 29,98 -23,6 -23,54 -8,6 0,4 2,9
Tính lại 218,22 20,97 -8,55 52,7 4,15 29,76 -26,84 -23,87 - - -
Hệ số b12 b13 b14 b15 b23 b24 b25 b34 b35 b45
Tính toán 8,58 4,76 2,01 -3,19 3,53 -1,51 2,33 1,68 5,51 0,26
Tính lại 8,24 4,88 - -2,97 3,4 - - - 5,63 -
Trên mỗi thí nghiệm chính ta lặp 5 lần (n = 5). Số bậc tự do f = N(n-1)
= 42.4 = 168. Khi đó tb  1,97.
QUY HOẠCH THỰC NGHIỆM BẬC 2 209
Theo tiêu chuẩn Cochran ta kiểm tra tính đồng nhất phương sai:
2
max
tt 2 2 2
i 2 N
s
G
(s s s )

  
(6.16)
12
,
0
G
0875
,
0
G b
tt 

 khi q = 0,05
Phương sai tái hiện:
j
N
2
2 1
s
s {y}
N


với
2
iu j
2
j
(y y )
s
n 1







42
1
j
2
j
2
42
s
}
y
{
s 8
,
391
42
16455
}
y
{
s2


Số bậc tự do fy:
168
)
1
5
(
42
)
1
n
(
N
fy 




Theo Bảng 6.5 ta chọn các hệ số c1, c2, c3, c4, c5 và c6 và tính theo
công thức (6.14) (hoặc tính theo công thức (4.11)). Từ đây suy ra:
 
2
0
0,158
s b .391,8 12,8
5
 
3
,
2
8
,
391
.
5
0294
,
0
}
b
{
s i
2


32
8
,
391
.
5
408
,
0
}
b
{
s ii
2


44
,
2
8
,
391
.
5
0312
,
0
}
b
{
s ij
2


 
0 ii
0,0332
cov b ,b .391,8 2,6
5
 
   
 
 
78
,
7
8
,
391
.
5
0918
,
0
}
b
,
b
{
cov ij
ii 









Sau khi so sánh }
b
{
s
tb với các hệ số b, ta loại bỏ các hệ số không
ý nghĩa và tính toán lại các hệ số.
Cuối cùng PTHQ có dạng:
2
1 2 3 4 5 4
2
5 1 2 1 5 3 4 3 5 4 5
y 218,22 29,76x 4,15x 52,3x 8,5x 20,97x 23,87x
26,84x 5,63x x 2,97x x 3,4x x 4,88x x 8,24x x
      
     
210 CHƯƠNG 6
Kiểm tra tính tương thích theo phương sai tương thích 2
th
s :
2 th
th
th
S
s
f
 ; với 



N
1
j
2
j
j
th )
y
y
(
S

ta thu được: 16
,
541
s2
th 
Hệ số Ftt tính toán:
38
,
1
8
,
391
16
,
541
}
y
{
s
s
F 2
2
th
tt 


So sánh với giá trị Fb = 1,5 với fth = N – p = 29; fy = 168; q = 0,05.
Vì Ftt < Fb suy ra giả thuyết về tính tương thích PTHQ được chấp nhận.
Kết quả xử lý trên Minitab:
Response Surface Regression: Y versus x1, x2, x3, x4, x5
Analysis of Variance
Source DF Adj SS Adj MS F-Value P-Value
Model 20 156023 7801.2 69.37 0.000
Linear 5 137790 27558.0 245.04 0.000
x1 1 13164 13163.6 117.05 0.000
x2 1 1928 1927.5 17.14 0.000
x3 1 94133 94133.0 837.02 0.000
x4 1 1007 1006.6 8.95 0.007
x5 1 27560 27559.5 245.06 0.000
Square 5 14160 2832.0 25.18 0.000
x1*x1 1 1226 1225.6 10.90 0.003
x2*x2 1 1768 1768.3 15.72 0.001
x3*x3 1 133 133.0 1.18 0.289
x4*x4 1 7 6.5 0.06 0.812
x5*x5 1 42 41.8 0.37 0.548
2-Way Interaction 10 4073 407.3 3.62 0.006
x1*x2 1 1639 1638.8 14.57 0.001
x1*x3 1 790 790.0 7.02 0.015
x1*x4 1 5 5.3 0.05 0.831
x1*x5 1 81 81.3 0.72 0.405
x2*x3 1 358 357.8 3.18 0.089
x2*x4 1 0 0.3 0.00 0.961
x2*x5 1 26 26.3 0.23 0.634
x3*x4 1 69 69.0 0.61 0.442
x3*x5 1 1047 1046.5 9.31 0.006
x4*x5 1 58 57.8 0.51 0.481
Error 21 2362 112.5
Total 41 158385
Model Summary
S R-sq R-sq(adj) R-sq(pred)
10.6048 98.51% 97.09% 94.07%
QUY HOẠCH THỰC NGHIỆM BẬC 2 211
Coded Coefficients
Term Coef SE Coef T-Value P-Value VIF
Constant 219.37 4.22 52.01 0.000
x1 19.68 1.82 10.82 0.000 1.00
x2 -7.53 1.82 -4.14 0.000 1.00
x3 52.62 1.82 28.93 0.000 1.00
x4 5.44 1.82 2.99 0.007 1.00
x5 28.47 1.82 15.65 0.000 1.00
x1*x1 -22.37 6.78 -3.30 0.003 2.64
x2*x2 -26.87 6.78 -3.97 0.001 2.64
x3*x3 -7.37 6.78 -1.09 0.289 2.64
x4*x4 1.63 6.78 0.24 0.812 2.64
x5*x5 4.13 6.78 0.61 0.548 2.64
x1*x2 7.16 1.87 3.82 0.001 1.00
x1*x3 4.97 1.87 2.65 0.015 1.00
x1*x4 0.41 1.87 0.22 0.831 1.00
x1*x5 -1.59 1.87 -0.85 0.405 1.00
x2*x3 3.34 1.87 1.78 0.089 1.00
x2*x4 -0.09 1.87 -0.05 0.961 1.00
x2*x5 0.91 1.87 0.48 0.634 1.00
x3*x4 1.47 1.87 0.78 0.442 1.00
x3*x5 5.72 1.87 3.05 0.006 1.00
x4*x5 -1.34 1.87 -0.72 0.481 1.00
Regression Equation in Coded Units
Y = 219.37 + 19.68 x1 - 7.53 x2 + 52.62 x3 + 5.44 x4 + 28.47 x5 -
22.37 x1*x1 - 26.87 x2*x2 - 7.37 x3*x3 + 1.63 x4*x4 + 4.13 x5*x5
+ 7.16 x1*x2 + 4.97 x1*x3 + 0.41 x1*x4 - 1.59 x1*x5 + 3.34 x2*x3 -
0.09 x2*x4 + 0.91 x2*x5 + 1.47 x3*x4 + 5.72 x3*x5
- 1.34 x4*x5
Ta có thể lại bỏ các hệ số không ý nghĩa bằng cách chọn nút
Stepwise… trên hộp thoại Analyze Response Surface Design. Sau đó chọn
Stepwise.
Trong ví dụ trên, thay vì sử dụng TNT với N1 = 32 thí nghiệm ở nhân,
ta có thể sử dụng TNR với N1 = 16 thí nghiệm. Khi đó tổng số thí nghiệm
chính chỉ là N = 26 (Bảng 6.15), giảm bớt 16 thí nghiệm. Trong Bảng 6.15
cột thứ nhất N26 là thứ tự ma trận quy hoạch mới tương ứng số thứ tự thí
nghiệm Bảng 6.13 (cột N42).
212 CHƯƠNG 6
Bảng 6.15 Kết quả với N= 26 thí nghiệm, sử dụng 16 thí nghiệm ở nhân
N26 N42 x0 x1 x2 x3 x4 x5=x1x2 x5 N
,
yj
01 17 +1 –1 –1 –1 –1 1 +1 134
02 2 +1 +1 –1 –1 –1 -1 –1 110
03 3 +1 –1 +1 –1 –1 -1 –1 55
04 20 +1 +1 +1 –1 –1 1 +1 138
05 21 +1 –1 –1 +1 –1 1 +1 237
06 6 +1 +1 –1 +1 –1 -1 –1 204
07 7 +1 –1 +1 +1 –1 -1 –1 131
08 24 +1 +1 +1 +1 –1 1 +1 283
09 25 +1 –1 –1 –1 +1 1 +1 143
10 10 +1 +1 –1 –1 +1 -1 –1 132
11 11 +1 –1 +1 –1 +1 -1 –1 66
12 28 +1 +1 +1 –1 +1 1 +1 148
13 29 +1 –1 –1 +1 +1 1 +1 259
14 14 +1 +1 –1 +1 +1 -1 –1 208
15 15 +1 –1 +1 +1 +1 -1 –1 157
16 32 +1 +1 +1 +1 +1 1 +1 293
17 33 +1 –1 0 0 0 0 182
18 34 +1 +1 0 0 0 0 212
19 35 +1 0 –1 0 0 0 190
20 36 +1 0 +1 0 0 0 195
21 37 +1 0 0 –1 0 0 152
22 38 +1 0 0 +1 0 0 272
23 39 +1 0 0 0 –1 0 210
24 40 +1 0 0 0 +1 0 232
25 41 +1 0 0 0 0 –1 197
26 42 +1 0 0 0 0 +1 250
Ta sử dụng Minitab để tính toán các hệ số có kết quả như sau.
Response Surface Regression: Y versus x1, x2, x3, x4, x5
Analysis of Variance
Source DF Adj SS Adj MS F-Value P-Value
Model 20 97894.4 4894.7 84.34 0.000
Linear 5 54736.6 10947.3 188.62 0.000
x1 1 450.0 450.0 7.75 0.039
x2 1 12.5 12.5 0.22 0.662
x3 1 51842.0 51842.0 893.23 0.000
x4 1 1027.6 1027.6 17.70 0.008
x5 1 1404.5 1404.5 24.20 0.004
Square 5 11689.9 2338.0 40.28 0.000
x1*x1 1 1217.2 1217.2 20.97 0.006
x2*x2 1 1756.9 1756.9 30.27 0.003
x3*x3 1 131.5 131.5 2.27 0.193
x4*x4 1 6.7 6.7 0.12 0.748
x5*x5 1 42.1 42.1 0.73 0.433
QUY HOẠCH THỰC NGHIỆM BẬC 2 213
2-Way Interaction 10 3006.0 300.6 5.18 0.042
x1*x2 1 152.1 152.1 2.62 0.166
x1*x3 1 342.3 342.3 5.90 0.060
x1*x4 1 30.2 30.2 0.52 0.503
x1*x5 1 266.8 266.8 4.60 0.085
x2*x3 1 289.0 289.0 4.98 0.076
x2*x4 1 0.0 0.0 0.00 1.000
x2*x5 1 61.4 61.4 1.06 0.351
x3*x4 1 6.2 6.2 0.11 0.756
x3*x5 1 1849.0 1849.0 31.86 0.002
x4*x5 1 9.0 9.0 0.16 0.710
Error 5 290.2 58.0
Total 25 98184.6
Model Summary
S R-sq R-sq(adj) R-sq(pred)
7.61833 99.70% 98.52% *
Coded Coefficients
Term Coef SE Coef T-Value P-Value VIF
Constant 219.34 3.05 71.94 0.000
x1 15.00 5.39 2.78 0.039 9.00
x2 2.50 5.39 0.46 0.662 9.00
x3 53.67 1.80 29.89 0.000 1.00
x4 7.56 1.80 4.21 0.008 1.00
x5 26.50 5.39 4.92 0.004 9.00
x1*x1 -22.34 4.88 -4.58 0.006 2.27
x2*x2 -26.84 4.88 -5.50 0.003 2.27
x3*x3 -7.34 4.88 -1.51 0.193 2.27
x4*x4 1.66 4.88 0.34 0.748 2.27
x5*x5 4.16 4.88 0.85 0.433 2.27
x1*x2 9.25 5.71 1.62 0.166 9.00
x1*x3 4.63 1.90 2.43 0.060 1.00
x1*x4 -1.38 1.90 -0.72 0.503 1.00
x1*x5 -12.25 5.71 -2.14 0.085 9.00
x2*x3 4.25 1.90 2.23 0.076 1.00
x2*x4 0.00 1.90 0.00 1.000 1.00
x2*x5 5.88 5.71 1.03 0.351 9.00
x3*x4 0.62 1.90 0.33 0.756 1.00
x3*x5 10.75 1.90 5.64 0.002 1.00
x4*x5 -0.75 1.90 -0.39 0.710 1.00
Regression Equation in Uncoded Units
Y = 219.34 + 15.00 x1 + 2.50 x2 + 53.67 x3 + 7.56 x4 + 26.50 x5 -
22.34 x1*x1 - 26.84 x2*x2 - 7.34 x3*x3 + 1.66 x4*x4 + 4.16 x5*x5
+ 9.25 x1*x2 + 4.63 x1*x3 - 1.38 x1*x4 - 12.25 x1*x5 + 4.25 x2*x3
+ 0.00 x2*x4 + 5.88 x2*x5 + 0.62 x3*x4 + 10.75 x3*x5
- 0.75 x4*x5
Mô hình PTHQ có độ tương thích cao với kết quả thực nghiệm do R-
sq = 99,70 %. Tuy nhiên hệ số VIF cho các nhân tố x1, x2 và x5 khá cao và
bằng 9 là do có sự phụ thuộc các nhân tố này theo biểu thức sinh x5 = x1x2.
214 CHƯƠNG 6
6.3. QUY HOẠCH HỖN HỢP BẬC 2 QUAY ĐỀU (BOX – Wilson)
(Rotatable Central Composite Circumscribed Design)
6.3.1. Xây dựng quy hoạch bậc 2 quay đều
Ta khảo sát dạng quy hoạch bậc 2 được sử dụng rất phổ biến: quy
hoạch bậc 2 hỗn hợp đối xứng quay đều.
Một trong các đặc tính độ chính xác mô hình hồi quy là phương sai
}
y
{
s2 
của giá trị đáp ứng. Tính chất quay của quy hoạch có nghĩa là độ chính
xác PTHQ, thu được theo kết quả thực hiện là bằng nhau trong tất cả các
điểm của không gian nhân tố, ở trên một khoảng cách bằng nhau từ tâm quy
hoạch. Ví dụ, trong trường hợp hai nhân tố thì độ chính xác mô hình không
đổi với tất cả các điểm nằm trên đường tròn tâm O (Hình 6.5).
Đối với quy hoạch này, độ chính xác mô hình giảm khi tăng bán kính các
đường tròn này. Tính chất đều kết hợp với quay nghĩa là phương sai }
y
{
s2 
không đổi trong vùng nào đó từ tâm quy hoạch. Như thế, từ tính chất quay đều
có nghĩa là độ chính xác cao mô hình khi nằm gần trung tâm quy hoạch và có
sai số khi gần vị trí đường bao miền giá trị các nhân tố. Do đó quy hoạch bậc 2
quay đều được sử dụng đối với các bài toán thu được PTHQ với mục tiêu điểm
tối ưu nằm trên vùng gần tâm quy hoạch.
Cấu trúc quy hoạch quay đều tương tự như quy hoạch dạng FCCCD.
Quy hoạch quay là quy hoạch hỗn hợp và trong phần trực giao là TNT hoặc
TNR (thường khi k  5). Thêm vào thực nghiệm này các điểm sao nα = 2k
và no thí nghiệm tại tâm quy hoạch.
Khác với quy hoạch FCCCD, số thí nghiệm ở tâm phụ thuộc vào số
nhân tố yêu cầu tính chất đều của quy hoạch. Sự khác biệt nữa là các loạt thí
nghiệm tại phần trực giao (TNT hoặc TNR) không nằm trên đường biên
không gian nhân tố mà nằm trong nó. Nếu giá trị các nhân tố tại phần này
dưới dạng mã hóa là -1 hoặc +1 thì giá trị nhỏ nhất và lớn nhất các nhân tố
là - và + (Bảng 6.16) với  là số dương > 1, gọi là cánh tay đòn sao
(cánh tay đòn sao và số thí nghiệm n0 ở tâm phụ thuộc vào tiêu chuẩn tối
ưu). Tương tự quy hoạch FCCCD, các điểm sao là các thí nghiệm mà một
trong các nhân tố ở mức thấp nhất hoặc cao nhất và các nhân tố còn lại ở
mức cơ sở. Ví dụ:
x1 =  ; x2 = x3 = ... = xk = 0
x2 =  ; x1 = x3 = ... = xk = 0
QUY HOẠCH THỰC NGHIỆM BẬC 2 215
a) Hai nhân tố
b) Ba nhân tố
Hình 6.5 Bố trí các thí nghiệm phương pháp quay đều
Bảng 6.16 Bảng giá trị các nhân tố theo phương pháp quay đều
N Nhân tố
Ký hiệu Mức giá trị
Tự
nhiên
Mã
hóa
Dưới,
-α
Mức
-1
Cơ sở,
0
Mức
+1
Trên,
+α
1 Vận tốc vòng (m/s) v x1 21,7 96 205 314 388,3
2 Vận tốc đưa phôi
(m/min)
u x2 0,1636 0,3 0,5 0,7 0,8364
3 Chiều sâu cắt (mm) h x3 0,0795 0,25 0,5 0,75 0,9205
216 CHƯƠNG 6
Số thí nghiệm n0 ở tâm
Số thí nghiệm ở tâm n0 tra theo Bảng 6.11 và được xác định theo
công thức:
n0 4
k
2
N
4
n 1
o 

 (6.17)
trong đó N1 được xác định:
N1 = 2k
hoặc 2k-1
(6.18)
Giá trị cánh tay đòn sao 
Đại lượng  (cánh tay đòn sao) được xác định theo công thức và tra
theo Bảng 6.17:










TNR
laø
giao
tröïc
phaàn
neáu
2
TNT
laø
giao
tröïc
phaàn
neáu
2
4
/
)
1
k
(
4
/
k
(6.19)
Bảng 6.17 Các tham số quy hoạch bậc 2 quay đều
N
Số
nhân tố
k
Số thí nghiệm
TNT và TNR
ở nhân N1
Số TN ở
các điểm
sao n
Số TN ở
tâm no
Tổng số TN
N 
1
2
3
4
5
6
7
8
9
2
3
4
5
5
6
6
7
7
4
8
16
32
16
64
32
128
64
4
6
8
10
10
12
12
14
14
5
6
7
10
6
15
9
21
14
13
20
31
52
32
91
53
163
92
1,414
1,682
2,00
2,378
2,00
2,828
2,378
3,333
2,828
Miền thay đổi các nhân tố:
max
i
i
min
i X
X
X 

QUY HOẠCH THỰC NGHIỆM BẬC 2 217
(6.20)
Suy ra: Xi
(+α)
= α(Xi
(0)
-Xi
-1
) +Xi
(0)
Xi
(-α)
= -α(Xi
(0)
-Xi
-1
) +Xi
(0)
Khi đó:
i
)
0
(
i
i
i
X
X
x



Với: )
1
(
i
)
0
(
i
)
0
(
i
)
1
(
i
i X
X
X
X 





 (6.21)
Trên Bảng 6.18 và 6.19 là ma trận quy hoạch với số nhân tố k = 2 và k = 3.
Bảng 6.18 Ma trận quy hoạch khi k = 2
N x0 x1 x2 x1 x2 x1
2
x2
2
Thí
nghiệm
ở nhân
2k
, 2k-p
1
2
3
4
+1
+1
+1
+1
-1
+1
-1
+1
-1
-1
+1
+1
+1
-1
-1
+1
+1
+1
+1
+1
+1
+1
+1
+1
Các
điểm
sao
5
6
7
8
+1
+1
+1
+1
-1,414
+1,414
0
0
0
0
-1,414
+1,414
0
0
0
0
2
2
0
0
0
0
2
2
Các
điểm ở
tâm
9
10
11
12
13
+1
+1
+1
+1
+1
0
0
0
0
0
0
0
0
0
0
0
0
0
0
0
0
0
0
0
0
0
0
0
0
0
218 CHƯƠNG 6
Bảng 6.19 Ma trận quy hoạch khi k = 3
N x0 x1 x2 x3 x1 x2 x1x3 x2 x3 x1
2
x2
2
x3
2
1
2
3
4
5
6
7
8
+1
+1
+1
+1
+1
+1
+1
+1
-1
+1
-1
+1
-1
+1
-1
+1
-1
-1
+1
+1
-1
-1
+1
+1
-1
-1
-1
-1
+1
+1
+1
+1
+1
-1
-1
+1
+1
-1
-1
+1
+1
-1
+1
-1
-1
+1
-1
+1
+1
-1
+1
-1
-1
+1
-1
+1
1
1
1
1
1
1
1
1
1
1
1
1
1
1
1
1
1
1
1
1
1
1
1
1
9
10
11
12
13
14
+1
+1
+1
+1
+1
+1
-1,682
+1,682
0
0
0
0
0
0
-1,682
+1,682
0
0
0
0
0
0
-1,682
+1,682
0
0
0
0
0
0
0
0
0
0
0
0
0
0
0
0
0
0
4
2 2
4
2 2
0
0
0
0
0
0
4
2 2
4
2 2
0
0
0
0
0
0
4
2 2
4
2 2
15
...
20
+1
…
+1
0
0
0
0
0
0
0
0
0
0
0
0
0
0
0
0
0
0
Để tính các hệ số PTHQ, ta sử dụng các công thức tổng quát như quy
hoạch dạng FCCCD, hoặc theo công thức (6.22) với các giá trị ci được hiệu
chỉnh như Bảng 6.20.
N k N
2
0 1 j 2 ij j
j 1 i 1 j 1
N
i 3 ij j
j 1
N k N N
2 2
ii 4 ij j 5 ij j 2 j
j 1 i 1i 1 j 1
N
iu 6 ij uj j
j 1
b c y c x y
b c x y
b c x y c x y c y
b c x x y (j u)
  

   


  



 




   



  


 

  

(6.22)
Các phương sai và độ lệch chuẩn hệ số PTHQ được xác định theo các
công thức sau (giá trị ci tra Bảng 6.20).
QUY HOẠCH THỰC NGHIỆM BẬC 2 219
Bảng 6.20 Hệ số ci phương pháp quay đều
Hệ số ci
Số nhân tố k
2 3 4 5 với TNR
c1
c2
c3
c4
c5
c6
0,2
0,1
0,125
0,125
0,01874
0,25
0,16634
0,05679
0,07322
0,06247
0,0069
0,125
0,14285
0,03571
0,04167
0,03125
0,00372
0,0625
0,15909
0,03409
0,04167
0,03125
0,00284
0,0625
Tuy nhiên ta xác định hệ số PTHQ xác định theo công thức (6.6) tổng
quát dạng ma trận:
B = (XTX)-1(XTY)
Ví dụ 6.5 Ta tiến hành quá trình gia công vật liệu trên máy tiện. Thông số
đầu ra là độ nhám bề mặt Rz (µm) với các thông số đầu vào: vận tốc cắt v
(m/min), vận tốc đưa phôi u (mm/vòng) và chiều sâu cắt h (mm). Xác định
PTHQ với giá trị các nhân tố trên Bảng 6.21.
Bảng 6.21 Bảng giá trị các nhân tố
STT Nhân tố
Ký hiệu Mức giá trị
Tự
nhiên
Mã
hóa
Dưới,
-1,682
Mức
-1
Cơ
sở, 0
Mức 1
Trên,
1,682
1 Vận tốc cắt
(m/min)
v x1 21,7 96 205 314 388,3
2 Vận tốc đưa phôi
(mm/vòng)
u x2 0,1636 0,3 0,5 0,7 0,8364
3 Chiều sâu cắt (mm) h x3 0,0795 0,25 0,5 0,75 0,9205
Giải:
Kết quả thực nghiệm với 3 nhân tố cho trong Bảng 6.22.
220 CHƯƠNG 6
Bảng 6.22 Ma trận quy hoạch và kết quả thực nghiệm
N x0 x1 x2 x3 x1 x2 x1 x3 x2 x3 x1
2
x2
2
x3
2
y
1
2
3
4
5
6
7
8
1
1
1
1
1
1
1
1
-1
+1
-1
+1
-1
+1
-1
+1
-1
-1
+1
+1
-1
-1
+1
+1
-1
-1
-1
-1
+1
+1
+1
+1
1
-1
-1
1
1
-1
-1
1
1
-1
1
-1
-1
1
-1
1
1
1
-1
-1
-1
-1
1
1
1
1
1
1
1
1
1
1
1
1
1
1
1
1
1
1
1
1
1
1
1
1
1
1
2,16
2,65
3,80
4,70
2,22
2,48
4,20
4,89
9
10
11
12
13
14
1
1
1
1
1
1
-1,682
+1,682
0
0
0
0
0
0
-1,682
+1,682
0
0
0
0
0
0
-1,682
+1,682
0
0
0
0
0
0
0
0
0
0
0
0
0
0
0
0
0
0
2 2
2 2
0
0
0
0
0
0
2 2
2 2
0
0
0
0
0
0
2 2
2 2
3,55
4,50
1,80
5,15
2,32
2,56
15
16
17
18
19
20
1
1
1
1
1
1
0
0
0
0
0
0
0
0
0
0
0
0
0
0
0
0
0
0
0
0
0
0
0
0
0
0
0
0
0
0
0
0
0
0
0
0
0
0
0
0
0
0
0
0
0
0
0
0
0
0
0
0
0
0
2,31
2,08
2,12
2,32
2,36
2,12
Sau khi xác định các hệ số, PTHQ dạng mã hóa có dạng:
Y = 2,2181 + 0,2883x1 + 1,0042x2 + 0,0647x3 + 0,6404x1
2
+ 0,4459x2
2
+ 0,0800x3
2
+ 0,1050x1x2 - 0,0550x1x3 + 0,0875x2x3
Kiểm tra mức ý nghĩa các hệ số PTHQ ta nhận thấy các hệ số b3, b12,
b13, b23, b123 không ý nghĩa. Sau khi tính lại ta thu được PTHQ có dạng sau:
y = 2,26 + 0,2882x1 + 0,9819x2 + 0,6555 x1
2
+ 0,4389x2
2
QUY HOẠCH THỰC NGHIỆM BẬC 2 221
Kết quả trính trên Minitab:
Regression Equation in Coded Units
Y = 2.2181 + 0.2883 x1 + 1.0042 x2 + 0.0647 x3 + 0.6404 x1*
x1 + 0.4459 x2* x2 + 0.0800 x3*x3+ 0.1050 x1* x2 -
0.0550 x1*x3 + 0.0875 x2*x3
Model Summary
S R-sq R-sq(adj) R-sq(pred)
0.0888485 99.66% 99.36% 99.47%
Coded Coefficients
Term Coef SE Coef T-Value P-Value VIF
Constant 2.2181 0.0362 61.21 0.000
A 0.4849 0.0404 11.99 0.000 1.00
B 1.6888 0.0404 41.77 0.000 1.00
C 0.1088 0.0404 2.69 0.023 1.00
A*A 1.8113 0.0662 27.36 0.000 1.02
B*B 1.2613 0.0662 19.05 0.000 1.02
C*C 0.2263 0.0662 3.42 0.007 1.02
A*B 0.2970 0.0888 3.34 0.007 1.00
A*C -0.1556 0.0888 -1.75 0.111 1.00
B*C 0.2475 0.0888 2.79 0.019 1.00
Ví dụ 6.6 Sử dụng quy hoạch bậc 2 quay đều 3 nhân tố để nghiên cứu thời
gian phá hủy vật liệu khi nhiệt độ 850 0
C và ứng suất 500 MPa của hợp kim
phụ thuộc vào nhiệt độ tôi (t1), nhiệt độ hóa già (t2) và thời gian hóa già (t).
Hãy xác định các hệ số của PTHQ. Theo kết quả thực nghiệm thu được
phương sai tái hiện 2
s {y} = 0,58 và số bậc tự do f1 = 5 [19]s.
Giải: Thực nghiệm theo phương pháp quy hoạch bậc 2 quay đều cho kết
quả như Bảng 6.24.
Bảng 6.23
N Nhân tố
Ký hiệu Mức giá trị
Tự
nhiên
Mã
hóa
Dưới,
-1,682
Mức
-1
Cơ sở,
0
Mức 1
Trên,
1,682
1 Nhiệt độ tôi (0
C) t1 x1 1026 1050 1100 1150 1174
2 Nhiệt độ hóa già (0
C) t2 x2 145 150 175 200 205
3 Thời gian hóa già
(h)
t x3 1,6 2 4 6 6,4
222 CHƯƠNG 6
Bảng 6.24
N Nhân tố mã hóa Tương tác Nhân tố bậc 2 Kết
quả
t, h
x0 x1 x2 x3 x1 x2 x1 x3 x2 x3 x1
2
x2
2
x3
2
1
2
3
4
5
6
7
8
1
1
1
1
1
1
1
1
-1
+1
-1
+1
-1
+1
-1
+1
-1
-1
+1
+1
-1
-1
+1
+1
-1
-1
-1
-1
+1
+1
+1
+1
1
-1
-1
1
1
-1
-1
1
1
-1
1
-1
-1
1
-1
1
1
1
-1
-1
-1
-1
1
1
1
1
1
1
1
1
1
1
1
1
1
1
1
1
1
1
1
1
1
1
1
1
1
1
8,0
27,9
5,8
43,0
14,1
7,0
20,2
30,2
9
10
11
12
13
14
1
1
1
1
1
1
-1,682
+1,682
0
0
0
0
0
0
-1,682
+1,682
0
0
0
0
0
0
-1,682
+1,682
0
0
0
0
0
0
0
0
0
0
0
0
0
0
0
0
0
0
2 2
2 2
0
0
0
0
0
0
2 2
2 2
0
0
0
0
0
0
2 2
2 2
12,1
36,0
10,4
25,3
20,0
18,0
15
16
17
18
19
20
1
1
1
1
1
1
0
0
0
0
0
0
0
0
0
0
0
0
0
0
0
0
0
0
0
0
0
0
0
0
0
0
0
0
0
0
0
0
0
0
0
0
0
0
0
0
0
0
0
0
0
0
0
0
0
0
0
0
0
0
29,0
28,4
28,6
20,8
28,7
30,5
Các hệ số PTHQ được xác định theo các công thức và bảng tra và có
kết quả trong bảng sau:
b0 b1 b2 b3 b12 b13 b23 b1
2
b2
2
b3
2
29 7,34 4,92 -1,21 4,3 -6,78 2,05 -1,8 -3,99 -3,59
Sau khi đánh giá toàn bộ các hệ số đều có nghĩa. Và sau đó kiểm tra
tính tương thích của PTHQ.
Tính trên Minitab tham khảo Mục 6.11, theo trình tự giống như
phương pháp FCCCD, với các nút Number of Center Points và Value of
Alpha chọn Default (Hình 6.6).
QUY HOẠCH THỰC NGHIỆM BẬC 2 223
Hình 6.6
Model Summary
S R-sq R-sq(adj) R-sq(pred)
2.57597 96.69% 93.71% 93.11%
Coded Coefficients
Term Coef SE Coef T-Value P-Value VIF
Constant 27.68 1.05 26.34 0.000
x1 12.34 1.17 10.53 0.000 1.00
x2 8.28 1.17 7.07 0.000 1.00
x3 -2.04 1.17 -1.74 0.112 1.00
x1*x1 -3.81 1.92 -1.99 0.075 1.02
x2*x2 -10.01 1.92 -5.22 0.000 1.02
x3*x3 -8.86 1.92 -4.62 0.001 1.02
x1*x2 12.16 2.58 4.72 0.001 1.00
x1*x3 -19.16 2.58 -7.44 0.000 1.00
x2*x3 5.80 2.58 2.25 0.048 1.00
Regression Equation in coded Units
Y = 27.68 + 7.337 x1 + 4.925 x2 - 1.213 x3 - 1.348 x1*x1 -
3.540 x2*x2 - 3.133 x3*x3 + 4.300 x1*x2 - 6.775 x1*x3
+ 2.050 x2*x3
Regression Equation in Uncoded Units
Y = -383 + 0.637 t1 - 0.00520 t2 + 25.16 t - 0.000246 t1*t1 -
0.000000 t2*t2 - 0.1937 t*t + 0.000006 t1*t2 - 0.02277 t1*t
+ 0.000050 t2*t
Ví dụ 6.7 Nghiên cứu sự phụ thuộc đại lượng y (%) vào các nhân tố sau:
X1- nhiệt độ quá trình (0
C); X 2 - thành phần MgO trong axit photphoric
(%); X 3 - thành phần SO3 trong axit photphoric (%); X 4 - thành phần Al2O3
trong axit photphoric (%); X 5 - thành phần F trong axit photphoric (%) [26].
224 CHƯƠNG 6
Bảng 6.25
N Nhân tố
Ký hiệu Mức giá trị Khoảng
thay
đổi
Tự
nhiên
Mã
hóa
Dưới,
-2
Mức
-1
Cơ
sở, 0
Mức
1
Trên,
2
1 Nhiệt độ quá
trình (0
C)
X1 x1 10 30 50 70 90 80
2 Thành phần
MgO (%)
X2 x2 0,3 1,2 2,1 3,0 3,9 3,6
3 Thành phần
SO3 (%)
X3 x3 0 1 2 3 4 3
4 Thành phần
Al2O3 (%)
X4 x4 0,59 0,96 1,33 1,70 2,07 1,48
5 Thành phần
F (%)
X5 x4 0,25 0,5 0,75 1,00 1,25 1,00
Sử dụng TNR trong khi thực nghiệm ở nhân gồm 25-1
= 16 thí nghiệm
chính với biểu thức sinh x5 = x1x2x3x4. Số thí nghiệm chính N theo QHTN với
số nhân tố k = 5 là 32. Giá trị cánh tay đòn sao α = 2(k – 1)/4
= 2(5-1)/4
= 2. Sau
đó chuyển từ giá trị thực sang mã hóa và kết quả thực nghiệm cho trong
Bảng 6.26.
Bảng 6.26 Quy hoạch bậc 2 quay đều với k = 5
N x0 x1 x2 x3 x4
x5
(x5 = x1 x2 x3 x4)
Kết quả thí
nghiệm y1, %
Kết quả PTHQ Độ lệch
1 1 -1 -1 -1 -1 1 35,9 33,4875 2,41250
2 1 1 -1 -1 -1 -1 27,7 28,4417 -0,74167
3 1 -1 1 -1 -1 -1 33,3 32,8333 0,46667
4 1 1 1 -1 -1 1 23,9 26,5875 -2,68750
5 1 -1 -1 1 -1 -1 40,9 39,8583 1,04167
6 1 1 -1 1 -1 1 33,7 35,8125 -2,11250
7 1 -1 1 1 -1 1 41,4 42,3042 -0,90417
8 1 1 1 1 -1 -1 32,2 36,2583 -4,05833
9 1 -1 -1 -1 1 -1 34,5 30,4417 4,05833
10 1 1 -1 -1 1 1 30,0 29,0958 0,90417
11 1 -1 1 -1 1 1 26,6 24,4875 2,11250
12 1 1 1 -1 1 -1 29,5 30,5417 -1,04167
13 1 -1 -1 1 1 1 39,2 36,5125 2,68750
14 1 1 -1 1 1 -1 39,0 39,4667 -0.46667
15 1 -1 1 1 1 -1 41.4 40.6583 0.74167
16 1 1 1 1 1 1 34.7 37.1125 -2.41250
17 1 -2 0 0 0 0 25.0 31.3083 -6.30833
18 1 2 0 0 0 0 33.3 26.9917 6.30833
19 1 0 -2 0 0 0 42,0 45,8917 -3,89167
QUY HOẠCH THỰC NGHIỆM BẬC 2 225
20 1 0 2 0 0 0 49,2 45,3083 3,89167
21 1 0 0 -2 0 0 17,5 20,2417 -2,74167
22 1 0 0 2 0 0 41,0 38,2583 2,74167
23 1 0 0 0 -2 0 35,6 32,3083 3,29167
24 1 0 0 0 2 0 27,2 30,4917 -3,29167
25 1 0 0 0 0 -2 39,0 35,1250 3,87500
26 1 0 0 0 0 2 30,0 35,1250 -5,12500
27 1 0 0 0 0 0 35,4 35,1250 0,27500
28 1 0 0 0 0 0 36,4 35,1250 1,27500
29 1 0 0 0 0 0 33,2 35,1250 -1,92500
30 1 0 0 0 0 0 32,4 35,1250 -2,72500
31 1 0 0 0 0 0 37,7 35,1250 2,57500
32 1 0 0 0 0 0 36,9 35,1250 1,77500
Theo số thí nghiệm ở tâm ta xác định phương sai tái hiện s2
{y}= 4,47
với bậc tự do f = n0 - 1 = 5.
Sau đó theo các công thức tương ứng ta xác định các hệ số PTHQ:
b0 = 35,41; b1 = 1,07794; b2 = –0,146; b3 = 4,5098; b4 = –0,542
b5 = –1,3; b11 = –1,5; b22 = 2,66; b33 = –1,47; b44 = –0,93; b55 = –0,15
b12 = 0,147; b13 = 0,256; b14 = 1,61; b15 = 0,0534; b23 = 0,736
b24 = –0,198; b25 = 0,403; b34 = 0,401; b35 = 0,256; b45 = -0,93
và sbj = 0,43; sbuj = 0,53; sbjj = 0,394
Mức ý nghĩa các hệ số được kiểm tra theo tiêu chuẩn Student:
1
1,07
t 2,84;
0,43
  12
0,147
t 0,278
0,53
  2
0,146
t 0,34
0,43
 
13
0,256
t 0,483
0,53
  3
4,51
t 10,4
0,43
  14
1,61
t 3,04
0,53
 
4
0,542
t 1,26
0,43
  15
0,0534
t 0,1
0,53
  5
1,3
t 3,02
0,43
 
23
0,736
t 0,1375
0,53
  11
1,5
t 3,82
0,394
  24
0,198
t 0,374
0,53
 
22
2,66
t 6,75
0,394
  33
1,47
t 3,73
0,394
  25
0,403
t 0,762
0,53
 
44
0,93
t 2,36
0,394
  34
0,401
t 0,758
0,53
  55
0,15
t 0,38
0,394
 
45
0,93
t 1,75
0,53
 
226 CHƯƠNG 6
Giá trị tra bảng hệ số theo tiêu chuẩn Student với mức ý nghĩa α = 0,05
và số bậc tự do f = 5, tìm được t0,05(5) = 2,57. Sau khi loại các hệ số không ý
nghĩa và tính lại các hệ số ta thu được PTHQ như sau:
y = 36,2 + 4,51 x3 – 1,3x5 + 1,01 x1x4 – 1,45x1
2
+ 2,82 x2
2
– 1,53 x3
2
Kiểm tra tính tương thích PTHQ bậc 2:
2
th
tt 2
s 15,35
F 3,43
4,47
s {y}
   ; tra bảng với N - p = 32 - 7 = 25 suy ra
F0,05(25, 5) = 4,53. Do đó mô hình nhận được là tương thích.
Kết quả tính trên Minitab:
Model Summary
S R-sq R-sq(adj) R-sq(pred)
4.80242 80.01% 43.65% 0.00%
Coded Coefficients
Term Coef SE Coef T-Value P-Value VIF
Constant 35.27 1.92 18.41 0.000
x1 -2.16 1.96 -1.10 0.294 1.00
x2 -0.29 1.96 -0.15 0.884 1.00
x3 9.01 1.96 4.59 0.001 1.00
x4 -0.91 1.96 -0.46 0.652 1.00
x5 -2.59 1.96 -1.32 0.213 1.00
x1*x1 -5.93 3.55 -1.67 0.123 1.02
x2*x2 10.52 3.55 2.97 0.013 1.02
x3*x3 -5.83 3.55 -1.64 0.129 1.02
x4*x4 -3.68 3.55 -1.04 0.322 1.02
x5*x5 -0.58 3.55 -0.16 0.874 1.02
x1*x2 -0.57 4.80 -0.12 0.907 1.00
x1*x3 -1.02 4.80 -0.21 0.835 1.00
x1*x4 6.38 4.80 1.33 0.211 1.00
x1*x5 0.22 4.80 0.05 0.963 1.00
x2*x3 2.93 4.80 0.61 0.555 1.00
x2*x4 -0.78 4.80 -0.16 0.875 1.00
x2*x5 -1.63 4.80 -0.34 0.741 1.00
x3*x4 1.58 4.80 0.33 0.749 1.00
x3*x5 1.03 4.80 0.21 0.835 1.00
x4*x5 -3.67 4.80 -0.77 0.460 1.00
Regression Equation in coded Units
Y = 35.27 - 1.079 x1 - 0.146 x2 + 4.504 x3 - 0.454 x4 - 1.296 x5 -
1.482 x1*x1 + 2.631 x2*x2 - 1.457 x3*x3 - 0.919 x4*x4 - 0.144 x5*x5
- 0.14 x1*x2 - 0.26 x1*x3 + 1.59 x1*x4 + 0.06 x1*x5 + 0.73 x2*x3 -
0.19 x2*x4 - 0.41 x2*x5 + 0.39 x3*x4 + 0.26 x3*x5 - 0.92 x4*x5
QUY HOẠCH THỰC NGHIỆM BẬC 2 227
6.4. QUY HOẠCH HỖN HỢP BẬC 2 TRỰC GIAO (Box – Hunter)
Quy hoạch hỗn hợp đối xứng trực giao đảm bảo tính độc lập các hệ số
phương trình hồi quy. Khi đó sau khi loại bỏ các hệ số không ý nghĩa ta
không cần xác định lại các hệ số phương trình hồi quy. Ngoài ra do tính chất
trực giao nên xác định hệ số PTHQ rất dễ dàng theo công thức (6.26).
Tuy nhiên đối với quy hoạch bậc 2 trực giao thì phương sai }
y
{
s2 
của
giá trị đáp ứng, thu được theo kết quả thực nghiệm không bằng nhau trong
các điểm của không gian nhân tố khi ở trên một khoảng cách bằng nhau từ
tâm quy hoạch (Hình 6.7).
Hình 6.7 Các đường có thông tin giống nhau khi k = 2
Trong Chương 5 quy hoạch là trực giao khi tổng của tích 2 cột bất kỳ
trong ma trận quy hoạch bằng 0. Ma trận quy hoạch quay đều và dạng
FCCCD không trực giao do tổng của tích hai cột x0j với xij
2
hoặc giữa các
cột xij
2
khác không (Ví dụ 6.5).



n
2
0j ij
j 1
x x 0
và



n
2 2
ij ij
j 1
x x 0
Để đảm bảo tính trực giao ta thay xi
2
bằng xi
’
với xi
’
được xác định
như sau:
N
2
ij
, 2 2
i 1
i i 2
i
x
x x x
N

    

với 2 – được xác định theo công thức (6.13).
228 CHƯƠNG 6
Sau khi thay thế xi
2
bằng xi
’
ta thu được:
N N
, 2
0j ij 2
ij
j 1 j 1
x x x N 0
 
   
 
Có nghĩa là QHTN trở thành trực giao.
Trường hợp 2 nhân tố (k = 2):
9
2
ij 2
j 1
, 2 2
1 1
1
9
2
2j 2
j 1
, 2 2
2 2
2
x
4 2
x x x
9 9
x
4 2
x x x
9 9





 
    




  
    



Khi đó:  
9 9
, 2 2
0j 0j 1j 1
1j
j 1 j 1
x x x x x
 
 
 
2
2 9(4 2 )
4 2 0
9
 
    
Tương tự:
9
,
0j 2j
j 1
x x 0



Trong trường hợp tổng quát đối với ma trận quy hoạch bậc hai:
 
2 2 2
1u iu ku
2
1u
2
iu
2
ku
2 2
1u 2u
2 2
iu ju
2 2
i j
2 4 2 2 2 2
1u 1u 1u iu 1u ku
N 0 0 0 0 0 0 x x x
0 x 0 0 0 0 0 0 0 0
0 0 x 0 0 0 0 0 0 0
0 0 0 x 0 0 0 0 0 0
0 0 0 0 x x 0 0 0 0 0
0 0 0 0 0 x x 0 0 0 0
0 0 0 0 0 0 x x 0 0 0
x 0 0 0 0 0 0 x x x x x
  







   
T
X X
2 2 2 4 2 2
iu iu 1u iu iu ku
2 2 2 2 2 4
ku ku 1u ku iu kN
x 0 0 0 0 0 0 x x x x x
x 0 0 0 0 0 0 x x x x x
 
 
 
 
 
 
 
 
 
 
 
 
 
 
 
 
 
 
 
   
 
 
 
   
 
QUY HOẠCH THỰC NGHIỆM BẬC 2 229
2
2
2
3
3
3
0 0 0 0 0 0 0 0 0 0
0 0
0 0 0 0 0 0 0
0 0 0 0 0 0 0 0 0
0 0 0 0 0 0 0
0 0
0 0
0 0 0 0 0 0 0
1
0 0 0 0 0 0 0 0 0
N
0 0 0 0 0 0 0
0 0
0
0




 

T
X X
2 2 2
4 2 3 2 3 2
2 2 2
3 2 4 2 3 2
2 2 2
3 2 3 2 4 2
0 0 0 0 0 0
0 0 0 0 0 0
0 0 0 0 0 0 0
 
 
 
 
 
 
 
 
 
 
 
 
 
 
 
 
 
 
 
 
 
 
        
 
 
 
 
        
 
 
 
 
        
 
Để đảm bảo tính trực giao thì ma trận trên là ma trận đường chéo, khi đó:
2
3 2
  
Từ công thức (6.13) suy ra:
 
2
N N
2 2 2
i j iu
u
u 1 u 1
N x x x
 
 
  
 
 
  (6.23)
mặt khác từ ma trận quy hoạch:
 
N
2 2
iu 1
u i
N
2 2
i j 1
u
1
x N 2
x x N



   



 



với N1 = 2k
hoặc 2k-p’
(số thí nghiệm ở nhân).
230 CHƯƠNG 6
Từ công thức (6.23) suy ra giá trị α để đảm bảo tính trực giao:
2
N
N
)
n
k
2
N
( 1
1
o
1
2 



 (6.24)
Nhân tố thay thế xi
’
được xác định theo công thức:
N
2
ij
, 2 2
i 1
i i 2
i
x
x x x
N

    

và:
Giá trị 2 được xác định như sau:
- Khi sử dụng TNT tại các thí nghiệm ở nhân:
(6.25a)
- Khi sử dụng TNR tại các thí nghiệm ở nhân:
(6.25b)
với N1 = 2k
hoặc 2k-p’
(số thí nghiệm ở nhân); k - số nhân tố; no - số thí
nghiệm ở tâm.
Các hệ số phương trình hồi quy xác định theo công thức:
N N
j ij j
j i j i
0 i N
2
ij
j i
y x y
b ; b
N
x
 

 
 





 N
1
j
2
uj
ij
N
1
j
j
uj
ij
iu
)
x
x
(
y
x
x
b bii




 N
1
j
2
ij
N
1
j
j
ij
iii
x
y
x
b (6.26)
Tùy vào giá trị n0 giá trị α cho trong Bảng 6.27.
QUY HOẠCH THỰC NGHIỆM BẬC 2 231
Bảng 6.27
Số thí
nghiệm ở
tâm n0
Giá trị phụ thuộc vào số nhân tố k
k = 2 k = 3 k = 4 k = 5*
1 1,000 1,215 1,414 1,546
2 1,077 1,285 1,471 1,606
3 1,148 1,353 1,546 1,664
4 1,214 1,414 1,606 1,718
5 1,267 1,471 1,664 1,772
6 1,320 1,525 1,718 1,819
7 1,369 1,575 1,772 1,868
8 1,414 1,623 1,819 1,913
9 1,454 1,668 1,868 1,957
10 1,498 1,711 1,913 2,000
Phương sai để đánh giá các hệ số được xác định theo các công thức:
 
2 2
2 , 2
i
0 N
2
iu
u 1
2 2
2 2
ij ii
N N
2 ,2
i j iu
u
u 1 u 1
s {y} s {y}
s {b } ; s {b }
N
x
s {y} s {y}
s {b } ; s {b }
x x x

 

  





  




 
(6.27)
Khi có số thí nghiệm lặp:
 
u
2 2
2 , 2
i
0 N N
2
u u i
u 1 u 1
2 2
2 2
ij ii
N N
2 ,2
u i j u iu
u
u 1 u 1
s {y} s {y}
s {b } ; s {b }
n n x
s {y} s {y}
s {b } ; s {b }
n x x n x
 
 

  





  



 
 
(6.28a)
232 CHƯƠNG 6
Để xác định nhanh các hệ số ta có thể sử dụng bảng giá trị sau:
Bảng 6.28
Đại lượng Số nhân tố, k
2 3 4 5
Số thí nghiệm ở nhân N1 22
23
24
25-1
(1 = x1x2x3x4 x5)
Điểm sao α
Số thí nghiệm điểm sao 2k
1,000
4
1,215
6
1,414
8
1,517
10
Số thí nghiệm ở tâm n0 1 1 1 1
Tổng số thí nghiệm N 9 15 17 27
a1
a2
a3
a4
a5
a6
a7
a8
0,11111
0,16667
0,25000
0,50000
0,33333
0,40825
0,50000
0,70711
0,06667
0,09141
0,12500
0,23041
0,25820
0,30234
0,35355
0,48001
0,04000
0,05000
0,06250
0,12500
0,20000
0,22361
0,25000
0,35355
0,03704
0,04811
0,06250
0,07220
0,19245
0,21934
0,25000
0,26870
Khi đó các hệ số PTHQ được xác định theo công thức:
(6.28b)
và:
k
,, 1
0 ii
0
2 i 1
a
b b b
a 
  
2
2 2 , 2
1
0 ii
0
2
a
s {b } s {b } s {b }
a
 
   
 
QUY HOẠCH THỰC NGHIỆM BẬC 2 233
Ví dụ 6.8 Sử dụng ma trận bậc 2 trực giao để nghiên cứu nguyên nhân tách
lớp tấm khi cán nóng của hợp kim phụ thuộc vào phần trăm vận tốc cháy v
(% / h) và thời gian rót t (ph). Bảng giá trị các nhân tố cho trong Bảng 6.29.
Bảng 6.29
N Nhân tố
Ký hiệu Mức giá trị Khoảng
Thay
đổi
Tự
nhiên
Mã
hóa
Dưới,
-1,115
Mức
-1
Cơ sở,
0
Mức
1
Trên,
1,115
1 Phần trăm vận tốc
cháy (% / h)
v x1 0,18 0,2 0,35 0,5 0,52 20
2 Thời gian rót, (ph) t x2 3,2 3,5 5,5 7,5 7,8 0,9
Kết quả thực nghiệm cho trong Bảng 6.30.
Bảng 6.30 Ma trận quy hoạch và kết quả thực nghiệm
với 2 = (4/11)1/2
= 0,6
N
Tự nhiên Mã hóa Kết
quả
y
v t x0 x1 x2
x1
x2
x1
’
= x1
2
- 2
x2
’
= x2
2
- 2
Thí
nghiệm
ở nhân
2k, 2k-p
1
2
3
4
0,2
0,5
0,2
0,5
3,5
3,5
7,5
7,5
+1
+1
+1
+1
-1
+1
-1
+1
-1
-1
+1
+1
+1
-1
-1
+1
+0,4
+0,4
+0,4
+0,4
+1
+1
+1
+1
0,36
0,51
1,33
1,51
Các
điểm
sao
5
6
7
8
0,18
0,52
0,35
0,35
5,5
5,5
3,2
7,8
+1
+1
+1
+1
-1,15
+1,15
0
0
0
0
-1,15
+1,15
0
0
0
0
+0,7225
+0,7225
-0,6
-0,6
-0,6
-0,62
+0,7225
+0,7225
0,31
0,50
0,45
1,59
Các
điểm ở
tâm
9
10
11
0,35
0,35
0,35
5,5
5,5
5,5
+1
+1
+1
0
0
0
0
0
0
0
0
0
-0,6
-0,6
-0,6
-0,6
-0,6
-0,6
0,30
0,29
0,31
Sử dụng Minitab (Mục 6.11) trên các hộp thoại Create Response
Surface Design và Create Response Surface Design: Designs chọn như
Hình 6.9.
234 CHƯƠNG 6
Hình 6.9
Các bước tiếp theo thực hiện như phương pháp FCCCD và thu được
kết quả như sau:
Response Surface Regression: y versus x1, x2
Analysis of Variance
Source DF Adj SS Adj MS F-Value P-Value
Model 5 2.72613 0.54523 11814.47 0.000
Linear 2 1.66528 0.83264 18042.45 0.000
x1 1 0.04527 0.04527 981.06 0.000
x2 1 1.62001 1.62001 35103.85 0.000
Square 2 1.06062 0.53031 11491.29 0.000
x1*x1 1 0.02290 0.02290 496.21 0.000
x2*x2 1 1.03896 1.03896 22513.20 0.000
2-Way Interaction 1 0.00022 0.00022 4.88 0.078
x1*x2 1 0.00022 0.00022 4.88 0.078
Error 5 0.00023 0.00005
Lack-of-Fit 3 0.00003 0.00001 0.10 0.951
Pure Error 2 0.00020 0.00010
Total 10 2.72636
Model Summary
S R-sq R-sq(adj) R-sq(pred)
0.0067933 99.99% 99.98% 99.98%
Coded Coefficients
Term Coef SE Coef T-Value P-Value VIF
Constant 0.29931 0.00373 80.27 0.000
x1 0.08254 0.00264 31.32 0.000 1.00
x2 0.49375 0.00264 187.36 0.000 1.00
x1*x1 0.08108 0.00364 22.28 0.000 1.00
x2*x2 0.54610 0.00364 150.04 0.000 1.00
x1*x2 0.00750 0.00340 2.21 0.078 1.00
Regression Equation in Coded Units
y = 0.29931 + 0.08254 x1 + 0.49375 x2 + 0.08108 x1*x1
+ 0.54610 x2*x2 + 0.00750 x1*x
Regression Equation in Uncoded Units
y = 2.4520 - 1.584 v - 0.92760 t + 2.805 v*v + 0.103233 t*t
+ 0.01918 v*t
QUY HOẠCH THỰC NGHIỆM BẬC 2 235
Ví dụ 6.9 Sử dụng ma trận bậc 2 trực giao để nghiên cứu cơ tính (giới hạn
bền) của hợp kim phụ thuộc vào thành phần Liti (%), nhiệt độ (0
C) và thời
gian hóa già (h). Bảng giá trị các nhân tố cho trong Bảng 6.31.
Bảng 6.31
N Nhân tố
Ký hiệu Mức giá trị
Tự
nhiên
Mã
hóa
Dưới,
-1,215
Mức
-1
Cơ
sở, 0
Mức
1
Trên,
1,215
1 Thành phần Liti (%) L x1 0,4 0,5 1,0 1,5 1,6
2 Nhiệt độ hóa già (0
C) T x2 145 150 175 200 205
3 Thời gian hóa già (h) T x3 1,5 2 4 6 6,4
Giải:
Theo kết quả thí nghiệm thu được phương sai tái hiện s2
{y} = 4,0 và
số bậc tự do f1 = 10. Bảng 6.32 là kết quả thí nghiệm.
Bảng 6.32 Ma trận quy hoạch và kết quả thực nghiệm với
2 = (8/15)1/2
= 0,73
N
Nhân tố mã hóa Tương tác x1
2
- 2 x2
2
-2 x3
2
- 2 Kết quả
Y (MPa)
Tính theo
PTHQ
Resit
x0 x1 x2 x3 x1x2 x1x3 x2x3 x1
2
-0,73 x2
2
-0,73 x3
2
-0,73
1 +1 -1 -1 -1 +1 +1 +1 +0,27 +0,27 +0,27 280 283,400 -3,399
2 +1 +1 -1 -1 -1 -1 +1 +0,27 +0,27 +0,27 250 262,957 -12,957
3 +1 -1 +1 -1 -1 +1 -1 +0,27 +0,27 +0,27 260 300,308 -40,308
4 +1 +1 +1 -1 +1 -1 -1 +0,27 +0,27 +0,27 450 429,865 20,135
5 +1 -1 -1 +1 +1 -1 -1 +0,27 +0,27 +0,27 410 430,650 -20,650
6 +1 +1 -1 +1 -1 +1 -1 +0,27 +0,27 +0,27 380 340,207 39,793
7 +1 -1 +1 +1 -1 -1 +1 +0,27 +0,27 +0,27 200 187,558 12,442
8 +1 +1 +1 +1 +1 +1 +1 +0,27 +0,27 +0,27 250 247,115 2,885
9 +1 -1,215 0 0 0 0 0 0,745 -0,73 -0,73 360 317,421 42,579
10 +1 +1,215 0 0 0 0 0 0,745 -0,73 -0,73 300 341,183 -41,18
11 +1 0 -1,215 0 0 0 0 -0,73 0,745 -0,73 300 302,443 -2,443
12 +1 0 +1,215 0 0 0 0 -0,73 0,745 -0,73 260 256,161 3,839
13 +1 0 0 -1,215 0 0 0 -0,73 -0,73 0,745 320 290,085 29,915
14 +1 0 0 +1,215 0 0 0 -0,73 -0,73 0,745 240 268,519 -28,52
15 +1 0 0 0 0 0 0 -0,73 -0,73 -0,73 280 282,126 -2,126
236 CHƯƠNG 6
Kết quả tính toán các hệ số nêu trên Bảng 6.33.
Bảng 6.33
b0 b1 b2 b3 b12 b13 b23 b1
2
b2
2
b3
2
302,7 9,8 -19,1 -8,9 37,5 -17,5 -65 32,1 -1.9 -1.9
Trong các hệ số trên sau khi đánh giá chỉ có các hệ dưới đây có ý
nghĩa. Xác định lại hệ số b0 ta thu được (không cần xác định các hệ số còn
lại do có tính trực giao):
b0 b1 b2 b3 b12 b13 b23 b1
2
b2
2
b3
2
279,3 --- -19,1 --- 37,5 -17,5 -65 32,1 --- ---
Thực hiện trên Minitab với số thí nghiệm ở tâm và α nhập vào như
hộp thoại Hình 6.10.
Hình 6.10
QUY HOẠCH THỰC NGHIỆM BẬC 2 237
Response Surface Regression: Y versus x1, x2, x3
Ananysis of Variance
Source DF Adj SS Adj MS F-Value P-Value
Model 9 57868.3 6429.8 3.34 0.099
Linear 3 5882.9 1961.0 1.02 0.458
x1 1 1047.3 1047.3 0.54 0.494
x2 1 3973.0 3973.0 2.06 0.210
x3 1 862.6 862.6 0.45 0.533
Square 3 4485.4 1495.1 0.78 0.555
x1*x1 1 4454.1 4454.1 2.31 0.189
x2*x2 1 16.0 16.0 0.01 0.931
x3*x3 1 16.0 16.0 0.01 0.931
2-Way Interaction 3 47500.0 15833.3 8.23 0.022
x1*x2 1 11250.0 11250.0 5.84 0.060
x1*x3 1 2450.0 2450.0 1.27 0.310
x2*x3 1 33800.0 33800.0 17.56 0.009
Error 5 9625.1 1925.0
Total 14 67493.3
Model Summary
S R-sq R-sq(adj) R-sq(pred)
43.8750 85.74% 60.07% 0.00%
Coded Coefficients
Term Coef SE Coef T-Value P-Value VIF
Constant 282.1 28.9 9.77 0.000
x1 11.9 16.1 0.74 0.494 1.00
x2 -23.1 16.1 -1.44 0.210 1.00
x3 -10.8 16.1 -0.67 0.533 1.00
x1*x1 47.2 31.0 1.52 0.189 1.00
x2*x2 -2.8 31.0 -0.09 0.931 1.00
x3*x3 -2.8 31.0 -0.09 0.931 1.00
x1*x2 55.4 22.9 2.42 0.060 1.00
x1*x3 -25.8 22.9 -1.13 0.310 1.00
x2*x3 -96.0 22.9 -4.19 0.009 1.00
Regression Equation in coded Units
Y = 282.1 + 9.8 x1 - 19.0 x2 - 8.9 x3 + 32.0 x1*x1 - 1.9 x2*x2 -
1.9 x3*x3 + 37.5 x1*x2 - 17.5 x1*x3 - 65.0 x2*x3
238 CHƯƠNG 6
6.5. QUY HOẠCH ĐỐI XỨNG KHÔNG HỖN HỢP BOX–BEHNKEN
Quy hoạch Box-Behnken là QHTN bậc 2 độc lập không chứa các quy
hoạch TNT hoặc TNR, có nghĩa không là quy hoạch hỗn hợp. Các điểm thí
nghiệm là điểm giữa các cạnh của không gian quy hoạch và tại điểm tâm
(Hình 6.11).
Quy hoạch Box-Behnken có tính chất đối xứng, nhưng không trực
giao. Do đó khi loại bỏ các hệ số phương trình hồi quy không ý nghĩa thì ta
cần phải tính lại các hệ số còn lại.
Hình 6.11 Bố trí các điểm thí nghiệm quy hoạch Box - Behnken 3 nhân tố
Quy hoạch Box – Behnken biểu diễn dạng block, với 3, 4, 5 nhân tố
có dạng như Hình 6.12.
Hình 6.12 Quy hoạch Box – Behnken với:
a) 3 nhân tố, b) 4 nhân tố và c) 5 nhân tố
QUY HOẠCH THỰC NGHIỆM BẬC 2 239
Tại mỗi hàng tại vị trí các điểm sao * là thực nghiệm nhân tố toàn
phần với các nhân tố có điểm *, các nhân tố còn lại có giá trị bằng 0. Ví dụ
trong trường hợp 4 nhân tố thì block với 4 thí nghiệm đầu tiên sẽ là (Hình
6.12b):
N x1 x2 x3 x4
1
2
3
4
-1
+1
-1
+1
-1
-1
+1
+1
0
0
0
0
0
0
0
0
Tương tự block đầu tiên cho trường hợp 5 nhân tố (Hình 6.12c):
N x1 x2 x3 x4 x5
1
2
3
4
-1
+1
-1
+1
-1
-1
+1
+1
0
0
0
0
0
0
0
0
0
0
0
0
Quy hoạch Box-Behnken trong trường hợp 4 và 7 nhân tố là quy
hoạch bậc 2 quay đều (các điểm thí nghiệm cách đều tâm), còn trong các
trường hợp còn lại gần giống như quay đều.
Khi k = 3 ta có thể biến đổi quy hoạch Box-Behnken thành quay đều
nếu thay ±1 thành ±p và ±q với p/q = ( 5 1)/ 2 1,62
  ). Trên Bảng 6.34
và 6.35 trình bày các quy hoạch Box-Behnken với các nhân tố khác nhau.
Bảng 6.34 Quy hoạch Box-Behnken với các nhân tố khác nhau
với k = 3, 4 và 5
Số
nhân
tố k
Ma trận quy hoạch
Quy
hoạch với
các nhân
tố ±1
Số thì nghiệm
Hệ số độ
không
cầu
Theo
quy
hoạch 2k
Mức
giá trị
0
Tổng
cộng
x1 x2 x3 x4 x5
3 ±1
0
±1
0
±1
±1
0
0
0
±1
±1
0
22
12 3 15 0.38
4 ±1
0
±1
0
0
±1
0
±1
0
0
±1
±1
0
0
0
±1
0
±1
0
±1
0
0
±1
±1
0
±1
0
0
22
24 3 27 0
240 CHƯƠNG 6
5 ±1
0
0
±1
0
0
±1
0
±1
0
0
±1
0
±1
0
0
±1
0
0
0
±1
0
0
±1
0
±1
0
±1
0
±1
0
0
0
0
±1
0
0
±1
0
±1
0
0
±1
0
0
0
±1
0
±1
0
0
±1
±1
0
0
22
40 6 46 0.17
Bảng 6.35 Khi k = 6, 7
Số
nhân
tố k
Ma trận quy hoạch
Quy hoạch
với các
nhân tố ±1
Số thí nghiệm Hệ số độ
không
cầu
Theo quy
hoạch 23
Mức
giá trị 0
Tổng
cộng
x x1 x2 x3 x4 x5 x6 x7
6 ±1
0
0
±1
0
±1
0
±1
±1
0
0
±1
0
0
0
±1
±1
0
0
±1
0
±1
0
±1
±1
0
0
0
0
±1
0
±1
±1
0
0
0
0
±1
0
±1
±1
0
23
48 6 54 0.23
7 0
±1
0
±1
0
±1
0
0
0
0
±1
±1
0
0
±1
0
0
0
0
0
±1
±1
±1
0
±1
0
0
±1
±1
0
0
0
±1
0
±1
0
0
±1
0
0
±1
±1
0
0
0
0
±1
0
0
±1
±1
0
±1
0
0
0
23
56 6 62 0
Để tính các hệ số phương trình hồi quy, ta sử dụng các công thức tổng
quát như quy hoạch dạng FCCCD công thức (6.6), hoặc theo công thức
(6.22) với các giá trị ci được hiệu chỉnh như Bảng 6.36.
QUY HOẠCH THỰC NGHIỆM BẬC 2 241
Bảng 6.36 Các hệ số ci theo quy hoạch Box-Behnken
Hệ số ci
Số nhân tố
3 4 5 6 7
c1 0,33333 0,33333 0,16667 0,16667 0,16667
c2 0,16667 0,16667 0,08333 0,05556 0,05556
c3 0,12500 0,08333 0,06250 0,04167 0,04167
c4 0,25000 0,25000 0,25000 0,12500 0,12500
c5 0,25000 0,12500 0,08333 0,08333 0,06250
c6 0,02083 0,06250 0,03125 0,01389 0,01157
c7 0,57735 0,57735 0,40825 0,40825 0,40825
c8 0,35355 0,28867 0,25000 0,20413 0,20413
c9 0,50000 0,50000 0,50000 0,35355 0,35355
c10 0,52041 0,43301 0,33850 0,31180 0,27216
Số thí nghiệm N quy hoạch Box-Behnken và so sánh các dạng quy hoạch
bậc 2 khác với các số nhân tố khác nhau tham khảo Bảng 6.57.
Ví dụ 6.10 Sử dụng phương pháp quy hoạch Box- Behnken nghên cứu độ
bền kéo mối hàn phụ thuộc và ba nhân tố có giá trị trong Bảng 6.37 với 3 thí
nghiệm ở tâm. Ma trận quy hoạch và kết quả trong Bảng 6.38.
Bảng 6.37 Các thông số và mức thí nghiệm
STT
Nhân tố
Ký hiệu Mức giá trị Khoảng
thay
đổi
Tự
nhiên
Mã
hóa
Dưới,
-1
Cơ sở,
0
Trên,
1
1 Số vòng quay (r/min) n x1 800 1000 1200 200
2 Tốc độ hàn (mm/min) v x2 50 100 150 50
3 Chiều sâu xâm nhập
vai (mm)
h x3 0,1 0,15 0,2 0,05
242 CHƯƠNG 6
Bảng 6.38 Bảng thông số hàn và kết quả kiểm tra các mối hàn nhôm dày
3mm, thông số đầu ra là độ bền kéo
N
Nhân tố
mã hóa
Nhân tố tự nhiên Kết quả Kết
quả
PTHQ
y
Số vòng
quay
(r/min)
Vận tốc
hàn
(mm/min)
Chiều
sâu ép
(mm)
Kết quả
thí
nghiệm
1
Kết quả
thí
nghiệm
2
Kết quả
thí
nghiệm
3
Giá trị
trung
bình
x1 x2 x3 n v h y1 y2 y3 y tb
1 -1 -1 0 800 50 0,15 195 196,2 196,8 196 198,037
2 +1 -1 0 1200 50 0,15 207,5 204,3 205,5 205,7 203,387
3 -1 +1 0 800 150 0,15 199,3 195 201,2 198,5 200,003
4 +1 +1 0 1200 150 0,15 216,92 220,4 223,28 220,2 217,287
5 -1 0 -1 800 100 0,1 197,7 198,3 201,9 199,3 198,755
6 +1 0 -1 1200 100 0,1 202,5 201,4 198,2 200,7 204,572
7 -1 0 +1 800 100 0,2 195,3 200,2 197,9 197,8 194,805
8 +1 0 +1 1200 100 0,2 208,5 209,3 212,8 210,2 211,622
9 0 -1 -1 1000 50 0,1 204,2 203,7 209,2 205,7 203,770
10 0 +1 -1 1000 150 0,1 222,2 228,4 225,3 225,3 223,903
11 0 -1 +1 1000 50 0,2 218,5 216,2 216,3 217 217,520
12 0 +1 +1 1000 150 0,2 211,3 210,9 214,4 212,2 213,253
13 0 0 0 1000 100 0,15 214,8 215,9 215,8 215,5 216,851
14 0 0 0 1000 100 0,15 217,1 218,7 214,9 216,9 216,851
15 0 0 0 1000 100 0,15 215,3 216,4 217,5 216,4 216,851
Kết quả tính trên Minitab (Tham khảo Mục 6.11):
Khi sử dụng quy hoạch Box – Behnken, chọn các nút tương ứng các
hộp thoại trên Hình 6.13.
Hình 6.13
QUY HOẠCH THỰC NGHIỆM BẬC 2 243
Box- Behnken
Factors: 3 Replicates: 3
Base runs: 15 Total runs: 45
Base blocks: 1 Total blocks: 1
Center points: 9
Response Surface Regression: Y versus x1, x2, x3
Analysis of Variance
Source DF Adj SS Adj MS F-Value P-Value
Model 9 3486.73 387.41 44.19 0.000
Linear 3 1160.44 386.81 44.13 0.000
x1 1 768.40 768.40 87.66 0.000
x2 1 377.63 377.63 43.08 0.000
x3 1 14.42 14.42 1.64 0.208
Square 3 1682.22 560.74 63.97 0.000
x1*x1 1 1621.77 1621.77 185.00 0.000
x2*x2 1 10.00 10.00 1.14 0.293
x3*x3 1 52.00 52.00 5.93 0.020
2-Way Interaction 3 644.07 214.69 24.49 0.000
x1*x2 1 106.80 106.80 12.18 0.001
x1*x3 1 90.75 90.75 10.35 0.003
x2*x3 1 446.52 446.52 50.94 0.000
Error 35 306.81 8.77
Lack-of-Fit 3 154.76 51.59 10.86 0.000
Pure Error 32 152.05 4.75
Total 44 3793.55
Model Summary
S R-sq R-sq(adj) R-sq(pred)
2.96077 91.91% 89.83% 85.80%
Coded Coefficients
Term Coef SE Coef T-Value P-Value VIF
Constant 216.267 0.987 219.13 0.000
x1 5.658 0.604 9.36 0.000 1.00
x2 3.967 0.604 6.56 0.000 1.00
x3 0.775 0.604 1.28 0.208 1.00
x1*x1 -12.100 0.890 -13.60 0.000 1.01
x2*x2 0.950 0.890 1.07 0.293 1.01
x3*x3 -2.167 0.890 -2.44 0.020 1.01
x1*x2 2.983 0.855 3.49 0.001 1.00
x1*x3 2.750 0.855 3.22 0.003 1.00
x2*x3 -6.100 0.855 -7.14 0.000 1.00
Regression Equation in Uncoded Units
Y = 216.267 + 5.658 x1 + 3.967 x2 + 0.775 x3 - 12.100 x1*x1
+ 0.950 x2*x2 - 2.167 x3*x3 + 2.983 x1*x2 + 2.750 x1*x3 -
6.100 x2*x3
244 CHƯƠNG 6
Coutour Plots of Y
A 1000
B 100
C 0.15
Hold Values
B*A
1200
1100
1000
900
800
150
125
100
75
50
C*A
1200
1100
1000
900
800
0.20
0.16
0.12
C*B
150
125
100
75
50
0.20
0.16
0.12
>
–
–
–
–
–
< 195
195 200
200 205
205 210
210 215
215 220
220
Y
Contour Plots of Y
Hình 6.14
Optimization plot
Hình 6.15
Ví dụ 6.11 Sử dụng quy hoạch Box-Behnken để tiến hành thực nghiệm phụ
thuộc độ rắn bề mặt vật liệu (đo bằng phương pháp Vicker vào nhiệt độ: tôi
(X1), ram (X2), ram ổn định (X3), thấm nitơ (X4).
Bảng 6.39
STT Nhân tố
Ký hiệu Mức giá trị Khoảng
thay
đổi
Tự
nhiên
Mã
hóa
Dưới, -
1
Cơ
sở, 0
Trên,
1
1 Nhiệt độ tôi (0
C) T1 x1 870 900 930 30
2 Nhiệt độ ram (0
C) T2 x2 630 650 670 20
3 Nhiệt độ ram ổn định (0
C) T3 x3 550 570 590 20
4 Nhiệt độ thấm ni tơ (0
C) T4 x4 480 500 520 20
QUY HOẠCH THỰC NGHIỆM BẬC 2 245
Ma trận quy hoạch và kết quả thực nghiệm cho trong Bảng 6.40.
Bảng 6.40 Bảng quy hoạch và kết quả thực nghiệm
N x0 x1 x2 x3 x4 x1x2 x1x3 x1x4 x2x3 x2x4 x3x4 x1
2
x2
2
x3
2
x4
2
Y
(HV)
KQ
PTHQ
Resit
1 +1 -1 -1 0 0 +1 0 0 0 0 0 +1 +1 0 0 847 843,000 4,0000
2 +1 +1 -1 0 0 -1 0 0 0 0 0 +1 +1 0 0 903 884,500 18,5000
3 +1 -1 +1 0 0 -1 0 0 0 0 0 +1 +1 0 0 842 837,833 4,1667
4 +1 +1 +1 0 0 +1 0 0 0 0 0 +1 +1 0 0 861 842,333 18,6667
5 +1 0 0 -1 -1 0 0 0 0 0 +1 0 0 +1 +1 857 846,333 10,6667
6 +1 0 0 +1 -1 0 0 0 0 0 -1 0 0 +1 +1 904 912,167 -8,1667
7 +1 0 0 -1 +1 0 0 0 0 0 -1 0 0 +1 +1 881 850,167 30,8333
8 +1 0 0 +1 +1 0 0 0 0 0 +1 0 0 +1 +1 825 813,000 12,0000
9 +1 -1 0 0 -1 0 0 +1 0 0 0 +1 0 0 +1 894 884,250 9,7500
10 +1 +1 0 0 -1 0 0 -1 0 0 0 +1 0 0 +1 887 896,250 -9,2500
11 +1 -1 0 0 +1 0 0 -1 0 0 0 +1 0 0 +1 810 825,583 -15,5833
12 +1 +1 0 0 +1 0 0 +1 0 0 0 +1 0 0 +1 825 859,583 -34,5833
13 +1 0 -1 -1 0 0 0 0 +1 0 0 0 +1 +1 0 823 836,083 -13,0833
14 +1 0 +1 -1 0 0 0 0 -1 0 0 0 +1 +1 0 808 831,417 -23,4167
15 +1 0 -1 +1 0 0 0 0 -1 0 0 0 +1 +1 0 868 869,417 -1,4167
16 +1 0 +1 +1 0 0 0 0 +1 0 0 0 +1 +1 0 815 826,750 -11,7500
17 +1 -1 0 -1 0 0 +1 0 0 0 0 +1 0 +1 0 820 824,750 -4,7500
18 +1 +1 0 -1 0 0 -1 0 0 0 0 +1 0 +1 0 880 880,250 -0,2500
19 +1 -1 0 +1 0 0 -1 0 0 0 0 +1 0 +1 0 874 871,583 2,4167
20 +1 +1 0 +1 0 0 +1 0 0 0 0 +1 0 +1 0 869 862,083 6,9167
21 +1 0 -1 0 -1 0 0 0 0 +1 0 0 +1 0 +1 861 867,583 -6,5833
22 +1 0 +1 0 -1 0 0 0 0 -1 0 0 +1 0 +1 879 875,417 3,5833
23 +1 0 -1 0 +1 0 0 0 0 -1 0 0 +1 0 +1 850 851,417 -1,4167
24 +1 0 +1 0 +1 0 0 0 0 +1 0 0 +1 0 +1 805 796,250 8,7500
25 +1 0 0 0 0 0 0 0 0 0 0 0 0 0 0 907 915,000 -8,0000
26 +1 0 0 0 0 0 0 0 0 0 0 0 0 0 0 928 915,000 13,0000
27 +1 0 0 0 0 0 0 0 0 0 0 0 0 0 0 910 915,000 -5,0000
246 CHƯƠNG 6
Xác định các hệ số phương trình hồi quy
Tính toán hệ số phương trình hồi quy ta thu giá trị các hệ số như sau:
b0 = 914,8; b1 = 11,5; b2 = -11,8; b3 = 7,2; b4 = -23,8
b12 = -9,3; b13 = -16,3; b14 = 5,5; b23 = -9,5; b24 = -15,8
b34 = -25,8; b11 = -22,2; b22 = -41,0; b33 = -33,2; b44 = -26,5
Từ n = 3 thí nghiệm lặp ở tâm ta thu đươc phương sai tái hiện s2
{y} =
129 với bậc tự do f1 = n – 1 = 2.
Sau đó tính toán các giá trị phương sai hệ số phương trình hồi quy Sbi
2
:
2
0 0 i i
2 2
ij ij ii ii
0 ii ii jj
s{b } 43; s{b } 6,56;s {b } 10,75; s{b } 3,28
s {b } 32,25; s{b } 5,68; s {b } 24,19; s{b } 4,92
covb b 21,5; covb b 8,06
   
   
  
Khoảng tin cậy để đánh giá các hệ số phương trình hồi quy với mức ý
nghĩa 5 % (α = 0,05; f1 = 2; t0,05; 2 = 4,3): Δb0 = 28,21; Δbi = 14,1; Δbij =
24,42; Δbii = 21,16.
Từ đây suy ra các hệ số b0, b4, b11, b22, b33, b44, b34 là có nghĩa. Các hệ
số còn lại là không ý nghĩa nên ta có thể bỏ qua.
Khi đó phương trình hồi quy có dạng:
2 2 2 2
4 3 4 1 2 3 4
y 914,8 23,8x 25,8x x 22,2x 41x 33,2x 26,5x
      
Với các giá trị x1, x2, x3 và x4 được mã hoá.
3
1 2 4
1 2 3 4
X 570
X 900 X 650 X 500
x ; x ; x ; x
30 20 20 20

  
   
Do quy hoạch Box-Behnken không trực giao nên cần phải xác định
lại các hệ số, nhưng trong trường hợp này có sự thay đổi không đáng kể
nên ta bỏ qua.
Tiếp theo ta xác định tính tương thích phương trình hồi quy. Xác định
tổng bình phương, đặc trưng tương thích mô hình Sth:




N
1
j
2
j
j
th )
y
y
(
S

= 3(914,8 - 915)2
+10404,42 = 10404,54 và f2 = N
– p = 27 – 7 = 20. Từ đây suy ra:
th
th
2
th
f
S
s  = 10404,54 / 20 = 520,23. khi
QUY HOẠCH THỰC NGHIỆM BẬC 2 247
đó
}
y
{
s
s
F 2
2
th
tt  = 520,23 / 129 = 4,03. Giá trị tra bảng Fb theo tiêu chuẩn
Fisher F0,05;20;2 = 19,45 có giá trị rất lớn so với Ftt nên phương trình hồi quy
thu được tương thích để mô tả được hiện tượng trên.
Kết quả trên Minitab:
Box-Behnken Design
Factors: 4 Replicates: 1
Base runs: 27 Total runs: 27
Base blocks: 1 Total blocks: 1
Center points: 3
Response Surface Regression: HV versus x1, x2, x3, x4
Analysis of Variance
Source DF Adj SS Adj MS F-Value P-Value
Model 14 27869.4 1990.7 4.83 0.005
Linear 4 10700.0 2675.0 6.49 0.005
x1 1 1587.0 1587.0 3.85 0.073
x2 1 1680.3 1680.3 4.08 0.066
x3 1 616.3 616.3 1.49 0.245
x4 1 6816.3 6816.3 16.53 0.002
Square 4 11644.4 2911.1 7.06 0.004
x1*x1 1 2620.6 2620.6 6.36 0.027
x2*x2 1 8928.9 8928.9 21.66 0.001
x3*x3 1 5866.8 5866.8 14.23 0.003
x4*x4 1 3721.8 3721.8 9.03 0.011
2-Way Interaction 6 5525.0 920.8 2.23 0.111
x1*x2 1 342.2 342.2 0.83 0.380
x1*x3 1 1056.3 1056.3 2.56 0.135
x1*x4 1 121.0 121.0 0.29 0.598
x2*x3 1 361.0 361.0 0.88 0.368
x2*x4 1 992.2 992.2 2.41 0.147
x3*x4 1 2652.2 2652.2 6.43 0.026
Error 12 4947.3 412.3
Lack-of-Fit 10 4689.3 468.9 3.64 0.235
Pure Error 2 258.0 129.0
Total 26 32816.7
Model Summary
S R-sq R-sq(adj) R-sq(pred)
20.3046 84.92% 67.34% 15.92%
Coded Coefficients
Term Coef SE Coef T-Value P-Value VIF
Constant 915.0 11.7 78.05 0.000
x1 11.50 5.86 1.96 0.073 1.00
x2 -11.83 5.86 -2.02 0.066 1.00
x3 7.17 5.86 1.22 0.245 1.00
x4 -23.83 5.86 -4.07 0.002 1.00
x1*x1 -22.17 8.79 -2.52 0.027 1.25
248 CHƯƠNG 6
x2*x2 -40.92 8.79 -4.65 0.001 1.25
x3*x3 -33.17 8.79 -3.77 0.003 1.25
x4*x4 -26.42 8.79 -3.00 0.011 1.25
x1*x2 -9.2 10.2 -0.91 0.380 1.00
x1*x3 -16.2 10.2 -1.60 0.135 1.00
x1*x4 5.5 10.2 0.54 0.598 1.00
x2*x3 -9.5 10.2 -0.94 0.368 1.00
x2*x4 -15.7 10.2 -1.55 0.147 1.00
x3*x4 -25.7 10.2 -2.54 0.026 1.00
Regression Equation in coded Units
HV = 915.0 + 11.50 x1 - 11.83 x2 + 7.17 x3 - 23.83 x4 - 22.17 x1*x1
- 40.92 x2*x2 - 33.17 x3*x3 - 26.42 x4*x4 - 9.2 x1*x2 - 16.2 x1*x3
+ 5.5 x1*x4 - 9.5 x2*x3 - 15.7 x2*x4 - 25.7 x3*x4
Sau khi loại bỏ các hệ số không ý nghĩa:
Model Summary
S R-sq R-sq(adj) R-sq(pred)
19.6156 82.41% 69.52% 44.53%
Regression Equation in coded Units
HV = 915.0 + 11.50 x1 - 11.83 x2 + 7.17 x3 - 23.83 x4 - 22.17 x1*x1
- 40.92 x2*x2 - 33.17 x3*x3 - 26.42 x4*x4 - 16.25 x1*x3 -
15.75 x2*x4 - 25.75 x3*x4
x1 0
x2 0
x3 0
x4 0
Hold Values
x2*x1
1
0
-1
1.0
0.5
0.0
-0.5
-1.0
x3*x1
1
0
-1
1.0
0.5
0.0
-0.5
-1.0
x4*x1
1
0
-1
1.0
0.5
0.0
-0.5
-1.0
x3*x2
1
0
-1
1.0
0.5
0.0
-0.5
-1.0
x4*x2
1
0
-1
1.0
0.5
0.0
-0.5
-1.0
x4*x3
1
0
-1
1.0
0.5
0.0
-0.5
-1.0
>
–
–
–
–
–
–
< 800
800 820
820 840
840 860
860 880
880 900
900 920
920
HV
Contour Plots of HV
Hình 6.16
QUY HOẠCH THỰC NGHIỆM BẬC 2 249
Hình 6.17
6.6. QUY HOẠCH ĐỐI XỨNG KHÔNG HỖN HỢP DẠNG D
Các quy hoạch quay đều và trực giao được sử dụng rộng rãi, tuy nhiên
chúng có nhiều nhược điểm:
- Thứ nhất: không gian được phân bổ cho thực nghiệm không được
sử dụng đầy đủ như các điểm giữa cạnh và mặt của một khối đa
diện; trong miền thay đổi giới hạn các nhân tố không được lấp đầy,
vì thí nghiệm được quy hoạch các điểm trên mặt cầu.
- Thứ hai: với sự gia tăng kích thước miền thay đổi các nhân tố, thể
tích tương đối của miền thay đổi các nhân tố không sử dụng tăng
lên, dẫn đến mất độ chính xác của thực nghiệm trong khu vực này.
- Thứ ba: khi sử dụng các phương pháp trực giao hiệu quả chỉ là tối
ưu xử lý kết quả thực nghiệm.
- Thứ tư: việc thực hiện quy hoạch quay đều hoặc trực giao tốn khá
nhiều thời gian và công sức do thực hiện số lượng lớn các thí
nghiệm ở tâm. Rõ ràng, đối với trường hợp miền thay đổi 3 mức
giá trị (nằm trên các cạnh và mặt khối đa diện đều) thì các phương
pháp quay đều hoặc trực giao số thí nghiệm ở tâm lớn.
Gần đây, những phát triển trong lý thuyết QHTN đã đưa ra một số
dạng quy hoạch mới. Trong số đó, dễ tiếp cận nhất để sử dụng trong thực tế
là quy hoạch D - tối ưu. Quy hoạch này được phát triển bởi nhà toán học
người Mỹ Kiefer. Ưu điểm chính của các kế hoạch tối ưu là chúng giảm tối
thiểu phương sai tổng quát hoặc thể tích của ellipsoid, xác định miền phân
tán khi đánh giá các hệ số phương trình hồi quy.
Ngoài ra, quy hoạch D - tối ưu giảm tối thiểu phương sai lớn nhất
trong một miền quy hoạch cho trước. Hiệu quả của các quy hoạch D – tối ưu
của Kiefer được xác định bởi sự sắp xếp tối ưu các thí nghiệm trong không
gian thay đổi các nhân tố.
250 CHƯƠNG 6
Nếu các quy hoạch quay đều hoặc trực giao được dựa trên cách tiếp
cận trực quan theo kinh nghiệm, thì quy hoạch D - tối ưu của Kiefer là sự
phát triển logic của các ý tưởng về thống kê toán học. Theo quan điểm thực
nghiệm, quy hoạch D - tối ưu lợi ích hơn do các nhân tố được thay đổi ở ba
mức giá trị (-1, 0, +1) thay vì năm mức giá trị (-, -1, 0, +1, +) đối với quy
hoạch quay đều hoặc trực giao.
Do đó các quy hoạch hỗn hợp trong một số trường hợp có một số
nhược điểm và ít hiệu quả trong thực nghiệm 2 giai đoạn. Trong các trường
hợp này ta sử dụng quy hoạch dạng D – tối ưu thực hiện thực nghiệm một
giai đoạn với tập hợp các số lượng và mức thí nghiệm cho trong Bảng 6.41.
Bảng 6.41
Số
nhân
tố
Block
Nhóm
Nhân tố
có giá trị
0
Nhân tố có
giá trị ±1
Thực nghiệm
nhân tố toàn phần
hoặc riêng phần
Số lần
lặp lại
Số thí
nghiệm
trong nhóm
2 1 - x1, x2 22
1 4
2 x2 x1 21
1 2
3 x1 x2 21
1 2
ở tâm 1
Tổng
cộng
9
3 1 x3 x1, x2 22
1 4
2 x2 x1, x3 22
1 4
3 x1 x2, x3 22
1 4
ở tâm 1
Tổng
cộng
13
4 1 - x1, x2
x3, x4
24-1
1 = x1x2 x3x4
1 8
2 x1 x2, x3, x4 23
1 8
3 x2 x1, x3, x4 23
1 8
4 x3 x1, x2, x4 23
1 8
5 x4 x1, x2, x3 23-1
1 = -x1x2 x3
2 8
ở tâm 2
Tổng
cộng
42
5 1 - x1, x2, x3,
x4, x5
25-2
1 = x1x3x4
= x2x3 x5
= x1x2x4x5
1 8
QUY HOẠCH THỰC NGHIỆM BẬC 2 251
2 x1 x2, x3, x4,
x5
24-1
1 = x3x4x5
1 8
3 x2 x1, x3, x4, x5 24-1
1 = -x3x4x5
1 8
4 x3 x1, x2, x4, x5 24-1
1 = -x1x2x4x5
1 8
5 x4 x1, x2, x3, x5 24-1
1 = -x2x3 x5
1 8
6 x5 x1, x2, x3, x4 24-1
1 = -x1x3 x4
1 8
ở tâm 2
Tổng
cộng
50
6 1 - x1, x2, x3,
x4, x5,x6
26-2
1 = -x1x2x5x6
= -x2x3x4x6
= x1x3x4x6
1 16
2 x1 x2, x3, x4,
x5, x6
25-2
1 = x3x5x6=
= x2x4x5=
= x2x3x4x6=
1 8
3 x2 x1, x3, x4,
x5, x6
25-2
1 = -x3x5x6
= x1x4x6=
= -x1x3x4x5
1 8
4 x3 x1, x2, x4,
x5, x6
25-2
1 = -x2x4x5
= -x1x4x6
= x1x2x5x6
1 8
5 x4 x1, x2, x3,
x5, x6
25-2
1 = -x1x3x4
= -x2x3x6
= x1x2x5x6
1 8
6 x5 x1, x2, x3,
x4, x6
25-2
1 = x1x2x4
= x1x3x6
= x2x3x4x6
1 8
7 x6 x1, x2, x3,
x4, x5
25-2
1 = -x1x2x4
= x2x3 x5
= -x1x2x4x5
1 8
ở tâm 2
Tổng
cộng
66
252 CHƯƠNG 6
Trường hợp 2 nhân tố (tương tự FCCCD - quy hoạch) ma trận quy
hoạch có dạng như Bảng 6.42.
Bảng 6.42
N x0 x1 x2 x1x2 x1
2
x2
2
1
2
3
4
+1
+1
+1
+1
+1
-1
+1
-1
+1
+1
-1
-1
+1
-1
-1
+1
1
1
1
1
1
1
1
1
5
6
+1
+1
0
0
+1
-1
0
0
0
0
1
1
7
8
+1
+1
+1
-1
0
0
0
0
1
1
0
0
9 +1 0 0 0 0 0
Trường hợp 3 nhân tố (Hình 6.18)
Ma trận quy hoạch có dạng như Bảng 6.43 (tương tự Box – Behnken).
Hình 6.18 Vị trí các điểm thí nghiệm trường hợp 3 nhân tố
QUY HOẠCH THỰC NGHIỆM BẬC 2 253
Bảng 6.43 Ma trận quy hoạch với ba nhân tố
(tương tự Box- Benhken với n0 =1)
N Nhân tố Tương tác đôi và bậc 2 Kết quả
x0 x1 x2 x3 x1x2 x1x3 x2x3 x1
2
x2
2
x3
2
y1i y2i yni
1
2
3
4
+1
+1
+1
+1
-1
+1
-1
+1
-1
-1
+1
+1
0
0
0
0
+1
-1
-1
+1
0
0
0
0
0
0
0
0
1
1
1
1
1
1
1
1
0
0
0
0
5
6
7
8
+1
+1
+1
+1
-1
+1
-1
+1
0
0
0
0
-1
-1
+1
+1
0
0
0
0
+1
-1
-1
+1
0
0
0
0
1
1
1
1
0
0
0
0
1
1
1
1
9
10
11
12
+1
+1
+1
+1
0
0
0
0
-1
+1
-1
+1
-1
-1
+1
+1
0
0
0
0
0
0
0
0
+1
-1
-1
+1
0
0
0
0
1
1
1
1
1
1
1
1
13 +1 0 0 0 0 0 0 0 0 0
Trường hợp 4 nhân tố
Ma trận quy hoạch có dạng như Bảng 6.44
Bảng 6.44 Ma trận quy hoạch với 4 nhân tố
N
Nhân tố Tương tác đôi và bậc 2 Kết quả
x0 x1 x2 x3 x4 x1x2 x1x3 . x3x4 x1
2
x2
2
x3
2
x4
2
y1i y2i yni
1
2
3
4
+1
+1
+1
+1
-1
+1
-1
+1
-1
-1
+1
+1
-1
-1
-1
-1
-1
1
1
-1
+1
-1
-1
+1
0
0
0
0
1
-1
-1
1
1
1
1
1
1
1
1
1
1
1
1
1
1
1
1
1
5
6
7
8
+1
+1
+1
+1
-1
+1
-1
+1
-1
-1
+1
+1
1
1
1
1
1
-1
-1
1
1
-1
-1
1
-1
1
-1
1
1
-1
-1
1
1
1
1
1
1
1
1
1
1
1
1
1
1
1
1
1
9
10
11
12
+1
+1
+1
+1
0
0
0
0
-1
+1
-1
+1
-1
-1
+1
+1
-1
-1
-1
-1
0
0
0
0
+1
-1
-1
+1
1
1
-1
-1
0
0
0
0
1
1
1
1
1
1
1
1
1
1
1
1
254 CHƯƠNG 6
13
14
15
16
+1
+1
+1
+1
0
0
0
0
-1
+1
-1
+1
-1
-1
+1
+1
1
1
1
1
0
0
0
0
0
0
0
0
-1
-1
1
1
0
0
0
0
1
1
1
1
1
1
1
1
1
1
1
1
17
18
19
20
+1
+1
+1
+1
-1
+1
-1
+1
0
0
0
0
-1
-1
+1
+1
-1
-1
-1
-1
0
0
0
0
0
0
0
0
1
1
-1
-1
1
1
1
1
0
0
0
0
1
1
1
1
1
1
1
1
21
22
23
24
+1
+1
+1
+1
-1
+1
-1
+1
0
0
0
0
-1
-1
+1
+1
1
1
1
1
0
0
0
0
1
-1
-1
1
-1
-1
1
1
1
1
1
1
0
0
0
0
1
1
1
1
1
1
1
1
25
26
27
28
+1
+1
+1
+1
-1
+1
-1
+1
-1
-1
+1
+1
0
0
0
0
-1
-1
-1
-1
1
-1
-1
1
0
0
0
0
0
0
0
0
1
1
1
1
1
1
1
1
0
0
0
0
1
1
1
1
29
30
31
32
+1
+1
+1
+1
-1
+1
-1
+1
-1
-1
+1
+1
0
0
0
0
1
1
1
1
1
-1
-1
1
0
0
0
0
0
0
0
0
1
1
1
1
1
1
1
1
0
0
0
0
1
1
1
1
33
34
35
36
+1
+1
+1
+1
-1
+1
-1
+1
-1
-1
+1
+1
-1
1
1
-1
0
0
0
0
1
-1
-1
1
1
1
-1
-1
0
0
0
0
1
1
1
1
1
1
1
1
1
1
1
1
0
0
0
0
37
38
39
40
+1
+1
+1
+1
-1
+1
-1
+1
-1
-1
+1
+1
-1
1
1
-1
0
0
0
0
1
-1
-1
1
1
1
-1
-1
0
0
0
0
1
1
1
1
1
1
1
1
1
1
1
1
0
0
0
0
41
42
+1
+1
0
0
0
0
0
0
0
0
0
0
0
0
0
0
0
0
0
0
0
0
0
0
Để tính các hệ số phương trình hồi quy, ta sử dụng các công thức tổng
quát như quy hoạch dạng FCCCD (công thức 6.6), hoặc theo công thức
(6.22) với các giá trị ci được hiệu chỉnh như Bảng 6.45 hoặc 6.46.
QUY HOẠCH THỰC NGHIỆM BẬC 2 255
Bảng 6.45 Các hằng số để xác định các hệ số phương trình hồi quy
k c1 c2 c3 c4 c5
2
3
4
5
6
7
0,52941
1,00000
0,38235
0,42000
0,41111
0,25000
0,29412
0,50000
0,11765
0,10000
0,07778
0,04167
0,10000
0,12500
0,03125
0,02500
0,01786
0,01042
0,12500
0,25000
0,04167
0,03125
0,02083
0,01250
0,5000
0,2500
0,1250
0,1250
0,1250
0,0625
k c6 c7 c8 c9 c10
2
3
4
5
6
7
-0,05882
0,18750
0,00735
0
-0,00556
-0,00174
0,72761
1,00000
0,61834
0,64807
0,64118
0,50000
0,31623
0,35355
0,17678
0,58811
0,13364
0,10208
0,35355
0,50000
0,20413
0,17678
0,14433
0,11180
0,66421
0,66144
0,36380
0,35355
0,34560
0,24650
Các hằng số ci phụ thuộc k có thể biểu diễn dạng Bảng 6.46.
Bảng 6.46
Hệ số ci
Số nhân tố
2 3 4 5 6 7
c1 0,52941 1 0,38235 0,42 0,41111 0,25
c2 0,29412 0,5 0,11765 0,1 0,07778 0,04167
c3 0,1 0,125 0,03125 0,025 0,01786 0,01042
c4 0,125 0,25 0,04167 0,03125 0,02083 0,0125
c5 0,5 0,25 0,125 0,125 0,125 0,0625
c6 -0,05882 0,1875 0,00735 0 -0,00556 -0,00174
c7 0,72761 1 0,61834 0,64807 0,64118 0,5
c8 0,31623 0,35355 0,17678 0,58811 0,13364 0,10208
c9 0,35355 0,5 0,20413 0,17678 0,14433 0,1118
c10 0,66421 0,66144 0,3638 0,35355 0,3456 0,2465
Ví dụ 6.12 Nghiên cứu ảnh hưởng độ bền mòn khuôn dập (số sản phẩm dập
đến khi khuôn bị mòn) vào các thành phần Carbon C (%), Silic Si (%) và
Photpho P (%) trong vật liệu khuôn.s
256 CHƯƠNG 6
Bảng 6.47
N Nhân tố
Ký hiệu Mức giá trị Khoảng
thay
đổi
Tự
nhiên
Mã
hóa
Dưới, -
1
Cơ sở,
0
Trên,
1
1 Thành phần Carbon
(%)
C x1 3,3 3,5 3,7 0,2
2 Thành phần Silic (%) Si x2 1,8 2,0 2,2 0,2
3 Thành phần Phốt pho
(%)
P x3 0,1 0,2 0,3 0,1
Ma trận quy hoạch và kết quả thí nghiệm cho trong Bảng 6.48.
Bảng 6.48
N Nhân tố Tương tác đôi và bậc 2 Kết quả
x0 x1 x2 x3 x1x2 x1x3 x2x3 x1
2
x2
2
x3
2
Số
SP y
Y từ
PTHQ1
Resi1 Y từ
PTHQ2
Resi2
1
2
3
4
+1
+1
+1
+1
-1
+1
-1
+1
-1
-1
+1
+1
0
0
0
0
+1
-1
-1
+1
0
0
0
0
0
0
0
0
1
1
1
1
1
1
1
1
0
0
0
0
800
950
500
600
781,25
956,25
493,75
618,75
18,75
-6,25
6,25
-18,75
793,75
943,75
481,25
631,25
6,25
6,25
18,75
-31,25
5
6
7
8
+1
+1
+1
+1
-1
+1
-1
+1
0
0
0
0
-1
-1
+1
+1
0
0
0
0
+1
-1
-1
+1
0
0
0
0
1
1
1
1
0
0
0
0
1
1
1
1
750
900
500
700
756,25
881,25
518,75
693,75
-6,25
18,75
-18,75
6,25
743,75
893,75
531,25
681,25
6,25
6,25
-31,25
18,75
9
10
11
12
+1
+1
+1
+1
0
0
0
0
-1
+1
-1
+1
-1
-1
+1
+1
0
0
0
0
0
0
0
0
+1
-1
-1
+1
0
0
0
0
1
1
1
1
1
1
1
1
1050
550
650
550
1062,50
550,00
650,00
537,50
-12,50
0,00
0,00
12,50
1062,50
550,00
650,00
537,50
-12,50
0,00
0,00
12,50
13 +1 0 0 0 0 0 0 0 0 0 850 850 0 850 0
Không có số thí nghiệm lặp trong mỗi thí nghiệm chính, phương sai
tái hiện được xác định trong các thí nghiệm trước đó s2
{y} = 625 và f = 9.
Tính toán hệ số phương trình hồi quy ta thu được các giá trị sau:
b0 = 850; b1 = 75; b2 = -156,3; b3 = -106,3; b12 = -12,5
b13 = 12,5; b23 = 100; b11 = -62,5; b22 = -75; b33 = -75
QUY HOẠCH THỰC NGHIỆM BẬC 2 257
Sau đó tính toán các giá trị phương sai hệ số phương trình hồi quy:
ii jj
0 ii
2 2 2
0 0 i i ij
2
ij ii ii
b b b b
s {b } 625;s{b } 25;s {b } 78,13;s{b } 8,84;s {b } 156,25
s{b } 12,50; s {b } 273,44; s{b } 16,54
cov 312,5; cov 117,19
    
  
  
Khoảng tin cậy để đánh giá các hệ số phương trình hồi quy với mức ý
nghĩa 5% (α = 0,05; f1 = 9; t0,05;9 = 2,26): Δb0 = 56,5; Δbi = 19,98; Δbij =
28,25; Δbii = 37,38.
Từ đây suy ra các hệ số b12, b13 là không ý nghĩa nên ta có thể bỏ qua.
Phương trình hồi quy lúc này có dạng:
2 2 2
1 2 3 2 3 1 2 3
y 850 75x 156,3x 106,3x 100x x 62,5x 75x 75x
       
Với các giá trị x1, x2 và x3 được mã hóa.
1 2 3
C 3,5 Si 2 P 0,2
x ; x ; x
0,2 0,2 0,1
  
  
Tiếp theo ta xác định tính tương thích phương trình hồi quy. Xác định
tổng bình phương, đặc trưng tương thích mô hình Sth.
Theo công thức:




N
1
j
2
j
j
th )
y
y
(
S

và f2 = 13 – 8 = 5
Từ đây suy ra:
th
th
2
th
f
S
s  = 625,01, khi đó
}
y
{
s
s
F 2
2
th
tt  =
625,01
1,01
625

Giá trị tra bảng Fb theo tiêu chuẩn Fisher F0,05;5;9 = 3,48 có giá trị rất
lớn so với Ftt nên phương trình hồi quy thu được tương thích để mô tả được
hiện tượng trên.
Kết quả tính trên Minitab
Khi số nhân tố là 2 ta thực hiện như phương pháp FCCCD, khi số
nhân tố là 3 ta thực hiện như Box – Behnken, khi k  4 thì ta nhập ma trận
quy hoạch và kết quả vào worksheet của Minitab, sau đó trên menu Stat,
chọn DOE > Response Surface > Define Custom Response Surface Design
(Hình 6.18).
258 CHƯƠNG 6
Hình 6.18
Và trên hộp thoại Define Custom Response Surface Design chọn các
nhân tố, chọn nút Select và nhập các nhân tố vào danh mục Continuous
Factors: Hình 6.19.
Hình 6.19
QUY HOẠCH THỰC NGHIỆM BẬC 2 259
Model Summary
S R-sq R-sq(adj) R-sq(pred)
25 99.52% 98.09% *
Coded Coefficients (A = x1; B = x2; C = x3)
Term Coef SE Coef T-Value P-Value VIF
Constant 850.0 25.0 34.00 0.000
A 75.00 8.84 8.49 0.003 1.00
B -156.25 8.84 -17.68 0.000 1.00
C -106.25 8.84 -12.02 0.001 1.00
A*A -62.5 16.5 -3.78 0.032 1.35
B*B -75.0 16.5 -4.54 0.020 1.35
C*C -75.0 16.5 -4.54 0.020 1.35
A*B -12.5 12.5 -1.00 0.391 1.00
A*C 12.5 12.5 1.00 0.391 1.00
B*C 100.0 12.5 8.00 0.004 1.00
Regression Equation in Uncoded Units
Y = -25378 + 11812 A + 6813 B - 10250 C - 1562 A*A - 1875 B*B
- 7500 C*C - 312 A*B + 625 A*C + 5000 B*C
Kết quả Coutour Plots trên Hình 6.20.
A 3.5
B 2
C 0.2
Hold Values
B*A
3.7
3.6
3.5
3.4
3.3
2.2
2.1
2.0
1.9
1.8
C*A
3.7
3.6
3.5
3.4
3.3
0.28
0.24
0.20
0.16
0.12
C*B
2.2
2.1
2.0
1.9
1.8
0.28
0.24
0.20
0.16
0.12
>
–
–
–
–
–
< 500
500 600
600 700
700 800
800 900
900 1000
1000
Y
Contour Plots of Y
Hình 6.20
260 CHƯƠNG 6
6.7. QUY HOẠCH THỰC NGHIỆM BẬC 2 DẠNG 3k
(Full Factorial Array 3 Levels)
Quy hoạch dạng 3k
là QHTN nhân tố toàn phần với 3 mức giá trị:
cao nhất (mức +1), thấp nhất (mức -1) và cơ sở (mức 0). Khi số nhân tố 2
hoặc 3 ta sử dụng quy hoạch nhân tố toàn phần 3k
(Hình 6.21). Quy hoạch
3k
bao gồm các điểm thí nghiệm chính tại giữa cạnh, tâm mặt, ở tâm khối
và tại các đỉnh.
a) 2 nhân tố (tương tự FCCCD) b) 3 nhân tố (kết hợp FCCCD + BBD)
Hình 6.21 Các điểm thí nghiệm chính quy hoạch 3k
Phương trình hồi quy QHTN bậc 2 có dạng tổng quát:
k k k
2
0 i i ii i ij i j
i 1 i 1 i j
i, j 1
y b b x b x b x x
  

   
  
Số hệ số của phương trình hồi quy:
  
   
k(k 1) (k 1)(k 2)
p 1 2k
2 2
Vì quy hoạch 3k
với 3 mức giá trị có số thí nghiệm chính N lớn, do đó
tốn nhiều thời gian và công sức. Trong quy hoạch 3 nhân tố sẽ phân tích rõ
vấn đề này.
Khi số nhân tố lớn ta sử dụng thực nghiệm riêng phần 3k-m
, ví dụ trường
hợp k = 4 và 5 nhân tố ta sử dụng quy hoạch 3k-1(2)
, khi đó N = 33
= 27 thí
nghiệm chính (tham khảo Bảng 7.11 Quy hoạch L27).
QUY HOẠCH THỰC NGHIỆM BẬC 2 261
6.7.1. Quy hoạch thực nghiệm bậc 2 dạng 3k cho 2 nhân tố
Các nhân tố ở ba mức giá trị +1, 0 và -1. Nếu thay đổi thứ tự các thí
nghiệm thì 3k
trường hợp k = 2 trùng với quy hoạch FCCCD với 1 thí
nghiệm ở tâm (Hình 6.21a). Ta sử dụng các công thức tổng quát dạng ma
trận để xác định các hệ số và phân tích phương trình hồi quy.
Ma trận QHTN cho 2 nhân tố có dạng Bảng 6.49.
Ví dụ 6.13 Quy hoạch thực nghiệm 3k
cho k = 2 nhân tố như Bảng 6.1.
Số thí nghiệm chính N = 32
= 9, số thí nghiệm lặp n = 2. Kết quả thực
nghiệm cho trong Bảng 6.49.
Bảng 6.49
Ma trận trên nếu thay đổi thứ tự các thí nghiệm chính như cột cuối
cùng của Bảng 6.29 sẽ là quy hoạch FCCCD với 1 thí nghiệm ở tâm.
Giải:
Ma trận để xác định các hệ số phương trình hồi quy:
   
1

 T T
B X X X Y
N
Nhân tố
Tương tác đôi
và bậc 2
Kết quả
thí nghiệm
Giá
trị
trung
bình
y
Sai
lệch
2
j
s
Giá
trị
hồi
quy
y (1)
Thứ tự
theo
quy
hoạch
FCCCD
x0 x1 x2 x1x2 x1
2
x2
2
yj1 yj2
1 +1 -1 -1 +1 1 1 12,2 11,8 12 0,08 11,5 1
2 +1 0 -1 0 0 1 12,3 11,9 12,1 0,08 12 7
3 +1 +1 -1 -1 1 1 14,2 14,6 14,4 0,08 14,5 2
4 +1 -1 0 0 1 0 13,9 13,7 13,8 0,02 14 5
5 +1 0 0 0 0 0 16 14,8 15,4 0,72 15 9
6 +1 +1 0 0 1 0 18,8 18,2 18,5 0,18 18 6
7 +1 -1 +1 -1 1 1 19,8 20,2 20 0,08 20,5 3
8 +1 0 +1 0 0 1 22,3 22,1 22,2 0,02 22 8
9 +1 +1 +1 +1 1 1 25,9 25,3 25,6 0,18 25,5 4
262 CHƯƠNG 6
 
0,556 0 0 0 0,3333 0,3333
0 0,1667 0 0 0 0
0 0 0,1667 0 0 0
0 0 0 0,2500 0 0
0,3333 0 0 0 0,5000 0
0,3333 0 0 0 0 0,5000
 
 
 
 
 
  
 
 

 

 
 
-1
T
X X
Ma trận xác định hệ số PTHQ:
0,5556 0 0 0 0,3333 0,3332 153.9
0 0,1667 0 0 0 0 12.6
0 0 0,1667 0 0 0 29.2
0 0 0 0,2500 0 0 3.1
0,3333 0 0 0 0,5000 0 104.2
0,3333 0 0 0 0 0,5000 106.2
 
   
   
   
   
    
   
   

   

   
   
B
Sau khi tính toán ta thu được:
15,367
2,100
4,867
0,775
0,800
1,800
 
 
 
 
 
  
 
 
 
 
 
B
Phương trình hồi quy có dạng:
y = 15,367 + 2,1x1 + 4,867x2 + 0,775x1x2 + 0,8x1
2
+1,8x2
2
Kiểm tra tính tương thích của PTHQ:
1. Tổng bình phương:
n
th i i
i=1
S = (y - y )
 2
.2= 0,238.2 = 0,476
2. Bậc tự do phương sai tương thích:
fth = N – p = 9 – 6 = 3
QUY HOẠCH THỰC NGHIỆM BẬC 2 263
3. Phương sai tương thích:
2 th
th
th
S
s
f
 =
0,238
3
= 0,0793 = 0,1586
4. Phương sai tái hiện:
2
N
j
2
j 1
s
s {y} 0,16
N

 

5. Số bậc tự do của phương sai tái hiện:
N
y y
j 1
f f N(n 1) 9

   

6. Phương sai của các hệ số phương trình hồi quy được xác định theo
công thức (4.11):
2 2
i ii
s {b } c s {y}
  {0,088896; 0,026672; 0,026672; 0,04; 0,08; 0,08}
i
i
i
| b |
t
s{b }
  {51,54; 12,86; 29,8; 3,875; 2,83; 6,36}
So sánh với giá trị tra bảng tb theo tiêu chuẩn Student (Phụ lục 1):
Ta có ti > tb = 2,26 nên các hệ số đều có ý nghĩa.
7. Kiểm tra tính tương thích của phương trình hồi quy. đầu tiên xác
định hệ số Ftt
2
th
tt 2
s 0,0793
F 0,496
0,16
s {y}
  
Áp dụng tiêu chuẩn Fisher. Tương ứng mức ý nghĩa α = 0,05 và fth = 3
và fy = 9 (trong Phụ lục 2):
Fb = 8,81 > Ftt = 0,496 nên mô hình thu được là tương thích để mô tả
hiện tượng.
264 CHƯƠNG 6
Kết quả tính trên Minitab:
Response Surface Regression: Y versus A. B
Analysis of Variance (A = x1; B = x2)
Source DF Adj SS Adj MS F-Value P-Value
Model 5 180.458 36.092 431.18 0.000
Linear 2 169.963 84.982 1015.27 0.000
A 1 26.882 26.882 321.15 0.000
B 1 143.082 143.082 1709.38 0.000
Square 2 7.934 3.967 47.40 0.005
A*A 1 1.334 1.334 15.94 0.028
B*B 1 6.601 6.601 78.86 0.003
2-Way Interaction 1 2.560 2.560 30.58 0.012
A*B 1 2.560 2.560 30.58 0.012
Error 3 0.251 0.084
Total 8 180.709
Model Summary
S R-sq R-sq(adj) R-sq(pred)
0.289316 99.86% 99.63% 98.32%
Coded Coefficients
Term Coef SE Coef T-Value P-Value VIF
Constant 15.356 0.216 71.21 0.000
A 2.117 0.118 17.92 0.000 1.00
B 4.883 0.118 41.34 0.000 1.00
A*A 0.817 0.205 3.99 0.028 1.00
B*B 1.817 0.205 8.88 0.003 1.00
A*B 0.800 0.145 5.53 0.012 1.00
Regression Equation in Uncoded Units
Y = 15.356 + 2.117 A + 4.883 B + 0.817 A*A + 1.817 B*B + 0.800 A*B
6.7.2.Quy hoạch thực nghiệm bậc 2 cho 3 nhân tố dạng 3k
Sơ đồ bố trí các thí nghiệm 3 nhân tố (số thí nghiệm chính: N = 33
= 27)
trình bày trên Hình 6.22. Từ hình trên ta thấy rằng QHTN 3k
khi k = 3 bao
gồm quy hoạch FCCCD (các điểm góc và tâm mặt) và Box-Behnken với 3
nhân tố (các điểm tâm các cạnh).
QUY HOẠCH THỰC NGHIỆM BẬC 2 265
Hình 6.22 Các điểm thí nghiệm chính 3k
cho k = 3 nhân tố
Ví dụ 6.14 Quy hoạch thực nghiệm 3k
cho k = 3 nhân tố. Số thí nghiệm
chính N = 33
= 27; Số thí nghiệm lặp n = 2. Kết quả thực nghiệm cho
trong Bảng 6.50. Xác định phương trình hồi quy và phân tích kết quả.
Giải:
Bảng 6.50 Ma trận quy hoạch và kết quả thực nghiệm 3k
N x0 x1 x2 x3 x1 x2 x1 x3 x2x3 x1x2x3 x1
2
x2
2
x3
2
yj1 yj2
y ŷ
1 1 -1 -1 -1 1 1 1 -1 1 1 1 6,22 5,78 6 6,1
2 1 -1 -1 0 1 0 0 0 1 1 0 8,34 8,26 8,3 8,2
3 1 -1 -1 1 1 -1 -1 1 1 1 1 14,22 12,78 13,5 13,9
4 1 -1 0 -1 0 1 0 0 1 0 1 11,56 12,44 12 11,8
5 1 -1 0 0 0 0 0 0 1 0 0 13,96 15,04 14,5 14
6 1 -1 0 1 0 -1 0 0 1 0 1 19,96 19,04 19,5 19,8
7 1 -1 1 -1 -1 1 -1 1 1 1 1 22,32 23,08 22,7 22,5
8 1 -1 1 0 -1 0 0 0 1 1 0 24,6 24,4 24,5 24,8
9 1 -1 1 1 -1 -1 1 -1 1 1 1 29,58 31,42 30,5 30,7
10 1 0 -1 -1 0 0 1 0 0 1 1 9,22 8,58 8,9 8,8
11 1 0 -1 0 0 0 0 0 0 1 0 12 11 11,5 11
266 CHƯƠNG 6
12 1 0 -1 1 0 0 -1 0 0 1 1 16,57 16,23 16,4 16,8
13 1 0 0 -1 0 0 0 0 0 0 1 15,52 14,48 15 15,2
14 1 0 0 0 0 0 0 0 0 0 0 17,21 18,35 17,78 18
15 1 0 0 1 0 0 0 0 0 0 1 23,98 24,26 24,12 24,4
16 1 0 1 -1 0 0 -1 0 0 1 1 26,1 26,7 26,4 26,6
17 1 0 1 0 0 0 0 0 0 1 0 28,8 30,2 29,5 30
18 1 0 1 1 0 0 1 0 0 1 1 37,12 37,28 37,2 37
19 1 1 -1 -1 -1 -1 1 1 1 1 1 15,33 15,07 15,2 15,5
20 1 1 -1 0 -1 0 0 0 1 1 0 17,92 17,44 17,68 17,8
21 1 1 -1 1 -1 1 -1 -1 1 1 1 24 23,32 23,66 23,7
22 1 1 0 -1 0 -1 0 0 1 0 1 22,22 22,68 22,45 22,6
23 1 1 0 0 0 0 0 0 1 0 0 25,45 26,15 25,8 26
24 1 1 0 1 0 1 0 0 1 0 1 32,8 33,4 33,1 33
25 1 1 1 -1 1 -1 -1 -1 1 1 1 34,5 34,86 34,68 34,7
26 1 1 1 0 1 0 0 0 1 1 0 39 39,5 39,25 39,2
27 1 1 1 1 1 1 1 1 1 1 1 46,9 47,5 47,2 47,3
với: y là giá trị tính từ phương trình hồi quy.
Ma trận để xác định hệ số phương trình hồi quy:
   
-1
T T
B= X X X Y
 
0,2593 0 0 0 0 0 0 0 0,1111 0,1111 0,1111
0 0,0556 0 0 0 0 0 0 0 0 0
0 0 0,0556 0 0 0 0 0 0 0 0
0 0 0 0,0556 0 0 0 0 0 0 0
0 0 0 0 0,0833 0 0 0 0 0 0
0 0 0 0 0 0,0833 0 0 0 0 0
0 0 0 0 0 0 0,0833 0 0 0 0
0 0 0 0 0 0 0 0,1250 0 0 0
0,1111 0 0 0 0 0 0 0 0,1667 0 0
0,1111 0 0 0 0 0 0 0 0 0,1667 0
0,1111




-1
T
X X
0 0 0 0 0 0 0 0 0 0,1667
 
 
 
 
 
 
 
 
 
 
 
 
 
 
 
 
 
 
Hệ số phương trình được xác định
QUY HOẠCH THỰC NGHIỆM BẬC 2 267
   
17,9607
5,9733
9,4883
4,5472
1,2242
0,7358
0,6383
0,4700
2,0511
2,4761
1,7161
 
 
 
 
 
 
 
 
 

 
 
 
 
 
 
 
 
 
-1
T T
B= X X X Y
Phương trình hồi quy có dạng:
1 2 3 1 2 1 3
2 2 2
2 3 1 2 3 1 2 3
y 17,96 5,97x 9,48x 4,55x 1,22x x 0,74x x
0,64x x 0,47x x x 2,05x 2,48x 1,72x
     
    
Kiểm tra tính tương thích của PTHQ:
1. Tổng bình phương:
n
th i i
i=1
S = (y - y )
 2
= 5,0008
2. Bậc tự do phương sai tương thích:
fth = N – p = 27 – 11 = 16
3. Phương sai tương thích:
2 th
th
th
S
s
f
 =
5,0008
0,313
16

4. Phương sai tái hiện
2
N
j
2
j 1
s
s {y} 0,333
N

 

5. Số bậc tự do của phương sai tái hiện
N
y y
j 1
f f N(n 1) 27

   

268 CHƯƠNG 6
6. Phương sai của các hệ số phương trình hồi quy (theo công thức 4.11).
2 2
i ii
s {b } c s {y}
  {0,086347; 0,018515; 0,018515; 0,018515;
0,027739; 0,027739; 0,027739; 0,041625; 0,055511; 0,055511; 0,055511}
i
i
i
| b |
t
s{b }
  {61,12233; 43,89902; 69,73148; 33,41831; 7,350346;
4,417893; 3,832483; 2,303672; 8,705564; 10,50941; 7,28371}
So sánh với giá trị tra bảng tb theo tiêu chuẩn Student ta có ti < tb = 2,05
nên các hệ số đều có ý nghĩa.
7. Kiểm tra tính tương thích của phương trình hồi quy:
2
th
tt 2
s
F
s {y}
  0,313 / 0,333 = 0,94
Áp dụng tiêu chuẩn Fisher, tương ứng mức giá trị α = 0,05 và fth = 16
và fy = 27 ta được (theo Phụ lục 2) Fb = 2,19 > Ft = 0,94 nên mô hình thu được
là tương thích.
Kết quả tính trên Minitab:
Response Surface Regression: Y versus x1, x2, x3
Analysis of Variance
Source DF Adj SS Adj MS F-Value P-Value
Model 9 2744.02 304.89 1690.97 0.000
Linear 3 2634.96 878.32 4871.27 0.000
x1 1 642.25 642.25 3562.02 0.000
x2 1 1620.51 1620.51 8987.57 0.000
x3 1 372.19 372.19 2064.21 0.000
Square 3 79.70 26.57 147.34 0.000
x1*x1 1 25.24 25.24 140.00 0.000
x2*x2 1 36.79 36.79 204.02 0.000
x3*x3 1 17.67 17.67 98.00 0.000
2-Way Interaction 3 29.37 9.79 54.30 0.000
x1*x2 1 17.98 17.98 99.74 0.000
x1*x3 1 6.50 6.50 36.04 0.000
x2*x3 1 4.89 4.89 27.12 0.000
Error 17 3.07 0.18
Total 26 2747.09
Model Summary
S R-sq R-sq(adj) R-sq(pred)
0.424625 99.89% 99.83% 99.62%
QUY HOẠCH THỰC NGHIỆM BẬC 2 269
Coded Coefficients
Term Coef SE Coef T-Value P-Value VIF
Constant 17.961 0.216 83.07 0.000
x1 5.973 0.100 59.68 0.000 1.00
x2 9.488 0.100 94.80 0.000 1.00
x3 4.547 0.100 45.43 0.000 1.00
x1*x1 2.051 0.173 11.83 0.000 1.00
x2*x2 2.476 0.173 14.28 0.000 1.00
x3*x3 1.716 0.173 9.90 0.000 1.00
x1*x2 1.224 0.123 9.99 0.000 1.00
x1*x3 0.736 0.123 6.00 0.000 1.00
x2*x3 0.638 0.123 5.21 0.000 1.00
Regression Equation in Uncoded Units
Y = 17.961 + 5.973 x1 + 9.488 x2 + 4.547 x3 + 2.051 x1*x1
+ 2.476 x2*x2 + 1.716 x3*x3 + 1.224 x1*x2 + 0.736 x1*x3
+ 0.638 x2*x3
So sánh 3k với quy hoạch FCCCD và Box- Behnken
Từ ma trận quy hoạch 33
với N = 27 thí nghiệm chính theo Hình 6.22
ta phân tích thành quy hoạch FCCCD (các đỉnh và tâm mặt) với N1=14 thí
nghiệm chính và quy hoạch Box- Behnken (các điểm giữa cạnh và ở tâm
khối) gồm N2 = 13 thí nghiệm chính.
Quy hoạch FCCCD
Quy hoạch FCCCD gồm N1 = 14 thí nghiệm chính theo đánh số thí
nghiệm cột thứ hai của quy hoạch 3k
(Bảng 6.51).
Bảng 6.51 Ma trận quy hoạch FCCCD gồm N1 = 14 thí nghiệm chính
N1 3k
x0 x1 x2 x3 x1x2 x1x3 x2x3 x1
2
x2
2
x3
2
yj1 yj2 y ŷ
1 27 1 -1 -1 -1 1 1 1 1 1 1 6,22 5,78 6 6,1
2 9 1 1 -1 -1 -1 -1 1 1 1 1 15,33 15,07 15,2 15,5
3 21 1 -1 1 -1 -1 1 -1 1 1 1 22,32 23,08 22,7 22,5
4 3 1 1 1 -1 1 -1 -1 1 1 1 34,5 34,86 34,68 34,7
5 25 1 -1 -1 1 1 -1 -1 1 1 1 14,22 12,78 13,5 13,9
6 7 1 1 -1 1 -1 1 -1 1 1 1 24 23,32 23,66 23,7
7 19 1 -1 1 1 -1 -1 1 1 1 1 29,58 31,42 30,5 30,7
8 1 1 1 1 1 1 1 1 1 1 1 46,9 47,5 47,2 47,3
9 23 1 -1 0 0 0 0 0 1 0 0 13,96 15,04 14,5 14
10 5 1 1 0 0 0 0 0 1 0 0 25,45 26,15 25,8 26
11 17 1 0 -1 0 0 0 0 0 1 0 12 11 11,5 11
12 11 1 0 1 0 0 0 0 0 1 0 28,8 30,2 29,5 30
13 15 1 0 0 -1 0 0 0 0 0 1 15,52 14,48 15 15,2
14 13 1 0 0 1 0 0 0 0 0 1 23,98 24,26 24,12 24,4
270 CHƯƠNG 6
Kết quả trên Minitab quy hoạch FCCCD cho 14 thí nghiệm đầu tiên:
Response Surface Regression: Y versus x1, x2, x3
Analysis of Variance
Source DF Adj SS Adj MS F-Value P-Value
Model 9 3063.03 340.34 529.62 0.000
Linear 3 2910.85 970.28 1509.94 0.000
x1 1 704.25 704.25 1095.93 0.000
x2 1 1794.38 1794.38 2792.37 0.000
x3 1 412.23 412.23 641.51 0.000
Square 3 117.64 39.21 61.02 0.000
x1*x1 1 22.44 22.44 34.92 0.000
x2*x2 1 30.40 30.40 47.31 0.000
x3*x3 1 11.75 11.75 18.29 0.000
2-Way Interaction 3 34.53 11.51 17.91 0.000
x1*x2 1 21.72 21.72 33.79 0.000
x1*x3 1 8.07 8.07 12.55 0.002
x2*x3 1 4.75 4.75 7.40 0.014
Error 18 11.57 0.64
Lack-of-Fit 4 5.05 1.26 2.72 0.073
Pure Error 14 6.51 0.47
Total 27 3074.59
Model Summary
S R-sq R-sq(adj) R-sq(pred)
0.801623 99.62% 99.44% 99.05%
Coded Coefficients
Term Coef SE Coef T-Value P-Value VIF
Constant 18.015 0.361 49.86 0.000
x1 5.934 0.179 33.10 0.000 1.00
x2 9.472 0.179 52.84 0.000 1.00
x3 4.540 0.179 25.33 0.000 1.00
x1*x1 2.135 0.361 5.91 0.000 1.16
x2*x2 2.485 0.361 6.88 0.000 1.16
x3*x3 1.545 0.361 4.28 0.000 1.16
x1*x2 1.165 0.200 5.81 0.000 1.00
x1*x3 0.710 0.200 3.54 0.002 1.00
x2*x3 0.545 0.200 2.72 0.014 1.00
Regression Equation in Uncoded Units
Y = 18.015 + 5.934 x1 + 9.472 x2 + 4.540 x3 + 2.135 x1*x1
+ 2.485 x2*x2 + 1.545 x3*x3
+ 1.165 x1*x2 + 0.710 x1*x3 + 0.545 x2*x3
Box-Behnken (BBD)
Quy hoạch FCCCD gồm N2 = 14 thí nghiệm chính theo số thí nghiệm
cột thứ hai của quy hoạch 3k
(Bảng 6.52).
QUY HOẠCH THỰC NGHIỆM BẬC 2 271
Bảng 6.52 Ma trận quy hoạch Box- Behnken gồm N2=13 thí nghiệm chính
N2 3k x0 x1 x2 x3 x1x2 x1x3 x2x3 x1
2
x2
2
x3
2
yj1 yj2 y ŷ
1 26 1 -1 -1 0 1 0 0 1 1 0 8,34 8,26 8,3 10,7437
2 8 1 1 -1 0 -1 0 0 1 1 0 17,92 17,44 17,68 20,1037
3 20 1 -1 1 0 -1 0 0 1 1 0 24,6 24,4 24,5 22,0763
4 2 1 1 1 0 1 0 0 1 1 0 39 39,5 39,25 36,8063
5 24 1 -1 0 -1 0 1 0 1 0 1 11,56 12,44 12 9,4712
6 6 1 1 0 -1 0 -1 0 1 0 1 22,22 22,68 22,45 19,9412
7 22 1 -1 0 1 0 -1 0 1 0 1 19,96 19,04 19,5 22,0087
8 4 1 1 0 1 0 1 0 1 0 1 32,8 33,4 33,1 35,6288
9 18 1 0 -1 -1 0 0 1 0 1 1 9,22 8,58 8,9 8,9850
10 16 1 0 -1 1 0 0 -1 0 1 1 16,57 16,23 16,4 21,3525
11 12 1 0 1 -1 0 0 -1 0 1 1 26,1 26,7 26,4 21,4475
12 10 1 0 1 1 0 0 1 0 1 1 37,12 37,28 37,2 37,1150
13 14 1 0 0 0 0 0 0 0 0 0 17,21 18,35 17,78 17,7800
Kết quả trên Minitab quy hoạch Box-Behnken Design cho 13 thí nghiệm:
Response Surface Regression: Y versus x1, x2, x3
Analysis of Variance
Source DF Adj SS Adj MS F-Value P-Value
Model 9 2224.74 247.194 19.90 0.000
Linear 3 2162.94 720.980 58.04 0.000
x1 1 580.33 580.328 46.72 0.000
x2 1 785.96 785.961 63.27 0.000
x3 1 796.65 796.651 64.14 0.000
Square 3 36.98 12.326 0.99 0.422
x1*x1 1 20.06 20.064 1.62 0.222
x2*x2 1 29.90 29.901 2.41 0.140
x3*x3 1 16.29 16.286 1.31 0.269
2-Way Interaction 3 24.82 8.275 0.67 0.585
x1*x2 1 14.42 14.418 1.16 0.297
x1*x3 1 4.96 4.961 0.40 0.536
x2*x3 1 5.44 5.445 0.44 0.517
Error 16 198.74 12.421
Lack-of-Fit 3 196.28 65.426 345.07 0.000
Pure Error 13 2.46 0.190
Total 25 2423.48
272 CHƯƠNG 6
Model Summary
S R-sq R-sq(adj) R-sq(pred)
3.52440 91.80% 87.19% 78.97%
Coded Coefficients
Term Coef SE Coef T-Value P-Value VIF
Constant 17.78 2.49 7.13 0.000
x1 6.022 0.881 6.84 0.000 1.00
x2 7.009 0.881 7.95 0.000 1.00
x3 7.056 0.881 8.01 0.000 1.00
x1*x1 2.10 1.65 1.27 0.222 1.35
x2*x2 2.56 1.65 1.55 0.140 1.35
x3*x3 1.89 1.65 1.15 0.269 1.35
x1*x2 1.34 1.25 1.08 0.297 1.00
x1*x3 0.79 1.25 0.63 0.536 1.00
x2*x3 0.82 1.25 0.66 0.517 1.00
Regression Equation in Uncoded Units
Y = 17.78 + 6.022 x1 + 7.009 x2 + 7.056 x3 + 2.10 x1*x1 + 2.56 x2*x2
+ 1.89 x3*x3
+ 1.34 x1*x2 + 0.79 x1*x3 + 0.82 x2*x3
So sánh kết quả tính với các hệ số cho trong Bảng 6.53, và kết quả
không có sự sai lệch không đáng kể, tuy nhiên số thí nghiệm chính theo
FCCCD và BBD giảm đáng kể.
Bảng 6.53
Hệ số b0 b1 b2 b3 b12 b13 b23 b11 b22 b33
3k
17,96 5,97 9,48 4,55 1,22 0,74 0,64 2,05 2,48 1,72
FCCCD 18,015 5,934 9,472 4,540 1,165 0,71 0,545 2,135 2,485 1,545
BBD 17,78 6,022 7,009 7,056 1,34 0,79 0,82 2,10 2,56 1,89
6.7.3. Quy hoạch thực nghiệm bậc 2 cho 4 nhân tố dạng 3k-1
Khi số nhân tố k ≥ 3 ta sử dụng quy hoạch nhân tố riêng phần 3k-p
(L27). Ví dụ ma trận quy hoạch và kết quả thực nghiệm trong trường hợp 4
nhân tố có dạng như Bảng 6.54.
QUY HOẠCH THỰC NGHIỆM BẬC 2 273
Bảng 6.54
N x0 x1 x2 x3 x4 x1x2 x1x3 x1x4 x2x3 x2x4 x3x4 x1
2
x2
2
x3
2 x4
2 y ŷ
1 1 -1 -1 -1 -1 1 1 1 1 -1 1 1 1 1 1 6 6,1
2 1 -1 -1 0 0 1 0 0 0 0 0 1 1 0 0 8,3 8,2
3 1 -1 -1 1 1 1 -1 -1 -1 1 1 1 1 1 1 13,5 13,9
4 1 -1 0 -1 1 0 1 -1 0 0 -1 1 0 1 1 12 11,8
5 1 -1 0 0 -1 0 0 0 0 0 0 1 0 0 1 14,5 14
6 1 -1 0 1 0 0 -1 1 0 0 0 1 0 1 0 19,5 19,8
7 1 -1 1 -1 0 -1 1 -1 -1 1 0 1 1 1 0 22,7 22,5
8 1 -1 1 0 1 -1 0 0 0 0 0 1 1 0 1 24,5 24,8
9 1 -1 1 1 -1 -1 -1 1 1 -1 -1 1 1 1 1 30,5 30,7
10 1 0 -1 -1 1 0 0 0 1 0 -1 0 1 1 1 8,9 8,8
11 1 0 -1 0 -1 0 0 0 0 0 0 0 1 0 1 11,5 11
12 1 0 -1 1 0 0 0 0 -1 0 0 0 1 1 0 16,4 16,8
13 1 0 0 -1 0 0 0 0 0 0 0 0 0 1 0 15 15,2
14 1 0 0 0 1 0 0 0 0 0 0 0 0 0 1 17,78 18
15 1 0 0 1 -1 0 0 0 0 0 -1 0 0 1 1 24,12 24,4
16 1 0 1 -1 -1 0 0 0 -1 0 1 0 1 1 1 26,4 26,6
17 1 0 1 0 0 0 0 0 0 0 0 0 1 0 0 29,5 30
18 1 0 1 1 1 0 0 0 1 0 1 0 1 1 1 37,2 37
19 1 1 -1 -1 0 -1 -1 0 1 1 0 1 1 -1 0 15,2 15,5
20 1 1 -1 0 1 -1 0 1 0 0 1 1 1 0 1 17,68 17,8
21 1 1 -1 1 -1 -1 1 -1 -1 -1 -1 1 1 1 1 23,66 23,7
22 1 1 0 -1 -1 0 -1 -1 0 0 1 1 0 -1 1 22,45 22,6
23 1 1 0 0 0 0 0 0 0 0 0 1 0 0 0 25,8 26
24 1 1 0 1 1 0 1 1 0 0 1 1 0 1 1 33,1 33
25 1 1 1 -1 1 1 -1 1 -1 -1 -1 1 1 -1 1 34,68 34,7
26 1 1 1 0 -1 1 0 -1 0 0 0 1 1 0 -1 39,25 39,2
27 1 1 1 1 0 1 1 0 1 1 0 1 1 1 0 47,2 47,3
6.8. XÁC ĐỊNH SỐ THÍ NGHIỆM LẶP TỪ ĐỘ CHÍNH XÁC CHO
TRƯỚC PHƯƠNG TRÌNH HỒI QUY
Như ta đã khảo sát tại Chương 2 số thí nghiệm lặp n cho mỗi loạt thí
nghiệm chính )
s
t
n
( 2
2
2

 . Tuy nhiên, khi xác định theo công thức này ta
chưa tính đến độ chính xác và dạng phương trình hồi quy.
274 CHƯƠNG 6
Giả sử sự phụ thuộc đại lượng đầu ra đối tượng nghiên cứu )
x
(
y

và
sự thay đổi các nhân tố xác định theo công thức:
m
o i i
i 1
y(x) b b f (x)

   (6.29)
trong đó: x là vectơ mà thành phần là các nhân tố thay đổi, x = (x1, x2,..., xk)T
Giả sử ta chọn QHTN có N các loạt thí nghiệm chính (không tính thí
nghiệm lặp). Ta khảo sát cho trường hợp không có thí nghiệm lặp. Khi đó
ma trận cơ sở có dạng:
X


































)
x
(
f
)
x
(
f
)
x
(
f
)
x
(
f
)
x
(
f
)
x
(
f
)
x
(
f
)
x
(
f
)
x
(
f
)
x
(
f
)
x
(
f
)
x
(
f
X
N
m
N
2
N
1
2
m
2
2
2
1
1
m
1
2
1
1
N
T
2
T
1
T








(6.30)
Ma trận mômen có dạng:
M = XTX (6.31)
Giả sử ta có mỗi thí nghiệm chính trong quy hoạch được lặp n lần. Khi
đó M = XTPX, trong đó P = nE với E là ma trận đơn vị.
Từ đây:
M = n XTX (6.32)
Khi đánh giá độ chính xác thực nghiệm nhà nghiên cứu quan tâm đến
giá trị của đại lượng đầu ra tính theo phương trình hồi quy gần với giá trị
trung bình đáp ứng theo một điểm o
x nào đó. Thí nghiệm lặp thực hiện tại
điểm này.
Khoảng tin cậy với giá trị trung bình từ n thí nghiệm lặp tại điểm o
x
bằng:
T 1 T 1
0 b 0 0 0 b 0 0
1 1
ˆ ˆ
y(x ) t f (x )M f (x )s{y},y(x ) t f (x )n f (x )s{y}
n n
 
 
   
 
 
(6.33)
trong đó tb là giá trị tra bảng tiêu chuẩn student với mức giá trị α và số bậc
tự do fy, liên quan đến phương sai tái hiện }
y
{
s2
.
QUY HOẠCH THỰC NGHIỆM BẬC 2 275
Sai số tương đối đáp ứng, tính theo phương trình hồi quy tại điểm xo
từ giá trị trung bình theo n thí nghiệm lặp, không vượt quá giá trị . Khi đó:
T 1
b o o o
1
t f (x )M f (x ) s{y} y(x )
n

 
  
 
 
(6.34)
Từ công thức (6.34) ta xác định số quan sát n cần thiết trong mỗi loạt
thí nghiệm. Khó khăn nhất là tính biểu thức:
)
x
(
f
M
)
x
(
f o
1
o
T 
Đặt: x
d
)
x
(
f
)
X
X
)(
x
(
f
d 1
T
T
tb 

 (6.35)
trong đó dtb là phương sai trung bình các giá trị hàm hồi quy theo miền
QHTN. Từ đây:
nN
d
)
x
(
f
M
)
x
(
f tb
1
T


(6.36)
Giả sử đại lượng y thu được như là giá trị trung bình theo kết quả loạt
thí nghiệm riêng lẻ gồm m thí nghiệm lặp và s{y} – ước lượng độ lệch
chuẩn tính theo loạt thí nghiệm trên. Khi đó fy = m – 1.
Đặt )
x
(
y o

= y và
nN
d
)
x
(
f
M
)
x
(
f tb
o
o
T

 vào công thức (6.34), ta có:
  y
}
y
{
s
nN
/
)
d
N
(
t tb
b 

 (6.37)
Từ đây:
N
y
/
)
d
N
}(
y
{
s
t
n 2
2
tb
2
2
b 

 (6.38)
Như thế, để xác định n cần phải biết giá trị trung bình y (mx) theo
loạt m thí nghiệm riêng lẻ và phương sai }
y
{
s2
, số thí nghiệm chính N và
đại lượng dtb với QHTN đã chọn và khoảng tin cậy p = 1 – α và sai lệch
tương đối  của đại lượng y với các giá trị tính toán của đáp ứng.
Giá trị Student tra bảng tb được xác định theo mức ý nghĩa, bằng α = 1 – p,
với số bậc tự do fy = m – 1 (Phụ lục 1). Giá trị N và dtb được cho trong Bảng
6.55 phụ thuộc vào dạng QHTN.
276 CHƯƠNG 6
Bảng 6.55
Dạng quy hoạch Số nhân tố k N dtb
Quy hoạch FCCCD
(dạng B)
2
3
4
5 (TNT)
5 (TNR)
8
14
24
42
25
5,96
5,83
8,54
14,1
10,8
Quy hoạch quay đều 2
3
4
5 (TNT)
5 (TNR)
13
20
31
52
32
4,14
7,24
10,6
17,8
17,2
Ví dụ 6.15 Khi nghiên cứu công riêng để tính công suất cắt quá trình phay
gỗ, ta sử dụng quy hoạch FCCCD với 3 nhân tố. Để xác định số thí nghiệm
lặp n ta tiến hành loạt 50 thí nghiệm, kết quả cho trong Bảng 6.56. Chọn
khoảng tin cậy p = 0,95 và sai lệch tương đối  = 0,05. Tìm số nghiệm lặp n.
Bảng 6.56 Bảng giá trị 50 thí nghiệm
N
Giá
trị
N
Giá
trị
N
Giá
trị
N Giá trị N
Giá
trị
1 33,2 11 35,3 21 31 31 33,2 41 33,1
2 33,6 12 33,6 22 30 32 33,6 42 33,3
3 31,5 13 32,3 23 32,4 33 34,2 43 33,4
4 33,6 14 32,7 24 33,7 34 30,2 44 33,0
5 33,2 15 33,6 25 34,3 35 32,2 45 34,1
6 34,4 16 34,9 26 32,1 36 32,8 46 33,6
7 34,4 17 32,3 27 33,5 37 34,2 47 32,9
8 31,0 18 36,2 28 30,5 38 31,6 48 34,2
9 34,4 19 31,0 29 32,5 39 32,3 49 32,8
10 35,2 20 33,6 30 32,5 40 33,6 50 33,2
Giải:
Sử dụng Minitab tính giá trị trung bình và phương sai (Hình 6.23). Theo
kết quả tính ta có phương sai s2
{y}=1,312
và giá trị trung bình y = 33,08 từ
kết quả 50 thí nghiệm.
QUY HOẠCH THỰC NGHIỆM BẬC 2 277
36.0
34.8
33.6
32.4
31.2
30.0
12
10
8
6
4
2
0
Mean 33.08
StDev 1.310
N 50
x
Frequency
Histogram (with Normal Curve) of x
Hình 6.23
Khi f = 40 – 1 = 39, nếu p = 0,95 thì mức giá trị α = 0,05. Theo Phụ
lục 1 ta có giá trị tra bảng tb = 2,02.
Nếu sử dụng quy hoạch FCCCD với 3 nhân tố thì số thí nghiệm chính
N = 14, theo Bảng 6.30 ta chọn dtb = 5,83.
Thay thế các giá trị thu được vào công thức (6.38) ta có:
N
y
/
)
d
N
}(
y
{
s
t
n 2
2
tb
2
2
b 


= 2,022
.1,312
(14+5,83)/(0,05)2
.33,082
.14) = 3,95
Do đó ta chọn số thí nghiệm lặp là n = 4 để thực nghiệm xác định
công riêng quá trình phay gỗ.
6.9. PHÂN TÍCH MẶT ĐÁP ỨNG
Sau khi thu được phương trình hồi quy ta tiến hành phân tích phương
trình, ta có thể biểu diễn chúng dưới dạng hình học gọi là bề mặt đáp ứng.
Trường hợp hai nhân tố, các mặt đáp ứng có dạng như Hình 6.24.
Hình 6.24
278 CHƯƠNG 6
Trường hợp ba nhân tố, các mặt đáp ứng có dạng như Hình 6.25.
Hình 6.25. Một số hình dạng mặt đáp ứng từ mô hình phương trình hồi quy
bậc 2 với 2 nhân tố: a) maximum; b) plateau; c) maximum nằm ngoài miền
giá trị; d) minimum; e) mặt yên ngựa (saddle surfaces)
Từ phương trình hồi quy thu được ta có thể tìm giá trị tối ưu theo các
giá trị nhân tố. Phát biểu bài toán tối ưu và các phương pháp giải được trình
bày trong các Chương 10 đến Chương 13.
Dưới đây là bảng so sánh số thí nghiệm của các dạng quy họach khác
nhau cho các trường hợp 2 đến 7 nhân tố.
QUY HOẠCH THỰC NGHIỆM BẬC 2 279
Bảng 6.57
Số nhân
tố
Dạng
FCCCD
Quay
đều
Trực giao Box -
Behnken
3k
Dạng D
2 8 13 8 + (1-10) 9 9
3 14 20 14+ (1-10) 15 27 13
4 24 31 24+ (1-10) 27 27 42
5 26 (42) 32 (42) 26 (42) + (1-10) 46 50
6 44 (76) 53 (91) 44 (76) + (1-10) 54 66
7 78 (144) 92 (163) 78 (144) + (1-10) 62
6.10. QUY HOẠCH THỰC NGHIỆM BẬC 2 TRONG THIẾT KẾ
Thông thường trong thiết kế tối ưu đối với các bài toán có hàm phức
tạp thông thường thay thế bằng các hàm đa thức. Trong Chương 5 đã trình
bày thay thế bằng hàm bậc 1. Trong mục này trình bày thay thế hàm phức
tạp bằng đa thức bậc 2.
Giải bài toán ví dụ Chương 5 với thay thế hàm dưới đây bằng
phương trình hồi quy bậc 2:
2 2
2 2 2 3 2 2
r r
3
32
b F 0,75T 10 1152,81F 0,10674166T
d

    

Ta tiến hành thực nghiệm theo phương án quy hoạch dạng FCCCD
với ma trận quy hoạch 2 nhân tố theo Bảng 6.58.
Bảng 6.58 Ma trận quy hoạch 2 nhân tố
N
Các nhân tố
tự nhiên
Các nhân tố trong hệ
mã hóa
Ứng suất

Fr2 T x0 x1 x2 x1x2
1 554,4 126966 +1 -1 -1 +1 45,552623
2 1029,6 126966 +1 +1 -1 -1 54,247405
3 554,4 235794 +1 -1 +1 -1 79,303444
4 1029,6 235794 +1 +1 +1 +1 84,597729
5 554,4 181380 +1 -1 0 0 62,177080
6 1029,6 181380 +1 +1 0 0 68,802098
7 792 126966 +1 0 -1 0 49,435117
8 792 235794 +1 0 +1 0 81,595499
280 CHƯƠNG 6
Xác định các hệ số phương trình hồi quy theo ma trận hoặc theo các
công thức sau:
N K N
2
0 1 j 2 ij j
j 1 i 1 j 1
b T y T x y 65,079597
  
  
 
N
1 3 1j j
j 1
b T x y 3,435749476

 

N
2 3 2j j
j 1
b T x y 16,043908847

 

N
12 6 1j 2j j
j 1
b T x x y 0,85012426936

 

N k N N
2 2
11 4 1j j 5 ij j 2 j
j 1 i 1 j 1 i 1
b T x y T x y T y 0,4099922641
   
   
  
N k N N
2 2
22 4 2j j 5 ij j 2 j
j 1 i 1 j 1 i 1
b T x y T x y T y 0,4357112220
   
   
  
Phương trình hồi quy bậc 2 có dạng:
y = 65,079597 + 3,435749476x1+ 16,043908847x2
+ 0,85012426936 x1x2 + 0,4099922641x1
2
+ 0,435711222 x2
2
Thay các giá trị mã hóa vào phương trình trên ta được:
 = 0,098283 + 0,01488306Fr2 + 0,00029354T
+ 0,0000072624
2
2
r
F + 0,0000000001T2
– 0,00000006575 2
r
F T
Tính trên Minitab:
Response Surface Regression: Y versus A. B
Analysis of Variance (A = x1; B = x2)
Source DF Adj SS Adj MS F-Value P-Value
Model 5 1618.45 323.69 13069.62 0.000
Linear 2 1615.20 807.60 32608.46 0.000
A 1 70.82 70.82 2859.63 0.000
B 1 1544.38 1544.38 62357.28 0.000
Square 2 0.36 0.18 7.23 0.121
A*A 1 0.22 0.22 9.05 0.095
B*B 1 0.25 0.25 10.22 0.085
2-Way Interaction 1 2.89 2.89 116.72 0.008
A*B 1 2.89 2.89 116.72 0.008
Error 2 0.05 0.02
QUY HOẠCH THỰC NGHIỆM BẬC 2 281
Total 7 1618.50
Model Summary
S R-sq R-sq(adj) R-sq(pred)
0.157374 100.00% 99.99% 99.94%
Coded Coefficients
Term Coef SE Coef T-Value P-Value VIF
Constant 65.080 0.176 369.88 0.000
A 3.4357 0.0642 53.48 0.000 1.00
B 16.0436 0.0642 249.71 0.000 1.00
A*A 0.410 0.136 3.01 0.095 1.13
B*B 0.436 0.136 3.20 0.085 1.13
A*B -0.8501 0.0787 -10.80 0.008 1.00
Regression Equation in Uncoded Units
Y = 0.10 + 0.01488 Fr2 + 0.000294 T + 0.000007 Fr2*Fr2
+ 0.000000 T*T - 0.000000 Fr2*T
6.11. SỬ DỤNG MINITAB TRONG QUY HOẠCH THỰC NGHIỆM
BẬC 2
Ví dụ 6.16 Nghiên cứu phụ thuộc công suất cắt P khi phay vật liệu vào vận
tốc cắt v (2 m/s  v  6 m/s) và độ tù mũi dao 0 (10 m  0  60 m). Ma
trận quy hoạch quay đều và kết quả thực nghiệm cho trong Bảng 6.59. Sử
dụng Minitab xử lý và phân tích kết quả.
Bảng 6.59
N
Giá trị mã hóa Giá trị tự nhiên Giá trị công
suất (kW)
x0 x1 x2 v (m/s) 0 (m)
1
2
3
4
+1
+1
+1
+1
+1
+1
-1
-1
+1
-1
+1
-1
?
?
?
?
?
?
?
?
3,254
0,886
1,586
0,474
5
6
7
8
+1
+1
+1
+1
+1,414
-1,414
0
0
0
0
+1,414
-1,414
6
6
2
2
60
10
60
10
1,525
0,055
3,540
1,080
9
10
11
12
13
+1
+1
+1
+1
1
0
0
0
0
0
0
0
0
0
0
4
4
4
4
4
35
35
35
35
35
1,875
1,775
1,675
1,975
1,800
282 CHƯƠNG 6
Thực hiện Minitab theo trình tự sau:
1. Create Response Surface Design.
Chọn dạng Quy hoạch theo trình tự: trên menu Stat chọn
DOE > Response Surface > Create Response Surface Design
Hình 6.26
Trên hộp thoại Create Response Surface Design, chọn dạng quy
hoạch là hỗn hợp bằng cách chọn nút Central composite. Chọn số nhân tố
trên Number of continuous factors:, trong ví dụ này ta chọn 2.
Hình 6.27
Chọn nút Display Available Designs, và trên hộp thoại cùng tên ta chọn
ma trận quy hoạch và nhấp OK.
QUY HOẠCH THỰC NGHIỆM BẬC 2 283
Hình 6.28
Chọn nút Design…và trên hộp thoại Create Response Surface
Design: Designs ta chọn ma trận quy hoạch và các thông số tương ứng.
Trong trường hợp này chọn 13. Chú ý:
- Number of center point: Số thí nghiệm ở tâm (no), nếu nuốn nhập
vào chọn nút Custom và nhập số thí nghiệm ở tâm. Còn không
nhập sẽ chọn mặc định (Defaut).
- Value of Alpha: - Nhập giá trị α
+ Trường hợp sử dụng dạng quay đều với các thí nghiệm ở nhân là
thực nghiệm nhân tố toàn phần (2k
) thì chọn Default.
+ Trường hợp sử dụng quy hoạch dạng FCCCD thì chọn Face
Center.
+ Trường hợp sử dụng quy hoạch trực giao dạng quay đều hoặc
quay đều với các thí nghiệm ở nhân là thực nghiệm nhân tố
riêng phần (2k-p’
) thì chọn Custom và nhập giá trị α vào.
- Number of replicate: Nhập số thí nghiệm lặp n của mỗi thí nghiệm
chính. Tùy vào số n mà số hàng trong worksheet tăng lên n lần, và
lần lượt nhập kết quả tất cả lần lặp vào.
284 CHƯƠNG 6
Hình 6.29
Chọn nút Factors… và trên hộp thoại Create Response Surface
Design: Factors chọn Level Define (theo Cube point – đỉnh hoặc theo trục
Axial points). Nhập tên các nhân tố vào cột Name, cũng như các mức giá trị
nhỏ nhất (Low) và lớn nhất (High).
Hình 6.30
Chọn nút Options… và trên hộp thoại Create Response Surface
Design: Options ta bỏ chọn nút Randomize Runs. Để lưu ma trận quy
hoạch trên wooksheet ta chọn nút Store design in worksheet.
QUY HOẠCH THỰC NGHIỆM BẬC 2 285
Hình 6.31
Chọn nút Results và trên hộp thoại Create Response Surface Design:
Results chọn các lựa chọn để ma trận quy hoạch hiển thị trên wooksheet.
Hình 6.32
Nhấp OK trên các hộp thoại và nhập giá trị kết quả thí nghiệm vào cột
P ta có ma trận quy hoạch sau:
Hình 6.33
286 CHƯƠNG 6
2. Define Custom Factorial Design… trong các trường hợp ta cần
nhập Ma trận quy hoạch theo nhu cầu vào ta chọn nút này.
Từ Stat menu chọn DOE > Factorial > Define Factorial Design…
Hình 6.34
Trên hộp thoại Define Custom Factorial Design, ta chọn các nhân tố
ma trận quy hoạch và chọn nút Select. Trong ví dụ này ta có 2 nhân tố x1 và
x2 sẽ được chuyển từ vùng bên trái qua vùng Factors.
Hình 6.35
QUY HOẠCH THỰC NGHIỆM BẬC 2 287
Chọn nút Low/High… và trên hộp thoại Define Custom Factorial
Design: Low/High ta nhập lần lượt các giá trị tự nhiên nhỏ nhất và lớn nhất
các nhân tố.
Hình 6.36
Nhấp Ok.
3. Analyse Factorial Design… Xử lý và phân tích kết quả thực
nghiệm. Từ Stat menu chọn DOE > Factorial > Analyse Factorial Design
Hình 6.37
288 CHƯƠNG 6
Trên hộp thoại Analyse Factorial Design ta chọn thông số đầu ra và
chọn Select.
Hình 6.38
Ta nhập các cột kết quả tương ứng vào và chọn sẽ phân tích phương sai.
- Chọn nút Terms và trên hộp thoại Analyse Factorial Design:
Terms chọn các hệ số phương trình hồi quy.
Hình 6.39
- Chọn nút Stepwise… và trên hộp thoại Analyse Factorial Design:
QUY HOẠCH THỰC NGHIỆM BẬC 2 289
Stepwise nếu muốn loại bỏ các hệ số không ý nghĩa thì chọn
Stepwise.
Hình 6.40
- Chọn nút Graphs… và trên hộp thoại Analyse Factorial Design:
Graphs chọn các đồ thị kết quả cần hiển thị.
Hình 6.41
290 CHƯƠNG 6
- Chọn nút Results… và trên hộp thoại Analyse Factorial Design:
Results chọn các kết quả cần hiển thị.
Hình 6.42
- Chọn nút Storage… và trên hộp thoại Analyse Factorial Design:
Storage chọn các kết quả cần xuất hiện trên worksheet.
Hình 6.43
QUY HOẠCH THỰC NGHIỆM BẬC 2 291
Sau khi chọn xong, nhấp Ok, sẽ xuất hiện các kết quả tương ứng:
Response Surface Regression: P versus x1, x2
Analysis of Variance
Source DF Adj SS Adj MS F-Value P-Value
Model 5 10.6545 2.13090 27.60 0.000
Linear 2 7.7254 3.86271 50.02 0.000
x1 1 3.8627 3.86266 50.02 0.000
x2 1 3.8628 3.86276 50.02 0.000
Square 2 2.5347 1.26735 16.41 0.002
x1*x1 1 1.8450 1.84504 23.89 0.002
x2*x2 1 0.4176 0.41757 5.41 0.053
2-Way Interaction 1 0.3944 0.39438 5.11 0.058
x1*x2 1 0.3944 0.39438 5.11 0.058
Error 7 0.5405 0.07722
Lack-of-Fit 3 0.4900 0.16334 12.94 0.016
Pure Error 4 0.0505 0.01263
Total 12 11.1950
Model Summary
S R-sq R-sq(adj) R-sq(pred)
0.277881 95.17% 91.72% 68.17%
Coded Coefficients
Term Coef SE Coef T-Value P-Value VIF
Constant 1.820 0.124 14.65 0.000
x1 -0.6949 0.0982 -7.07 0.000 1.00
x2 -0.6949 0.0982 -7.07 0.000 1.00
x1*x1 -0.515 0.105 -4.89 0.002 1.02
x2*x2 0.245 0.105 2.33 0.053 1.02
x1*x2 0.314 0.139 2.26 0.058 1.00
Regression Equation in Uncoded Units
P = 1.820 - 0.6949 x1 - 0.6949 x2 - 0.515 x1*x1 + 0.245 x2*x2
+ 0.314 x1*x2
4. Chọn Contour Plot để xuất các đồ thị là các đường đồng mức.
x1
x2
1.0
0.5
0.0
-0.5
-1.0
1.0
0.5
0.0
-0.5
-1.0
>
–
–
–
< 0
0 1
1 2
2 3
3
P
Contour Plot of P vs x2, x1
Hình 6.44
292 CHƯƠNG 6
5. Chọn Surface Plot để vẽ các mặt đáp ứng.
Hình 6.45
6. Chọn Overlaid Contour Plot… để xác định miền giá trị nhân tố
tương ứng khoảng giá trị kết quả đầu ra.
Hình 6.46
7. Chọn Response Optimizer… tìm giá trị các nhân tố để thông số đầu
ra đạt giá trị tối ưu.
QUY HOẠCH THỰC NGHIỆM BẬC 2 293
Hình 6.47
BÀI TẬP
6.1. Nghiên cứu phụ thuộc độ nhám bề mặt R (µm) khi phay vật liệu vào
vận tốc cắt v (1 m/s  v  5 m/s) và độ tù mũi dao  (20 m    80 m).
Ma trận quy hoạch dạng FCCCD và kết quả thực nghiệm cho trong Bảng
6.60.
Bảng 6.60
N x0 x1 x2 x1
2
x2
2
x1x2 y
1
2
3
4
+1
+1
+1
+1
+1
+1
-1
-1
+1
-1
+1
-1
1
1
1
1
1
1
1
1
1
-1
-1
1
26.95
13.85
30.90
23.15
5
6
7
8
+1
+1
+1
+1
+1
-1
0
0
0
0
+1
-1
1
1
0
0
0
0
1
1
0
0
0
0
18.15
24.65
28.15
17.75
a) Xác định phương trình hồi quy bậc 2 dạng mã hóa.
b) Biểu diễn phương trình dạng tự nhiên và phân tích kết quả.
6.2. Nghiên cứu phụ thuộc độ nhám bề mặt R (m) khi phay vật liệu vào
vận tốc cắt v (1 m/s  v  6 m/s) và độ tù mũi dao  (15 m    90 m).
Ma trận quy hoạch dạng quay đều và kết quả thực nghiệm cho trong bảng
sau (mỗi thí nghiệm chính có 3 giá trị lặp). Xác định:
294 CHƯƠNG 6
Bảng 6.61
N x0 x1 x2 y1 y2 y3
j
y s2
i
1
2
3
4
+1
+1
+1
+1
+1
+1
-1
-1
+1
-1
+1
-1
40
16
27
35
42
15
28
32
39
17
24
36
5
6
7
8
+1
+1
+1
+1
+1.414
-1.414
0
0
0
0
+1.414
-1.414
12
28
58
35
14
26
59
34
13
25
56
33
9
10
11
12
13
+1
+1
+1
+1
+1
0
0
0
0
0
0
0
0
0
0
29
27
32
31
30
28
32
29
32
29
31
29
32
26
28
a) Phương sai tái hiện.
b) Phương trình hồi quy bậc 2 dạng mã hóa.
c) Mức ý nghĩa các hệ số và tính tương thích PTHQ.
b) Phương trình dạng tự nhiên và phân tích kết quả.
6.3 Sử dụng QHTN hỗn hợp ở tâm trực giao bậc 2 để nghiên cứu ảnh
hưởng các nhân tố: điện thế U (V), cường độ dòng điện I (A) và nhiệt độ
nung nóng t (o
C) đến chất lượng đĩa từ.
Bảng 6.62
Mức giá trị
Các nhân tố
Điện thế U
(V)
Cường độ dòng
điện I (A)
Nhiệt độ nung
nóng t (o
C)
Mức cơ sở Xi
0
Khoảng thay đổi Xi
Mức trên (xi = +1)
Mức dưới (xi = -1)
30
3
33
27
18
2
20
16
220
20
240
200
Kết quả thực nghiệm cho trong Bảng 6.63.
QUY HOẠCH THỰC NGHIỆM BẬC 2 295
Bảng 6.63
N0
x0 x1 x2 x3 x1
2
- x2
2
- x3
2
- x1x2 x1x3 x2x3 y(f1) y(f2) y(f3) y(f4) s1
2
(f)
1 +1 -1 -1 -1 +0,27 +0,27 +0,27 +1 +1 +1 6,37 6,19 6,27 6,28 0,02
2 +1 +1 -1 -1 +0,27 +0,27 +0,27 -1 -1 +1 4,00 3,59 3,87 3,82 0,13
3 +1 -1 +1 -1 +0,27 +0,27 +0,27 -1 +1 -1 2,96 3,96 3,75 3,56 0,83
4 +1 +1 +1 -1 +0,27 +0,27 +0,27 +1 -1 -1 -1,16 -0,86 -1,82 -1,28 0,72
5 +1 -1 -1 +1 +0,27 +0,27 +0,27 +1 -1 -1 5,06 4,87 4,87 4,93 0,04
6 +1 +1 -1 +1 +0,27 +0,27 +0,27 -1 +1 -1 2,74 2,94 2,61 2,76 0,08
7 +1 -1 +1 +1 +0,27 +0,27 +0,27 -1 -1 +1 2,96 2,44 2,80 2,73 0,21
8 +1 +1 +1 +1 +0,27 +0,27 +0,27 +1 +1 +1 -2,46 -2,14 -2,80 -2,47 0,32
9 +1 -1,25 0 0 +0,75 -0,73 -0,73 0 0 0 4,04 4,20 4,37 4,20 0,08
10 +1 +1,25 0 0 +0,75 -0,73 -0,73 0 0 0 0,39 -0,73 0,76 0,14 1,81
11 +1 0 -1,25 0 -0,73 +0,75 -0,73 0 0 0 5,88 5,93 5,68 5,83 0,05
12 +1 0 +1,25 0 -0,73 +0,75 -0,73 0 0 0 1,41 1,14 1,07 1,21 0,10
13 +1 0 0 -1,25 -0,73 -0,73 +0,75 0 0 0 3,43 4,14 4,39 3,99 0,74
14 +1 0 0 +1,25 -0,73 -0,73 +0,75 0 0 0 2,30 3,05 2,61 2,65 0,43
15 +1 0 0 0 -0,73 -0,73 -0,73 0 0 0 3,64 2,96 3,65 3,42 0,47
Xác định:
a) Phương trình hồi quy bậc 2 dạng mã hóa.
b) Mức ý nghĩa các hệ số và tính tương thích PTHQ.
c) Phương trình dạng tự nhiên và phân tích kết quả.
6.4. Sử dụng QHTN hỗn hợp quay đều bậc 2 để nghiên cứu ảnh hưởng
các nhân tố: điện thế U (V), cường độ dòng điện I (A) và nhiệt độ nung
nóng t (o
C) đến chất lượng đĩa từ.
Bảng 6.64
Mức giá trị
Các nhân tố
Điện thế U
(V)
Cường độ dòng
điện I (A)
Nhiệt độ nung nóng
t (o
C)
Mức cơ sở Xi
0
Khoảng thay đổi Xi
Mức trên (xi = +1)
Mức dưới (xi = -1)
30
3
33
27
18
2
20
16
220
20
240
200
Kết quả thực nghiệm cho trong Bảng 6.65.
296 CHƯƠNG 6
Bảng 6.65
N0
x0 x1 x2 x3 x1
2
x2
2
x3
2
x1x2 x1x3 x2x3 y(f1) y(f2) y(f3) y(f4) s1
2
(f)
1 +1 -1 -1 -1 +1 +1 +1 +1 +1 +1 2,74 2,69 2,17 0,2 0,1
2 +1 +1 -1 -1 +1 +1 +1 -1 -1 +1 7,58 6,69 7,83 0,72 0,359
3 +1 -1 +1 -1 +1 +1 +1 -1 +1 -1 1,01 0,903 -0,12 0,78 0,389
4 +1 +1 +1 -1 +1 +1 +1 +1 -1 -1 8,15 8,54 8,72 0,17 0,085
5 +1 -1 -1 +1 +1 +1 +1 +1 -1 -1 4,35 5,11 4,59 0,30 0,151
6 +1 +1 -1 +1 +1 +1 +1 -1 +1 -1 6,02 6,69 5,87 0,38 0,191
7 +1 -1 +1 +1 +1 +1 +1 -1 -1 +1 0,45 -0,58 1,17 1,55 0,774
8 +1 +1 +1 +1 +1 +1 +1 +1 +1 +1 3,27 3,83 3,89 0,23 0,117
9 +1 -1,68 0 0 +2,83 0 0 0 0 0 -0,57 -0,38 -0,40 0,02 0,011
10 +1 +1,68 0 0 +2,83 0 0 0 0 0 5,74 5,78 6,19 0,12 0,062
11 +1 0 -1,68 0 0 +2,83 0 0 0 0 7,14 7,58 6,67 0,41 0,207
12 +1 0 +1,68 0 0 +2,83 0 0 0 0 3,35 3,44 4,30 0,55 0,275
13 +1 0 0 -1,68 0 0 +2,83 0 0 0 5,31 5,15 5,50 0,06 0,031
14 +1 0 0 +1,68 0 0 +2,83 0 0 0 2,96 3,78 3,47 0,34 0,171
15 +1 0 0 0 0 0 0 0 0 0 4,95 4,76 4,19 0,31 0,156
16 +1 0 0 0 0 0 0 0 0 0 3,98 4,89 3,80 0,68 0,341
17 +1 0 0 0 0 0 0 0 0 0 4,65 4,47 4,24 0,08 0,042
18 +1 0 0 0 0 0 0 0 0 0 4,37 4,53 4,27 0,03 0,017
19 +1 0 0 0 0 0 0 0 0 0 3,70 4,59 4,47 0,47 0,233
20 +1 0 0 0 0 0 0 0 0 0 4,72 4,57 4,30 0,07 0,037
 85,35 28,2 -13,47 -7,30 49,29 64,49 58,54 4,85 7,88 6,04
Xác định:
a) Phương trình hồi quy bậc 2 dạng mã hóa.
b) Mức ý nghĩa các hệ số và tính tương thích PTHQ.
c) Phương trình dạng tự nhiên và phân tích kết quả.
6.5. Sử dụng QHTN hỗn hợp tại tâm quay đều bậc 2 để nghiên cứu ảnh
hưởng các nhân tố: góc cắt chính φ, góc nghiêng dao λ và góc trước γ đến
lực cắt khi phay mặt đầu. Miền các nhân tố và ma trân thực nghiệm cho
trong Bảng 6.66 và 6.67.
Bảng 6.66
Mức giá trị
Các nhân tố
Góc cắt chính φ Góc nghiêng dao λ Góc trước γ
Mức cơ sở Xi
0
Khoảng thay đổi Xi
Mức trên (xi = +1)
Mức dưới (xi = -1)
60
15
75
45
5
6
11
-1
10
6
16
0
QUY HOẠCH THỰC NGHIỆM BẬC 2 297
Bảng 6.67
N x0 x1 x2 x3 x1x2 x1x3 x2x3 x1
2
x2
2
x3
2
F (N)
1
2
3
4
5
6
7
8
+
+
+
+
+
+
+
+
+
+
+
+
-
-
-
-
+
+
-
-
+
+
-
-
+
-
+
-
+
-
+
-
+
+
-
-
-
-
+
+
+
-
+
-
-
+
-
+
+
-
-
+
+
-
-
+
+
+
+
+
+
+
+
+
+
+
+
+
+
+
+
+
+
+
+
+
+
+
+
+
1210
1350
1140
1285
1225
1370
1150
1290
9
10
11
12
13
14
+
+
+
+
+
+
+1,682
-1,682
0
0
0
0
0
0
+1,628
-1,628
0
0
0
0
0
0
+1,628
-1,628
0
0
0
0
0
0
0
0
0
0
0
0
0
0
0
0
0
0
2,829
2,829
0
0
0
0
0
0
2,829
2,829
0
0
0
0
0
0
2,829
2,829
1310
1370
1240
1120
1060
1300
15
16
17
18
19
20
+
+
+
+
+
+
0
0
0
0
0
0
0
0
0
0
0
0
0
0
0
0
0
0
0
0
0
0
0
0
0
0
0
0
0
0
0
0
0
0
0
0
0
0
0
0
0
0
0
0
0
0
0
0
0
0
0
0
0
0
1118
1140
1160
1210
1190
1200
Xác định:
a) Phương trình hồi quy bậc 2 dạng mã hoá.
b) Mức ý nghĩa các hệ số và tính tương thích PTHQ.
c) Phương trình dạng tự nhiên và phân tích kết quả.
6.6. Sử dụng QHTN không hỗn hợp dạng D để nghiên cứu ảnh hưởng các
nhân tố: góc cắt chính 2φ, góc trước γ, chiều dày lõi E đến độ bền mòn lưỡi
khoan để khoan lỗ đường kính d = 4 mm.
Bảng 6.68
Mức giá trị
Các nhân tố
Góc cắt chính 2φ Góc trước γ Chiều dày lõi E
Mức cơ sở Xi
0
Khoảng thay đổi Xi
Mức trên (xi = +1)
Mức dưới (xi = -1)
147
4
151
143
32
4
36
28
1,2
0,2
1,4
1,0
Ma trận quy hoạch và kết quả thực nghiệm cho trong Bảng 6.69.
298 CHƯƠNG 6
Bảng 6.69
N x0 x1 x2 x3 x1x2 x1x3 x2x3 x1
2
x2
2
x3
2
yi
1
2
3
4
+
+
+
+
+
+
-
-
+
-
+
-
0
0
0
0
+
-
-
+
0
0
0
0
0
0
0
0
+
+
+
+
+
+
+
+
0
0
0
0
751
827
1298
1520
5
6
7
8
+1
+
+
+
+
+
-
-
0
0
0
0
+
-
+
-
0
0
0
0
+
-
-
+
0
0
0
0
+
+
+
+
0
0
0
0
+
+
+
+
1287
974
1844
1668
9
10
11
12
+
+
+
+
0
0
0
0
+
+
-
-
+
-
+
-
0
0
0
0
0
0
0
0
+
-
-
+
0
0
0
0
+
+
+
+
+
+
+
+
1042
544
961
937
13
14
15
+
+
+
0
0
0
0
0
0
0
0
0
0
0
0
0
0
0
0
0
0
0
0
0
0
0
0
0
0
0
1214
1201
1185
Xác định:
a) Phương trình hồi quy bậc 2 dạng mã hóa.
b) Mức ý nghĩa các hệ số và tính tương thích PTHQ.
c) Phương trình dạng tự nhiên và phân tích kết quả.
6.7. Sử dụng QHTN hỗn hợp tại tâm quay đều bậc 2 để nghiên cứu ảnh
hưởng các nhân tố: vận tốc cắt v (m/min), vận tốc đưa phôi u (mm/vg),
chiều sâu cắt h (mm) đến độ nhám bề mặt Rz.
Bảng 6.70
Mức giá trị
Các nhân tố
Vận tốc cắt v
(m/min)
Vận tốc đưa phôi
u (mm/vg)
Chiều sâu cắt h
(mm)
Mức cơ sở Xi
0
Khoảng thay đổi Xi
Mức trên (xi = +1)
Mức dưới (xi = -1)
205
109
314
96
0,5
0,2
0,7
0,3
0,25
0,25
0,75
0,25
Kết quả thực nghiệm cho trong Bảng 6.71.
QUY HOẠCH THỰC NGHIỆM BẬC 2 299
Bảng 6.71
N0
x0 x1 x2 x3 x1
2
x2
2
x3
2
x1x2 x1x3 x2x3 Rz.(m)
1 +1 -1 -1 -1 +1 +1 +1 +1 +1 +1 2,16
2 +1 +1 -1 -1 +1 +1 +1 -1 -1 +1 2,65
3 +1 -1 +1 -1 +1 +1 +1 -1 +1 -1 3,80
4 +1 +1 +1 -1 +1 +1 +1 +1 -1 -1 4,70
5 +1 -1 -1 +1 +1 +1 +1 +1 -1 -1 2,22
6 +1 +1 -1 +1 +1 +1 +1 -1 +1 -1 2,48
7 +1 -1 +1 +1 +1 +1 +1 -1 -1 +1 4,20
8 +1 +1 +1 +1 +1 +1 +1 +1 +1 +1 4,89
9 +1 -1,68 0 0 +2,83 0 0 0 0 0 3,55
10 +1 +1,68 0 0 +2,83 0 0 0 0 0 4,50
11 +1 0 -1,68 0 0 +2,83 0 0 0 0 1,80
12 +1 0 +1,68 0 0 +2,83 0 0 0 0 5,15
13 +1 0 0 -1,68 0 0 +2,83 0 0 0 2,32
14 +1 0 0 +1,68 0 0 +2,83 0 0 0 2,56
15 +1 0 0 0 0 0 0 0 0 0 2,31
16 +1 0 0 0 0 0 0 0 0 0 2,08
17 +1 0 0 0 0 0 0 0 0 0 2,12
18 +1 0 0 0 0 0 0 0 0 0 2,32
19 +1 0 0 0 0 0 0 0 0 0 2,36
20 +1 0 0 0 0 0 0 0 0 0 2,12
Xác định:
a) Phương trình hồi quy bậc 2 dạng mã hóa.
b) Mức ý nghĩa các hệ số và tính tương thích PTHQ.
c) Phương trình dạng tự nhiên và phân tích kết quả.
6.8. Xấp xỉ các hàm bằng các phương pháp mặt đáp ứng:
1. Xấp xỉ hàm y = X1
3
+ X1X2 – X2
2
X1
2
+ 3X3
4
bằng đa thức bậc 2
tại lân cận điểm X = (1, 1) theo quy hoạch FCCCD.
2. Xấp xỉ hàm y = X1
3
+ X1X2 – X2
2
X1
2
+ 3X3
4
bằng đa thức bậc 2
tại lân cận điểm X = (1, 1) theo quy hoạch quay đều.
3. Xấp xỉ hàm y = X1
3
+ X1X2 – X2
2
X1
2
+ 3X3
4
bằng đa thức bậc 2
tại lân cận điểm X = (1, 1) theo quy hoạch trực giao.
4. Xấp xỉ hàm y = X1
3
+ X1X2 + X2
2
X1
2
+ 3X3
4
bằng đa thức bậc 2
tại lân cận điểm X = (1, 1) theo quy hoạch dạng D.
300 CHƯƠNG 6
5. Xấp xỉ hàm y = X1
3
+ X1X2 – X2
2
X1
2
+ 3X3
4
bằng đa thức bậc 2
tại lân cận điểm X = (1, 1) theo quy hoạch 3k
.
6. Xấp xỉ hàm y = X1
3
- X1X2 + X2
2
X1
2
+ 3X3
4
bằng đa thức bậc 2 tại
lân cận điểm X = (1, 1) theo quy hoạch FCCCD.
7. Xấp xỉ hàm sau đây bằng đa thức bậc 2 tại lân cận điểm X = (1, 1)
2 2
1 1 2
1 X 20,25(X X )
2
3
f(x) X .e
 
   
 
 
  theo quy hoạch FCCCD.
8. Xấp xỉ sau đây bằng đa thức bậc 2 tại lân cận điểm X = (1, 1)
2 2
1 1 2
1 X 20,25(X X )
2
3
f(x) X .e
 
   
 
 
  theo quy hoạch quay đều.
9. Xấp xỉ hàm sau đây bằng đa thức bậc 2 tại lân cận điểm X = (1, 1)
2 2
1 1 2
1 X 20,25(X X )
2
3
f(x) X .e
 
   
 
 
  theo quy hoạch trực giao.
10. Xấp xỉ hàm sau đây bằng đa thức bậc 2 tại lân cận điểm X = (1, 1)
2 2
1 1 2
1 X 20,25(X X )
2
3
f(x) X .e
 
   
 
 
  theo quy hoạch dạng D.
11. Xấp xỉ hàm sau đây bằng đa thức bậc 2 tại lân cận điểm X = (1, 1)
2 2
1 1 2
1 X 20,25(X X )
2
3
f(x) X .e
 
   
 
 
  theo quy hoạch 3k
.
12. Xấp xỉ sau đây bằng đa thức bậc 2 tại lân cận điểm X = (1, 1)
2 2
1 1 2
1 X 20,25(X X )
2
3
f(x) X .e
 
   
 
 
  theo quy hoạch Box-Behnken.
13. Xấp xỉ hàm sau đây bằng đa thức bậc 2 tại lân cận điểm X = (1, 1)
2 2 2
2 1 1
f (x) (X X ) (1 X )
    + 4X3
4
theo quy hoạch FCCCD.
14. Xấp xỉ hàm sau đây ằng đa thức bậc 2 tại lân cận điểm X = (0, 0)
2 2 2
2 1 1
f (x) (X X ) (1 X )
    + 4X3
4
theo quy hoạch quay đều.
15. Xấp xỉ hàm sau đây bằng đa thức bậc 2 tại lân cận điểm X = (0, 0)
2 2 2
2 1 1
f (x) (X X ) (1 X )
    + 4X3
4
theo quy hoạch trực giao.
QUY HOẠCH THỰC NGHIỆM BẬC 2 301
16. Xấp xỉ hàm sau đây bằng đa thức bậc 2 tại lân cận điểm X = (0, 0)
2 2 2
2 1 1
f (x) (X X ) (1 X )
    + 4X3
4
theo quy hoạch dạng D.
17. Xấp xỉ hàm sau đây bằng đa thức bậc 2 tại lân cận điểm X = (0, 0)
   
2 2 2
2 1 1
f (X) (X X ) (1 X ) + 4X3
4
theo quy hoạch 3k
.
18. Xấp xỉ hàm sau đây bằng đa thức bậc 2 tại lân cận điểm X = (0, 0)
2 2 2 4
2 1 1 3
f (x) (X X ) (1 X ) 4X
     theo quy hoạch Box-Behnken.
19. Xấp xỉ hàm sau đây bằng đa thức bậc 2 tại lân cận điểm X = (0, 0)
2 2 2
2 1 1
f (x) (X X ) (1 X )
    + 4X3
4
theo quy hoạch FCCCD.
6.9. Bài tập lớn theo Quy hoạch thực nghiệm bậc 2 (Mặt đáp ứng).
Sinh viên (học viên) tìm hiểu 01 bài báo khoa học liên quan 1 trong
các phương pháp quy hoạch thực nghiệm bậc 2 và trình bày trong thuyết
minh các nội dung sau:
1. Tóm tắt nội dung bài báo khoa học (Abstract).
2. Các nhân tố đầu vào, đầu ra, miền giá trị.
3. Dạng ma trận QHTN, số thí nghiệm lặp (lựa chọn), kết quả thực
nghiệm.
4. Xử lý kết quả thực nghiệm trên Minitab.
5. So sánh kết quả bài báo với Minitab.
6. Nhận xét chung.
CHƯƠNG 7
302
Chương 7
PHƯƠNG PHÁP TAGUCHI
(TAGUCHI METHOD)
Chương này gồm các nội dung sau:
7.1. Giới thiệu
7.2. Ma trận quy hoạch theo phương pháp Taguchi
7.3. Sử dụng Minitab
7.4. Các ví dụ
PHƯƠNG PHÁP TAGUCHI 303
7.1. GIỚI THIỆU
Tiến sĩ Taguchi (Nhật Bản) là người đặt nền móng cho phương pháp
thiết kế bền vững (Robust Design), cũng là người đề ra phương pháp thực
nghiệm mang tên ông. Mục tiêu phương pháp Taguchi là thiết kế một quá
trình (hoặc sản phẩm) ít chịu ảnh hưởng bởi những nhân tố gây ra sự sai
lệch về chất lượng. Mục đích là điều chỉnh các thông số đến mức tối ưu để
quá trình (hoặc sản phẩm) ổn định ở mức chất lượng tốt nhất. Phương pháp
Taguchi sử dụng các dãy trực giao trong quy hoạch thực nghiệm. Do đó,
phương pháp này cho phép sử dụng tối thiểu các thí nghiệm cần thiết để
nghiên cứu ảnh hưởng của các thông số lên một đáp ứng được lựa chọn nào
đó của một quá trình (hoặc sản phẩm) từ đó nhanh chóng điều chỉnh các
thông số tiến đến tối ưu nhanh nhất.
Các đặc điểm phương pháp Taguchi:
1. Phương pháp Taguchi bổ sung cho 2 phương pháp quy hoạch thực
nghiệm toàn phần (TNT) và riêng phần (TNR).
2. Phương pháp Taguchi dựa trên ma trận thực nghiệm trực giao xây
dựng trước và phương pháp để phân tích đánh giá kết quả.
3. Các nhân tố có thể có 2, 3, 4, 5, …, 8 mức giá trị.
4. Phương pháp Taguchi sử dụng tốt nhất với số nhân tố khảo sát từ 3
đến 50, số tương tác ít và khi chỉ có một số ít nhân tố có ý nghĩa.
Phương pháp Taguchi sử dụng tỷ số tín hiệu/nhiễu (Signal to Noise
Ratio) S/N được chuyển đổi từ hàm số mất mát L = k (y - m)2
, trong đó L là
mất mát do sai lệch giá trị đáp ứng y nhận được so với giá trị đáp
ứng m mong muốn, k là hằng số. Tỷ số S/N được xây dựng và chuyển đổi để
tính toán cho 3 trường hợp chính:
- Nếu giá trị đáp ứng yi cần đạt “lớn hơn tốt hơn – Higher is better” thì:
n
10 2
i 1 i
S 1 1
10log
N n y

 
   
 
 
 (7.1)
- Nếu giá trị đáp ứng yi cần đạt “Nhỏ hơn tốt hơn – Lower is better” thì:
n
2
10 i
i 1
S 1
10log y
N n 
 
   
 
 
 (7.2)
CHƯƠNG 7
304
- Nếu giá trị đáp ứng yi cần đạt hoặc “Đánh giá ảnh hưởng của các nhân
tố - Nominal is best” thì:
2
i
10 2
i
y
S
10log
N s
 
 

 
 
(7.3)
trong đó:  
n n
2
2
u u
u 1 u 1
1 1
y y ; s y y
n n 1
 
  

  (7.4)
với n, s, ȳ lần lượt là số thí nghiệm lặp, độ lệch chuẩn và giá trị trung bình.
Trong mọi trường hợp, tỷ số S/N càng lớn thì đặc tính nhận được càng tốt.
Do không sử dụng toàn bộ các tổ hợp thí nghiệm nên phương pháp
Taguchi không đưa ra được một con số chính xác về ảnh hưởng của một
thông số đầu vào (nhân tố) nào đó đến kết quả đầu ra mà chỉ mang tính chất
định hướng. Mặc dù vậy, bằng việc đánh giá qua tỷ số S/N giúp những nhà
công nghệ biết xu hướng và mức độ ảnh hưởng của từng thông số công nghệ
đến kết quả đầu ra. Từ các nhận biết này sẽ giúp các nhà nghiên cứu nhanh
chóng tìm ra các thông số công nghệ và phạm vi cần tác động để nhận được
hiệu quả đầu ra tốt nhất. Trên cơ sở đánh giá ảnh hưởng riêng lẻ các thông
số có thể tìm ra được tổ hợp các thông số công nghệ tối ưu cho kết quả đặc
tính đầu ra mong muốn.
Nhiều nghiên cứu và ứng dụng từ những năm 1970 đã chỉ ra rằng
phương pháp Taguchi có thể sử dụng cho nghiên cứu hàn lâm, cũng như cho
những ứng dụng trong sản xuất và đặc biệt phù hợp cho những người có
hiểu biết hạn chế về thống kê [1, 2, 3].
Phương pháp Taguchi được thực hiện theo 7 bước cơ bản sau:
1. Chọn các nhân tố độc lập (Factors), biến điều khiển (Control
Variable) và biến đáp ứng (Response – thông số đầu ra), hàm mục tiêu
(Objective Function);
2. Xác định miền giá trị các nhân tố ảnh hưởng đến mục tiêu (đáp
ứng), các quan hệ có thể có giữa các nhân tố (bậc tự do - Degree of
Freedom) và phân bố toàn bộ miền giá trị của các nhân tố thành các mức
(Level), ví dụ như Bảng 7.1 và Hình 7.3.
PHƯƠNG PHÁP TAGUCHI 305
Bảng 7.1 Các nhân tố và mức giá trị
STT Nhân tố
Ký hiệu Mức giá trị
Khoảng
thay đổi
Tự
nhiên
Mã
hóa
Dưới,
1
Cơ sở,
2
Trên,
3
1 Chiều dài làm việc
dụng cụ cắt (cm)
L x1
2 Chiều dài cắt (cm) l x2
3 Vận tốc cắt (m/s) v x3
4 Lượng đưa phôi
(mm)
 x4
… … … …
3. Tạo (chọn) dạng ma trận quy hoạch thực nghiệm tùy vào số nhân tố
và số mức giá trị, ví dụ L9 như Bảng 7.2: cột là các nhân tố, hàng là các thí
nghiệm (n) trên Mục 7.2, phụ thuộc số mức giá trị và số nhân tố.
4. Tiến hành thực nghiệm để thu thập số liệu các giá trị đáp ứng
(thông số đầu ra). Trong một số trường hợp trong mỗi thực nghiệm ta lặp n
lần. Phân tích thống kê dữ liệu thực nghiệm.
5. Phân tích số liệu theo tỉ số S/N, phụ thuộc vào mục tiêu “lớn hơn tốt
hơn – Higher is better”, “Nhỏ hơn tốt hơn – Lower is better” hoặc “Đánh giá
ảnh hưởng của các nhân tố - Nominal is best” ta sử dụng công thức (7.1) đến
(7.3). Sau đó xác định giá trị thí nghiệm tối ưu của các nhân tố..
Bảng 7.2 Ma trận quy hoạch L9
n
Các nhân tố Giá trị
đáp ứng
yi
Tỉ số
S/N
x1 x2 x3 x4
1 1 1 1 1 y1 …
2 1 2 2 2 y2 …
3 1 3 3 3 y3 …
4 2 1 2 3 y4 …
5 2 2 3 1 y5 …
6 2 3 1 2 y6 …
7 3 1 3 2 y7 …
8 3 2 1 3 y8 …
9 3 3 2 1 y9 …
CHƯƠNG 7
306
6. Để xác định ảnh hưởng của các nhân tố đến kết quả đầu ra ta sử
dụng phân tích giá trị trung bình (ANalysis of Mean - ANOM) và phân tích
phương sai (ANalysis of Variance - ANOVA), xác định mức độ ảnh hưởng
của các nhân tố đến kết quả đầu ra. Kết quả bước này được trình bày tương
ứng trong Bảng 7.3.
Bảng 7.3 Các nhân tố ảnh hưởng đến thông số đầu ra
STT
Nhân
tố
Tỷ lệ S/N trung bình
cho giá trị đáp ứng
với các mức giá trị
Trung
bình m
Lớn
(nhỏ)
nhất max
(min)
Hiệu số
Max - m
(m –
min)
% Ảnh
hưởng
(j)
1 2 3
1 L (cm) x
2 l (cm) x
3 V (m/s) x
4  (mm) x
Chú ý: Lấy theo giá trị trung bình đáp ứng các nhân tố cùng mức giá
trị (Level).
Giá trị trung bình m của các tỉ số S/N cho mỗi mức giá trị của mỗi
nhân tố được xác định theo công thức:
p
mj
i
i 1
S 1 S
Mean
N p N

   
  
   
   
 (7.5)
trong đó p là số phần tử cùng mức giá trị của nhân tố j.
Sai lệch có thể được đánh giá bằng các đại lượng khác nhau, cụ thể có
thể thực hiện theo 3 cách cho nhân tố thứ j:
- Tổng sai lệch trung bình của các mức giá trị:
 
j
n
j x u mj
u 1
S

  
 (7.6)
- Tổng bình phương sai lệch trung bình của các mức giá trị:
 
j
n 2
j x u mj
u 1
S

  
 (7.7)
PHƯƠNG PHÁP TAGUCHI 307
- Tổng bình phương sai lệch trung bình giữa các mức giá trị
     
2 2
2
j m1 m2 m2 m3 m3 m1
S              (7.8)
Mức độ ảnh hưởng của mỗi nhân tố được đánh giá bằng tỷ lệ % giữa
sai lệch Sj của nhân tố đó so với tổng sai lệch của tất cả các nhân tố (với k
số nhân tố):
j
j k
j
j 1
S
(%)
S

 

(7.9)
7. Tính toán lại hàm mục tiêu theo bộ giá trị nhân tố tối ưu và kiểm
chứng bằng thực nghiệm. Đây là bước bổ sung, vì bước 5 đã tính đến ảnh
hưởng của các nhân tố theo tỷ số S/N.
Phương pháp Taguchi đơn giản, số thí nghiệm ít, có thể định lượng
hoặc định tính. Tuy nhiên phương pháp có nhược điểm:
- Do số liệu rời rạc nên phương án nhận được chỉ gần tối ưu.
- Không đưa được các điều kiện ràng buộc.
- Giải được bài toán đơn mục tiêu.
7.2. MA TRẬN QUY HOẠCH THEO PHƯƠNG PHÁP TAGUCHI
So sánh phương pháp Taguchi với các phương pháp quy hoạch thực
nghiệm khác theo Bảng 7.4.
Bảng 7.4
Mức giá trị
Quy hoạch
trực giao
Số nhân tố
Số thí nghiệm
Trực
giao
Taguchi
1 nhân tố
cùng lúc
Nhân tố toàn
phần 2k
2 L4 (23 -1
)
L8 (27-4
)
L12 (211
)
L16 (215
)
L32 (231
)
3
7
11
15
31
4
8
12
16
32
 4
 8
 12
 16
 32
8
128
2048
32768
2147483647
3 L9 (34
)
L27 (313
)
4
13
9
27
 9
 27
81
1594323
Số mức hỗn
hợp
L16 (21
37
)
L36 (23
313
)
1(2 mức)
+7(3 mức)
3(2 mức)
+13(3 mức)
18
36
 18
 36
4374
12754584
CHƯƠNG 7
308
Sau đây là vài dạng quy hoạch thực nghiệm 2, 3, 4 và 5 mức giá trị
trực giao (còn gọi là quy hoạch trực giao Taguchi “L”). Trong trường hợp 2
mức giá trị là 1 và 2, còn 3 mức giá trị sẽ là 1, 2 và 3.
Bảng 7.5 Chọn dãy trực giao Taguchi theo bậc tự do
Dãy trực
giao
Số thí
nghiệm
Số nhân tố
lớn nhất
Số nhân tố lớn nhất theo số mức
2 mức 3 mức 4 mức 5 mức
L4 4 3 3
L8 8 7 7
L9 9 4 4
L12 12 11 11
L16 16 15 15
L’16 16 5 5
L18 18 8 1 7
L25 25 6 6
L27 27 13 13
L32 32 31 31
L’32 32 10 1 9
L36 36 23 11 12
L’36 36 16 3 13
L50 50 12 1 11
L54 54 26 1 25
L64 64 63 63
L’64 64 21 21
L81 81 40 40
Bảng 7.6 Quy hoạch L4 cho 2 mức giá trị, số nhân tố 2 và 3
N x1 x2 x3
1 1 1 1
2 1 2 2
3 2 1 2
4 2 2 1
PHƯƠNG PHÁP TAGUCHI 309
a) L4, 3 nhân tố b) L9, 3 nhân tố
Hình 7.1 Các điểm thí nghiệm theo phương pháp Taguchi
Bảng 7.7 Quy hoạch L8 cho 2 mức giá trị, số nhân tố 2 đến 7
N x1 x2 x3 x4 x5 x6 x7
1 1 1 1 1 1 1 1
2 1 1 1 2 2 2 2
3 1 2 2 1 1 2 2
4 1 2 2 2 2 1 1
5 2 1 2 1 2 1 2
6 2 1 2 2 1 2 1
7 2 2 1 1 2 2 1
8 2 2 1 2 1 1 2
Bảng 7.8 Quy hoạch L12 cho 2 mức giá trị, số nhân tố 2 đến 11
N x1 x2 x3 x4 x5 x6 x7 x8 x9 x10 x11
1 1 1 1 1 1 1 1 1 1 1 1
2 1 1 1 1 1 2 2 2 2 2 2
3 1 1 2 2 2 1 1 1 2 2 2
4 1 2 1 2 2 1 2 2 1 1 2
5 1 2 2 1 2 2 1 2 1 2 1
6 1 2 2 1 2 2 1 2 1 2 1
7 1 2 2 2 1 2 2 1 2 1 1
8 2 1 2 1 2 2 2 1 1 1 2
9 2 1 1 2 2 2 1 2 2 1 1
10 2 2 2 1 1 1 1 2 2 1 2
11 2 2 1 2 1 2 1 1 1 2 2
12 2 2 1 1 2 1 2 1 2 2 1
CHƯƠNG 7
310
Bảng 7.9 Quy hoạch L9
L9 - quy hoạch nhân tố riêng phần 34-2
với 2 đến 4 nhân tố (9 thí
nghiệm)
N x1 x2 x3 x4
1 1 1 1 1
2 1 2 2 2
3 1 3 3 3
4 2 1 2 3
5 2 2 3 1
6 2 3 1 2
7 3 1 3 2
8 3 2 1 3
9 3 3 2 1
Bảng 7.10 Quy hoạch L18
L18 - quy hoạch nhân tố riêng phần 2  37-5
với 8 nhân tố (18 thí nghiệm)
(1 nhân tố 2 mức giá trị và 7 nhân tố 3 mức giá trị)
N x1 x2 x3 x4 x5 x6 x7 x8
1 1 1 1 1 1 1 1 1
2 1 1 2 2 2 2 2 2
3 1 1 3 3 3 3 3 3
4 1 2 1 1 2 2 3 3
5 1 2 2 2 3 3 1 1
6 1 2 3 3 1 1 2 2
7 1 3 1 2 1 3 2 3
8 1 3 2 3 2 1 3 1
9 1 3 3 1 3 2 1 2
10 2 1 1 3 3 2 2 1
11 2 1 2 1 1 3 3 2
12 2 1 3 2 2 1 1 3
13 2 2 1 2 3 1 3 2
14 2 2 2 3 1 2 1 3
15 2 2 3 1 2 3 2 1
16 2 3 1 3 2 3 1 2
17 2 3 2 1 3 1 2 3
18 2 3 3 2 1 2 3 1
PHƯƠNG PHÁP TAGUCHI 311
Bảng 7.11 Quy hoạch L27
L27 - quy hoạch nhân tố riêng phần 313-10
, 3 mức giá trị với 2 đến 13 nhân
tố (27 thí nghiệm)
N x1 x2 x3 x4 x5 x6 x7 x8 x9 x10 x11 x12 x13
1 1 1 1 1 1 1 1 1 1 1 1 1 1
2 1 1 1 1 2 2 2 2 2 2 2 2 2
3 1 1 1 1 3 3 3 3 3 3 3 3 3
4 1 2 2 2 1 1 1 2 2 2 3 3 3
5 1 2 2 2 2 2 2 3 3 3 1 1 1
6 1 2 2 2 3 3 3 1 1 1 2 2 2
7 1 3 3 3 1 1 1 3 3 3 2 2 2
8 1 3 3 3 2 2 2 1 1 1 3 3 3
9 1 3 3 3 3 3 3 2 2 2 1 1 1
10 2 1 2 3 1 2 3 1 2 3 1 2 3
11 2 1 2 3 2 3 1 2 3 1 2 3 1
12 2 1 2 3 3 1 2 3 1 2 3 1 2
13 2 2 3 1 1 2 3 2 3 1 3 1 2
14 2 2 3 1 2 3 1 3 1 2 1 2 3
15 2 2 3 1 3 1 2 1 2 3 2 3 1
16 2 3 1 2 1 2 3 3 1 2 2 3 1
17 2 3 1 2 2 3 1 1 2 3 3 1 2
18 2 3 1 2 3 1 2 2 3 1 1 2 3
19 3 1 3 2 1 3 2 1 3 2 1 3 2
20 3 1 3 2 2 1 3 2 1 3 2 1 3
21 3 1 3 2 3 2 1 3 2 1 3 2 1
22 3 2 1 3 1 3 2 2 1 3 3 2 1
23 3 2 1 3 2 1 3 3 2 1 1 3 2
24 3 2 1 3 3 2 1 1 3 2 2 1 3
25 3 3 2 1 1 3 2 3 2 1 2 1 3
26 3 3 2 1 2 1 3 1 3 2 3 2 1
27 3 3 2 1 3 2 1 2 1 3 1 3 2
CHƯƠNG 7
312
Bảng 7.12 Quy hoạch L36
L36 - quy hoạch nhân tố riêng phần với 11 nhân tố ở 2 mức giá trị và
12 nhân tố ở 3 mức giá trị (36 thí nghiệm)
N x1 x2 x3 x4 x5 x6 x7 x8 x9 x10 x11 x12 x13 x14 x15 x16 x17 x18 x19 x20 x21 x22 x23
1 1 1 1 1 1 1 1 1 1 1 1 1 1 1 1 1 1 1 1 1 1 1 1
2 1 1 1 1 1 1 1 1 1 1 1 2 2 2 2 2 2 2 2 2 2 2 2
3 1 1 1 1 1 1 1 1 1 1 1 3 3 3 3 3 3 3 3 3 3 3 3
4 1 1 1 1 1 2 2 2 2 2 2 1 1 1 1 2 2 2 2 3 3 3 3
5 1 1 1 1 1 2 2 2 2 2 2 2 2 2 2 3 3 3 3 1 1 1 1
6 1 1 1 1 1 2 2 2 2 2 2 3 3 3 3 1 1 1 1 2 2 2 2
7 1 1 2 2 2 1 1 1 2 2 2 1 1 2 3 1 2 3 3 1 2 2 3
8 1 1 2 2 2 1 1 1 2 2 2 2 2 3 1 2 3 1 1 2 3 3 1
9 1 1 2 2 2 1 1 1 2 2 2 3 3 1 2 3 1 2 2 3 1 1 2
10 1 2 1 2 2 1 2 2 1 1 2 1 1 3 2 1 3 2 3 2 1 3 2
11 1 2 1 2 2 1 2 2 1 1 2 2 2 1 3 2 1 3 1 3 2 1 3
12 1 2 1 2 2 1 2 2 1 1 2 3 3 2 1 3 2 1 2 1 3 2 1
13 1 2 2 1 2 2 1 2 1 2 1 1 2 3 1 3 2 1 3 3 2 1 2
14 1 2 2 1 2 2 1 2 1 2 1 2 3 1 2 1 3 2 1 1 3 2 3
15 1 2 2 1 2 2 1 2 1 2 1 3 1 2 3 2 1 3 2 2 1 3 1
16 1 2 2 2 1 2 2 1 2 1 1 1 2 3 2 1 1 3 2 3 3 2 1
17 1 2 2 2 1 2 2 1 2 1 1 2 3 1 3 2 2 1 3 1 1 3 2
18 1 2 2 2 1 2 2 1 2 1 1 3 1 2 1 3 3 2 1 2 2 1 3
19 2 1 2 2 1 1 2 2 1 2 1 1 2 1 3 3 3 1 2 2 1 2 3
20 2 1 2 2 1 1 2 2 1 2 1 2 3 2 1 1 1 2 3 3 2 3 1
21 2 1 2 2 1 1 2 2 1 2 1 3 1 3 2 2 2 3 1 1 3 1 2
22 2 1 2 1 2 2 2 1 1 1 2 1 2 2 3 3 1 2 1 1 3 3 2
23 2 1 2 1 2 2 2 1 1 1 2 2 3 3 1 1 2 3 2 2 1 1 3
24 2 1 2 1 2 2 2 1 1 1 2 3 1 1 2 2 3 1 3 3 2 2 1
25 2 1 1 2 2 2 1 2 2 1 1 1 3 2 1 2 3 3 1 3 1 2 2
26 2 1 1 2 2 2 1 2 2 1 1 2 1 3 2 3 1 1 2 1 2 3 3
27 2 1 1 2 2 2 1 2 2 1 1 3 2 1 3 1 2 2 3 2 3 1 1
28 2 2 2 1 1 1 1 2 2 1 2 1 3 2 2 2 1 1 3 2 3 1 3
29 2 2 2 1 1 1 1 2 2 1 2 2 1 3 3 3 2 2 1 3 1 2 1
30 2 2 2 1 1 1 1 2 2 1 2 3 2 1 1 1 3 3 2 1 2 3 2
31 2 2 1 2 1 2 1 1 1 2 2 1 3 3 3 2 3 2 2 1 2 1 1
32 2 2 1 2 1 2 1 1 1 2 2 2 1 1 1 3 1 3 3 2 3 2 2
33 2 2 1 2 1 2 1 1 1 2 2 3 2 2 2 1 2 1 1 3 1 3 3
34 2 2 1 1 2 1 2 1 2 2 1 1 3 1 2 3 2 3 1 2 2 3 1
35 2 2 1 1 2 1 2 1 2 2 1 2 1 2 3 1 3 1 2 3 3 1 2
36 2 2 1 1 2 1 2 1 2 2 1 3 2 3 1 2 1 2 3 1 1 2 3
PHƯƠNG PHÁP TAGUCHI 313
Bảng 7.13 Quy hoạch L16 với 4 mức giá trị, 2 đến 5 nhân tố
N x1 x2 x3 x4 x5
1 1 1 1 1 1
2 1 2 2 2 2
3 1 3 3 3 3
4 1 4 4 4 4
5 2 1 2 3 4
6 2 2 1 4 3
7 2 3 4 1 2
8 2 4 3 2 1
9 3 1 3 4 2
10 3 2 4 3 1
11 3 3 1 2 4
12 3 4 2 1 3
13 4 1 4 2 3
14 4 2 3 1 4
15 4 3 2 4 1
16 4 4 1 3 2
Tóm lại theo số nhân tố và số mức giá trị ta chọn ma trận quy hoạch
tương ứng theo Bảng 7.14.
Bảng 7.14 Chọn lựa ma trận trực giao LN
Số
mức
giá
trị
Số nhân tố
2 3 4 5 6 7 8 9 10 11 12 13 14 15 16
2 L4 L4 L8 L8 L8 L8 L12 L12 L12 L12 L16 L16 L16 L16 L32
3 L9 L9 L9 L18 L18 L18 L18 L27 L27 L27 L27 L27 L36 L36 L36
4 L16 L16 L16 L16 L32 L32 L32 L32 L32
5 L25 L25 L25 L25 L25 L50 L50 L50 L50 L50 L50
7.3. SỬ DỤNG MINITAB
Thực hiện quy hoạch thực nghiệm theo phương pháp Taguchi theo
trình tự:
1. Trên menu Stat ta chọn lần lượt DOE > Taguchi > Create Taguchi
Design (Hình 7.2) để tạo ma trận quy hoạch (trực giao). Trên Taguchi tab
chọn số mức giá trị và số các nhân tố.
CHƯƠNG 7
314
Hình 7.2
Mỗi cột trên ma trận trực giao tương ứng 1 nhân tố với 2 đến 5 mức
giá trị (Hình 7.3).
2. Có thể trên menu Stat chọn DOE > Taguchi > Define Custom
Taguchi Design để tạo ma trận quy hoạch từ số liệu đã nhập trên worksheet.
3. Sau khi tạo ma trận quy hoạch, bạn có thể hiển thị hoặc hiệu chỉnh
ma trận quy hoạch:
- Trên menu Stat DOE > Display Design để thay đổi đơn vị
(coded hoặc uncoded) mà Minitab sẽ hiển thị giá trị các nhân tố
trên worksheet.
- Trên menu Stat DOE > Modify Design thay đổi tên nhân tố,
thay đổi mức giá trị các nhân tố, bỏ qua nhân tố signal hiện có
(treat the design as static), và thêm mức độ mới cho nhân tố
signal hiện có.
4. Tiến hành thực nghiệm và thu được các giá trị dữ liệu đáp ứng.
5. Trên Stat menu chọn DOE > Taguchi > Analyze Taguchi
Design để phân tích kết quả thực nghiệm.
6. Trên Stat menu chọn DOE > Taguchi > Predict Taguchi
Results để dự đoán tỉ số tín hiệu trên nhiễu và đặc tính đáp ứng cho các thiết
lập nhân tố mới được chọn.
7. Ma trận trực giao trên phần mềm Taguchi.
PHƯƠNG PHÁP TAGUCHI 315
Hình 7.3
7.4. VÍ DỤ ỨNG DỤNG PHƯƠNG PHÁP TAGUCHI
Trong ví dụ này nghiên cứu ảnh hưởng các nhân tố đến độ nhám bề
mặt khi phay chi tiết trên máy CNC.
Xác định các nhân tố, tiêu chí đánh giá chất lượng
Các nhân tố chính ảnh hưởng đến chất lượng độ nhám bề mặt là: vận
tốc cắt (v), lượng chạy dao (S) và chiều sâu cắt (h) (Bảng 7.15). Ngoài 3
nhân tố trên, chất lượng bề mặt còn chịu ảnh hướng của các nhân tố khác
như: vật liệu gia công, đường kính dao cắt, các giá trị góc của dao, kích
thước dao, vật liệu dao, loại máy, độ cứng của máy,…
Bảng 7.15 Giá trị các nhân tố trong thực nghiệm
TT Thông số thiết kế
Ký hiệu nhân tố Mức độ nhân tố Khoảng
thay
đổi
Tự
nhiên
Mã
hóa
Thấp Trung bình cao
1 Vận tốc cắt (m/min) v x1 45 60 75 30
2 Bước tiến dao
(mm/vg)
S x2 0,18 0,24 0,3 0,12
3 Chiều sâu cắt (mm) h x3 0,2 0,35 0,5 0,3
CHƯƠNG 7
316
Xác định nhân tố gây nhiễu
Nhân tố gây nhiễu: chất lượng vật liệu được gia công, yếu tố gá đặt,
kẹp chặt, độ sạch của mâm cập, tay nghề người gia công…
Lựa chọn bảng trực giao, ma trận quy hoạch thực nghiệm
Trong nghiên cứu đánh giá ảnh hưởng của các thông số công nghệ
như: vận tốc cắt, lượng chạy dao, chiều sâu cắt đến độ nhám bề mặt sau khi
gia công chi tiết trên máy phay CNC. Nếu quy hoạch thực nghiệm toàn phần
ta cần N = 33
= 27 thí nghiệm. Đối với quy hoạch Taguchi ta chọn ma trận
quy hoạch trực giao L9 với N = 33-1
= 9 thí nghiệm. Mỗi thí nghiệm được
lặp lại n = 5 lần đo độ nhám.
Việc đánh giá tỷ lệ S/N giúp các nhà công nghệ biết xu hướng và mức
độ ảnh hưởng của từng thông số đến độ nhám gia công. Từ các nhận biết đó
giúp các nhà nghiên cứu nhanh chóng tìm ra các thông số chế độ cắt và
phạm vi cần tác động để tìm thông số công nghệ gia công là tốt nhất. Đồng
thời từ đó cũng đánh giá riêng lẻ các ảnh hưởng của các thông số công nghệ
tối ưu cho chất lượng chi tiết sau gia công.
Bảng ma trận quy hoạch với các kết quả thực nghiệm cho trong Bảng 7.17.
Bảng 7.17 Bảng kết quả thực nghiệm và xử lý kết quả theo Taguchi
N
Các nhân tố chế độ cắt Nhân tố mã hóa Độ
nhám
Ra
(µm)
Tỉ số
S/N
v
(m/min)
s
(mm/vg)
h
(mm)
x1 x2 x3
1 45 0,18 0,2 1 1 1 4.5 -13.0643
2 45 0.24 0.35 1 2 2 6.8 -16.6502
3 45 0.3 0.5 1 3 3 8.9 -18.9878
4 60 0.18 0.35 2 1 2 4.8 -13.6248
5 60 0.24 0.5 2 2 3 8.2 -18.2763
6 60 0.3 0.2 2 3 1 6.7 -16.5215
7 75 0.18 0.5 3 1 3 3.9 -11.8213
8 75 0.24 0.2 3 2 1 4.5 -13.0643
9 75 0.3 0.35 3 3 2 7.1 -17.0252
Theo đó tính giá trị trong cột S/N: Yêu cầu đặt ra là sản phẩm sau quá
trình gia công đạt độ nhám bề mặt là thấp nhất, do vậy công thức được chọn
theo Công thức (7.2):
PHƯƠNG PHÁP TAGUCHI 317
n
2
10 i
i 1
S 1
10log y
N n 
 
   
 
 

Kết quả tính toán trên Minitab như sau:
Response Table for Signal to Noise Ratios
Smaller is better
Level v s t
1 -16.23 -12.84 -14.22
2 -16.14 -16.00 -15.77
3 -13.97 -17.51 -16.36
Delta 2.26 4.67 2.15
Rank 2 1 3
Taguchi Analysis: y versus v, s, t
Response Table for Means
Level v s t
1 6.733 4.400 5.233
2 6.567 6.500 6.233
3 5.167 7.567 7.000
Delta 1.567 3.167 1.767
Rank 3 1 2
Hình 7.4
CHƯƠNG 7
318
Hình 7.5 Phân tích S/N (Ra) trên phần mềm Minitab
Các kết quả và phân tích phương sai ANOVA đưa vào Bảng 7.18.
Bảng 7.18 Các nhân tố ảnh hưởng đến độ nhám bề mặt S/N
STT
Mức giá
trị nhân tố
Công thức
tính
Nhân tố
Chế độ tối ưu
v s h
1 1 Công thức (7.5) -16,23 -12,84 -14,22 v3s1h1
v = 75 m/min)
S = 0,18 mm/vg)
h = 0,2 mm)
2 2 Công thức (7.5) -16,14 -16,00 -15,77
3 3 Công thức (7.5) -13,97 -17,51 -16,36
4 Mean (m) (1+2+3)/3 -15,45 -15,45 -15,45
5 Max Max(1,2,3) -13,97 -12,84 -14,22
6 Max - m 5 - 4 1,48 2,61 1,23
7 % ảnh
hưởng
6/(Tổng hàng
6)
27,81 49,06 23,12
8 Delta max - min 2,26 4,67 2,15
Rank 2 1 3
PHƯƠNG PHÁP TAGUCHI 319
Giá trị trung bình tại các mức giá trị các nhân tố trong Bảng 7.18 được
xác định theo công thức (7.5):
3
1
i 1 2 3
i 1
1 S 1 S S S
v
3 N 3 N N N
13,0643 16,6
1
( 502 18,9878) 16,234
3
1

 
       
   
 
       
       
    
 


Tương tự tính cho các giá trị trung bình còn lại theo Bảng 7.8.
Nghiên cứu này mục đích tìm các thông số công nghệ cho độ nhám bề
mặt là nhỏ nhất v3s1h1 (Ra = 2.48889 µm) với vận tốc v = 75 m/min, lượng
đưa phôi s = 0,18 mm/vg và chiều sâu cắt h = 0,2 mm.
Theo phương pháp Taguchi thì ta đánh giá giá trị đáp ứng tại các mức
giá trị, ví dụ 3 mức giá trị như Hình 7.6 và đánh giá mức độ ảnh hưởng các
nhân tố đên thông số đầu ra chỉ theo các mức giá trị này. Để thu được
PTHQ ta sử dụng: bậc 1 hoặc bậc 2. Khi sử dụng PTHQ bậc 1 (đường cong
1), ta nội suy điểm đầu và điểm cuối miền giá trị nhân tố, do đó không đánh
giá sự ảnh hưởng các nhân tố bên trong miền giá trị các nhân tố đến thông
số đầu ra. Để xét đến ảnh hưởng các nhân tố bên trong miền giá trị đến
thông số đầu ra và tìm giá trị cực trị ta sử dụng PTHQ bậc 2 (đường cong 3
Hình 7.6).
Hình 7.6 So sánh phương pháp Taguchi, PTHQ bậc 1 và bậc 2
Theo Hình 7.6 nếu theo PTHQ bậc 1 thì nhỏ nhất của đáp ứng tại xmin,
theo Taguchi thì tại x10, nhưng theo PTHQ bậc 2 thì nhỏ nhất nằm trong
khoảng (x1min, x10), có nghĩa là có thể cho kết quả chính xác hơn.
CHƯƠNG 7
320
PTHQ bậc nhất
Analysis of Variance
Source DF Adj SS Adj MS F-Value P-Value
Model 6 24.9743 4.1624 11.13 0.085
Linear 3 18.0183 6.0061 16.06 0.059
v 1 3.0402 3.0402 8.13 0.104
s 1 3.7202 3.7202 9.95 0.088
h 1 5.5010 5.5010 14.71 0.062
2-Way Interactions 3 1.5693 0.5231 1.40 0.443
v*s 1 1.4860 1.4860 3.97 0.184
v*h 1 0.7202 0.7202 1.93 0.300
s*h 1 0.4002 0.4002 1.07 0.410
Error 2 0.7479 0.3740
Total 8 25.7222
Model Summary
S R-sq R-sq(adj) R-sq(pred)
0.611529 97.09% 88.37% 0.00%
Coded Coefficients
Term Effect Coef SE Coef T-Value P-Value VIF
Constant 6.156 0.204 30.20 0.001
v -2.152 -1.076 0.377 -2.85 0.104 2.29
s 2.381 1.190 0.377 3.15 0.088 2.29
h 2.895 1.448 0.377 3.84 0.062 2.29
v*s 2.257 1.129 0.566 1.99 0.184 3.43
v*h -1.571 -0.786 0.566 -1.39 0.300 3.43
s*h -1.171 -0.586 0.566 -1.03 0.410 3.43
Regression Equation in Uncoded Units
Ra = 7.58 - 0.250 v - 32.6 s + 46.2 h + 1.254 v*s - 0.349 v*h -
65.1 s*h
Regression Equation in coded Units
Ra = 6.156 - 1.076 x1 + 1.190 x2 + 1.448 x3 + 1.129 x1*x2 -
0.786 x1*x3 - 0.586 x2*x3
PHƯƠNG PHÁP TAGUCHI 321
Các hệ số đều có ý nghĩa theo Pareto Chart.
Hình 7.7
PTHQ bậc 2
Để thu được PTHQ bậc 2 ta tiến hành thêm 2 thí nghiệm ở tâm với các
kết quả trung bình y10 = 6,1 µm và y11 = 6,2 µm.
Bảng 7.19 Bảng ma trận quy hoạch và kết quả thực nghiệm
N
Các nhân tố chế độ cắt
Nhân tố mã
hóa
Kết quả đo độ nhám Ra
(µm)
Trung
bình
Ra (µm)
v
(m/ph)
s
(mm/vg)
h
(mm)
x1 x2 x3 Ra1 Ra2 Ra3 Ra4 Ra5
1 45 0,18 0,2 -1 -1 -1 4,3 4,6 4,6 4,4 4,6 4,5
2 45 0,24 0,35 -1 0 0 6,9 6,6 6,9 6,7 6,9 6,8
3 45 0,3 0,5 -1 1 1 8,8 8,7 8,9 8,9 8,7 8,9
4 60 0,18 0,35 0 -1 0 4,9 4,6 4,9 4,9 4,7 4,8
5 60 0,24 0,5 0 0 1 8,5 8,0 8,1 8,1 8,3 8,2
6 60 0,3 0,2 0 1 -1 6,5 6,6 7,0 6,6 6,8 6,7
7 75 0,18 0,5 1 -1 1 3,7 4,0 3,7 4,0 3,8 3,9
8 75 0,24 0,2 1 0 -1 4,8 4,3 4,4 4,5 4,5 4,5
9 75 0,3 0,35 1 1 0 7,0 7,1 7,2 7,3 7,1 7,1
10 60 0,24 0,35 0 0 0 6,0 6,2 6,1 6,0 6,2 6,1
11 60 0,24 0,35 0 0 0 6,0 6,3 6,3 6,3 6,1 6,2
CHƯƠNG 7
322
Xử lý trên Minitab ta có kết quả như sau:
Nhập ma trận quy hoạch và kết quả vào Minitab, sau đó trên Stat
menu chọn DOE> Response Surface > Define Custom Response Surface
Design…
Hình 7.8
Sau đó tiếp tục trên Stat menu chọn DOE> Response Surface >
Analyze… Custom Response Surface Design… Cuối cùng có kết quả sau:
Response Surface Regression: Ra versus x1, x2, x3
Analysis of Variance
Source DF Adj SS Adj MS F-Value P-Value
Model 9 127.666 14.1851 620.34 0.000
Linear 3 87.175 29.0585 1270.78 0.000
x1 1 9.761 9.7613 426.88 0.000
x2 1 13.255 13.2554 579.68 0.000
x3 1 21.655 21.6554 947.03 0.000
Square 3 3.727 1.2423 54.33 0.000
x1*x1 1 1.321 1.3213 57.78 0.000
x2*x2 1 0.212 0.2123 9.29 0.004
x3*x3 1 2.480 2.4800 108.46 0.000
2-Way Interaction 3 8.498 2.8326 123.87 0.000
x1*x2 1 6.075 6.0750 265.67 0.000
x1*x3 1 1.976 1.9763 86.43 0.000
x2*x3 1 0.890 0.8898 38.91 0.000
Error 45 1.029 0.0229
Total 54 128.695
Model Summary
S R-sq R-sq(adj) R-sq(pred)
0.151217 99.20% 99.04% 98.79%
Coded Coefficients
Term Coef SE Coef T-Value P-Value VIF
Constant 6.1500 0.0478 128.61 0.000
PHƯƠNG PHÁP TAGUCHI 323
x1 -1.0283 0.0498 -20.66 0.000 3.25
x2 1.1983 0.0498 24.08 0.000 3.25
x3 1.5317 0.0498 30.77 0.000 3.25
x1*x1 -0.3783 0.0498 -7.60 0.000 1.48
x2*x2 -0.1517 0.0498 -3.05 0.004 1.48
x3*x3 0.5183 0.0498 10.41 0.000 1.48
x1*x2 1.3500 0.0828 16.30 0.000 6.00
x1*x3 -0.7700 0.0828 -9.30 0.000 6.00
x2*x3 -0.5167 0.0828 -6.24 0.000 6.00
Regression Equation in Coded Units
Ra = 6.1500 - 1.0283 x1 + 1.1983 x2 + 1.5317 x3 - 0.3783 x1*x1 -
0.1517 x2*x2 + 0.5183 x3*x3 + 1.3500 x1*x2 - 0.7700 x1*x3 -
0.5167 x2*x3
Regression Equation in Uncoded Units
Ra = 5.83 - 0.1070 v - 29.71 s + 28.40 h - 0.001681 v*v - 42.1 s*s
+ 23.04 h*h + 1.5000 v*s - 0.3422 v*h - 57.41 s*h
Response Optimization: Ra
Parameters
Response Goal Lower Target Upper Weight Importance
Ra Minimum 3.9 8.9 1 1
Solution
Ra Composite
Solution v s h Fit Desirability
1 75 0.18 0.2 1.38333 1
Multiple Response Prediction
Variable Setting
v 75
s 0.18
h 0.2
Response Fit SE Fit 95% CI 95% PI
Ra 1.383 0.150 (-0.523, 3.289) (-0.724, 3.490)
Hình 7.9
CHƯƠNG 7
324
Theo phân tích tỷ lệ S/N bằng phần mềm Minitab với kết quả phân
tích cho trên Hình 7.9 ta có mức độ ảnh hưởng của từng thông số công nghệ
đến độ nhám bề mặt. Như vậy khi phay trên máy phay CNC thì kết quả thực
nghiệm cho thấy rằng lượng chạy dao có ảnh hưởng lớn nhất đến độ nhám
bề mặt. Tương tự chiều sâu cắt tăng cũng làm gia tăng độ nhám bề mặt, tuy
nhiên mức độ ảnh hưởng này nhỏ (độ dốc nhỏ).
Để tìm miền giá trị thông số công nghệ hợp lý, ví dụ tìm miền thông
số v và s khi h = 0,35mm để 5 µm  Ra  2 µm (Hình 7.10). trên Stat
menu chọn DOE > Response Surface > Overlaid Contour Plot…
Hình 7.10
BÀI TẬP
7.1. Áp dụng phương pháp Taguchi để tìm ra các điều kiện tối ưu của quá
trình nhuộm vải. Các nhân tố và mức giá trị và ma trận cũng như kết quả
thực nghiệm trong Bảng 7.19 và 7.20. Xử lý và phân tích kết quả.
Bảng 7.19 Các nhân tố và mức giá trị
STT Nhân tố
Ký hiệu Mức giá trị Khoảng
thay đổi
Tự
nhiên
Mã
hóa
Dưới,
1
Cơ
sở, 2
Trên,
3
1 Nồng độ Evercion
Red EXL (%)
A x1 2,5 3,0 3,5 0,5
2 Nồng độ Na2SO4
(g/L)
B x2 60 70 80 10
3 Nồng độ Na2CO3
(g/L)
C x3 3,8 4,8 5,8 1
4 Nhiệt độ (0
C) D x4 70 80 90 10
PHƯƠNG PHÁP TAGUCHI 325
Bảng 7.20 Ma trận quy hoạch và kết quả thực nghiệm
N
Nhân tố mã hóa Kết quả thực nghiệm
A B C D R1 R2 R3
1 1 1 1 1 12,91 12,39 11,71
2 1 2 2 2 17,03 17,46 17,88
3 1 3 3 3 17,06 16,26 16,44
4 2 1 2 3 18,10 18,32 18,33
5 2 2 3 1 18,24 18,85 18,78
6 2 3 1 2 20,38 20,94 19,89
7 3 1 3 2 20,56 20,29 19,93
8 3 2 1 3 19,85 19,42 19,50
9 3 3 2 1 18,93 19,85 18,32
7.2. Bài tập lớn: Phương pháp Taguchi.
Sinh viên (học viên) tìm hiểu 01 bài báo khoa học liên quan phương
pháp Taguchi và trình bày trong thuyết minh các nội dung sau:
1. Tóm tắt nội dung bài báo khoa học (Abstract).
2. Các nhân tố đầu vào, đầu ra, miền giá trị.
3. Dạng ma trận quy hoạch thực nghiệm, số thí nghiệm lặp (lựa chọn),
kết quả thực nghiệm.
4. Xử lý kết quả thực nghiệm trên Minitab.
5. So sánh kết quả bài báo với Minitab.
6. Nhận xét chung.
CHƯƠNG 8
326
Chương 8
QUY HOẠCH HỖN HỢP THÀNH PHẦN –
TÍNH CHẤT (MIXTURE DESIGN)
Chương này gồm các nội dung sau:
8.1. Giới thiệu
8.2. Quy hoạch Simplex Lattice
8.3. Quy hoạch Simplex Centroid
8.4. Quy hoạch Simplex Axial
8.5. Quy hoạch Extreme Vertex
8.6. Quy hoạch thực nghiệm tối ưu
Bài tập
QUY HOẠCH HỖN HỢP THỰC NGHIỆM – TÍNH CHẤT 327
8.1. GIỚI THIỆU
Quy hoạch hỗn hợp được phát triển nhanh chóng như là một phương
pháp mặt đáp ứng vào những năm 1950. Tuy nhiên, thời gian đầu không có
cơ sở toán học thống nhất cho các quy hoạch hỗn hợp. Vào những năm 1950
chỉ có 2 nghiên cứu về các quy hoạch này, nhưng với nội dung thu hẹp trong
mỗi nghiên cứu [7]. Đến năm 1958 Henry Scheffé trong bài báo về quy
hoạch hỗn hợp mạng đơn hình (Simplex lattice) đưa ra phương pháp nghiên
cứu và phân tích quy hoạch hỗn hợp [8]. Vào năm 1963 Scheffé viết tiếp bài
báo nghiên cứu về một dạng quy hoạch hỗn hợp khác là tâm khối đơn hình
(Simplex centroid) [9]. Và từ đó phương pháp này bắt đầu được phổ biến,
đặc biệt các lãnh vực hóa học, vật liệu (chất dẻo, kim loại, xây dựng, dệt
may,…).
Quy hoạch hỗn hợp là dạng quy hoạch mặt đáp ứng đặc biệt, trong đó
mỗi thành phần (nhân tố) đều có giá trị giới hạn từ 0 đến 1 và tổng các giá
trị thành phần (nhân tố) phải bằng 1. Nếu có 𝑝 thành phần trong một hỗn
hợp, ta chỉ cần 𝑝 - 1 thành phần để xác định giá trị của thành phần cuối
cùng. Các ràng buộc làm phát sinh không gian thiết kế (𝑝 - 1) chiều được
gọi là đơn hình (simplex).
Kích thước không gian quy hoạch nhỏ hơn số thành phần (nhân tố) 1
bậc. Ví dụ trường hợp 3 nhân tố thì ta biểu diễn không gian quy hoạch trong
mặt phẳng, cụ thể hình tam giác đều như Hình 8.1.
x1 = 0
x1 (1,0,0)
x2 (0,1,0) x3 (0,0,1)
Hình 8.1 Biểu diễn giá trị các nhân tố
Các đỉnh có các thành phần tinh khiết 1 nhân tố (giá trị bằng 1).
 Điểm dọc theo cạnh biểu diễn hỗn hợp 2 nhân tố (binary blends).
 Một điểm nằm bên trong hình biễu diễn tỉ lệ hỗn hợp các nhân tố
khác không.
 Điểm trọng tâm các tỉ lệ các thành phần bằng nhau.
CHƯƠNG 8
328
Trên Hình 8.1 biểu diễn simplex của 3 nhân tố (thành phần). Do các
thành phần của hỗn hợp bị ràng buộc và phải tổng bằng 1, các hệ số PTHQ
không được xác định một cách duy nhất. Thay vì loại bỏ một trong các hệ số
PTHQ, ta xác định mô hình PTHQ tương đương. Để tìm dạng mô hình
PTHQ tương đương, ta xem xét một mô hình PTHQ mặt đáp ứng bậc 2 đầy
đủ với hai nhân tố 𝑥1, 𝑥2:
𝐸(𝑦) = 𝛽0 + 𝛽1𝑥1 + 𝛽2𝑥2 + 𝛽12𝑥1𝑥2 + 𝛽11𝑥1
2
+ 𝛽22𝑥2
2
(8.1)
Do giá trị tổng các nhân tố bằng 1 và suy ra:
Khi đó bình phương thành phần các nhân tố:
Do tổng các thành phần bằng 1:
Thay thế vào PTHQ ban đầu ta có:
Kết quả ta loại bỏ các hệ số bậc 2 trong PTHQ và khi đó PTHQ của
QHTN hỗn hợp chỉ là bậc 1. Tập hợp các mô hình quy hoạch hỗn hợp được
gọi là mô hình chuẩn hoặc mô hình hỗn hợp Scheffe (hoặc Borkowski).
Theo quy ước, các dấu hoa thị được loại bỏ khỏi các hệ số trong các mô
hình PTHQ chuẩn. Nói chung, các mô hình PTHQ bậc 1 và bậc 2 như sau:
Bậc thấp hơn của các mô hình hỗn hợp chuẩn có cách giải thích khá
đơn giản:
QUY HOẠCH HỖN HỢP THỰC NGHIỆM – TÍNH CHẤT 329
 Mỗi hệ số 𝛽𝑖 đại diện cho đáp ứng mong đợi của một hỗn hợp với
𝑥𝑖 = 1, 𝑥𝑗 = 0, với 𝑖 ≠ 𝑗. Về mặt đáp ứng, biểu diễn chiều cao dự
kiến của mặt ở đỉnh của mỗi thành phần.
 Mỗi 𝛽𝑖𝑗 đại diện cho sự tương tác các nhân tố (thành phần) hỗn hợp
và thể hiện độ cong của mặt đáp ứng.
Có 4 dạng chủ yếu: Simplex lattice, Simplex centroid, Simplex axial
và Extreme vertex. Mỗi dạng quy hoạch hỗn hợp được sử dụng với mục
đích riêng biệt.
8.2. QUY HOẠCH SIMPLEX LATTICE
Quy hoạch Simplex lattice là dạng quy hoạch hỗn hợp đầu tiên do
Scheffé đưa ra trong bài báo của mình vào 1958 [7]. Dạng quy hoạch
Simplex lattice được sử dụng cho số lượng nhỏ các nhân tố với mặt đáp ứng
là đa thức bậc 2 hoặc cao hơn cho các trường hợp mô tả chính xác. Trong
trường hợp tổng quát, quy hoạch hỗn hợp {𝑝, 𝑚} Simplex lattice bao gồm 𝑝
nhân tố (phần tử) và 𝑚 khoảng giá trị giữa các điểm quy hoạch theo một
mặt của đơn hình (Hình 8.2). Tổng quát, các điểm quy hoạch như sau:
x1 = 1
x2 = 1 x3 = 1
x1 = x3 =
1
2
x2 = 0
x1 = 1
x2 = 1 x3 = 1
x2 = 0
x1 = ,
2
3
x3 =
1
3
a) {3, 2} b) {3, 3}
x1 = 1
x2 = 1 x4 = 1
x3 = 1
x1 = 1
x2 = 1 x4 = 1
x3 = 1
c) {4, 2} d) {4, 3}
Hình 8.2 Simplex lattice
CHƯƠNG 8
330
Số điểm quy hoạch (thí nghiệm) N được xác định theo công thức sau:
Trong trường hợp 3 nhân tố (p = 3), số khoảng giá trị là 2 (m = 2), thì
số điểm quy hoạch (số thí nghiệm) N = 4! / (2! . 2!) = 6 (Hình 8.2a và 8.3).
Trong quy hoạch này, các điểm trải đều toàn bộ simplex, khi p = 3 ta
có sơ đồ như Hình 8.3 [53].
x1 = 1
1
2
3 4 5
6
x3 = 1
x2 = 1
(1, 0, 0)
(1/2, 0, 1/2)
(0, 0, 1)
(1/2, 1/2, 0)
(0, 1/2, 1/2)
(0, 1, 0)
Hình 8.3
Bảng 8.1 Ma trận quy hoạch Simplex lattice {3, 2}, {4, 2}
Quy hoạch {3, 2} Hình 8.2a Quy hoạch {4, 2} Hình 8.2c
No
x1 x2 x3 No
x1 x2 x3 x4
1 1 0 0 1 1 0 0 0
2 0 +1 0 2 0 1 0 0
3 0 0 +1 3 0 0 1 0
4 1/2 1/2 0 4 0 0 0 1
5 1/2 0 1/2 5 1/2 1/2 0 0
6 0 1/2 1/2 6 1/2 0 1/2 0
7 1/2 0 0 1/2
8 0 1/2 1/2 0
9 0 1/2 0 1/2
10 0 0 1/2 1/2
QUY HOẠCH HỖN HỢP THỰC NGHIỆM – TÍNH CHẤT 331
Ví dụ một số ma trận quy hoạch Simplex lattice.
Bảng 8.2 Ma trận quy hoạch Simplex lattice {3, 3}
STT Quy hoạch {3, 3} Hình 8.3b
x1 x2 x3
1 1 0 0
2 0 +1 0
3 0 0 +1
4 1/3 2/3 0
5 1/3 0 2/3
6 2/3 1/3 0
7 0 1/3 2/3
8 0 2/3 1/3
9 2/3 0 1/3
10 1/3 1/3 1/3
Bảng 8.3 Ma trận quy hoạch Simplex lattice {4, 3}
STT Quy hoạch {4, 3} hình 8.3d
x1 x2 x3 x4
1 1 0 0 0
2 0 +1 0 0
3 0 0 +1 0
4 0 0 0 +1
5 1/3 2/3 0 0
6 1/3 0 2/3 0
7 1/3 0 0 2/3
8 2/3 1/3 0 0
9 0 1/3 2/3 0
10 0 1/3 0 2/3
11 2/3 0 1/3 0
12 0 2/3 1/3 0
13 0 0 1/3 2/3
14 1/3 0 2/3 1/3
15 0 2/3 0 1/3
16 2/3 0 0 1/3
17 0 1/3 1/3 0
18 0 1/3 0 1/3
19 1/3 0 1/3 1/3
20 0 1/3 1/3 1/3
CHƯƠNG 8
332
Ví dụ 8.1 Một nhà nghiên cứu đang phát triển một loại sợi được sử dụng để
sản xuất vải làm rèm. Vật liệu vải gồm 3 thành phần: polyethylene (𝑥1),
polystyrene (𝑥2), và polypropylene (𝑥3). Nhà nghiên cứu đang quan tâm
phát triển lại vải này chỉ từ 2 trong 3 thành phần trên. Mục tiêu là pha trộn 2
thành phần với mục tiêu để độ giãn dài của sợi lớn nhất khi lực tác dụng.
Nhà nghiên cứu sử dung quy hoạch {3, 2} Simplex lattice dựa trên một mô
hình PTHQ. Ma trận và kết quả thực nghiệm cho trong Bảng 8.4. Trong đó
các thí nghiệm lặp 2 lần.
Bảng 8.4 Ma trận và kết quả thực nghiệm
No
x1 x1 x2 Y1 Y2 Y3 Y
1 1 0 0 11 12,4 11,5
2 1/2 1/2 0 15 14,8 16,7 15,75
3 1/2 0 1/2 17,7 16,4 16,6 16,5
4 0 +1 0 8,8 10 9,4
5 0 1/2 1/2 10 9,7 11,8 10,9
6 0 0 +1 16,8 16,00 16,4
Trên Hình 8.4 là hình ảnh phụ thuộc độ giãn dài của sợi vào thành
phần các nhân tố. Độ giãn dài tăng dần khi chuyển từ màu xanh nhạt sang
đậm. Độ giãn dài của sợi lớn nhất mong đợi với thành phần 30,3 %
polyethylene và 69,7 % polypropylene.
Hình 8.4 Đường đồng mức độ giãn dài của sợi
QUY HOẠCH HỖN HỢP THỰC NGHIỆM – TÍNH CHẤT 333
Sử dụng Minitab
Vào menu Stat chọn DOE > Mixture > Create Mixture Design
Hình 8.5
Chọn các nút tương ứng trong các hộp thoại sau đó như Hình 7.6. Chú
ý hộp thoại Hình 8.6c có thể chọn thí nghiệm lặp khác nhau giữa các thí
nghiệm (Vertex, Double blend, Center point…)…
a) b)
c) d)
Hình 8.6 Các hộp thoại tương ứng
CHƯƠNG 8
334
- Từ menu Stat chọn lần lượt DOE > Mixture > Analyze Mixture
Design.
- Trên hộp thoại Responses, enter Y (Ký hiệu đáp ứng – thông số
đầu ra).
- Trên Type of Model, chọn Mixture components and process
variables.
- Trên Analyze Components in, chọn Proportions.
- Trên Model Fitting Method, chọn Mixture regression.
- Nhấp nút Terms.
- Sử dụng mũi tên nhấp và chọn Selected Terms các hệ số tương ứng.
- Nhấp OK và sau đó chọn Graphs.
- Trên Residual Plots, chọn Four in one.
- Nhấp OK trên mỗi hộp thoại.
Sau khi tính toán kết quả như sau:
Regression for Mixtures: y versus A, B, C
Estimated Regression Coefficients for y (component proportions)
Term Coef SE Coef T P VIF
A 11.70 0.4941 * * 1.500
B 9.40 0.4941 * * 1.500
C 16.40 0.4941 * * 1.500
A*B 17.40 2.4207 7.19 0.000 1.500
A*C 12.00 2.4207 4.96 0.003 1.500
B*C -12.20 2.4207 -5.04 0.002 1.500
S = 0.698809 PRESS = 11.72
R-Sq = 97.44% R-Sq(pred) = 89.78% R-Sq(adj) = 95.31%
Analysis of Variance for y (component proportions)
Source DF Seq SS Adj SS Adj MS F P
Regression 5 111.727 111.7267 22.3453 45.76 0.000
Linear 2 55.865 50.9200 25.4600 52.14 0.000
Quadratic 3 55.862 55.8620 18.6207 38.13 0.000
A*B 1 26.579 25.2300 25.2300 51.67 0.000
A*C 1 16.880 12.0000 12.0000 24.57 0.003
B*C 1 12.403 12.4033 12.4033 25.40 0.002
Residual Error 6 2.930 2.9300 0.4883
Total 11 114.657
QUY HOẠCH HỖN HỢP THỰC NGHIỆM – TÍNH CHẤT 335
Predicted Response for New Design Points Using Model for y
Point Fit SE Fit 95% CI 95% PI
1 11.7000 0.4941 (10.4909, 12.9091) ( 9.6058, 13.7942)
2 14.9000 0.4941 (13.6909, 16.1091) (12.8058, 16.9942)
3 17.0500 0.4941 (15.8409, 18.2591) (14.9558, 19.1442)
4 9.4000 0.4941 ( 8.1909, 10.6091) ( 7.3058, 11.4942)
5 9.8500 0.4941 ( 8.6409, 11.0591) ( 7.7558, 11.9442)
6 16.4000 0.4941 (15.1909, 17.6091) (14.3058, 18.4942)
7 11.7000 0.4941 (10.4909, 12.9091) ( 9.6058, 13.7942)
8 14.9000 0.4941 (13.6909, 16.1091) (12.8058, 16.9942)
9 17.0500 0.4941 (15.8409, 18.2591) (14.9558, 19.1442)
10 9.4000 0.4941 ( 8.1909, 10.6091) ( 7.3058, 11.4942)
11 9.8500 0.4941 ( 8.6409, 11.0591) ( 7.7558, 11.9442)
12 16.4000 0.4941 (15.1909, 17.6091) (14.3058, 18.4942)
Hình 8.7 là mặt đáp ứng và giá trị lớn nhất giữa polyethylene và
polypropylene.
Hình 8.7 Mô hình mặt độ giãn dài của sợi
Sau khi thu thập dữ liệu ta xác định PTHQ có dạng:
𝑦̂ = 11,7𝑥1 + 9,4𝑥2 + 16,4𝑥3 + 17,4𝑥1𝑥2 + 12,0𝑥1𝑥3 – 12,2𝑥2𝑥3
Để xác định thành phần tối ưu trên menu Stat ta chọn
> DOE > Mixture > Response Optimizer.
CHƯƠNG 8
336
Hình 8.8
Nhập các thông số tương ứng ta thu được kết quả tối ưu như Hình 8.9.
Hình 8.9 Thành phần tối ưu với độ giãn dài lớn nhất
8.3. QUY HOẠCH SIMPLEX CENTROID
Quy hoạch Simplex centroid được sử dụng với mục đích tương tự
simplex lattice hoặc sử dụng trong các trường hợp có nhiều thành phần
trong hỗn hợp. Khi đó thêm vào điểm trọng tâm.
Quy hoạch Simplex centroid với p nhân tố có các đặc tính sau (Bảng 8.4):
- p vị trí thực nghiệm (1, 0,…0)
-
p
2
 
 
 
vị trí thực nghiệm
1 1
, ,0,...0
2 2
 
 
 
QUY HOẠCH HỖN HỢP THỰC NGHIỆM – TÍNH CHẤT 337
-
p
3
 
 
 
vị trí thực nghiệm
1 1 1
, , , 0,...0
3 3 3
 
 
 
- Tổng quát ta có
p
k
 
 
 
vị trí thí nghiệm
1 1
,... ,0,...0
k k
 
 
 
đến khi k = p
- Khi k = p, vị trí thí nghiệm tại trọng tâm theo
1 1
,...
p p
 
 
 
- Tổng số thí nghiệm
p
p
i 1
p
N 2 1
i

 
  
 
 

Ví dụ với QHTN hỗn hợp với 3 nhân tố thì vị trí các điểm thí nghiệm
được xác định như sau:
 
1 2 3
x ,x ,x
1 1 1 1 1 1 1 1 1
(1,0,0),(0,1,0),(0,0,1), , ,0 , ,0, , 0, , , , ,
2 2 2 2 2 2 3 3 3
 
       
 
       
       
 
Tổng số thí nghiệm:
3
N 2 1 7
  
Các điểm quy hoạch được cho trong Hình 8.10 [53] và Bảng 8.5.
Hình 8.10 Các điểm quy hoạch Simplex centroid
CHƯƠNG 8
338
Bảng 8.5 Ma trận quy hoạch Simplex Centroid {3, 2}, {4, 2}
Quy hoạch {3, 2} Hình 8.10a Quy hoạch {4, 2} Hình 8.10b
No
x1 x2 x3 No
x1 x2 x3 x4
1 1 0 0 1 1 0 0 0
2 0 +1 0 2 0 1 0 0
3 0 0 +1 3 0 0 1 0
4 1/2 1/2 0 4 0 0 0 1
5 1/2 0 1/2 5 1/2 1/2 0 0
6 0 1/2 1/2 6 1/2 0 1/2 0
7 1/3 1/3 1/3 7 1/2 0 0 1/2
8 0 1/2 1/2 0
9 0 1/2 0 1/2
10 0 0 1/2 1/2
11 1/3 1/3 1/3 0
12 1/3 1/3 0 1/3
13 1/3 0 1/3 1/3
14 0 1/3 1/3 1/3
15 1/4 1/4 1/4 1/4
Về sử dụng Minitab tương tự Simplex Lattice. Chú ý trên hộp thoại
Create Mixture Design, chọn nút Augment the design with center points.
Hình 8.11
QUY HOẠCH HỖN HỢP THỰC NGHIỆM – TÍNH CHẤT 339
Hoặc trên hộp thoại Create Mixture Design ta chọn Simplex centroid.
Hình 8.12
8.4. QUY HOẠCH SIMPLEX AXIAL
Nếu như quy hoạch Simplex lattice và Simplex centroid các điểm nằm
ở đường biên (ngoại trừ centroid có 1 điểm nằm ở trọng tâm) thì quy hoạch
Simplex axial bao gồm các điểm nằm bên trong simplex.
Quy hoạch Simplex centroid với p nhân tố có các đặc tính sau (Bảng
8.6):
- p vị trí thí nghiệm (1, 0,…0)
-
p
2
 
 
 
vị trí thí nghiệm
1 1
, ,0,...0
2 2
 
 
 
-
p
3
 
 
 
vị trí thí nghiệm
1 1 1
, , ,0,...0
3 3 3
 
 
 
- Tổng quát ta có
p
k
 
 
 
vị trí thí nghiệm
1 1
,... ,0,...0
k k
 
 
 
đến khi k = p
- Khi k = p, vị trí thí nghiệm tại trọng tâm theo
1 1
,...
p p
 
 
 
- Tổng số thí nghiệm
p
p
i 1
p
N 2 1
i

 
  
 
 

CHƯƠNG 8
340
Quy hoạch Simplex axial cho 3 nhân tố trong hỗn hợp có dạng như
Hình 8.13 [53]. Ma trận quy hoạch được trình bày trên Bảng 8.6.
x1 = 1
1
7
2 8 3
9
x3 = 1
x2 = 1
(1/2, 0, 1/2)
(1/2, 1/2, 0)
(0, 1/2, 1/2)
0
(1/3, 1/3, 1/3)
4
5 6
(4/6, 1/6, 1/6)
(1/6, 1/6, 4/6)
(1/6, 4/6, 1/6)
Hình 8.13 Các điểm quy hoạch Simplex axial
Bảng 8.6 Ma trận quy hoạch Simplex axial
Quy hoạch {3, 2} Quy hoạch {4, 2}
No
x1 x1 x2 No
x1 x1 x2 x4
1 +1 0 0 1 +1 0 0 0
2 0 +1 0 2 0 +1 0 0
3 0 0 +1 3 0 0 +1 0
4 1/2 1/2 0 4 0 0 0 +1
5 1/2 0 1/2 5 1/2 1/2 0 0
6 0 1/2 1/2 6 1/2 0 1/2 0
7 4/6 1/6 1/6 7 1/2 0 0 1/2
8 1/6 4/6 1/6 8 0 1/2 1/2 0
9 1/6 1/6 4/6 9 0 1/2 0 1/2
10 1/3 1/3 1/3 10 0 0 1/2 1/2
11 1/3 1/3 1/3 0
12 1/3 1/3 0 1/3
13 1/3 0 1/3 1/3
14 0 1/3 1/3 1/3
15 1/4 1/4 1/4 1/4
16 5/8 1/8 1/8 1/8
17 1/8 5/8 1/8 1/8
18 1/8 1/8 5/8 1/8
19 1/8 1/8 1/8 5/8
QUY HOẠCH HỖN HỢP THỰC NGHIỆM – TÍNH CHẤT 341
Về sử dụng Minitab tương tự Simplex lattice. Chú ý trên hộp thoại
Create Mixture Design, chọn cả 2 nút Augment the design with axial
points và Augment the design with center points.
Hoặc trên hộp thoại Create Mixture Design ta chọn Simplex
centroid. Và sau đó trên hộp thoại Create Mixture Design, chọn cả nút
Augment the design with axial points.
Hình 8.14
8.5. QUY HOẠCH EXTREME VERTEX (MC LEARN ADERSON)
Quy hoạch Extreme vertex được sử dụng khi có ràng buộc với 1 nhân
tố nào đó trong hỗn hợp (ví dụ có thành phần lớn nhất hoặc nhỏ nhất) hoặc
khi có ràng buộc tuyến tính vài nhân tố. Trong quy hoạch này các hàm ràng
buộc xác định miền giá trị các nhân tố, và sử dụng các điểm giao giữa các
hàm ràng buộc và các đường biên là các điểm thí nghiệm. Ví dụ ta có các
ràng buộc sau [53]:
x2 < 0,7
-2x1 + 2x2 + 3x3 > 0
48x1 + 13x2 - x3 > 0
Khi đó miền giá trị các nhân tố và miền giới hạn theo Hình 8.15.
CHƯƠNG 8
342
1
2
0
3
4
5
6
0
– X1 + 2X2 + 3X3 > 0
48X1 + 13X2 – X3 > 0
X2 < 0,7
0 1
1
X3
0
1
X2
X1
Hình 8.15
Ví dụ 8.2 Vật liệu cao su được tạo ra từ hỗn hợp Nitril butadiene (NBR,
X1), cao su Clopren (CR, X3) và Polyvinyl clorua (PVC, X2). Giới hạn các
thành phần như sau [33]:
1
2
3
1 2 3
0,2 x 0,6
0,1 x 0,4
0,2 x 0,5
x x x 1
 

  


 

   

4
9
2
5
3
7
1 8 6
12
13
10
11
X2 (PVC)
K
L
E
F
A
D
G
H C M B X3 (CR)
X1 (NBR)
Hình 8.16 Quy hoạch Extreme vertex (Mc Learn – Anderson) [33]
Quy hoạch Mc Lean – Anderson được xây dựng như sau:
1. Viết tất cả tổ hợp khả dĩ của hai mức giới hạn trên dưới cho từng
cặp hai cấu tử một (bỏ trống một cấu tử). Tổng số ta có: 3  23-1
= 12 tổ hợp.
QUY HOẠCH HỖN HỢP THỰC NGHIỆM – TÍNH CHẤT 343
Bảng 8.7
TT X1 X2 X3 Điểm được chọn cho quy hoạch mới
1 0,2 0,1 -
(1) x3 = 0,3
2 0,6 0,1 -
3 0,2 0,4 -
4 0,6 0,4 - (2) x3 = 0,4
5 0,2 - 0,2
(3) x2 = 0,2
(4) x2 = 0,3
6 0,6 - 0,2
7 0,2 - 0,5
8 0,6 - 0,5
9 - 0,1 0,2
(5) x1 = 0,4
(6) x1 = 0,4
10 - 0,4 0,2
11 - 0,1 0,5
12 - 0,4 0,5
2. Trong số 12 tổ hợp kể trên ta chọn tổ hợp để khi thêm thành phần thứ
3 thì thỏa mãn các điều kiện (1) và (2) tức là từng nồng độ nằm trong vùng
giới hạn và tổng nồng độ các cấu tử phải bằng 1. Dễ dàng nhận thấy đó là các
tổ hợp theo thứ tự: 2, 3, 6, 7, 10 và 11. Các điểm thí nghiệm của quy hoạch
mới ký hiệu (1), (2), (3), (4), (5) và (6) trong Bảng 8.7 và trên Hình 8.16. Kết
quả ta có quy hoạch thực nghiệm Mc Lean – Anderson trong Bảng 8.8.
Bảng 8.8 Ma trận thực nghiệm Mc Lean – Anderson
TT x1 x2 x3 Y (MPa) ŷ (MPa) y (MPa)
1 0,6 0,1 0,3 21,2 21,304 -0,104
2 0,2 0,4 0,4 16,5 16,502 -0,002
3 0,6 0,2 0,2 20,0 18,627 0,373
4 0,2 0,3 0,5 18,72 18,304 0,416
5 0,4 0,4 0,2 16,85 16,842 0,008
6 0,4 0,1 0,5 22,11 22,062 0,048
7 0,6 0,15 0,25 20,62 20,862 -0,242
8 0,5 0,1 0,4 22,35 22,197 0,153
9 0,2 0,35 0,45 17,17 17,536 -0,366
10 0,3 0,4 0,3 18,12 17,973 0,147
11 0,5 0,3 0,2 18,5 18,780 -0,280
12 0,3 0,2 0,5 21,2 21,516 -0,316
13 0,4 0,25 0,35 22,0 21,834 0,166
CHƯƠNG 8
344
Ta tìm mô hình thực nghiệm thống kê của kế hoạch trên ở dạng đa thức rút
gọn bậc 3 khuyết có 7 hệ số được xác định theo phương pháp bình phương
nhỏ nhất với việc giải hệ phương trình chuẩn bằng thuật toán SIMQ [6].
Kết quả tính toán đã tìm được mô hình sau
1 2 3 1 2
1 3 2 3 1 2 3
ŷ 14,266x 5,715x 13,028x 2,082x x
25,186x x 0,925x x 262,312x x x
   
  
1. Trên menu Stat chọn DOE > Mixture > Create Mixture Design.
2. Trên Type of Design, chọn Extreme vertices.
3. Từ Number of components, chọn 3.
4. Nhấp nút Designs, và sau đó chọn OK.
5. Nhấp Components và nhập các số liệu tương ứng như hình sau.
Hình 8.17
6. Nhấp nút Linear Constraints, và nhập các số liệu vào hộp thoại
Hình 8.18.
QUY HOẠCH HỖN HỢP THỰC NGHIỆM – TÍNH CHẤT 345
Hình 8.18
7. Nhấp OK hai lần và trở về hộp thoại chính.
8. Nhấp nút Process Vars. Trên hộp thoại Process Variables, nút
Number chọn 1.
Hình 8.19
9. Trên cột Name, nhập Temperature. Và trên các cột Low và High, nhập
tương ứng 80 và 90. Nhấp nút OK.
CHƯƠNG 8
346
10. Nhấp nút Results. Chọn Detailed description and design table.
Hình 8.20
11. Nhấp nút OK trên mỗi hộp thoại.
Extreme Vertices Design
Components: 3 Design points: 10
Process variables: 0 Design degree: 2
Mixture total: 1.00000
Number of Boundaries for Each Dimension
Point Type 1 2 0
Dimension 0 1 2
Number 6 6 1
Number of Design Points for Each Type
Point Type 1 2 3 0 -1
Distinct 5 5 0 0 0
Replicates 1 1 0 0 0
Total number 5 5 0 0 0
Bounds of Mixture Components
Amount Proportion Pseudocomponent
Comp Lower Upper Lower Upper Lower Upper
A 0.20000 0.45000 0.20000 0.45000 0.00000 0.62500
B 0.10000 0.40000 0.10000 0.40000 0.00000 0.75000
C 0.30000 0.50000 0.30000 0.50000 0.00000 0.50000
* NOTE * Bounds were adjusted to accommodate specified constraints.
Linear Constraints of Mixture Components
Constraint Lower A B C Upper
1 0.00000 -1.00000 0.00000 1.00000 1.00000 **
** indicates inconsistent or unnecessary upper bound.
* NOTE * Flagged constraints are ignored.
Design Table
QUY HOẠCH HỖN HỢP THỰC NGHIỆM – TÍNH CHẤT 347
Run Type A B C
1 1 0.20000 0.40000 0.40000
2 1 0.20000 0.30000 0.50000
3 1 0.40000 0.10000 0.50000
4 1 0.45000 0.10000 0.45000
5 1 0.30000 0.40000 0.30000
6 2 0.20000 0.35000 0.45000
7 2 0.42500 0.10000 0.47500
8 2 0.25000 0.40000 0.35000
9 2 0.30000 0.20000 0.50000
10 2 0.37500 0.25000 0.37500
Regression for Mixtures: y versus A, B, C
Estimated Regression Coefficients for y (component proportions)
Term Coef SE Coef T P VIF
A -414 379.4 * * 27862
B -201 384.6 * * 22579
C -313 256.8 * * 23110
A*B 931 1645.6 0.57 0.611 28615
A*C 1532 1284.2 1.19 0.319 62325
B*C 922 1298.1 0.71 0.529 41299
A*B*C -1238 3552.3 -0.35 0.750 20523
S = 2.32494 PRESS = 499.878
R-Sq = 89.93% R-Sq(pred) = 0.00% R-Sq(adj) = 69.79%
Analysis of Variance for y (component proportions)
Source DF Seq SS Adj SS Adj MS F P
Regression 6 144.817 144.8165 24.1361 4.47 0.124
Linear 2 106.326 19.2168 9.6084 1.78 0.310
Quadratic 3 37.833 36.9305 12.3102 2.28 0.258
A*B 1 0.059 1.7307 1.7307 0.32 0.611
A*C 1 17.349 7.6956 7.6956 1.42 0.319
B*C 1 20.426 2.7270 2.7270 0.50 0.529
Special Cubic 1 0.657 0.6567 0.6567 0.12 0.750
A*B*C 1 0.657 0.6567 0.6567 0.12 0.750
Residual Error 3 16.216 16.2161 5.4054
Total 9 161.033
CHƯƠNG 8
348
8.6. QUY HOẠCH THỰC NGHIỆM TỐI ƯU
Quy hoạch thực nghiệm tối ưu là một loại QHTN dựa theo một số tiêu
chí thống kê được lựa chọn. Tiêu chí thống kê sẽ liên quan đến các phương
sai có giá trị nhỏ nhất.
Việc tối ưu hóa dựa theo một số tiêu chí thống kê cho phép ước tính
các tham số mà không có độ lệch với phương sai tối thiểu hoặc tăng độ
chính xác của các giá trị dự đoán. Mục tiêu của quy hoạch tối ưu là loại bỏ
các QHTN không tối ưu, dẫn đến việc giảm số lần thực nghiệm để ước tính
các tham số với cùng độ chính xác.
Thông thường các nhà nghiên cứu sẽ sử dụng các QHTN truyền
thống, vì chúng được hỗ trợ bởi các nghiên cứu trong nhiều năm nhờ có các
đặc tính rất tốt giúp phân tích dữ liệu thực nghiệm trở nên đơn giản. Tuy
nhiên, các quy hoạch truyền thống yêu cầu một số lần thực nghiệm nhất
định và các kết hợp nhân tố để được thực hiện.
Ví dụ: thử nghiệm quy hoạch 3 × 4 với hai lần lặp yêu cầu 24 lần thực
nghiệm. Các ứng dụng trong thế giới thực của những quy hoạch truyền
thống này có thể phức tạp, vì những lý do dẫn đến mất tính trực giao trong
các quy hoạch này. Một số lý do này bao gồm:
• Một số lượng lớn các lần thí nghiệm theo yêu cầu của quy hoạch
truyền thống có thể không thực tế (ví dụ: hạn chế về chi phí và thời
gian có thể giới hạn số lần thí nghiệm).
• Một số tổ hợp yếu tố nhất định có thể không thí nghiệm được,
chẳng hạn như các hạn chế do đặc tính vật lý của các nhân tố hoặc
cài đặt và chức năng của thiết bị.
• Mô hình có thể quá phức tạp với việc cần thiết phải bao gồm các
thuật ngữ ngoại lai (ví dụ: các thuật ngữ mô hình độ cong phức tạp
không thể được tính đến trong các quy hoạch truyền thống).
Đôi khi, thực nghiệm đã được quy hoạch sẵn nhưng khi các nhà
nghiên cứu thực hiện thì phát hiện ra rằng một số thí nghiệm sẽ không tiến
hành được. Các quy hoạch tối ưu có thể được sử dụng để tìm ra những điểm
mới nhằm “sửa chữa” quy hoạch truyền thống có vấn đề, đồng thời giữ lại
những thí nghiệm khả thi.
QUY HOẠCH HỖN HỢP THỰC NGHIỆM – TÍNH CHẤT 349
BÀI TẬP
8.1 Sử dụng quy hoạch Simplex centroid để xác định thành phần Buoyant
Matrices của Dipyridamole từ 3 nhân tố (Bảng 8.9): HPMC K4M (X1),
sodium bicarbonate (X2) và Ethyl cellulose (X3). Các thông số đầu ra (đáp
ứng) tương ứng: Floating lag time (Y1) và Percentage drug release lúc 6 h
(Y2) (https://www.japsonline.com/admin/php/uploads/735_pdf.pdf).
Bảng 8.9
Mã hóa
Giá trị tự nhiên (mg)
X1 X2 X3
1 130 80 60
0 70 40 30
Kết quả thực nghiệm cho trong Bảng 8.10.
Bảng 8.10
Các nhân tố Kết quả thí nghiệm
X1 X2 X3 Y1 – FLT (s) Y2 – Rel 6 h (%)
1 1 1 0 172 86,66
2 1 0 1 146 88,1
3 0 1 1 107 98,32
4 0,5 0,5 0 123 89,68
5 0,5 0 0,5 104 92,62
6 0 0,5 0,5 90 96,66
7 0,33 0,33 0,33 130 94,43
Xử lý và phân tích kết quả thực nghiệm.
8.2. Bài tập lớn quy hoạch thành phần – hỗn hợp.
Sinh viên (học viên) tìm hiểu 01 bài báo khoa học liên quan quy hoạch
thành phần – hỗn hợp và trình bày trong thuyết minh các nội dung sau:
1. Tóm tắt nội dung bài báo khoa học (Abstract).
2. Các nhân tố đầu vào, đầu ra, miền giá trị.
3. Dạng ma trận QHTN, số thí nghiệm lặp (lựa chọn), kết quả thực
nghiệm.
4. Xử lý kết quả thực nghiệm trên Minitab.
5. So sánh kết quả bài báo với Minitab.
6. Nhận xét chung.
CHƯƠNG 9
350
Chương 9
QUY HOẠCH THỰC NGHIỆM CHỌN LỌC
(SCREENING DESIGN)
Chương này gồm các nội dung sau:
9.1. Quy hoạch thực nghiệm bão hòa
9.2. Sử dụng quy hoạch Plackett-Burman
9.3. Phương pháp cân bằng ngẫu nhiên
9.4. Phương pháp lấy ý kiến chuyên gia
QUY HOẠCH THỰC NGHIỆM CHỌN LỌC 351
Nhiệm vụ của QHTN chọn lọc là xác định các nhân tố ảnh hưởng nhất từ số
lượng lớn (hàng chục, hàng trăm) nhân tố liên quan đối tượng nghiên cứu.
Để xác định các nhân tố này ta có thể nhờ vào các chuyên gia mà không cần
tiến hành thực nghiệm, tuy nhiên, phương pháp này cũng là định tính. Trong
chương này trình bày các phương pháp thực nghiệm để giải quyết bài toán
trên. QHTN chọn lọc tìm ra các nhân tố ảnh hưởng nhất và nó không phải là
bước nghiên cứu cuối cùng. Sau đó ta sử dụng các nhân tố ảnh hưởng nhất
xác định trong QHTN chọn lọc để tiếp tục nghiên cứu (thực nghiệm) với
mục đích xây dựng mô hình toán cho đối tượng.
Theo kết quả thực nghiệm chọn lọc, danh sách các nhân tố ảnh hưởng
nhất chỉ đúng trong miền giá trị các nhân tố đã chọn.
Như ta đã biết từ k nhân tố, thu được mô hình bậc nhất mô tả đối
tượng, khi so sánh giá trị tuyệt đối các hệ số phương trình hồi quy, thì dễ
dàng tìm ra các nhân tố ảnh hưởng nhất: giá trị tuyệt đối các hệ số tuyến
tính càng lớn trong phương trình ở dạng mã hóa thì ảnh hưởng nhân tố đó
càng lớn. Khi thực hiện quy hoạch thực nghiệm chọn lọc ta tiến hành với
số lượng lớn các nhân tố và khi đó yêu cầu số lượng lớn các thí nghiệm.
Lúc đó, yêu cầu phải tiến hành quy hoạch thực nghiệm một cách hiệu quả
nhất mà vẫn thu được các kết quả mong muốn.
Bởi vì khi tiến hành thực nghiệm chọn lọc không cần thiết phải kiểm
tra tính thích hợp phương trình hồi quy cho nên ta chỉ cần thực hiện quy
hoạch thực nghiệm bão hòa hay gần bão hòa (số thí nghiệm N = số hệ số
PTHQ p) để thu mô hình tuyến tính đối tượng nghiên cứu.
Trong Chương 7 ta sử dụng phương pháp Taguchi được xem là một
trong các phương pháp thực nghiệm chọn lọc. Từ kết quả thực nghiệm theo
phương trình hồi quy hoặc phân tích ANOVA ta chọn lọc nhân tố nào ảnh
hưởng nhiều nhất với thông số đầu ra.
9.1. QUY HOẠCH THỰC NGHIỆM BÃO HÒA (BALANCED DESIGNS)
Quy hoạch thực nghiệm thỏa mãn các tính chất trên có thể là TNR 27-4
,
bao gồm 7 nhân tố và 8 thí nghiệm. Quy hoạch 215-11
gồm 15 nhân tố và N
= 16 thí nghiệm với các biểu thức sinh:
4
3
2
1
5 x
x
x
x
x  ; 3
2
1
6 x
x
x
x  ;
4
2
1
7 x
x
x
x  ; 4
3
1
8 x
x
x
x  ; 4
3
2
9 x
x
x
x  ;
2
1
10 x
x
x  ; 3
1
11 x
x
x  ; 4
1
12 x
x
x  ;
3
2
13 x
x
x  ; 4
2
14 x
x
x  ; 4
3
15 x
x
x 
CHƯƠNG 9
352
Ta có thể sử dụng TNR 231-26
= 32 thí nghiệm với 31 nhân tố và giả sử
rằng tương tác đôi ảnh hưởng ít hơn hệ số tuyến tính. Chỉ khi giả thuyết này
đúng thì sử dụng các phương pháp mới chính xác. Trong mục 9.3 ta khảo
sát phương pháp cân bằng ngẫu nhiên cho phép xác định không những ảnh
hưởng tuyến tính mà còn tương tác đôi.
Giải:
Thực nghiệm tiến hành với 7 nhân tố (Bảng 9.1) với ma trận quy hoạch và
kết quả thí nghiệm như Bảng 9.2.
Bảng 9.1 Các nhân tố và các mức giá trị
STT Nhân tố
Ký hiệu Mức giá trị Khoảng
thay
đổi
Tự
nhiên
Mã
hóa
Dưới -
1
Trên
+1
1 Chiều dài bàn chải (phần có lông cứng)
(mm)
L x1 4 20 16
2 Đường kính lông bàn chải (mm) d x2 0,2 0,5 0,3
3 Chiều rộng phần gắn lông bàn chải (mm) b x3 20 40 20
4 Lực nén chổi quét (N) f x4 0,6 1,2 0,6
5 Vận tốc vòng chổi quét (m/s) v x5 1,57 3,14 1,57
6 Chiều dày tấm vật liệu (mm) h x6 0,7 2,0 1,3
7 Hướng sợi (độ 0
)  x7 0 90 90
Bảng 9.2 Ma trận quy hoạch và kết quả thực nghiệm
N x1 x2 x3
x4
(x4=x1x2x3)
x5
(x5=x2x3)
x6
(x6 = x1x3)
x7
(x7= x1x2)
y
1 –1 –1 –1 –1 +1 +1 +1 5,2
2 +1 –1 –1 +1 +1 –1 –1 3,2
3 –1 +1 –1 +1 –1 +1 –1 3,0
4 +1 +1 –1 –1 –1 –1 +1 6,2
5 –1 –1 +1 +1 –1 –1 +1 5,0
6 +1 –1 +1 –1 –1 +1 –1 2,5
7 –1 +1 +1 –1 +1 –1 –1 4,6
8 +1 +1 +1 +1 +1 +1 +1 5,2
Ví dụ 9.1 Ví dụ sử dụng TNR bão hòa khi nghiên cứu phương pháp dò
khuyết tật tấm vật liệu bằng âm thanh. Nội dung phương pháp dò khuyết
tật là ma sát giữa chổi quay trên bề mặt tấm vật liệu tạo nên dao động âm.
QUY HOẠCH THỰC NGHIỆM CHỌN LỌC 353
Mỗi thí nghiệm ta đo 34 lần điện áp thu được từ microfone trên vùng
đo có khuyết tật hoặc không có khuyết tật. Đáp ứng trong thực nghiệm là
đại lượng
2
2
1
E
E
E
y

 với E1, E2 - giá trị điện áp trung bình thu được từ
microfone máy dò khuyết tật trên vùng có và không có khuyết tật. Mục tiêu
nghiên cứu là tìm ra các nhân tố ảnh hưởng nhất nên đáp ứng sử dụng TNR
27-4
với ma trận quy hoạch và kết quả thực nghiệm trình bày như Bảng 9.2.
Sau khi xử lý số liệu theo công thức (5.6) ta thu được phương trình hồi quy:
y = 4,363 – 0,08750 x1 + 0,3875 x2 – 0,03750 x3 – 0,2625 x4 + 0,1875 x5 –
0,3875 x6 + 1,038 x7
Từ phương trình trên ta thấy rằng nhân tố x7 là ảnh hưởng nhiều nhất,
kế tiếp là x6, x2, x4, x5. Các nhân tố x1 và x3 là ít ảnh hưởng nhất.
Sử dụng Minitab
Trường hợp sử dụng Minitab ta chọn và nhập các biểu thức sinh trên
các hộp thoại tương ứng như các Hình 9.1.
a) b)
c)
Hình 9.1
CHƯƠNG 9
354
Kết quả ta thu được phương trình hồi quy:
Term Effect Coef Coef T-Value P-Value VIF
Constant 4.363 * * *
X1 -0.17500 -0.08750 * * * 1.00
X2 0.7750 0.3875 * * * 1.00
X3 -0.07500 -0.03750 * * * 1.00
X4 -0.5250 -0.2625 * * * 1.00
X5 0.3750 0.1875 * * * 1.00
X6 -0.7750 -0.3875 * * * 1.00
X7 2.075 1.038 * * * 1.00
Regression Equation in Uncoded Units
y = 4.363 - 0.08750 X1 + 0.3875 X2 - 0.03750 X3 - 0.2625 X4
+ 0.1875 X5 - 0.3875 X6 + 1.038 X7
9.2. SỬ DỤNG QUY HOẠCH PLACKETT-BURMAN
(PLACKETT–BURMAN DESIGN)
TNR với số thí nghiệm là bội số của 2, có nghĩa là 4, 8, 16, 32, 64,...
Khi đó, nó hạn chế trong việc ứng dụng quy hoạch thực nghiệm chọn lọc.
Ví dụ, nếu ta đưa vào thực nghiệm 20 nhân tố, thì số thí nghiệm nhỏ nhất
là N = 220-15
= 32 thí nghiệm và không bão hòa.
Vào năm 1946, R. L. Plackett and J. P. Burman trong bài báo [2]
đưa ra ý tưởng xây dựng quy hoạch thực nghiệm trực giao bão hòa có thể
xây dựng không những đối với các giá trị N như TNR ở trên mà còn đối
với tất cả N là bội số của 4. Các quy hoạch này gọi là Plackett - Burman,
ví dụ N = 8, 12, 16, 20, 24, 32 và 36. Số nhân tố thay đổi tương ứng bằng
7, 11, 15, 19, 23, 31 và 35. Để xây dựng các quy hoạch này ta sử dụng sự
kết hợp các dấu như Bảng 9.3.
Bảng 9.3
k ≤ N Kết hợp dấu
7
11
15
8
12
16
+ + + – + – –
+ + – + + + – – – + –
+ + + + – + – + + – – + – – –
19 20 + + – – + + + + – + – + – – – – + + –
23
31
24
32
+ + + + + – + – + + – – + + – – + – + – – – –
– – – – + – + – + + + – + + – – – + + + + + – – + + – + – – +
35 36 – + – + + + – – – + + + + + – + + + – – + – – – – + – + – + + – – + –
Ví dụ ta xây dựng quy hoạch bão hòa với 11 nhân tố, bao gồm N = 12
thí nghiệm. Để làm được điều đó ta sử dụng bảng dấu trên Bảng 9.3, trình tự
dấu cộng và dấu trừ của hàng này đối với mức nhân tố x1 với các thí nghiệm
từ 1 đến 11.
QUY HOẠCH THỰC NGHIỆM CHỌN LỌC 355
Giải:
Ma trận quy hoạch theo phương pháp Plackett–Burman có dạng như
Bảng 9.4.
Bảng 9.4 Ma trận quy hoạch L8
N x1 x2 x3 x4 x5 x6 x7 y
1 +1 –1 –1 +1 –1 +1 +1 4,126
2 +1 +1 –1 –1 +1 –1 +1 6,576
3 +1 +1 +1 –1 –1 +1 –1 3,275
4 -1 +1 +1 +1 –1 –1 +1 5,776
5 +1 -1 +1 +1 +1 –1 –1 3,125
6 –1 +1 -1 +1 +1 +1 –1 3,375
7 –1 –1 +1 -1 +1 +1 +1 5,126
8 –1 –1 –1 –1 –1 –1 –1 3,525
Kết quả tính trên Minitab:
Model Summary
S R-sq R-sq(adj) R-sq(pred)
* 100.00% * *
Coded Coefficients
SE
Term Effect Coef Coef T-Value P-Value VIF
Constant 4.363 * * *
x1 -0.17500 -0.08750 * * * 1.00
x2 0.7750 0.3875 * * * 1.00
x3 -0.07500 -0.03750 * * * 1.00
x4 -0.5250 -0.2625 * * * 1.00
x5 0.3750 0.1875 * * * 1.00
x6 -0.7750 -0.3875 * * * 1.00
x7 2.076 1.038 * * * 1.00
Regression Equation in Uncoded Units
Y = 4.363 - 0.08750 x1 + 0.3875 x2 - 0.03750 x3 - 0.2625 x4
+ 0.1875 x5 - 0.3875 x6 + 1.038 x7
Từ phương trình trên ta thấy rằng nhân tố x7 là ảnh hưởng nhiều nhất,
kế tiếp là x6, x2, x4, x5.
Ví dụ 9.2 Xây dựng ma trân quy hoạch theo phương pháp Plackett–
Burman khi nghiên cứu phương pháp dò khuyết tật tấm vật liệu bằng âm
thanh. Nội dung phương pháp dò khuyết tật là ma sát giữa chổi quay trên
bề mặt tấm vật liệu tạo nên dao động âm. Thực nghiệm tiến hành với 7
nhân tố với các mức giá trị như Bảng 9.1.
CHƯƠNG 9
356
Sau đây là một số dạng ma trận quy hoạch, Bảng 9.5 là ma trận quy
hoạch với N = 12, hàng 12 tất cả các giá trị đều là trừ (–1). Giá trị cột thứ 2
(x2) đối với tất cả thí nghiệm nhận được bằng cách di chuyển cột x1 xuống
dưới 1 vị trí, khi đó dấu trừ hàng cuối cùng được viết đầu tiên. Tương tự với
các cột còn lại.
Bảng 9.5 Ma trận quy hoạch với N = 12, k ≤ 11
N x1 x2 x3 x4 x5 x6 x7 x8 x9 x10 x11
1 +1 –1 +1 –1 –1 –1 +1 +1 +1 –1 +1
2 +1 +1 –1 +1 –1 –1 –1 +1 +1 +1 –1
3 –1 +1 +1 –1 +1 –1 –1 –1 +1 +1 +1
4 +1 –1 +1 +1 –1 +1 –1 –1 –1 +1 +1
5 +1 +1 –1 +1 +1 –1 +1 –1 –1 –1 +1
6 +1 +1 +1 –1 +1 +1 –1 +1 –1 –1 –1
7 –1 +1 +1 +1 –1 +1 +1 –1 +1 –1 –1
8 –1 –1 +1 +1 +1 –1 +1 +1 –1 +1 –1
9 –1 –1 –1 +1 +1 +1 –1 +1 +1 –1 +1
10 +1 –1 –1 –1 +1 +1 +1 –1 +1 +1 –1
11 –1 +1 –1 –1 –1 +1 +1 +1 –1 +1 +1
12 –1 –1 –1 –1 –1 –1 –1 –1 –1 –1 –1
Dựa trên cơ sở này ta xây dựng quy hoạch Plackett-Burman cho N = 20
(Bảng 9.6), 24 (Bảng 9.7) và 36.
Bảng 9.6 Ma trận quy hoạch với N = 20, k ≤ 19
N x1 x2 x3 x4 x5 x6 x7 x8 x9 x10 x11 x12 x13 x14 x15 x16 x17 x18 x19
1 +1 -1 +1 +1 -1 -1 -1 -1 +1 -1 +1 -1 +1 +1 +1 +1 -1 -1 +1
2 +1 +1 -1 +1 +1 -1 -1 -1 -1 +1 -1 +1 -1 +1 +1 +1 +1 -1 -1
3 -1 +1 +1 -1 +1 +1 -1 -1 -1 -1 +1 -1 +1 -1 +1 +1 +1 +1 -1
4 -1 -1 +1 +1 -1 +1 +1 -1 -1 -1 -1 +1 -1 +1 -1 +1 +1 +1 +1
5 +1 -1 -1 +1 +1 -1 +1 +1 -1 -1 -1 -1 +1 -1 +1 -1 +1 +1 +1
6 +1 +1 -1 -1 +1 +1 -1 +1 +1 -1 -1 -1 -1 +1 -1 +1 -1 +1 +1
7 +1 +1 +1 -1 -1 +1 +1 -1 +1 +1 -1 -1 -1 -1 +1 -1 +1 -1 +1
8 +1 +1 +1 +1 -1 -1 +1 +1 -1 +1 +1 -1 -1 -1 -1 +1 -1 +1 -1
9 -1 +1 +1 +1 +1 -1 -1 +1 +1 -1 +1 +1 -1 -1 -1 -1 +1 -1 +1
10 +1 -1 +1 +1 +1 +1 -1 -1 +1 +1 -1 +1 +1 -1 -1 -1 -1 +1 -1
11 -1 +1 -1 +1 +1 +1 +1 -1 -1 +1 +1 -1 +1 +1 -1 -1 -1 -1 +1
12 +1 -1 +1 -1 +1 +1 +1 +1 -1 -1 +1 +1 -1 +1 +1 -1 -1 -1 -1
13 -1 +1 -1 +1 -1 +1 +1 +1 +1 -1 -1 +1 +1 -1 +1 +1 -1 -1 -1
14 -1 -1 +1 -1 +1 -1 +1 +1 +1 +1 -1 -1 +1 +1 -1 +1 +1 -1 -1
15 -1 -1 -1 +1 -1 +1 -1 +1 +1 +1 +1 -1 -1 +1 +1 -1 +1 +1 -1
16 -1 -1 -1 -1 +1 -1 +1 -1 +1 +1 +1 +1 -1 -1 +1 +1 -1 +1 +1
17 +1 -1 -1 -1 -1 +1 -1 +1 -1 +1 +1 +1 +1 -1 -1 +1 +1 -1 +1
18 +1 +1 -1 -1 -1 -1 +1 -1 +1 -1 +1 +1 +1 +1 -1 -1 +1 +1 -1
19 -1 +1 +1 -1 -1 -1 -1 +1 -1 +1 -1 +1 +1 +1 +1 -1 -1 +1 +1
20 -1 -1 -1 -1 -1 -1 -1 -1 -1 -1 -1 -1 -1 -1 -1 -1 -1 -1 -1
QUY HOẠCH THỰC NGHIỆM CHỌN LỌC 357
Bảng 9.7 Ma trận quy hoạch với N = 24, k ≤ 23
N x1 x2 x3 x4 x5 x6 x7 x8 x9 x10 x11 x12 x13 x14 x15 x16 x17 x18 x19 x20 x21 x22 x23
1 1 -1 -1 -1 -1 1 -1 1 -1 -1 1 1 -1 -1 1 1 -1 1 -1 1 1 1 1
2 1 1 -1 -1 -1 -1 1 -1 1 -1 -1 1 1 -1 -1 1 1 -1 1 -1 1 1 1
3 1 1 1 -1 -1 -1 -1 1 -1 1 -1 -1 1 1 -1 -1 1 1 -1 1 -1 1 1
4 1 1 1 1 -1 -1 -1 -1 1 -1 1 -1 -1 1 1 -1 -1 1 1 -1 1 -1 1
5 1 1 1 1 1 -1 -1 -1 -1 1 -1 1 -1 -1 1 1 -1 -1 1 1 -1 1 -1
6 -1 1 1 1 1 1 -1 -1 -1 -1 1 -1 1 -1 -1 1 1 -1 -1 1 1 -1 1
7 1 -1 1 1 1 1 1 -1 -1 -1 -1 1 -1 1 -1 -1 1 1 -1 -1 1 1 -1
8 -1 1 -1 1 1 1 1 1 -1 -1 -1 -1 1 -1 1 -1 -1 1 1 -1 -1 1 1
9 1 -1 1 -1 1 1 1 1 1 -1 -1 -1 -1 1 -1 1 -1 -1 1 1 -1 -1 1
10 1 1 -1 1 -1 1 1 1 1 1 -1 -1 -1 -1 1 -1 1 -1 -1 1 1 -1 -1
11 -1 1 1 -1 1 -1 1 1 1 1 1 -1 -1 -1 -1 1 -1 1 -1 -1 1 1 -1
12 -1 -1 1 1 -1 1 -1 1 1 1 1 1 -1 -1 -1 -1 1 -1 1 -1 -1 1 1
13 1 -1 -1 1 1 -1 1 -1 1 1 1 1 1 -1 -1 -1 -1 1 -1 1 -1 -1 1
14 1 1 -1 -1 1 1 -1 1 -1 1 1 1 1 1 -1 -1 -1 -1 1 -1 1 -1 -1
15 -1 1 1 -1 -1 1 1 -1 1 -1 1 1 1 1 1 -1 -1 -1 -1 1 -1 1 -1
16 -1 -1 1 1 -1 -1 1 1 -1 1 -1 1 1 1 1 1 -1 -1 -1 -1 1 -1 1
17 1 -1 -1 1 1 -1 -1 1 1 -1 1 -1 1 1 1 1 1 -1 -1 -1 -1 1 -1
18 -1 1 -1 -1 1 1 -1 -1 1 1 -1 1 -1 1 1 1 1 1 -1 -1 -1 -1 1
19 1 -1 1 -1 -1 1 1 -1 -1 1 1 -1 1 -1 1 1 1 1 1 -1 -1 -1 -1
20 -1 1 -1 1 -1 -1 1 1 -1 -1 1 1 -1 1 -1 1 1 1 1 1 -1 -1 -1
21 -1 -1 1 -1 1 -1 -1 1 1 -1 -1 1 1 -1 1 -1 1 1 1 1 1 -1 -1
22 -1 -1 -1 1 -1 1 -1 -1 1 1 -1 -1 1 1 -1 1 -1 1 1 1 1 1 -1
23 -1 -1 -1 -1 1 -1 1 -1 -1 1 1 -1 -1 1 1 -1 1 -1 1 1 1 1 1
24 -1 -1 -1 -1 -1 -1 -1 -1 -1 -1 -1 -1 -1 -1 -1 -1 -1 -1 -1 -1 -1 -1 -1
Quy hoạch Plackett-Burman cho phép nhận mô hình tuyến tính đối
tượng với số nhân tố ít hơn số thí nghiệm 1 giá trị. Quy hoạch này có đầy
đủ các tính chất TNT và TNR: tính chất đối xứng, chuẩn và trực giao. Do
đó, các hệ số phương trình hồi quy có thể xác định theo các công thức
(5.6) và (5.9).
CHƯƠNG 9
358
Bảng 9.8 Bảng giá trị các nhân tố
Nhân tố x1 x2 x3 x4 x5 x6 x7 x8 x9 x10
Thấp nhất (-1) 0,6 25 1,5 0,05 1,5 12 2 35 1,2 1,5
Cao nhất (+1) 1,3 45 30,5 0,25 55,5 14 22 80 6 6
Bảng 9.9 Kết quả thực nghiệm độ nhám Rz (µm)
N x0 x1 x2 x3 x4 x5 x6 x7 x8 x9 x10 max
z
R 2
i
S
1 1 +1 –1 +1 –1 –1 –1 +1 +1 +1 –1 50,25 7,8
2 1 +1 +1 –1 +1 –1 –1 –1 +1 +1 +1 21,76 4,38
3 1 –1 +1 +1 –1 +1 –1 –1 –1 +1 +1 25,92 5,19
4 1 +1 –1 +1 +1 –1 +1 –1 –1 –1 +1 34,59 14,82
5 1 +1 +1 –1 +1 +1 –1 +1 –1 –1 –1 39,59 13,2
6 1 +1 +1 +1 –1 +1 +1 –1 +1 –1 –1 31,08 5,69
7 1 –1 +1 +1 +1 –1 +1 +1 –1 +1 –1 60,41 26,57
8 1 –1 –1 +1 +1 +1 –1 +1 +1 –1 +1 34,75 11,09
9 1 –1 –1 –1 +1 +1 +1 –1 +1 +1 –1 22,92 6,03
10 1 +1 –1 –1 –1 +1 +1 +1 –1 +1 +1 66,74 26,69
11 1 –1 +1 –1 –1 –1 +1 +1 +1 –1 +1 68,24 24,66
12 1 –1 –1 –1 –1 –1 –1 –1 –1 –1 –1 26,75 10,12
Phương trình hồi quy bậc nhất có dạng:
1 2 3 4 5 6
7 8 9 10
y 40,25 0,418x 0,917 0,75 4,58 3,42 7,08
13,08 2,08 1,08 1,75
x x x x x
x x x x
      
   
Từ công thức ta thấy các hệ số b4 (x4) đến b7 (x7) là ảnh hưởng lớn
nhất đến đối tượng nghiên cứu.
Ví dụ 9.3 Sử dụng quy hoạch Plackett-Burman cho quá trình mài, gồm
10 nhân tố. Bảng giá trị các nhân tố trên Bảng 9.8 và ma trận quy hoạch
và kết quả như Bảng 9.9.
QUY HOẠCH THỰC NGHIỆM CHỌN LỌC 359
Sử dụng Minitab
Từ menu Stat chọn DOE>Screening> Create Factorial Design…
Hình 9.2
Xuất hiện hộp thoại Create Factorial Design
Hình 9.3
Chọn số nhân tố Number of Factors, chọn nút Display Available
Designs… sẽ xuất hiện Hộp thoại Create Screening Design: Display
Available Designs
CHƯƠNG 9
360
Hình 9.4
Chọn nút Options… Chọn Store design in worksheet.
Hình 9.5
Ta có kết quả Ma trận quy hoạch như sau:
Hình 9.6
QUY HOẠCH THỰC NGHIỆM CHỌN LỌC 361
Bước 2. Xác định các thông số thực nghiệm chọn lọc bằng ccasch chọ
các nút chọn tương ứng DOE > Screening > Define Custom Screening
Design…
Hình 9.7
Chọn các nhân tố và nhấp nút Select.
Hình 9.8
Nhấp nút Low/High xuất hiện hộp thoại Low/High và nhập các giá trị
nhỏ nhất và lớn nhất các thông số vào.
Sau đó chọn nút Ok và trên Worksheet ta nhập kết quả thực nghiệm
vào cột tương ứng.
CHƯƠNG 9
362
Bước tiếp theo ta tiến hành phân tích bằng cách chọn Analyze
Screening Design…
Factorial Regression: Y versus A, B, C, D, E, F, G, H, J, K
Analysis of Variance
Source DF Adj SS Adj MS F-Value P-Value
Model 10 3168.20 316.82 9504611.30 0.000
Linear 10 3168.20 316.82 9504611.30 0.000
X1 1 2.10 2.10 63001.00 0.003
X2 1 10.08 10.08 302500.00 0.001
X3 1 6.75 6.75 202500.00 0.001
X4 1 251.72 251.72 7551504.00 0.000
X5 1 140.08 140.08 4202500.00 0.000
X6 1 601.52 601.52 18045504.00 0.000
X7 1 2053.04 2053.04 61591104.00 0.000
X8 1 52.08 52.08 1562500.00 0.001
X9 1 14.08 14.08 422500.00 0.001
X10 1 36.75 36.75 1102500.00 0.001
Error 1 0.00 0.00
Total 11 3168.20
Model Summary
S R-sq R-sq(adj) R-sq(pred)
0.0057735 100.00% 100.00% 100.00%
Coded Coefficients
Term Effect Coef SE Coef T-Value P-Value VIF
Constant 40.2500 0.0017 24150.00 0.000
X1 0.83667 0.41833 0.00167 251.00 0.003 1.00
X2 1.83333 0.91667 0.00167 550.00 0.001 1.00
X3 -1.50000 -0.75000 0.00167 -450.00 0.001 1.00
X4 -9.16000 -4.58000 0.00167 -2748.00 0.000 1.00
X5 -6.83333 -3.41667 0.00167 -2050.00 0.000 1.00
X6 14.16000 7.08000 0.00167 4248.00 0.000 1.00
X7 26.1600 13.0800 0.0017 7848.00 0.000 1.00
X8 -4.16667 -2.08333 0.00167 -1250.00 0.001 1.00
X9 2.16667 1.08333 0.00167 650.00 0.001 1.00
X10 3.50000 1.75000 0.00167 1050.00 0.001 1.00
QUY HOẠCH THỰC NGHIỆM CHỌN LỌC 363
Hình 9.9
Regression Equation in Uncoded Units
y = 40.2500 + 0.41833 x1 + 0.91667 x2 - 0.75000 x3 - 4.58000 x4 -
3.41667 x5 + 7.08000 x6 + 13.0800 x7 - 2.08333 x8 + 1.08333 x9
+ 1.75000 x10
9.3. PHƯƠNG PHÁP CÂN BẰNG NGẪU NHIÊN
(RANDOM BALANCE DESIGNS)
Khi số nhân tố lớn ta sử dụng phương pháp cân bằng ngẫu nhiên.
Phương pháp cân bằng ngẫu nhiên là phương pháp thực nghiệm
chọn lọc cho phép xác định các ảnh hưởng tuyến tính và tương tác đôi
nhân tố.
Phương pháp này gọi là siêu bão hòa vì nhân tố và tương tác lớn hơn
nhiều so với số thí nghiệm. Nội dung phương pháp cân bằng ngẫu nhiên:
giữa số lượng lớn các nhân tố chỉ có vài nhân tố ảnh hưởng đáng kể và các
nhân tố còn lại gọi là các nhân tố nhiễu. Giai đoạn đầu tiên quy hoạch chọn
lọc là lập ma trận quy hoạch. Có thể xây dựng theo nhiều phương pháp khác
nhau, từ điều kiện cực tiểu hệ số tương quan lớn nhất giữa các cột. Thiết lập
các quy hoạch này có thể là nhà thực nghiệm hoặc sử dụng các dạng quy
hoạch sẵn có.
CHƯƠNG 9
364
Khi đó ta chia số nhân tố theo nhóm có từ 3-4 nhân tố. Sau đó đối với
mỗi nhóm ta thiết lập ma trận quy hoạch nhân tố toàn phần. Giả sử ta có 10
nhân tố, ta chia làm ba nhóm:
- Nhóm I gồm 4 nhân tố từ x1 đến x4.
- Nhóm II gồm 4 nhân tố từ x5 đến x8.
- Nhóm III gồm x9 và x10.
Đối với mỗi nhóm ta lập ma trận quy hoạch toàn phần, hai nhóm đầu
có 16 thí nghiệm. Nhóm III gồm hai nhân tố và lặp lại 4 lần (Bảng 9.10).
Ta đánh số ngẫu nhiên theo các cột kI, kII, kIII như Bảng 9.10.
Bảng 9.10 Bảng đánh số ngẫu nhiên xác định ma trận quy hoạch
N x1 x2 x3 x4 kI x5 x6 x7 x8 kII x9 x10 kIII
1 –1 –1 –1 –1 7 –1 –1 –1 –1 11 –1 –1 10
2 +1 –1 –1 –1 5 +1 –1 –1 –1 16 +1 –1 15
3 –1 +1 –1 –1 8 –1 +1 –1 –1 3 –1 +1 2
4 +1 +1 –1 –1 10 +1 +1 –1 –1 7 +1 +1 6
5 –1 –1 +1 –1 11 –1 –1 +1 –1 9 –1 –1 8
6 +1 –1 +1 –1 15 +1 –1 +1 –1 8 +1 –1 7
7 –1 +1 +1 –1 14 –1 +1 +1 –1 4 –1 +1 3
8 +1 +1 +1 –1 1 +1 +1 +1 –1 12 +1 +1 11
9 –1 –1 –1 +1 13 –1 –1 –1 +1 5 –1 –1 4
10 +1 –1 –1 +1 6 +1 –1 –1 +1 13 +1 –1 12
11 –1 +1 –1 +1 9 –1 +1 –1 +1 14 –1 +1 13
12 +1 +1 –1 +1 2 +1 +1 –1 +1 10 +1 +1 9
13 –1 –1 +1 +1 4 –1 –1 +1 +1 15 –1 –1 14
14 +1 –1 +1 +1 3 +1 –1 +1 +1 1 +1 –1 16
15 –1 +1 +1 +1 12 –1 +1 +1 +1 2 –1 +1 1
16 +1 +1 +1 +1 16 +1 +1 +1 +1 6 +1 +1 5
Sau đó ta lập ma trận trình tự thí nghiệm. Ví dụ thí nghiệm 1 (Bảng
9.10) với các nhân tố từ x1 đến x4 lấy theo hàng thứ 8 của cột kI, các nhân
tố từ x4 đến x8 theo hàng thứ 14 của cột kII và các nhân tố x9 và x10 theo
hàng thứ 15 của cột kIII. Tương tự ta lập được ma trận thực nghiệm như
Bảng 9.11.
Ví dụ 9.4 Sử dụng phương pháp cân bằng ngẫu nhiên cho trường hợp
10 nhân tố.
QUY HOẠCH THỰC NGHIỆM CHỌN LỌC 365
Bảng 9.11
N x1 x2 x3 x4 x5 x6 x7 x8 x9 x10 t1
y t 2
y t
y
1 +1 +1 +1 –1 +1 –1 +1 +1 –1 +1 58,4 56,6 57,5
2 +1 +1 –1 +1 –1 +1 +1 +1 –1 +1 78,6 79,8 79,2
3 +1 –1 +1 +1 –1 +1 –1 –1 –1 +1 54,2 55,8 55,0
4 -1 –1 +1 +1 –1 +1 +1 –1 –1 –1 20,2 18,6 19,4
5 +1 –1 –1 –1 –1 –1 –1 +1 +1 +1 8,2 8,6 8,4
6 +1 –1 –1 +1 +1 +1 +1 +1 +1 +1 80,2 82,4 81,3
7 –1 –1 –1 –1 +1 +1 –1 –1 +1 –1 30,6 32,4 31,5
8 –1 +1 –1 –1 +1 –1 +1 –1 –1 –1 42,2 44,8 43,5
9 –1 +1 –1 +1 –1 –1 +1 –1 +1 + 6,8 7,6 7,2
10 +1 +1 –1 –1 +1 +1 –1 +1 –1 –1 38,6 40,2 39,4
11 –1 –1 +1 –1 –1 –1 –1 –1 +1 +1 15,2 16,0 15,6
12 –1 +1 +1 +1 +1 +1 +1 –1 +1 –1 62,2 64,4 63,3
13 –1 –1 –1 +1 +1 –1 –1 +1 –1 +1 68,6 66,4 67,5
14 –1 +1 +1 –1 –1 +1 –1 +1 –1 –1 18,2 19,2 18,7
15 +1 –1 +1 –1 –1 –1 +1 +1 +1 –1 24,6 26,0 25,3
16 +1 +1 +1 +1 +1 –1 –1 –1 +1 –1 42,2 43,8 43,0
Theo ma trận quy hoạch như Bảng 9.11 ta tiến hành thí nghiệm với
kết quả trên các cột cuối của Bảng 9.11.
Theo kết quả thực nghiệm, ta xây dựng biểu đồ phân bố (Hình 9.10).
Theo trục hoành ta đưa ra mức giá trị nhân tố +1, –1, theo trục tung là giá trị
thông số đầu ra. Đối với mỗi nhân tố ta có số điểm giống nhau bằng với số
thí nghiệm N. Các điểm này chia làm hai nhóm: một nhóm tương ứng với
mức giá trị nhỏ nhất nhân tố, nhóm còn lại tương ứng giá trị lớn nhất.
Mức ảnh hưởng của nhân tố đáp ứng được đánh giá theo hiệu số giữa
các giá trị của vài chỉ tiêu đặc trưng bởi tâm nhóm, tập hợp các điểm với các
mức khác nhau một nhân tố. Tâm nhóm Bk không theo giá trị trung bình mà
theo điểm trung vị, tức là trung điểm hai điểm giữa các điểm quan sát.
Trong ví dụ này là trung điểm đoạn nằm giữa các điểm 4 và 5. Trên Hình
9.10 theo cách xác định trên thì nhân tố x5 và x4 ảnh hưởng nhiều nhất với
các giá trị B5 và B4 được xác định như sau:
    
5
B (57,5 43,5) / 2 (18,7 15,6) / 2 33,4 -(18,7+19,4)=31,45
B4 = (55,0+63,3)/2 – (25,3+31,5)/2 = 30,75
CHƯƠNG 9
366
Hình 9.10
Một chỉ tiêu nữa để đánh giá là số các điểm nổi bật, tức là các điểm
nằm trên điểm lớn nhất hoặc thấp hơn điểm nhỏ nhất của cùng nhân tố. Ví
dụ nhân tố x5 có bảy điểm nổi bật, nhân tố x4 có năm điểm nổi bật.
Ngoài ra ta còn tính theo tích giữa số các điểm nổi bật và khoảng cách
giữa hai điểm trung vị.
So sánh khi tính theo phương trình hồi quy với ma trận quy hoạch như
Hình 9.11.
Hình 9.11
QUY HOẠCH THỰC NGHIỆM CHỌN LỌC 367
Model Summary
S R-sq R-sq(adj) R-sq(pred)
18.1229 81.58% 44.74% 0.00%
Coded Coefficients
Term Effect Coef SE Coef T-Value P-Value VIF
Constant 40.99 4.53 9.05 0.000
x1 7.61 3.81 5.56 0.69 0.524 1.50
x2 -2.25 -1.12 5.22 -0.22 0.838 1.33
x3 5.89 2.95 5.24 0.56 0.598 1.34
x4 14.56 7.28 5.70 1.28 0.258 1.59
x5 30.64 15.32 5.16 2.97 0.031 1.29
x6 13.05 6.53 5.39 1.21 0.280 1.41
x7 9.12 4.56 4.92 0.93 0.396 1.18
x8 7.72 3.86 6.21 0.62 0.562 1.88
x9 -8.45 -4.22 5.18 -0.81 0.452 1.31
x10 15.31 7.66 6.18 1.24 0.270 1.86
Regression Equation in Uncoded Units
y = 40.99 + 3.81 x1 - 1.12 x2 + 2.95 x3 + 7.28 x4 + 15.32 x5
+ 6.53 x6 + 4.56 x7 + 3.86 x8 - 4.22 x9 + 7.66 x10
Dựa vào phương trình hồi quy thì các nhân tố ảnh hưởng nhiều nhất là x5, x10
và x4.
9.4. PHƯƠNG PHÁP LẤY Ý KIẾN CHUYÊN GIA
Đây là cách sử dụng phổ biến chọn các nhân tố ảnh hưởng dựa theo
kết quả lấy ý kiến các chuyên gia.
Tiến hành theo các bước sau:
Bước 1: Đặt bài toán, tổ chức và tiến hành lấy ý kiến các chuyên gia.
Ví dụ xét ảnh hưởng các nhân tố đến thời gian phá huỷ của một loại
thép hợp kim khi làm việc điều kiện nhiệt độ 800 0
C và ứng suất 300 MPa.
Các nhân tố khảo sát là thành phần các kim loại trong hợp kim: Al (x1), Mo
(x2), Nb (x3), Cr(x4), Zr (x5), Ti (x6), Co (x7), Fe (x8) và nhiệt độ nóng chảy
vật liệu (x9), nhiệt độ rót vào khuôn đúc (x10), vận tốc làm nguội khi kết tinh
(x11) và nhiệt độ ủ (x12).
Ta tiến hành lấy ý kiến 14 chuyên gia theo bảng khảo sát. Nhân tố nào
ảnh hưởng lớn nhất xếp hạng 1 và sau đó tăng dần đến nhân tố cuối cùng,
nếu hai hoăc nhiều nhân tố đồng hạng thì ta lấy cùng số. Kết quả khảo sát
cho trong Bảng 9.12.
CHƯƠNG 9
368
Bước 2: Xử lý ban đầu các kết quả lấy ý kiến. Định lại thứ hạng các
nhân tố theo ý kiến chuyên gia.
Bảng 9.12
Chuyên
gia (i)
Nhân tố (j)
x1 x2 x3 x4 x5 x6 x7 x8 x9 x10 x11 x12
1
2
3
4
5
6
7
8
9
10
11
12
13
14
3
4
2
2
3
1
1
1
1
2
2
2
1
1
4
3
2
1
4
2
3
1
1
1
3
3
4
4
1
2
1
1
2
4
4
1
2
3
4
4
3
3
2
1
1
1
1
3
2
1
2
4
1
1
2
2
8
8
5
3
9
6
9
3
6
7
11
10
5
6
7
5
6
5
10
5
10
5
7
8
9
5
5
6
5
12
7
6
5
7
8
4
5
9
10
9
6
5
11
10
8
9
11
9
11
6
8
10
12
11
8
5
12
11
3
4
12
8
7
2
3
5
5
12
7
7
6
7
3
4
6
8
6
2
3
5
6
6
7
7
9
6
3
7
7
8
5
2
4
5
7
8
7
7
10
9
4
8
8
10
12
7
9
6
8
7
9
7
m
y
1
x
 26 36 35 24 96 93 98 129 98 76 85 114
Thứ
hạng
2 4 3 1 8 7 9,5 12 9,5 5 6 11
Kết quả sơ bộ cho trong Bảng 9.11. Tuy nhiên một số chuyên gia, ví
dụ chuyên gia 3 đánh giá ở hạng 1 có hai nhân tố x3, x4, hạng 2 có hai nhân
tố x1, x2, ở hạng 3 có ba nhân tố x9, x10 và x11. Khi đó phải định lại thứ hạng
theo giá trị trung bình cộng như Bảng 9.13.
Bảng 9.13
Nhân tố x1 x2 x3 x4 x5 x6 x7 x8 x9 x10 x11 x12
Thứ hạng
ban đầu
2 2 1 1 5 6 7 8 3 3 3 4
Xếp hạng 3–4 3–4 1–2 1–2 9 10 11 12 5–7 5–7 5–7 5–7
Thứ hạng
đánh giá lại
3,5 3,5 1,5 1,5 9 10 11 12 6 6 6 8
Bước 3: Xác định tính thích hợp các kết quả lấy ý kiến ban đầu và thứ
tự đã định các nhân tố.
Bước 4: Kiểm tra tồn tại sự đồng thuận theo ý kiến các chuyên gia.
QUY HOẠCH THỰC NGHIỆM CHỌN LỌC 369
Bước 5: Kiểm tra sự thông thái các chuyên gia, chia chuyên gia
thành các nhóm (Bảng 9.14).
Bảng 9.14 Đánh giá các chuyên gia để đưa ra trọng số
Ngöôøi
ñaùnh
giaù
chuyeân
gia, h
Xeáp haïng chuyeân gia xi
x1 x2 x3 x4 x5 x6 x7 x8 x9 x10 x11 x12 x13 x14
1*
2
3
4
5
3
4
3
2
2
5
6
5
6
5
7
3
4
4
4
8
10
11
11
13
1
1
2
1
2
14
14
12
13
12
4
5
6
5
6
13
12
13
12
10
12
13
14
14
14
2
2
1
3
1
9
7
7
8
7
10
11
10
10
11
11
9
8
9
8
6
8
9
7
9
1h
h 1
a


15 27 22 53 7 65 26 60 67 9 38 52 45 39
h
37,5
 

l
22,5 10,5 15,5 15,5 30,5 27,5 11,5 22,5 29,5 28,5 0,5 14,5 7,5 1,5
2
l
506.25 110.25 240.25 240.25 930.25 756.25 132.25 506.25 870.25 812.25 0.25 210.25 56.25 2.25
2
l
5373,25
 

l 1.88 1.68 1.77 1.24 2 1.03 7.5 1.12 1 1.99 1.49 1.26 1.37 1.48
Bước 6. Phân tích và tổng hợp kết quả xếp hạng:
Hình 9.12 Xếp hạng các nhân tố
CHƯƠNG 9
370
Như thế bốn nhân tố ảnh hưởng nhiều nhất là x4, x1, x3, x2 (Hình
9.12).
Bước 7: Làm chính xác lại kết quả xếp hạng các nhân tố ảnh hưởng đã
xác định trong các bước trước đó.
BÀI TẬP
9.1. Sử dụng các phương pháp cân bằng ngẫu nhiên trên để xét các ảnh
hưởng 6 nhân tố đến độ nhám khi gia công thô vật liệu. Trong Bảng 9.15
đánh số ngẫu nhiên xác định ma trận quy hoạch.
Bảng 9.15
N x1 x2 x3 kI x4 x5 x6 kII
1 -1 -1 -1 3 -1 -1 -1 4
2 +1 -1 -1 1 +1 -1 -1 8
3 -1 +1 -1 7 -1 +1 -1 2
4 +1 +1 -1 8 +1 +1 -1 1
5 -1 -1 +1 4 -1 -1 +1 3
6 +1 -1 +1 2 +1 -1 +1 7
7 -1 +1 +1 6 -1 +1 +1 6
8 +1 +1 +1 5 +1 +1 +1 5
Bảng 9.16 kết quả thực nghiệm với số thí nghiệm lặp là n = 4.
Bảng 9.16
Nhân tố Kết quả
x1 x2 x3 x4 x5 x6 y1 y2 y3 y4
1 +1 -1 -1 +1 +1 -1 59,2 59,2 59,2 59,2
2 +1 -1 +1 -1 +1 -1 59,8 59,8 59,8 61,2
3 -1 -1 -1 -1 -1 +1 55,6 55,6 58,7 58,7
4 -1 -1 +1 -1 -1 -1 55,8 55,8 55,8 57,2
5 +1 +1 +1 +1 +1 +1 56,0 51,4 54,5 55,9
6 -1 +1 +1 -1 +1 +1 60,8 56,2 59,3 60,7
7 -1 +1 -1 +1 -1 +1 67,0 62,4 65,5 65,5
8 +1 +1 -1 +1 -1 -1 63,4 58,8 58,8 58,8
QUY HOẠCH THỰC NGHIỆM CHỌN LỌC 371
9.2. Khảo sát ảnh hưởng các nhân tố đến độ dẫn nhiệt vật liệu composite.
Bảng 9.17 là kết quả thí nghiệm.
Bảng 9.17
N X0 X1 X2 X3 X4 X5 X6 X7 X8 X9 X10 X11 y
1 + + + - + + + - - - + - 0,34
2 + + - + + + - - - + - + 0,37
3 + - + + + - - - + - + + 0,40
4 + + + + - - - + - + + - 0,53
5 + + + - - - + - + + - + 0,36
6 + + - - - + - + + - + + 0,36
7 + - - - + - + + - + + + 0,29
8 + - - + - + + - + + + - 0,33
9 + - + - + + - + + + - - 0,35
10 + + - + + - + + + - - - 0,50
11 + - + + - + + + - - - + 0,50
12 + - - - - - - - - - - - 0,19
Tìm 3 nhân tố ảnh hưởng nhiều nhất theo quy hoạch Plackett-Burman.
9.3. Sử dụng Minitab xác định phương trình hồi quy bậc nhất không
tương tác để xác định các nhân tố ảnh hưởng nhiều nhất thông số đầu ra
theo các số liệu ma trận quy hoạch trong Bài tập 9.1 và 9.2.
372 CHƯƠNG 10
Chương 10
THIẾT LẬP BÀI TOÁN TỐI ƯU VÀ TỐI ƯU
TUYẾN TÍNH
Chương này gồm các nội dung sau:
10.1. Giới thiệu thiết kế tối ưu
10.2. Các thành phần bài toán thiết kế tối ưu
10.3. Các phương pháp giải bài toán thiết kế tối ưu
10.4. Kết hợp giải bài toán tối ưu trong quy hoạch thực nghiệm
THIẾT LẬP BÀI TOÁN TỐI ƯU VÀ TỐI ƯU TUYẾN TÍNH 373
Tối ưu hóa được xem như một lãnh vực toán ứng dụng, được sử dụng
hiệu quả và rộng rãi trong quản lý, kinh tế, kỹ thuật và công nghệ, phát triển
các hệ thống,… Chính vì vậy, các lĩnh vực của tối ưu hóa ngày càng trở nên
đa dạng và mang nhiều tên gọi khác nhau…
Trong chương này trước hết, trình bày vấn đề tối ưu hóa và các bài
toán thiết kế tối ưu trong thiết kế cơ khí. Tổng kết các phương pháp khác
nhau hiện có để giải quyết các bài toán tối ưu. Sau đó, thông qua các hình
ảnh minh họa để trình bày chi tiết các phương pháp tối ưu phổ biến…
Việc tìm hiểu các giải thuật hiện có hay nghiên cứu giải thuật mới cho
bài toán tối ưu và so sánh giải thuật về độ chính xác, thời gian thực hiện với
các giải thuật khác là điều cần thiết với người kỹ sư.
10.1. GIỚI THIỆU THIẾT KẾ TỐI ƯU KẾT CẤU
Một sản phẩm muốn tồn tại trên thị trường thì phải hội đủ nhiều yếu
tố: chất lượng tốt nhất, chi phí thấp nhất, thời gian sản phẩm tung ra thị
trường là ngắn nhất,... Vì vậy kết cấu thiết kế cần phải được tối ưu.
Tối ưu hóa kết cấu bao gồm (Hình 10.1):
- Tối ưu kích thước,
- Tối ưu hình dạng,
- Tối ưu kiểu dáng.
Các yếu tố ảnh hưởng đến hình dạng, kích thước, kiểu dáng của kết
cấu thân máy bao gồm: tải trọng tác dụng, vật liệu chế tạo, dây chuyền công
nghệ, quy trình lắp ráp, khả năng vận chuyển, lắp ráp, bảo trì,…
a) Tối ưu kích thước; b) Tối ưu hình dạng; c) Tối ưu kiểu dáng
Hình 10.1 Tối ưu kết cấu
374 CHƯƠNG 10
Trong đó, tối ưu hình dạng và kích thước sẽ xác định được hình dạng
và kích thước tối ưu của sản phẩm. Tối ưu hình dạng là giai đoạn sau giai
đoạn tối ưu kiểu dáng. Ứng dụng tối ưu hình dạng trong thiết kế làm tăng
năng suất và chất lượng sản phẩm, rút ngắn thời gian sản phẩm tung ra thị
trường, cải tiến mẫu mã sản phẩm. Thiết kế tối ưu kết cấu, đặc biệt là thiết
kế tối ưu hình dạng, là một trong những công cụ quan trọng nhất để đáp
ứng các nhu cầu trên. Tối ưu hình dạng giúp cho sản phẩm đạt hình dạng
và kích thước tối ưu, nhưng dáng sản phẩm không thay đổi.
Quá trình nghiên cứu về tối ưu được nghiên cứu và thực hiện từ rất
lâu. Công trình dầu tiên về tối ưu có thể kể đến Galileo Galilei với việc tối
ưu hình dạng trong tài liệu “Lý thuyết về hình dạng vật thể đảm bảo độ bền
đều”. Từ đó đến nay đã có rất nhiều công trình nghiên cứu tối ưu khác nhau,
phục vụ cho những lĩnh vực, chuyên ngành như: quốc phòng, hàng không,
cơ khí, xây dựng, điện - điện tử, giao thông, kỹ thuật công nghiệp,… Có thể
tóm tắt các giai đoạn nghiên cứu và ứng dụng tối ưu như sau:
+ Từ trước cho đến 1980: Quá trình phân tích kết cấu trở nên phổ
biến, thay thế dần quá trình kiểm tra cơ lý tính. Quá trình tối ưu kết
cấu vẫn chưa được áp dụng một cách khả thi do khoa học máy tính
vẫn chưa phát triển kịp để đáp ứng các yêu cầu về tính toán.
+ Trong thập kỷ 80 của thế kỷ XX: Quá trình phân tích kết cấu trở
thành một công cụ thiết kế. Trong giai đoạn này, quá trình tối ưu đã
có những phát triển rất lớn. Tuy nhiên chỉ dừng lại ở việc nghiên
cứu, việc ứng dụng còn gặp nhiều khó khăn.
+ Trong thập kỷ 90 của thế kỷ XX: Sự bùng nổ các phần mềm thiết
kế 3D và phần mềm tính toán, quá trình phân tích kết cấu và quá
trình tối ưu hóa được thực hiện một cách dễ dàng. Mặt khác sự phát
triển mạnh mẽ của khoa học và kỹ thuật máy tính cũng hỗ trợ rất
nhiều cho quá trình thiết kế và tính toán tối ưu.
+ Từ năm 2000 đến nay: Quá trình phân tích kết cấu đã thay thế hoàn
toàn quá trình kiểm tra cơ lý tính ở rất nhiều sản phẩm. Quá trình tối
ưu đang dần phổ biến và trở thành công cụ thiết kế quan trọng với
quá trình thiết kế.
Thuật ngữ tối ưu hình dạng kết cấu cơ khí xuất hiện vào những năm
1970. Năm 1986, Haftka và Grandhi đưa ra tối ưu hình dạng với những biến
thiết kế là tọa độ nút của khung kết cấu hay tọa độ nút của những điểm điều
khiển đường spline. Tối ưu hóa kết cấu cơ khí đã được nghiên cứu bởi
Seireg và Surana nhưng chỉ dừng lại ở việc trình bày lý thuyết một cách
tổng quan chung.
THIẾT LẬP BÀI TOÁN TỐI ƯU VÀ TỐI ƯU TUYẾN TÍNH 375
Để đáp ứng nhu cầu đó, ngày càng nhiều kỹ sư chuyên về tính toán
cũng như các công cụ CAD, CAE đã được tích hợp vào quá trình thiết kế.
Đặc biệt, công cụ tối ưu kiểu dáng giúp cho quá trình thiết kế ý tưởng hiệu
quả hơn vì nó là sự kết hợp giữa thiết kế chức năng với thiết kế kiểu dáng
sản phẩm.
Tùy theo điều kiện cụ thể có thể áp dụng từng dạng tối ưu riêng lẻ
hoặc kết hợp 2 hoặc 3 dạng tối ưu trên lại với nhau.
10.2. CÁC THÀNH PHẦN BÀI TOÁN THIẾT KẾ TỐI ƯU
Tối ưu hóa là quá trình đạt được kết quả tốt nhất dựa theo các tình
huống quy định. Mục đích các trình tự thiết kế thông thường là tìm ra thiết
kế thích hợp và chúng chỉ đơn thuần thỏa mãn các đòi hỏi chức năng bên
trong những ràng buộc của các giới hạn sẵn có. Quá trình thiết kế tối ưu
nhằm vào việc tìm kiếm các biến thiết kế theo hướng tạo bản thiết kế tốt
nhất (trong các bản thiết kế thích hợp) thỏa mãn tất cả các ràng buộc yêu
cầu (Hình 10.2).
Hình 10.2 Quá trình thiết kế tối ưu
376 CHƯƠNG 10
Lập bài toán thiết kế tối ưu
Bài toán thiết kế tối ưu bao gồm các thành phần:
- Xác định các biến thiết kế: rời rạc hoặc liên tục, số nguyên,… như
bán kính r, chiều dài l, chiều rộng b, chiều cao h, số răng, số lỗ,…
- Xác định hàm mục tiêu, ví dụ khối lượng hoặc thể tích nhỏ nhất.
Có thể 1 mục tiêu hoặc đa mục tiêu.
- Các hàm ràng buộc về độ bền, độ cứng (độ cứng vững), độ ổn định
dao động, chịu nhiệt, độ tin cậy,… Ràng buộc đẳng thức hoặc bất
đẳng thức.
Bài toán tối ưu tổng quát có thể phát biểu như sau:
Tìm X
1
2
n
d
d
...
d
 
 
 

 
 
 
(10.1)
để f(X) đạt giá trị nhỏ nhất (lớn nhất).
Điều kiện ràng buộc là:
hj(X)  0; j = 1, 2, ..., nj
lk(X) = 0; k = 1, 2, ..., nk (10.2)
dil  di  diu; i = 1, 2, ..., n
trong đó:
di - biến thiết kế thứ i;
X - véctơ của các biến thiết kế;
f - hàm mục tiêu;
hj - hàm bất đẳng thức ràng buộc;
lk - hàm đẳng thức ràng buộc;
n - số biến thiết kế;
nj - số hàm bất đẳng thức ràng buộc;
nk - số hàm đẳng thức ràng buộc.
THIẾT LẬP BÀI TOÁN TỐI ƯU VÀ TỐI ƯU TUYẾN TÍNH 377
Biến thiết kế hay còn gọi là biến quyết định hoặc biến điều khiển
được điều khiển bởi người quyết định và có ảnh hưởng lớn đến lời giải của
bài toán tối ưu. Kết hợp các biến thiết kế khác nhau ta có các bài toán tối ưu
khác nhau. Các biến thiết kế có thể là:
- Biến liên tục.
- Biến là số nguyên, ví dụ số răng bánh răng và đĩa xích...
- Biến rời rạc từ một dãy số tiêu chuẩn, ví dụ đường kính thân trục...
Mục tiêu thiết kế thường biểu diễn mong muốn của người thiết kế, ví
dụ lợi nhuận lớn nhất và giá thành nhỏ nhất. Mục tiêu thiết kế có thể là:
- Giá trị lớn nhất của độ bền, độ bền mòn, độ tin cậy, độ an toàn,...
- Giá trị nhỏ nhất giá thành, thời gian chế tạo, khối lượng, xác suất
hỏng,...
Ngoài ra còn có bài toán đa mục tiêu.
Ràng buộc thiết kế cần thiết để tìm các lời giải cho các bài toán tối
ưu. Hàm ràng buộc thiết kế là hàm toán học theo các biến thiết kế. Các
ràng buộc thiết kế có thể là:
- Ứng suất lớn nhất nhỏ hơn độ bền.
- Biến dạng nhỏ hơn giá trị cho phép.
- Xác suất hỏng nhỏ hơn mức độ cho phép hoặc độ tin cậy lớn hơn
giá trị mong muốn.
- Chi phí không vượt quá ngân sách cho phép.
Mặt khác quá trình thiết kế có thể chia làm hai dạng chính là: có xét
đến độ tin cậy và không xét đến độ tin cậy.
Với quá trình thiết kế không xét đến độ tin cậy, xem các biến thiết kế
là giá trị đơn định, không thay đổi trong quá trình thiết kế, chế tạo, vận hành
và sử dụng,… Quá trình thiết kế này thường đơn giản, ít tốn thời gian, chi
phí. Tuy nhiên, một số biến thiết kế như tải trọng tác dụng, ứng suất tới
hạn,… thường là các đại lượng ngẫu nhiên, phân bố theo một quy luật xác
suất nào đó trong quá trình thiết kế, chế tạo, sử dụng, do đó kết quả của quá
trình thiết kế này thường không sát với thực tế, không sử dụng hết khả năng
làm việc của vật liệu,…
Với quá trình thiết kế có xét đến độ tin cậy, các biến thiết kế được
xem là đại lượng ngẫu nhiên, phân bố theo một quy luật nào đó. Do có xét
đến các yếu tố ngẫu nhiên trong quá trình thiết kế nên kết quả sát với thực
378 CHƯƠNG 10
tế, sử dụng hết khả năng làm việc của vật liệu, đảm bảo xác suất hư hỏng
trong quá trình sử dụng,… Tuy nhiên để có thể thiết kế theo độ tin cậy cần
số lượng thực nghiệm, nghiên cứu, quan sát, ghi chép lớn do đó thường tốn
kém, mất nhiều thời gian, và việc giải bài toán thiết kế thường gặp nhiều
khó khăn phức tạp.
Với các yêu cầu từ người sử dụng, tiến bộ về khoa học kỹ thuật, quá
trình thiết kế đều xét đến chỉ tiêu độ tin cậy nhằm hạn chế các hư hỏng xảy
ra trong quá trình làm việc, tiết kiệm nguyên vật liệu,…
Quá trình thiết kế tối ưu theo độ tin cậy tương với việc giải bài toán tối
ưu theo độ tin cậy. Bài toán tối ưu kết cấu trong các ngành kỹ thuật thường là
đơn mục tiêu, số lượng biến lớn, không gian tìm kiếm lớn, có ràng buộc như
các ràng buộc độ cứng, độ bền, độ ổn định, biến dạng, chuyển vị,… Với giải
thuật tối ưu, bài toán tối ưu có thể chia ra làm 2 dạng chính:
- Bài toán tối ưu chưa có hay không có giải thuật tối ưu chính xác.
- Bài toán tối ưu có giải thuật tối ưu chính xác.
Với bài toán tối ưu chưa hay không có giải thuật tối ưu chính xác, việc
giải bài toán vẫn có khả năng thực hiện được, kết quả thu được vẫn có khả
năng cho giá trị tối ưu mong muốn. Có thể giải bài toán dạng này bằng cách
áp dụng các giải thuật tối ưu sẵn có trong một số điều kiện biên nào đó. Việc
áp dụng này tiết kiệm thời gian hơn rất nhiều so với việc tìm giải thuật mới
hay chứng minh giải thuật nào đó hiện có là giải thuật chính xác cho bài
toán tối ưu. Hạn chế là kết quả thu được không đảm bảo là giá trị tối ưu toàn
cục mặc dù có thể áp dụng nhiều giải thuật tối ưu trên cùng một bài toán.
Việc kiểm tra, chứng minh các điều kiện biên của bài toán phù hợp với giải
thuật được chọn cũng đòi hỏi nhiều thời gian.
Với bài toán tối ưu có giải thuật chính xác, việc giải bài toán chỉ cần
thực hiện theo trình tự của giải thuật. Ưu điểm của dạng này là có trình tự
giải nhất định nên không cần kiểm tra điều kiện biên có phù hợp với giải
thuật được chọn hay không, kết quả bài toán đã được chứng minh là giá trị
tối ưu toàn cục. Hạn chế là giải thuật chỉ thích hợp bài toán tối ưu đang xét
hay với dạng bài toán tối ưu tương tự. Với các bài toán mới hay phát sinh
thêm ràng buộc, điều kiện biên khác thì không đảm bảo giải thuật sẽ thực
hiện được hay cho kết quả là giá trị tối ưu toàn cục.
Do đó, với các bài toán mới, việc tìm kiếm một giải thuật mới hay
nghiên cứu áp dụng và chứng minh một giải thuật hiện có thích hợp với bài
toán sẽ mất nhiều thời gian và đôi khi là không khả thi. Ngoài ra, với một số
giải thuật tối ưu việc thực hiện theo đúng trình tự giải gặp nhiều khó khăn,
mất nhiều thời gian và có thể không thực hiện được.
THIẾT LẬP BÀI TOÁN TỐI ƯU VÀ TỐI ƯU TUYẾN TÍNH 379
Sản phẩm thường biến đổi không ngừng do chịu sự tác động từ nhu
cầu, thị hiếu người tiêu dùng, ảnh hưởng của sự phát triển khoa học công
nghệ… Do đó bài toán thiết kế tối ưu cũng trở nên phức tạp hơn với việc
tăng số lượng biến thiết kế, mở rộng miền thiết kế, sử dụng vật liệu, thay đổi
quy trình công nghệ,… Ngoài ra, với sự cạnh tranh mạnh mẽ đòi hỏi quá
trình thiết kế phải được rút ngắn.
Với các yêu cầu trên, việc nghiên cứu, tìm ra, áp dụng các giải thuật
tối ưu có thể giải mọi bài toán tối ưu hay một số bài toán tối ưu trong điều
kiện nhất định với kết quả thu được có giá trị tương đối chính xác so với giá
trị tối ưu toàn cục là điều hết sức cần thiết với người thiết kế. Giải thuật tiến
hóa có khả năng đáp ứng các điều kiện trên. Tiêu biểu cho nhóm giải thuật
này là: phương pháp leo đồi, mô phỏng luyện thép, giải thuật di truyền, giải
thuật quần thể,…
10.3. CÁC PHƯƠNG PHÁP GIẢI BÀI TOÁN THIẾT KẾ TỐI ƯU
Không một phương pháp đơn lẻ nào có thể giải được tất cả các dạng
bài toán tối ưu một cách có hiệu quả. Phụ thuộc vào dạng của bài toán tối
ưu, chỉ một vài phương pháp có thể sử dụng một cách hiệu quả để giải
chúng. Phân loại các bài toán tối ưu chỉ ra trên Bảng 11.1.
Các phương pháp chung để giải các bài toán tối ưu thông thường:
Phương pháp tính đạo hàm riêng của hàm mục tiêu: Giải thuật này
chủ yếu dựa vào tính toán đạo hàm hàm mục tiêu. sử dụng cho bài toán tối
ưu không ràng buộc. Từ đây có thể suy ra tính tăng giảm của hàm mục tiêu
trong miền khảo sát và có thể tìm ra giá trị tối ưu mong muốn. Với phương
pháp đạo hàm, kết quả tối ưu tính toán là chính xác chứ không phải kết quả
gần đúng. Tuy nhiên, có trường hợp kết quả này không phù hợp thực tế. Với
bài toán có số lượng biến tương đối lớn và hàm phức tạp, việc thực hiện đạo
hàm là không đơn giản và đôi khi không thực hiện được. Mặt khác, việc xử
lý các ràng buộc tuyến tính và phi tuyến trong quá trình tìm giá trị tối ưu
cũng gặp nhiều khó khăn. Tiêu biểu cho nhóm phương pháp này là Newton-
Raphson và phương pháp Cauchy.
Bài toán tối ưu trong trường hợp này là tìm giá trị nhỏ nhất (min) hoặc
giá trị lớn nhất (max) của hàm mục tiêu f(x1, x2,…xn) với n biến. Cách giải là
tìm đạo hàm riêng và cho nó bằng 0 để tìm điểm tối ưu:
1 2 n
f f f
, ,...
x x x
  
  
380 CHƯƠNG 10
Đối với bài toán tối ưu giải theo phương pháp đạo hàm, ngoài việc
tính đạo hàm bậc 1, ta còn phải tính đạo hàm bậc 2, được thể hiện dưới
dạng ma trận H.
2 2 2
2
1 2 1 n
1
2 2 2
2
n 1 n 2 n
f f f
x x x x
x
f f f
x x x x x
 
  
 
   

 
 
  
 
  
 
   
 

 
H (10.3)
Nếu đạo hàm bậc 2 này âm tại những vị trí trước và sau điểm tối ưu,
nghĩa là điểm tối ưu này là điểm lớn nhất. Nếu đạo hàm bậc 2 này dương
tại những vị trí trước và sau điểm tối ưu, nghĩa là điểm tối ưu này là điểm
nhỏ nhất.
Phương pháp thứ hai là phương pháp đồ thị, được sử dụng khi số
biến thiết kế là 1 hoặc 2, sử dụng cho bài toán quy hoạch tuyến tính, phi
tuyến (Chương 13) và đơn hình.
Phương pháp thứ ba là phương pháp giải tích, dựa trên cơ sở tính toán
thông thường sử dụng phương pháp nhân tử Lagrange với điều kiện Kuhn -
Tucker, nó được sử dụng để giải quyết các bài toán có các ràng buộc là các
đẳng thức hoặc bất đẳng thức. Chuyển từ các bài toán có ràng buộc thành các
bài toán không ràng buộc và giải bằng phương pháp dùng đạo hàm riêng.
Phương pháp thứ tư là phương pháp số, còn gọi là phương pháp hàm
phạt được sử dụng để giải quyết các bài toán tối ưu tổng quát đã trình bày
trên Phương trình (10.1). Phương pháp này để tìm lời giải cho hàng loạt các
bài toán tìm giá trị nhỏ nhất không ràng buộc.
Phương pháp thứ năm được biết như là phương pháp quy hoạch
động, được sử dụng để giải quyết các vấn đề mà cấu trúc vật lý của nó có
dạng nối tiếp.
Ngoài ra còn rất nhiều phương pháp khác được trình bày trong các tài
liệu liên quan tối ưu hóa.
Ta cần chú ý rằng tìm giá trị lớn nhất của hàm f(X) tương ứng với tìm
giá trị nhỏ nhất của hàm – f(X).
Không một phương pháp đơn lẻ nào có thể giải được tất cả các dạng bài
toán tối ưu một cách có hiệu quả. Phụ thuộc vào dạng của bài toán tối ưu,
THIẾT LẬP BÀI TOÁN TỐI ƯU VÀ TỐI ƯU TUYẾN TÍNH 381
chỉ một vài phương pháp có thể sử dụng một cách hiệu quả để giải chúng.
Phân loại các bài toán tối ưu chỉ ra trên Bảng 10.1.
Bảng 10.1
Dạng bài
toán
Các đặc tính bài toán
Phương pháp giải
Biến
thiết kế
(xi)
Hàm
mục
tiêu
f(X)
Hàm
ràng
buộc
hj(X) và
lk(X)
Bài toán quy
hoạch tuyến
tính
Số thực Hàm
tuyến
tính của
xi
Hàm
tuyến
tính của
xi
Các phương pháp đơn hình, đồ thị.
Bài toán quy
hoạch tuyến
tính số
nguyên
Số
nguyên
Hàm
tuyến
tính của
xi
Hàm
tuyến
tính của
xi
Phương pháp: đơn hình, cắt lớp
Gomory, nhánh cận Land – Doig, quy
hoạch động, quy hoạch nguyên 0-1
(zero-one).
Bài toán tối
ưu phi tuyến
không ràng
buộc 1 biến
Số thực Hàm phi
tuyến
của x
Phương pháp đạo hàm, chia đôi, mặt
cắt vàng, Fibonachi, xấp xỉ đa thức bậc
2 và 3, phương pháp Powell, phương
pháp Newton–Raphson, phương pháp
hai mặt cắt, phương pháp Secant….
Các phương pháp này trình bày trong
Chương 11.
Bài toán tối
ưu phi tuyến
không ràng
buộc nhiều
biến
Số thực Hàm phi
tuyến
của xi
Thuật toán Nelder – Mead, phương
pháp tìm kiếm trực tiếp Hooke –
Jeeves, phương pháp gradient, phương
pháp bậc 2: sử dụng xấp xỉ đạo hàm bậc 1
và 2 của hàm mục tiêu. Một số phương
pháp này trình bày trong Chương 12.
Bài toán tối
ưu phi tuyến
ràng buộc
nhiều biến
Số thực Hàm phi
tuyến
tổng
quát của
xi
Hàm phi
tuyến
tổng
quát của
xi
- Quy hoạch toàn phương, quy hoạch
tách, quy hoạch lồi
- Phương pháp hàm phạt
- Đa thức Lagrange, Điều kiện Kuhn-
Tucker (Chương 13)
- Giải thuật tiến hóa: phương pháp leo
đồi, mô phỏng luyện thép (ủ), giải
thuật di truyền, giải thuật quần thể,…
Ta cần chú ý rằng tìm giá trị lớn nhất của hàm f(X) tương ứng với tìm
giá trị nhỏ nhất của hàm – f(X).
382 CHƯƠNG 10
Bài toán tối ưu kết cấu trong các ngành kỹ thuật thường là đơn mục
tiêu, số lượng biến lớn, không gian tìm kiếm lớn, có ràng buộc như các ràng
buộc độ cứng, độ bền, độ ổn định, biến dạng, chuyển vị,… Với giải thuật tối
ưu, bài toán tối ưu có thể chia ra làm 2 dạng chính:
- Bài toán tối ưu chưa có hay không có giải thuật tối ưu chính xác.
- Bài toán tối ưu có giải thuật tối ưu chính xác.
Với bài toán tối ưu chưa hay không có giải thuật tối ưu chính xác, việc
giải bài toán vẫn có khả năng thực hiện được, kết quả thu được vẫn có thể là
giá trị tối ưu mong muốn. Khi giải bài toán dạng này bằng cách áp dụng các
giải thuật tối ưu sẵn có trong một số điều kiện biên nào đó, và việc này tiết
kiệm thời gian hơn rất nhiều so với việc tìm giải thuật mới hay chứng minh
giải thuật nào đó hiện có là giải thuật chính xác cho bài toán tối ưu. Hạn chế
là kết quả thu được không đảm bảo giá trị tối ưu là toàn cục mặc dù có thể
áp dụng nhiều giải thuật tối ưu trên cùng một bài toán. Việc kiểm tra, chứng
minh các điều kiện biên của bài toán phù hợp với giải thuật được chọn cũng
đòi hỏi nhiều thời gian.
Với bài toán tối ưu có giải thuật chính xác, việc giải bài toán chỉ cần
thực hiện theo trình tự của giải thuật. Ưu điểm của dạng này là có trình tự
giải rõ ràng nên không cần kiểm tra điều kiện biên có phù hợp với giải thuật
được chọn hay không, kết quả bài toán đã được chứng minh là giá trị tối ưu
toàn cục. Hạn chế là giải thuật chỉ thích hợp bài toán tối ưu đang xét hay với
dạng bài toán tối ưu tương tự. Với các bài toán mới hay phát sinh thêm ràng
buộc, điều kiện biên khác thì không đảm bảo giải thuật sẽ thực hiện được
hay cho kết quả là giá trị tối ưu toàn cục.
Do đó, với các bài toán mới, việc tìm kiếm một giải thuật mới hay
nghiên cứu áp dụng và chứng minh một giải thuật hiện có thích hợp với bài
toán sẽ mất nhiều thời gian và đôi khi là không khả thi. Ngoài ra, với một số
giải thuật tối ưu việc thực hiện theo đúng trình tự giải gặp nhiều khó khăn,
mất nhiều thời gian và có thể không thực hiện được.
Tối ưu theo độ tin cậy
Mặt khác bài toán tối ưu còn có xét đến độ tin cậy và không xét đến
độ tin cậy. Với quá trình thiết kế không xét đến độ tin cậy xem các biến thiết
kế là giá trị đơn định, không thay đổi trong quá trình thiết kế, chế tạo, sử
dụng,… Quá trình thiết kế này thường đơn giản, ít tốn thời gian, chi phí.
Tuy nhiên, một số biến thiết kế như tải trọng tác dụng, ứng suất tới hạn,…
thường là các đại lượng ngẫu nhiên, phân bố theo một quy luật xác suất nào
đó trong quá trình thiết kế, chế tạo, sử dụng, do đó kết quả của quá trình
THIẾT LẬP BÀI TOÁN TỐI ƯU VÀ TỐI ƯU TUYẾN TÍNH 383
thiết kế này thường không sát với thực tế, không sử dụng hết khả năng làm
việc của vật liệu,…
Với quá trình thiết kế có xét đến độ tin cậy, các biến thiết kế được
xem là đại lượng ngẫu nhiên, phân bố theo một quy luật nào đó. Do có xét
đến các yếu tố ngẫu nhiên trong quá trình thiết kế nên kết quả sát với thực
tế, sử dụng hết khả năng làm việc của vật liệu, đảm bảo xác suất hư hỏng
trong quá trình sử dụng,… Tuy nhiên để có thể thiết kế theo độ tin cậy cần
số lượng thực nghiệm, nghiên cứu, quan sát, ghi chép lớn do đó thường tốn
kém, mất nhiều thời gian,… và việc giải bài toán thiết kế thường gặp nhiều
khó khăn phức tạp.
Với các yêu cầu từ người sử dụng, tiến bộ về khoa học kỹ thuật, quá
trình thiết kế đều xét đến chỉ tiêu độ tin cậy nhằm hạn chế các hư hỏng xảy
ra trong quá trình làm việc, tiết kiệm nguyên vật liệu,…
Sản phẩm thường biến đổi không ngừng do chịu sự tác động từ nhu
cầu, thị hiếu người tiêu dùng, ảnh hưởng của sự phát triển khoa học công
nghệ,… Do đó bài toán thiết kế tối ưu cũng trở nên phức tạp hơn với việc
tăng số lượng biến thiết kế, mở rộng miền thiết kế, sử dụng vật liệu, thay đổi
quy trình công nghệ,… Ngoài ra, với sự cạnh tranh mạnh mẽ đòi hỏi quá
trình thiết kế phải được rút ngắn.
Với các yêu cầu trên, việc nghiên cứu, tìm ra, áp dụng các giải thuật
tối ưu có thể giải mọi bài toán tối ưu hay một số bài toán tối ưu trong điều
kiện nhất định với kết quả thu được có giá trị tương đối chính xác so với giá
trị tối ưu toàn cục là điều hết sức cần thiết với người thiết kế. Giải thuật tiến
hóa có khả năng đáp ứng các điều kiện trên, các phương pháp của nhóm giải
thuật này: phương pháp leo đồi, mô phỏng luyện thép, giải thuật di truyền,
giải thuật quần thể,…
10.4. KẾT HỢP GIẢI BÀI TOÁN TỐI ƯU TRONG QUY HOẠCH
THỰC NGHIỆM
Xây dựng mô hình toán cho các đối tượng nghiên cứu, được khảo sát
đầy đủ trong các Chương 5 đến 8, không phải mục tiêu cuối cùng nghiên
cứu. Mô hình được sử dụng là phương tiện để thu nhận thông tin về đối
tượng nghiên cứu, điều khiển chúng, dự đoán trạng thái của chúng và là cơ
sở để tìm điều kiện tối ưu cho đối tượng nghiên cứu. Phương trình hồi quy
có các dạng bậc 1 và bậc 2.
- Phương trình hồi quy bậc 1 không có tương tác:
y = b0 + b1x1 + b2x2 + ... + bkxk
384 CHƯƠNG 10
- Phương trình hồi quy bậc 1 có tương tác:
y = b0 + b1x1 + b2x2 + ... + bkxk + b12x1x2 + b13x1x3+…+ b(k-1)kx(k-1)xk
- Phương trình hồi quy bậc 2:
k k k
2
0 i i ii i iu i u
i 1 i 1 i u
u,i 1
y b b x b x b x x
  

   
  
Tiếp theo ta thiết lập bài toán tối ưu có ràng buộc hoặc không có ràng
buộc và chia ra các dạng bài toán sau:
- Bài toán tuyến tính nhiều biến có ràng buộc.
- Bài toán phi tuyến không ràng buộc.
- Bài toán phi tuyến có ràng buộc.
Bài toán tuyến tính nhiều biến có ràng buộc được giới thiệu trong
nhiều tài liệu về tối ưu [49]. Trong sách này chúng tôi giới thiệu phương
pháp giải các bài toán tối ưu phi tuyến không ràng buộc (Chương 11 và 12)
và có ràng buộc (Chương 13).
Trong Chương 6 đã phân tích mô hình hồi quy bậc 2 thu được từ quy
hoạch thực nghiệm. Nếu mô hình nhận được là tương thích thì ta có thể sử
dụng chúng để giải các bài toán tối ưu. Nếu không có mô hình hồi quy thì
trong nhiều trường hợp ta phải tìm điều kiện tối ưu trực tiếp bằng phương
pháp quy hoạch thực nghiệm. Bài toán giải theo cách này sẽ đơn giản hơn
rất nhiều so với việc đầu tiên phải xây dựng phương trình hồi quy, sau đó
mới giải bài toán tối ưu.
Đại lượng đầu ra, mà ta cần tìm giá trị tối ưu, trong các bài toán tối ưu
gọi là thông số tối ưu hoặc là hàm mục tiêu. Trong một vài bài toán việc tìm
thông số tối ưu là bài toán riêng lẻ. Do đó ta có vài đòi hỏi đối với thông số
tối ưu:
1. Đặc trưng tính hiệu quả của hệ thống
2. Định lượng được, tức là xác định bằng một giá trị cụ thể
3. Xác định với độ chính xác yêu cầu với ít chi phí
4. Đơn giản và có ý nghĩa vật lý.
Đa số các phương pháp quy hoạch tối ưu đều dựa trên nguyên tắc tiến
hành các thực nghiệm tuần tự. Điều đó có nghĩa là điều kiện để tiến hành
thực nghiệm tiếp theo dựa trên kết quả thực nghiệm trước đó.
PHƯƠNG PHÁP QUY HOẠCH THỰC NGHIỆM VÀ TỐI ƯU MỘT NHÂN TỐ 385
Chương 11
PHƯƠNG PHÁP QUY HOẠCH THỰC NGHIỆM
VÀ TỐI ƯU MỘT NHÂN TỐ
Chương này bao gồm các nội dung sau:
11.1. Giới thiệu
11.2. Phương pháp chia khoảng
11.3. Phương pháp chia đôi
11.4. Phương pháp mặt cắt vàng
11.5. Phương pháp Fibonacci
11.6. Các phương pháp khác
Bài tập
386 CHƯƠNG 11
Trong chương này ta sẽ tìm hiểu về những thuật toán để giải bài toán
tối ưu phi tuyến một biến không ràng buộc và ứng dụng trong quy hoạch
thực nghiệm. Mặc dù đa số các bài toán mà chúng ta gặp trong thực tế đều
có ràng buộc để giới hạn không gian biến thiết kế, việc nghiên cứu bài toán
tối ưu không ràng buộc cũng có những ý nghĩa riêng của nó.
Xây dựng mô hình toán cho các đối tượng nghiên cứu (được khảo sát
đầy đủ trong các chương trước) không phải mục tiêu cuối cùng nghiên cứu.
Mô hình được sử dụng là phương tiện để thu nhận thông tin về đối tượng
nghiên cứu, điều khiển chúng, dự đoán trạng thái của chúng và là cơ sở để
tìm giá trị tối ưu cho đối tượng nghiên cứu (hàm mục tiêu).
Trong các Chương 5 đến 8 đã phân tích mô hình hồi quy thu được từ
quy hoạch thực nghiệm. Nếu mô hình nhận được là thích hợp thì ta có thể sử
dụng chúng để giải các bài toán tối ưu. Nếu không có mô hình hồi quy thì
trong nhiều trường hợp ta phải tìm điều kiện tối ưu trực tiếp bằng phương
pháp quy hoạch thực nghiệm. Bài toán tối ưu giải theo cách này trong nhiều
trường hợp sẽ đơn giản hơn rất nhiều so với việc đầu tiên phải xây dựng
phương trình hồi quy, sau đó mới giải bài toán tối ưu.
Đại lượng đầu ra, mà ta cần tìm giá trị tối ưu, trong các bài toán tối ưu
gọi là thông số tối ưu hoặc là hàm mục tiêu. Trong một vài bài toán việc tìm
thông số tối ưu là bài toán riêng lẻ. Do đó, ta có vài yêu cầu đối với thông số
tối ưu:
1- Đặc trưng tính hiệu quả của hệ thống.
2- Định lượng được, tức là xác định bằng một giá trị cụ thể.
3- Xác định với độ chính xác yêu cầu với ít chi phí nhất.
4- Đơn giản và có ý nghĩa.
Đầu tiên ta khảo sát phương pháp tối ưu cho trường hợp một nhân
tố, khi đó hàm đáp ứng trong bài toán tối ưu phụ thuộc vào nhân tố (biến)
thay đổi X1, trong miền thay đổi nhân tố X1 có một giá trị cực trị: nhỏ nhất
hoặc lớn nhất. Ta có 3 phương pháp giải bài toán tối ưu phi tuyến một biến:
phương pháp bậc 0, bậc 1, và bậc 2:
- Phương pháp bậc 0 chỉ dùng giá trị của hàm mục tiêu;
- Phương pháp bậc 1 dùng kết hợp giá trị hàm mục tiêu và đạo hàm
bậc 1 của nó;
- Phương pháp bậc 2 dùng giá trị của hàm mục tiêu, đạo hàm bậc 1
và đạo hàm bậc 2 của nó.
PHƯƠNG PHÁP QUY HOẠCH THỰC NGHIỆM VÀ TỐI ƯU MỘT NHÂN TỐ 387
Bài toán tối ưu được phát biểu: Tìm giá trị lớn nhất hoặc giá trị nhỏ
nhất của hàm f(X), với X là biến thiết kế có giá trị bất kỳ, nhưng vì trong
lãnh vực kỹ thuật thông thường là số thực dương, do đó: 0  x1i   với i
thay đổi từ 1 đến n và n là biến thiết kế.
Đa số các phương pháp quy hoạch tối ưu đều dựa trên nguyên tắc tiến
hành các thực nghiệm tuần tự. Điều đó có nghĩa là điều kiện để tiến hành
thực nghiệm tiếp theo dựa trên kết quả thực nghiệm trước đó.
11.1. GIỚI THIỆU
Đối với bài toán tìm tối ưu hàm f(x) không có ràng buộc thì nghiệm
của bài toán tối ưu có hai dạng: nghiệm tối ưu toàn cục và nghiệm tối ưu cục
bộ. Ví dụ với miền ràng buộc là S, x** được gọi là nghiệm tối ưu toàn cục
của bài toán tìm giá trị nhỏ nhất (min) nếu:
( ) ( )


f x f x (11.1)
đối với tất cả x  S.
Và x* được gọi là nghiệm tối ưu cục bộ của bài toán tìm min nếu f(x*)
 f(x) với tất cả x nằm trong khoảng  so với x*. Nghĩa là tồn tại  > 0, sao
cho *
, ( ) ( ).

   
x x f x f x
Lưu ý: Nghiệm tối ưu cục bộ có thể được xem như là nghiệm tối ưu
toàn cục nếu bài toán biến thiên đơn (một chiều). Nhưng khi gặp bài toán
biến thiên phức tạp, có thể có nhiều nghiệm tối ưu cục bộ, khi đó nghiệm tối
ưu của bài toán, là nghiệm tối ưu toàn cục, chỉ có thể tìm được bằng cách so
sánh các nghiệm tối ưu cục bộ và lấy giá trị tối ưu nhất.
Phương pháp lấy đạo hàm
Điều kiện cần thiết để x* là nghiệm tối ưu của hàm f(x) trong khoảng
[a, b]:
*
0


x x
df
dx và
2
2
*
0 ( 0)

 
x x
d f
dx (11.2)
Đây là điều kiện cần, có nghĩa là nếu hai điều kiện này không được
thỏa mãn thì chắc chắn nó không là nghiệm tối ưu. Hãy lấy hàm f(x) = x3
làm ví dụ. Hàm này được vẽ trên Hình 11.1. Nó thỏa cả hai điều kiện đạo
hàm bậc 1 và bậc 2 tại x = 0 nhưng nó không phải là nghiệm tối ưu.
388 CHƯƠNG 11
Theo tài liệu [27] và [49], ta có thể lấy đạo hàm bậc 1, bậc 2, … bậc n đến
khi nào giá trị đạo hàm tại x* là hằng số khác 0. Ví dụ hàm f(x) = x3
, thì sau
khi lấy đến đạo hàm bậc n = 3 ta có giá trị đạo hàm tại x* = 0 là 6. Đây là
giá trị khác 0. Từ giá trị khác 0 này, ta quan sát bậc n. Nếu n là số lẻ (như
trong ví dụ n = 3) thì điểm x* = 0 chỉ là điểm uốn, không phải là điểm tối
ưu. Nếu n là số chẵn thì chắc chắn giá trị x* là giá trị tối ưu.
Hình 11.1 Hàm f(x) = x3
Phương pháp loại bỏ dần
Điểm thuận lợi của phương pháp này là cách tính đơn giản, không cần
phải tính đạo hàm. Tất cả yêu cầu chỉ là một khoảng lặp [a, b] và tính được
giá trị của f(x) tại điểm x cho sẵn. Để áp dụng phương pháp loại bỏ dần,
đối với một bài toán không có ràng buộc hoặc khoảng ràng buộc lớn thì
bài toán được chia làm hai giai đoạn: giai đoạn giới hạn và giai đoạn loại
bỏ dần (Hình 11.2):
- Giai đoạn giới hạn là giai đoạn tìm khoảng cách [a, b] để khoảng
cách này đủ nhỏ cho hàm f(x) trong khoảng đó biến thiên đơn.
- Sau khi có khoảng cách [a, b] đủ nhỏ thì giai đoạn loại bỏ dần áp dụng.
Hình 11.2 Minh họa lý thuyết loại bỏ dần
PHƯƠNG PHÁP QUY HOẠCH THỰC NGHIỆM VÀ TỐI ƯU MỘT NHÂN TỐ 389
Giai đoạn giới hạn
Để tìm giai đoạn giới hạn [a, b] ta bắt đầu bằng việc thử một số điểm
trước. Một trong những cách để chọn điểm thử là áp dụng phương pháp của
Swann với k = 0, 1, 2,…
xk+1 = xk + 2k
 (11.3)
trong đó, x0 là điểm bắt đầu, có thể chọn bất kỳ. Giá trị  cũng được chọn
bất kỳ và có thể âm hoặc dương. Sau khi có x0 và , ta tính f(x0 – ||), f(x0)
và f(x0 + ||). Ta xét bài toán tìm min:
- Nếu f(x0 – ||) ≤ f(x0) ≤ f(x0 + ||), ta có điểm min sẽ nằm bên trái
x0. Lúc này x1 < x0 nhưng x1 = x0 + 20
, do đó phải chọn  < 0.
- Nếu f(x0 – ||)  f(x0)  f(x0 + ||), ta có điểm min sẽ nằm bên phải
x0. Lúc này x1> x0 nhưng x1 = x0 + 20
, do đó phải chọn  > 0.
- Nếu f(x0 – ||)  f(x0) ≤ f(x0 + ||), ta có điểm min sẽ nằm bên trong
[x0– ||, x0 + ||] = [a, b]. Khi đó giai đoạn giới hạn kết thúc.
- Nếu f(x0– ||) ≤ f(x0)  f(x0 + ||), ta có điểm max sẽ nằm bên trong
[x0– ||, x0 + || = [a, b]. Khi đó bài toán không biến thiên đơn nữa
và ta không thể tìm được giá trị min của bài toán theo phương pháp
loại bỏ dần.
Ví dụ 11.1 Tìm giai đoạn giới hạn của f(x) = (100 – 3x) 2
, với điểm bắt đầu
x0 = 15 và || = 5.
Giải:
Đầu tiên ta tính:
390 CHƯƠNG 11
Ta thấy 1 2 3
( ) ( ) ( ),
 
f x f x f x do đó      
1 3
, , 20, 50
 
a b x x .
Lưu ý rằng nếu  càng lớn thì khoảng cách [a, b] tìm được sẽ càng lớn
nhưng bù lại giai đoạn giới hạn này sẽ có ít bước hơn so với khi giá trị 
nhỏ. Khi  càng nhỏ thì giai đoạn loại bỏ sẽ có ít bước giải hơn. Sau khi
hoàn thành giai đoạn giới hạn, bước tiếp theo là thực hiện giai đoạn loại bỏ.
Giai đoạn loại bỏ dần
Với những phương pháp này, qua mỗi lần lặp thì khoảng [a, b] giới
hạn ban đầu của x bị giảm đi một đoạn và thực hiện cho đến khi giá trị đoạn
này  . Ta có thể sử dụng nó để giải bài toán tối ưu phi tuyến một biến bất
kỳ mà không cần quan tâm tới việc tính đạo hàm của hàm f(x). Giả sử hàm
f(x) được xét như Hình 11.2, với giới hạn a  x  b, có giá trị tối ưu giả định
là x*. Cho x1 và x2 là hai điểm nằm trong giới hạn sao cho a  x1  x2  b. So
sánh giá trị f(x1) và f(x2), ta có thể nói rằng:
- Nếu f(x1) > f(x2), thì giá trị nhỏ nhất x* sẽ thuộc đoạn [x1, b].
- Nếu f(x1) < f(x2), thì giá trị nhỏ nhất x* sẽ thuộc đoạn [a, x2].
Một điều cần phải lưu ý là hàm f(x) phải là hàm biến thiên đơn trong
trường hợp này, nếu không lý thuyết trên không phù hợp.
Lưu ý: nếu f(x1) = f(x2), thì giá trị nhỏ nhất x* sẽ thuộc đoạn [x1, x2].
Một số phương pháp cơ bản bài toán tối ưu trong giai đoạn loại bỏ dần
và được giới thiệu trong chương này:
- Phương pháp chia khoảng.
- Phương pháp chia đôi.
- Phương pháp mặt cắt vàng.
- Phương pháp Fibonacci.
PHƯƠNG PHÁP QUY HOẠCH THỰC NGHIỆM VÀ TỐI ƯU MỘT NHÂN TỐ 391
11.2. PHƯƠNG PHÁP CHIA KHOẢNG
Giả sử nhân tố x1 thay đổi trong miền a = xmin ≤ x ≤ xmax = b. Bước
đầu tiên ta đặt hai giá trị (hoặc thí nghiệm) gần điểm giữa miền thay đổi. Ký
hiệu  là hiệu giữa các giá trị nhân tố tại các điểm này (Hình 11.3a):
 = x2 – x1
(11.4)
a) b)
Hình 11.3 a) Phương pháp chia khoảng; b) Phương pháp tìm kiếm thụ động
Giá trị  được chọn càng nhỏ càng tốt, nhưng phải đủ lớn để nhận biết
sự khác nhau của các giá trị thu được (kết quả thí nghiệm) tiến hành.
Để xác định ta giả sử giá trị lớn nhất hàm đáp ứng đã được tìm ra. Tức
là tìm được giá trị nhân tố x*
= xopt khi đó hàm đáp ứng là lớn nhất.
Ta ký hiệu qua y1 và y2 là kết quả tương ứng của giá trị hàm (thí
nghiệm) thứ nhất và thứ hai, với giả thuyết rằng hàm đáp ứng là biến
thiên đơn.
Trình tự tìm giá trị lớn nhất hàm mục tiêu:
Bước 1. Tìm  
m1
1
x a b
2
  và x1 = xm1 - /2; x2 = xm1 + /2. Tính
y1= f(x1), y2 = f(x2).
Bước 2. Nếu y1 > y2, do đó giá trị cần tìm nằm bên trái điểm x2. Khi
đó điểm tối ưu cần tìm x*
xác định trong khoảng [a, x2]. Khoảng [a, b] mới
sẽ là [a, x2] và thực hiện Bước 3 với xm2 tính theo công thức (11.7b).
Nếu y2 > y1, do đó giá trị cần tìm nằm bên phải điểm x1. Khi đó điểm
tối ưu cần tìm xopt xác định trong khoảng [x1, b]. Khoảng [a, b] mới sẽ là
[x1, b] và thực hiện Bước 3 với xm2 tính theo công thức (11.7c).
Bước 3. Tiếp theo thực hiện tương tự Bước 1, tức là tiến hành tính
toán 2 giá trị (hoặc thí nghiệm) gần tâm miền thay đổi mới của nhân tố
(Hình 11.3a):
392 CHƯƠNG 11
x3 = xm2 - /2; x4 = xm2 + /2 (11.7a)
trong đó:  
m2 2
1
x a x
2
  (11.7b)
hoặc
 
m2 1
1
x x b
2
  (11.7c)
Bước 4. Giả sử y3 < y4 thì ta loại bỏ đoạn a đến x3 và tiếp tục thực
hiện hai giá trị (thí nghiệm) trong vùng lân cận điểm giữa của khoảng
[x3, x2] còn ngược lại y3 > y4 thì nghiệm nằm trên khoảng [a, x4].
Tiếp tục thực hiện như các Bước 1 và 3 đến đoạn giá trị nhỏ hơn 2.
Nếu cần tìm giá trị nhỏ nhất hàm mục tiêu thì ta thực hiện Bước 2
như sau:
Bước 2. Nếu y1 > y2, do đó giá trị cần tìm nằm bên phải điểm x1. Khi
đó điểm tối ưu cần tìm x*
xác định trong khoảng [x1, b]. Khoảng [a, b] mới
sẽ là [x1, b] và thực hiện Bước 3 với xm2 tính theo công thức (11.7c).
Nếu y2 > y1, do đó giá trị cần tìm nằm bên trái điểm x2. Khi đó điểm
tối ưu cần tìm xopt xác định trong khoảng [a, x2]. Khoảng [a, b] mới sẽ là
[a, x2] và thực hiện Bước 3 với xm2 tính theo công thức (11.7b).
Các giá trị tính toán được điền vào Bảng 11.1.
Bảng 11.1 Bảng kết quả tính
Lần a b h x1 xm x2 f(x1) f(xm) f(x2) min (max)
1
2
3
4
…
Do đó theo phương pháp chia khoảng thì qua mỗi cặp giá trị (thí
nghiệm) thì đoạn chứa giá trị tối ưu giảm đi hai lần. Đoạn này được gọi là
đoạn không xác định.
So sánh hiệu quả của phương pháp đang khảo sát với trình tự thụ
động, khi đó điều kiện tiến hành tất cả thí nghiệm biết trước. Giả sử ta tiến
hành tính toán 8 giá trị (thí nghiệm) N = 8. Theo phương pháp chia khoảng,
trong trường hợp này ta thực hiện bốn giá trị (loạt thí nghiệm), mỗi loạt có
PHƯƠNG PHÁP QUY HOẠCH THỰC NGHIỆM VÀ TỐI ƯU MỘT NHÂN TỐ 393
hai giá trị (thí nghiệm). Theo kết quả thì đoạn không xác định được giảm đi
24
= 16 lần. Khi đó theo phương pháp tìm kiếm thụ động thì các điểm giá trị
(thí nghiệm) nằm cách đều nhau trên miền thay đổi (điểm 1, 2,...8 trên Hình
11.3b). Khi thực hiện N giá trị (thí nghiệm) ta có N - 1 đoạn. Theo kết quả
tất cả giá trị (thí nghiệm) sẽ bằng 2 (nằm giữa 4 và 6) tức là giảm đi
2
1
N 
lần. Đối với 8 điểm đoạn giá trị không xác định được giảm chỉ có 3,5 lần.
Như thế khi tìm kiếm theo phương pháp chia khoảng đại lượng đoạn
không xác định giảm theo sự tăng N theo hàm mũ và khi tìm kiếm thụ động
tỷ lệ nghịch với N. Do đó khi N càng lớn thì phương pháp chia khoảng càng
hiệu quả hơn khi so sánh với tìm kiếm thụ động.
11.3. PHƯƠNG PHÁP CHIA ĐÔI (INTERVAL HALVING METHOD)
Tương tự phương pháp chia khoảng, tuy nhiên ta chia đoạn [a, b]
thành các khoảng bằng nhau. Khi đó cho một số  > 0, với độ chính xác  đã
cho, hãy tìm giá trị nhỏ nhất của f(x), x [a,b]
 , có nghĩa là lập một thuật
toán bậc không, sau một số lần lặp, xác định được điểm giá trị nhỏ nhất x*
của hàm f(x) với độ chính xác  đã cho (Hình 13.4).
Trình tự thực hiện tìm giá trị nhỏ nhất theo các bước sau (Hình 13.4a):
Bước 1. Tìm  
m
1
x a b
2
  và h b a
  . Tính ym = f(xm).
Bước 2. Tìm 1
1
x a h
4
  và 2
1
x b h.
4
  Tính y1 = f(x1) và y2 = f(x2).
Lưu ý lúc này các điểm x1, xm, x2. Chia đoạn [a, b] thành các khoảng bằng
nhau.
Bước 3. Tìm min của f(x1), f(xm), f(x2).
- Nếu min là y1 = f(x1), thì khoảng [a, b] mới sẽ là [a, xm].
- Nếu min là ym = f(xm), thì khoảng [a, b] mới sẽ là [x1, x2].
- Nếu min là y2 = f(x2), thì khoảng [a, b] mới sẽ là [xm, b].
Các giá trị tính toán được điền vào Bảng 11.1.
Sau khi có khoảng [a, b] mới, ta tiến hành lại bước 1. Vòng lặp xảy ra
đến khi nào h = (b – a)  .
Nếu tìm giá trị lớn nhất thì Bước 3 thực hiện như sau (Hình 13.4b):
Bước 3. Tìm max của f(x1), f(xm), f(x2).
- Nếu max là y1 = f(x1), thì khoảng [a, b] mới sẽ là [a, xm].
394 CHƯƠNG 11
- Nếu max là ym = f(xm), thì khoảng [a, b] mới sẽ là [x1, x2].
- Nếu max là y2 = f(x2), thì khoảng [a, b] mới sẽ là [xm, b].
Lưu ý: ở mỗi vòng lặp, xm và f(xm) không cần phải tính lại vì có thể
suy ra được từ vòng lặp trước đó. Nếu khoảng [a, b] mới là [a, xm] thì giá trị
xm của vòng lặp mới là x1. Nếu khoảng [a, b] mới là [x1, x2] thì giá trị xm của
vòng lặp mới là xm của vòng lặp trước. Nếu khoảng [a, b] mới là [xm, b] thì
giá trị xm của vòng lặp mới là x2. Sau mỗi vòng lặp, khoảng bị loại bỏ là h/2.
a) b)
Hình 11.4 Phương pháp chia đôi
Như vậy trong phương pháp chia đôi, ở mỗi phép lặp phải tính lại giá
trị f(x) ở hai điểm mới (trừ phép lặp đầu tiên).
Gọi k là số lần lặp xác định được x*, thì lúc này khoảng hoạch định
chứa điểm giá trị nhỏ nhất là:
k k
b a
s
2

 (11.8)
và k
s .
 
Phương pháp này đơn giản và vạn năng, có thể giải được hầu hết các
bài toán tối ưu phi tuyến, tuy nhiên tốc độ hội tụ kém.
Ví dụ 11.2 Tìm min của
1 5
f(x) = x +
2 x
với x nằm trong khoảng [1, 4], và
độ chính xác  = 0,3.
Giải:
Tiến hành tính Bước 1, m m
4 1
x 2,5; h 4 1 3; f (x ) 3,25
2

     
PHƯƠNG PHÁP QUY HOẠCH THỰC NGHIỆM VÀ TỐI ƯU MỘT NHÂN TỐ 395
Trong Bước 2 ta tính x1, x2 và giá trị f(x1), f(x2):
1 2 1 2
h h
x 1 1,75; x 4 3,25;f (x ) 3,7321, f (x ) 3,1635
4 4
       
Tất cả những giá trị này được cho vào Bảng 11.1 và 11.2 với cột cuối
cùng của bảng là ghi min của 3 giá trị f(x1), f(xm), f(x2).
Trong vòng lặp đầu tiên, giá trị min là f(x2) nên [a, b] mới có giá trị
[xm, b] của vòng lặp trước nó: [2,5 , 4] như trong Bảng 11.2.
Bảng 11.2
Lần a b L x1 xm x2 f(x1) f(xm) f(x2) min
1 1 4 3 1,75 2,5 3,25 3,7321 3,25 3,1635 f(x2)
2 2,5 4 1,5 2,875 3,25 3,0625 3,1766 3,1635 3,1918 f(xm)
3 2,875 3,625 0,75 3,0625 3,25 3,4375 3,1639 3,1635 3,1733 f(xm)
4 3,0625 3,4375 0,375 3,1563 3,25 3,3438 3,1623 3,1635 3,1672 f(x1)
5 3,0625 3,25 0,1875 3,1563 3,1623 f(xm)
Các lần lặp được tính tuần tự cho đến lần lặp thứ 5 thì h = 0,1875 <
 = 0,3, bài toán dừng. Ta có giá trị min là f(x*) = f(3,1563) = 3,1623.
Chú ý: nếu ta sử dụng phương pháp bình phương nhỏ nhất thay thế
hàm trên bằng đa thức:
x 1,75 2,5 2,875 3,0625 3,1563 3,25 3,3438 3,4375 3,625
y 3,7321 3,25 3,1766 3,1639 3,1623 3,1635 3,1635 3,1733 3,1918
3.5
3.0
2.5
2.0
1.5
3.8
3.7
3.6
3.5
3.4
3.3
3.2
3.1
S 0.0030299
R-Sq 100.0%
R-Sq(adj) 100.0%
x
y
Fitted Line Plot
y = 7.738 - 3.864 x
+ 1.068 x^2 - 0.09602 x^3
Hình 11.5
396 CHƯƠNG 11
Phương trình hồi quy có dạng (Hình 11.5):
y = 7,738 – 3,864x + 1,068 x2
– 0,09602x3
Tìm nghiệm tối ưu bằng cách lấy đạo hàm riêng và cho bằng 0:
-3,864 + 2,136x – 0,28806x2
= 0
Giải phương trình ta tìm được xopt = 3,1312.
Bảng 11.3 kết quả với các bậc đường cong xấp xỉ khác nhau.
Bảng 11.3
x Bậc 1 Bậc 2 Bậc 3
y 4,081 - 0,2793x 6,018 - 1,810 x +
0,2856 x2
7,738 - 3,864x + 1,068 x2
-
0,09602x3
R-square 73,7% 99,5% 100%
X0pt 3,16876 3,1312
Y0pt 3,1502722
11.4. PHƯƠNG PHÁP MẶT CẮT VÀNG
(GOLDEN SECTION METHOD)
Xác định khoảng giá trị mặt cắt vàng
Theo phương pháp này thì trên vòng lặp đầu tiên ta thực hiện hai tính
toán (thí nghiệm). Tuy nhiên mỗi vòng lặp tiếp theo ta chỉ thực hiện 1 tính
toán (thí nghiệm). Do đó, phương pháp mặt cắt vàng hiệu quả hơn phương
pháp chia đôi do tốc độ hội tụ phương pháp mặt cắt vàng nhanh hơn vì ở
mỗi lần lặp chỉ cần tính một điểm mới, và khoảng cách từ trung điểm đến
hai điểm chọn để loại bỏ là bằng nhau (Hình 11.6).
a) b)
Hình 11.6 Phương pháp mặt cắt vàng
PHƯƠNG PHÁP QUY HOẠCH THỰC NGHIỆM VÀ TỐI ƯU MỘT NHÂN TỐ 397
Lý thuyết này được xây dựng trên việc chia đoạn [a, b] thành 3 đoạn
sao cho khoảng cách từ a đến x1 bằng khoảng cách từ x2 đến b (x1 – a = b – x2).
1 2 1
1
x a x x
b a b x
 

 
(11.9)
Đặt 1 1
y b a; y x a
   
1 1 1
b x (b a) (x a) y y
       (11.10)
Từ Hình 11.6 suy ra:
2 1 1 1
x x (b a) 2(x a) y 2y
       (11.11)
Thay biểu thức (11.10) và (11.11) vào biểu thức (11.9) ta nhận được
biểu thức:
1 1
1
h h 2h 1 2r
;suy ra : r
h h h 1 r
 
 
 
với: 1 1
h x a
r
h b a

 

từ đây: 2
r 3r 1 0
   (11.12)
Nghiệm của phương trình (11.12) là:
3 5
r 0,382
2

 
Theo [27], ta có một phương trình khác, dạng như sau:
2
1 r r
 
Khi giải phương trình này ta có nghiệm:
1 5
r 0,382
2
 
  
và nghiệm dương 2 là r = 0,61803
Hai phương trình đều có chung một ý nghĩa là sau mỗi vòng lặp, đoạn
bị bỏ đi là 0,382 chiều dài ban đầu và đoạn được giữ lại là r = 0,618 chiều
dài ban đầu.
Như vậy khi sử dụng phương pháp mặt cắt vàng, mỗi phép lặp chỉ cần
tính một giá trị f(x), và khi đó khoảng chứa điểm giá trị nhỏ nhất x* của f(x)
398 CHƯƠNG 11
có độ dài bằng r2
= 1 – r = 0,382 độ dài ban đầu. Còn phương pháp chia đôi
và chia khoảng mỗi lần lặp phải tính tới hai giá trị f(x). Rõ ràng phương pháp
mặt cắt vàng hiệu quả hơn phương pháp chia đôi và chia khoảng.
Trình tự thực hiện
Trường hợp mã hóa: Để làm đơn giản ta giả sử rằng nhân tố x thay
đổi trong khoảng a = 0  x  1 = b (sử dụng công thức mã hóa như trong
quy hoạch thực nghiệm).
Bước 1. Theo phương pháp mặt cắt vàng các giá trị nhân tố x1 trong
2 tính toán (thí nghiệm) đầu tiên tương ứng sẽ bằng x1  0,382; x2  0,618
(Hình 11.6) và tính y1 = f(x1) và y2 = f(x2). Các điểm đối xứng nhau (vì 1–
0,618 = 0,382).
Bước 2. Theo kết quả thực hiện 2 tính toán (thí nghiệm) đầu tiên có
thể có các phương án sau khi tìm kiếm giá trị lớn nhất:
1) 2
1 y
y  - trong trường hợp này ta loại bỏ đoạn (x2, 1) trong các lần
khảo sát tiếp theo. Trường hợp này trình bày trên đoạn Hình 11.6a.
2) 2
1 y
y  - loại bỏ đoạn (0, x1).
3) 2
1 y
y  - loại bỏ cả 2 đoạn (0, x1) và (x2, 1).
Bước 3. Ta tiếp tục chia đoạn còn lại theo hai điểm ra ba đoạn theo tỷ
số 0,382 và 0,618 và tiếp tục thực hiện như bước 2.
Đặc điểm của phương pháp này là bắt đầu từ bước thứ 2 khi chia mỗi
đoạn kế tiếp theo tỷ số đã cho thì một trong các điểm chia bắt buộc phải
trùng với một điểm trước đó. Ví dụ khi chia đoạn (x1, 1) ta nhận điểm x2 và
điểm mới x3. Cho nên trong vòng lặp thứ 2 chỉ cần thực hiện 1 thí nghiệm
tại x3. Tương tự ta đặt một thí nghiệm trong mỗi vòng lặp sau đó.
Trong trường hợp tìm giá trị nhỏ nhất (min) như Hình 11.6b thì Bước
2 được thực hiện như sau:
Bước 2. Theo kết quả thực hiện 2 tính toán (thí nghiệm) đầu tiên có
thể có các phương án sau khi tìm kiếm giá trị nhỏ nhất:
1) y1 > y2 - trong trường hợp này ta loại bỏ đoạn (0, x1) trong các lần
khảo sát tiếp theo.
2) y1 < y2 - loại bỏ đoạn (x2, 1). Trường hợp này trình bày trên đoạn
Hình 11.6b.
3) y1 = y2 - loại bỏ cả 2 đoạn (0, x1) và (x2, 1).
PHƯƠNG PHÁP QUY HOẠCH THỰC NGHIỆM VÀ TỐI ƯU MỘT NHÂN TỐ 399
Trường hợp giá trị thực (tự nhiên): Giả sử ta tìm giá trị lớn nhất
hàm số y = f(x) khi đó x thay đổi trong miền a = xmin  x  b = xmax. Thực
hiện các thí nghiệm theo phương pháp mặt cắt vàng theo giải thuật sau (giả
sử tìm giá trị nhỏ nhất như Hình 11.6):
Bước 1. Ta nhận a = xmin; b = xmax; h = b - a
xtr = a + r2
h; xph = a + rh; với r = 0,618, r2
= 0,382.
Ta tính toán (hoặc tiến hành các thí nghiệm) tại các điểm xtr và xph,
kết quả thu được y1 = y(xtr) và y2 = y(xph).
Bước 2. So sánh y(xtr) và y(xph). Trong trường hợp tìm giá trị lớn
nhất: nếu y(xtr)  y(xph) ta chuyển sang bước 3, nếu y(xtr) < y(xph) ta chuyển
sang bước 4.
Bước 3. Ta thu được trên đoạn mới a = a; b = xph và h = xph – a. Kết
thúc tính toán (thực nghiệm) nếu h đủ nhỏ. Trong trường hợp ngược lại với
giá trị xph mới là giá trị xtr trước đó, và giá trị xtr mới là điểm (a + r2
h). Ta
thực hiện tính toán (thí nghiệm) tại điểm xtr và trở về bước 2.
Bước 4. Ta nhận được trên đoạn mới a = xtr; b = b và h = b – xtr.
Dừng tính toán (thí nghiệm) nếu h đủ nhỏ. Trong trường hợp ngược lại ta
chọn giá trị xtr mới là giá trị xph trước đó, và điểm xph mới có giá trị (a + rh).
Ta thực hiện thí nghiệm tại điểm xph và trở về Bước 2.
Trong trường hợp tìm giá trị nhỏ nhất (Hình 11.6b) thì Bước 2 thực
hiện như sau:
Bước 2. So sánh y(xtr) và y(xph). Nếu y(xtr)  y(xph) ta chuyển sang
Bước 4, nếu y(xtr) < y(xph) ta chuyển sang Bước 3.
Giải:
Có hai cách để giải bài toán theo phương pháp mặt cắt vàng: quy
chuẩn hóa hoặc không quy chuẩn. Nếu sử dụng quy chuẩn hóa thì ta sẽ đưa
đoạn [a, b] về [0, 1] với biến mới



x a
w
b a
.
Cách giải 1:
Giải bài toán theo mã hóa (quy chuẩn hóa):
2
2
  
x
w x w 2
( ) (2 ) 2
 
f w w w
400 CHƯƠNG 11
với w [0, 1]
2
1 1
0,382 ( ) (2.0,382) 2.0,382 0,1803
    
w f w
2 2
0,618 ( ) 0,2917
  
w f w
Do 1 2
( ) ( ),

f w f w bài toán tìm min nên khoảng [a, b] mới là [0,
0,618].
2
1 1
0,382.0,618 0,236 ( ) (2.0,236) 2.0,236 0,249
      
w f w
2 2
0,618 . 0,618 0,382 ( ) 0,1803
w f w
    
Do f(w1) < f(w2), bài toán tìm min nên khoảng [a, b] mới là [0; 0,382]
1 1
0,382.0,382 0,146 ( ) 0,207
w f w
    
2 2
0,618.0,382 0,236 ( ) 0,249
w f w
    
Do f(w1) > f(w2), bài toán tìm min nên khoảng [a, b] mới là [0,146;
0,382].
1 1
0,146 0,382.0,236 0,236 ( ) 0,249
w f w
     
2 2
0,146 0,618 . 0,236 0,292 ( ) 0,243
w f w
     
Do f(w1) < f(w2), bài toán tìm min nên khoảng [a, b] mới là [0,146;
0,292].
1 1
0,146 0,382.0,146 0,202 ( ) 0,241
w f w
     
2 2
0,146 0,618 . 0,146 0,236 ( ) 0,249
w f w
     
Do f(w1) > f(w2), bài toán tìm min nên khoảng [a, b] với là [0,202;
0,292]. Với độ chính xác  = 0,1, thì khoảng cách b – a < . Nhưng do ta
chuyển khoảng [a; b] = [0; 2] về khoảng [aw, bw] = [0, 1] nên w = 0,05. Do
đó ta tiếp tục tính:
1 1
0,202 0,382 . 0,09 0,236 ( ) 0,249
w f w
     
2 2
0,202 0,618 . 0,09 0,258 ( ) 0,25
w f w
     
Do f(w1) > f(w2), bài toán tìm min nên khoảng [a, b] mới là [0,236;
0,292].
1 1
0,236 0,382 . 0,056 0,2574 ( ) 0,2498
w f w
     
2 2
0,236 0,618 .0,056 0,2706 ( ) 0,2483
w f w
     
PHƯƠNG PHÁP QUY HOẠCH THỰC NGHIỆM VÀ TỐI ƯU MỘT NHÂN TỐ 401
Do f(w1) < f(w2), bài toán tìm min nên khoảng [a, b] mới là [0,236,
0,2706]. Lúc này khoảng b – a < w, bài toán dừng, với nghiệm tối ưu là w =
0,2574, ứng với x = 0,5148, và giá trị giá trị nhỏ nhất của hàm fmin = -0,2498
Cách giải 2:
Giải bài toán không cần chuẩn hóa: h = b – a = 2 (x1 = xtr; x2 = xph).
2
1 1
0 0,382 . 2 0,764 ( ) 0,764 0,764 0,18
x f x
       
2 2
0 0,618 . 2 1,236 ( ) 0,292
x f x
    
Do f(x1) < f(x2), bài toán tìm min nên khoảng [a, b] mới là [0, 1,236]
1 1
0 0,382 .1,236 0,472 ( ) 0,249
x f x
     
2 2
0 0,618 .1,236 0,764 ( ) 0,18
x f x
     
Do f(x1) < f(x2), bài toán tìm min nên khoảng [a, b] mới là [0, 0,764].
1 1
0 0,382 . 0,764 0,292 ( ) 0,207
x f x
     
2 2
0 0,618 . 0,764 0,472 ( ) 0,249
x f x
     
Do f(x1) > f(x2), bài toán tìm min nên khoảng [a, b] mới là [0,292,
0,764]
1 1
0,292 0,382 . 0,472 0,472 ( ) 0,249
x f x
     
2 2
0,292 0,618 . 0,472 0,5837 ( ) 0,243
x f x
     
Do f(x1) < f(x2), bài toán tìm min nên khoảng [a, b] mới là [0,292,
0,5837].
1 1
0,292 0,382.0,292 0,4035 ( ) 0,24
x f x
     
2 2
0,292 0,618.0,292 0,4725 ( ) 0,2492
x f x
     
Do f(x1) > f(x2), bài toán tìm min nên khoảng [a, b] mới là [0,4035,
0,5837].
1 1
0,4035 0,382 . 0,18 0,472 ( ) 0,2492
x f x
     
2 2
0,4035 0,618 . 0,18 0,515 ( ) 0,2498
x f x
     
Do f(x1) > f(x2), bài toán tìm min nên khoảng [a, b] mới là [0,472,
0,5837].
1 1
0,472 0,382 . 0,112 0,515 ( ) 0,2498
x f x
     
2 2
0,472 0,618 . 0,112 0,541 ( ) 0,2483
x f x
     
402 CHƯƠNG 11
Do f(x1) < f(x2), bài toán tìm min nên khoảng [a, b] mới là [0,472,
0,541]. Lúc này khoảng b – a < , bài toán dừng, với nghiệm tối ưu là x
= 0,515, và giá trị giá trị nhỏ nhất của hàm fmin = –0,2498.
Kết luận: Hai cách giải cho ra kết quả như nhau, việc chọn cách giải
nào tùy thuộc vào bài toán và người sử dụng. Để cho ngắn gọn, ta có thể lập
thành bảng như đối với phương pháp chia đôi.
Ví dụ 11.4 Sử dụng phương pháp mặt cắt vàng để giải bài toán tối ưu sau
bằng cách lập bảng: y = 3x2
– 12x với x  (1, 4) và hmin = 0,2.
Giải:
Giá trị r: r = 0,618; r2
= 0,382.
Theo giải thuật trình bày ở trên, bước đầu tiên ta gán:
a = xmin = 1; b = xmax= 4
h = 4 - 1 = 3
Ta có thể tổng hợp kết quả theo Bảng 11.4.
Bảng 11.4
Lần a b h xtr xph f(xtr) f(xph)
1 1 4 3 2,146 2,854 -11,93 -9,812
2 1 2,854 1,854 1,708 2,146 -11,745 -11,93
3 1,708 2,854 1,146 2,146 2,416 -11,93 -11,48
4 1,708 2,416 0,708 1,978 2,146 -11,9986 -11,93
5 1,708 2,146 0,438 1,875 1,978 -11,9534 -11,9986
6 1,875 2,146 0,271 1,798 2,042 -11,9986 -11,9946
7 1,875 2,042 0,167 -11,9948
hmin = 0,167 < 0,2 dừng vòng lặp.
Nghiệm tối ưu: x*
= (1,875 + 2,042) = 1,9585
Giá trị tối ưu (nhỏ nhất) f(x*
)= -11,9948
Ứng dụng phương pháp mặt cắt vàng trong thực nghiệm
PHƯƠNG PHÁP QUY HOẠCH THỰC NGHIỆM VÀ TỐI ƯU MỘT NHÂN TỐ 403
Giải:
Theo giải thuật trình bày ở trên, bước đầu tiên ta gán:
a = xmin = 1 ph
b = xmax = 3 ph
Ta xác định:
h = b – a = 2ph
xtr = a +r2
h = 1+ 0,382.2 = 1,764 ph
xph = a + rh = 1+ 0,618.2 = 2,236 ph
Kết quả thí nghiệm tại các điểm xtr và xph:
y(xtr) = y(1,764) = 14,8 MPa
y(xph) = y(2,236) = 16,5 MPa
Trên Bước 2 ta so sánh các kết quả thí nghiệm. Ta có y(xph) < y(xph),
cho nên ta chuyển sang Bước 4.
Ngoài ra ta có thể lập Bảng 11.5.
Bảng 11.5
Vòng lặp Bước Điểm
0 1 a = xmin = 1 ph; b = xmax = 3 ph, h = b – a = 2ph
xtr = a + r2
h = 1+ 0,382 . 2 = 1,764 ph
xph = a + rh= 1+ 0,618 . 2 = 2,236 ph
1 2 5
,
16
)
236
,
2
(
y
;
8
,
14
)
764
,
1
(
y 
 (thí nghiệm)
4 a = 1,64; h = 3 - 1,764 = 1,236; xtr = 2,236;
xph= 1,764 + 0,618 . 1,236 = 2,528
2 2 y(2,236) = 16,5 (thí nghiệm trước); y(2,528) = 18 (thí nghiệm mới)
4 a = 2,236; h = 3 - 2,236 = 0,764; xtr = 2,528;
xph= 2,236+ 0,618 . 0,764 = 2,708
3 2 y(2,528) = 18,0 (thí nghiệm trước); y(2,708) = 17,2 (thí nghiệm mới)
3 b = 2,708; h = 2,708 - 2,236 = 0,472; xph = 2,528;
Ví dụ 11.5 Ta khảo sát quá trình hóa rắn bề mặt sơn khi chiếu tia cực
tím. Khi cố định cường độ chiếu 150000 lux thì yêu cầu phải xác định
thời gian chiếu t (ph) khi đó độ bền lớp phủ lớn nhất y = σb (MPa). Nhân
tố t thay đổi trong khoảng 1 ph  t  3 ph. Tính toán điều kiện tiến hành
thí nghiệm và kết quả cho trong Bảng 11.5.
404 CHƯƠNG 11
Vòng lặp Bước Điểm
xtr= 2,236 + 0,382 . 0,472 = 2,416
4 2 y(2,416) = 17,8 (thí nghiệm mới); y(2,528) = 18 (thí nghiệm cũ)
4 a = 2,416; h = 2,708 - 2,416 = 0,292; xtr = 2,528;
xph= 2,416 + 0,618 . 0,292 = 2,586
5 2 y(2,528) = 18,0 (thí nghiệm trước); y(2,596) = 17,6 (thí nghiệm mới)
3 b = 2,596; h = 2,596 - 2,416 = 0,18; xph = 2,528;
xtr= 2,416 + 0,382 . 0,18 = 2,485
6 2 y(2,485) = 18,2 (thí nghiệm mới); y(2,582) = 18 (thí nghiệm cũ)
3 112
,
0
416
,
2
528
,
2
H
;
528
,
2
A2 



b = 2,528; h = 2,528 - 2,416 = 0,112
Giả sử rằng a = xtr = 1,764 ph. h = b – xtr = 3 – 1,764 = 1,236 ph với
giá trị xtr mới ta chọn xph thí nghiệm trước:
xtr = 2,236 ph;
xph = a + rh = 1,764 + 0,618 . 1,236 = 2,528 ph
Kết quả thí nghiệm tại điểm xph:
y(2,528) = 18,0 MPa
Trở về Bước 2. Khi y(2,236) < y(2,528) ta chuyển sang Bước 4. Các
bước tính toán kế tiếp trên Bảng 11.1 trong vòng lặp thứ 6 đoạn không xác
định giảm đến 0,112 ph, nghĩa là khoảng 7 giây là cơ sở để kết thúc thực
nghiệm. Như thế, thời gian tối ưu sẽ là 2,485 ph khi đó độ bền lớp phủ
tương ứng sẽ bằng 18,2 MPa.
Ngoài ra ta có thể lập bảng tìm giá trị tối ưu như Bảng 11.6.
Bảng 11.6
Lần a b h xtr xph f(xtr) f(xph) min
1 1 3 2 1,764 2,236 14,8 16,5 f(xtr)
2 1,764 3 1,236 2,236 2,528 16,5 18 f(xtr)
3 2,236 3 0,764 2,528 2,708 18 17,2 f(xph)
4 2,236 2,708 0,472 2,416 2,528 17,8 18 f(xtr)
5 2,416 2,708 0,292 2,528 2,596 18 17,6 f(xph)
6 2,416 2,596 0,180 2,485 2,528 18,2 18 f(xph)
7 2,416 2,528 0,1120
PHƯƠNG PHÁP QUY HOẠCH THỰC NGHIỆM VÀ TỐI ƯU MỘT NHÂN TỐ 405
Bài toán trên có thể giải bằng phương pháp thông thường, sau khi tiến
hành các thực nghiệm ta thu được phương trình hồi quy và tìm nghiệm tối
ưu cho phương trình hồi quy này bằng phương pháp lấy đạo hàm:
1. Các thí nghiệm và kết quả:
X 1,764 2,236 2,416 2,485 2,528 2,596 2,708
Y 14,8 16,5 17,8 18,2 18 17,6 17,2
2. Sử dụng phương pháp bình phương nhỏ nhất xác định phương trình
hồi quy bậc 3 (Hình 11.7).
y = 256,7 – 344,2 x + 160,3 x2
– 24,31 x3
3. Tìm nghiệm tối ưu bằng cách lấy đạo hàm:
xopt = 2,53 và yopt = 18,25
So sánh với kết quả thí nghiệm tại điểm Xph:
y(2,528) = 18,0 MPa
2.7
2.6
2.5
2.4
2.3
2.2
2.1
2.0
1.9
1.8
18
17
16
15
14
S 0.229727
R-Sq 98.1%
R-Sq(adj) 96.2%
x
y
Fitted Line Plot
y = 256.7 - 344.2 x
+ 160.3 x^2 - 24.31 x^3
Hình 11.7
11.5. PHƯƠNG PHÁP FIBONACCI
Phương pháp Fibonacci tương tự các phương pháp trên là thu hẹp dần
miền chứa giá trị tối ưu sử dụng dãy số Fibonacci. Dãy số Fn được gọi là
dãy số Fibonacci khi có tính chất sau (Bảng 11.7).
406 CHƯƠNG 11
0 1
1 2; 2
 



  
 n n n
F F
F F F n
(11.13)
Bảng 11.7
n 0 1 2 3 4 5 6 7 8 9 10 …
Fn 1 1 2 3 5 8 13 21 34 55 89 …
Người ta sử dụng dãy số Fibonacci để tìm khoảng cách chứa điểm có
giá trị nhỏ nhất x* của hàm một biến f (x) có một điểm giá trị nhỏ nhất
tương đối trong khoảng [a, b] với độ chính xác  cho trước.
Hình 11.8
Thuật toán dùng dãy số Fibonacci để xác định tối ưu điểm giá trị nhỏ
nhất f (x) như sau (Hình 11.8):
Bước 1. Tính h = b – a và tìm giá trị n với Fn+1  2(b – a)/
Bước 2. Tính bắt đầu với k = 2 đến k = n
n k 1
k k
n k 3
F
L h
F
 
 

Bước 3. Từ k = 2, tính x1 = a + Lk, x2 = b – Lk, tính f(x1), f(x2)
- Nếu f(x1) < f(x2) thì giá trị mới của a = a, b = x2
- Nếu f(x1) > f(x2) thì a = x1, b = b
- Nếu f(x1) = f(x2) thì a = x1, b = x2.
Tăng k = k + 1 rồi quay lại tính x1, x2 và f(x1), f(x2). Vòng lặp đến
khi k = n.
PHƯƠNG PHÁP QUY HOẠCH THỰC NGHIỆM VÀ TỐI ƯU MỘT NHÂN TỐ 407
Ví dụ 11.6 Giải lại bài toán sau bằng phương pháp Fibonacci: Xác định
điểm giá trị nhỏ nhất của hàm f(x) = x2
– x; x  [0; 2] với độ chính xác
 = 0,1.
Giải:
Bước 1. Tính h = b – a = 2 - 0 = 2 và tìm giá trị n với Fn+1  2(b – a)/ =
2.2/0,1 = 40. Tương đương với F9. Vậy n + 1 = 9, suy ra n = 8. Để ngắn gọn
trong việc trình bày, việc giải bài toán được lập thành Bảng 11.8.
Khi k = 2:
Bước 2. Tính bắt đầu với k = 2
7
n k 1
2 2
n k 3 9
F
F 21
L h .2 .2 0,764
F F 55
 
 
   
Bước 3. Từ k = 2, tính x1 = a + L2 = 0 + 0,764 = 0,764
x2 = b – L2 = 2 – 0,764 = 1,236
tính f(x1)= f(0,764) = -0,180
f(x2)= 0,292
Nếu f(x1) < f(x2) thì giá trị mới của a = a, b = x2 nghĩa là a = 0, b = 1,236.
Vòng lặp mới k = 3 và tiếp tục tính các Bước 2, 3 tiếp theo:
Bước 2. Tính bắt đầu với k = 3 với h.
8 3 1 6
3 3
8 3 3 8
F F 13
L h .1,236 .1,236
F F 3
0,47
4
3
 
 
   
Bước 3. Từ k = 3, tính x1 = a + L3 = 0 + 0,473 = 0,473
x2 = b – L3 = 1,236 –0,473 =0,764
tính f(x1)= f(0,473) = -0,249
f(x2)= f(0,764) = -0,243
Do f(x1) < f(x2) thì giá trị mới của a = a, b = x2 nghĩa là a = 0, b = 0,944.
Tiếp tục thực hiện đến vòng lặp khi k = 8. Kết quả trình bày trong
Bảng 11.8.
408 CHƯƠNG 11
Bảng 11.8
k Fn–k+1 Lk a b x1 x2 f(x1) f(x2) Chú ý
2 F7 = 21 0,764 0 2 0,764 1,236 –0,180 0,292 f(x1)
3 F6 = 13 0,473 0 1,236 0,473 0,764 –0,249 –0,180 f(x1)
4 F5 = 8 0,291 0 0,764 0,291 0,473 –0,206 –0,249 f(x2)
5 F4 = 5 0,182 0,291 0,764 0,473 0,582 –0,249 –0,243 f(x1)
6 F3 = 3 0,109 0,291 0,582 0,400 0,473 –0,240 –0,249 f(x2)
7 F2 = 2 0,073 0,400 0,582 0,473 0,509 –0,249 –0,250 f(x2)
8 F1 = 1 0,036 0,473 0,582 0,509 0,545 -0,250 –0,248 f(x1)
Vậy bài toán này có giá trị tối ưu fmin = –0,25 tại x = 0,509. Kết quả này
có sai số với kết quả tính từ phương pháp mặt cắt vàng. Nhưng giá trị này nằm
trong giới hạn cho phép  = 0,1.
Lưu ý: Phương pháp mặt cắt vàng và Fibonacci giảm được thời gian
tính toán so với phương pháp chia đôi do mỗi lần lặp ta chỉ tính một trong
hai giá trị f(x1) hoặc f(x2) do giá trị x1 hoặc x2 được lặp lại cho mỗi lần lặp.
11.6. CÁC PHƯƠNG PHÁP KHÁC
11.6.1. Phương pháp xấp xỉ đa thức bậc 2 (Quadratic estimation methods)
Sử dụng phương pháp này để xấp xỉ hàm phức tạp bằng đa thức bậc 2.
Phương pháp này thực hiện như sau: với 3 điểm x1, x2, x3 ta có 3 giá trị f1, f2,
f3. Ta tìm cách xấp xỉ hàm f(x) bằng hàm q(x) = a0 + a1(x – x1) + a2(x –
x1)(x– x2). Đầu tiên xác định:
1 1 0
( )
 
f q x a
2 2 0 1 2 1
( ) ( )
   
f q x a a x x
3 3 0 1 3 1 2 3 1 3 2
( ) ( ) ( )( )
      
f q x a a x x a x x x x (11.14)
Với ba phương trình ba ẩn a0, a1, a3 như trên, ta có thể tìm được giá trị
các ẩn và cuối cùng là hàm q(x) khá dễ dàng:
0 1

a f
2 1
1
2 1



f f
a
x x
3 1 2 1
2
3 2 3 1 2 1
1  
 
 
 
  
 
f f f f
a
x x x x x x
(11.15)
PHƯƠNG PHÁP QUY HOẠCH THỰC NGHIỆM VÀ TỐI ƯU MỘT NHÂN TỐ 409
Sau khi có hàm q(x) là hàm xấp xỉ của f(x) thì việc tìm min của hàm
f(x) sẽ được thay thế bằng việc tìm min của hàm q(x). Với hàm q(x) là hàm
đa thức bậc 2 đã tìm được như trên thì việc tìm min của nó khá đơn giản,
ta chỉ việc lấy đạo hàm bậc 1 của hàm q(x) và cho đạo hàm này bằng 0 để
tìm x.
1 2 2 2 1
( ) ( ) 0
     
dq
a a x x a x x
dx
2 1 1
2
( )
2 2

 
x x a
x
a
(11.16)
Ví dụ 11.7 Tìm min của hàm: 2 16
( ) 2
 
f x x
x
trên khoảng x  [1, 5].
Giải:
Đặt x1 = 1, x3 = 5, x2 = (x1 + x3)/2 = 3, khi đó f1 = f(x1) = 18, f2 =
f(x2) = 23,333, f3 = f(x3) = 53,2.
Xấp xỉ hàm f(x) bởi hàm q(x) = a0 + a1(x – x1) + a2(x – x1)(x – x2).
0 1 18
 
a f
2 1
1
2 1
8
3

 

f f
a
x x
3 1 2 1
2
3 2 3 1 2 1
1 46
15
 
 
  
 
  
 
f f f f
a
x x x x x x
Sau đó lấy đạo hàm bậc 1 của q(x), và cho đạo hàm bậc 1 này bằng 0,
ta tính được:
(3 1) 8 / 3
1,565
2 2(46 /15)

  
x
Thực tế kết quả chính xác của fmin là x* = 1,5874.
Chú ý: ta có thể thay thế hàm ở Ví dụ 11.7 bằng hàm bậc 2 khi sử
dụng phương pháp bình phương nhỏ nhất (Hình 11.9) với các số liệu x và y
như sau:
x 1 2 3 4 5
y 18 16 23,33 36 53,2
410 CHƯƠNG 11
5
4
3
2
1
55
50
45
40
35
30
25
20
15
S 1.10645
R-Sq 99.7%
R-Sq(adj) 99.5%
x
y
Fitted Line Plot
y = 24.06 - 9.706 x
+ 3.124 x^2
Hình 11.9
Phương trình hồi quy có dạng:
y = 24,06 – 9,706x + 3,124x2
Lấy đạo hàm bậc nhất và cho bằng 0:
y’
= -9,706+ 6,248 x = 0
Suy ra nghiệm tối ưu: x = 1,553457, khi đó ymin = 16,52
11.6.2. Phương pháp xấp xỉ bậc 3 (Cubic search method)
Phương pháp này tương tự như phương pháp xấp xỉ bậc 2, khi đó theo
sử dụng đa thức bậc 3 để xấp xỉ cho hàm mục tiêu.
2
0 1 1 2 1 2 3 1 2
( ) ( ) ( )( ) ( ) ( )
        
f x a a x x a x x x x a x x x x
= 2
1 2 1 2 2 3 1 3 1 2
( )
( ) ( ) ( ) 2 ( )( )
        
d f x
a a x x a x x a x x a x x x x
dx
(11.17)
Giá trị của các hệ số a0, a1, a2 và a3 có thể được xác định dựa trên giá
trị của f(x1), f(x2), f’(x1) và f’(x2) bằng cách giải hệ phương trình sau:
1 1 0
( )
 
f f x a
2 2 0 1 2 1
( ) ( )
   
f f x a a x x
1 1 2 1 2
1 1
, ,
( ) ( )
   
f f x a a x x
PHƯƠNG PHÁP QUY HOẠCH THỰC NGHIỆM VÀ TỐI ƯU MỘT NHÂN TỐ 411
2
2 1 2 2 1 3 2 1
2
, ,
( ) ( ) ( )
     
f f x a a x x a x x (11.18)
2
2 2 1
1
, 0
( ), 0 1
, 1
 


      

  

x
x x x x
x
trong đó:
2
2 1
,
, ,
2
 
 
 
f w z
f f w
1 2
1 2
2 1
3( ) , ,
 

  
 

 
f f
z f f
x x
2 1/2
1 2
1 2
2 1/2
1 2
1 2
, ,
( ) ,
, ,
( ) ,
  

 
  


z f f x x
w
z f f x x
Bước 1.
Nếu f’(x0) < 0, tính xk+1 = xk + 2k
, với k = 0, 1, 2,…
Nếu f’(x0) > 0, tính xk+1 = xk – 2k
, với k = 0, 1, 2,…
Bước 2. Tính f’(x) cho điểm xk+1 với k = 0, 1, 2,… cho đến khi đạt
bằng điểm xM, f’(xM–1) f’(xM)  0.
Sau đó, đặt x1 = xM–1, x2 = xM
Tính f1, f2, 1 2
, ,
,
f f .
Bước 3. Tính điểm x của hàm đa thức bậc 3.
Bước 4. Nếu 1
( ) ( ),

f x f x chuyển tới Bước 5. Nếu không, đặt
1
1
( )
2
  
x x x x cho đến khi 1
( ) ( ).

f x f x
Bước 5. Kiểm tra để biết kết thúc bài toán:
Nếu 1
'( )  
f x và 1 2
( ) / ,
  
x x x dừng. Nếu không, đặt x2 = x1 và
1 
x x nếu 1
'( ) '( ) 0.

f x f x Nếu 2
'( ) '( ) 0,

f x f x đặt 1 
x x , sau đó quay trở
lại Bước 3.
Ví dụ 11.8 Giải lại bài toán tìm min 2 16
f (x) 2x
x
  với điểm ban đầu x0 = 1
và bước nhảy  = 1. Tiêu chuẩn hội tụ: 2 2
1 2
10 , 3.10 .
 
   
412 CHƯƠNG 11
Giải:
Đạo hàm:
2
16
'( ) 4
  
df
f x x
dx x
Lần lặp 1:
Bước 1. Nếu f’(1) = –12 < 0, tính x1 = 1 + 1 = 2
Bước 2. Tính f’(2) = 4, f’(1)f’(2) = –48 < 0.
Đặt x1 = 1, x2 = 3, tính f1 = 18, f2 = 16, 1 2
, ,
12, 4
  
f f .
Bước 3. Tính điểm x của hàm đa thức bậc 3 như sau:
1 2
1 2
2 1
3( ) 3
, ,
(18 16) ( 12) 4 2
1
 

         
 

 
f f
z f f
x x
 1/2 1/2
4 ( 12)(4) 52 7,211
    
w
4 7,211 ( 2)
0,4343
4 ( 12) 2(7,211)
  
  
  
Từ đây: 2 0,4343(2 1) 1,5657
   
x
Bước 4. 1
(1,5657) 15,1219 ( ) 18
  
f f x
Bước 5. Kiểm tra: '(1,5657) 0,264
 
f chưa thỏa điều kiện hội tụ. Do
2
'( ) '( ) ( 0,264).4 0,
  
f x f x đặt 1 1,5657.
 
x x
Lần lặp 2:
Bước 3. Tính điểm x của hàm đa thức bậc 3.
1 2
1 2
2 1
3( ) 3
, ,
(15,1219 16) ( 0,264) 4 2,3296
0,4343
 

         
 

 
f f
z f f
x x
1/2
2
(2,3296) ( 0,264)(4) 2,5462
 
   
 
w
4 2,5462 ( 2,3296)
0,9486
4 ( 0,264) 2(2,5462)
  
  
  
2 0,9486(2 1,5657) 1,588
   
x
PHƯƠNG PHÁP QUY HOẠCH THỰC NGHIỆM VÀ TỐI ƯU MỘT NHÂN TỐ 413
Bước 4. f(1,588)= 15,1191 < f(x1) = 15,1219
Bước 5. Kiểm tra:
2
'(1,588) 0,0072 10
  
f
2
1,588 1,5657
0,014 3.10
1,588


 
Vậy bài toán đã đạt điều kiện hội tụ.
Lưu ý là với cùng điểm ban đầu x0 = 1 và bước nhảy , phương pháp
xấp xỉ đa thức bậc 2 cho ra kết quả cuối cùng 1,714,

x trong khi phương
pháp này cho ra kết quả 1,5657

x , so với kết quả chính xác của bài toán là
1,5874, ta thấy rõ ràng phương pháp xấp xỉ đa thức bậc ba này cho ra kết
quả chính xác hơn vì nó xấp xỉ hàm f(x) chính xác hơn.
11.6.3. Phương pháp Powell
Nội dung phương pháp này theo [49] được thực hiện theo trình tự sau:
1. Tính x2 = x1 + x.
2. Tính f(x1) và f(x2).
3. Nếu f(x1) > f(x2), đặt x3 = x1 + 2x. Nếu f(x1)  f(x2), đặt x3 = x1 – x.
4. Tính f(x3) và xác định min 1 2 3
min , ,

F f f f từ đó suy ra xmin tương ứng.
5. Dùng x1, x2, x3 để tính x bằng công thức xấp xỉ đa thức bậc 2 như
trên (Mục 11.6.1).
6. Kiểm tra xem bài toán đã đạt tối ưu hay chưa: nếu  
min ( )

f f x và
min
( )

x x đủ nhỏ thì bài toán đã đạt giá trị tối ưu. Nếu chưa đủ nhỏ thì tiếp
Bước 7.
7. Lưu giá trị xmin, giá trị giới hạn đầu và cuối của nó và lặp lại Bước 4.
Ví dụ 11.9 Giải lại bài toán tìm min của: 2 16
f (x) 2x
x
  với điểm ban đầu
x1 = 1 và bước nhảy x = 1. Tiêu chuẩn hội tụ của bài toán:
2
min
X x
3.10
x


 và
 
 
min 3
F f x
3.10
f x


 .
414 CHƯƠNG 11
Giải:
Lần lặp 1:
1. Tính 2 1 2
   
x x x
2. Tính 1
( ) 18

f x và 2
( ) 16.

f x
3. Nếu 1 2
( ) ( ),

f x f x đặt 3 1 2 3.
   
x x x
4. Tính f(x3) = 23,33 và xác định
min 1 2 3
min , , 16
 
f f f f
từ đó suy ra xmin = x2 = 2 tương ứng.
5. Dùng x1, x2, x3 để tính x bằng công thức xấp xỉ đa thức bậc 2:
1
16 18
1
2 1

  

a
2 1
1 23,33 18
4,665
3 2 3 1

 
  
 
 
 
a a
Suy ra:
(1 2) 2
1,714
2 2(4,665)
 
  
x
( ) 15,21

f x
6. Kiểm tra xem bài toán đã đạt tối ưu hay chưa:
min 2 1,714
0,167
1,714
 
 
X x
x
min ( ) 16 15,21
0,0519
( ) 15,21
 
 
F f x
f x
7. Lưu giá trị xmin, giá trị giới hạn đầu và cuối của nó và lặp lại Bước 4.
Lần lặp 2:
1 1
1 18
  
x f
2 2
1,714 15,21
  
x f
3 3
2 16
  
x f
min 1 2 3
min , , 15,21
 
F f f f
từ đó suy ra xmin = x2 = 1,714 tương ứng.
PHƯƠNG PHÁP QUY HOẠCH THỰC NGHIỆM VÀ TỐI ƯU MỘT NHÂN TỐ 415
5. Dùng x1, x2, x3 để tính x bằng công thức xấp xỉ đa thức bậc 2:
1
15,21 18
3,908
1,714 1

  

a
2 1
1 16 18
6,671
2 1,714 2 1

 
  
 
 
 
a a
Suy ra:
(1 1,714) 3,908
1,65
2 2(6,671)
 
  
x
Từ đây: ( ) 15,142

f x
6. Kiểm tra xem bài toán đã đạt tối ưu hay chưa:
min ( ) 15,21 15,142
0,0045
( ) 15,142
 
 
F f x
f x
7. Lưu giá trị Xmin, giá trị giới hạn đầu và cuối của nó và lặp lại Bước 4.
Lần lặp 3:
1 1
1 18
  
x f
2 2
1,65 15,142
  
x f
3 3
1,714 15,21
  
x f
min 1 2 3
min , , 15,142
 
F f f f
từ đó suy ra xmin= x2 = 1,65 tương ứng.
5. Dùng x1, x2, x3 để tính x bằng công thức xấp xỉ đa thức bậc 2:
1
15,142 18
4,397
1,65 1

  

a
2 1
1 15,21 18
7,647
1,714 1,65 1,714 1

 
  
 
 
 
a a
Suy ra:
(1 1,65) 4,397
1,6125
2 2(7,647)
 
  
x
Từ đây: ( ) 15,123

f x
416 CHƯƠNG 11
6. Kiểm tra xem bài toán đã đạt tối ưu hay chưa:
min ( ) 15,142 15,123
0,0013 0,003
( ) 15,123
 
  
F f x
f x
min ( ) 1,65 1,6125
0,023 0,03
( ) 1,6125
 
  
X f x
f x
Do đó vòng lặp sẽ kết thúc, ta có kết quả tối ưu.
Ngoài ra còn nhiều phương pháp khác được trình bày trong [49] như
Phương pháp đạo hàm bậc 1 và bậc 2 (First order and second order
methods), bao gồm: Phương pháp Newton–Raphson, phương pháp hai mặt
cắt (Bisection method, Bolzano search), phương pháp Secant…
So sánh giữa các phương pháp
Từ góc nhìn lý thuyết, ta có thể thấy rằng phương pháp xấp xỉ như
phương pháp xấp xỉ bậc 2, Powell hay phương pháp xấp xỉ bậc ba có nhiều
ưu điểm hơn phương pháp không cần đạo hàm như chia đôi hay mặt cắt
vàng. Tuy nhiên về phương diện sử dụng lập trình để giải các bài toán tối ưu
thì phương pháp chia đôi, mặt cắt vàng hay Fibonacci lại thể hiện những ưu
điểm vượt trội. Nó giảm thời gian tính toán và làm việc lập trình phần mềm
giải dễ dàng. Việc sử dụng phương pháp nào để giải tùy thuộc vào ý nghĩa,
mục đích, độ chính xác và thời gian cho phép của mỗi bài toán.
Ngoài ra ta có thể sử dụng phương pháp bình phương nhỏ nhất, kết hợp
phần mềm Minitab để thay thế các hàm phức tạp thành các đa thức bậc 2, bậc
3,… Từ đó tìm giá trị tối ưu bằng cách lấy đạo hàm.
PHƯƠNG PHÁP QUY HOẠCH THỰC NGHIỆM VÀ TỐI ƯU MỘT NHÂN TỐ 417
BÀI TẬP
Sử dụng phương pháp chia khoảng, chia đôi, mặt cắt vàng, Fibonacci
để giải bài toán tối ưu sau ( = 0,2).
11.1. f(x) = x3
– 3x + 1 trên đoạn x  [0, 3]
11.2. f(x) = 2x3/2
– 3x trên đoạn x  [0, 3]
11.3.
 
2
2
x 3x 2
f (x)
x 1
 


trên đoạn x  [-1/2, 2]
11.4. y = -x2
+ x1/2
với x  (0, 4)
11.5. y = -x2
+ 3x với x  (1, 4)
11.6. y = x2
+ 2x + 2 với x  (-5, 3)
11.7. 3
f(x) x x 1
  với x  [-7, 2]
11.8. 3
f(x) x | x | 1
  với x  [-7, 2]
11.9.  2/3
f(x) x x 2
  với x  [-1, +]
11.10.  
1/3
2/3 2
f(x) x x 1
   với x  (0, 3)
11.11.
2
2
x 5x 6
f(x)
x 1
 


với x  (0, 4)
11.12. f(x) x 2sin x
  với x  [0, +]
11.13. 2/3 x
f(x) x e
 với x  [-1, +]
11.14. |x|
f(x) | x | e
 với x  [-2, 2]
11.15. 3 3
f(x) cos x sin x
  với x  [0, +]
11.16.  
2
2 x
f(x) 1 x e
  với x  [0, +]
418 CHƯƠNG 11
11.17. f(x) sin(x), x ,
2

 
  
 
 
11.18.    
2
f(x) x 2 , x 0,3
  
11.19.    
4
f(x) x 5 , x 6,2
   
11.20.  
2
f(x) x 2x 4, x 2,1
    
11.21.  
5 2
f(x) x x , x 0,1
  
11.22.  
4
f(x) x x, x 0,1
  
11.23.  
x
f(x) xe , x 2,6

  
11.24.    
f(x) cos x , x 0,
  
11.25.    
2
f(x) x 15 5, x 12,20
   
11.26.  
x
f(x) xe , x 2,0
  
11.27.  
3
f(x) x x, x 0,1
  
11.28.  
x
x
f(x) , x 0,3
e

 
11.29.  
4
x
f(x) , x 1.1, 1.5
ln x
 
11.30.  
2x
f(x) xe , x 2,6

  
Bài tập lớn: mỗi em thực hiện 2 trong 4 phương pháp chia khoảng, chia
đôi, mặt cắt vàng, Fibonacci để tìm giá trị tối ưu cho các bài tập trên.
PHƯƠNG PHÁP QUY HOẠCH THỰC NGHIỆM VÀ TỐI ƯU NHIỀU NHÂN TỐ 419
Chương 12
PHƯƠNG PHÁP QUY HOẠCH THỰC NGHIỆM
VÀ TỐI ƯU NHIỀU NHÂN TỐ
Chương này gồm các nội dung sau:
12.1. Phương pháp tìm kiếm theo toạ độ
12.2. Phương pháp độ dốc nhất
12.3. Phương pháp đơn hình
Bài tập
CHƯƠNG 12
420
Trong chương này, ta sẽ thảo luận về bài toán tối ưu phi tuyến nhiều
biến, không ràng buộc. Bài toán thông thường là dạng tìm giá trị nhỏ nhât
(min) của hàm f(x) với x là vectơ của những biến cần giải. Các phương pháp
giải bài toán tối ưu nhiều biến:
- Phương pháp đạo hàm riêng.
- Phương pháp tìm kiếm theo tọa độ.
- Phương pháp độ dốc nhất (gradient).
- Phương pháp đơn hình.
- Phương pháp bậc 2: sử dụng xấp xỉ đạo hàm bậc 1 và 2 của hàm
mục tiêu.
Nếu hàm mục tiêu dễ dàng lấy đạo hàm và hệ phương trình đạo hàm riêng
giải dễ dàng thì ta sử dụng phương pháp lấy đạo hàm. Ví dụ trong trường hợp sử
dụng các phương pháp quy hoạch thực nghiệm trong Chương 6 ta thu dược
phương trình hồi quy bậc 2 có dạng sau:
k k k
2
0 i i ii i ij i j
i 1 i 1 i j
i,j 1
y b b x b x b x x
  

   
   (12.1)
Khi đó bài toán tối ưu với hàm mục tiêu là hàm đa thức bậc 2, phương
pháp đơn giản là lấy đạo hàm riêng theo các biến (nhân tố) xi, khi đó giá trị tối ưu
là nghiệm của hệ phương trình đạo hàm riêng sau đây:
 






 






 


1
2
k
y
0;
x
y
0;
x
...
y
0;
x
(12.2)
Đối với các hàm phức tạp việc lấy đạo hàm riêng và giải hệ phương
trình đạo hàm riêng vô cùng phức tạp. Khi đó ta sử dụng các phương pháp
khác. Dưới đây giới thiệu vài phương pháp giải bài toán tối ưu nhiều biến
không ràng buộc để có thể giải bài toán tối ưu hoặc kết hợp quy hoạch thực
nghiệm và phương pháp tối ưu để tìm các thông số tối ưu.
PHƯƠNG PHÁP QUY HOẠCH THỰC NGHIỆM VÀ TỐI ƯU NHIỀU NHÂN TỐ 421
12.1. PHƯƠNG PHÁP TÌM KIẾM THEO TỌA ĐỘ
12.1.1. Phương pháp tìm kiếm theo tọa độ (Coordinate Search Method)
Đối với thực nghiệm tối ưu nhiều nhân tố thì phương pháp đơn giản
và hiệu quả nhất là sử dụng phương pháp tìm kiếm theo tọa độ. Theo
phương pháp này các nhân tố thay đổi trong thực nghiệm một cách luân
phiên có nghĩa là ta thực hiện loạt thí nghiệm 1 nhân tố kế tiếp nhau. Bắt
đầu, ta cho trước điểm đầu tiên  
(0) (0) (0) (0)
1 2 3 k
x ,x , x , x và thực hiện thí
nghiệm đầu tiên. Sau đó lần lượt thay đổi giá trị chỉ 1 nhân tố. Ví dụ thay
đổi x1 và các nhân tố còn lại x2, x3, ..., xk cố định tại mức đầu tiên
(0) (0) (0)
2 3 k
x , x , x . Trong trường hợp hai nhân tố thì ta thay đổi nhân tố x1
tương ứng với các điểm 1-5 trên mặt phẳng nhân tố (Hình 12.1). Trên hình
này ta vẽ các đường đồng mức hay đường có giá trị thông số đầu ra bằng
nhau. Đối với tất cả các điểm nằm trên đường đồng mức thứ i, giá trị đáp
ứng giống nhau và bằng một giá trị yi nào đó. Giữa các thí nghiệm thực hiện
ta tìm giá trị y lớn nhất (Hình 12.1 thí nghiệm 4). Các giá trị tương ứng nhân
tố x1 được cố định. Trong các điều kiện này lần lượt thay đổi nhân tố x2 (thí
nghiệm 6 đến 9 Hình 12.1). Đối với các thí nghiệm của loạt thí nghiệm này
ta tìm giá trị x2 tốt nhất (điểm 8 Hình 12.1). Trong loạt thí nghiệm tiếp theo
ta chỉ thay đổi nhân tố x3 (nếu số nhân tố lớn hơn 2) và tiếp tục đến xk. Sau
đó vòng thay đổi các nhân tố kế tiếp thực hiện lặp lại bắt đầu từ x1. Trình tự
được thực hiện lặp lại đến khi nào tìm được điểm mà sự thay đổi bất cứ
nhân tố nào đều dẫn đến đến làm xấu đi kết quả. Điểm này là điểm tối ưu.
Hình 12.1 Phương pháp tìm kiếm theo tọa độ
CHƯƠNG 12
422
Trên Hình 12.1 để tìm điểm cực trị (điểm 17) ta cần thực hiện năm
loạt thí nghiệm một nhân tố. Chú ý rằng trên mỗi loạt thí nghiệm chỉ thực
nghiệm một nhân tố thay đổi. Thay vì thay đổi nhân tố theo các bước bằng
nhau thì ta có thể sử dụng một trong các phương pháp được khảo sát ở
Chương 11: chia khoảng hoặc là mặt cắt vàng.
12.1.2. Phương pháp tìm kiếm theo mẫu Hooke-Jeeves (Hooke-Jeeves
Pattern Search Method)
Điểm tìm kiếm mới của phương pháp tìm kiếm theo tọa độ được xác
định theo công thức sau [49]:
( ) ( )
( )
   
j j
new c
x x x x (12.3a)
Hướng nhảy theo mẫu (Pattern Move):
 
( 1) ( ) ( ) ( 1)
 
  
k k k k
p
x x x x (12.3b)
trong đó:
x(k)
- điểm cơ sở hiện tại;
x(k–1)
- điểm cơ sở ở lần lặp trước;
( 1)
k
p
x 
- điểm di chuyển theo mẫu (pattern move point);
x(k+1)
- điểm cơ sở lần lặp kế tiếp;
Bước 1. Định nghĩa và cho điểm ban đầu x(0)
;
Bước tăng i cho k = 1, 2, 3,…N;
Hệ số giảm bước nhảy ;
Tham số kiểm tra hội tụ .
Bước 2. Thực hiện bước tìm kiếm.
Bước 3. Nếu bước tìm kiếm thành công (tức là điểm nhỏ hơn được
tìm thấy) thì chuyển qua Bước 5, nếu không thì tiếp tục Bước 4.
Bước 4. Kiểm tra hội tụ: Nếu |||| <  thì dừng. Nếu không thì giảm
bước nhảy:

 

i
i (12.4)
với i = 1, 2, 3,…, N
PHƯƠNG PHÁP QUY HOẠCH THỰC NGHIỆM VÀ TỐI ƯU NHIỀU NHÂN TỐ 423
Trở về bước 2.
Bước 5. Thực hiện bước nhảy theo mẫu:
 
( 1) ( ) ( ) ( 1)
 
  
k k k k
p
x x x x (12.5)
Bước 6. Thực hiện bước tìm kiếm bằng việc sử dụng ( 1)

k
p
x như là
biến cơ sở, và đặt kết quả là x(k+1)
.
Bước 7. Nếu f((k+1)
) < f((k)
) thì đặt ( 1) ( ) ( ) ( 1)
,
 
 
k k k k
x x x x , qua Bước
5. Nếu không thì qua Bước 4.
Ví dụ 12.1 Tìm min của hàm f(x) = 8x1
2
+ 4x1x2 + 5x2
2
với điểm ban đầu
x(0)
= [-4, -4].
Giải:
Chọn  = [1, 1] là bước nhảy:
+  = 2 là hệ số giảm bước nhảy
+  = 10–4
là tham số xét điều kiện hội tụ.
Đầu tiên ta tính f(x(0)
) = f(-4, -4) = 272, với x2 cố định, ta tăng x1:
(0)
2 1
4, 4 1 3 ( 3, 4) 200 ( )
           
x x f f x
Bước tìm kiếm này thành công, do đó ta cố định x1 = –3 và tăng x2:
2 4 1 ( 3, 3) 153 200
       
x f
Bước tìm kiếm này thành công, cho nên:
 
(1)
3, 3
  
T
x và (1)
( ) 153

f x .
Ta tiếp tục chuyển qua bước nhảy theo mẫu:
 
2 (1) (1) (0)
( ) 2, 2
     
T
p
x x x x
(2)
( 68)

p
f x
Bây giờ ta thực hiện tìm kiếm ứng với 2
p
x như đã làm ở trên và thấy
bước tìm kiếm thành công, do đó:
 
(2)
1, 1
  
T
x và (2)
( ) 17

f x .
CHƯƠNG 12
424
Do (2) (1)
( ) ( ),

f x f x bước nhảy theo mẫu này thỏa và x(2)
trở thành
điểm cơ sở mới. Các bước này cứ được tiếp tục cho đến khi điều kiện hội tụ
đạt được gần giá trị:  
* 0, 0

T
x .
12.2. PHƯƠNG PHÁP ĐỘ DỐC NHẤT (Gradient Descent Method)
12.2.1. Giải bài toán tối ưu theo phương pháp độ dốc nhất
Phương pháp hiệu quả nhất và sử dụng phổ biến nhất trong tối ưu thực
nghiệm dựa trên cơ sở các phương pháp độ dốc nhất tìm kiếm cực trị (Hình
11.2).
Hình 12.2 Hình minh họa phương pháp độ dốc nhất [52]
Ý tưởng của phương pháp này là đầu tiên ta giả thuyết với chỉ một
nhân tố thay đổi x1. Trên Hình 12.3 điểm a và b là giới hạn miền thay đổi
của nhân tố này. Giả sử M là hoành độ của điểm cực trị cần tìm. Đầu tiên ta
tiến hành tính (thí nghiệm) tại 1 điểm bất kỳ trong miền thay đổi của nhân tố
x1, kết quả thu được y1. Từ điểm 1 ta dịch chuyển về hướng điểm M, trong
trường hợp này về bên trái. Nhưng điểm M ta không biết trước, do đó ta
thực hiện bước thử về hướng trái hoặc phải từ điểm 1. Giả sử ta chọn điểm 2
về phía phải điểm 1 (Hình 12.3), kết quả ta có y2. Vì y2 < y1 do đó M phải
nằm bên trái điểm 1. Cho nên bước làm việc tiếp theo thực hiện bên trái
điểm 1 tại điểm 3. Bởi vì y3 > y1, nên bước làm việc tiếp theo thực hiện theo
hướng này tức là về điểm 4 (Hình 12.3) và tiếp tục đến điểm 6. Vì y6 < y5
nên M nằm giữa 5 và 6. Nếu độ chính xác mà ta tìm kiếm điểm M chưa đạt yêu
cầu thì ta dịch chuyển tiếp tục về phía phải điểm 6 với bước được giảm đi.
PHƯƠNG PHÁP QUY HOẠCH THỰC NGHIỆM VÀ TỐI ƯU NHIỀU NHÂN TỐ 425
Hình 12.3 Phương pháp độ dốc nhất tìm kiếm điểm cực trị
Nếu giả sử số nhân tố thay đổi là 2, khi đó minh họa hình học của
phương pháp được khảo sát trong mặt phẳng nhân tố với các tọa độ x1 và x2
(Hình 12.4).
Hình 12.4
Việc tìm kiếm giá trị lớn nhất của một hàm theo phương pháp độ dốc
nhất với biến x1, x2,…xk bao gồm các bước sau:
Bước 1. Tính gradient của hàm f (V) (công thức 12.2), độ dài của
vectơ gradient |f (V)|:
2
2 2
1 2 k
y y y
( ) ...
V
x x x
f
     
  
   
     
  
     
 (12.6)
CHƯƠNG 12
426
và vectơ đơn vị t (V):
(
f V)
t(V)
(V)
f



(12.7)
Bước 2. Chọn điểm ban đầu Vn khi n = 0.
Bước 3. Tính tọa độ của vectơ đơn vị t (Vn) theo công thức (12.7) có
được ở Bước 1 và xác định tọa độ của điểm mới khi chuyển động theo
phương của vectơ đơn vị.
Bước 4. Chọn bước a thay đổi tọa độ của điểm hiện tại Vn. Nó được
thực hiện từ điều kiện tăng giới hạn của hàm f [Vn + ant(Vn)] của một đối số
a theo phương trình:
n n n
n
df[V a t(V )]
0
da

 (12.8)
Nghiệm của phương trình này, tối ưu hàm f(V), ký hiệu an. Giá trị
bước sau đó Vn + 1 được xác định theo công thức:
Vn+1 = Vn+аn t(Vn) (12.9)
Trở về tính lại Bước 3.
Kết quả ta thu được V0, V1, V2,… Quá trình tính toán kết thúc khi đạt
đến điểm Vn, với (Vn - Vn-1) ≤ , khi đó ước lượng gradient df(V)/dV xấp
xỉ bằng 0.
Giải:
Bước 1. Dạng tổng quát gradient của hàm f(V) theo công thức (12.2):
у/х1 = – 6х1; у/х2 = – 4х2; f(V) = (– 6х1; – 4х2).
Chiều dài vectơ gradient |f(V)| được tính theo công thức (12.6):
|f(V)| =
2 2
2 2
1 2
1 2
y y
36x 16x
x x
   
 
  
   
 
   
Vectơ đơn vị t theo công thức (12.7):
t = (t1; t2) = f(V) / |f(V)| = – (-6х1; -4х2) / 2 2
1 2
36x 16x
 .
Ví dụ 12.3 Thực hiện theo phương pháp đường dốc nhất để tìm lời giải
tối ưu cho phương trình у = – 3х1
2 – 2х2
2.
PHƯƠNG PHÁP QUY HOẠCH THỰC NGHIỆM VÀ TỐI ƯU NHIỀU NHÂN TỐ 427
Bước 2. Chọn điểm ban đầu V0 = (5; 3).
Bước 3. Tính tọa độ vectơ đơn vị theo công thức (12.7):
t(V0) = –(30; 12)/ 36,25 16,9

= – (30; 12)/[32,31] = (–0,93; –0,37).
Tọa độ điểm V1 khi dịch chuyển theo hướng vectơ t theo công thức
(12.9):
V1 = V0 + at(V0)= (5; 3) + a (– 0,93; – 0,37)
= (5 – a . 0,93; 3 – a . 0,37).
Hàm у = – 3х1
2
– 2х2
2
tại điểm V1 không gian 2 biến:
f(V1) = f( V0 + at(V0))= – 3(5 – a . 0,93)2
– 2(3 – a . 0,37)2
.
Bước 4. Chọn bước a thay đổi tọa độ theo phương trình (công thức
12.8) (lấy đạo hàm f(V) theo a):
0 0
1 df (V at(V ))
df (V )
0
da da

 
3 . 2 . 0,93 . (5 – a . 0,93) – 2.2.0,37(3 – a . 0,37) = 0
Thay thế các giá trị vào ta thu được:
32,34 – 5,737 . а = 0.
Suy ra bước а = 5,637.
Tọa độ điểm V1 sau khi thực hiện bước đầu tiên đường dốc nhất:
V1 = V0 + аt(V0) = (– 0,242; 0,914)
Quay lại bước 3 cho vòng lặp mới:
Bước 3. Tính tọa độ vectơ đơn vị t(V1) theo công thức (12.7):
t (V1) = (t1; t2) = f(V) / |f(V)| = – (-6х1; -4х2)/ 2 2
1 2
36x 16x
 .
t(V1) = –(1,452; -3,656)/ 15,47464
= –(1,452; -3,656)/3,934= (-0,369; 0,929).
Tọa độ điểm V1 khi dịch chuyển theo hướng vectơ t:
V2 = V1 + at(V1)= (– 0,242; 0,914)+ a (-0,369; 0,929)
= (– 0,242 - 0,369a; 0,914 + 0,929a).
CHƯƠNG 12
428
Hàm у tại điểm V2 không gian 2 biến:
f( V1 + at(V1)) = – 3(– 0,242 - 0,369a)2
– 2(0,914 + 0,929a)2
.
Bước 4. Chọn bước a thay đổi tọa độ theo phương trình:
1 1
df[V at(V )]
0
da


Thay thế các giá trị vào ta thu được:
-2,86 – 2,635а = 0.
Suy ra bước а = -1,085
Tọa độ điểm V2 sau khi thực hiện bước đầu tiên đường dốc nhất
V2 = V1 + аt(V1) = (– 0,242; 0,914) - 1,085(-0,369; 0,929).
= (0,158; -0,093965)
Tiếp tục thực hiện đến Vn  (0; 0) với (Vn - Vn-1) ≤  = 0,1 và giá trị
cực đại y xấp xỉ bằng 0.
Trong quá trình tính kết quả các bước có thể đưa vào Bảng 12.1.
Bảng 12.1
Lần Vn f(V) |f(V)| t(V0) a Vn+1
1
2
3
4
…
12.2.2. Ứng dụng phương pháp độ dốc nhất trong thực nghiệm
Thí nghiệm đầu tiên được thực hiện tại điểm A bất kỳ bên trong
miền giá trị các nhân tố (điểm A có tọa độ x1
(0)
, x2
(0)
như Hình 12.4 và
12.5). Từ điểm này có thể dịch chuyển theo hướng bất kỳ chứ không phải
theo một trong hai hướng như phương pháp vừa khảo sát. Theo vài hướng
làm tăng giá trị đáp ứng (hướng 1-4) theo các hướng khác giảm giá trị đáp
ứng (5-8). Vị trí điểm tối ưu không được biết, nhưng hướng tốt nhất cần
dịch chuyển điểm A là hướng mà hàm đáp ứng tăng nhanh nhất. Hướng đó
được gọi là gradient của hàm đáp ứng. Nhận xét rằng trong mỗi điểm
PHƯƠNG PHÁP QUY HOẠCH THỰC NGHIỆM VÀ TỐI ƯU NHIỀU NHÂN TỐ 429
không gian nhân tố hướng gradient vuông góc với tiếp tuyến đường đồng
mức vẽ qua điểm này.
Vectơ thành phần của gradient đáp ứng f(x1, x2, ..., xk) là đạo hàm
riêng theo các nhân tố:













k
2
1
k
2
1
x
f
,
x
f
,
x
f
)
x
,
x
,
x
(
f
grad 
 (12.10)
Do đó có thể xác định gradient của một điểm bất kỳ trong không gian
nhân tố nếu như biết hàm đáp ứng trong vùng lân cận điểm này. Mô hình
toán của hàm đáp ứng có thể thu được bằng phương pháp quy hoạch thực
nghiệm (Hình 12.7). Do đó, kết quả thực nghiệm thực hiện theo một miền
nào đó của không gian nhân tố có thể đánh giá hướng gardient của hàm đáp
ứng. Theo hướng này sẽ dịch chuyển đến điểm cực đại. Trình tự thực hiện
theo nhiều bước bởi vì sau mỗi bước hướng gradient hàm đáp ứng sẽ thay
đổi. Để đánh giá chúng cần phải tiến hành lại thí nghiệm.
Theo phương pháp độ dốc nhất để đánh giá gradient hàm đáp ứng thì
người ta sử dụng TNT hoặc TNR. Giả sử rằng trên vùng lân cận của điểm A
với các tọa độ x1
(0)
, x2
(0)
,…xk
(0)
ta thực hiện một trong các dạng quy hoạch
trên. Điểm A là tâm quy hoạch. Giả sử theo kết quả thực nghiệm ta thu được
mô hình tuyến tính như sau:
k
k
2
2
1
1
o x
b
x
b
x
b
b
y 



  (12.11)
Biểu thức (12.11) được viết dưới dạng mã hóa. Từ công thức (12.11)
suy ra vectơ gradient đối với mô hình trên là các hệ số tuyến tính:
 
k
2
1
k
2
1 b
,
b
,
b
)
x
,
x
,
x
(
f
grad 
  (12.12)
Cho nên với điều kiện thí nghiệm bất kỳ nằm trên đường gradient đi
qua điểm ban đầu có thể thu được bằng cách thay giá trị mới nhân tố tại tâm
quy hoạch bằng các đại lượng tương ứng hệ số hồi quy mô hình tuyến tính.
Các thí nghiệm như trên gọi là thí nghiệm theo đường dốc nhất. Giá trị các
nhân tố trong thí nghiệm đường dốc nhất xác định (trong trường hợp tìm cực
đại của hàm đáp ứng) theo công thức:
(12.13)
CHƯƠNG 12
430
trong đó:
k
2
1 ,
, 

  - đoạn thay đổi các nhân tố trong loạt thí nghiệm trước;
 - hệ số, xác định chiều dài bước theo hướng cực trị.
Sau đó ta tiến hành loạt thí nghiệm tiếp theo, theo kết quả đó ta xác
định hướng gradient mới. Thành phần i trong công thức (12.13) là do
chúng biểu diễn dạng tự nhiên.
Trình tự phương pháp gradient trong thực nghiệm
Ta khảo sát trường hợp tìm cực đại hàm đáp ứng.
Bước 1. Chọn giá trị các nhân tố tại điểm ban đầu (0) (0)
1 1
x x x
  ; x2
= x2
(0)
, …, xk = xk
(0)
. Đó là tâm quy hoạch trong loạt thí nghiệm đầu tiên
(Hình 12.5). Vị trí điểm đầu tiên được chọn bởi nhà nghiên cứu theo dự
đoán vị trí tối ưu. Chọn miền giá trị các nhân tố trong loạt thí nghiệm này:
k
2
1 ,
, 

  . Các miền giá trị này phải nhỏ hơn đáng kể miền giá trị nhân
tố tương ứng trong tất cả thực nghiệm vì cần thiết phải đặt loạt thí nghiệm
mới trong các vùng khác của không gian nhân tố.
Hình 12.5
Bước 2. Với tâm nhân tố tại
)
0
(
X ta tiến hành TNT hoặc TNR (điểm 1
đến 4 trên Hình 12.5).
PHƯƠNG PHÁP QUY HOẠCH THỰC NGHIỆM VÀ TỐI ƯU NHIỀU NHÂN TỐ 431
Bước 3. Kết quả thực nghiệm được xử lý với mục tiêu nhận được mô
hình tuyến tính (phương trình hồi quy bậc 1). Ước lượng ý nghĩa hệ số
phương trình hồi quy và kiểm tra tính tương thích mô hình.
Bước 4. Với sự trợ giúp công thức (12.12) ta tính điều kiện các thí
nghiệm có thể theo đường dốc nhất.
Đối với mỗi nhân tố người ta tính tích .
b i
i  Giả sử nhân tố x1 mà khi
đó tích l
l
b  lớn nhất theo giá trị tuyệt đối được gọi là nhân tố cơ sở. Khi đó
ta chọn bước thay đổi 1 trong thí nghiệm độ dốc nhất (chọn giá trị hợp lý
đảm bảo tiến hành các bước tiếp theo, ví dụ chọn 1/5 đến 1/10 miền giá trị
thay đổi của nhân tố xi). Khi đó dấu l
 trùng với dấu của hệ số l
b khi tìm
cực đại. Còn ngược dấu thì ta tìm cực tiểu hàm đáp ứng. Sau đó ta xác định
hệ số  theo công thức:
l
l
l
b 


 (12.14)
Sau đó ta tìm giá trị bước đối với từng nhân tố còn lại:
i
i
i b 


 (12.15)
Giá trị có thể nhỏ nhất đối với bước i
 được xác định theo điều kiện
khác nhau giữa 2 thí nghiệm kế cận của phương pháp độ dốc lớn nhất. Giá
trị lớn nhất được hạn chế bằng miền giá trị có thể của nhân tố xi trong thực
nghiệm. Tương ứng với công thức (12.12) của điều kiện thí nghiệm đầu tiên
được viết:
xi
(1)
= xi
(0)
+ δi, i = 1, 2,…k (12.16)
Còn giá trị nhân tố bất kỳ trong mỗi thí nghiệm tiếp theo của phương
pháp đường dốc nhất được xác định sau khi thêm giá trị bước tiếp theo vào
giá trị của nhân tố đã cho trong thí nghiệm trước đó:
xi
(2)
= xi
(1)
+ δi, (12.17)
Bước 5. Thực hiện vài thí nghiệm. Trên Hình 12.5 là các thí nghiệm
5, 6 và 7. Giá trị thu được tốt nhất được lấy làm tâm của quy hoạch mới, sau
đó trình tự được lặp lại từ Bước 2. Trên Hình 12.5 thì thí nghiệm tốt nhất là
thí nghiệm 6. Các điểm 8 đến 11 tạo thành quy hoạch loạt thí nghiệm mới,
theo kết quả của quy hoạch ta tính và thực hiện các thí nghiệm độ dốc nhất
12 đến 15.
Bước 6. Dấu hiệu đạt được miền tối ưu là không ý nghĩa của tất cả hệ
số hồi quy tuyến tính trên một trong các bước. Trong trường hợp đó trình tự
CHƯƠNG 12
432
độ dốc nhất kết thúc và để mô tả chi tiết miền tối ưu thông thường sử dụng
quy hoạch bậc 2 trong vùng lân cận điểm đạt được tốt nhất.
Chú ý:
1. Trong trường hợp tìm giá trị nhỏ nhất của hàm đáp ứng thì theo trình
tự trên ở vế phải các công thức (12.15) đến (12.17) ta đặt dấu trừ trước i.
2. Các nhân tố tương ứng với các hệ số không có ý nghĩa trong các thí
nghiệm độ dốc nhất không thay đổi. Chúng được đặt ở một giá trị nào đó.
thông thường ở mức 0.
3. Trong khi giải bài toán về thực hiện các thí nghiệm tương đương ta
chú ý đến kết quả kiểm tra tính tương thích mô hình. Nếu mô hình là tương
thích thì ta lập tức chuyển sang thực hiện các thí nghiệm tương đương, khi
đó có một nhân tố nào đó nằm ngoài giới hạn miền giá trị các nhân tố trong
loạt thí nghiệm trước đó. Mô hình không thương thích có thể sử dụng để
quy hoạch phương pháp độ dốc nhất. Nhưng trong trường hợp này tốt nhất
bắt đầu từ các thí nghiệm nằm trong miền giá trị các nhân tố.
4. Ứng dụng phương pháp đường dốc nhất đạt hiệu quả nhất nếu như
giá trị tuyệt đối của hệ số tuyến tính với mô hình trong các nhân tố được mã
hóa, được tính theo kết quả các loạt thí nghiệm kế tiếp, có sự khác nhau
không đáng kể. Điều đó có thể đạt được bằng cách chọn các miền thay đổi
các nhân tố.
5. Thực hiện các thí nghiệm độ dốc nhất theo các phương pháp khác
nhau. Đặc biệt ở đây ta có thể sử dụng một trong các phương pháp một nhân
tố để tìm kiếm cực trị, ví dụ phương pháp mặt cắt vàng.
12.2.3. Các ví dụ ứng dụng phương pháp độ dốc nhất trong thực nghiệm
Ví dụ 12.4 Ứng dụng phương pháp độ dốc nhất để tối ưu quá trình sấy vật liệu
Các nhân tố:
X1 (cP - CentiPoise) - độ nhớt có điều kiện chất tải nhiệt
X2 (giờ) - thời gian sấy
X3 (0
C)- nhiệt độ quá trình sấy.
Thông số tối ưu là độ ẩm y (%) mà giá trị cần thiết phải nhỏ nhất.
Giải:
Điều kiện và kết quả thực nghiệm theo phương pháp đường dốc nhất
được trình bày theo Bảng 12.3 (bao gồm ma trận quy hoạch. kết quả và tính
toán đường dốc nhất trong loạt thí nghiệm đầu tiên).
Từ trên Bảng 12.2 ta thấy rằng tâm quy hoạch là điểm:
PHƯƠNG PHÁP QUY HOẠCH THỰC NGHIỆM VÀ TỐI ƯU NHIỀU NHÂN TỐ 433
Khoảng thay đổi các nhân tố:
Trong loạt thí nghiệm đầu tiên sử dụng TNT 23
, kết quả cho trong
Bảng 12.2. Xử lý dữ liệu thí nghiệm cho ta mô hình tuyến tính:
3
2
1 x
01
,
3
x
06
,
4
x
94
,
1
74
,
39
y 



Theo hàng 14 Bảng 12.2 chỉ ra giá trị các hệ số hồi quy của mô hình toán.
Các hệ số này nhân cho khoảng thay đổi của các nhân tố tương ứng:
b11 = 3,88; b22 = –6,09; b33 = –15,05 (hàng 15 Bảng 12.2). Ta chọn
nhân tố cơ sở là X3 vì 1
1
2
2
3
3 b
b
b 



 . Bước thay đổi của nhân tố này
bằng 4
,
7
3 

 (chọn giá trị hợp lý đảm bảo tiến hành các bước tiếp theo, ví
dụ chọn 1/5 đến 1/10 miền giá trị thay đổi của nhân tố X3). Khi chọn đại
lượng 3 trong công thức (12.17) là thích hợp, cho nên trong thí nghiệm đầu,
trên độ dốc lớn nhất nên chọn ngoài giới hạn miền giá trị các nhân tố. Khi
4
,
7
3 

 điều đó xảy ra vì 3
3 

 . Xác định:
492
,
0
05
,
15
4
,
7
b 3
3
3








Nhân tích i i
b  cho  ta thu được các giá trị bước thay đổi với các
nhân tố còn lại:
1 = 3,88 . 0,492  1,9; 2 = –6,09 . 0,492  –3
Giá trị i cho trong hàng 16 của Bảng 12.2.
Tiếp tục các thí nghiệm độ dốc nhất được quy hoạch. Cần nhớ rằng
ta cần tìm giá trị nhỏ nhất của thông số tối ưu, các giá trị, các nhân tố
trong các thí nghiệm này nhận được bằng cách trừ mức cơ sở nhân tố cho
giá trị bước:
i
)
0
(
i
)
1
(
i X
X 

 ; ...
2
X
X
X i
)
0
(
i
i
)
1
(
i
)
2
(
i 




 (12.18)
Kết quả tính toán các thí nghiệm độ dốc nhất cho trong hàng 18 đến
21 Bảng 12.2. Ta thấy rằng đầu tiên đáp ứng là tốt nhất từ loạt thí nghiệm
trước đó, điều đó chứng tỏ tính hiệu quả của quy trình độ dốc nhất. Trong
thí nghiệm 12 đáp ứng bắt đầu tăng. cho nên ta dừng thí nghiệm. Thí
nghiệm thứ 11 là tốt nhất, do đó sử dụng chúng làm tâm của quy hoạch
CHƯƠNG 12
434
mới. Các dữ liệu cho loạt thí nghiệm thứ 2 đưa ra trong Bảng 12.3 có cấu
trúc tương tự Bảng 12.2.
Bảng 12.2
No
Thông số
Giá trị tự nhiên các nhân tố Giá trị
đáp ứng
y (%)
Nhận xét
X1 (cP) X2 (giờ) X3 (o
C)
1 Mức cơ sở o
i
X 26 5,5 45 –
2 Khoảng thay đổi i 2 1,5 5 –
3 Mức cao 28 7 50 –
4 Mức thấp 24 4 40 –
5 Số thí nghiệm
Giá trị được mã hóa các nhân tố
x1 x2 x3
6 1 – – – 46,8
Thí
nghiệm
TNT
7 3 + - – 47
8 3 – + – 36
9 4 + + – 41,2
18 5 – – + 39,4
11 6 + – + 42
12 7 – + + 29
13 8 + + + 36,5
14 Hệ số hồi quy bi 1,94 -4,06 -3,01 –
15 bii 3,88 -6,09 -15,05 –
16 Bước thay đổi i 1,9 -3 -7,4 –  = 0,492
17 Số thí nghiệm
Giá trị tự nhiên các nhân tố
X1 (cP) X2 (giờ) X3 (o
C)
18 9 24,1 8,5 52,4 22,7
Thí
nghiệm độ
dốc nhất
19 10 22,2 11,5 59,8 15
20 11 20,3 14,5 67,2 7,4
21 12 18,4 17,5 74,6 8,9
Trong loạt thí nghiệm mới, ta vẫn giữ các khoảng giá trị nhân tố như
cũ, theo kết quả thực hiện thực nghiệm nhân tố toàn phần (TNT - thí nghiệm
13 đến 20 trong Bảng 12.3) ta thu được phương trình hồi quy bậc 1:
y = 7,34 + 1,01x1 – 0,31x2 + 1,09x3
Nhân tố cơ sở ta chọn là X3. Bước thay đổi ta chọn 3 = 5,4. Khi đó:
PHƯƠNG PHÁP QUY HOẠCH THỰC NGHIỆM VÀ TỐI ƯU NHIỀU NHÂN TỐ 435
1
b 3
3
3




 (12.19)
Tương tự trường hợp trước, ta tính bước thay đổi cho các nhân tố còn
lại và các điều kiện thí nghiệm đường dốc nhất (hàng 17 đến 19 Bảng 12.3).
Thí nghiệm đầu tiên cho kết quả tốt nhất - giá trị nhỏ nhất nhân tố (thí
nghiệm 21 Bảng 12.3). Trong thí nghiệm sau đó giá trị đáp ứng tăng lên.
cho nên điều kiện tối ưu cho thí nghiệm 21:
X1 = 18,3 cP; X2 = 15 giờ; X3 = 61,8 o
C
Bảng 12.3
No
Thông số
Giá trị tự nhiên các nhân tố Giá trị
đáp ứng
y, %
Nhận xét
X1 (cP) X2 (giờ) X3 (o
C)
1 Mức cơ sở o
i
X 20,3 14,5 67,2 –
2 Khoảng thay đổi i 2 1,5 5 –
3 Mức cao 22,3 13 72,2 –
4 Mức thấp 18,3 16 62,2 –
5 Số thí nghiệm
Giá trị được mã hóa các nhân tố
x1 x2 x3
6 1 – – – 6,4
Các thí
nghiệm
TNT
7 2 + – – 6,5
8 3 – + – 4
9 4 + + – 8,1
10 5 – – + 6,9
11 6 + – + 10,8
12 7 – + + 8
13 8 + + + 8
14 Hệ số hồi quy bi 1,0125 -0,3125 1,0875 –
15 bii 2,025 -0,46875 5,4375 –
16 Bước thay đổi i 2 -0,5 5,4 –  = 1
17 Số thí nghiệm
Giá trị tự nhiên các nhân tố
x1 x2 x3
18 21 18,3 15 61,8 2,3 Thí
nghiệm độ
dốc nhất
19 22 16,3 15,5 56,4 5,1
CHƯƠNG 12
436
Ví dụ 12.5 Tìm thành phần tối ưu gang xám GX21 – 40 nhờ vào phương
pháp đường dốc nhất và đơn hình. Thông số đầu ra là ứng suất kéo k
(MPa). Thành phần đầu tiên cho trong Bảng 12.4.
Bảng 12.4
Tên thành phần Thành phần (%) Ký hiệu mã hóa
Carbon, C 2,8 x1
Silic, Si 1,8 x2
Mangan, Mn 0,6 x3
Giải:
Giả sử lấy các thành phần ban đầu là điểm ở tâm và chọn C = 0,2 %,
Si = 0,1 %, Mn = 0,1 %.
Bảng 12.5
No
Thông số
Giá trị tự nhiên các nhân tố Giá trị
đáp ứng
k (MPa)
Nhận xét
C (%) Si (%) Mn (%)
1 Mức cơ sở o
i
X 2,8 1,8 0,6 –
2 Khoảng thay đổi
i
0,2 0,1 0,1 –
3 Mức cao 3,0 1,9 0,7 –
4 Mức thấp 2,6 1,7 0,5 –
5 Số thí nghiệm
Giá trị được mã hóa các nhân tố
x1 x2 x3
6 1 – – + 211,21
Các thí
nghiệm
TNT
7 2 + – – 192,22
8 3 – + – 228,47
9 4 + + + 214,25
14 Hệ số hồi quy bi 9,8275 -8,3075 1,1975 –
15 bii 1,96550 -0,83075 0,11975 –
16 Bước thay đổi i. % 0,15 -0,0634 0,0091 –
17 Số thí nghiệm
Giá trị tự nhiên các nhân tố Thí
nghiệm độ
dốc nhất
C (%) Si (%) Mn (%)
18 1 2,950 1,737 0,609 234,76 Theo 10 thí
nghiệm
mỗi mức,
tổng cộng
30 thí
nghiệm
19 2 3,100 1,673 0,618 246,42
20 3 3,250 1,610 0,627 250,39
PHƯƠNG PHÁP QUY HOẠCH THỰC NGHIỆM VÀ TỐI ƯU NHIỀU NHÂN TỐ 437
Xác định các hệ số PTHQ theo các bước 6, 7, 8 và 9 bằng các công
thức:
 
 
 
 
0
1
2
3
1
b 21,425 22,847 19,22 21,121 21,1533;
4
1
b 21,425 22,847 19,22 21,121 0,98275;
4
1
b 21,425 22,847 19,22 21,121 0,83075;
4
1
b 21,425 22,847 19,22 21,121 0,11975;
4
    
    
     
    
Sau đó ta tính:
1 1
2 2
3 3
b x 0,98275. 0,2 0,19655
b x 0,83075.0,1 0,083075
b x 0,11975. 0,1 0,011975
  
    
  
Tiếp theo ta xác định:
2
3
0,19655
1,31033
0,15
0,083075
0,0633999
1,31033
0,011975
0,0091389
1,31033
  

   
  
Sau khi phân tích, thành phần tối ưu trong gang xám GX21 – 40 là:
C 3,250 %
Si 1,610 %
Mn 0,627 %



12.3. PHƯƠNG PHÁP ĐƠN HÌNH (Simplex method)
Ta sử dụng phương pháp đơn hình tương tự phương pháp độ dốc nhất
để giải bài toán tối ưu thực nghiệm. Cả hai phương pháp đều dựa trên cơ sở
dịch chuyển về hướng gradient của hàm đáp ứng. Phương pháp độ dốc nhất
được sử dụng trong các bài toán nghiên cứu, ví dụ như tối ưu hóa quá trình
công nghệ trong điều kiện sản xuất. Khi số nhân tố lớn và tồn tại nhân tố
nhiễu thì phương pháp đơn hình hiệu quả hơn phương pháp đường dốc nhất.
CHƯƠNG 12
438
12.3.1. Giới thiệu phương pháp đơn hình
Khảo sát chi tiết phương pháp tốt nhất bắt đầu từ trường hợp hai nhân
tố thay đổi, bởi vì ở đây có thể nội suy hình học thuận tiện hơn. Đối với các
nhân tố mã hóa x1 và x2 ta khảo sát không gian nhân tố và thêm vào đường
đồng mức. Giả sử mục tiêu thực nghiệm là tìm cực đại của hàm số hai nhân
tố x1 và x2. Trên Hình 12.8b điểm tối ưu có tọa độ x1opt và x2opt. Khi hai
nhân tố thay đổi các thí nghiệm của loạt thí nghiệm đầu tiên theo phương
pháp đơn hình được đặt tại đỉnh của tam giác đều (thực nghiệm 1, 2 và 3
Hình 12.8) với tâm của tam giác là một đại lượng ban đầu o
x cho trước. Từ
kết quả các thí nghiệm trên ta chọn giá trị xấu nhất của y. Trong trường hợp
trên thì rõ ràng rằng thí nghiệm 2 có giá trị y nhỏ hơn so với các thí nghiệm
1 và 3. Tiếp theo ta xây dựng tam giác mới có hai đỉnh trùng với hai đỉnh 1
và 3 của tam giác trước đó và đỉnh 4 đối xứng với đỉnh “xấu nhất” 2 đối với
cạnh 1-3. Tam giác mới là 1-4-3. Ta thực hiện thí nghiệm tiếp theo tại điểm
4. Từ các thí nghiệm 1-4-3 tương ứng với các đỉnh của tam giác mới, ta
chọn thí nghiệm xấu nhất. Giả sử đó là thí nghiệm 1, khi đó đỉnh mới 5 của
tam giác mới sẽ đối xứng với điểm 1 qua cạnh 4-3. Tại điểm 5, ta thực hiện
thí nghiệm tiếp theo,... tiến hành theo quy luật đó dẫn đến vị trí tối ưu.
Ta khảo sát phương pháp trên với trường hợp số nhân tố bất kỳ. Trong
không gian 3 chiều là tứ diện đều cho nên đối với trường hợp 3 nhân tố là
loạt thí nghiệm ban đầu bao gồm 4 thí nghiệm nằm trên các đỉnh của tứ diện
đều. Các thí nghiệm sau đó thực hiện theo đỉnh của tứ diện đều mới, đối
xứng với điểm xấu nhất của tứ diện trước đó. Với k nhân tố bất kỳ thì đa
diện lồi đơn giản nhất trong không gian k chiều có k + 1 đỉnh. Ví dụ, tam
giác trong mặt phẳng hoặc tứ diện trong không gian 3 chiều. Đơn hình gọi là
đều nếu như tất cả các cạnh bằng nhau.
Tuy nhiên, khi thực hiện về phía điểm tối ưu có trường hợp đỉnh mới
trở thành điểm xấu nhất, trong thí nghiệm sau đó thì điểm mới lại trùng với
điểm trước đó. Ví dụ trong trường hợp đơn hình 11-12-13 trong Hình 12.8b,
điểm xấu nhất là 12, đối xứng 12 qua cạnh 11-13 là điểm 21, nhưng điểm 21
lại là điểm xấu nhất và đối xứng với nó chính là điểm 12 đã tiến hành thí
nghiệm. Trong trường hợp đó ta chọn điểm tốt hơn điểm 12 nhưng xấu hơn
các điểm còn lại trong trường hợp này là điểm 11.
Đối với quy hoạch đơn hình để tìm điểm tối ưu ta cần phải:
1. Xây dựng ma trận đơn hình ban đầu.
2. Thực hiện dịch chuyển về điểm tối ưu, sử dụng quy luật đối xứng
điểm có giá trị xấu nhất tham số tối ưu.
PHƯƠNG PHÁP QUY HOẠCH THỰC NGHIỆM VÀ TỐI ƯU NHIỀU NHÂN TỐ 439
3. Xác định thời điểm đạt đến vị trí tối ưu. Quan trọng là biết chuyển từ
quy hoạch đơn hình sang quy hoạch thực nghiệm dùng để mô tả miền tối ưu.
a) b)
Hình 12.8 Tìm điểm lớn nhất trong trường hợp 2 nhân tố
12.3.2. Mã hóa và xây dựng đơn hình ban đầu
Mã hóa đơn hình
Trong giai đoạn đầu, ma trận đơn hình đầu tiên được xây dựng từ các
nhân tố được mã hóa. Khi đó tâm đơn hình chuyển đến gốc tọa độ, đỉnh
xk+1 trên trục xk và các đỉnh còn lại đối xứng với các trục tọa độ. Trên
Hình 12.9 ta có vị trí các đỉnh trong trường hợp 2 và 3 nhân tố. Khi đó tọa
độ các đỉnh đơn hình bằng bán kính đường tròn hoặc siêu cầu nội và ngoại
tiếp. Ví dụ theo Hình 12.9a, tọa độ đỉnh V1 đơn hình hai nhân tố (–R1, –r2).
đỉnh V2 – (R1, –r2) và đỉnh V3 –(0, R2).
Hình 12.9 Sơ đồ đơn hình ban đầu
V1
V2
CHƯƠNG 12
440
Trong trường hợp tổng quát tọa độ các đỉnh của đơn hình ban đầu k
nhân tố được xác định theo các hàng của ma trận sau (giá trị ri, Ri trong
Bảng 12.6):
1 2 3 4 k
1 2 3 4 k
2 3 4 k
3 4 k
4 k
k
r r r r r
R r r r r
0 R r r r
C 0 0 R r r
0 0 0 R r
0 0 0 0 R
    
 
 
   
 
 
  
 
  
 
 

 
 
 
 
(12.20)
Nếu chiều dài cạnh đơn hình bằng 1, thì bán kính hình cầu nội và
ngoại tiếp được xác định theo các công thức sau:
   
i i
1 i
r ; R
2i i 1 2 i 1
 
 
(12.21)
trong đó: i = 1, 2, 3,...k.
Theo Bảng 12.6 ta có tọa độ được mã hóa của đơn hình ban đầu khi k =
10. Nếu k < 10 thì tọa độ của nó có thể nhận theo bảng này nhưng chỉ lấy k
cột đầu tiên và k + 1 hàng. Trong bảng này thì N tương ứng với số thí
nghiệm trong loạt đầu tiên.
Bảng 12.6
N
Các nhân tố mã hóa
x1 x2 x3 x4 x5 x6 x7 x8 x9 x10
r1 r2 r3 r4 r5 r6 r7 r8 r9 r10
1 -0,5 -0,289 -0,204 -0,158 -0,129 -0,109 -0,095 -0,083 -0,075 -0,067
2 0,5=R1 -0,289 -0,204 -0,158 -0,129 -0,109 -0,095 -0,083 -0,075 -0,067
3 0 0,577=R2 -0,204 -0,158 -0,129 -0,109 -0,095 -0,083 -0,075 -0,067
4 0 0 0,612=R3 -0,158 -0,129 -0,109 -0,095 -0,083 -0,075 -0,067
5 0 0 0 0,632=R4 -0,129 -0,109 -0,095 -0,083 -0,075 -0,067
6 0 0 0 0 0,645=R5 -0,109 -0,095 -0,083 -0,075 -0,067
7 0 0 0 0 0 0,655=R6 -0,095 -0,083 -0,075 -0,067
8 0 0 0 0 0 0 0,661=R7 -0,083 -0,075 -0,067
9 0 0 0 0 0 0 0 0,667=R8 -0,075 -0,067
10 0 0 0 0 0 0 0 0 0,671=R9 -0,067
11 0 0 0 0 0 0 0 0 0 0,674=R10
PHƯƠNG PHÁP QUY HOẠCH THỰC NGHIỆM VÀ TỐI ƯU NHIỀU NHÂN TỐ 441
Xây dựng ma trận đơn hình ban đầu
Khi dịch chuyển về miền tối ưu tốt nhất nên sử dụng tỷ lệ tự nhiên
các nhân tố. Khi đó tọa độ đơn hình ban đầu chuyển từ dạng mã hóa sang
tự nhiên. Đối với mỗi nhân tố i đưa ra mức cơ sở xio và khoảng thay đổi
nhân tố (biến) xi thì (Hình 12.10a):
xij = xio + Cijxi (12.22a)
trong đó: xi0- tọa độ tâm đơn hình; xi - khoảng thay đổi nhân tố (biến) thứ
i; Cij- giá trị mã hóa nhân tố (biến) thứ i trong thực nghiệm thứ j, tính theo
công thức (12.21) hoặc tra Bảng 12.6 (tương ứng giá trị ri, Ri); xij - giá trị
nhân tố thứ i trong thí nghiệm thứ j dạng tự nhiên.
a) Tổng quát b) Đơn hình đều
Hình 12.10 Đơn hình 2 nhân tố
Tọa độ các đỉnh đơn hình đều cho trường hợp 2 nhân tố (biến) được
xác định từ công thức (12.22a) (tham khảo Hình 12.10b):
- Giá trị tính toán (thí nghiệm) thứ nhất V1:
11 10 1 1
21 20 2 2
x x r x
x x r x
  
  
(12.22b)
- Tính toán (thí nghiệm) thứ hai V2:
12 10 1 1
22 20 2 2
x x R x
x x r x
  
  
(12.22c)
- Tính toán (thí nghiệm) thứ ba V3:
13 10
23 20 2 2
x x 0
x x R x
 
  
(12.22d)
CHƯƠNG 12
442
Ngoài các đơn hình ban đầu như Bảng 12.6 ta còn sử dụng một số đơn
hình không đều như Bảng 12.7 đến 12.11.
Bảng 12.7 Đơn hình ban đầu khi k = 2
No
x1 x2
1
2
3
–1
+1
+1
–1
–1
+1
Bảng 12.8 Đơn hình ban đầu khi k = 3
N x1 x2 x3
1
2
3
4
–1
+1
–1
+1
–1
–1
+1
+1
+1
–1
–1
+1
Bảng 12.9 Đơn hình ban đầu khi k = 4
No
x1 x2 x3 x4
1
2
3
4
5
–1
+1
+1
+1
–0,618
+1
–1
+1
+1
–0,618
+1
+1
–1
+1
–0,618
+1
+1
+1
–1
–0,618
Bảng 12.10 Đơn hình ban đầu khi k = 5
No
x1 x2 x3 x4 x5
1
2
3
4
5
6
–0,0488
0,8139
–1
–1
+1
+1
+1
–0,0488
0,8139
–1
–1
+1
–1
–1
–0,0488
0,8139
–1
+1
–1
–1
+1
–0,0488
0,8139
+1
0,8139
–1
–1
+1
–0,0488
+1
PHƯƠNG PHÁP QUY HOẠCH THỰC NGHIỆM VÀ TỐI ƯU NHIỀU NHÂN TỐ 443
Bảng 12.11 Đơn hình ban đầu khi k = 6
No
x1 x2 x3 x4 x5 x6
1
2
3
4
5
6
7
0
+1
+1
–1
–1
–0,707
0,707
+1
0
–1
+1
–1
–0,707
0,707
+1
–1
0
–1
+1
–0,707
0,707
–1
+1
–1
0
+1
–0,707
0,707
–1
–1
+1
+1
0
–0,707
0,707
+1
+1
+1
+1
+1
–1
–1
Bảng 12.12 Đơn hình ban đầu khi k = 7
No
x1 x2 x3 x4 x5 x6 x7
1
2
3
4
5
6
7
8
–1
+1
–1
+1
–1
+1
–1
+1
–1
–1
+1
+1
–1
–1
+1
+1
–1
–1
–1
–1
+1
+1
+1
+1
+1
–1
–1
+1
+1
–1
–1
+1
+1
–1
+1
–1
–1
+1
–1
+1
+1
+1
–1
–1
–1
–1
+1
+1
–1
+1
+1
–1
+1
–1
–1
+1
12.3.3. Dịch chuyển về điểm tối ưu
Ta xây dựng đơn hình đều đối với nhân tố bất kỳ. Ở đây đơn hình
được sử dụng là quy hoạch đối với loạt thí nghiệm đầu tiên, ta đưa chúng về
dạng các ma trận bình thường dưới dạng mã hóa các nhân tố dịch chuyển
của đơn hình trong miền tối ưu thực hiện theo quy tắc đối xứng. Khi đó đỉnh
của đơn hình có giá trị xấu nhất của tham số tối ưu được loại bỏ và thay
bằng đỉnh mới, đối xứng qua cạnh đối diện của đỉnh được loại bỏ.
Tọa độ của đỉnh mới ở dạng tự nhiên:
k 1
in ij ir
j 1
2
x x x , i j
k


  
 (12.23)
trong đó:
xin - tọa độ đỉnh mới theo trục xi của đơn hình k nhân tố;
xir - tọa độ đỉnh có giá trị xấu nhất tham số tối ưu được thay thế;
- tổng tọa độ (theo trục xi) các nhân tố ngoại trừ xir.
CHƯƠNG 12
444
Sau khi đạt được vị trí tối ưu ta có thể kiểm tra vị trí điểm tối ưu bằng
cách sử dụng quy hoạch thực nghiệm bậc 2 với miền giá trí các nhân tố lân
cận điểm tối ưu.
12.3.4. Các ví dụ
Ví dụ 12.6 Sử dụng phương pháp đơn hình tìm giá trị tối ưu hàm
2 2
1 1 2 2
y 4 12x x 30x 3x
    
Giải:
Minh họa theo Hình 12.11.
1. Cho trước x10 = 3; x20 = -1 và chọn x1 = 1; x2 = 1,5
2. Tìm r1, R1, r2, R2 theo công thức (12.21):
   
1 1
1 1
r 0,5; R 0,5
2.1 1 1 2 1 1
   
 
   
2 2
1 2
r 0,289; R 0,577
2.2 2 1 2 2 1
   
 
3. Các đỉnh tính toán đơn hình ban đầu công thức (12.22b, c, d):
Đỉnh 1: x11 = 3 + 0,5 . 1 = 3,5
x21 = -1 + 0,289 . 1,5 = -0,565
Đỉnh 2: x12 = 3 - 0,5 . 1 = 2,5
x22 = -1 + 0,289 . 1,5 = -0,565
Đinh 3: x13 = 3 + 0 = 3,0
x23 = -1 - 0,577 . 1,5 = -1,865
4. Tính được các kết quả
y1 = 15,84; y2 = 9,78; y3 = -35,5
Khi đó y3= -35,5 là nhỏ nhất.
5. Tính tọa độ đối xứng điểm nhỏ nhất theo công thức (12.23):
PHƯƠNG PHÁP QUY HOẠCH THỰC NGHIỆM VÀ TỐI ƯU NHIỀU NHÂN TỐ 445
 
 
14
24
2 3,5 2,5
x 3 3;
2
2 0,565 0,565
x 1,865 0,735
2

  
 
  
Từ đây: y4 = 52,1, so sánh y1, y2, y4 thì đỉnh 2 (y2 = 9,78) có giá trị nhỏ
nhất, và đỉnh 5 đối xứng qua 1-4.
6. Tính tọa độ và giá trị đỉnh thứ 5 theo công thức (12.23):
x15 = 4; x25 = 0,735; y5 = 57,1.
So sánh y1, y4, y5 thì đỉnh 1 có giá trị nhỏ nhất, và đỉnh 6 đối xứng
qua 2-5.
x16 = 3,5; x26 = 2,035; y6 = 82,6
7. Loại bỏ đỉnh 4, tiếp tục tính đỉnh 7 có tọa độ:
7(4,5; 2,035) và tính y7.
Quá trình lặp lại và lần lượt tính các điểm 8(4; 3,3); 9(5; 3,3); 10(4,5;
4,8); 11(5,5; 4,8)
Và tính các giá trị:
y9 = 105; y10 = 113; y11 = 112,32
Tìm tọa độ đỉnh 12:
 
 
112
212
12
2 4,5 5,5
x 5 5;
2
2 4,6 4,6
x 3,3 5,9;
2
y 111

  

  

Do đỉnh 12 kết quả nhỏ hơn 10 và 11. Nên trở về tam giác 9-10-11 và
thay vì đã chọn 9 ta chọn 10 là kết quả xấu nhất và thực hiện thí nghiệm 13.
 
 
113
213
13
2 5 5,5
x 4,5 6;
2
2 5,3 4,6
x 4,6 3,3;
2
y 106

  

  

CHƯƠNG 12
446
Theo đơn hình 1-10-11 thì 9 là nhỏ nhất.
9 (5; 3,3); 10 (5,5; 4,6) và 13 (6; 3,3)
Hình 12.11 Xác định tọa độ tối ưu theo phương pháp đơn hình
Ta thay đỉnh 9 bằng 14:
 
 
114
214
14
2 5,5 6
x 5 6,5;
2
2 4,6 3,3
x 3,3 4,6;
2
y 114,21

  

  

Theo kết quả tính 11, 13 và 14 ta có: y11 = 112,32; y13 = 106 và
y14 = 114,21. Ta thay đỉnh 13 bằng 15:
 
 
115
215
15
2 5,5 6,5
x 6 6;
2
2 4,6 4,6
x 3,3 5,9;
2
y 112

  

  

Giá trị này nhỏ hơn 11 và 14 nên ta thay 11 bằng 16:
 
 
116
216
16
2 6,5 6
x 5,5 7;
2
2 4,6 5,9
x 4,6 5,9;
2
y 111

  

  

PHƯƠNG PHÁP QUY HOẠCH THỰC NGHIỆM VÀ TỐI ƯU NHIỀU NHÂN TỐ 447
Giá trị này nhỏ hơn 11 và 15 nên ta thay 14 bằng 17:
 
 
117
217
2 5,5 6
x 6,5 5;
2
2 4,6 5,9
x 4,6 5,9;
2

  

  
Giá trị đỉnh 17 và 12 trùng nhau y17 = y12 = 111. Do đó giá trị cực trị
nằm trong đơn hình này.
1 2
x 6,5; x 4,6; y 114,21
  
So sánh phương pháp đạo hàm riêng có nghiệm: 1 2
x 6; x 5; y 115
  
Giải: Mức cơ sở và đoạn thay đổi của nhân tố dạng tự nhiên cho trong Bảng
12.13.
Bảng 12.13 Điều kiện thực nghiệm
Giới hạn thay đổi
Các nhân tố (nhân tố mã hóa)
h (x1) v (x2) s (x3)  (x4)
Mức cơ sở
Đoạn thay đổi
7
2
30
10
0,5
0,2
0,05
0,03
Để xác định tọa độ đỉnh của đơn hình ban đầu, ta sử dụng Bảng 12.6
với 4 cột và 5 hàng. Tính toán tiến hành theo công thức (12.22). Kết quả
tính tọa độ đỉnh của đơn hình cho trong Bảng 12.14.
Bảng 12.14 Đơn hình ban đầu
STT
Các nhân tố mã hóa Tự nhiên
x1 x2 x3 x4 h v s 
1 -0,5 -0,289 -0,204 -0,158 6 27,1 0,46 0,045
2 0,5 -0,289 -0,204 -0,158 8 27,1 0,46 0,045
3 0 0,578 -0,204 -0,158 7 35,8 0,46 0,045
4 0 0 0,612 -0,158 7 30 0,62 0,045
5 0 0 0 0,632 7 30 0,5 0,069
Ví dụ 12.7 Xác định điều kiện tối ưu cho quá trình mài không tâm con
lăn có đường kính 20mm từ thép Cr15. Thông số tối ưu trong trường hợp
này là độ không tròn của chi tiết được mài N (m). Các nhân tố thay đổi
bao gồm: độ vượt khỏi trục phôi h (mm); vận tốc vòng v (m/min); lượng
gia công mỗi vòng  (mm); lượng chạy dao ngang s (m/min).
CHƯƠNG 12
448
Kết quả tìm tối ưu bằng phương pháp quy hoạch đơn hình trình bày
trong Bảng 12.15. Giá trị h là giá trị trung bình số học độ không tròn 5 chi
tiết được mài trong điều kiện như nhau.
Trong 5 thí nghiệm đầu tiên thì thí nghiệm 1 cho ra kết quả xấu nhất
(H lớn nhất). Do đó thay đỉnh 1 bằng đỉnh mới 6, tọa độ đỉnh này được xác
định như sau theo công thức (12.23):
 
16 12 13 14 15 11
2
x x x x x x
4
    
16
2
x (8 7 7 7) 6 8,5
4
     
Tương tự:
36
2
x (27,1 35,8 30 30) 27,1 34,4
4
     
36
2
x (0,46 0,46 0,62 0,5) 0,46 0,56
4
     
46
2
x (0,045 0,045 0,045 0,069) 0,045 0,057
4
     
Tương tự với các đơn hình tiếp theo.
Sau 15 thí nghiệm thì kết quả H lại tăng lên, đến thí nghiệm 21 các
tham số tối ưu không tốt hơn. Cho nên ta có thể chọn các thông số tối ưu
cho bài toán này như sau: h = 11 mm; v = 43 m/min; s = 0,8 mm/min;
 = 0,1 mm.
Trong quá trình tìm điểm tối ưu theo phương pháp quy hoạch đơn
hình có thể nảy sinh ra trường hợp ta cần thêm vào thí nghiệm một nhân tố
mới. Khi đó đơn hình k nhân tố trở thành k + 1 nhân tố. Đỉnh thứ k + 2 của
đơn hình k + 1 nhân tố được xác định theo các công thức sau:
Giả sử ta đã tiến hành N thí nghiệm:





N
m
u
iu
i
)
1
N
( X
1
k
1
X (12.24)
  1
k
t
1
k
)
1
k
)(
1
N
( )
R
r
(
X
X
X 


 


 (12.25)
N > k + 1; m = N – k – 1; i = 1, 2,...k
PHƯƠNG PHÁP QUY HOẠCH THỰC NGHIỆM VÀ TỐI ƯU NHIỀU NHÂN TỐ 449
trong đó:
)
1
k
)(
1
N
(
X 
 - tọa độ đỉnh mới của đơn hình theo trục nhân tố k + 1;
t
1
k
X  - mức nhân tố thứ k + 1 đã xác định trong các thí nghiệm
trước đó;
1
k
X 
 - đoạn thay đổi của nhân tố k + 1 được chọn;
rk+1, Rk+1 - mã số nhân tố (k + 1), lấy theo Bảng 12.5 hoặc tính theo
công thức (12.21) nếu k > 10.
Bảng 12.15 Quy hoạch đơn hình và kết quả tối ưu
Số thí
nghiệm
Đơn hình
Đỉnh
bị loại
h v s 
Độ không
tròn (m)
s1
2
3
4
5
6
7
8
9
10
11
12
13
14
15
16
17
18
19
20
21
1-2-3-4-5
1-2-3-4-5
1-2-3-4-5
1-2-3-4-5
1-2-3-4-5
2-3-4-5-6
2-3-7-5-6
2-8-7-5-6
9-8-7-5-6
9-8-7-10-6
9-8-7-10-11
9-8-12-10-11
9-13-12-10-11
14-13-12-10-11
14-13-12-15-11
14-13-12-15-16
14-13-17-15-16
14-18-17-15-16
14-18-19-15-16
14-18-19-15-20
14-15-18-20-21
–
–
–
–
–
1
4
3
2
5
6
7
8
9
10
11
12
13
17
16
19
6
8
7
7
7
8,5
8,25
8,87
8,31
9,96
9,19
9,92
9,82
11,14
11,07
11,73
11,96
13,33
11,57
11,73
11,66
27,1
27,1
35,8
30
30
34,4
33,7
32,6
38,2
39,5
37,6
40,3
45,3
43
43,6
48,5
49,9
47,2
51,6
44,2
37,4
0,46
0,46
0,46
0,62
0,5
0,56
0,53
0,57
0,66
0,66
0,65
0,74
0,79
0,78
0,82
0,89
0,9
0,9
0,98
0,85
0,69
0,045
0,045
0,045
0,045
0,069
0,057
0,063
0,072
0,086
0,070
0,089
0,096
0,099
0,091
0,117
0,112
0,113
0,117
0,138
0,119
0,084
4,8
4
4,2
4,5
3,9
3,7
3,2
2,8
2,3
2,2
1,8
1,2
0,8
0,7
0,7
0,8
0,9
0,8
1,1
0,7
1,6
Ví dụ 12.8 Tối ưu điều kiện mài không tâm con lăn đường kính d = 30
mm từ thép Cr15. Thông số tối ưu là độ không tròn H của chi tiết (m),
các nhân tố sau đây là cố định: lượng chạy dao ngang s = 0,1 mm/min, và
lượng gia công mỗi vòng  = 0,05 mm.
CHƯƠNG 12
450
Giải:
Thông số tối ưu là độ không tròn H chi tiết được mài (m), các nhân
tố thay đổi: độ vượt khỏi trục phôi h (mm) và vận tốc vòng v (m/min).
Mức cơ sở và đoạn thay đổi trong Bảng 12.16.
Bảng 12.16
Đoạn thay đổi
Nhân tố (nhân tố mã hóa)
v (x1) h (x2) δ(x3)- từ thí nghiệm 11
Mức cơ sở
Đoạn thay đổi
25
5
8,67
2,3
0,045
0,025
Để thu được đơn hình, đầu tiên ta sử dụng các nhân tố mã hóa theo
Bảng 12.6, đối với nhân tố x2: r2 = –0,289 và R2 = –0,578. Mong muốn là
ở tỷ lệ tự nhiên thì khoảng cách giữa các đỉnh đơn hình theo trục x2 bằng
2 mm. Khi đó:
mm
3
,
2
289
,
0
578
,
0
2
X2 



Hình 12.12
PHƯƠNG PHÁP QUY HOẠCH THỰC NGHIỆM VÀ TỐI ƯU NHIỀU NHÂN TỐ 451
Cho giá trị nhỏ nhất h = 8 mm, ta nhận được X20 = 8 + 2,3.0,289 =
8,67 mm. Kết quả tìm nhân tố h và v cho trong Bảng 12.15 và Hình 12.12.
Rõ ràng rằng, tối ưu theo các tham số h và v thực hiện đến 19 thí nghiệm
(số thí nghiệm trong vòng tròn và bên ngoài kết quả thí nghiệm). Dịch
chuyển tiếp tục bằng cách loại bỏ các đỉnh 7 và 8 dẫn đến làm xấu đi kết
quả. Khi đó thông số tối ưu bắt đầu tăng lên.
Do đó ta đưa vào thí nghiệm thêm một nhân tố  từ thí nghiệm số 11.
Khi đó đơn hình 7-8-9 được bổ sung thêm một đỉnh, tọa độ được tính theo
công thức (12.24) và (12.25):
h12 = mm
3
,
15
3
)
16
14
14
(



mm
06
,
0
)
612
,
0
204
,
0
(
025
,
0
05
,
0
12 





Sau thí nghiệm thứ 16, ta thực hiện các thí nghiệm 17, 18, 19 tham
số tối ưu không tốt hơn và khi đó ta kết thúc thí nghiệm. Như thế giá trị
các nhân tố để thu được tham số tối ưu là: h = 15,2 mm; v = 40,9 m/min;
 = 0,073 mm.
Bảng 12.15 Kết quả tìm nghiệm tối ưu
No
Đơn hình Đỉnh bị loại v h  H
1
2
3
4
5
6
7
8
9
10
11
12
13
14
15
16
17
18
19
1-2-3
1-2-3
1-2-3
1-4-3
5-4-3
5-4-6
5-7-6
8-7-6
8-7-9
8-10-9
11-7-9
7-8-9-12
13-8-9-12
13-14-9-12
13-14-15-12
16-14-15-12
16-14-15-17
16-18-15-17
16-18-15-19
–
–
–
2
1
3
4
5
6
7
8
–
7
8
9
13
12
14
17
30
20
25
35
30
40
35
45
40
50
30
40
48,4
40,6
46
36
41,8
42
40,9
8
8
10
10
12
12
14
14
16
16
16
15,3
16,2
17,7
16,8
17
19
17,5
15,2
0,05
0,05
0,05
0,05
0,05
0,05
0,05
0,05
0,05
0,05
0,05
0,06
0,057
0,061
0,069
0,070
0,073
0,080
0,073
4,3
4,5
3,5
3,2
2,8
2,4
2
1,8
1,1
2,4
2,3
0,9
1
0,8
0,7
0,6
0,75
0,65
0,6
CHƯƠNG 12
452
12.3.5. Phương pháp tìm kiếm đơn hình (simplex search method, S2)
Phương pháp này có những ưu điểm sau [49]:
1. Cách tính đơn giản và logic không quá phức tạp cho nên việc lập
trình trên máy tính sẽ ngắn gọn.
2. Bộ nhớ yêu cầu ít.
3. Chỉ cần cung cấp một số ít tham số điều chỉnh như .
Các điểm đơn hình được xác định theo công thức sau:
( )
1
( )
( )
2
,
,
   

 
  


i
j
i
j i
j
x i j
x
x i j
(12.26)
trong đó:
1/2
1
( 1) 1
2
 
  
  
 
 
 
N N
N
(12.27)
1/2
2
( 1) 1
2
 
 
  
 
 
 
N
N
(12.28)
(12.29)
( )
( )
2
  j
j
new c old
x x x (12.30)
Phương pháp này có những nhược điểm sau:
1. Bước nhảy  giống nhau, không có việc thu nhỏ theo giá trị biến.
2. Thuật toán chậm vì nó không dùng giá trị tính ở lần lặp trước để
tăng tốc bước tính.
3. Không có cách nào mở rộng phương pháp mà không làm lại toàn bộ
mẫu có sẵn.
Để loại bỏ phần nào những nhược điểm này, phương pháp đơn hình
được hiệu chỉnh bởi Nelder và Mead [49]. Phương pháp này yêu cầu giá trị
cao nhất của hàm mục tiêu x(h)
và điểm kế tiếp cao nhất x(g)
, điểm tạo ra
giá trị thấp nhất của hàm mục tiêu x(l)
, tương ứng với nó là f (h)
, f (g)
, và f (l)
.
Khi đó:
( ) ( )
(1 )( )
    
h h
c
x x x x (12.31)
PHƯƠNG PHÁP QUY HOẠCH THỰC NGHIỆM VÀ TỐI ƯU NHIỀU NHÂN TỐ 453
Nếu ta đặt  = 1, ta có phương pháp đơn hình như cũ, nghĩa là xnew
cách xc một khoảng ( )
 j
c
x x . Khi –1   < 1, ta tạo ra sự co ngắn khoảng
cách đó, và khi  > 1 ta tạo ra sự dãn dài của khoảng cách đó. Ta có thể gọi
3 giá trị này là ,  và  tương ứng với sự không thay đổi, thu nhỏ, và dãn
dài của khoảng cách. Nelder và Mead đề nghị rằng  = 1,  = 0,5, và  = 2.
Đầu tiên phương pháp đơn hình được tiến hành bình thường, sau đó kiểm tra
điều kiện hội tụ, nếu đã hội tụ thì kết thúc bài toán, nếu chưa thì tiến hành
bước lặp với:
-  nếu ( ) ( )
( )
 
l g
new
f f x f
-  nếu ( ) ( )
( )
 
h g
new
f f x f hoặc ( ) ( )
( )
 
g h
new
f f x f (12.32)
-  nếu ( )
( )

l
new
f f x
Năm 1972, Parkinson và Hutchinson đưa ra một tập hợp mới  = 2,
 = 0,25 và  = 2,5.
Ví dụ 12.9 Tìm min của 2 2
1 2
( ) (1 ) (2 )
   
f x x x
Giải:
Chọn điểm ban đầu  
(0)
0, 0

T
x và  = 2, theo công thức (12.28,
12.29) ta có (N = 2):
1/2
1
(2 1) 2 1
1,9318
2 2
 
  
   
 
 
 
1/2
2
(2 1) 1
0,5176
2 2
 
 
   
 
 
 
Áp dụng công thức (12.27):
(i)
1
j
(i)
j (i)
2
j
x , i j
x
x ,i j
  

 
 


suy ra x1
(1)
= 1,9318; x2
(1)
= 0,5176.
CHƯƠNG 12
454
ta có:
do (0)
( ) 5,

f x tính x(3)
:
2
( ) (1) (2)
1
1 1
( )
2 2

  
 i
c
i
x x x x
Suy ra:
BÀI TẬP
Sử dụng các phương pháp trong Chương 12 giải các bài toán tìm giá
trị tối ưu các hàm sau:
12.1. 2 2 2
1 2 3 1 2 1 3 3
f(x) x 2x 5x 2x x 4x x 2x
     
12.2. 4 2
1 2 1 2
f(x) x x 4x x
  
12.3.  
1 1
x x
1 2
f(x) x e 1 e sin x
  
12.4. y = –3x1
2
– 2 2
2
x với x1  (-1, 1); x2  (-2, 2)
x0
=(½; ½)
12.5. y = 4(x1 – 5)2
+ (x2 – 6)2
Nếu x0
= (8, 9); 1 = 0,1; 2 = 0,1.
12.6. 2 2
1 1 2 2
y 4 12x x 30x 3x
     với x0
= (3, -1).
12.7. 3 2 0 T
1 1 2 2 1 2
f (x) x x x x 2x 3x 4 min, x (0,0)
       
với điểm ban đầu
x0
= (0, 0)
12.8. 3 2 0 T
1 1 2 2 1 2
f (x) x x x x 2x 3x 4 min, x (0,0)
       
với điểm ban đầu
x0
= (0, 0)
12.9. 2 2 2 0
2 1 1
f (x) (x x ) (1 x ) min, x (0,0)
     
12.10. 2 2 2 2
2 1 1 2
f (x) [(x 1) x ].[x (x 1) ] min
     
PHƯƠNG PHÁP QUY HOẠCH THỰC NGHIỆM VÀ TỐI ƯU NHIỀU NHÂN TỐ 455
12.11. 2 2 2
1 1 1 2
f (x) x .exp[1 x 20,25(x x ) ] min
     
nếu 0
x (0,1;0,5)

12.12.
   
 
 
2 2
1 2
x 3 x 2
f (x)
4 9
12.13.    
   
2
2 2
1 2 1
f (x) 1 x 10 x x
12.14.   
2 2
1 1 2 2
f (x) 2x x x x
12.15.       
2 2 2
1 2 3 1 1 2 3
f (x) x x x x x x 2x
12.16.       
3 2 2
1 2 3 2 3 1 2
f (x) x x x x x 3x 6x 2
12.17.     
2 2 2
1 1 2 2 3
f (x) x 2x x x 4x
12.18.    
2 2
1 2 1 2 1
f (x) 4x 3x 4x x x
12.19.    
3 2 2
1 1 2 1 2 2
f (x) 2x 4x x 10x x x
12.20.    
   
4 2
1 2
f (x) x 1 x 3
12.21.      
3 2
1 1 2 2 1 2
f (x) x x x x 2x 3x 4
12.22.    
   
2 2
2
2 1 1
f (x) x x 1 x
12.23.   
2 2
1 2 1 2 1 2
f (x) 3x x x x x x
12.24.  
   
2
4 4
1 2 1 2
f (x) x x x x
12.25.  
       
2 2 0
1 1 2 2 1 2
f (x) 2x x x x ; x 0,5, 1 ; 0,1; 0,15
12.26.    
      
2 2
2 2
2 1 1 2
f (x) x x 1 x x 1 min
12.27.    
      
2 2
2 2
2 2 1 2
f (x) x x 11 x x 7 min
 
    
0
1 2
x 0, 0 ; 0,1; 0,1
CHƯƠNG 12
456
12.28.  
 
     
 
 
2
2 2
1 1 1 2
f (x) x .exp 1 x 20,25 x x min
 

0
x 0,1, 0,5
12.29.      
3 2
1 2 1 2
f (x) x x 3x 2x 2 min
12.30.      
      
2 2 2
1 2 3
f (x) x 2 x 5 x 2 min
12.31.      
4 4 2 2
1 2 1 2 1
f (x) x x 2x x 4x 3 min
BÀI TOÁN TỐI ƯU PHI TUYẾN NHIỀU BIẾN CÓ RÀNG BUỘC 457
Chương 13
BÀI TOÁN TỐI ƯU PHI TUYẾN NHIỀU BIẾN
CÓ RÀNG BUỘC
Chương này gồm các nội dung sau:
13.1. Giới thiệu
13.2. Phương pháp đồ thị
13.3. Phương pháp nhân tử Lagrange
13.4. Điều kiện Kuhn-Tucker
13.5. Phương pháp quy hoạch động
13.6. Các giải thuật giải bài toán tối ưu
Bài tập
458 CHƯƠNG 13
13.1. GIỚI THIỆU
Hầu hết những bài toán tối ưu kết cấu trong thực tế đều là những
bài toán tối ưu phi tuyến nhiều biến có ràng buộc. Ví dụ trong thiết kế kết
cấu cơ khí, những ràng buộc đó bao gồm kích thước kết cấu, giới hạn bền
cho phép, độ võng giới hạn,... Lý thuyết trong chương này sẽ giúp giải
quyết những bài toán tối ưu phi tuyến nhiều biến với ràng buộc đơn giản.
Nếu gặp những bài toán phức tạp hơn thì phải dùng đến những thuật toán
khác và lập trình giải bằng máy tính.
Bài toán tối ưu tổng quát có thể phát biểu như sau:
Tìm X
1
2
n
d
d
...
d
 
 
 

 
 
 
(13.1)
để f(X) đạt giá trị nhỏ nhất (lớn nhất).
Điều kiện ràng buộc là:
hj(X)  0; j = 1, 2, ..., nj
lk(X) = 0; k = 1, 2, ..., nk (13.2)
dil  di  diu; i = 1, 2, ..., n
Những ràng buộc hj, lk trong bài toán này là ràng buộc mang dấu "="
hoặc "" . Nếu những ràng buộc này mang dấu "=" có thể tìm được mối liên
hệ giữa các biến và thay thế vào hàm mục tiêu. Khi đó bài toán đã được thay
đổi từ bài toán tối ưu có ràng buộc thành bài toán tối ưu không ràng buộc.
Phương pháp này gọi là phương pháp loại biến. Ví dụ sau sẽ minh họa cho
phương pháp.
Ví dụ 13.1 Tìm min của f(x) = x1x2x3 với ràng buộc l1(x) = x1 + x2 + x3 – 1 = 0.
Bài giải:
Với ràng buộc 1( ) 0

l x ta có thể tìm được mối liên hệ giữa các biến là
3 1 2
1 ,
  
x x x bài toán tối ưu ba biến với một ràng buộc trở thành bài toán
tối ưu không ràng buộc hai biến:
1 2 1 2 1 2
min ( , ) (1 )
  
f x x x x x x
Sau đó sử dụng phương pháp đạo hàm riêng để giải.
BÀI TOÁN TỐI ƯU PHI TUYẾN NHIỀU BIẾN CÓ RÀNG BUỘC 459







  



  

2 1 2
2
1
1
1
2
f
1 x – 2 x x 0
x
f
1 x – 2 x x 0
x
Trừ 2 phương trình trên ta suy ra x1 = x2
Thay thế vào 1 trong 2 phương trình trên ta có:
2x1
2
+ x1 – 1 = x1
2
+ x1+ x1
2
– 1 = 0
Suy ra: (x1+ 1)(2x1-1) = 0
Thu được 2 nghiệm: x1 = -1 , x1 = ½
- Nếu x1 = -1 suy ra x2 = x1= -1 và 3 1 2
1 3
   
x x x
và f(x) = -3
- Nếu x1 = 1/2, suy ra x2 = x1= 1/2 và 3 1 2
1 0
   
x x x
và f = 0
Do đó nghiệm là x2 = x1= -1 và x3= -1 và min f(x) = -3
Từ đây ta có thể áp dụng các phương pháp bài toán tối ưu không ràng
buộc đã biết ở Chương 12 để giải.
Phương pháp loại biến được áp dụng khi các ràng buộc mang dấu "="
và có thể suy ra 1 biến dựa trên các biến còn lại. Trong trường hợp có nhiều
ràng buộc, việc loại bỏ biến có thể dẫn đến những trường hợp phụ thuộc
biến lẫn nhau. Và trong một số trường hợp khác, ta không thể nào tìm được
mối liên hệ giữa 1 biến với các biến còn lại, như trường hợp ràng buộc sau:
2 2 1
1 1 3 2 3 2 1
( ) 0

   
l x x x x x x x
Hoặc trong những trường hợp ràng buộc của bài toán không mang dấu
"=" mà mang dấu "≥" hoặc "≤" thì phương pháp loại biến này không thể áp
dụng được. Khi đó ta áp dụng các phương pháp khác để đưa các bài toán tối
ưu có ràng buộc thành các bài toán không ràng buộc.
13.2. PHƯƠNG PHÁP ĐỒ THỊ
Các phương pháp giải các bài toán tối ưu nhiều biến có ràng buộc
được trình bày cụ thể trong các tài liệu về tối ưu hóa. Trong mục này chúng
tôi chỉ trình bày các phương pháp giải bài toán tối ưu nhiều biến có ràng
buộc bằng phương pháp đồ thị.
460 CHƯƠNG 13
Khảo sát bài toán tối ưu:
- Tìm X để f(X) là nhỏ nhất.
- Điều kiện ràng buộc:
hj(X)  0, j = 1, 2, ..., nj (13.3)
Nếu mỗi xi, được tương ứng với một trục tọa độ, thì kết quả là không
gian Descartes n chiều được gọi là không gian thiết kế. Mỗi điểm trên không
gian n chiều gọi là điểm thiết kế và tương ứng với lời giải có khả năng thực
hiện hoặc không có khả năng thực hiện của bài toán thiết kế. Các điểm thiết
kế có khả năng thực hiện hoặc không được ngăn cách bởi một mặt cong
được gọi là mặt cong ràng buộc.
Khi đó để hiểu khái niệm mặt cong ràng buộc ta khảo sát bất đẳng
thức ràng buộc hj(X)  0. Tập hợp các điểm thiết kế X thỏa mãn đẳng thức
hj(X) = 0 tạo nên siêu diện trong không gian thiết kế và được gọi là mặt
cong ràng buộc. Mặt cong ràng buộc chia không gian thành hai miền: miền
được gọi là không gian có khả năng thực hiện được mà trên đó mỗi điểm thiết
kế X sẽ tương ứng với giá trị hj(X)  0 và miền khác gọi là miền không có khả
năng thực hiện mà trên đó mỗi điểm thiết kế tương ứng với hj(X)  0.
Khi hàm mục tiêu được vẽ với f(X) = c = const, đồ thị tạo nên siêu
diện trong không gian thiết kế. Nếu nhiều hàm đồ thị được vẽ với các giá trị
hằng số c khác nhau thì kết quả mặt cong được gọi là các mặt cong hàm
mục tiêu. Một khi các mặt cong mục tiêu được biết thì lời giải tối ưu của bài
toán có thể được nhận biết như là các điểm thiết kế trên không gian có khả
năng thực hiện mà đem lại giá trị nhỏ nhất cho hàm mục tiêu.
Hình 13.1 Phương pháp đồ thị
BÀI TOÁN TỐI ƯU PHI TUYẾN NHIỀU BIẾN CÓ RÀNG BUỘC 461
Các mặt cong ràng buộc, các mặt cong hàm mục tiêu với lời giải tối
ưu của bài toán tối ưu hai biến được trình bày trên Hình 13.1. Chú ý rằng
nếu số các biến lớn hơn hai hoặc ba thì các ràng buộc và các mặt cong hàm
mục tiêu trở nên phức tạp ngay cả cho việc quan sát. Trong Ví dụ 13.2
trình bày trình tự thiết tối ưu theo phương pháp đồ thị.
Ví dụ 13.2 Hai phần tử được mắc nối tiếp như trên Hình 13.2. Giá thành
phần tử thứ nhất 2
1
100R trong đó 1
R là độ tin cậy phần tử thứ nhất. Tương tự
giá thành phần tử thứ hai 2
2
200R trong đó 2
R là độ tin cậy phần tử thứ hai.
Tìm độ tin cậy các phần tử để giá thành là nhỏ nhất. Độ tin cậy của hệ thống
cũng như của các phần tử không được nhỏ hơn 0,7: h1(R) = 0,7 – R1R2  0.
Giải: Các biến thiết kế là độ tin cậy các phần tử:
   
  
   
   
   
1 1
2 2
x R
X R
x R
Hàm mục tiêu là tìm giá trị nhỏ nhất của giá thành:
 
2 2
1 2
f (R) 100R 200R
Các điều kiện ràng buộc:
R1R2  0,7 có nghĩa là
h1(R) = 0,7 – R1R2  0
0,7  R1  1 có nghĩa là
h2(R) = R1 – 0,7  0 và h3(R) = R1 – 1  0
0,7  R2  1 có nghĩa là
h4(R) = R2 – 0,7  0 và h5(R) = R2 – 1  0
Hình 13.2 Hệ thống gồm hai phần tử mắc nối tiếp
Các đường bao trình bày từ h2 đến h5 trên Hình 13.3. Hàm ràng buộc
g1 là đường cong R1 = 0,7/R2.
R1 0,6 0,65 0,7 0,75 0,8 0,85 0,9 0,95 1
R2 1,167 1,077 1,000 0,933 0,875 0,824 0,778 0,737 0,700
462 CHƯƠNG 13
Đường bao hàm mục tiêu:
 
2 2
1 2
f (R) 100R 200R = c
được vẽ với các giá trị c khác nhau.
Các điểm trên đường bao được liệt kê:
2 2
1 2
100R 200R 250
  suy ra
2
1
2
250 100R
R
200


R1 0,6 0,65 0,7 0,75 0,8 0,85 0,9 0,95 1
R2 1,034 1,019 1,003 0,984 0,964 0,943 0,919 0,894 0,866
2 2
1 2
100R 200R 225
  suy ra
2
1
2
225 100R
R
200


R1 0,6 0,65 0,7 0,75 0,8 0,85 0,9 0,95 1
R2 0,972 0,956 0,938 0,919 0,897 0,874 0,849 0,821 0,791
2 2
1 2
100R 200R 200
  suy ra
2
1
2
200 100R
R
200


R1 0,6 0,65 0,7 0,75 0,8 0,85 0,9 0,95 1
R2 0,906 0,888 0,869 0,848 0,825 0,799 0,771 0,741 0,707
2 2
1 2
100R 200R 198
  suy ra
2
1
2
198 100R
R
200


R1 0,6 0,65 0,7 0,75 0,8 0,85 0,9 0,95 1
R2 0,900 0,882 0,863 0,842 0,819 0,793 0,765 0,734 0,700
2 2
1 2
100R 200R 175
  suy ra
2
1
2
175 100R
R
200


R1 0,6 0,65 0,7 0,75 0,8 0,85 0,9 0,95 1
R2 0,834 0,815 0,794 0,771 0,745 0,717 0,686 0,651 0,612
BÀI TOÁN TỐI ƯU PHI TUYẾN NHIỀU BIẾN CÓ RÀNG BUỘC 463
Hình 13.3
Các đường bao được trình bày trên Hình 13.3 và có thể quan sát thấy
được rằng các giá trị hàm mục tiêu không thể giảm dưới giá trị 198 không
có bất cứ một vi phạm ràng buộc độ tin cậy nào. Điểm tối ưu là điểm tiếp
xúc của hai đường cong g1 = 0 và f = 198 (điểm A). Khi đó R1
*
= 0,99 và
R2
*
= 0,71 với fmin = 198.
13.3. PHƯƠNG PHÁP NHÂN TỬ LAGRANGE
(Method of Lagrange Multipliers)
Phương pháp nhân tử Lagrange là phương pháp giải tích được sử dụng
để tìm giá trị nhỏ nhất của hàm nhiều biến khi các hàm ràng buộc là các
đẳng thức. Khi đó chuyển từ bài toán tối ưu có ràng buộc thành bài toán tối
ưu không ràng buộc.
Bài toán tối ưu có ràng buộc bằng đẳng thức:
- Tìm X
1
2
n
d
d
...
d
 
 
 

 
 
 
để f(X) đạt giá trị nhỏ nhất.
- Điều kiện ràng buộc là:
lk(X) = 0; k = 1, 2, ..., nk
464 CHƯƠNG 13
Ta thay thế bài toán có ràng buộc đẳng thức bằng cách tạo một hàm
mới được gọi là hàm Lagrange L(X, ) như sau:

   

k
n
k k
k 1
L(X, ) f (X) l (X) (13.4)
trong đó k là hằng số chưa biết và được gọi là nhân tử Lagrange.
Cần chú ý rằng số lượng nhân tử Lagrange phụ thuộc số lượng hàm
ràng buộc. Khi đó bài toán tối ưu có ràng buộc trở thành bài toán tìm giá trị
nhỏ nhất của hàm L(X,). Khi đó ta sử dụng phương pháp xác định đạo hàm
riêng của hàm L(X,):
 
 
 
  



 

 



i
k
k
L X,
0; i 1, 2,...n
d
L X,
0; j 1, 2,...n
(13.5)
Số các đại lượng không biết là n+p (n biến thiết kế xi và p nhân tử
Lagrange j) và số các phương trình nhận được cũng là n + p. Nghiệm của
giải hệ (n + p) phương trình phi tuyến là X*
và *
. Mặc dù phương pháp này
tương đối đơn giản, tuy nhiên giải hệ (n + p) phương trình phi tuyến rất dài
dòng và đôi khi rất phức tạp. Mặt khác nếu các hàm f và lj không thể biểu
diễn dưới dạng tường minh thì để giải hệ (13.5) sẽ rất khó khăn. Tuy nhiên,
các phương pháp số thích hợp trong tối ưu hóa như hàm phạt khảo sát ở mục
tiếp theo sẽ được sử dụng để giải quyết các bài toán tối ưu.
Ví dụ 13.3 Hai phần tử được lắp song song như Hình 13.4. Muốn tìm độ tin
cậy các phần tử R1 và R2 để tổng giá thành là nhỏ nhất khi mà độ tin cậy của
hệ thống l(X) = Rht = 1 – (1 – R1)(1 – R2) = 0,9. Giả sử rằng giá thành các
phần tử R1 và +R2 tương ứng sẽ bằng 100R1 và 200R2.
Hình 13.4 Hệ thống gồm hai phần tử mắc song song
BÀI TOÁN TỐI ƯU PHI TUYẾN NHIỀU BIẾN CÓ RÀNG BUỘC 465
a) Lập bài toán tối ưu
b) Tìm nghiệm bằng phương pháp nhân tử Lagrange
Giải:
Bài toán được phát biểu như sau:
Tìm X với:
   
 
   
   
   
1 1
2 2
x R
x R
X
Hàm mục tiêu là tìm giá trị nhỏ nhất của giá thành:
1 2
f ( ) 100R 200R
 
X (13.6)
Các điều kiện ràng buộc:
l(X) = R1 + R2 – R1R2 – 0,9 = 0
Hàm Lagrange có thể được viết dưới dạng:
L(X, ) = 100R1 + 200R2 +  (R1 + R2 – R1R2 – 0,9)
trong đó  là nhân tử Lagrange.
Các điều kiện cần thiết để tối ưu là:
2
1
L
100 (1 R ) 0
R

    

suy ra
2
100
(1 R )
  

(13.7)
1
2
L
200 (1 R ) 0
R

    

suy ra
1
200
(1 R )
  

(13.8)
1 2 1 2
L
R R R R 0,9 0

    

(13.9)
Từ biểu thức (13.7) và (13.8) ta nhận được:
1 2
2 1
(1 R ) (1 R )
  
 
có nghĩa là 1 2
R 2R 1
  (13.10)
Thay biểu thức (13.10) vào (13.9) ta nhận được:
2 2 2 2
(2R 1) R R (2R 1) 0,9
     có nghĩa là
2
2 2
2R 4R 1,9 0
  
466 CHƯƠNG 13
Giải phương trình vừa nhận được ta có 2
R 0,7764 vaø1,2236.

Nghiệm tối ưu là R1* = 0,5528 và R2* = 0,7764 (vì R*  1) với fmin = 210,56.
13.4. ĐIỀU KIỆN KUHN – TUCKER
Điều kiện Kuhn-Tucker là phương pháp giải tích được sử dụng để tìm
giá trị nhỏ nhất của hàm nhiều biến khi các hàm ràng buộc là các đẳng thức
và bất đẳng thức. Tương tự phương pháp nhân tử Lagrange, ta chuyển từ bài
toán tối ưu có ràng buộc thành bài toán tối ưu không ràng buộc.
Bài toán tối ưu có ràng buộc:
Tìm X
1
2
n
d
d
...
d
 
 
 

 
 
 
để f(X) đạt giá trị nhỏ nhất.
Các ràng buộc là:
hj(X)  0 với j = 1, 2,...nj (13.11)
lk(X) = 0 với k = 1, 2,...nk (13.12)
Ta thay thế bài toán có ràng buộc theo điều kiện Kuhn – Tucker bằng
bài toán tối ưu không ràng buộc như sau:
j k
j 1 k 1
w v
 
   
 
j k
n n
j k
K ( ,w, v) f ( h ( l ( 0
X X X X
) ) ) (13.13)
Lấy đạo hàm riêng theo di, wj, vk ta có hệ phương trình:
 
 
 

 











 
 

i
j
k
K ,w, v
0
d
K ,w, v
0
w
K ,w, v
0
v
X
X
X
(13.14)
BÀI TOÁN TỐI ƯU PHI TUYẾN NHIỀU BIẾN CÓ RÀNG BUỘC 467
Hoặc có thể biểu diễn theo công thức:
j k
j 1 k 1
w v
 
     
 
j k
n n
j k
f ( h ( l ( 0
X X X
) ) ) (13.15)
Với gradient các hàm có dạng:
 
  
   
  
 
 
T
1 1 n
f ( , ,...
d d d
X
f f f
)
 
  
   
  
 
 
T
1 1 n
h( , ,...
d d d
X
h h h
) (13.16)
 
  
   
  
 
 
T
1 1 n
l( , ,...
d d d
X
l l l
)
Do đó, điều kiện Kuhn – Tucker có thể viết dưới dạng sau:
j k
j 1 k 1
w v
 
 

  
  
 
j k
n n
j k
i i i
h ( l (
f (
0
d d d
X X
X ) )
)
(13.17)
hj(X)  0 với j = 1, 2,...nj
lk (X) = 0 với k = 1, 2,...nk
Ví dụ 13.4 Giải bài toán ở Ví dụ 13.3 theo điều kiện Kuhn – Tucker với
ràng buộc Rht = 1- (1 – R1)(1 – R2)  0,9.
Giải:
Bài toán được phát biểu như sau:
Tìm X với:
   
 
   
   
   
1 1
2 2
d R
X
d R
Hàm mục tiêu là tìm giá trị nhỏ nhất của giá thành:
 
1 2
f (X) 100R 200R
468 CHƯƠNG 13
Các điều kiện ràng buộc:
Rht = 1 – (1 – R1)(1 – R2)  0,9
Suy ra h(X) = - R1 -R2 + R1R2 + 0,9  0
Bài này không có ràng buộc l(X).
Khi đó hàm Kuhn – Tucker:
       
1 2 1 1 2 1 2
K( ,w,v) 100R 200R v ( R R R R 0,9) 0
X
Theo điều kiện Kuhn–Tucker ta có hệ phương trình theo R1, R2 và v1:
 
 
1 1 2
1 1 1
1 1 1
2 2 2
1 2 1 2
1
K f l
v 100 v R 1 0
R R R
K f l
v 200 v R 1 0
R R R
K
l( ) R R R R 0,9 0
v
   
     

  

   
     

  

 
      



X
Giải hệ phương trình trên ta thu được:
 
1
v 200000 447,2135955
   
1
1
200
R 1 0,552784
v
13.5. BÀI TOÁN QUY HOẠCH ĐỘNG
Phương pháp giải bài toán này do nhà toán học Mỹ Richard Bellman
đề xuất và phát triển vào đầu năm 1950.
Phương pháp giải bài toán tối ưu theo quy hoạch động dựa trên
nguyên tắc có thể chia quá trình giải bài toán tối ưu thành nhiều giai đoạn
liên tiếp. Giai đoạn sau chứa thông tin đã được xử lý tối ưu ở giai đoạn
trước đó. Phương án tối ưu ở giai đoạn cuối cùng chính là phương án tối ưu
chung cần tìm.
Dạng bài toán này thường gặp trong thiết kế tối ưu một số dạng kết
cấu trong xây dựng. Ví dụ thiết kế tối ưu một nhà cao tầng. Vì tải trọng
truyền dần dần từ trần trên xuống trần dưới, nên đầu tiên ta chọn kích thước
tối ưu cho các kết cấu trong tầng trên cùng. Căn cứ vào kích thước này, ta
tiếp tục chọn kích thước tối ưu cho các kết cấu trong tầng thứ 2 và cứ như
vậy cho đến tầng cuối cùng.
BÀI TOÁN TỐI ƯU PHI TUYẾN NHIỀU BIẾN CÓ RÀNG BUỘC 469
13.6. CÁC GIẢI THUẬT GIẢI BÀI TOÁN TỐI ƯU
Khác với giải thuật tìm giá trị tối ưu dựa vào đạo hàm của hàm mục
tiêu, các giải thuật trong mục này chỉ dựa vào hàm mục tiêu và các ràng
buộc có thể là tuyến tính hoặc phi tuyến. Đặc điểm của các giải thuật này là
dựa vào lời giải ban đầu sau đó cài thiện lời giải đó, trải qua nhiều thế hệ thu
được giá trị tối ưu mong muốn.
Tiêu biểu cho nhóm này là: giải thuật leo đồi, mô phỏng luyện thép,
giải thuật di truyền…
Giải thuật leo đồi (Hill Climbing)
Đầu tiên giải thuật leo đồi lựa chọn một điểm trong miền thiết kế. Sau
đó so sánh điểm vừa chọn với một điểm lân cận. Nếu điểm ban đầu tốt hơn so
với điểm lân cận thì giữ lại điểm ban đầu và loại bỏ điểm lân cận. Nếu điểm
ban đầu không tốt hơn thì lấy điểm lân cận. Sau khi đã loại bỏ điểm không tốt
hơn, tiếp tục lựa chọn điểm lân cận khác để so sánh với điểm vừa giữ lại. Quá
trình được lặp lại cho đến khi thu được giá trị tối ưu mong muốn.
Haø
m muï
c
tieâ
u
Toá
i öu toaø
n
c uï
c
Toá
i öu c uï
c
boä
Ñieå
m laâ
n
c aä
n
Ñieå
m ban
ñaà
u
Hình 13.5 Giải thuật leo đồi
Từ trình tự thực hiện giải thuật có thể thấy, giá trị tối ưu thu được phụ
thuộc rất nhiều vào việc lựa chọn điểm ban đầu (Hình 13.5). Khoảng cách
giữa các điểm lân cận cũng ảnh hưởng lớn đến kết quả thu được. Nếu chọn
khoảng cách giữa các điểm quá lớn có thể bỏ qua các giá trị tối ưu toàn cục
hay cục bộ trong miền thiết kế. Nếu khoảng cách giữa các điểm quá nhỏ sẽ
tốn thời gian thực hiện giải thuật. Một hạn chế nữa của giải thuật là giá trị
tối ưu thu được vẫn không đảm bảo là giá trị tối ưu toàn cục.
470 CHƯƠNG 13
Có thể khắc phục hiện tượng này bằng cách chia nhỏ miền khảo sát hơn
nữa, lựa chọn nhiều điểm ban đầu để co thể thu được giá trị tối ưu toàn cục.
Giải thuật mô phỏng luyện thép (SA – Simulated Annealing)
Thay vì loại bỏ một điểm ngay sau khi so sánh như giải thuật leo đồi,
giải thuật mô phỏng luyện thép vẫn giữ lại điểm có giá trị thấp hơn nếu thỏa
mãn một xác suất nào đó. Việc giữ lại này sẽ làm tăng thêm khả năng tìm
được giá trị tối ưu toàn cục. Tuy nhiên giống như giải thuật leo đồi, giải
thuật mô phỏng luyện thép vẫn phụ thuộc nhiều vào điểm lựa chọn ban đầu.
Tương tự như có thể chọn nhiều điểm ban đầu ở nhiều vị trí khác nhau,
nhưng kết quả thu được không chắc là tối ưu toàn cục.
Mặt khác, với không gian tìm kiếm lớn, lựa chọn nhiều điềm ban đầu
ở nhiều vị trí trong miền khảo sát sẽ mất rất nhiều thời gian. Do đó, hạn chế
của giải thuật là không thích hợp với các không gian tìm kiếm lớn.
Giải thuật di truyền (Genetic Algorithm)
Khắc phục hạn chế của cả hai giải thuật trên chỉ sử dụng một điểm
làm lời giải ban đầu, giải thuật di truyền duy trì một hay nhiều quần thể
trong không gian tìm kiếm. Trong một quần thể lại có n cá thể. Số lượng
quần thể và số lượng các thể trong quần thể có thể lựa chọn thích hợp với độ
lớn của không gian tìm kiếm. Các cá thể trải qua nhiều thế hệ phát triển và
thông qua các quá trình tiến hóa sẽ cho giá trị tối ưu.
Do số lượng cá thể lớn nên có thể khảo sát toàn bộ không gian tìm
kiếm, giá trị tối ưu thu được ít bị ảnh hưởng bởi việc lựa chọn điểm ban đầu.
Với các ưu điểm kể trên thì giải thuật di truyền rất thích hợp cho các
bài toán có số biến thiết kế lớn, không gian tìm kiếm lớn.
Giải thuật quần thể cũng tương tự như giải thuật di truyền, tuy nhiên ở
mỗi thế hệ sẽ lựa chọn một cá thể ‘tốt nhất’ trong quần thể. Cá thể này sẽ
‘hướng dẫn’ các cá thể thể khác để có thể thích nghi cao hơn. Việc ‘hướng
dẫn’ này sẽ giúp quần thể nhanh chóng đạt được giá trị tối ưu nhanh hơn so
với giải thuật di truyền.
Tuy nhiên, việc lựa chọn cá thể ‘tốt nhất’ và ‘hướng dẫn’ các cá thể
còn lại cũng tốn rất nhiều thời và đôi khi thời gian thực hiện lớn hơn so với
giải thuật di truyền.
BÀI TOÁN TỐI ƯU PHI TUYẾN NHIỀU BIẾN CÓ RÀNG BUỘC 471
BÀI TẬP
13.1. Giả sử ta có ellipsoid 3 chiều x1
2
/a1
2
+ x2
2
/a2
2
+ x3
2
/a3
2
= 1 với a1 > a2 >
a3 > 0, và mặt phẳng đi qua tâm ellipsoid b1x1 + b2x2 + b3x3 = 0 (với mọi bi
khác không). Xác định nửa trục elip mặt cắt giữa mặt phẳng và ellipsoid.
13.2. Hai phần tử được lắp song song, muốn tìm độ tin cậy các phần tử R1
và R2 để tổng giá thành là nhỏ nhất khi mà độ tin cậy của hệ thống R = R1 +
R2 – R1R2 = 0,85. Giả sử rằng giá thành các phần tử R1 và R2 tương ứng sẽ
bằng 100R1
2
và 200R2.
a) Lập bài toán tối ưu.
b) Tìm nghiệm bằng phương pháp điều kiện Kuhn- Tucker.
c) Tìm nghiệm bằng phương pháp nhân tử Lagrange.
13.3. Ba phần tử được mắc nối tiếp. Giá thành phần tử thứ nhất 2
1
100R trong
đó 1
R là độ tin cậy phần tử thứ nhất. Giá thành phần tử thứ hai 2
2
100R trong
đó 2
R là độ tin cậy phần tử thứ hai. Giá thành phần tử thứ ba 2
3
150R trong
đó 3
R là độ tin cậy phần tử thứ ba. Tìm độ tin cậy các phần tử để giá thành
là nhỏ nhất. Độ tin cậy của hệ thống cũng như của các phần tử không được
nhỏ hơn Rht = R1R2R3  0,7.
13.4. Hệ thống gồm 1 phần tử A và 2 phần tử giống nhau B được lắp ứng sẽ
hỗn hợp như Hình 13.6. Giả sử rằng giá thành các phần tử A và B tương
bằng 20RA và 10RB.
a) Lập bài tóan tối ưu xác định độ tin cậy các phần tử RA và RB để
tổng giá thành là nhỏ nhất và phải đảm bảo độ tin cậy của hệ thống Rht =
RARB (2-RB) ≥ 0,80.
Hình 13.6
b) Lập hệ phương trình xác định độ tin cậy các phần tử bằng phương
pháp nhân tử Lagrange.
c) Lập hệ phương trình xác định độ tin cậy các phần tử bằng điều kiện
Kuhn-Tucker.
472 CHƯƠNG 13
13.5. Tìm khoảng cách giữa parabol y = x2
và đường thẳng x – y – 2 = 0.
Từ yêu cầu trên, bài toán có thể phát biểu sau:
- Tìm giá trị nhỏ nhất hàm f(x1, x2, y1, y2) = (x1 – x2)2
+ (y1 – y2)2
- Các ràng buộc: y1 – x1
2
= 0 và y2 + x2– 2 = 0.
Hàm Lagrange:
L(X, ) = (x1 – x2)2
+ (y1 – y2)2
+ 1(y1 – x1
2
) + 2(y2 + x2– 2)
 






 


 






 


 
 








1
2
1
2
1
2
L
0;
x
L
0;
x
L
0;
y
L
0;
y
L
0;
L
0;
Hình 13.7
13.6. Bài tập lớn: Tìm nghiệm tối ưu cho các bài toán sau:
Phương án 1. Tìm    
2 2
1 2
minf(x) x 3 x 2
   
với các điều kiện ràng buộc:
BÀI TOÁN TỐI ƯU PHI TUYẾN NHIỀU BIẾN CÓ RÀNG BUỘC 473
2 2
1 2
1 2
1
2
x x 5
x x 3
x 0
x 0
  

 




 

Phương án 2. Tìm giá trị cực trị hàm 1 2 3
f(x) x x x

với các ràng buộc:
1 2 3
1 2 2 3 1 3
x x x 5
x x x x x x 8
  
  
Phương án 3. Tìm giá trị cực trị hàm 2 3
1 2 3
f(x) x x x
  
với các ràng buộc:
1 2 3
1 2 3
x 2x 3x a,
x 0,x 0,x 0
a 0
  
  

Phương án 4. Tìm giá trị cực trị hàm: 1 2 3
f(x) x x x
  
với các ràng buộc:
2 2
1 2
1 2 3
x x 1,
x x x 0
 
  
Phương án 5. Giải bài toán tối ưu: tìm giá trị nhỏ nhất của hàm:
 
2
2
1 2 1 2
3
f(x ,x ) x x 5
2
 
   
 
 
với các ràng buộc:
1 2
1 2
1
2
x x 2
2x 3x 11
x 0
x 0
  

  


 

  

Phương án 6. Tìm giá trị tối ưu của hàm:
 
2
1 2 3 1 2 1 3 2 3
f(x) x x x 2 x x x x x x
     
với ràng buộc: 2 2
1 2 3
x x x 1
  
474 CHƯƠNG 13
Phương án 7. Tìm giá trị tối ưu của hàm:
1 2 3
f(x) x x x
  
với ràng buộc: 2 2
1 2 3 3
x x x , x 1
  
Phương án 8. Tìm giá trị tối ưu của hàm:
1 2 3
f(x) 2x x x
 
với ràng buộc: 2 2
1 2 3 1
x x 1, 0 x 2x 1
    
Phương án 9. Tìm giá trị tối ưu của hàm:
2 2
1 2
f(x) x x
 
với ràng buộc: 2 2
1 2
x x 16
 
Phương án 10. Tìm giá trị tối ưu của hàm:
2 2
1 2 1 2
f(x) x x 12x 16x
   
với ràng buộc: 2 2
1 2
x x 25
 
Phương án 11. Tìm giá trị tối ưu của hàm:
1 2
f(x) arccot x ln x
 
với ràng buộc: 2 2
1 2 1 2
x x 4,x 0, x 1
   
Phương án 12. Tìm giá trị tối ưu của hàm:
1 2 3
f(x) x x x
  
với ràng buộc: 1 2 3 1 2 3
x x x 1, x x x 0
    
Phương án 13. Giải bài toán bằng phương pháp điều kiện Kuhn –
Tucker: tìm  
2 2
1 2 1 1 2 2 1
minf(x) 4x 6x x x x 3x exp x
      
với các ràng buộc:
1 2
1 2
1 2
2x x 8
x x 2
1 x , x 3
 


  

  

BÀI TOÁN TỐI ƯU PHI TUYẾN NHIỀU BIẾN CÓ RÀNG BUỘC 475
Phương án 14. Theo điều kiện Kuhn-Tucker tìm min của hàm:
2 2
1 2
z x x ,
 
với các ràng buộc:
2 2
1 2
1
2
1 2
x x 5
x 0
x 0
x 2x 4
 
 
 
 
Phương án 15. Tìm giá trị cực trị hàm 1 2 3 4
f(x) x x x x
    với
ràng buộc:
4
1 2 3 4
(x) x x x x a 0 (a 0)
    
với biến thiết kế  
i
X x 0 i 1,n
  
Phương án 16. Tìm max của 2
1 2 3
z 3x x x
  
với các ràng buộc:
1 2 3
2
1 2 3
x x x 0
x 2x x 0
  
   
Phương án 17. Theo điều kiện Kuhn-Tucker tìm min của hàm:
2
2
1 2
9
( 2)
4
 
   
 
 
z x x
với các ràng buộc:
2
1 2
1 2
1 2
x x 0
x x 6
x , x 0
  
 

Phương án 18. Theo điều kiện Kuhn-Tucker tìm min của hàm:
2 2
1 2 1 2
z 2x 6x x x
    
với các ràng buộc:
476 CHƯƠNG 13
1 2
1 2
1 2
x 2x 5
x x 3
x , x 0
 
 

Phương án 19. Theo điều kiện Kuhn-Tucker tìm min của hàm:
2 2
2
1 2 3
5 1
z x x x
3 3
   
    
   
   
với các ràng buộc:
1 2 3
1 2
1 2 3
1 2 3
x x x 2
x x 12
2x 4x 3x 2
x , x , x 0
  
 
  

Phương án 20. Theo điều kiện Kuhn - Tucker tìm min của hàm:
2 2
1 2 1 2 1 2
z 8x 10x 12x x 50x 80x
    
với ràng buộc:
1 2
1
1 2
x x 1 0
1
x 0
2
x , x 0
  
 

Phương án 21. Xét bài toán tối ưu 2
1 2 3
maxf(x) 3x x x
  
với các ràng buộc:
1 2 3
2
1 2 3
x x x 0
x 2x x 0
  



   


Phương án 22. Giải bài toán tối ưu:
Tìm  
2
2
1 2
9
maxf(x) x x 2
4
 
   
 
 
với các ràng buộc:
BÀI TOÁN TỐI ƯU PHI TUYẾN NHIỀU BIẾN CÓ RÀNG BUỘC 477
2
1 2
1 2
1 2
x x 0
x x 6
x , x 0
  

 

 

Phương án 23. Tìm 2 2
1 2 1 2
minf(x) 2x 6x x x ,
     với các ràng buộc
1 2
1 2
1 2
x 2x 5
x x 3
x , x 0
 


 

 

Phương án 24. Tìm
2 2
2
1 2 3
5 1
minf(x) x x x
3 3
   
    
   
   
với các ràng buộc
1 2 3
1 2
1 2 3
1 2 3
x x x 2
x x 12
2x 4x 3x 2
x ,x ,x 0
  

  


  

 

Phương án 25. Tìm 2 2
1 2 1 2 1 2
minf(x) 8x 10x 12x x 50x 80x ,
    
với các ràng buộc:
1 1 2
2 1
1 2
g (x) x x 1 0
1
g (x) x 0
2
x , x 0
   



  





Phương án 26. Tìm 2 2
1 2
minf(x) x x ,
 
với các ràng buộc:
2 2
1 2
1
2
1 2
x x 5
x 0
x 0
x 2x 4
  

 


 

  

478 CHƯƠNG 13
Phương án 27. Tìm 2 2
1 2 3 1 2 1 2
minf(x) 6x 2x 12x x 2x x x
      
với các ràng buộc:
1 2 3
1 2
1 2 3
x x x 2
x 2x 3
x , x ,x 0
  


  

 

Phương án 28. Tìm 2 2 3
1 2 1 2 2
minf(x) x 2x x x 2x
    
với các ràng buộc:
1 2
1 2
1 2
x 2x 6
x 2x 3
x , x 0
 


  

 

Phương án 29. Tìm 2 2
1 2 1 2 1 2
minf(x) 2x 2x 2x x 4x 6x
    
với các ràng buộc:
1 2
2
1 2
1 2
x x 2
x 5x 5
x , x 0
 


 

 

Phương án 30. Tìm 2 2
1 2 1 2 1 2
minf(x) 2x 3x 4x x 6x 3x
    
với các ràng buộc:
1 2
1 2
1
2
x x 2
2x 3x 4
x 0
x 0
 

  


 

 

479
Phần Phụ lục
Phụ lục 1 Bảng giá trị phân bố Student
( α - mức giá trị; f - số bậc tự do)
f
α
f
α
f
α
0,05 0,01 0,05 0,01 0,05 0,01
1
2
3
4
5
6
7
8
9
10
11
12
13
12,71
4,30
3,18
2,78
2,57
2,45
2,36
2,31
2,26
2,23
2,20
2,18
2,16
63,66
9,92
5,84
4,60
4,03
3,71
3,50
3,36
3,25
3,17
3,11
3,05
3,01
14
15
16
17
18
19
20
21
22
23
24
25
26
2,14
2,13
2,12
2,11
2,10
2,09
2,09
2,08
2,07
2,07
2,06
2,06
2,06
2,98
2,95
2,92
2,90
2,88
2,86
2,85
2,83
2,82
2,81
2,80
2,79
2,78
27
28
29
30
40
50
60
80
100
120
200
500

2,05
2,05
2,05
2,04
2,02
2,01
2,00
1,99
1,98
1,98
1,97
1,96
1,96
2,77
2,76
2,76
2,75
2,70
2,68
2,66
2,64
2,63
2,62
2,60
2,59
2,58
480
Phụ lục 2 Giá trị phân bố Fisher
(f1 - số bậc tự do phương sai lớn; f2 - số bậc tự do phương sai nhỏ)
f2 (fy)=
(n-1)N
f1 (fth) = N-p
1 2 3 4 5 6 7 8 9 10 12 15 20 30 
α = 0,05
1
2
3
4
5
6
7
8
9
10
11
12
13
14
15
16
17
18
19
20
21
22
23
24
25
26
27
28
29
30
40
60
120

161
18,51
10,13
7,71
6,61
5,99
5,59
5,32
5,12
4,96
4,84
4,75
4,67
4,60
4,54
4,49
4,45
4,41
4,38
4,35
4,32
4,30
4,28
4,26
4,24
4,23
4,21
4,20
4,18
4,17
4,08
4,00
3,92
3,84
200
19,00
9,55
6,94
5,79
5,14
4,74
4,46
4,26
4,10
3,98
3,89
3,81
3,74
3,68
3,63
3,59
3,55
3,52
3,49
3,47
3,44
3,42
3,40
3,39
3,37
3,35
3,34
3,33
3,32
3,23
3,15
3,07
3,00
216
19,16
9,28
6,59
5,41
4,76
4,35
4,07
3,86
3,71
3,59
3,49
3,41
3,34
3,29
3,24
3,20
3,16
3,13
3,10
3,07
3,05
3,03
3,01
2,99
2,98
2,96
2,95
2,93
2,92
2,84
2,76
2,68
2,60
225
19,25
9,12
6,39
5,19
4,53
4,12
3,84
3,63
3,48
3,36
3,26
3,18
3,11
3,06
3,01
2,96
2,93
2,90
2,87
2,84
2,82
2,80
2,78
2,76
2,74
2,73
2,71
2,70
2,69
2,61
2,53
2,45
2,37
230
19,30
9,01
6,26
5,05
4,39
3,97
3,69
3,48
3,33
3,20
3,11
3,03
2,96
2,90
2,85
2,81
2,77
2,74
2,71
2,68
2,66
2,64
2,62
2,60
2,59
2,57
2,56
2,55
2,53
2,45
2,37
2,29
2,21
234
19,33
8,94
6,16
4,95
4,28
3,87
3,58
3,37
3,22
3,09
3,00
2,92
2,85
2,79
2,74
2,70
2,66
2,63
2,60
2,57
2,55
2,53
2,51
2,49
2,47
2,46
2,45
2,43
2,42
2,34
2,25
2,17
2,10
237
19,35
8,89
6,09
4,88
4,21
3,79
3,50
3,29
3,14
3,01
2,91
2,83
2,76
2,71
2,66
2,61
2,58
2,54
2,51
2,49
2,46
2,44
2,42
2,40
2,39
2,37
2,36
2,35
2,33
2,25
2,17
2,09
2,01
239
19,37
8,85
6,04
4,82
4,15
3,73
3,44
3,23
3,07
2,95
2,85
2,77
2,70
2,64
2,59
2,55
2,51
2,48
2,45
2,42
2,40
2,37
2,36
2,34
2,32
2,31
2,29
2,28
2,27
2,18
2,10
2,02
1,94
241
19,38
8,81
6,00
4,77
4,10
3,68
3,39
3,18
3,02
2,90
2,80
2,71
2,65
2,59
2,54
2,49
2,46
2,42
2,39
2,37
2,34
2,32
2,30
2,28
2,27
2,25
2,24
2,22
2,21
2,12
2,04
1,96
1,88
242
19,40
8,79
5,94
4,74
4,06
3,64
3,35
3,14
2,98
2,85
2,75
2,67
2,60
2,54
2,49
2,45
2,41
2,38
2,35
2,32
2,30
2,27
2,25
2,24
2,22
2,20
2,19
2,18
2,16
2,08
1,99
1,91
1,83
244
19,41
8,74
5,91
4,68
4,00
3,57
3,28
3,07
2,91
2,79
2,69
2,60
2,53
2,48
2,42
2,38
2,34
2,31
2,28
2,25
2,23
2,20
2,18
2,16
2,15
2,13
2,12
2,10
2,09
2,00
1,92
1,83
1,75
246
19,43
8,70
5,86
4,62
3,94
3,51
3,22
3,01
2,85
2,72
2,62
2,53
2,46
2,40
2,35
2,31
2,27
2,23
2,20
2,18
2,15
2,13
2,11
2,09
2,07
2,06
2,04
2,03
2,01
1,92
1,84
1,75
1,67
248
19,45
8,66
5,80
4,56
3,87
3,44
3,15
2,94
2,77
2,65
2,54
2,46
2,39
2,33
2,28
2,23
2,19
2,16
2,12
2,10
2,07
2,05
2,03
2,01
1,99
1,97
1,96
1,94
1,93
1,84
1,75
1,66
1,57
250
19,46
8,62
5,75
4,50
3,81
3,38
3,08
2,86
2,70
2,57
2,47
2,38
2,31
2,25
2,19
2,15
2,11
2,07
2,04
2,01
1,98
1,96
1,94
1,92
1,90
1,88
1,87
1,85
1,84
1,74
1,65
1,55
1,46
254
19,50
8,53
5,63
4,36
3,67
3,23
2,93
2,71
2,54
2,40
2,30
2,21
2,13
2,07
2,01
1,96
1,92
1,88
1,84
1,81
1,78
1,76
1,73
1,71
1,69
1,67
1,65
1,64
1,62
1,51
1,39
1,25
1,00
481
α = 0,01
1
2
3
4
5
6
7
8
9
10
11
12
13
14
15
16
17
18
19
20
21
22
23
24
25
26
27
28
29
30
40
60
120

4052
98,50
34,12
21,20
16,26
13,75
12,25
11,26
10,56
10,04
9,65
9,33
9,07
8,86
8,68
8,53
8,40
8,29
8,18
8,10
8,02
7,95
7,88
7,82
7,77
7,72
7,68
7,64
7,60
7,56
7,31
7,08
6,85
6,63
4999
99,00
30,82
18,00
13,27
10,92
9,55
8,65
8,02
7,56
7,21
6,93
6,70
6,51
6,36
6,23
6,11
6,01
5,93
5,85
5,78
5,72
5,66
5,61
5,57
5,53
5,49
5,45
5,42
5,39
5,18
4,98
4,79
4,61
5403
99,17
29,46
16,69
12,06
9,78
8,45
7,59
6,99
6,55
6,22
5,95
5,74
5,56
5,42
5,29
5,18
5,09
5,01
4,94
4,87
4,82
4,76
4,72
4,68
4,64
4,60
4,57
4,54
4,51
4,31
4,13
3,95
3,78
5625
99,25
28,71
15,98
11,39
9,15
7,85
7,01
6,42
5,99
5,67
5,41
5,21
5,04
4,89
4,77
4,67
4,58
4,50
4,43
4,37
4,31
4,26
4,22
4,18
4,14
4,11
4,07
4,04
4,02
3,85
3,63
3,48
3,32
5764
99,30
28,42
15,52
10,97
8,75
7,46
6,63
6,06
5,64
5,32
5,06
4,86
4,69
4,56
4,44
4,34
4,25
4,17
4,10
4,04
3,99
3,94
3,90
3,85
3,82
3,78
3,75
3,73
3,70
3,51
3,34
3,17
3,02
5859
99,33
27,91
15,21
10,67
8,47
7,19
6,37
5,80
5,39
5,07
4,82
4,62
4,46
4,32
4,20
4,10
4,01
3,94
3,87
3,81
3,76
3,71
3,67
3,63
3,59
3,56
3,53
3,50
3,47
3,29
3,12
2,96
2,80
5928
99,36
27,67
14,98
10,46
8,26
6,99
6,18
5,61
5,20
4,89
4,64
4,44
4,28
4,14
4,03
3,93
3,84
3,77
3,70
3,64
3,59
3,54
3,50
3,46
3,42
3,39
3,36
3,33
3,30
3,12
2,95
2,79
2,64
5982
99,37
27,49
14,80
10,29
8,10
6,84
6,03
5,47
5,06
4,74
4,50
4,30
4,14
4,00
3,89
3,79
3,71
3,61
3,56
3,51
3,45
3,41
3,36
3,32
3,29
3,26
3,23
3,20
3,17
2,99
2,82
2,66
2,51
6022
99,39
27,35
14,66
10,16
7,98
6,72
5,91
5,35
4,94
4,63
4,39
4,19
4,03
3,89
3,78
3,68
3,60
3,52
3,46
3,40
3,35
3,30
3,26
3,22
3,18
3,15
3,12
3,09
3,07
2,89
2,72
2,56
2,41
6056
99,40
27,23
14,55
10,05
7,87
6,62
5,81
5,26
4,85
4,54
4,30
4,10
3,94
3,80
3,69
3,59
3,51
3,43
3,37
3,31
3,26
3,21
3,17
3,13
3,09
3,06
3,03
3,00
2,98
2,80
2,63
2,47
2,32
6106
99,42
27,05
14,37
9,89
7,72
6,47
5,67
5,11
4,71
4,40
4,16
3,96
3,80
2,67
3,55
3,46
3,37
3,30
3,23
3,17
3,12
3,07
3,03
2,99
2,96
2,93
2,90
2,87
2,84
2,66
2,50
2,34
2,18
6157
99,43
26,87
14,20
9,72
7,56
6,31
5,52
4,96
4,56
4,25
4,01
3,82
3,66
3,52
3,41
3,31
3,23
3,15
3,09
3,03
2,98
2,93
2,89
2,85
2,81
2,78
2,75
2,73
2,70
2,52
2,35
2,19
2,04
6209
99,45
26,69
14,02
9,55
7,40
6,16
5,36
4,81
4,41
4,10
3,86
3,66
3,51
3,37
3,26
3,16
3,08
3,00
2,94
2,88
2,83
2,78
2,74
2,70
2,66
2,63
2,60
2,57
2,55
2,37
2,20
2,03
1,88
6261
99,47
26,50
13,84
9,38
7,23
5,99
5,20
4,65
4,25
3,94
3,70
3,51
3,35
3,21
3,10
3,00
2,92
2,84
2,78
2,72
2,67
2,62
2,58
2,54
2,50
2,47
2,44
2,41
2,39
2,20
2,03
1,86
1,70
6366
99,50
26,13
13,46
9,02
6,88
5,65
4,86
4,31
3,91
3,60
3,36
3,17
3,00
2,87
2,75
2,65
2,57
2,49
2,42
2,36
2,31
2,26
2,21
2,17
2,13
2,10
2,06
2,03
2,01
1,80
1,60
1,38
1,00
482
Phụ lục 3 Giá trị phân bố Cochran G
(f - số bậc tự do mẫu; N - số lượng mẫu)
N
f
1 2 3 4 5 6 7 8 9 10 16 36 144 
α = 0,05
2
3
4
5
6
7
8
9
10
12
15
20
24
30
40
60
120
0,99
0,97
0,91
0,84
0,78
0,73
0,68
0,64
0,60
0,54
0,47
0,39
0,34
0,29
0,24
0,17
0,10
0,98
0,87
0,77
0,68
0,62
0,56
0,52
0,48
0,45
0,39
0,33
0,27
0,24
0,20
0,16
0,11
0,06
0,94
0,80
0,68
0,60
0,53
0,48
0,44
0,40
0,37
0,33
0,28
0,22
0,19
0,16
0,13
0,09
0,05
0,91
0,75
0,63
0,54
0,48
0,43
0,39
0,36
0,33
0,29
0,24
0,19
0,17
0,14
0,11
0,09
0,04
0,88
0,71
0,59
0,51
0,44
0,40
0,36
0,33
0,30
0,26
0,22
0,17
0,15
0,12
0,10
0,07
0,04
0,85
0,68
0,56
0,48
0,42
0,37
0,34
0,31
0,28
0,24
0,20
0,16
0,14
0,11
0,09
0,06
0,03
0,83
0,65
0,54
0,46
0,40
0,35
0,32
0,29
0,27
0,23
0,19
0,15
0,13
0,11
0,08
0,06
0,03
0,82
0,63
0,52
0,44
0,38
0,34
0,30
0,28
0,25
0,22
0,18
0,14
0,12
0,10
0,08
0,06
0,03
0,80
0,62
0,50
0,42
0,37
0,33
0,29
0,27
0,24
0,21
0,17
0,14
0,12
0,10
0,07
0,05
0,03
0,79
0,60
0,49
0,41
0,36
0,32
0,28
0,26
0,24
0,20
0,17
0,13
0,11
0,09
0,07
0,05
0,03
0,73
0,55
0,44
0,36
0,31
0,28
0,25
0,22
0,20
0,17
0,14
0,11
0,09
0,08
0,06
0,04
0,02
0,66
0,47
0,37
0,31
0,26
0,23
0,20
0,18
0,17
0,14
0,11
0,09
0,07
0,06
0,05
0,03
0,02
0,58
0,40
0,31
0,25
0,21
0,18
0,16
0,14
0,13
0,11
0,09
0,07
0,06
0,05
0,03
0,02
0,01
0,50
0,33
0,25
0,20
0,17
0,14
0,13
0,11
0,10
0,08
0,07
0,05
0,04
0,03
0,03
0,02
0,01
483
α = 0,01
2
3
4
5
6
7
8
9
10
12
15
20
24
30
40
60
120
0,99
0,99
0,97
0,93
0,88
0,84
0,79
0,75
0,72
0,65
0,57
0,48
0,42
0,36
0,29
0,22
0,12
0,99
0,94
0,86
0,79
0,72
0,66
0,62
0,57
0,54
0,48
0,41
0,33
0,29
0,24
0,19
0,14
0,08
0,98
0,88
0,78
0,70
0,63
0,57
0,52
0,48
0,45
0,39
0,33
0,27
0,23
0,19
0,15
0,11
0,06
0,96
0,83
0,72
0,63
0,56
0,51
0,46
0,43
0,39
0,33
0,29
0,23
0,20
0,16
0,13
0,09
0,05
0,94
0,79
0,68
0,59
0,52
0,47
0,42
0,39
0,36
0,31
0,26
0,20
0,18
0,15
0,11
0,08
0,04
0,92
0,76
0,64
0,55
0,49
0,43
0,39
0,36
0,33
0,29
0,24
0,19
0,16
0,13
0,10
0,07
0,04
0,90
0,73
0,61
0,53
0,46
0,41
0,37
0,34
0,31
0,27
0,22
0,17
0,15
0,12
0,10
0,07
0,04
0,88
0,71
0,59
0,50
0,44
0,39
0,35
0,32
0,29
0,25
0,21
0,16
0,14
0,12
0,09
0,06
0,03
0,87
0,69
0,57
0,49
0,42
0,38
0,34
0,31
0,28
0,24
0,20
0,16
0,13
0,12
0,09
0,06
0,03
0,85
0,67
0,55
0,47
0,41
0,36
0,32
0,30
0,27
0,23
0,19
0,15
0,13
0,11
0,08
0,06
0,03
0,79
0,61
0,49
0,41
0,35
0,31
0,28
0,25
0,23
0,20
0,16
0,12
0,11
0,09
0,07
0,05
0,02
0,71
0,52
0,41
0,34
0,29
0,25
0,22
0,20
0,18
0,15
0,13
0,10
0,08
0,07
0,05
0,03
0,02
0,61
0,42
0,33
0,26
0,22
0,19
0,17
0,15
0,14
0,12
0,09
0,07
0,06
0,05
0,04
0,02
0,01
0,50
0,33
0,25
0,20
0,17
0,14
0,13
0,11
0,10
0,08
0,07
0,05
0,04
0,03
0,03
0,02
0,01
Phụ lục 4 Gi trị phân bố 2
(k - số bậc tự do)
484
k q k q k q k q
0,05 0,01 0,05 0,01 0,05 0,01 0,05 0,01
1
2
3
4
5
6
7
8
9
10
11
12
13
3,84
5,99
7,81
9,49
11,1
12,6
14,1
15,5
16,9
18,3
19,7
21,0
22,4
6,63
9,21
11,3
13,3
15,1
16,8
18,5
20,1
21,7
23,2
24,7
26,2
27,7
14
15
16
17
18
19
20
21
22
23
24
25
26
23,7
25,0
26,3
27,6
28,9
30,1
31,4
32,7
33,9
35,2
36,4
37,7
38,9
29,1
30,6
32,0
33,4
34,8
36,2
37,6
38,9
40,3
41,6
43,0
44,3
45,6
27
28
29
30
31
32
33
34
35
36
37
38
39
40,1
41,3
42,6
43,8
45,0
46,2
47,4
48,6
49,8
51,0
52,2
53,4
54,6
47,0
48,3
49,6
50,9
52,2
53,5
54,8
56,1
57,3
58,6
59,9
61,2
62,4
40
41
42
43
44
45
46
47
48
49
50
55,8
56,9
58,1
59,3
60,5
61,7
62,8
64,0
65,2
66,3
67,5
63,7
65,0
66,2
67,5
68,7
70,0
71,2
72,4
73,7
74,9
76,2
485
Phụ lục 5 Hàm phân phối chuẩn
Giá trị của (z), với
2
z
z /2
1
(z) e dz
2


 
 
Nếu đổi dấu z, thì giá trị tra bảng chính là xác suất làm việc không hỏng
z .00 .01 .02 .03 .04 .05 .06 .07 .08 .09
.0 .50000 .50399 .50798 .51197 .51595 .51994 .52392 .52790 .53188 .53586
.1 .53983 .54380 .54776 .55172 .55567 .55962 .56356 .56749 .57142 .57534
.2 .57926 .58317 .58706 .59095 .59483 .59871 .60257 .60642 .61026 .61409
.3 .61791 .62172 .62552 .62930 .63307 .63683 .64058 .64431 .64803 .65173
.4 .65542 .65910 .66276 .66640 .67003 .67364 .67724 .68082 .68439 .68793
.5 .69146 .69497 .69847 .70194 .70540 .70884 .71226 .71566 .71940 .72240
.6 .72575 .72907 .73237 .73565 .73891 .74215 .74537 .74857 .75175 .75490
.7 .75804 .76115 .76424 .76730 .77035 .77337 .77637 .77935 .78230 .78524
.8 .78814 .79103 .79389 .79673 .79955 .80234 .80510 .80785 .81057 .81327
.9 .81594 .81859 .82121 .82381 .82639 .82894 .83147 .83398 .83646 .83891
1.0 .84134 .84375 .84614 .84849 .85083 .85314 .85543 .85769 .85992 .86214
1.1 .86433 .86650 .86864 .87076 .87286 .87493 .87698 .87900 .88100 .88298
1.2 .88493 .88686 .88877 .89065 .89251 .89435 .89616 .89796 .89973 .90147
1.3 .90320 .90490 .90658 .90824 .90988 .91149 .91309 .91466 .91621 .91774
1.4 .91924 .92073 .92220 .92364 .92507 .92647 .92785 .92922 .93056 .93189
1.5 .93319 .93448 .93574 .93699 .93822 .93943 .94062 .94179 .94295 .94408
1.6 .94520 .94630 .94738 .94845 .94950 .95053 .95154 .95254 .95352 .95449
1.7 .95543 .95637 .95728 .95818 .95907 .95994 .96080 .96164 .96246 .96327
1.8 .96407 .96485 .96562 .96638 .96712 .96784 .96856 .96926 .96995 .97062
1.9 .97128 .97193 .97257 .97320 .97381 .97441 .97500 .97558 .97615 .97670
2.0 .97725 .97778 .97831 .97882 .97932 .97982 .98030 .98077 .98124 .98169
2.1 .98214 .98257 .98300 .98341 .98382 .98422 .98461 .98500 .98537 .98574
2.2 .98610 .98645 .98679 .98713 .98745 .98778 .98809 .98840 .98870 .98899
2.3 .98928 .98956 .98983 .920097 .920358 .920613 .920863 .921106 .921344 .921576
2.4 .921802 .922024 .922240 .922451 .922656 .922857 .923053 .923244 .923431 .923613
2.5 .923790 .923963 .924132 .924297 .924457 .924614 .924766 .924915 .925060 .925201
2.6 .925339 .925473 .925604 .925731 .925855 .925975 .926093 .926207 .926319 .926427
2.7 .92
6533 .92
6636 .92
6736 .92
6833 .92
6928 .92
7072 .92
7110 .92
7197 .92
7282 .92
7365
2.8 .927445 .927523 .927599 .927673 .927744 .927814 .927882 .927948 .928012 .928074
2.9 .928134 .928193 .928250 .928305 .928359 .928411 .928462 .928511 .928559 .928605
3.0 .92
8650 .92
8694 .92
8736 .92
8777 .92
8817 .92
8856 .92
8893 .92
8930 .92
8965 .92
8999
3.1 .930324 .930646 .930957 .931260 .931553 .931836 .932112 .932378 .932636 .932886
486
3.2 .93
3129 .93
3363 .93
3590 .93
3810 .93
4024 .93
4230 .93
4429 .93
4623 .93
4810 .93
4991
3.3 .935166 .935335 .935499 .935658 .935811 .935959 .936103 .936242 .936376 .936505
3.4 .93
6631 .93
6752 .93
6869 .93
6982 .93
7091 .93
7197 .93
7299 .93
7398 .93
7493 .93
7585
3.5 .937674 .937759 .937842 .937922 .937999 .938074 .938146 .938215 .938282 .938347
3.6 .938409 .938469 .938527 .938583 .938637 .938689 .938739 .938787 .938834 .938879
3.7 .938922 .938964 .940039 .940426 .940799 .941158 .941504 .941838 .942159 .942568
3.8 .942765 .943052 .943327 .943593 .943848 .944094 .944331 .944558 .944777 .944988
3.9 .94
5190 .94
5385 .94
5573 .94
5753 .94
5926 .94
6092 .94
6253 .94
6406 .94
6554 .94
6696
4.0 .946833 .946964 .947090 .947211 .947327 .947439 .947546 .947649 .947748 .947843
4.1 .947934 .948022 .948106 .948186 .948263 .948338 .948409 .948477 .948542 .948605
4.2 .94
8665 .94
8723 .94
8778 .94
8832 .94
8882 .94
8931 .94
8978 .95
0226 .95
0655 .95
1066
4.3 .951460 .951837 .952199 .952545 .952876 .953193 .953497 .953788 .954066 .954332
4.4 .954587 .954831 .955065 .955288 .955502 .955706 .955902 .956089 .956268 .956439
4.5 .956602 .956759 .956908 .957051 .957187 .957318 .957442 .957561 .957675 .957784
4.6 .95
7888 .95
7987 .95
8081 .95
8172 .95
8258 .95
8340 .95
8419 .95
8494 .95
8566 .95
8634
4.7 .958699 .958761 .958821 .958877 .958931 .958983 .960302 .960789 .961235 .961661
4.8 .96
2067 .96
2453 .96
2822 .96
3173 .96
3508 .96
3827 .96
4131 .96
4420 .96
4696 .96
4958
4.9 .965208 .965446 .965673 .965889 .966094 .966289 .966475 .966652 .966821 .966981
 (z) z
0.60 0.253
0.70 0.524
0.80 0.842
0.90 1.282
0.95 1.645
0.99 2.326
0.999 3.090
0.9999 3.719
0.99999 4.27
0.999999 4.75
0.9999999 5.20
0.99999999 5.61
0.999999999 6.00
0.9999999999 6.36
Chú ý:  (-z) =  (z);  (3) = 0.92
8650 = 0.998650
487
TÀI LIỆU THAM KHẢO
1. Fisher Ronald A. Design of Experiments, Hafner press, 1971. London.
2. Plackett R. L. and Burman J. P., The Design of Optimum Multifactorial
Experiments, Biometrika. Vol. 33, No. 4 (Jun., 1946), pp. 305-325 (21 pages),
Published By: Oxford University Press.
3. William G. Cochran, Gertrude M. Cox., Experimental Designs, John Wiley,
New York, 1958.
4. Douglas C. Montgomery, Design and Analysis of Experiments, John Wiley
& Sons; 10 edition, 2019.
5. Antony Jiju, Design of Experiments for Engineers and Scientists Publisher:
Butterworth-Heinemann, 2007.
6. Cox D.R. and N. Reid (Author), The Theory of the Design of Experiments
CRC, 1 edition, June 6, 2000.
7. John A. Cornell &I. J. Good, The Mixture Problem for Categorized
Components, Journal of the American Statistical Association, Volume 65,
1970, Issue 329.
8. Henry Scheffé, Experiments with Mixtures, Journal of the Royal Statistical
Society: Series B (Methodological), July 1958.
9. Henry Scheffé, The Simplex‐Centroid Design for Experiments with
Mixtures, Journal of the Royal Statistical Society: Series B
(Methodological), July 1963.
10. Dean A. , D.Voss, Design and Analysis of Experiments, Springer. 2002.
11. Funkenbusch P.D., Practical Guide to Designed Experiments, Marcel
Decker. 2005.
12. Goupy J., Introduction to Design of experiments, SAS Publishing. 2007.
13. Hinkelmann K., Design and analysis of experiments: Tom 1 Introduction to
Experimental Design, Tom 2 Advanced Experimental Design. Wiley, 2007.
14. Lorenzen Thomas, Anderson Virgil, Design of Experiments Statistics: a
Series of Textbooks and Monographs, 1993.
15. Lyman Ott R., Statistical Methods and Data Analysis, Duxbury, 2001.
16. Nguyễn Cảnh, Quy hoạch thực nghiệm, NXB ĐHQG TP HCM, 2004.
17. Raymond H. Myers, Douglas C. Montgomery, Response Surface
Methodology: Process and Product Optimization Using Designed
Experiments. Wiley-Interscience, 2 edition (February 5, 2002).
488
18. Володарский Е. Т. Планирование Организация Измерительного
эксперимента. Вiщa школа, 1987.
19. Нгуен Х.Л., Исследование рациональных режимов обработки
древесины методом фрезерования, БГТУ, Минск 1992.
20. Новик Ф. С., Арсов Я. Б. Оптимизация процессов технологии металлов
методами планирования экспериментов. М.: Машиностроение; София:
Техника, 1980. — 304 с.
21. Рыков В. В., Иткин В. Ю. Математическая статистика и
планирование эксперимента. М.: Российский государственный ун-т
нефти и газа им. И. М. Губкина, 2008. - 210 с.
22. Фаддеев М. А. Элементарная обработка результатов, 2002.
23. Хамханов К. М. Основы планирования эксперимента. 2001.
24. Ящерицын П. И., Махаринский Е. И., Планироевание эксперимента в
машиностроении, Выcшейшая школа, 1992.
25. Mathews, Paul G., Design of experiments with MINITAB, American Society
for Quality, Quality Press, 2005.
26. Ахназарова С.Л., Кафаров В.В. - Методы оптимизации эксперимента в
химической технологии,1985, Высшая школа.
27. Ravindran A., Engineering Optimization, 1940: International Secretariat,
Institute of Pacific Relations.
28. Raphael T. Haftka and Zafer Gurdal, Elements of Structural Optimization,
1992, Kluwer Academic Publishers.
29. Зедгинидзе И.Г. Планирование эксперимента для исследования
многокомпонентных систем. - М.: Наука, 1976. - 390 с.
30. Пижурин А.А. Основы научных исследований в деревообработке:
Учебник для вузов /А.А. Пижурин, А.А. Пижурин. - М.: ГОУ ВПО
МГУЛ, 2005. - 305 с.
31. Ranjit K. Roy, A primer on the Taguchi method, 2010, Society of
Manufacturing Engineers.
32. Krishnaiah K. and Shahabudeen P., Applied design of experiments and
Taguchi methods, 2012 by PHI Learning Private Limited, New Delhi.
33. Trần Kim Liên, Phạm Hồng Hải, Đỗ Quang Kháng. Áp dụng phương pháp
quy hoạch thực nghiệm trong nghiên cứu chế tạo vật liệu blend ba cấu tử
trên cơ sở NBR – PVC – CR. Tạp chí Khoa học và Công nghệ 49 (6) (2011)
39-45.
489
34. Tran Van Thuy and Nguyen Huu Loc, Investigation on influence of cutting
parameters on spindle vibration of CNC wood milling machine, in MATEC
Web of Conferences, 2018, p. 01007.
35. Nguyễn Hữu Lộc, Lê Thanh Duy, Nghiên cứu ảnh hưởng các thông số đến
hiệu suất bộ truyền bánh răng sử dụng phương pháp Taguchi, Tạp chí Cơ
khí Việt Nam, Số đặc biệt, 12, 2021.
36. Nguyen Huu Loc, Le Thanh Duy, Using the Box–Behnken Response Surface
Method to Study Parametric Influence to Improve the Efficiency of Helical
Gears, October 2021, Machines 9(11)(264, 2021).
37. Nguyen Huu Loc and Trinh Q. H., Optimization of cutting parameters on
surface roughness and productivity when milling wood materials, Journal of
Machine Engineering, 2021, Vol. 21, No. 3, 5 – 23.
38. Nguyen Huu Loc, Trinh Q. H., 2021, Study the Surface and Chip Formation
of Wood Materials by Milling Method, Materials Science Forum, Vol. 1047,
pp 74-81.
39. Nguyen Huu Loc, Tran Van Thuy, Applying FCCCD Response Surface
Method In Studying The Cutting Power Of The Wood Milling Machine,
Solid State Phenomena, Vol. 330, pp. 25-31, 2022.
40. Nguyen Huu Loc, 2021, Experimental Study of Tool Wear when Milling
Tropical Wood with Various Tool Materials, Key Engineering Materials.
Vol.904: p.260-267.
41. Nguyễn Hữu Lộc, Trần Văn Thùy, Tối ưu kết cấu máy CNC kiểu giàn sử
dụng phương pháp giải thuật di truyền, Hội nghị khoa học và công nghệ
Toàn quốc về Cơ khí lần thứ V - VCME 2018, 2018.
42. Nguyễn Hữu Lộc, Thiết kế và phân tích hệ thống cơ khí theo độ tin cậy, Nhà
xuất bản Quốc Gia TP Hồ Chí Minh, 2015.
43. Mitchell Melanie, An introduction to genetic algorithms, MIT Press, 1999.
44. Jenkins, W., Structure Optimization With the Genetic Algorithm, Structure
Engineering, 1991, pp. 418-422.
45. Shape Optimization Method Based on a Genetic Algorithm, Struct.
Multidiscip. Optim., 2001, pp. 57-64.
46. Koza, John R., Genetic Programing: On the programming of Computer by
Means of Natural Selection, Cambridge, 1992.
47. Dmitrij Sesok, and Rimantas Belevicius, Use of genetic algorithm in topology
optimization of truss structures, ISSN 1392-1207, Mechanika, 2007.
48. Dmitrij Sesok, and Rimantas Belevicius, Use of genetic algorithm in
topology optimization of truss structures, ISSN 1392-1207. Mechanika,
2007.
490
49. Nguyễn Hữu Lộc, Nguyễn Như Ý, Thiết kế tối ưu kết cấu, NXB Đại học
Quốc Gia TP Hồ Chí Minh 2018.
50. Nguyen Huu Loc, Nguyen P. H., Utilizing response surface methods designs
for optimization of technological parameters on the vibration amplitude of
CNC router spindle, ASEAN Engineering Journal, Vol 11 No 1 (2021), e-
ISSN 2586-9159 p. 34.
51. Getting Started with Minitab 17, 2016 by Minitab Inc.
52. https://developpaper.com/machine-learning-gradient-descent-method/
53. https://www.weibull.com/hotwire/issue180/hottopics180.htm. Using
Mixture Designs in DOE++

Giáo trình quy hoạch và phân tích thực nghiệm.pdf

  • 1.
    ĐẠI HỌC QUỐCGIA THÀNH PHỐ HỒ CHÍ MINH TRƯỜNG ĐẠI HỌC BÁCH KHOA Nguyễn Hữu Lộc Giáo trình QUY HOẠCH VÀ PHÂN TÍCH THỰC NGHIỆM NHÀ XUẤT BẢN ĐẠI HỌC QUỐC GIA THÀNH PHỐ HỒ CHÍ MINH - 2021
  • 2.
    3 MỤC LỤC LỜI NÓIĐẦU 7 BẢNG ĐỐI CHIẾU THUẬT NGỮ ANH – VIỆT VÀ KÝ HIỆU 9 Chương 1 GIỚI THIỆU 15 1.1. Các bài toán quy hoạch thực nghiệm 16 1.2. Trình tự thực hiện quy hoạch thực nghiệm 18 1.3. Các đại lượng ngẫu nhiên 19 Chương 2 XỬ LÝ CÁC KẾT QUẢ THỐNG KÊ BAN ĐẦU VÀ CHỌN MÔ HÌNH PHƯƠNG TRÌNH HỒI QUY 24 2.1. Khái niệm 25 2.2. Giá trị trung bình và độ lệch chuẩn 25 2.3. Tính khoảng tin cậy của kỳ vọng 33 2.4. Xác định số thí nghiệm lặp 37 2.5. Loại bỏ các quan sát có sai số lớn 38 2.6. Kiểm tra giả thuyết về tính đồng nhất hai phương sai 39 2.7. Kiểm tra tính đồng nhất vài phương sai theo mẫu có số lượng giống nhau 41 2.8. Kiểm tra tính đồng nhất các phương sai theo mẫu có số lượng khác nhau 43 2.9. Phân tích tương quan 45 2.10. Chọn mô hình phương trình hồi quy 53 2.11. Sử dụng Minitab xử lý dữ liệu thống kê 54 Bài tập 68 Chương 3 PHƯƠNG TRÌNH BÌNH PHƯƠNG NHỎ NHẤT 79 3.1. Phương trình bậc nhất với một nhân tố 81 3.2. Phương trình hồi quy bậc cao cho một nhân tố 85 3.3. Phương pháp bình phương nhỏ nhất nhiều nhân tố 89 3.4. Phương trình hồi quy nhiều nhân tố dạng ma trận 95 3.5. Phương trình hồi quy dạng đa thức bậc cao 99 3.6. Phương trình hồi quy có dạng bất kỳ được tuyến tính hóa 100 3.7. Sử dụng Minitab 103 Bài tập 107
  • 3.
    4 Chương 4 PHÂNTÍCH PHƯƠNG SAI (ANOVA) PHƯƠNG TRÌNH HỒI QUY 113 4.1. Phương sai tái hiện 114 4.2. Đánh giá độ chính xác, ý nghĩa các hệ số phương trình hồi quy và phân tích kết quả 118 4.3. Kiểm tra tính thích hợp phương trình hồi quy 122 4.4. Ví dụ xử lý kết quả nghiên cứu thực nghiệm 126 4.5. R bình phương (R-Square) 131 Bài tập 133 Chương 5 QUY HOẠCH THỰC NGHIỆM TOÀN PHẦN VÀ RIÊNG PHẦN 134 5.1. Quy hoạch thực nghiệm nhân tố toàn phần (TNT) 135 5.2. Tính toán hệ số hồi quy 141 5.3. Tính tương tác các nhân tố theo kết quả TNT 2k 145 5.4. Phân tích thống kê mô hình hồi quy thu được theo TNT 148 5.5. Thực nghiệm nhân tố riêng phần (TNR) 153 5.6. Thực hiện TNT và TNR khi có sai lệch giá trị các mức nhân tố với các giá trị cho trước 167 5.7. Ứng dụng thực nghiệm nhân tố toàn phần trong thiết kế 170 5.8. Ví dụ sử dụng Minitab 172 Bài tập 185 Chương 6 QUY HOẠCH THỰC NGHIỆM BẬC 2 189 6.1. Giới thiệu 190 6.2. Quy hoạch hỗn hợp đối xứng bậc 2 dạng FCCCD 191 6.3. Quy hoạch hỗn hợp bậc 2 quay đều 214 6.4. Quy hoạch hỗn hợp bậc 2 trực giao 227 6.5. Quy hoạch đối xứng không hỗn hợp Box-Behnken 238 6.6. Quy hoạch đối xứng không hỗn hợp dạng D 249 6.7. Quy hoạch thực nghiệm bậc 2 dạng 3k 260 6.8. Xác định số thí nghiệm lặp từ độ chính xác cho trước phương trình hồi quy 273 6.9. Phân tích mặt đáp ứng 277 6.10. Quy hoạch thực nghiệm bậc 2 trong thiết kế 279 6.11. Sử dụng Minitab trong quy hoạch thực nghiệm bậc 2 278
  • 4.
    5 Bài tập 293 Chương7 PHƯƠNG PHÁP TAGUCHI 302 7.1. Giới thiệu 303 7.2. Ma trận quy hoạch theo phương pháp Taguchi 307 7.3. Sử dụng Minitab 313 7.4. Các ví dụ ứng dụng phương pháp Taguchi 315 Bài tập 324 Chương 8 QUY HOẠCH HỖN HỢP THÀNH PHẦN – TÍNH CHẤT 326 8.1. Giới thiệu 327 8.2. Quy hoạch Simplex Lattice 329 8.3. Quy hoạch Simplex Centroid 336 8.4. Quy hoạch Simplex Axial 339 8.5. Quy hoạch Extreme Vertex 341 8.6. Quy hoạch thực nghiệm tối ưu 348 Bài tập 349 Chương 9 QUY HOẠCH THỰC NGHIỆM CHỌN LỌC 350 9.1. Quy hoạch thực nghiệm bão hòa 351 9.2. Sử dụng quy hoạch Plackett-Burman 354 9.3. Phương pháp cân bằng ngẫu nhiên 363 9.4. Phương pháp lấy ý kiến chuyên gia 367 Bài tập 370 Chương 10 THIẾT LẬP BÀI TOÁN TỐI ƯU VÀ TỐI ƯU TUYẾN TÍNH 372 10.1. Giới thiệu thiết kế tối ưu kết cấu 373 10.2. Các thành phần bài toán thiết kế tối ưu 375 10.3. Các phương pháp giải bài toán thiết kế tối ưu 379 10.4. Kết hợp giải bài toán tối ưu trong quy hoạch thực nghiệm 383 Chương 11 PHƯƠNG PHÁP QUY HOẠCH THỰC NGHIỆM VÀ TỐI ƯU MỘT NHÂN TỐ 385 11.1. Giới thiệu 387 11.2. Phương pháp chia khoảng 391
  • 5.
    6 11.3. Phương phápchia đôi 393 11.4. Phương pháp mặt cắt vàng 396 11.5. Phương pháp Fibonacci 405 11.6. Các phương pháp khác 408 Bài tập 417 Chương 12 PHƯƠNG PHÁP QUY HOẠCH THỰC NGHIỆM VÀ TỐI ƯU NHIỀU NHÂN TỐ 419 12.1. Phương pháp tìm kiếm theo tọa độ 421 12.2. Phương pháp độ dốc nhất 424 12.3. Phương pháp đơn hình 437 Bài tập 454 Chương 13 BÀI TOÁN TỐI ƯU PHI TUYẾN NHIỀU BIẾN CÓ RÀNG BUỘC 457 13.1. Giới thiệu 458 13.2. Phương pháp đồ thị 459 13.3. Phương pháp nhân tử Lagrange 463 13.4. Điều kiện Kuhn-Tucker 466 13.5. Bài toán quy hoạch động 468 13.6. Các giải thuật giải bài toán tối ưu 469 Bài tập 471 Phần Phụ lục 479 TÀI LIỆU THAM KHẢO 487
  • 6.
    7 Lời nói đầu Quyhoạch thực nghiệm và thiết kế tối ưu là công cụ rất hữu ích trong việc giải quyết các vấn đề kỹ thuật, tối ưu hóa sản phẩm, quá trình và hệ thống,… theo các mô hình thực nghiệm. Ngày nay quy hoạch thực nghiệm được ứng dụng trong nhiều lãnh vực như kinh tế, công nghiệp, xã hội,... Ngoài ra còn ứng dụng rộng rãi trong thiết kế để thay thế các mô hình giải tích phức tạp bằng các đa thức bậc nhất hoặc bậc hai nhằm giảm bớt thời gian tính toán… Giáo trình Quy hoạch và phân tích Thực nghiệm biên soạn phục vụ cho đào tạo cao học và đại học, cũng như hỗ trợ các cán bộ kỹ thuật để sử dụng phương pháp quy hoạch thực nghiệm và tối ưu trong nghiên cứu và đào tạo. Sách đã được xuất bản đầu tiên năm 2011 và nay bổ sung, hoàn thiện thành giáo trình. Sách bao gồm 13 chương, trình bày những vấn đề liên quan quy hoạch thực nghiệm và tối ưu hóa: Chương 1. Tổng quan Chương 2. Xử lý kết quả thống kê ban đầu và chọn mô hình phương trình hồi quy Chương 3. Phương pháp bình phương nhỏ nhất Chương 4. Đánh giá các hệ số và kiểm tra tính thích hợp phương trình hồi quy Chương 5. Quy hoạch thực nghiệm toàn phần và riêng phần Chương 6. Các phương pháp quy hoạch thực nghiệm bậc hai Chương 7. Phương pháp Taguchi Chương 8. Quy hoạch hỗn hợp (thành phần – tính chất) Chương 9. Quy hoạch thực nghiệm chọn lọc Chương 10. Bài toán tối ưu và tối ưu tuyến tính nhiều biến Chương 11. Tối ưu phi tuyến một biến không ràng buộc Chương 12. Tối ưu phi tuyến nhiều biến không ràng buộc Chương 13. Tối ưu phi tuyến nhiều biến có ràng buộc Các ví dụ trong sách được tích lũy từ quá trình giảng dạy, nghiên cứu, hướng dẫn sinh viên đại học, cao học,… hoặc tham khảo từ các tài liệu khác. Cuối mỗi chương có bài tập và bài tập lớn. Để nắm bắt được những
  • 7.
    8 khái niệm cơbản của phương pháp này, bạn đọc cần phải có kiến thức cơ sở về xác suất và thống kê cũng như có nền tảng toán học. Ngoài ra để xử lý các kết quả thực nghiệm ta còn có thể sử dụng rất nhiều phần mềm để hỗ trợ cho phương pháp này, ví dụ Design-Expert, Minitab, Statistica, Ms Excel, Matlab,… Trong giáo trình này, chúng tôi sử dụng phần mềm Minitab. Tác giả xin thành thật cảm ơn Nhà xuất bản Đại học Quốc gia TP Hồ Chí Minh tạo nhiều điều kiện để xuất bản giáo trình này. Cám ơn PGS.TS Phan Đình Huấn, PGS.TS Nguyễn Đình Huy, PGS.TS Đặng Vũ Ngoạn thẩm định giáo trình. Cám ơn Tổ Giáo trình Trường Đại học Bách khoa – ĐHQG-HCM, Bộ môn Thiết kế máy và Khoa Cơ khí. Cảm ơn các bạn có ý kiến đóng góp, phê bình những thiếu sót của giáo trình để cho các lần xuất bản sau, sách được hoàn thiện hơn. Mọi ý kiến đóng góp, phê bình và thắc mắc xin gửi về địa chỉ: Nguyễn Hữu Lộc, Bộ môn Thiết kế máy, Khoa Cơ khí, Trường Đại học Bách khoa – ĐHQG-HCM, 268 Lý Thường Kiệt, Phường 14, Quận 10. hoặc liên hệ trực tiếp qua email: nhlcad@yahoo.com, nhloc@hcmut.edu.vn PGS. TS Nguyễn Hữu Lộc
  • 8.
    9 BẢNG ĐỐI CHIẾUTHUẬT NGỮ ANH – VIỆT VÀ KÝ HIỆU TT Anh Việt Ký hiệu Minitab 1 1-tailed test Kiểm nghiệm 1 - đuôi 2 2- tailed test Kiểm nghiệm 2 - đuôi 3 2-way interaction Tương tác đôi 2-Way Interaction 4 Abstract Tóm tắt 5 Adjusted mean squares Hiệu chỉnh bình phương trung bình Adj MS 6 Adjustment to the sum of squares Hiệu chỉnh tổng bình phương Adj SS 7 Analysis of covariance Phân tích tương quan ANCOVA 8 Analysis of Mean Phân tích giá trị trung bình ANOM 9 Analysis of Variance Phân tích phương sai ANOVA 10 Balanced design Quy hoạch bão hòa 11 Bartlett's test Kiểm theo tiêu chuẩn Barlett 12 Binary blends Hỗn hợp 2 nhân tố 13 Box - Behnken design Quy hoạch bậc hai Box-Behnken BBD 14 Boxplot of data Đồ thị dữ liệu dạng hộp 15 Center point Điểm ở tâm 16 Centroid Trọng tâm 17 Cochran's C test Kiểm theo chuẩn Corchan 18 Coded coefficients Các hệ số PTHQ dạng mã hóa 19 Coefficient of variation Hệ số biến phân 20 Confidence interval Khoảng tin cậy CI 21 Control variable Biến điều khiển 22 Coordinate search method Phương pháp tìm kiếm theo tọa độ 23 Corner point Điểm góc
  • 9.
    10 24 Cubic searchmethod Phương pháp tìm kiếm bậc 3 25 Cumulative distribution function Hàm phân phối tích lũy F(x) CDF 26 Cumulative percent Phần trăm tích lũy 27 D - optimal designs Quy hoạch dạng D 28 Degree of Freedom Bậc tự do DF 29 Design of experments Quy hoạch thực nghiệm QHTN DOE 30 Double blend Hỗn hợp đôi 31 Equality constraints Ràng buộc đẳng thức 32 Error Sai số Error 33 Estimation Ước lượng 34 Extreme vertex Đỉnh cực trị 35 Face Centered Central Composite Design Quy hoạch hỗn hợp đối xứng dạng FCCCD FCCCD 36 F test F test F 37 Factor Nhân tố 38 Factorial design Thực nghiệm nhân tố toàn phần TNT 39 First quartile Tứ phân vị thứ nhất 40 Fisher value, F-value Giá trị Fisher F- Value F- Value 41 Fit Giá trị theo PTHQ Fit 42 Fractional factorial design Thực nghiệm nhân tố riêng phần TNR 43 F-test of equality of variances Kiểm tra giả thuyết về tính đồng nhất các phương sai F-test F 44 F-test of the equality of two variances Kiểm tra giả thuyết về tính đồng nhất hai phương sai F-test F 45 Full Factorial Array 3 Levels Quy hoạch dạng 3k 46 Full factorial design Thực nghiệm nhân tố toàn phần TNT 47 Genetic Algorithm Giải thuật di truyền GA 48 Golden section method Phương pháp mặt cắt vàng
  • 10.
    11 49 Gradient descent method Phương phápđộ dốc nhất 50 Higher is better Lớn hơn tốt hơn 51 Hill Climbing Giải thuật leo đồi 52 Histogam of data Biểu đồ dữ liệu phân bố 53 Histogam of data, with normal curve Biểu đồ dữ liệu phân bố với đường cong chuẩn 54 Hooke-jeeves pattern search method Phương pháp tìm kiếm theo mẫu Hooke-Jeeves 55 Interquartile Tứ phân vị thứ tư 56 Inequality constraints Ràng buôc bất đẳng thức 57 Interval halving method Phương pháp chia đôi 58 Kuhn–Tucker conditions Điều kiện Kuhn– Tucker 59 Kurtosis Độ nhọn 60 Lack-of-Fit Không phù hợp Lack-of- Fit 61 Lack-of-fit error Sai lệch không phù hợp 62 Large residual Sai lệch lớn giữa thực nghiệm và PTHQ Large residual 63 Least squares method Phương pháp bình phương nhỏ nhất PP BPNN 64 Left-tailed test Kiểm nghiệm đuôi trái 65 Level Mức giá trị 66 Linear regression Hồi quy bậc nhất 67 Lower is better Nhỏ hơn tốt hơn 68 Mathematical expectation Kỳ vọng toán m 69 Maximum Giá trị lớn nhất max 70 Mean Trung bình Mean 71 Mean of Square Trung bình bình phương MS 72 Mean squared error Phương sai tái hiện MSE 73 Mean Sum of Variance Trung bình bình phương MSV 74 Mean Sum-of-square Treatment Tổng bình phương “điều trị” trung bình MST 75 Median Trung vị Median 76 Method of Lagrange Multipliers Phương pháp nhân tử Lagrange 77 Minimum Giá trị nhỏ nhất min
  • 11.
    12 78 Mixture design Quyhoạch thành phần hỗn hợp 79 Mode Mốt (Yếu vị) Mode 80 Multiple regression Hệ số tương quan hồi quy nhiều lần Multiple r 81 Nominal is best Đánh giá ảnh hưởng của các nhân tố 82 Normal density functions Hàm mật độ phân phối chuẩn 83 Null hypothesis Giả thuyết Null 84 Number of coeficients Số hệ số phương trình hồi quy 85 Objective function Hàm mục tiêu 86 Orthogonal Central Composite Design Quy hoạch hỗn hợp trực giao Box - Hunter 87 P- value Giá trị P P- Value 88 Pattern Search Method Phương pháp tìm kiếm theo mẫu 89 Pattern Move Hướng nhảy theo mẫu 90 Pattern move point Điểm di chuyển theo mẫu 91 Percentile Điểm phân vị z 92 Plackett–Burman designs Quy hoạch Plackett– Burman PBD 93 Predicted R2 R bình phương dự đoán R-sq (pred) 94 Probability density function Hàm mật độ phân phối f(x) PDF 95 Quadratic estimation methods Phương pháp xấp xỉ đa thức bậc 2 96 R square adj R bình phương hiệu chỉnh rhc R-sq (adj) 97 R square R bình phương R-sq 98 Random balance designs Phương pháp cân bằng ngẫu nhiên 99 Random variable Đại lượng ngẫu nhiên 100 Range Miền giá trị 101 Regression analysis Phân tích hồi quy
  • 12.
    13 102 Regression equationPhương trình hồi quy PTHQ 103 Rejection region Miền bác bỏ 104 Replicates Thí nghiệm lặp n 105 Residual Sai lệch giữa thực nghiệm và PTHQ Resid 106 Residual sum of squares Phương sai thí nghiệm RSS 107 Response Thông số đầu ra 108 Right-tailed test Kiểm nghiệm đuôi phải 109 Robust design Thiết kế bền vững 110 Rotatability and orthogonality Quay và trực giao 111 Rotatable Central Composite Circumscribed design Quy hoạch hỗn hợp đối xứng quay đều Box- Wilson 112 Sample size Số lượng mẫu 113 Screening design QHTN chọn lọc 114 Signal to Noise Ratio Tín hiệu/nhiễu S/N S/N 115 Simplex Đơn hình 116 Simplex axial Trục đơn hình 117 Simplex centroid Tâm khối đơn hình 118 Simplex lattice Mạng đơn hình 119 Simplex method Phương pháp đơn hình 120 Simplex search method Phương pháp tìm kiếm đơn hình 121 Simulated Annealing Mô phỏng ủ (luyện) thép SA 122 Skewness Độ lệch 123 Smaller is better Nhỏ hơn tốt hơn 124 Standard deviation Độ lệch chuẩn S StDev 125 Standard error Sai số chuẩn SE mean 126 Standard error of the coefficient Sai lệch chuẩn các hệ số SE Coef. 127 Standard Error of the mean Sai số chuẩn SEM SE mean 128 Star points Các điểm sao 2k 129 Statistical estimation Ước lượng thống kê
  • 13.
    14 130 Sum Tổngsố 131 Sum of Square Tổng bình phương SS 132 Sum of squared residuals Tổng bình phương phần dư SSR 133 Sum of Square Tổng bình phương SS 134 Sum-of-Square between Column Tổng bình phương theo cột SSC 135 Sum-of-Square due to Error Tổng bình phương sai lệch SSE 136 Sum-of-Square of Treatment Tổng bình phương “điều trị” SST 137 Sum-of-Square of treatment in Rows Tổng bình phương “điều trị” theo hàng SSR 138 Testing for lack of fits Tính tương thích phương trình hồi quy 139 The Method of Least Squares Phương pháp bình phương nhỏ nhất PP BPNN 140 The prediction error sum of squares Dự đoán tổng sai số sai lệch bình phương trung bình PRESS 141 The standard error of the coefficient Sai số chuẩn của hệ số SE 142 Third quartile Tứ phân vị thứ ba 143 Three-level full factorial designs Quy hoạch 3k 144 Trimmed mean Trung hình hiệu chỉnh 145 T-value Giá trị Student tính toán T-Value T-Value 146 Uncoded coefficients Các hệ số tự nhiên 147 Variable Biến Var 148 Variance Phương sai D 149 Variance-inflating factor Hệ số phóng đại phương sai VIF 150 Vertex Đỉnh
  • 14.
    GIỚI THIỆU 15 Chương1 GIỚI THIỆU Chương này gồm các nội dung sau: 1.1. Các bài toán quy hoạch thực nghiệm 1.2. Trình tự thực hiện quy hoạch thực nghiệm 1.3. Các đại lượng ngẫu nhiên
  • 15.
    16 CHƯƠNG 1 Quyhoạch thực nghiệm (QHTN) được giới thiệu lần đầu tiên vào năm 1935 bởi Ronald A. Fisher trong tài liệu Design of Experiments [1]. Sau đó vài dạng quy hoạch được giới thiệu bởi Raj Chandra Bose và K. Kishen vào năm 1940 tại Indian Statistical Institute và quy hoạch mà mọi người chú ý đến là quy hoạch Plackett-Burman được đăng trên tạp chí Biometrika vào năm 1946 [2]. Cùng lúc đó C. R. Rao giới thiệu khái niệm ma trận trực giao như là một dạng QHTN. Khái niệm này đóng vai trò quan trọng trong việc phát triển phương pháp Taguchi (Genichi Taguchi thăm Viện thống kê Ấn Độ vào năm 1950). Vào năm 1950, Gertrude Mary Cox và William Gemmell Cochran xuất bản sách “Experimental Designs” và đây là sách tham khảo chính về QHTN trong nhiều năm [3]. Các nhà khoa học đóng góp đáng kể vào lãnh vực QHTN bao gồm C. S. Peirce, R. A. Fisher, F. Yates, C. R. Rao, R. C. Bose, J. N. Srivastava, Shrikhande S. S., D. Raghavarao, W. G. Cochran, O. Kempthorne, W. T. Federer, A. S. Hedayat, J. A. Nelder, R. A. Bailey, J. Kiefer, W. J. Studden, F. Pukelsheim, D. R. Cox, H. P. Wynn, A. C. Atkinson, G. E. P. Box và G. Taguchi. Trong đó, sách của D. Montgomery và R. Myers là tài liệu được nhiều sinh viên và các nhà thực nghiệm sử dụng [4]. 1.1. CÁC BÀI TOÁN QUY HOẠCH THỰC NGHIỆM QHTN đóng vai trò quan trọng trong khoa học, công nghệ, kỹ thuật, kinh tế và dịch vụ,… để thiết kế và phát triển sản phẩm, quy trình mới, nâng cao chất lượng sản phẩm hiện có, quản lý quá trình,… Trong thiết kế kỹ thuật, QHTN được ứng dụng: - Đánh giá và so sánh các chỉ tiêu thiết kế. - Lựa chọn và ước lượng thành phần vật liệu. - Chọn các thông số thiết kế để sản phẩm làm việc tối ưu, bền vững. - Xác định các nhân tố công nghệ ảnh hưởng chất lượng gia công sản phẩm. - Nghiên cứu tạo sản phẩm mới. Ứng dụng QHTN trong thiết kế và phát triển sản phẩm làm cho sản phẩm được chế tạo dễ dàng hơn, đạt độ tin cậy cao, giảm chi phí, giảm thời gian thiết kế và phát triển sản phẩm,… GIỚI THIỆU
  • 16.
    GIỚI THIỆU 17 Cụthể ta sử dụng QHTN để giải quyết các bài toán sau: 1. QHTN với mục đích thu được mô hình toán học của đối tượng nghiên cứu (Hình 1.1). Hình 1.1 Mô hình nghiên cứu quá trình: X – các nhân tố đầu vào, Y – đối tượng nghiên cứu (đầu ra), G – các nhân tố nhiễu, không kiểm tra được… 2. QHTN chọn lọc (Screening design – Chương 9). Vì số nhân tố trong bài toán 1 không nên vượt quá 6-8, nếu không quá trình thực nghiệm sẽ tiến hành khó khăn do số lượng thực ngiệm lớn. Trong thực tế nhiều qui trình công nghệ hoặc bài toán thiết kế có đến vài chục đến vài trăm nhân tố ảnh hưởng. Tuy nhiên chỉ có vài nhân tố trong đó có ảnh hưởng lớn. Do đó đầu tiên ta chỉ xét ảnh hưởng các nhân tố này. Do đó ta tiến hành thực nghiệm theo 2 bước: bước 1 tiến hành xác định các nhân tố nào ảnh hưởng nhiều nhất – ta gọi là thực nghiệm chọn lọc, bước 2 ta tiến hành thực nghiệm đối với các biến quan trọng này và sử dụng QHTN. 3. QHTN để tìm nghiệm tối ưu (Chương 11 và 12). Mục tiêu thực nghiệm là tìm các giá trị nhân tố, mà khi đó đại lượng đầu ra của đối tượng đạt giá trị cực trị, tức là giá trị lớn nhất hoặc nhỏ nhất. Phương pháp QHTN với mục đích này cần phải có trình tự tiến hành đặc biệt. 4. QHTN với các nhân tố định tính. Các thực nghiệm với nhân tố định tính thực hiện theo từng nhóm riêng trong điều kiên không đồng nhất, hạn chế số thí nghiệm. 5. QHTN khi nghiên cứu thành phần hỗn hợp (Chương 8). Đối tượng nghiên cứu là hỗn hợp nhiều thành phần, các nhân tố sẽ là thành phần phần trăm trong hỗn hợp. Khi đó tổng của tất cả các nhân tố trên bằng 100 %, do đó các nhân tố là phụ thuộc mà không độc lập. 6. Trong tính toán thiết kế ta thay thế các hàm phức tạp bằng các đa thức nhờ phương pháp QHTN để dễ dàng giải các bài toán số (Chương 5 và 6).
  • 17.
    18 CHƯƠNG 1 1.2.TRÌNH TỰ THỰC HIỆN QUY HOẠCH THỰC NGHIỆM Thông thường QHTN bao gồm giải quyết các vấn đề lớn sau: - Tổ chức thực nghiệm (quy hoạch + thí nghiệm) – nghĩa là sử dụng cách thức tốt nhất để giải bài toán đặt ra thời gian và chi phí ít nhất, độ chính xác cao nhất. - Xử lý kết quả thực nghiệm để thu được nhiều thông tin nhất về đối tượng nghiên cứu. - Phân tích và giải thích và đánh giá các hiện tượng theo kết quả thực nghiệm. QHTN thực hiện theo trình tự (CDEA) sau: Các bước thực hiện QHTN với mục tiêu xây dựng mô hình toán (phương trình hồi quy) cho đối tượng nghiên cứu: 1. Chọn các nhân tố thay đổi, các nhân tố ổn định và các thông số đầu ra cho thực nghiệm. 2. Xác định miền giá trị các nhân tố – thực nghiệm thăm dò, Thực nghiệm chọn lọc xác định nhấn tố ảnh hưởng nhiều nhất (Chương 9). 3. Chọn mô hình phương trình hồi quy (Nghiên cứu tổng quan). 4. Chọn ma trận QHTN (Chọn ma trận X, tham khảo Chương 5 đến Chương 8). 5. Lập phương pháp (trình tự) tiến hành thực nghiệm. 6. Tiến hành các thí nghiệm thăm dò. Kiểm tra phân phối chuẩn thông số đầu ra. Xác định số thí nghiệm lặp trên mỗi thí nghiệm chính (Chọn n). 7. Tiến hành N thí nghiệm chính (Xác định giá trị đáp ứng Y bằng thực nghiệm). 8. Loại bỏ các quan sát sai số thô (Chương 2). Kiểm tra tính đồng nhất phương sai các thí nghiệm, tính toán phương sai tái hiện (khi không có các thí nghiệm lặp trên mỗi thí nghiệm chính thì ta thực hiện các thí nghiệm riêng để xác định giá trị này).
  • 18.
    GIỚI THIỆU 19 9.Tính toán hệ số hồi qui của mô hình toán (Chương 3, 5 đến 8). 10. Đánh giá giá trị của hệ số phương trình hồi quy. Bỏ qua các hệ số không ảnh hưởng và xác định lại các hệ số phương trình hồi quy (Chương 4). 11. Kiểm tra tính tương thích và hiệu quả của mô hình hồi quy (Chương 4). 12. Phân tích kết quả. 1.3. CÁC ĐẠI LƯỢNG NGẪU NHIÊN Đặc trưng một cách tương đối đầy đủ phân phối đại lượng ngẫu nhiên (random variable) bằng các tập hợp thống kê (Hình 1.2). Kỳ vọng toán (giá trị trung bình – mean), yếu vị (mốt - mode) và điểm trung vị (median), đặc trưng bởi vị trí các điểm tâm nhóm các đại lượng ngẫu nhiên theo trục số. Phương sai (variance), độ lệch chuẩn (standard deviation), hệ số biến phân (coefficient of variation), đặc trưng cho sự phân phối đại lượng ngẫu nhiên. x f(x) x R(x) x F(x) c) b) a) 1,0 0 0 0 1 2 3 Hình 1.2 Các đặc trưng số của tâm nhóm đại lượng ngẫu nhiên: 1- Điểm trung vị, 2- Mode; 3- Kỳ vọng toán Các đặc trưng được sử dụng trong lý thuyết thống kê (để xử lý các kết quả quan sát) và trong lý thuyết xác suất bao gồm: Kỳ vọng toán (giá trị trung bình) mx - là đặc tính chủ yếu và đơn giản nhất của đại lượng ngẫu nhiên X. Giá trị kỳ vọng toán theo kết quả quan sát đối với các đại lượng rời rạc cũng như liên tục được gọi là ước lượng (estimation) kỳ vọng toán hoặc ước lượng giá trị trung bình x . N i i 1 x x N   
  • 19.
    20 CHƯƠNG 1 hoặc m ii i 1 p x N   (1.1) trong đó: N - tổng số các quan sát; xi - giá trị thứ i đại lượng ngẫu nhiên; pi - số các giá trị xi giống nhau. Trong công thức đầu tiên ta xác định tổng của phần tử, trong trường hợp thứ hai pi các phần tử với các giá trị xi giống nhau. Khi số quan sát (thử nghiệm) đủ lớn ta có mx = x . Trong các bài toán xác suất người ta xác định kỳ vọng toán theo sự phụ thuộc vào hàm mật độ phân phối f(x) (đối với các giá trị liên tục) hoặc xác suất pi xuất hiện giá trị xi (đối với các đại lượng rời rạc). mx = xf(x)dx    ; mx = pixi (1.2) Phương sai (variance) đại lượng ngẫu nhiên - kỳ vọng toán của bình phương các sai lệch đại lượng ngẫu nhiên này so với kỳ vọng toán của nó. Ước lượng phương sai đại lượng ngẫu nhiên - giá trị trung bình bình phương hiệu số giữa giá trị đại lượng ngẫu nhiên và giá trị trung bình của chúng: Dx* =   N 2 i i 1 1 x x N 1     hoặc   N 2 i i i 1 1 g x x N 1     (1.3) Thuật ngữ “phương sai” có nghĩa là độ phân tán và đặc trưng bởi độ tản mạn (phân tán) đại lượng ngẫu nhiên. Đối với các đại lượng ngẫu nhiên liên tục: Dx = s2 =  2 x x-m f(x)dx    (1.4)
  • 20.
    GIỚI THIỆU 21 Đốivới các đại lượng ngẫu nhiên rời rạc: Dx =   m 2 i x i i 1 x m p    (1.5) Phương sai có thứ nguyên bằng bình phương đại lượng ngẫu nhiên. Để sử dụng thuận tiện hơn đặc trưng độ phân tán có cùng thứ nguyên với đại lượng ngẫu nhiên, người ta thường sử dụng đặc trưng là độ lệch chuẩn (standard deviation) là căn bậc hai của phương sai: S = x D (1.6) Để đánh giá độ phân tán nhờ vào một đại lượng không thứ nguyên người ta sử dụng hệ số biến phân (coefficient of variation) bằng tỉ số giữa độ lệch chuẩn và kỳ vọng toán, tức là: x S S v m x   (1.7) Phương sai và độ lệch chuẩn đặc trưng độ phân tán điển hình hơn các đại lượng khác như giá trị trung bình các đại lượng ngẫu nhiên. Điểm phân vị (z - Percentile) được gọi là giá trị của đại lượng ngẫu nhiên tương ứng với xác suất cho trước. Điểm phân vị tương ứng với xác suất 0,5 được gọi là điểm trung vị. Điểm trung vị đặc trưng cho vị trí của tâm nhóm đại lượng ngẫu nhiên. Diện tích đồ thị hàm mật độ phân phối được chia bởi trung vị thành hai phần bằng nhau (Hình 1.1). Để đặc trưng cho độ phân tán đại lượng ngẫu nhiên người ta sử dụng thêm sai lệch xác suất, bằng một nửa hiệu các điểm phân vị x0,75 và x0,25 tức là giá trị đại lượng ngẫu nhiên tương ứng với xác suất 0,75 và 0,25. Mode (yếu vị) đại lượng ngẫu nhiên được gọi là giá trị khi mà mật độ xác suất lớn nhất. Các đại lượng điểm trung vị và mode, tương tự như các đại lượng vừa liệt kê, được chuyển thành các thuật ngữ trong lý thuyết thống kê. Đối với các phân phối đối xứng (chẳng hạn phân phối chuẩn) thì kỳ vọng toán, mode và điểm trung vị trùng nhau.
  • 21.
    22 CHƯƠNG 1 Vídụ 1.1 Khi đo chiều dày lớp sơn của một chi tiết thu được các kết quả số (10 lần đo) h = 470, 354, 402, 434, 351, 413, 465, 448, 540, 393. Xác định giá trị trung bình h và độ lệch chuẩn S. Giải: Giá trị trung bình: N i i 1 h h 427 m N      Phương sai: Dx* =   N 2 i i 1 1 x x N 1     Hoặc theo công thức rút gọn: 2 2 i 2 x * h Nh S 3293 N D 1       Độ lệch chuẩn: 2 S S 57,4 m    Nếu biết giá trị trung bình mx và độ lệch chuẩn S, hàm mật độ phân phối có dạng: f(x) =      2 x 2 x m 2S 1 e S 2 (1.8) Dưới đây là kết quả đươc tính trên Minitab Variable N N* Mean SE Mean StDev Minimum Q1 Median Q3 Maximum C3 10 0 427.0 18.1 57.4 351.0 383.3 423.5 466.3 540.0 Hình 1.3 là ví dụ phân bố điểm thi Tốt nghiệp Phổ thông Trung học một số năm gần đây.
  • 22.
    GIỚI THIỆU 23 a)Phổ điểm thi môn Hóa học năm 2016 b) Phổ điểm các môn khối A00 năm 2020 Hình 1.3 Một số ví dụ phổ điểm thi tuân theo hàm mật độ phân bố
  • 23.
    24 CHƯƠNG 2 Chương2 XỬ LÝ CÁC KẾT QUẢ THỐNG KÊ BAN ĐẦU VÀ CHỌN MÔ HÌNH PHƯƠNG TRÌNH HỒI QUY Chương này gồm các nội dung sau: 2.1. Khái niệm 2.2. Giá trị trung bình và độ lệch chuẩn 2.3. Tính khoảng tin cậy của kỳ vọng 2.4. Xác định số thí nghiệm lặp 2.5. Loại bỏ các quan sát có sai số lớn 2.6. Kiểm tra giả thuyết về tính đồng nhất hai phương sai 2.7. Kiểm tra tính đồng nhất vài phương sai theo mẫu có số lượng giống nhau 2.8. Kiểm tra tính đồng nhất các phương sai theo mẫu có số lượng khác nhau 2.9. Phân tích tương quan 2.10. Chọn mô hình phương trình hồi quy 2.11. Sử dụng Minitab xử lý dữ liệu thống kê Bài tập
  • 24.
    XỬ LÝ CÁCKẾT QUẢ THỐNG KÊ BAN ĐẦU VÀ CHỌN MÔ HÌNH PT HỒI QUY 25 2.1. KHÁI NIỆM Đối tượng nghiên cứu thực nghiệm là nghiên cứu các ảnh hưởng khác nhau của các nhân tố lên đối tượng nghiên cứu. Các nhân tố có thể là nhân tố chính và phụ. Các nhân tố có giá trị thay đổi trong quá trình thực nghiệm được gọi là các nhân tố thay đổi. Thông thường kết quả đo sẽ có sai lệch với kết quả thật vì khi thực nghiệm ta chỉ xét đến ảnh hưởng của một số nhân tố. Sai số bao gồm sai số thô, sai số hệ thống và sai số ngẫu nhiên. Các thí nghiệm được tiến hành trong các điều kiện giống nhau, khi các giá trị các nhân tố chính không đổi được gọi là đồng nhất. Tính đồng nhất thực nghiệm là một trong những điều kiện quan trọng để ứng dụng các phương pháp xử lý thống kê các quan sát. Để đảm bảo tính đồng nhất các thí nghiệm thì mỗi loạt thí nghiệm được thực hiện trên một trang thiết bị như nhau, theo phương pháp như nhau, do một người nghiên cứu tiến hành và trong một thời gian cố định. Để thu được kết quả đáng tin cậy thì số thực nghiệm thực hiện phải tương đối lớn. 2.2. GIÁ TRỊ TRUNG BÌNH VÀ ĐỘ LỆCH CHUẨN Khi nghiên cứu, người thực hiện không có giá trị thực của các đặc trưng số của các đại lượng ngẫu nhiên, vì vậy phải ước lượng các đặc trưng ấy trên cơ sở các số liệu thí nghiệm. Kỳ vọng mx được ước lượng bằng giá trị trung bình x (khi số mẫu N đủ lớn), giá trị trung bình (mean) đặc trưng cho tâm nhóm hàm phân phối: N i i 1 x x m x N     (2.1) trong đó: xi - số đo đại lượng ngẫu nhiên x ở thí nghiệm thứ i; N - số lượng mẫu. Phương sai D (Variance) được xác định bằng phương sai mẫu: D = S2   N 2 2 i i 1 1 s x x N 1      (2.2) hoặc công thức: D= S2 2 N N N 2 2 2 2 i i i i 1 i 1 i 1 1 1 1 s x x x Nx N 1 N N 1                                       (2.3)
  • 25.
    26 CHƯƠNG 2 Độlệch chuẩn S D  (Standard Deviation - StDev) đặc trưng cho độ phân tán phân phối. Giá trị S càng lớn thì mức độ phân tán phân phối hay độ bất định của biến ngẫu nhiên càng rộng. Sai số chuẩn (Standard error of the mean – SEM – SE mean) được xác định theo công thức: S SEM N  Thông thường, khi đánh giá sự thay đổi các đại lượng ngẫu nhiên người ta sử dụng hệ số biến phân (Coefficient of variation): x S S v .100% .100% m x   (2.4) Với số lượng mẫu N lớn, để xác định giá trị trung bình my, độ lệch chuẩn S, biểu đồ phân phối, mật độ phân phối,… nếu tính thủ công người ta chia ra nhóm số liệu. Các số liệu thống kê được liệt kê trong Bảng 2.1, để lập bảng này ta thực hiện theo trình tự: - Theo kết quả quan sát (đo) ta tìm giá trị lớn nhất xmax và nhỏ nhất xmin và xác định: R = xmax - xmin - Sau đó chia khoảng giá trị thay đổi R thành k đoạn. Tùy vào trường hợp cụ thể ta chọn số đoạn k như sau: thông thường chọn k nằm trong khoảng 9 – 15, một số trường hợp có thể chọn k = 7. Chiều rộng mỗi đoạn được xác định bằng một khoảng giá trị h: max min x x h k   (2.5) Đoạn thứ nhất có giá trị nằm trong khoảng từ xmin đến x1, trong đó x1 = xmin + h; đoạn thứ hai trong khoảng từ x1 đến x2, trong đó x2 = x1 + h. Đối với đoạn thứ i ta tính giá trị trung bình theo công thức: * i 1 i i x x x 2    , với i = 1, 2,...k. (2.6) Số đại lượng ngẫu nhiên mi trong đoạn xi và xi+1 được xác định và k i i 1 m N    . Khi đó, giá trị trung bình x và sai lệch bình phương trung bình xác định theo công thức:
  • 26.
    XỬ LÝ CÁCKẾT QUẢ THỐNG KÊ BAN ĐẦU VÀ CHỌN MÔ HÌNH PT HỒI QUY 27 k * i i i 1 1 x x m N    (2.7a) S2 =   k 2 2 * i i i 1 1 s m x x N 1      (2.7b) Tần suất tương đối, bằng tỷ số giữa số quan sát mi rơi vào đoạn i với tổng số quan sát N, được ký hiệu: * i i m p N  Kết quả thống kê được cho trong Bảng 2.1. Bảng 2.1 Đoạn Khoảng giá trị Giá trị trung bình * i y Số quan sát fi Tần số tương đối 1 xmin – x1 * 1 y f1 * 1 p 2 x1 – x2 * 2 y f2 * 2 p      i xi-1 - xi * i y fi * i p      k xk-1 - xk * k y fk * k p Dựa trên kết quả ta xác định giá trị trung bình x , độ lệch chuẩn S và vẽ biểu đồ phân phối đại lượng ngẫu nhiên: - Trên trục tung xác định tung độ * i i p f h  với pi * là tần số tương đối, h là chiều rộng khoảng. - Trên mỗi chiều rộng khoảng h ta xác định fi và dựng hình chữ nhật có chiều cao bằng fi và chiều rộng h. Diện tích mỗi hình chữ nhật này bằng pi * = mi/N. Kết quả ta có biểu đồ f(x) như Hình 2.1. - Dựng biểu đồ hàm xác suất tích lũy F(x) bằng tổng các thành phần pi * .
  • 27.
    28 CHƯƠNG 2 Hình2.1 Biểu đồ hàm phân phối và mật độ phân phối a)Mật độ phân phối; b) Phân phối Ví dụ 2.1 Xác định khả năng tải của thép khi ram theo chiều sâu người ta thử nghiệm 150 mẫu. Thử nghiệm theo phương pháp Erikson và mẫu được ép lún với đầu ép côn có đỉnh mặt cầu. Chiều sâu đo bằng mm. Kết quả cho trong Bảng 2.2. Yêu cầu xác định giá trị trung bình, độ lệch chuẩn, hàm mật độ phân bố và vẽ các biểu đồ. : Bảng 2.2 Số liệu thử nghiệm – chiều sâu lún, mm 10,62 10,18 10,85 11,02 9,78 10,42 10,90 10,23 9,45 10,50 10.48 11,11 11,58 9,53 10,05 9,72 10,59 9,68 10,92 9,87 10,27 10,22 10,97 10,82 10,66 10,69 10,80 9,42 10,69 10,54 10,85 10,24 10,48 10,35 11,07 9,54 11,18 9,67 11,43 9,80 10,86 11,15 10,23 10,08 9,73 11,05 10,07 10,03 10,57 10,27 9,97 9,92 10,62 10,87 10,47 10,12 10,08 9,99 9,96 9,85 9,85 10,63 10,22 9,30 9,83 10,75 10,65 10,20 9,57 9,89 10,17 10,05 10,02 10,35 10,34 10,22 9,75 10,00 9,85 10,77 11,23 10,05 10,30 10,03 10,73 9,79 10,88 10,03 10,17 10,22 9,10 10,02 11,53 11,40 9,80 9,80 9,83 10,13 10,23 10,50 11,45 10,51 10,67 10,45 10,77 9,97 10,72 10,55 10,42 11,66 9,31 9,46 10,00 11,35 9,33 10,05 10,27 10,38 10,24 10,43 10,30 11,61 10,22 9,08 10,34 10,41 11,22 11,28 9,85 9,63 10,03 10,40 10,93 10,46 10,58 10,57 9,28 10,33 9,12 10,32 9,23 11,51 10,33 9,30 9,65 9,98 10,77 10,07 9,57 10,24
  • 28.
    XỬ LÝ CÁCKẾT QUẢ THỐNG KÊ BAN ĐẦU VÀ CHỌN MÔ HÌNH PT HỒI QUY 29 Thông thường chọn k nằm trong khoảng 9 – 15, một số trường hợp có thể chọn k = 7. Do đó trong ví dụ vụ này ta chọn số đoạn k = 14. Mỗi đoạn được xác định bằng khoảng giá trị h: max min x x h k   = (11,66 – 9,08)/14 = 0,18 Để thuận tiện tính toán ta chọn h = 0,20 và chọn lại xmin= 9,005 và xmax = 11,805. Bảng 2.3 Khoảng giá trị, (mm) Trung bình x* , (mm) Phân bố số liệu Tần số fi Tích lũy, tần số Fi ui fiui fiui 2 9,005-9,205 9,205-9,405 9,405-9,605 9,605-9,805 9,805-10,005 10,005-10,205 10,205-10,405 10,405-10,605 10,605-10,805 10,805-11,005 11,005-11,205 11,205-11,405 11,405-11,605 11,605-11,805 9,105 9,305 9,505 9,705 9,905 10,105 10,305 10,505 10,705 10,905 11,105 11,305 11,505 11,705 /// //// / //// // //// //// // //// //// //// / //// //// //// //// //// //// //// //// //// //// //// //// /// //// //// //// //// //// //// / //// //// // 3 6 7 12 16 20 25 18 15 10 6 5 5 2 3 9 16 28 44 64 89 107 122 132 138 143 148 150 -6 -5 -4 -3 -2 -1 0 1 2 3 4 5 6 7 -18 -30 -28 -36 -32 -20 0 18 30 30 24 25 30 14 108 150 112 108 64 20 0 18 60 90 96 125 180 98 Tổng cộng 150 7 1229 Giá trị cột 6 được tính theo công thức: i i x 10,305 u 0,20   (2.8) Khi đó giá trị trung bình độ lệch chuẩn được xác định theo công thức: 14 14 i i i i i 1 i 1 f u f u u N 150      
  • 29.
    30 CHƯƠNG 2  2 2 14 14 14 14 2 2 i i i i i i i i i 1 i 1 i 1 i 1 2 u N f u f u 150 f u f u S N N 1 150.149                              a) 11.6 11.2 10.8 10.4 10.0 9.6 9.2 25 20 15 10 5 0 Mean 10.31 StDev 0.5711 N 150 h Frequency Histogram (with Normal Curve) of h b) Hình 2.2 Biểu đồ mật độ phân phối
  • 30.
    XỬ LÝ CÁCKẾT QUẢ THỐNG KÊ BAN ĐẦU VÀ CHỌN MÔ HÌNH PT HỒI QUY 31 Tính toán giá trị trung bình và độ lệch chuẩn của u: Từ công thức (2.8) suy ra giá trị trung bình và độ lệch chuẩn đại lượng x: x 10,305 0,20u 10,314    mm Sx 2 = h2 .Su 2 Suy ra: Hình 2.3 Biểu đồ phân phối Kiểm tra kết quả trên Minitab (Mục 2.11.1): Descriptive Statistics: x Variable Mean StDev CoefVar Minimum Maximum x 10.306 0.571 5.54 9.080 11.660 Hàm mật độ phân phối chuẩn Phân phối luôn luôn tuân theo quy luật chuẩn nếu như ảnh hưởng đến sự thay đổi đại lượng ngẫu nhiên là các nhân tố gần như cùng giá trị. Hàm mật độ phân phối có dạng (Hình 2.4): f(x) =      2 x 2 x m 2S 1 e S 2 (2.9)
  • 31.
    32 CHƯƠNG 2 Phânphối chuẩn có hai tham số độc lập: kỳ vọng mx và độ lệch chuẩn S. Người ta ước lượng giá trị các tham số mx và S theo kết quả thực nghiệm theo công thức (2.1) và (2.2). Hình 2.4 Hàm mật độ phân phối f(x) phân phối chuẩn x mx-3SX mx -2SX mx –Sx mx mx +Sx mx +2Sx mx +3Sx f(x)   9 2 X 1 e S 2   2 X 1 e S 2   1 2 X 1 e S 2  X 1 S 2   1 2 X 1 e S 2   2 X 1 e S 2   9 2 X 1 e S 2 Sự xấp xỉ giữa các tham số và các ước lượng của chúng được tăng lên với việc tăng số mẫu thực nghiệm. Đôi khi thuận tiện ta dựa trên phương sai D = S2 . Với các giá trị trung bình và độ lệch chuẩn thu được Ví dụ 2.1, hàm mật độ phân phối có dạng: f(x) =      2 2 x 10,314 2.0,574 1 e 0,574 2 Kỳ vọng xác định trên đồ thị (Hình 2.4) vị trí đường cong và độ lệch chuẩn - chiều rộng đường cong. Khi S càng nhỏ thì đường cong mật độ phân phối càng hẹp và cao hơn. Đường cong thay đổi từ x = - đến x = +, tuy nhiên không đáng kể khi nằm ngoài khoảng (mx– 3S, mx+3S), bởi vì xác suất x nằm ngoài khoảng này chỉ bằng 0,14 % và thông thường được bỏ qua khi tính toán. Xác suất hỏng đến mx – 2S bằng 2,175 %. Giá trị lớn nhất của tung độ đường cong mật độ phân phối bằng 0,399/S. Người ta thay thế việc tính tích phân bằng cách sử dụng bảng tra. Các bảng tra đối với phân phối chuẩn của hàm số theo (  x x m ) và s rất phức tạp vì có hai tham số độc lập. Có thể thay thế bằng các bảng tra phân phối
  • 32.
    XỬ LÝ CÁCKẾT QUẢ THỐNG KÊ BAN ĐẦU VÀ CHỌN MÔ HÌNH PT HỒI QUY 33 chuẩn, mà khi đó mx = 0 và Sx = 1. Đối với phân phối này hàm mật độ phân phối: f0(x) = 2 x 2 1 e 2   chỉ có một biến số x. Đại lượng x là đại lượng trung tâm bởi vì mx = 0 và chuẩn hóa Sx = 1. Hàm mật độ phân phối được viết trong tọa độ tương đối với gốc tọa độ trên trục đối xứng đường cong. 2.3. TÍNH KHOẢNG TIN CẬY CỦA KỲ VỌNG (Confidence Interval – CI) Đại lượng ngẫu nhiên x xác định theo mẫu cần phải đánh giá theo kỳ vọng my. Ta tìm sai số ∆ lớn nhất có thể chấp nhận được (Hình 2.5). x x m x       (2.10) Hình 2.5 Khoảng tin cậy của kỳ vọng Khoảng trên gọi là khoảng tin cậy của kỳ vọng (Hình 2.6). Sai số ∆ phụ thuộc vào số lượng mẫu N, và thường được xác định theo công thức: (2.11) Hình 2.6 Khoảng tin cậy (Ci)
  • 33.
    34 CHƯƠNG 2 Đạilượng S - độ lệch chuẩn, t - giá trị tiêu chuẩn Student là giá trị tra bảng (theo Phụ lục 1 chọn theo số bậc tự do f = N - 1 và mức ý nghĩa α cho trước). Ví dụ 2.2 Khi đo chiều dày lớp sơn của một chi tiết thu được các kết quả số (10 lần đo) h (µm) = 470, 354, 402, 434, 351, 413, 465, 448, 540 và 393. Xác định giá trị trung bình, độ lệch chuẩn S và khoảng tin cậy cho kỳ vọng tính toán. Giải: Giá trị trung bình: n i i 1 h h 427 m N      S2 2 2 i 2 h Nh s 3293 n 1      Suy ra, 2 S S 57,4 m    Cho trước mức ý nghĩa α = 0,05. Tương ứng với xác suất tin cậy 1 – α = 0,95. Theo bảng phân vị phân bố Student (Phụ lục1) ta tìm t = 2,26 (với f = 10 – 1 = 9). Khi đó: Trong Minitab ta xác định khoảng tin cậy theo trình tự: 1. Nhập dữ liệu vào cột trong worksheet. 2. Trên menu Stat chọn Basis Statistics > 1 Sample t… (Hình 2.7)
  • 34.
    XỬ LÝ CÁCKẾT QUẢ THỐNG KÊ BAN ĐẦU VÀ CHỌN MÔ HÌNH PT HỒI QUY 35 Hình 2.7 3. Chọn set C1 và nhập vào box bên phải (Hình 2.8). Hình 2.8 4. Chọn tab Options 5. Chọn Confidence level là 95 (Hình 2.9) Hình 2.9
  • 35.
    36 CHƯƠNG 2 6.Nhấp OK Kết quả như dưới đây: One-Sample T: x Variable N Mean StDev SE Mean 95% CI x 10 427.0 57.4 18.1 (386.0, 468.0) Ví dụ 2.3 Với kết quả Mục 2.2 (Ví dụ 2.1) xác định khoảng tin cậy cho kỳ vọng tính toán. Giải: Giá trị trung bình và độ lệch chuẩn đại lượng x: x 10,305 0,20u 10,314    mm Suy ra: Cho trước mức ý nghĩa α = 0,05. Tương ứng với xác suất tin cậy 1 – α = 0,95. Theo bảng phân vị phân bố Student (Phụ lục 1) ta tìm t = 1,98 (với f = 150 – 1 = 149). Từ đây: 150 15 10,314 1,98.0,574 / 10,314 1,98.0,574 0 / x m     150 15 10,314 1,98.0,574 / 10,314 1,98.0,574 0 / x m     10,224 ≤ mx ≤ 10,497 Kết quả trên Minitab: One-Sample T: x Variable N Mean StDev SE Mean 95% CI x 150 10.3056 0.5711 0.0466 (10.2135, 10.3977)
  • 36.
    XỬ LÝ CÁCKẾT QUẢ THỐNG KÊ BAN ĐẦU VÀ CHỌN MÔ HÌNH PT HỒI QUY 37 2.4. XÁC ĐỊNH SỐ THÍ NGHIỆM LẶP (Replication) Giả sử ta tìm số thí nghiệm ít nhất lặp lại trên mỗi thực nghiệm, khi đó giá trị trung bình x theo mẫu này khác với kỳ vọng không lớn hơn đại lượng cho trước ∆. Để giải bài toán này cần tìm độ lệch chuẩn s2 . Khi đó, giá trị n được xác định như sau: n = t2 S2 /(mx)2 (2.12) Đại lượng t tìm theo bảng (Phụ lục 1) phụ thuộc vào mức ý nghĩa α và bậc tự do f. Nếu số thí nghiệm lớn hơn 120 thì thay vì t ta xác định  theo Bảng 2.4. Bảng 2.4 α 0,2 0,1 0,05 0,01 0,005  1,28 1,64 1,96 2,58 2,81 Ví dụ 2.4. Để xác định số thí nghiêm lặp n khi nghiên cứu để xác định công riêng quá trình phay gỗ, ta tiến hành thực nghiệm và thu được các giá trị trong Bảng 2.5. Bảng 2.5 1 33,2 11 35,3 21 31 31 33,2 2 33,6 12 33,6 22 30 32 33,6 3 31,5 13 32,3 23 32,4 33 34,2 4 33,6 14 32,7 24 33,7 34 30,2 5 33,2 15 33,6 25 34,3 35 32,2 6 34,4 16 34,9 26 32,1 36 32,8 7 34,4 17 32,3 27 33,5 37 34,2 8 31,0 18 36,2 28 30,5 38 31,6 9 34,4 19 31,0 29 32,5 39 32,3 10 35,2 20 33,6 30 32,5 40 33,6 Khi f = 40 – 1 = 39, tra bảng tiêu chuẩn Student ta thu được t = 2,02; S2 – phương sai kết quả loạt thực nghiệm 1.4412 ; y – giá trị trung bình kết quả thực nghiệm 33.01; α – mức ý nghĩa (giá trị), chọn α = 0.05.
  • 37.
    38 CHƯƠNG 2 Thaythế vào ta có: n = 1,4412 .2,022 /(0,05.33,01)2 = 3,11 Chọn n = 4. Đại lượng S - độ lệch chuẩn, t - giá trị tiêu chuẩn Student là giá trị tra bảng (theo Phụ lục 1 chọn theo số bậc tự do f = N - 1 và mức ý nghĩa α cho trước). Ngoài ra ta có thể tính số thí nghiệm lặp trên Minitab (Hình 2.10). Hình 2.10 Tính số thí nghiệm lặp trên Minitab (Sample Size for Estimation) 2.5. LOẠI BỎ CÁC QUAN SÁT CÓ SAI SỐ LỚN Các quan sát sai số lớn cần loại bỏ khỏi tập mẫu. Để phát hiện quan sát này ta phải sử dụng tiêu chuẩn Student. Trong trường hợp này quan sát đang xem xét yi tạm thời loại bỏ khỏi tập mẫu và với các quan sát còn lại ta xác định giá trị trung bình và độ lệch chuẩn x và S2 . Sau đó tính hệ số tính toán. (2.13) Theo bảng tiêu chuẩn Student (Phụ lục 1) ta chọn tb theo α (ví dụ α = 0,01) và f, ví dụ (f = n -1) và so sánh với ttt. Nếu ttt > tb thì ta loại quan sát yi khỏi mẫu. Thông thường, trong các quan sát nghi ngờ ta chọn quan sát có giá trị gần với giá trị trung bình nhất để so sánh. Các quan sát nghi ngờ loại khỏi mẫu và thực hiện theo trình tự trên. Nếu ttt > tb thì loại tất cả các quan sát nghi ngờ.
  • 38.
    XỬ LÝ CÁCKẾT QUẢ THỐNG KÊ BAN ĐẦU VÀ CHỌN MÔ HÌNH PT HỒI QUY 39 Ví dụ 2.5 Khi đo chiều dày lớp sơn của một chi tiết thu được các kết quả số (10 lần đo) h (m) = 470, 354, 402, 434, 351, 413, 465, 448, 540 và 393. cv a) Đánh giá quan sát h = 540 m b) Giả sử thay giá trị h = 540m bằng quan sát h = 600 m. Đánh giá quan sát này. Giải: a) Loại bỏ quan sát h = 540 m khỏi mẫu và ta tính giá trị trung bình h và S: 44 , 414 h  85 , 2 44 ) 4 , 414 540 ( ttt    Tương ứng mức ý nghĩa α = 0,01; f = 9 – 1 = 8 Ta chọn tb = 3,36 vì tb > ttt Do đó quan sát h = 540 m vẫn chấp nhận được. b) Khi h = 600 m thì ttt = 4,28 > tb = 3,36 nên quan sát h = 600 m không được chấp nhận. 2.6. KIỂM TRA GIẢ THUYẾT VỀ TÍNH ĐỒNG NHẤT HAI PHƯƠNG SAI (F-test of the equality of two variances) Kết quả nghiên cứu thực nghiệm được so sánh giữa các tập hợp mẫu thí nghiệm khác nhau. Khi đó, cần phải so sánh độ chính xác các dụng cụ đo và đánh giá phương sai các mẫu tương ứng. Giả sử ta cần hai tập hợp mẫu n1 và n2 tương ứng phương sai 2 1 s và 2 2 s . Giả sử 2 2 2 1 s s  cần phải xác định là hai tập hợp mẫu này được lấy từ tập hợp mẫu chung ( 2 2 2 1    ). Khi đó, các phương sai chọn 2 1 s và 2 2 s gọi là đồng nhất và khác nhau giữa chúng là do sai số ngẫu nhiên. Khi đó, ta kiểm tra theo tiêu chuẩn Fisher (F-test). Đầu tiên, giả sử 2 1 s > 2 2 s : 2 2 2 1 tt s s F  (2.14)
  • 39.
    40 CHƯƠNG 2 Sauđó, theo bảng phân bố Fisher (Phụ lục 2) tra Fb phụ thuộc vào q và f1 = n1 – 1; f2 = n2 – 1 Nếu Ftt > Fb thì phương sai hai mẫu là không đồng nhất. Ngược lại, chúng đồng nhất. si 2 =   N 2 i i 1 1 x x N 1     Chi tiết ứng dụng Minitab để kiểm tra tính đồng nhất 2 phương sai trình bày Mục 2.11.3. Ví dụ 2.6 Nghiên cứu phụ thuộc độ tù mũi dao  vào chiều dài L cắt ta thu được kết quả trên Bảng 2.6.. Bảng 2.6 Kết quả đo độ tù mũi dao  (µm) vào chiều dài L (km) STT Độ tù mũi dao  theo chiều dài cắt L L = 5.10-11 km L0,25 km 1 3,76 7,05 2 4,23 7,05 3 4,7 6,11 4 3,76 6,58 5 3,76 6,58 6 4,23 7,05 7 3,76 7,05 8 3,76 7,52 9 3,76 7,52 10 4,23 7,52 11 4,23 7,52 12 4,23 6,58 13 4,23 7,05 14 4,23 7,05 15 4,23 6,58 16 3,76 7,05 Xác định tính đồng nhất 2 phương sai. Giải: Xác định giá trị trung bình và phương sai bằng Minitab.
  • 40.
    XỬ LÝ CÁCKẾT QUẢ THỐNG KÊ BAN ĐẦU VÀ CHỌN MÔ HÌNH PT HỒI QUY 41 Descriptive Statistics: x1 Variable N N* Mean Variance Minimum Q1 Median Q3 Maximum x1 16 0 4.0538 0.0847 3.7600 3.7600 4.2300 4.2300 4.7000 Descriptive Statistics: x2 Variable N N* Mean Variance Minimum Q1 Median Q3 Maximum x2 16 0 6.991 0.173 6.110 6.580 7.050 7.402 7.520 Tỉ số: Sau đó, tra bảng theo Phụ lục 2 (theo tiêu chuẩn Fisher) giá trị Fb phụ thuộc vào α và bậc tự do f1 = n1 – 1=15; f2 = n2 – 1 = 15. Do Ftt = 2,04 < Fb = 2,4 thì phương sai 2 mẫu là đồng nhất. Method Null hypothesis All variances are equal Alternative hypothesis At least one variance is different Significance level α = 0.05 95% Bonferroni Confidence Intervals for Standard Deviations Sample N StDev CI x1 16 0.290995 (0.204260, 0.482096) x2 16 0.415979 (0.289009, 0.696268) Individual confidence level = 97.5% Tests Method Statistic P-Value Multiple comparisons 1.93 0.165 Levene 0.38 0.540 Test for Equal Variances: x1, x2 P- Value < 0,05 cho nên 2 phương sai là đồng nhất. 2.7. KIỂM TRA TÍNH ĐỒNG NHẤT VÀI PHƯƠNG SAI THEO MẪU CÓ SỐ LƯỢNG GIỐNG NHAU (Cochran's C test) Để kiểm tra tính đồng nhất của vài phương sai khi số lượng mẫu giống nhau: n1 = n2 = ... = n Giả sử m là số phương sai cần đánh giá độ đồng nhất. Phương sai thí nghiệm (Residual sum of squares) của chúng tương ứng là 2 m 2 2 2 1 s ... s , s .
  • 41.
    42 CHƯƠNG 2 Kiểmtra theo tiêu chuẩn Cochran. Đầu tiên ta tính hệ số Gtt theo công thức: 2 max tt 2 2 2 1 2 m s G s s ... s     (2.15) trong đó 2 max s là giá trị lớn nhất trong các giá trị 2 i s . Theo Phụ lục 3 (tiêu chuẩn Cochran) ta tra Gb theo α và f = m – 1. Nếu Gb > Gtt thì giả thuyết về tính đồng nhất các phương sai được chấp nhận. Ví dụ 2.7 Xác định tính đồng nhất của các phương sai cho thí nghiệm Bảng 2.7. Bảng 2.7 N Áp lực nén xj, MPa Biến dạng yj, mm i y , mm xj 2 Phương sai thí nghiệm si 2 y1 y2 y3 1 1,0 0,12 0,07 0,14 0,11 1,00 0,0013 2 1,5 0,19 0,17 0,12 0,16 2,25 0,0013 3 2,0 0,225 0,22 0,20 0,215 4,00 0,000175 4 2,5 0,31 0,33 0,35 0,33 6,25 0,0004 5 3,5 0,39 0,44 0,37 0,40 12,25 0,0013 Giải: Đầu tiên ta tính hệ số Gtt theo công thức: 2 max tt 2 2 2 1 2 m s G s s ... s     Suy ra: Gtt = 0,0013/0,004475 = 0,290503 Theo Phụ lục 3 (tiêu chuẩn Cochran) ta tra Gb = 0,68 theo α = 0,05 và f = 3 – 1 = 2, N = 5. Vì Gb > Gtt thì giả thuyết về tính đồng nhất các phương sai được chấp nhận.
  • 42.
    XỬ LÝ CÁCKẾT QUẢ THỐNG KÊ BAN ĐẦU VÀ CHỌN MÔ HÌNH PT HỒI QUY 43 Ngoài ra ta còn có thể sử dụng Hartley's Fmax test, nhưng Hartley's Fmax test có nhược điểm là đánh giá theo phương sai lớn nhất và nhỏ nhất chứ không phải toàn bộ phương sai của các thí nghiệm. Ngoài ra để kiểm tra tính đồng nhất các phương sai ta còn sử dụng Bartlett's test, Levene's test và Brown–Forsythe test. 2.8. KIỂM TRA TÍNH ĐỒNG NHẤT CÁC PHƯƠNG SAI THEO MẪU CÓ SỐ LƯỢNG KHÁC NHAU (Bartlett's test) Thông thường nhà thực nghiệm xây dựng kế hoạch thí nghiệm với số lượng mẫu giống nhau. Tuy nhiên trong thực tế phải loại bỏ các quan sát có sai số lớn, do đó sau khi loại bỏ các quan sát này thì số lượng mẫu khác nhau. Ta có m phương sai 2 m 2 2 2 1 s ... s , s với số lượng mẫu: m 3 2 1 n , n , n , n  Khi đó sử dụng tiêu chuẩn Bartlett (Bartlett's test). Đầu tiên tính 2 y s f s f s m 1 2 i i 2 y   (2.16) trong đó m 2 1 f f f f     với m 2 1 f f , f  - số bậc tự do các phương sai tương ứng . 1 n f i i   Sau đó tính tỷ số B = V/C với V và C xác định tương ứng: m 2 2 y i i i 1 V 2,303 f lgs f lgs             (2.17) m i i 1 1 1 1 C 1 3(m 1) f f               (2.18) Theo bảng tiêu chuẩn Barlett (Phụ lục 4) ta xác định 2 b  theo α và k = m – 1. Giả thuyết về tính đồng nhất phương sai chấp nhận khi thỏa mãn điều kiện: 2 b B  
  • 43.
    44 CHƯƠNG 2 Vídụ 2.8 Nghiên cứu độ mòn khi thực nghiệm phay gỗ chukrasia với dụng cụ cắt 8Cr6NiVTi trong giai đoạn chạy rà ta thu được các kết quả theo Bảng 2.8: Bảng 2.8 Kết quả đo Bán kính cong mũi dao 1 (µm) STT Bán kính cong mũi dao 1 (µm) theo chiều dài cắt L (km) 5.10-11 0,25 1,25 3,25 6,25 8 1 3,76 7,05 9,4 12,22 14,57 16,45 2 4,23 7,05 9,4 11,28 14,57 16,45 3 4,7 6,11 9,4 12,22 14,1 16,45 4 3,76 6,58 9,4 12,22 14,1 16,45 5 3,76 6,58 9,4 11,75 14,57 16,92 6 4,23 7,05 8,46 12,69 15,51 16,45 7 3,76 7,05 10,34 11,75 14,57 16,45 8 3,76 7,52 9,4 11,75 15,98 15,98 9 3,76 7,52 10,34 11,75 15,04 15,98 10 4,23 7,52 9,87 11,75 15,04 15,98 11 4,23 7,52 9,4 11,75 15,51 16,45 12 4,23 6,58 9,4 12,69 15,04 16,45 13 4,23 7,05 9,4 12,69 14,1 16,45 14 4,23 7,05 9,4 13,16 14,1 14,1 15 4,23 6,58 8,46 12,69 15,04 15,51 16 3,76 7,05 - 10,81 15,04 16,45 17 - - 13,16 14,1 15,98 18 - - 12,69 15,04 16,45 19 - - 11,75 15,04 15,04 20 - - 12,69 14,1 15,04 21 - - 11,28 14,1 15,98 22 - - 12,22 15,98 15,04 23 - - 12,22 15,98 16,45 24 - - 12,22 - 15,98 25 - - - - 16,45 26 - - - - 17,39 Giá trị trung bình độ tù mũi dao 4,05375 6,99125 9,43133 12,1417 14,8357 16,1065 Độ lệch chuẩn 0,291 0,416 0,517 0,599 0,647 0,685 Số mẫu đo 16 16 15 24 23 26
  • 44.
    XỬ LÝ CÁCKẾT QUẢ THỐNG KÊ BAN ĐẦU VÀ CHỌN MÔ HÌNH PT HỒI QUY 45 Bảng 2.9 phân tích và đánh giá theo tiêu chuẩn Barllet: Bảng 2.9 Đại lượng Ký hiệu Giá trị Số thí nghiệm chính N 6 Số bậc tự do phương sai tái hiện f 114 Phương sai tái hiện s2 {y} 0,32 Giá trị đại lượng V1 V1 12,56 Giá trị đại lượng C1 C1 1,02 Giá trị tỉ số B1=V1/C1 B1 12,31 Giá trị tra bảng tiêu chuẩn Bartlett 2 b  15,1 2.9. PHÂN TÍCH TƯƠNG QUAN (Analysis of covariance-ANCOVA) Vì lý thuyết xác suất dựa trên các đại lượng ngẫu nhiên cho nên trong lý thuyết này người ta sử dụng phụ thuộc xác suất ngẫu nhiên thay cho các phụ thuộc hàm số. Hai đại lượng ngẫu nhiên, như đã biết là độc lập với nhau, nếu như mỗi quy luật phân phối của đại lượng này không phụ thuộc vào giá trị của đại lượng ngẫu nhiên khác. Các đại lượng ngẫu nhiên này có thể là giới hạn mỏi vật liệu chi tiết và hệ số tập trung ứng suất lý thuyết tại tiết diện nguy hiểm của chi tiết. Các đại lượng được gọi là phụ thuộc hàm số (Hình 2.11a) nếu như ta biết được giá trị của một đại lượng thì suy ra một giá trị cụ thể đã biết của đại lượng kia. Ví dụ cho sự phụ thuộc này là ứng suất và biến dạng trong vùng biến dạng đàn hồi. a) Phụ thuộc hàm số b) Tương quan chặt c) Tương quan yếu Hình 2.11 Các mô hình tương quan
  • 45.
    46 CHƯƠNG 2 Cuốicùng, các đại lượng gọi là quan hệ theo sự phụ thuộc xác suất hoặc ngẫu nhiên nếu như theo giá trị đã biết của một đại lượng không tương ứng với một giá trị cụ thể mà tương ứng với quy luật phân phối của đại lượng khác (Hình 2.11b, c). Các sự phụ thuộc xác suất không chỉ phụ thuộc vào các nhân tố tổng quát m mà vào các nhân tố ngẫu nhiên khác nhau. Các sự phụ thuộc xác suất đặc trưng bởi xu hướng thay đổi của một đại lượng ngẫu nhiên trong sự phụ thuộc vào sự thay đổi của đại lượng khác. Chúng có thể chặt chẽ nhiều hoặc ít hơn trong giới hạn không có sự phụ thuộc và có sự phụ thuộc hàm số. Ví dụ điển hình của mối quan hệ xác suất có thể là sự phụ thuộc giữa khối lượng và chiều cao con người. Trong kỹ thuật các mối quan hệ xác suất rất phổ biến (ví dụ giữa các đặc tính vật liệu và các tham số cụm máy riêng biệt). Nghiên cứu sự phụ thuộc xác suất giữa các đại lượng ngẫu nhiên là đối tượng của phân tích tương quan. Thông tin đầy đủ về sự liên hệ xác suất của hai đại lượng ngẫu nhiên là hàm mật độ phân phối chung f(x, y) hoặc mật độ phân phối (có điều kiện) f(x/y), f(y/x) tức là mật độ phân phối các đại lượng ngẫu nhiên X và Y khi cho trước các giá trị cụ thể x và y tương ứng. Mật độ chung và mật độ phân phối có điều kiện liên hệ bởi các biểu thức dưới đây: f(x,y) = y f f (x, y)dy x          (2.19a) f(x,y) = x f f (x, y)dx y          (2.19b) Đối với các đại lượng ngẫu nhiên độc lập, hàm mật độ phân phối chung f(x,y) bằng tích các hàm mật độ phân phối các đại lượng ngẫu nhiên X và Y: f(x,y) = fx(x)fy(y) (2.20) Các đặc tính chủ yếu của sự phụ thuộc xác suất là mô men tương quan (covarian) và hệ số tương quan. Covarian của hai đại lượng ngẫu nhiên X và Y xác định theo các công thức sau:
  • 46.
    XỬ LÝ CÁCKẾT QUẢ THỐNG KÊ BAN ĐẦU VÀ CHỌN MÔ HÌNH PT HỒI QUY 47 - Đối với các đại lượng ngẫu nhiên rời rạc: cov(X, Y)= i x j y ij i j (x m )(y m )p    (2.21) - Đối với trường hợp liên tục: cov(X, Y) = x y (x m )(y m )dxdy         (2.22) trong đó: mx, my - kỳ vọng của các đại lượng ngẫu nhiên X và Y; pij - xác suất có giá trị riêng lẻ xi và yj. Covarian đặc trưng đồng thời sự liên quan giữa các đại lượng ngẫu nhiên và độ phân tán của chúng. Theo thứ nguyên, chúng tương ứng với phương sai các đại lượng ngẫu nhiên độc lập. Nếu các đại lượng ngẫu nhiên là độc lập thì covarian bằng 0 bởi vì chúng có thể biểu diễn như là tích các mômen trung tâm của các đại lượng X và Y, mà các đại lượng này có giá trị bằng 0. Nếu một trong các đại lượng ngẫu nhiên có độ phân tán nhỏ thì covarian sẽ nhỏ mặc dù có sự quan hệ chặt chẽ giữa các đại lượng ngẫu nhiên, cho nên để rút ra các đặc tính quan hệ giữa các đại lượng ngẫu nhiên ta chuyển sang hệ số tương quan: (X, Y) = cov(X, Y) x y 1 S . S (2.23) trong đó Sx, Sy - sai lệch bình phương trung bình các đại lượng ngẫu nhiên X và Y. a)  = 1 b)  = 0 Hình 2.12 Sự phụ thuộc theo giá trị hệ số tương quan 
  • 47.
    48 CHƯƠNG 2 Hệsố tương quan đặc trưng cho mức độ chặt chẽ sự phụ thuộc và có thể thay đổi trong miền giới hạn –1    1. Giá trị  = 1 và  = –1 tương ứng sự phụ thuộc hàm số (Hình 2.12a), giá trị  = 0 tương ứng sự không tương quan các đại lượng ngẫu nhiên (Hình 2.12b). Đối với các đại lượng ngẫu nhiên độc lập ta có  = 0. Tuy nhiên  = 0 không thể kết luận chúng độc lập. Ta khảo sát sự tương quan giữa các đại lượng ngẫu nhiên cũng như giữa các sự kiện và tương quan tập hợp. Đặc trưng của mối quan hệ giữa nhiều sự kiện và đại lượng ngẫu nhiên. Bằng cách phân tích tương tự sự liên hệ xác suất, người ta xác định kỳ vọng có điều kiện các đại lượng ngẫu nhiên my x, mx y tức là kỳ vọng các đại lượng ngẫu nhiên Y và X tương ứng với các giá trị cụ thể x và y cho trước. Sự phụ thuộc kỳ vọng có điều kiện my x vào x gọi là phép hồi quy Y theo X. Sự phụ thuộc mx y vào y tương ứng được gọi là phép hồi quy X theo Y. Đối với các đại lượng ngẫu nhiên phân phối chuẩn Y và X, PTHQ có dạng: my|x = my +  y x x S (x m ) S  (2.24) Đối với phép hồi quy X theo Y: mx|y = mx +  x y y S (y m ) S  (2.25) trong đó:  - hệ số tương quan; mx, my và Sx, Sy - kỳ vọng và độ lệch chuẩn các đại lượng ngẫu nhiên tương ứng. Lĩnh vực ứng dụng quan trọng phân tích tương quan trong các bài toán độ tin cậy là xử lý và tổng kết các kết quả quan sát khi làm việc (vận hành). Kết quả quan sát các đại lượng ngẫu nhiên Y và X được biểu diễn bằng các cặp giá trị yi, xi của lần quan sát thứ i, trong đó i = 1, 2,..., n, với n là số các quan sát.
  • 48.
    XỬ LÝ CÁCKẾT QUẢ THỐNG KÊ BAN ĐẦU VÀ CHỌN MÔ HÌNH PT HỒI QUY 49 Ước lượng r của hệ số tương quan  xác định theo công thức: r = i x i y x y (x )(y ) (n 1)s s       (2.26) trong đó: x  , y  - tương ứng ước lượng kỳ vọng mx, my, tức là giá trị trung bình từ n quan sát: x i 1 x n    ; y i 1 y n    sx, sy - tương ứng ước lượng các độ lệch chuẩn Sx và Sy: sx = 2 i x 1 (x ) n 1    (2.27) sy = 2 i y 1 (y ) n 1     (2.28) Đặt ước lượng các kỳ vọng có điều kiện my/x , mx/y tương ứng là Y  và X  , PTHQ thực nghiệm Y theo X và X theo Y được viết dưới dạng sau: y y x x ˆ s Y r (x ) s      (2.29) x x y y ˆ s X r (y ) s      (2.30) Tuy nhiên chỉ có một trong hai PTHQ kể trên có ý nghĩa thực tế. Nhận xét rằng khi ước lượng hệ số tương quan r = 1 thì các đại lượng này phụ thuộc hàm số. Ví dụ 2.9 Xác định hệ số tương quan giữa giới hạn bền uốn  vào khối lượng riêng  vật liệu gỗ nhân tạo. Kết quả thực nghiệm cho trong Bảng 2.10. Bảng 2.10 Phụ thuộc giữa giới hạn bền khi uốn  vào khối lượng riêng  vật liệu gỗ nhân tạo  , kg/dm3 0,55 0,6 0,65 0,7 0,75 0,8 i, MPa 15 20 24 29,5 36 42
  • 49.
    50 CHƯƠNG 2 Giải:Ta lập bảng tương quan: Bảng 2.11 i, kg/dm3 i, MPa i - i i - i (i-i)(i -i) (i - i)2 (i - i)2 0,55 15 -0,125 -12,75 1,59375 0,015625 162,5625 0,60 20 -0,075 -7,75 0,58125 0,005625 60,0625 0,65 24 -0,025 -3,75 0,09375 0,000625 14,0625 0,70 29,5 0,025 1,75 0,04375 0,000625 3,0625 0,75 36 0,075 8,25 0,61875 0,005625 68,0625 0,80 42 0,125 14,25 1,78125 0,015625 203,0625 4,05 i=0,675 166,5 i=27,75 4,7125 0,04375 510,875 r = i x i y x y (x )(y ) (n 1)s s       = 4,7125/(0,04375.510,875)1/2 = 4,7125/4,72766 = 0,99679 Vì r  1 cho nên sự phụ thuộc giữa hạn bền khi uốn  vào khối lượng riêng  là phụ thuộc hàm số. Sử dụng Minitab để xác định ước lượng hệ số tương quan r (R- square) 1. Nhập số liệu và lưu file 2. Trên Stat menu, chọn Basic Statistics > Correlation…(Hình 2.13).
  • 50.
    XỬ LÝ CÁCKẾT QUẢ THỐNG KÊ BAN ĐẦU VÀ CHỌN MÔ HÌNH PT HỒI QUY 51 Hình 2.13 3. Trên hộp thoại Correlation, chọn biến (Variables) và phương pháp (Method) như Hình 2.14. Hình 2.14 4. Nhấp OK thu kết quả.
  • 51.
    52 CHƯƠNG 2 Correlation:C1, C2 Pearson correlation of C1 and C2 = 0.997 P-Value = 0.000 Spearman Rho: C1, C2 Spearman rho for C1 and C2 = 1.000 P-Value = * Sử dụng Minitab để xác định R Square Xác định PTHQ y và x (Hình 2.15). (Polynomial Regression Analysis: C1 versus C2) The regression equation is C1 = - 19.1 + 63.4 C2 - 43 C2^2 + 74.1 C2^3 S = 0.541896 R-Sq = 99.9% R-Sq(adj) = 99.7% Analysis of Variance Source DF SS MS F P Regression 3 510.288 170.096 579.25 0.002 Error 2 0.587 0.294 Total 5 510.875 Sequential Analysis of Variance Source DF SS F P Linear 1 507.604 620.65 0.000 Quadratic 1 2.679 13.55 0.035 Cubic 1 0.006 0.02 0.903 Fitted Line: C1 versus C2 Hình 2.15
  • 52.
    XỬ LÝ CÁCKẾT QUẢ THỐNG KÊ BAN ĐẦU VÀ CHỌN MÔ HÌNH PT HỒI QUY 53 2.10. CHỌN MÔ HÌNH PHƯƠNG TRÌNH HỒI QUY Trên cơ sở xử lý các kết quả thống kê ta thu được mô hình toán cho đối tượng nghiên cứu. Quá trình này gọi là phân tích hồi quy, bao gồm tìm các hệ số cho mô hình toán và xử lý dữ liệu thống kê. Phụ thuộc giữa thông số đầu ra y và các nhân tố ngẫu nhiên x1,…,xk bằng cách sử dụng phân tích hồi quy gọi là mô hình hồi quy: y = f(x1, x2 … xk) (2.35) Mô hình PTHQ chỉ là trường hợp riêng mô hình toán của đối tượng. Thông số đầu ra có thể một hoặc nhiều hơn. Ví dụ, khi gia công một chi tiết trên máy công cụ thì thông số đầu ra có thể là lực cắt, độ nhám bề mặt và kích thước. Với các bài toán thiết kế có thể là ứng suất và biến dạng. Theo kết quả một thí nghiệm ta đo được nhiều thông số đầu ra, nếu so sánh với một thông số đầu ra thì ta chỉ tăng thêm chi phí cho việc đo và xử lý kết quả thực nghiệm. Mô hình hồi quy vừa tạo cho phép thu được các thông tin về chính đối tượng và phương pháp điều khiển chúng, từ mô hình này ta phân tích được ảnh hưởng của từng nhân tố đến thông số đầu ra và mô hình được sử dụng chủ yếu tối ưu hóa quá trình hoặc kết cấu. Dạng PTHQ thường cho biết trước, có thể là đa thức bậc nhất, bậc hai, bậc cao, hàm mũ, lượng giác... Để đánh giá dạng PTHQ ta kiểm tra tính thích hợp mô hình hồi quy. Theo kết quả đánh giá ta chấp nhận hay bác bỏ giả thuyết rằng mô hình hồi quy có thích hợp để mô tả đối tượng nghiên cứu không. Đa số các trường hợp ta ứng dụng mô hình hồi quy ở dạng đa thức bậc nhất hoặc bậc hai. Phương trình bậc nhất:    i i o x b b y (2.36) có tương tác:      j i ij i i o x x b x b b y (2.37) hoặc bậc hai:        j i ij 2 i ii i i o x x b x b x b b y (2.38) Tuy nhiên, trong một số trường hợp ta không thể sử dụng đa thức bậc hai được là do:
  • 53.
    54 CHƯƠNG 2 1.Sự phụ thuộc đại lượng đầu ra vào nhiều nhân tố có nhiều hơn 1 giá trị cực trị (Hình 2.16a). 2. Phụ thuộc y = f(xi) có điểm uốn (Hình 2.16b). 3. Tại vi giá trị xi, giá trị thông số đầu ra có thay đổi đột ngột (Hình 2.16c). 2 3 1 a) b) c) Hình 2.16 Trường hợp 1 và 2 ta sử dụng đa thức bậc 3 hoặc chia thành các đoạn 1-2 và 2-3 và dùng đa thức bậc 2 để mô tả. 2.11. SỬ DỤNG MINITAB XỬ LÝ DỮ LIỆU THỐNG KÊ 2.11.1. Xử lý số liệu thống kê ban đầu Tính Ví dụ 2.1 bằng Minitab: 1. Nhập số liệu Bảng 2.12 trên cột C1. Bảng 2.12 Số liệu thực nghiệm, mm 10,62 10,18 10,85 11,02 9,78 10,42 10,90 10,23 9,45 10,50 10,48 11,11 11,58 9,53 10,05 9,72 10,59 9,68 10,92 9,87 10,27 10,22 10,97 10,82 10,66 10,69 10,80 9,42 10,69 10,54 10,85 10,24 10,48 10,35 11,07 9,54 11,18 9,67 11,43 9,80 10,86 11,15 10,23 10,08 9,73 11,05 10,07 10,03 10,57 10,27 9,97 9,92 10,62 10,87 10,47 10,12 10,08 9,99 9,96 9,85 9,85 10,63 10,22 9,30 9,83 10,75 10,65 10,20 9,57 9,89 10,17 10,05 10,02 10,35 10,34 10,22 9,75 10,00 9,85 10,77 11,23 10,05 10,30 10,03 10,73 9,79 10,88 10,03 10,17 10,22 9,10 10,02 11,53 11,40 9,80 9,80 9,83 10,13 10,23 10,50 11,45 10,51 10,67 10,45 10,77 9,97 10,72 10,55 10,42 11,66 9,31 9,46 10,00 11,35 9,33 10,05 10,27 10,38 10,24 10,43 10,30 11,61 10,22 9,08 10,34 10,41 11,22 11,28 9,85 9,63 10,03 10,40 10,93 10,46 10,58 10,57 9,28 10,33 9,12 10,32 9,23 11,51 10,33 9,30 9,65 9,98 10,77 10,07 9,57 10,24
  • 54.
    XỬ LÝ CÁCKẾT QUẢ THỐNG KÊ BAN ĐẦU VÀ CHỌN MÔ HÌNH PT HỒI QUY 55 2. Trên Stat menu, chọn Basic Statistics > Display Descriptive Statistics. Hình 2.17 3. Trên hộp thoại Display Descriptive Statistics… chọn C1 và nút Select. Hình 2.18 4. Trên hộp thoại Display Descriptive Statistics: Statistics và Graphs chọn các chọn các kết quả và đồ thị cần xuất. Hình 2.19
  • 55.
    56 CHƯƠNG 2 5.Nhấp nút OK và có các kết quả như sau: Descriptive Statistics: C1 Variable Mean SE Mean StDev Variance CoefVar Minimum Maximum C1 10.306 0.0466 0.571 0.326 5.54 9.080 11.660 a) b) c) Hình 2.20
  • 56.
    XỬ LÝ CÁCKẾT QUẢ THỐNG KÊ BAN ĐẦU VÀ CHỌN MÔ HÌNH PT HỒI QUY 57 2.11.2. Kiểm tra phân phối chuẩn (Normality test) 1. Trên Stat menu, chọn Basic Statistics > Normality Test,… Hình 2.21 2. Trên hộp thoại Display Descriptive Statistics,… chọn C1 và nút Select. Hình 2.22
  • 57.
    58 CHƯƠNG 2 3.Trên mục Percentile Lines chọn None. Nhấp OK. Hình 2.23 4. Do P-Value = 0,480 > 0,05 nên kiểm tra phân phối chuẩn được thỏa. 2.11.3. Kiểm tra tính đồng nhất 2 phương sai (F-Test for Equality of Two Variances) Ví dụ 2.10 Nhiệt độ đo được khi thực nghiệm trong 2 tháng khác nhau có các kết quả Bảng 2.13. Lập bảng giá trị, xác định giá trị trung bình, độ lệch chuẩn và vẽ các biểu đồ phân bố. Nhận xét về kết quả thu được giữa 2 tháng. Yêu cầu: a) Tính giá trị trung bình và phương sai (hay độ lệch chuẩn) b) Kiểm tra tính đồng nhất hai phương sai. Bảng 2.13 Kết quả tháng 8 Kết quả tháng 9 35 39 37 35 34 38 40 37 33 38 36 35 38 39 36 35 37 35 39 36 38 27 28 29 29 27 28 23 29 24 24 25 29 21 30 33 20 32 27 28 26 22
  • 58.
    XỬ LÝ CÁCKẾT QUẢ THỐNG KÊ BAN ĐẦU VÀ CHỌN MÔ HÌNH PT HỒI QUY 59 1. Nhập các số liệu vào cột C1 và C2 2. Trên menu Stat, chọn Basic Statistics> 2 Variances… Hình 2.24 3. Trên hộp thoại Two-Sample Variance chọn C1 là Sample 1 và C2 là Sample 2. Hình 2.25 4. Chọn các nút và OK xuất kết quả.
  • 59.
    60 CHƯƠNG 2 Testand CI for Two Variances: Thang 8, Thang 9 Method Null hypothesis σ(Thang 8) / σ(Thang 9) = 1 Alternative hypothesis σ(Thang 8) / σ(Thang 9) ≠ 1 Significance level α = 0.05 Statistics 95% CI for Variable N StDev Variance StDevs Thang 8 21 1.880 3.533 (1.510, 2.581) Thang 9 21 3.437 11.814 (2.655, 4.908) Ratio of standard deviations = 0.547 Ratio of variances = 0.299 Do Fb = 2,12 < Ftt = 1/0,299 = 3,34 nên hai phương sai không đồng nhất (Ftt > Fb). 95% Confidence Intervals Method CI for StDev Ratio CI for Variance Ratio Bonett (0.370, 0.844) (0.137, 0.712) Levene (0.375, 0.966) (0.141, 0.934) Tests Test Method DF1 DF2 Statistic P-Value Bonett 1 — 6.35 0.012 Levene 1 40 4.59 0.038 P-Value < 0,05 nên hai phương sai không đồng nhất.
  • 60.
    XỬ LÝ CÁCKẾT QUẢ THỐNG KÊ BAN ĐẦU VÀ CHỌN MÔ HÌNH PT HỒI QUY 61 Test and CI for Two Variances: Thang 8, Thang 9 Hình 2.26 Histogram of Thang 8, Thang 9 Hình 2.27 Ví dụ 2.11. Thử nghiệm cho 1 loại vật liệu bánh hơi cao su ta thu được các kết quả Bảng 2.14 với kết quả là số lần hạ cánh cho đến lúc hỏng.
  • 61.
    62 CHƯƠNG 2 Bảng2.14 Số hiệu máy bay 1 2 3 4 5 6 7 8 9 10 Số lần hạ cánh cho đến lúc hỏng 7 5 64 5 5 14 45 7 55 14 25 8 61 5 24 24 56 38 32 27 57 32 14 56 49 10 5 14 7 24 57 46 7 14 38 26 7 64 32 41 68 17 18 10 32 66 8 14 8 24 Nhân xét về sự tương quan giữa các kết quả. Welcome to Minitab, press F1 for help. Test for Equal Variances: C1, C2, C3, C4, C5, C6, C7, C8, C9, C10 Hình 2.28 Method Null hypothesis All variances are equal Alternative hypothesis At least one variance is different Significance level α = 0.05 95% Bonferroni Confidence Intervals for Standard Deviations Sample N StDev CI C1 5 26.1763 (2.66029, 587.254) C2 5 21.4826 (6.68506, 157.400) C3 5 21.4826 (6.68506, 157.400) C4 5 12.6807 (1.94499, 188.498) C5 5 18.3929 (3.94742, 195.401) C6 5 7.5166 (1.22975, 104.754) C7 5 21.2438 (6.32173, 162.767) C8 5 20.8926 (3.66336, 271.671) C9 5 23.2164 (3.15183, 389.910) C10 5 24.3721 (2.96048, 457.470) Individual confidence level = 99.5%
  • 62.
    XỬ LÝ CÁCKẾT QUẢ THỐNG KÊ BAN ĐẦU VÀ CHỌN MÔ HÌNH PT HỒI QUY 63 Tests Test Method Statistic P-Value Multiple comparisons — 0.601 Levene 0.22 0.990 Hình 2.29 2.11.4. Giá trị p (p – value - Probability value) Về bản chất thì p-value và α cùng có nghĩa là mức ý nghĩa (level of significance). Tuy nhiên α được chọn trước, còn p-value là giá trị được xác định khi quan sát. Khi kiểm nghiệm một giả thuyết, chúng ta chọn một mức ý nghĩa (α), và sau đó tính toán số liệu thống kê dựa trên dữ liệu để xác định một mức ý nghĩa quan sát được (p-value). Cuối cùng, so sánh 2 mức này (α và p- value) để đưa ra quyết định bác bỏ giả thuyết hoặc không bác bỏ giả thuyết. Giá trị p-value và α được xác định theo điểm phân vị của phân phối chuẩn và được ký hiệu là z là tỉ số của giá trị trung bình m và độ lệch chuẩn S (tra theo Phụ lục 4): z = m S
  • 63.
    64 CHƯƠNG 2 Diệntích của miền bác bỏ (rejection region) Theo định nghĩa, α là phần diện tích phía dưới phân phối chuẩn. Với kiểm nghiệm 1-đuôi (1-tailed test), α sẽ là toàn bộ phần diện tích ở phía đuôi phải (right-tailed test) hoặc đuôi trái (left-tailed test). Hình 2.30 Kiểm nghiệm một đuôi: a) đuôi trái; b) đuôi phải Đối với kiểm nghiệm 2-đuôi (2-tailed test), phần diện tích sẽ được chia đều giữa phần đuôi phải (right-tailed) và đuôi trái (left-tailed): Hình 2.31 Kiểm nghiệm hai đuôi Vì p-value là mức ý nghĩa quan sát được, nó cũng là phần diện tích ở dưới phân phối chuẩn. Điểm khác biệt chính giữa α và p: - α tương ứng với giá trị tra bảng zc (critical value zc - được xác định theo giá trị điểm phân vị zc = m/s và được chọn trước). Ví dụ, đuôi phải test với giá trị tra bảng zc = 1,65; khi đó α tương ứng là 5 % . - p tương ứng giá trị tính toán ztt (calculated value - được tính toán): ztt được tính từ các số liệu thống kê. Ví dụ, nếu ta tính ra ztt = 2,00 giá trị p-value tương ứng sẽ là 2,27 % (xem Phụ lục 5). Chúng ta có thể lấy được con số này bằng tra bảng phân phối chuẩn, giá trị ứng với z = 2,00 là 0,9773, đồng nghĩa với việc phần diện tích ở phía phải của z = 1,80 là 1 – 0,9773 = 0,0227, hay 2,27 %).
  • 64.
    XỬ LÝ CÁCKẾT QUẢ THỐNG KÊ BAN ĐẦU VÀ CHỌN MÔ HÌNH PT HỒI QUY 65 Nếu giá trị tra bảng zc = 1,65 và giá trị tính toán ztt = 2,0 chúng ta sẽ bác bỏ giả thuyết Null (Null hypothesis). Một cách nói khác là nếu chúng ta có α = 5 % và p-value = 2,27 %, ta bác bỏ giả thuyết. Đồ thị minh họa như sau: Hình 2.32 Giả thuyết Null (α= 5%; 1 – đuôi, p = 2,27%) Tổng quát hóa: nếu p < α thì bác bỏ giả thuyết Null, ngược lại nếu p > α thì không bác bỏ giả thuyết Null. Với kiểm nghiệm 1-đuôi, một vài ví dụ của p-value và giá trị z tương ứng trong Bảng 2.15 (Phụ lục 5). Bảng 2.15 1-Tailed Test 2-Tailed Test p-value z - statistic p-value z-statistic 0,50% 2,58 0,50 % ±2,81 1,00% 2,33 1,00 % ±2,58 1,50% 2,17 1,50% ±2,43 2,00% 2,05 2,00% ±2,33 2,50% 1,96 2,50% ±2,24 5,00% 1,64 5,00% ±1,96 10,00% 1,28 10,00% ±1,64 15,00% 1,04 15,00% ±1,44 20,00% 0,84 20,00% ±1,28
  • 65.
    66 CHƯƠNG 2 Vídụ 2.12 Giả sử đang thực hiện kiểm nghiệm 2-đuôi. Mức ý nghĩa α được chọn là 5 %, và kết quả tính được p-value là 2%. Cho biết các giá trị tra bảng zc, z- tính toán tương ứng? Dựa vào đó, bác bỏ hay không bác bỏ giả thuyết Null ? Giải: Do p < α nên chúng ta bác bỏ giả thuyết Null. Vùng bác bỏ (α – màu đỏ) và p-value – màu xanh được minh họa như Hình 2.33. Hình 2.33 α= 5%; 2 – đuôi, p = 2% Vì là kiểm định 2 đuôi, chúng ta tìm trong bảng các giá trị z tương ứng với 2,5% (= 5%/2) và 1% (= 2%/2). Ta tìm được zc tra bảng là 1,96 và −1,96 và ztt giá trị tính toán là 2,33 hoặc -2,33. Bởi vì 1,96 < 2,33 và -1,96 > -2,33; ta bác bỏ giả thuyết Null. Kurtosis là một chỉ số để đo lường về đặc điểm hình dáng của một phân phối xác suất. Cụ thể hơn, nó so sánh độ cao phần trung tâm của một phân phối với một phân phối chuẩn. Phần trung tâm càng cao và nhọn, chỉ số Kurtosis của phân phối đó càng lớn. Hay nói cách khác, Kurtosis đo lường độ phân tán phần đuôi của một phân phối xác suất. Tùy vào giá trị kurtosis: 3 - phân phối chuẩn; < 3: nhọn hơn (Platykurtic – 2,7); > 3: tù hơn (Leptokurtic – 4) như Hình 2.34.
  • 66.
    XỬ LÝ CÁCKẾT QUẢ THỐNG KÊ BAN ĐẦU VÀ CHỌN MÔ HÌNH PT HỒI QUY 67 Hình 2.34 Kurtosis Kurtosis của một mẫu được xác định theo công thức sau:             N N 4 4 i i i 1 i 1 4 4 (x x) (x x) N(N 1) 1 Kurtosis (N 1)(N 2)(N 3) N S S (2.39) Lưu ý, tuy trên đồ thị không thể hiện rõ lắm, nhưng phân phối Leptokurtic có phần đuôi (phần lớn hơn +4 và nhỏ hơn -4) “rộng” hơn phân phối chuẩn khoảng gấp đôi, và phân phối Platykurtic có phần đuôi “hẹp” hơn phân phối chuẩn khoảng một nửa. Độ lệch (skewness) của một phân phối xác suất đo lường sự đối xứng của phân phối đó. Giá trị tuyệt đối của độ lệch càng cao thì phân phối đó càng bất đối xứng. Một phân phối đối xứng có độ lệch bằng 0. Độ lệch được xác định theo công thức sau:           N N 3 3 i i i 1 i 1 3 3 (x x) (x x) N 1 Skewness (N 1)(N 2) N S S (2.40) Tính chất quan trọng của độ lệch được minh họa qua Hình 2.35 với một phân phối có một mode duy nhất, cần phải biết giá trị tương đối của giá trị trung bình (mean), mốt (mode) và trung vị (median). Nếu phân phối có độ lệch dương – nó sẽ bị lệch sang trái – khi đó: mean > median > mode. Ngược lại, nếu phân phối có độ lệch âm – nó sẽ bị lệch sang phải – khi đó: mean < median < mode.
  • 67.
    68 CHƯƠNG 2 a)Độ lệch dương b) Độ lệch chuẩn c) Độ lệch âm Hình 2.35 Skewness (Độ lệch) BÀI TẬP 2.1. Thời gian làm việc cho đến lúc hỏng của sản phẩm điện tử cho trong dãy số sau: 159; 280; 125; 212; 224; 379; 179; 264; 222; 362; 125; 250; 149; 260; 420; 170; 285; 290; 286; 320; 333; 250; 246; 340; 320. Lập bảng, xác định giá trị trung bình, độ lệch chuẩn và vẽ các biểu đồ phân bố. 2.2. Khi đo kiểm tra 15 lần chỉ số Octan của 1 loại nhiên liệu ta thu được các kết quả Bảng 2.16. Bảng 2.16 38 41 41 42 39 38 41 44 45 41 44 42 41 40 40 42 45 41 44 43 43 37 40 39 41 Lập bảng giá trị, xác định giá trị trung bình, độ lệch chuẩn và vẽ các biểu đồ phân bố. 2.3. Số sản phẩm được chế tạo bởi một xí nghiệp thu được các giá trị Bảng 2.17. Bảng 2.17 136 134 143 118 128 141 134 150 122 127 122 149 134 128 136 144 125 126 142 142 132 238 128 122 132 138 140 135 127 144 128 127 131 130 126 133 135 136 127 125 123 119 118 139 124 127 129 150 132 132 133 137 133 145 117 150 138 135 145 145 130 133 131 122 139 144 138 138 140 137 131 130 132 130 132 133 147 140 133 132
  • 68.
    XỬ LÝ CÁCKẾT QUẢ THỐNG KÊ BAN ĐẦU VÀ CHỌN MÔ HÌNH PT HỒI QUY 69 Lập bảng giá trị, xác định giá trị trung bình, độ lệch chuẩn và vẽ các biểu đồ phân bố. 2.4. Giới hạn chảy (MPa) khi thử nghiệm 100 mẫu của 1 loại vật liệu có các giá trị Bảng 2.18. Bảng 2.18 150 152 163 161 139 166 142 156 154 160 154 150 141 159 153 135 144 148 150 148 148 166 148 149 154 158 150 153 151 138 149 158 139 146 136 155 145 151 154 141 160 138 153 156 166 138 145 150 138 158 147 151 171 152 169 136 146 158 154 156 158 147 141 130 147 136 157 168 158 167 164 136 143 137 152 150 125 139 134 155 153 160 156 142 156 159 144 139 146 144 135 160 164 152 154 173 132 164 154 147 Lập bảng giá trị, xác định giá trị trung bình, độ lệch chuẩn và vẽ các biểu đồ phân bố. 2.5. Nhiệt độ đo được khi thực nghiệm trong 2 tháng khác nhau có các kết quả như Bảng 2.19 (Số mẫu khác nhau). Bảng 2.19 Kết quả tháng 8 Kết quả tháng 9 35 39 37 35 34 38 40 37 33 38 36 35 38 36 35 37 35 39 36 27 28 29 29 27 28 23 29 24 24 25 29 21 30 33 20 32 27 28 26 22 Lập bảng giá trị, xác định giá trị trung bình, độ lệch chuẩn và vẽ các biểu đồ phân bố. Nhận xét về kết quả thu được giữa 2 tháng. Yêu cầu: a) Tính giá trị trung bình và phương sai (hay độ lệch chuẩn) b) Kiểm tra các sai số lớn c) Kiểm tra tính đồng nhất hai phương sai. 2.6. Thời gian thực hiện sản phẩm cho trong Bảng 2.20.
  • 69.
    70 CHƯƠNG 2 Bảng2.20 Yêu cầu: a) Tính giá trị trung bình và phương sai (hay độ lệch chuẩn) b) Kiềm tra các sai số lớn c) Kiểm tra tính đồng nhất hai phương sai. 2.7. Tiến hành thực nghiệm để xác định tuổi thọ 1 loại bánh hơi cao su của càng máy bay cho 10 máy bay khác nhau. Kết quả thu được là số lần hạ cánh máy bay cho đến lúc bánh hơi bằng cao su bị hỏng. Đối với mỗi máy bay ta thu 5 kết quả khác nhau. a) Đối với mỗi máy bay lập bảng giá trị, xác định giá trị trung bình, độ lệch chuẩn và vẽ các biểu đồ phân bố. b) Nhận xét và giải thích về các kết quả thu được. Bảng 2.21 Số hiệu máy bay 1 2 3 4 5 6 7 8 9 10 Số lần hạ cánh cho đến lúc bánh hơi bị hỏng 7 5 64 5 5 14 45 7 55 14 25 8 61 5 24 24 56 38 32 27 57 32 14 56 49 10 5 14 7 24 57 46 7 14 38 26 7 64 32 41 68 17 18 10 32 66 8 14 8 24 c) Tiếp tục thử nghiệm cho 1 loại vật liệu bánh hơi cao su khác ta thu được các kết quả sau: Số hiệu máy bay 1 2 3 4 5 6 7 8 9 10 Số lần hạ cánh cho đến lúc bánh hơi bị hỏng 7 5 64 5 5 14 45 7 55 14 25 8 61 5 24 24 56 38 32 27 57 32 14 56 49 10 5 14 7 24 57 46 7 14 38 26 7 64 32 41 68 17 18 10 32 66 8 14 8 24 Nhận xét về sự tương quan giữa các kết quả.
  • 70.
    XỬ LÝ CÁCKẾT QUẢ THỐNG KÊ BAN ĐẦU VÀ CHỌN MÔ HÌNH PT HỒI QUY 71 2.8. Bài tập lớn Khi tiện chi tiết trục trên máy tiện ta đo được các giá trị đường kính d theo các phương án sau. Yêu cầu: a) Xác định các đặc tính phân bố giá trị đường kính d (giá trị trung bình, độ lệch chuẩn). b) Hàm mật độ phân phối f(d), vẽ đồ thị. c) Kiểm tra bằng phần mềm Minitab. So sánh kết quả. d) Tìm khoảng tin cậy kỳ vọng và số thí nghiêm lặp. e) Tìm giá trị trung bình và độ lệch chuẩn 20 giá trị đầu và 20 giá trị cuối, đánh giá tính đồng nhất 2 phương sai . f) Tìm giá trị trung bình và độ lệch chuẩn 10 giá trị đầu và 40 giá trị cuối, đánh giá tính đồng nhất 2 phương sai. g) Đánh giá số nhỏ nhất và lớn nhất có phải sai số thô không? Phương án 1 45,455 45,308 45,537 45,691 45,680 45,760 45,172 45,465 45,664 45,337 45,396 45,246 45,223 45,353 45,384 45,182 45,415 45,439 45,520 45,445 45,451 45,444 45,701 45,487 45,472 45,423 45,796 45,630 45,856 45,402 45,749 45,258 45,581 45,635 45,788 45,487 45,421 45,601 45,443 45,614 45,283 45,373 45,272 45,446 45,495 45,504 45,452 45,829 45,239 45,390 45,113 45,717 45,308 45,402 45,614 45,570 45,631 45,589 45,294 45,333 45,604 45,548 45,359 45,464 45,520 45,584 45,521 45,363 45,783 45,573 45,511 45,624 45,629 45,405 45,362 45,667 45,320 45,266 45,607 45,596 Phương án 2 29,680 29,404 29,593 29,467 29,307 29,438 29,512 29,428 29,578 29,730 29,378 29,593 29,407 29,549 29,247 29,740 29,286 29,430 29,583 29,479 29,553 29,251 29,285 29,389 29,367 29,398 29,556 29,490 29,513 29,279 29,274 29,597 29,231 29,486 29,523 29,357 29,631 29,480 29,461 29,517 29,463 29,383 29,379 29,483 29,317 29,211 29,649 29,490 29,696 29,481 29,485 29,691 29,617 29,357 29,395 29,527 29,740 29,648 29,532 29,404 29,512 29,652 29,749 29,741 29,708 29,449 29,477 29,501 29,500 29,507 29,274 29,412 29,292 29,425 29,620 29,675 29,224 29,394 29,762 29,633
  • 71.
    72 CHƯƠNG 2 Phươngán 3 37,499 37,495 37,614 37,368 37,478 37,586 37,611 37,510 37,451 37,476 37,327 37,646 37,553 37,348 37,312 37,467 37,521 37,657 37,509 37,299 37,430 37,432 37,422 37,567 37,446 37,421 37,609 37,330 37,444 37,478 37,402 37,767 37,613 37,738 37,943 37,563 37,333 37,614 37,652 37,552 37,638 37,484 37,665 37,517 37,593 37,353 37,444 37,471 37,506 37,367 37,401 37,507 37,578 37,560 37,521 37,389 37,491 37,416 37,571 37,281 37,484 37,416 37,462 37,270 37,334 37,286 37,419 37,474 37,443 37,785 37,432 37,290 37,537 37,501 37,498 37,567 37,425 37,506 37,371 37,610 Phương án 4 53,822 53,727 53,349 53,525 53,572 53,531 53,409 53,692 53,803 53,586 53,734 53,323 53,626 53,335 53,726 53,440 53,954 53,555 53,765 53,573 53,383 53,471 53,608 53,577 53,621 53,294 53,601 53,594 53,416 53,510 53,167 53,691 53,559 53,228 53,459 53,476 53,584 53,563 53,215 53,529 53,509 53,478 53,734 53,444 53,359 53,368 53,487 53,652 53,371 53,344 53,541 53,380 53,276 53,402 53,440 53,113 53,505 53,780 53,542 53,290 53,623 53,698 53,685 53,284 53,607 53,360 53,624 53,512 53,389 53,554 53,433 53,627 53,306 53,464 53,371 53,656 53,481 53,504 53,474 53,628 Phương án 5 43,697 43,696 43,639 43,517 43,610 43,740 43,433 43,538 43,524 43,582 43,505 43,659 43,566 43,638 43,585 43,334 43,560 43,917 43,215 43,743 43,283 43,616 43,575 43,497 43,333 43,573 43,412 43,354 43,597 43,341 43,504 43,415 43,175 43,336 43,747 43,335 43,590 43,774 43,438 43,214 43,605 43,186 43,718 43,509 43,282 43,775 43,491 43,848 43,402 43,421 43,429 43,738 43,328 43,531 43,369 43,990 43,492 43,447 43,327 43,768 43,491 43,334 43,838 43,439 43,587 43,394 43,507 43,402 43,510 43,342 43,647 43,344 43,489 43,806 43,602 43,673 43,570 43,600 43,537 43,685 Phương án 6 43,697 43,696 43,639 43,517 43,610 43,740 43,433 43,538 43,524 43,582 43,505 43,659 43,566 43,638 43,585 43,334 43,560 43,917 43,215 43,743 43,283 43,616 43,575 43,497 43,333 43,573 43,412 43,354 43,597 43,341 43,504 43,415 43,175 43,336 43,747 43,335 43,590 43,774 43,438 43,214 43,605 43,186 43,718 43,509 43,282 43,775 43,491 43,848 43,402 43,421 43,429 43,738 43,328 43,531 43,369 43,990 43,492 43,447 43,327 43,768 43,491 43,334 43,838 43,439 43,587 43,394 43,507 43,402 43,510 43,342 43,647 43,344 43,489 43,806 43,602 43,673 43,570 43,600 43,537 43,685
  • 72.
    XỬ LÝ CÁCKẾT QUẢ THỐNG KÊ BAN ĐẦU VÀ CHỌN MÔ HÌNH PT HỒI QUY 73 Phương án 7 23,822 23,727 23,349 23,525 23,572 23,531 23,409 23,692 23,803 23,586 23,734 23,323 23,626 23,335 23,726 23,440 23,954 23,555 23,765 23,573 23,383 23,471 23,608 23,577 23,621 23,294 23,601 23,594 23,416 23,510 23,167 23,691 23,559 23,228 23,459 23,476 23,584 23,563 23,215 23,529 23,509 23,478 23,734 23,444 23,359 23,368 23,487 23,652 23,371 23,344 23,541 23,380 23,276 23,402 23,440 23,113 23,505 23,780 23,542 23,290 23,623 23,698 23,685 23,284 23,607 23,360 23,624 23,512 23,389 23,554 23,433 23,627 23,306 23,464 23,371 23,656 23,481 23,504 23,474 23,628 Phương án 8 29,680 29,292 29,593 29,467 29,307 29,438 29,512 29,428 29,578 29,404 29,378 29,593 29,407 29,549 29,247 29,740 29,286 29,730 29,583 29,479 29,553 29,251 29,285 29,389 29,367 29,430 29,556 29,490 29,513 29,279 29,274 29,597 29,231 29,398 29,523 29,357 29,631 29,480 29,461 29,517 29,463 29,486 29,379 29,483 29,317 29,211 29,649 29,490 29,696 29,383 29,485 29,691 29,617 29,357 29,395 29,527 29,449 29,481 29,532 29,404 29,512 29,652 29,749 29,741 29,740 29,648 29,477 29,501 29,500 29,507 29,274 29,412 29,708 29,425 29,620 29,675 29,224 29,394 29,762 29,633 Phương án 9 32,680 32,404 32,593 32,467 32,307 32,438 32,512 32,428 32,578 32,730 32,378 32,593 32,407 32,549 32,247 32,740 32,286 32,430 32,583 32,479 32,553 32,251 32,285 32,389 32,367 32,398 32,242 32,024 32,513 32,279 32,274 32,597 32,231 32,486 32,523 32,357 32,631 32,480 32,461 32,517 32,463 32,383 32,379 32,483 32,317 32,211 32,649 32,490 32,696 32,383 32,485 32,691 32,617 32,357 32,395 32,527 32,740 32,648 32,532 32,404 32,512 32,132 32,749 32,741 32,708 32,449 32,477 32,501 32,500 32,507 32,274 32,896 32,292 32,425 32,620 32,675 32,224 32,394 32,762 32,633 Phương án 10 45,387 45,418 45,527 45,580 45,303 45,405 45,611 45,410 45,450 45,591 45,501 45,577 45,252 45,811 45,670 45,763 45,113 45,569 45,520 45,206 45,308 45,351 45,810 45,703 45,585 45,396 45,322 45,406 45,242 45,391 45,315 45,305 45,670 45,479 45,560 45,337 45,658 45,338 45,572 45,454 45,780 45,726 45,269 45,584 45,536 45,277 45,341 45,678 45,572 45,498 45,525 45,550 45,547 45,566 45,410 45,329 45,803 45,347 45,428 45,298 45,571 45,559 45,484 45,542 45,704 45,656 45,495 45,666 45,405 45,545 45,677 45,534 45,495 45,553 45,364 45,452 45,325 45,549 45,431 45,856
  • 73.
    74 CHƯƠNG 2 Phươngán 11 142,197 142,271 142,563 142,313 142,475 142,715 142,534 142,479 142,396 142,558 142,469 142,532 142,797 142,755 142,605 142,553 142,701 142,490 142,516 142,214 142,300 142,116 142,356 142,289 142,556 142,596 142,575 142,632 142,563 142,307 142,567 142,391 142,595 142,499 142,471 142,670 142,373 142,761 142,544 142,688 142,305 142,544 142,566 142,377 142,578 142,437 142,385 142,936 142,766 142,793 142,398 142,513 142,456 142,677 142,319 142,359 142,525 142,781 142,570 142,661 142,398 142,619 142,756 142,275 142,192 142,397 142,454 142,237 142,583 142,291 142,207 142,747 142,445 142,518 142,712 142,636 142,478 142,373 142,461 142,288 Phương án 12 105,174 105,570 105,675 105,336 105,383 105,340 105,254 105,521 105,603 105,828 105,871 105,267 105,296 105,568 105,574 105,761 105,273 105,357 105,284 105,625 105,669 105,377 105,314 105,731 105,438 105,524 105,207 105,657 105,592 105,516 105,717 105,523 105,243 105,441 105,466 105,649 105,184 105,262 105,403 105,749 105,758 105,575 105,468 105,566 105,406 105,488 105,420 105,603 105,455 105,572 105,471 105,488 105,112 105,473 105,585 105,797 105,351 105,714 105,776 105,376 105,670 105,140 105,468 105,567 105,602 105,645 105,550 105,460 105,685 105,379 105,361 105,649 105,784 105,609 105,387 105,779 105,992 105,403 105,384 105,506 Phương án 13 54,405 54,398 54,517 54,389 54,639 54,630 54,604 54,551 54,446 54,802 54,160 54,533 54,355 54,757 54,441 54,779 54,672 54,440 54,520 54,496 54,614 54,494 54,495 54,966 54,558 54,473 54,578 54,283 54,737 54,458 54,494 54,253 54,394 54,512 54,321 54,526 54,340 54,669 54,663 54,597 54,644 54,518 54,598 54,553 54,259 54,324 54,857 54,730 54,581 54,597 54,760 54,593 54,225 54,988 54,491 54,783 54,469 54,359 54,435 54,840 54,737 54,543 54,513 54,534 54,899 54,512 54,618 54,466 54,658 54,392 54,682 54,496 54,359 54,498 54,611 54,584 54,559 54,943 54,957 54,577 Phương án 14 73,822 73,727 73,349 73,525 73,572 73,531 73,409 73,692 73,803 73,126 73,734 73,323 73,195 73,500 73,726 73,440 73,954 73,555 73,765 73,573 73,383 73,471 73,608 73,780 73,621 73,294 73,601 73,594 73,416 73,510 73,167 73,691 73,559 73,228 73,459 73,476 73,584 73,563 73,406 73,529 73,509 73,478 73,734 73,444 73,359 73,368 73,487 73,652 73,371 73,344 73,541 73,219 73,276 73,593 73,440 73,113 73,505 73,780 73,542 73,290 73,623 73,698 73,685 73,874 73,607 73,360 73,624 73,512 73,389 73,313 73,687 73,627 73,306 73,464 73,371 73,656 73,481 73,504 73,474 73,628
  • 74.
    XỬ LÝ CÁCKẾT QUẢ THỐNG KÊ BAN ĐẦU VÀ CHỌN MÔ HÌNH PT HỒI QUY 75 Phương án 15 42,116 42,424 42,909 42,368 42,279 42,681 42,804 42,932 42,219 42,328 42,319 42,901 42,189 42,307 42,399 42,851 42,322 42,321 42,599 42,478 42,318 42,390 42,666 42,387 42,425 42,427 42,117 42,869 42,934 42,648 42,895 42,461 42,528 42,507 42,900 42,277 42,555 42,929 42,709 42,309 42,631 42,531 42,400 42,544 42,807 42,142 42,649 42,687 42,734 42,602 42,632 42,449 42,689 42,241 42,603 42,803 42,837 42,722 42,566 42,369 42,333 42,297 42,877 42,688 42,218 42,709 42,538 42,357 42,888 42,444 42,629 42,348 42,320 42,836 42,599 42,258 42,547 42,682 42,364 42,686 Phương án 16 17,397 17,418 17,547 17,580 17,303 17,405 17,611 17,410 17,450 17,591 17,501 17,364 17,252 17,801 17,387 17,913 17,499 17,569 17,520 17,672 17,308 17,351 17,810 17,703 17,585 17,396 17,322 17,425 17,242 17,872 17,355 17,305 17,670 17,479 17,560 17,337 17,658 17,338 17,572 17,454 17,780 17,726 17,269 17,584 17,536 17,277 17,341 17,679 17,572 17,498 17,525 17,550 17,557 17,566 17,410 17,329 17,803 17,347 17,428 17,595 17,971 17,557 17,691 17,542 17,704 17,656 17,495 17,666 17,405 17,545 17,677 17,534 17,495 17,553 17,364 17,452 17,325 17,549 17,431 17,724 Phương án 17 77,317 77,438 77,529 77,880 77,333 77,435 77,621 77,490 77,410 77,531 77,501 77,364 77,252 77,810 77,387 77,413 77,499 77,549 77,520 77,672 77,308 77,351 77,800 77,703 77,535 77,396 77,392 77,406 77,272 77,882 77,315 77,305 77,640 77,499 77,560 77,387 77,678 77,338 77,592 77,454 77,780 77,726 77,269 77,594 77,536 77,277 77,341 77,678 77,582 77,498 77,525 77,550 77,547 77,566 77,410 77,329 77,803 77,347 77,428 77,565 77,570 77,559 77,691 77,542 77,708 77,653 77,405 77,606 77,405 77,845 77,687 77,504 77,490 77,503 77,374 77,252 77,335 77,589 77,436 77,723 Phương án 18 25,405 25,309 25,597 25,691 25,680 25,769 25,132 25,485 25,664 25,337 25,396 25,246 25,222 25,353 25,384 25,182 25,415 25,439 25,527 25,445 25,451 25,444 25,701 25,487 25,479 25,423 25,796 25,630 25,856 25,402 25,749 25,288 25,581 25,635 25,888 25,487 25,491 25,601 25,843 25,684 25,253 25,373 25,272 25,446 25,490 25,564 25,452 25,629 25,239 25,320 25,113 25,717 25,308 25,402 25,614 25,579 25,631 25,589 25,694 25,333 25,684 25,548 25,359 25,484 25,520 25,584 25,561 25,363 25,783 25,573 25,581 25,654 25,699 25,405 25,362 25,777 25,329 25,286 25,607 25,599
  • 75.
    76 CHƯƠNG 2 Phươngán 19 140,997 140,271 140,563 140,493 140,475 140,340 140,254 140,521 140,603 140,558 140,469 140,532 140,707 140,755 140,574 140,761 140,273 140,357 140,516 140,214 140,300 140,116 140,356 140,731 140,439 140,524 140,207 140,632 140,563 140,307 140,567 141,391 140,243 140,441 140,466 140,649 140,373 140,761 140,504 140,688 140,305 140,575 140,468 140,566 140,406 140,437 140,385 140,936 140,766 140,793 140,471 140,488 140,112 140,473 140,319 140,359 140,525 140,781 140,570 140,376 140,690 140,140 140,468 140,215 140,192 140,397 140,454 140,237 140,685 140,379 140,361 140,649 140,499 140,518 140,712 140,636 140,478 140,403 140,384 140,506 140,285 Phương án 20 25,405 25,309 25,597 25,691 25,680 25,769 25,132 25,485 25,664 25,337 25,396 25,246 25,222 25,353 25,384 25,182 25,415 25,439 25,527 25,445 25,451 25,444 25,701 25,487 25,479 25,423 25,796 25,630 25,856 25,402 25,749 25,288 25,581 25,635 25,888 25,487 25,491 25,601 25,843 25,684 25,253 25,373 25,272 25,446 25,490 25,564 25,452 25,629 25,239 25,320 25,113 25,717 25,308 25,402 25,614 25,579 25,631 25,589 25,694 25,333 25,684 25,548 25,359 25,484 25,520 25,584 25,561 25,363 25,783 25,573 25,581 25,654 25,699 25,405 25,362 25,777 25,329 25,286 25,607 25,599 Phương án 21 13,822 13,727 13,349 13,525 13,303 13,405 13,611 13,410 13,803 13,586 13,734 13,323 13,252 13,811 13,836 13,413 13,954 13,555 13,765 13,573 13,308 13,351 13,810 13,703 13,621 13,294 13,601 13,594 13,242 13,358 13,549 13,305 13,559 13,228 13,459 13,476 13,658 13,338 13,572 13,454 13,509 13,478 13,734 13,444 13,536 13,277 13,341 13,678 13,371 13,344 13,541 13,380 13,547 13,566 13,410 13,932 13,505 13,780 13,542 13,290 13,571 13,559 13,691 13,542 13,607 13,360 13,624 13,512 13,453 13,545 13,645 13,534 13,306 13,464 13,371 13,656 13,325 13,549 13,431 13,724 Phương án 22 12,116 12,424 12,909 12,368 12,279 12,681 12,804 12,932 12,219 12,328 12,319 12,901 12,189 12,307 12,399 12,851 12,322 12,321 12,599 12,478 12,318 12,390 12,666 12,387 12,425 12,427 12,117 12,869 12,934 12,648 12,895 12,461 12,528 12,507 12,900 12,277 12,555 12,929 12,709 12,309 12,631 12,531 12,400 12,544 12,807 12,142 12,649 12,387 12,734 12,602 12,632 12,449 12,689 12,241 12,603 12,803 12,837 12,722 12,566 12,369 12,333 12,297 12,877 12,688 12,218 12,709 12,538 12,357 12,888 12,444 12,629 12,348 12,320 12,836 12,599 12,158 12,547 12,682 12,364 12,686
  • 76.
    XỬ LÝ CÁCKẾT QUẢ THỐNG KÊ BAN ĐẦU VÀ CHỌN MÔ HÌNH PT HỒI QUY 77 Phương án 23 17,489 17,495 17,614 17,368 17,478 17,586 17,611 17,510 17,451 17,476 17,329 17,646 17,553 17,348 17,312 17,467 17,521 17,657 17,509 17,299 17,430 17,432 17,422 17,567 17,446 17,421 17,609 17,330 17,444 17,478 17,402 17,767 17,613 17,738 17,943 17,563 17,333 17,694 17,652 17,552 17,638 17,484 17,666 17,517 17,593 17,353 17,444 17,471 17,506 17,367 17,401 17,507 17,578 17,560 17,521 17,389 17,491 17,416 17,571 17,281 17,484 17,416 17,462 17,270 17,334 17,286 17,419 17,474 17,443 17,785 17,432 17,290 17,537 17,501 17,498 17,567 17,425 17,506 17,371 17,610 Phương án 24 33,349 33,525 33,572 33,822 33,727 33,531 33,409 33,692 33,734 33,323 33,626 33,803 33,586 33,335 33,726 33,440 33,765 33,573 33,383 33,954 33,555 33,471 33,608 33,577 33,601 33,594 33,416 33,621 33,294 33,510 33,167 33,691 33,459 33,476 33,584 33,559 33,228 33,563 33,215 33,529 33,734 33,444 33,359 33,509 33,478 33,368 33,487 33,652 33,541 33,380 33,276 33,371 33,344 33,402 33,440 33,113 33,542 33,290 33,623 33,505 33,780 33,698 33,685 33,284 33,624 33,512 33,389 33,607 33,360 33,554 33,433 33,627 33,371 33,656 33,481 33,306 33,464 33,504 33,474 33,628 Phương án 25 19,405 19,611 19,410 19,166 19,527 19,580 19,903 19,418 19,811 19,836 19,813 19,450 19,501 19,364 19,252 19,591 19,351 19,810 19,703 19,499 19,520 19,672 19,308 19,569 19,358 19,549 19,305 19,585 19,741 19,406 19,242 19,396 19,338 19,572 19,454 19,670 19,560 19,837 19,658 19,479 19,277 19,341 19,678 19,780 19,269 19,584 19,536 19,726 19,566 19,410 19,932 19,572 19,525 19,262 19,547 19,498 19,999 19,691 19,542 19,803 19,428 19,565 19,571 19,347 19,545 19,645 19,534 19,704 19,495 19,666 19,953 19,656 19,549 19,431 19,724 19,495 19,364 19,452 19,325 19,553 Phương án 26 10,493 10,755 10,731 10,649 10,437 10,359 10,397 10,384 10,707 10,356 10,243 10,406 10,319 10,192 10,712 10,521 10,116 10,391 10,575 10,473 10,215 10,518 10,254 10,273 10,567 10,305 10,471 10,468 10,499 10,563 10,761 10,524 10,688 10,793 10,376 10,649 10,271 10,532 10,439 10,466 10,766 10,570 10,685 10,997 10,469 10,300 10,441 10,566 10,781 10,237 10,403 10,558 10,214 10,307 10,468 10,112 10,454 10,478 10,603 10,516 10,563 10,504 10,488 10,140 10,636 10,340 10,357 10,632 10,761 10,936 10,690 10,361 10,475 10,574 10,207 10,373 10,385 10,525 10,379 10,506
  • 77.
    78 CHƯƠNG 2 Phươngán 27 33,371 33,656 33,481 33,306 33,464 33,504 33,474 33,628 33,734 33,444 33,359 33,509 33,478 33,368 33,487 33,652 33,541 33,380 33,276 33,371 33,344 33,402 33,440 33,113 33,542 33,290 33,623 33,505 33,780 33,698 33,685 33,284 33,624 33,512 33,389 33,607 33,360 33,554 33,433 33,627 33,349 33,525 33,572 33,822 33,727 33,531 33,409 33,692 33,734 33,323 33,626 33,803 33,586 33,335 33,726 33,440 33,765 33,573 33,383 33,954 33,555 33,471 33,608 33,577 33,601 33,594 33,416 33,621 33,294 33,510 33,167 33,691 33,349 33,525 33,572 33,822 33,727 33,531 33,409 33,692 Phương án 28 140,632 140,563 140,307 140,567 141,391 140,243 140,441 140,466 140,649 140,373 140,761 140,504 140,688 140,305 140,575 140,468 140,566 140,406 140,437 140,385 140,936 140,766 140,793 140,471 140,488 140,112 140,473 140,997 140,271 140,563 140,493 140,475 140,340 140,254 140,521 140,603 140,558 140,469 140,532 140,707 140,755 140,574 140,761 140,273 140,357 140,516 140,214 140,300 140,116 140,356 140,731 140,439 140,524 140,207 140,319 140,359 140,525 140,781 140,570 140,376 140,690 140,140 140,468 140,499 140,518 140,712 140,636 140,478 140,403 140,384 140,506 140,301 140,215 140,192 140,397 140,454 140,237 140,685 140,379 140,361 140,649 Phương án 29 140,997 140,271 140,563 140,493 140,475 140,340 140,254 140,521 140,603 140,558 140,469 140,532 140,707 140,755 140,574 140,761 140,273 140,357 140,516 140,214 140,300 140,116 140,356 140,731 140,439 140,524 140,207 140,215 140,192 140,397 140,454 140,237 140,685 140,379 140,361 140,649 140,997 140,271 140,563 140,493 140,475 140,340 140,254 140,521 140,603 140,558 140,469 140,532 140,707 140,755 140,574 140,761 140,273 140,357 140,516 140,214 140,300 140,116 140,356 140,731 140,439 140,524 140,207 140,319 140,359 140,525 140,781 140,570 140,376 140,690 140,140 140,468 140,712 140,636 140,478 140,403 140,384 140,506 140,761 140,504 140,688 Phương án 30 25,253 25,373 25,272 25,446 25,490 25,564 25,452 25,629 25,239 25,320 25,113 25,717 25,308 25,402 25,614 25,579 25,520 25,584 25,561 25,363 25,783 25,573 25,581 25,654 25,699 25,405 25,362 25,777 25,329 25,286 25,607 25,599 25,581 25,635 25,888 25,487 25,491 25,601 25,843 25,684 25,272 25,446 25,253 25,373 25,272 25,446 25,490 25,564 25,308 25,402 25,614 25,579 25,717 25,308 25,402 25,614 25,631 25,589 25,694 25,333 25,684 25,548 25,359 25,484 25,479 25,423 25,796 25,630 25,856 25,402 25,749 25,288 25,581 25,635 25,888 25,487 25,491 25,601 25,843 25,684
  • 112.
    PHÂN TÍCH PHƯƠNGSAI (ANOVA) PHƯƠNG TRÌNH HỒI QUY 113 Chương 4 PHÂN TÍCH PHƯƠNG SAI (ANOVA) PHƯƠNG TRÌNH HỒI QUY Chương này gồm các nội dung sau: 4.1. Phương sai tái hiện 4.2. Đánh giá độ chính xác, ý nghĩa các hệ số phương trình hồi quy và phân tích kết quả 4.3. Kiểm tra tính thích hợp phương trình hồi quy 4.4. Ví dụ xử lý kết quả nghiên cứu thực nghiệm 4.5. R bình phương (R-Square) Bài tập
  • 113.
    114 CHƯƠNG 4 Saukhi thu được phương trình hồi quy (PTHQ) ta thực hiện phân tích thống kê. Để thực hiện điều này ta giải hai bài toán chính: - Đánh giá ý nghĩa các hệ số phương trình hồi quy. - Kiểm tra mô hình toán với thực nghiệm. 4.1. PHƯƠNG SAI TÁI HIỆN (Mean Squared Error - MSE) Để thực hiện các đánh giá trên ta cần phải ước lượng sai số thí nghiệm. Cụ thể là phương sai tái hiện ký hiệu } y { s2 . Công thức tính phương sai tái hiện, phụ thuộc vào phương pháp lặp thực nghiệm. 1) Số lặp trong mỗi thực nghiệm như nhau Trong N thực nghiệm thì mỗi thực nghiệm lặp lại n lần. Giả sử ta gọi kết quả của n thí nghiệm lặp lại trong thực nghiệm đầu tiên là n 1 12 11 y ,... y , y . Theo kết quả này ta tính phương sai thí nghiệm (RSS- Residual sum of squares) đầu tiên 2 1 s : n 2 2 2 2 1u 1 11 1 12 1 1n 1 2 u 1 1 (y y ) (y y ) (y y ) (y y ) s (n 1) n 1                  (4.1) trong đó y là giá trị trung bình của n thí nghiệm lặp của thực nghiệm đầu tiên       n 1 u u 1 n 1 12 11 1 n y n y y y y  (4.2) Tương tự ta tính giá trị trung bình j y và phương sai 2 j s cho tất cả (N-1) thực nghiệm còn lại:    n 1 u ju j n y y (4.3) 1 n ) y y ( s n 1 u 2 j ju 2 j      , j = 1, 2, ... N (4.4) Chú ý rằng, số bậc tự do tất cả phương sai bằng nhau và bằng n – 1, 1 n f fj    . Phương sai tái hiện } y { s2 được lấy trung bình từ tất cả phương sai của N thí nghiệm chính:
  • 114.
    PHÂN TÍCH PHƯƠNGSAI (ANOVA) PHƯƠNG TRÌNH HỒI QUY 115 (4.5) Số bậc tự do y f (Degree of Freedom) của phương sai này bằng tổng số bậc tự do của các thí nghiệm: ) 1 n ( N f f N 1 j j y      (4.6) Điều kiện tiên quyết của phân tích thống kê là tính chuẩn của phân phối đại lượng đầu ra và tính đồng nhất phương sai các thí nghiệm. Kiểm tra tính đồng nhất phương sai tiến hành theo tiêu chuẩn Cochran. Ví dụ 4.1 Xác định phương sai tái hiện khi nghiên sứu sự phụ thuộc biến dạng một loại vật liệu (mm) phụ thuộc vào áp lực nén (MPa). Mỗi thí nghiệm chính được lặp lại 3 lần (Ví dụ 3.1). Kết quả thí nghiệm cho trong Bảng 4.1. Bảng 4.1 N X0 Áp lực nén x1 (MPa) Biến dạng đo được yj (mm) Trung bình i y (mm) S i 2 1 1 1,0 0,12 0,07 0,14 0,11 1.3.10-3 2 1 1,5 0,19 0,17 0,12 0,16 1.3.10-3 3 1 2,0 0,225 0,22 0,20 0,215 1.75.10-4 4 1 2,5 0,31 0,33 0,35 0,33 4.10-4 5 1 3,5 0,39 0,44 0,37 0,4 1.3.10-3 Tổng 10,5 1,215 Kết quả tính phương sai thí nghiệm trong cột cuối của Bảng 4.1. Sau đó phương sai tái hiện được xác định:       N 1 j 2 j 2 N 2 2 2 1 2 N s N s s s } y { s  = 8,95.10-4 Kết quả: s2 {y}= 8,95.10-4 Ví dụ 4.2 Nghiên cứu ảnh hưởng nhiệt độ 20  t o C  60, thời gian 0 ph    60 ph và độ pH: 4,5  pH  5,2 khi thủy phân đến độ bền uốn  một loại vật liệu. Xác định giá trị trung bình và phương sai tái hiện.
  • 115.
    116 CHƯƠNG 4 Giải: Kếtquả thực nghiệm theo Bảng 4.2. Cột 1 là số thứ tự thực nghiệm. Cột 2, 3, 4 là các giá trị nhân tố. Cột 5 đến 9 là kết quả thực nghiệm với số lần lặp là n = 5. Bảng 4.2 N Giá trị nhân tố Kết quả thực nghiệm  (MPa) Kết quả tính t (o C)  (min) pH yj1 yj2 yj3 yj4 yj5 _ j y 2 j s 1 2 3 4 5 6 7 8 9 10 11 1 2 3 4 5 6 7 8 20 60 20 60 20 60 20 60 0 0 60 60 0 0 60 60 4,5 4,5 4,5 4,5 5,2 5,2 5,2 5,2 39 46 53 47 32 38 43 55 41,5 44 53,5 50 31 37 45 52,5 40,5 43,5 53 49 34 39 46,5 53,5 41 43,5 53 49 34 39 46,5 53,5 39 44 52 51 33,5 36,5 45 53 40,2 44,2 52,9 49,2 32,9 37,9 45,2 53,5 1,325 1,075 0,3 2,2 1,80 1,3 2,075 0,875 Trong cột 10 là giá trị trung bình kết quả thực nghiệm, tính theo giá trị trung bình các thí nghiệm lặp: 5 ju u 1 j y y 5    , j = 1, 2, ..., 8 Ở đây yju - giá trị đáp ứng trong thí nghiệm lặp thứ u của thực nghiệm thứ j, u = 1, 2,…5. Cột thứ 11 là kết quả tính toán phương sai thực nghiệm với n thí nghiệm lặp (rút gọn từ công thức 4.4): 5 2 2 ju j 2 u 1 j y y s 4     , j = 1, 2, 3, ..., 8 Phương sai tái hiện phương trình hồi quy: s2 {y} = (s2 1+ s2 2+…+ s2 8)/8 = 10,95/8 = 1,368
  • 116.
    PHÂN TÍCH PHƯƠNGSAI (ANOVA) PHƯƠNG TRÌNH HỒI QUY 117 2) Số thí nghiệm lặp không bằng nhau Mỗi j thực nghiệm được lặp lại nj lần (ví dụ kết quả thí nghiệm trong Bảng 4.3). Như phần trên ta tính phương sai cho từng thí nghiệm chính 2 N 2 2 2 1 s s , s  - theo công thức: , 1 n ) y y ( s j n 1 u 2 j ju 2 j      (thay vì n ta thay bằng nj) (4.7) Số bậc tự do mỗi thí nghiệm chính . 1 n f j j   Phương sai tái hiện trong trường hợp này được xác định theo công thức:             N 1 j j N 1 j j 2 j N 2 1 N 2 N 2 2 2 1 2 1 2 f f s f f f f s f s f s } y { s   (4.8) Số bậc tự do sẽ bằng:        N 1 j j N 1 j j y ) 1 n ( f f (4.9) Để kiểm tra tính đồng nhất ta sử dụng tiêu chuẩn Barllet (Phụ lục 4). 3) Khảo sát trường hợp đặc biệt là không có lặp trong mỗi thí nghiệm chính. Khi đó ta tiến hành riêng biệt no thí nghiệm để đánh giá phương sai này. Bảng 4.3 Kết quả thực nghiệm với số thí nghiệm lặp không bằng nhau N Giá trị nhân tố Kết quả thực nghiệm  (MPa) Kết quả tính t (o C)  (min) pH yj1 yj2 yj3 yj4 yj5 _ j y fi 2 j s 1 2 3 4 5 6 7 8 9 10 11 1 2 3 4 5 6 7 8 20 60 20 60 20 60 20 60 0 0 60 60 0 0 60 60 4,5 4,5 4,5 4,5 5,2 5,2 5,2 5,2 39 46 53 47 32 38 43 55 41,5 44 53,5 50 31 37 45 52,5 40,5 43,5 53 49 34 39 46,5 53,5 41 - 53 49 34 39 - 53,5 - - 52 51 - 36,5 - 53 40,5 44,5 52,9 49,2 32,75 37,9 44,83 53,5 3 2 4 4 3 4 2 4 1,167 1,75 0,3 2,2 2,25 1,3 3,083 0,875
  • 117.
    118 CHƯƠNG 4 Phươngsai tái hiện theo công thức (4.8) với kết quả theo Bảng 4.3:             N 1 j j N 1 j j 2 j N 2 1 N 2 N 2 2 2 1 2 1 2 f f s f f f f s f s f s } y { s   = 38,617/26 = 1,4853 4.2. ĐÁNH GIÁ ĐỘ CHÍNH XÁC, Ý NGHĨA CÁC HỆ SỐ PHƯƠNG TRÌNH HỒI QUY (Significance Test of Individual Regression Coefficients) VÀ PHÂN TÍCH KẾT QUẢ Sau khi xác định phương sai tái hiện ta đánh giá các hệ số phương trình hồi quy. Các hệ số xác định theo kết quả thực nghiệm, các kết quả này là đại lượng ngẫu nhiên, do đó các hệ số hồi quy bi là các đại lượng ngẫu nhiên. Do đó để đánh giá ý nghĩa hệ số bi ta đánh giá phương sai của chúng là }. b { s i 2 Khảo sát cho trường hợp không có thí nghiệm lặp trong thực nghiệm. Để nhận được phương sai của các hệ số phương trình hồi quy ta sử dụng ma trận thực nghiệm X. Khảo sát ma trận (XTX)–1, các phần tử ma trận này được ký hiệu cij. Ma trận vuông có kích thước ) 1 k ( x ) 1 k (   được gọi là ma trận tương quan: (XTX)-1 =               kk 1 k 0 k k 1 11 10 k 0 01 00 1 T c c c c c c c c c ) X X (        (4.10) Nhân mỗi phần tử ma trận trên cho ước lượng phương sai tái hiện } y { s2 . Khi đó ma trận có dạng: (XTX)-1                 } b { s } b , b cov{ } b , b cov{ } b , b cov{ } b { s } b , b cov{ } b , b cov{ } b , b cov{ } b { s } y { s ) X X ( k 2 1 k 0 k k 1 1 2 0 1 k 0 1 0 0 2 2 1 T        Do đó: } y { s c } b { s 2 ii i 2  (4.11) trong đó s{bi} là độ lệch chuẩn hệ số phương trình hồi quy (SE Coef. - Standard error of the coefficient).
  • 118.
    PHÂN TÍCH PHƯƠNGSAI (ANOVA) PHƯƠNG TRÌNH HỒI QUY 119 Theo đường chéo chính của ma trận theo công thức (4.11) là phương sai các hệ số s2 {bi} phương trình hồi quy. Các phần tử không đường chéo là covarian giữa các hệ số phương trình hồi quy. Do đó tương ứng hệ số tương quan, covarian giữa các đại lượng ngẫu nhiên độc lập bằng 0. Như thế để tìm phương sai hệ số PTHQ ta phải thực hiện các phép biến đổi ma trận phức tạp. Trong trường hợp số thí nghiệm lặp bằng nhau ở tại mỗi thực nghiệm, để ước lượng phương sai và covarian các hệ số PTHQ thì đối với mỗi phần tử của ma trận (XTX)–1 s2 {y} chia cho số thí nghiệm lặp. Số thí nghiệm lặp không đều thì ước lượng phương sai và covarian các hệ số PTHQ là các phần tử của ma trận (XTPX)–1 s2 {y} trong đó P là ma trận thí nghiệm lặp. Đối với đa số dạng quy hoạch theo lý thuyết thực nghiệm ta có các công thức đơn giản để tìm phương sai hệ số PTHQ và covarian giữa chúng. Ngoài ra, các quy hoạch dạng này được thực hiện từ yêu cầu covarian giữa các hệ số PTHQ bằng 0. Các dạng quy hoạch đó gọi là trực giao, ví dụ: thực nghiệm nhân tố toàn phần hoặc riêng phần. Khi quy hoạch trực giao thì việc loại bỏ các hệ số PTHQ không ý nghĩa không cần đánh giá lại các hệ số còn lại (vì chúng không thay đổi). Trong các Chương 5 và 6, tùy thuộc vào dạng quy hoạch thực nghiệm ta có các công thức rút gọn xác định phương sai hệ số PTHQ. Sau khi tìm được phương sai các hệ số PTHQ ta cần xác định các hệ số không ý nghĩa, tức là các hệ số có thể lấy bằng 0, khi đó ta sử dụng tiêu chuẩn Student (t – test). Đối với hệ số PTHQ bi ta tìm tỉ số ti: } b { s | b | t i i i  (4.12) Ngoài ra, ta có thể phân tích ý nghĩa các hệ số PTHQ theo PTHQ các nhân tố thực (dạng tự nhiên). Khi đó: } B { s | B | t i i i  (4.13) Trong cả hai trường hợp tử số là giá trị tuyệt đối hệ số PTHQ, mẫu số là căn bậc 2 của phương sai. Giá trị tính toán ti so sánh với giá trị tra bảng tb (theo tiêu chuẩn Student - Phụ lục 1) theo mức ý nghĩa  và bậc tự do fy = N(n - 1) mà theo đó ta xác định phương sai tái hiện } y { s2 . Nếu b i t t  thì hệ số bi không có ý nghĩa và có thể loại bỏ khỏi PTHQ. Biểu thức (4.12) có thể viết dưới dạng:
  • 119.
    120 CHƯƠNG 4 } b { s t | b |i b i  (4.14) Khi loại bỏ các hệ số không ý nghĩa ta phải xác định lại các hệ số còn lại PTHQ bằng cách sử dụng lại phương pháp bình phương nhỏ nhất. Với sự trợ giúp tiêu chuẩn Student ta có thể xác định khoảng tin cậy cho hệ số PTHQ bất kỳ bi. Giả sử giá trị lý tưởng bi là i, khi đó: } b { s t b } b { s t b i b i i i b i      (4.15) Giả sử ta có PTHQ dạng đơn giản sau đây: k k 2 2 1 1 0 x b x b x b b y      (4.16) Hệ số của PTHQ này có ý nghĩa vật lý chính xác. Hệ số b0 bằng giá trị đại lượng đầu ra y tương ứng với tất cả các nhân tố ở mức cơ sở (các giá trị xi = 0). Dấu của hệ số bi tương ứng với sự ảnh hưởng của nhân tố. Nếu bi > 0 thì khi xi tăng thì y tăng. Ngược lại bi < 0 thì khi xi tăng thì y giảm. Khi giá trị |bi| càng lớn thì nhân tố xi càng ảnh hưởng đến thông số đầu ra. Do đó, nhờ vào PTHQ bậc 1 ta xét đến ảnh hưởng của các nhân tố xi đến thông số đầu ra y và xác định được các thông số ảnh hưởng nhất đến thông số đầu ra. Nếu PTHQ tuyến tính thì mức độ ảnh hưởng của nhân tố có thể thay đổi từ đầu đến cuối của miền thay đổi và phụ thuộc vào mức thay đổi các nhân tố khác. Ví dụ 4.3 Phân tích mức ý nghĩa các hệ số PTHQ, xác định sự phụ thuộc biến dạng một loại vật liệu (mm) phụ thuộc vào áp lực nén (MPa). Mỗi thí nghiệm chính lặp lại 3 lần như Ví dụ 3.1. Kết quả thí nghiệm cho trong Bảng 4.4. Bảng 4.4 N Áp lực nén xj (MPa) Biến dạng yj (mm) i y (mm) sj 2 i y  x0 x1 y1 y2 y3 1 1 1,0 0,12 0,07 0,14 0,11 0,0013 0,109 1.10-6 2 1 1,5 0,19 0,17 0,12 0,16 0,0013 0,17 100.10-6 3 1 2,0 0,225 0,22 0,20 0,215 0,00175 0,232 289.10-6 4 1 2,5 0,31 0,33 0,35 0,33 0,0004 0,293 1369 .10-6 5 1 3,5 0,39 0,44 0,37 0,4 0,0013 0,416 256.10-6 Tổng 10,5 1,215 2015.10-6
  • 120.
    PHÂN TÍCH PHƯƠNGSAI (ANOVA) PHƯƠNG TRÌNH HỒI QUY 121 PTHQ có dạng (Ví dụ 3.1): 1 x 123 , 0 014 , 0 y    Giải: 1. Phương sai tái hiện s2 {y} = 8,95.10-4 2. Ta có thể phân tích ý nghĩa các hệ số PTHQ theo phương trình hồi quy các nhân tố thực. Khi đó các ma trận quy hoạch X và XT có dạng sau:                  5 , 3 1 5 , 2 1 2 1 5 , 1 1 1 1 X ;        5 , 3 5 , 2 0 , 2 5 , 1 1 1 1 1 1 1 T X Từ đây suy ra:             270 , 0 567 , 0 567 , 0 392 , 1 1 X XT Các hệ số đường chéo: c00 = 1,392; c11 = 0,270 3. Phương sai các hệ số: } y { s c } b { s 2 ii i 2  Thế số vào ta có: s{b0}2 = 1,392. 8,95.10-4 = 0,001246, suy ra s{b0} = 0,035299 s{b1}2 = 0,270. 8,95.10-4 = 0,0002418 suy ra s{b1} = 0,01555 4. Giá trị t tính toán: t0 = 0,014/0,035299 = 0,3966, suy ra t1 = 0,123/0,01555 = 7,91 5. Giá trị tra bảng khi f = 10, α = 0,05 là tb = 2,23. Do t0 < tb, suy ra hệ số b0 không ý nghĩa. Sau khi loại bỏ b0 PTHQ có dạng: y = 0,123x1
  • 121.
    122 CHƯƠNG 4 4.3.KIỂM TRA TÍNH TƯƠNG THÍCH PHƯƠNG TRÌNH HỒI QUY (Testing for lack of fit) PTHQ xây dựng theo kết quả thực nghiệm cho phép tính giá trị thông số đầu ra tại các điểm khác nhau của miền thay đổi các nhân tố. Để làm điều đó trong PTHQ ta đặt các giá trị tương ứng của các nhân tố thay đổi. Kiểm tra tính tương thích của mô hình tính toán giúp cho nhà thực nghiệm trả lời câu hỏi là mô hình được xây dựng dự đoán được giá trị của đại lượng đầu ra với độ chính xác như kết quả thực nghiệm. Giả sử N là số thực nghiệm của quy hoạch hay gọi là số các loạt các thực nghiệm song song nếu mỗi thực nghiệm được lặp lại n lần; p – số hệ số của PTHQ. Kiểm tra tính tương thích chỉ thực hiện khi N > p. Kiểm tra tính tương thích của mô hình ta cần phải ước lượng phương sai tái hiện } y { s2 . Trình tự thực hiện kiểm tra tính tương thích: 1) Xác định tổng bình phương sai lệnh, đặc trưng tương thích mô hình Sth. Khi số thí nghiệm lặp n như nhau trong mỗi thực nghiệm: N 2 2 2 2 th 1 1 2 2 N N j j j 1 S n[(y y ) (y y ) (y y ) ] n (y y )            (4.17) trong đó: j y là giá trị trung bình thông số đầu ra ở thực nghiệm thứ j, j = 1, 2,... N; j y  - giá trị thông số đầu ra, tính theo PTHQ tương ứng thí nghiệm chính thứ j. Trong trường hợp có thí nghiệm lặp không bằng nhau: 2 j j N 1 j j th ) y y ( n S      (4.18) trong đó nj - số thí nghiệm lặp ở thí nghiệm chính thứ j. Khi không có thí nghiệm lặp:     N 1 j 2 j j th ) y y ( S  (4.19) trong đó yj - kết quả thực nghiệm thứ j. 2) Tính bậc tự do fth phương sai tương thích: fth = N - p (4.20) với p là số hệ số PTHQ.
  • 122.
    PHÂN TÍCH PHƯƠNGSAI (ANOVA) PHƯƠNG TRÌNH HỒI QUY 123 3) Tính phương sai tương thích: th th 2 th f S s  (4.21) 4) Dùng tiêu chuẩn Fisher (F test) ta kiểm tra tính đồng nhất. Khi đó ta tính giá trị tính toán Ftt theo phương sai tương thích 2 th s và phương sai tái hiện }. y { s2 : } y { s s F 2 2 th tt  (4.22) và so sánh với giá trị bảng Fb (tra theo α và fth (fth = N-p) ở tử số và fy (fy = N(n - 1) ở mẫu số Phụ lục 2). Nếu Ftt < Fb thì mô hình là tương thích và có thể sử dụng để mô tả đối tượng. Còn ngược lại thì không tương thích. Ví dụ 4.4 Đánh giá tính tương thích PTHQ thu được trong Ví dụ 4.1. Giải: Ta xét tính tương thích PTHQ: 1 x 123 , 0 014 , 0 y    1. Theo kết quả thực nghiệm cho trong Bảng 4.4. Suy ra: 2 j j N 1 j j th ) y y ( n S      = 2015.10-6 trong đó nj = 3 - số thí nghiệm lặp ở thực nghiệm thứ j. 2. Tính bậc tự do fth phương sai tương thích: fth = N - p = 5 – 2 = 3 p = 2 - số hệ số PTHQ 3. Tính phương sai tương thích: th th 2 th f S s  = 2015.10-6 /3 = 0,672.10-3 4. Giá trị tính toán Ftt: } y { s s F 2 2 th tt  = 0,672.10-3 /8.95.10-4 = 0,75
  • 123.
    124 CHƯƠNG 4 5.Giá trị tra bảng Fb = 3,71 (tra theo α và fth = N-p = 3 và fy = N(n-1) = 10 ở mẫu số Phụ lục 2. Do Ftt = 0,75 < Fb = 3,71 thì mô hình là tương thích. Sử dụng Minitab kiểm tra tính tương thích PTHQ Ví dụ 4.1, ta có các kết quả sau: a) PTHQ bậc 1 Hình 4.1 Regression Analysis: C2 versus C1 The regression equation is C2 = - 0.01439 + 0.1226 C1 S = 0.0338967 R-Sq = 91.8% R-Sq(adj) = 91.1% Analysis of Variance Source DF SS MS F P Regression 1 0.166753 0.166753 145.13 0.000 Error 13 0.014937 0.001149 Total 14 0.181690
  • 124.
    PHÂN TÍCH PHƯƠNGSAI (ANOVA) PHƯƠNG TRÌNH HỒI QUY 125 b) PTHQ bậc 3 Polynomial Regression Analysis: C2 versus C1 The regression equation is C2 = 0.3182 - 0.4592 C1 + 0.3004 C1^2 - 0.04642 C1^3 S = 0.0304779 R-Sq = 94.4% R-Sq(adj) = 92.8% Analysis of Variance Source DF SS MS F P Regression 3 0.171472 0.0571574 61.53 0.000 Error 11 0.010218 0.0009289 Total 14 0.181690 Sequential Analysis of Variance Source DF SS F P Linear 1 0.166753 145.13 0.000 Quadratic 1 0.000746 0.63 0.442 Cubic 1 0.003973 4.28 0.063 Hình 4.2 R- square cho mô hình bậc 3 là R-Sq = 94,4 % của bậc 1 là 91,8 % nên cả 2 đều tương thích.
  • 125.
    126 CHƯƠNG 4 4.4.VÍ DỤ XỬ LÝ KẾT QUẢ NGHIÊN CỨU THỰC NGHIỆM Ví dụ 4.5 Nghiên cứu ảnh hưởng lực cắt Fz (N) vật liệu khi phay, phụ thuộc vào các nhân tố: góc cắt 350 ≤  ≤ 550 và góc sau 00 ≤ α ≤ 100 của dụng cụ cắt. Quy hoạch không theo lý thuyết thực nghiệm. Vì lý do công nghệ nhà nghiên cứu chọn 5 mức thay đổi cho mỗi nhân tố và khảo sát tất cả sự kết hợp có thể giữa 2 nhân tố này (các sự kết hợp khác không tồn tại trong thực tế) [30]. Tiến hành tất cả 21 thực nghiệm. Giá trị  = 550 ; 500 ; 450 ; 400 và 350 Giá trị  = 00 ; 2,50 ; 50 ; 7,50 và 100 Hình 4.3 Giải: Thực nghiệm thực hiện trên mô hình thí nghiệm. Trước khi tiến hành thí nghiệm chính, ta tiến hành loạt thí nghiệm riêng để kiểm tra giả thuyết về độ chuẩn phân phối đại lượng đầu ra và xác định số thí nghiệm lặp ở mỗi thực nghiệm. Xác định số thí nghiệm lặp là 8, và quyết định chọn n = 10, nhưng sau khi thực nghiệm loại bỏ các sai số thô thì số thí nghiệm lặp còn lại là 9. Khi đó ta có số thí nghiệm lặp n bằng nhau và bằng 9. Để tính hệ số PTHQ ta phải xác định ma trận các hàm cơ sở theo ký hiệu mã hóa các nhân tố. Cho mô hình hồi quy đa thức bậc 2: 2 1 12 2 2 22 2 1 11 2 2 1 1 0 x x b x b x b x b x b b y       Khi đó ma trận các hàm số cơ sở của mô hình này chứa các cột 2 2 2 1 2 1 o x , x , x , x , x và 2 1x x (Bảng 4.1). Ma trận thực nghiệm cho trong Bảng 4.1.
  • 126.
    PHÂN TÍCH PHƯƠNGSAI (ANOVA) PHƯƠNG TRÌNH HỒI QUY 127 1) Mã hóa và thực nghiệm Đối với nhân tố (X1) tương ứng nhân tố mã hóa x1: - Mức cơ sở: (0) 1 55 35 X 45 2    - Khoảng thay đổi (0) 1 1max 1 X X 55 45 10       Từ đây suy ra khi:  1 X 55    thì x1 = 1  1 X 50    thì (0) 1 1 1 X X 50 45 x 0,5 1 10        1 X 45    thì x1 = 0  1 X 40    thì 1 40 45 x 0,5 10      1 X 35    thì x1 = –1 Tương tự với góc cắt α = X2 tương ứng nhân tố mã hóa x2: (0) 2 2 0 10 X 5 2 10 5 5        Suy ra khi α = X2 = 0 thì x2 = –1 α = X2 = 2,5 thì x2 = –0,5 α = X2 = 5 thì x2 = 0 α = X2 = 7,5 thì x2 = 0,5 α = X2 = 10 thì x2 = 1 2) Kiểm tra tính đồng nhất Kết quả thực nghiệm thể hiện ở Bảng 4.5. Cột thứ tư là giá trị trung bình lực cắt Fz, cột thứ 5 là phương sai thí nghiệm. Theo tiêu chuẩn Cochran ta đánh giá giả thuyết về tính đồng nhất các phương sai này. Khi đó hệ số tính toán Gtt xác định theo công thức (Bảng 4.5).
  • 127.
    128 CHƯƠNG 4 Gtt 22 max 11 t 21 21 2 2 i i 1 1 s s 632 632 G 0,086 290 475 ... 431 7371 s s           với 2 11 s là phương sai có giá trị lớn nhất. Bảng 4.5 Kết quả thực nghiệm N0 Góc cắt , o Góc sau , o xo x1 x2 x1 2 x2 2 x1x2 j y= fzj 2 j s j y  1 2 3 4 5 6 7 8 9 10 11 12 13 14 15 16 17 18 19 20 21 50 40 50 40 50 40 50 40 55 35 55 35 45 45 45 45 50 40 55 35 45 7,5 7,5 2,5 2,5 10 10 0 0 7,5 2,5 10 0 7,5 2,5 10 0 5 5 5 5 5 1 1 1 1 1 1 1 1 1 1 1 1 1 1 1 1 1 1 1 1 1 0,5 -0,5 0,5 -0,5 0,5 -0,5 0,5 -0,5 1 -1 1 -1 0 0 0 0 0,5 -0,5 1 -1 0 0,5 0,5 -0,5 -0,5 1 1 -1 -1 0,5 -0,5 1 -1 0,5 -0,5 1 -1 0 0 0 0 0 0,25 0,25 0,25 0,25 0,25 0,25 0,25 0,25 1 1 1 1 0 0 0 0 0,25 0,25 1 1 0 0,25 0,25 0,25 0,25 1 1 1 1 0,25 0,25 1 1 0,25 0,25 1 1 0 0 0 0 0 0,25 -0,25 -0,25 0,25 0,5 -0,5 -0,5 0,5 0,5 0,5 1 1 0 0 0 0 0 0 0 0 0 475 364 498 389 475 365 501 393 534 371 516 383 417 417 409 441 479 384 535 359 418 290 475 300 320 527 234 327 399 334 337 632 332 217 385 309 370 254 296 235 367 431 466,936 374,385 484,894 391,353 460,784 368,728 496,702 402,666 534,171 365,543 527,772 376,608 413,673 431,137 407,769 442,697 474,972 381,926 542,455 356,363 421,463 Theo bảng phân phối Cochran (Phụ lục 3), tương ứng với α = 0,05 và 8 1 9 1 n f      và N = 21 ta tìm được giá trị tra bảng Gb = 0,14. Vì Gtt < Gb cho nên giả thuyết về tính đồng nhất phương sai được chấp nhận. 3) Xác định các hệ số và đánh giá mức ý nghĩa các hệ số Sau đó ta tính toán phương sai tái hiện như là giá trị trung bình phương sai thí nghiệm theo công thức:
  • 128.
    PHÂN TÍCH PHƯƠNGSAI (ANOVA) PHƯƠNG TRÌNH HỒI QUY 129 351 21 7371 N s } y { s N 1 i 2 j 2      Số bậc tự do: 168 ) 1 9 ( 21 ) 1 n ( N fy      Hệ số PTHQ xác định theo phương pháp bình phương nhỏ nhất (lập trình trên máy tính) và thu được keát quaû nhö Bảng 4.6. Bảng 4.6 Kết quả tính toán I bi cii s{bi} tbs{bi} bi 0 1 2 11 22 12 b0= 421,46 b1= 93,05 b2= -17,46 b11= 27,95 b22= 3,77 b12= -0,99 0,1940 0,1315 0,1180 0,4831 0,3040 0,4861 8,24 6,80 6,25 13,02 10,32 13,05 16,10 13,13 12,25 25,52 20,22 25,58 423,48 93,05 -17,46 27,04 - - Để đánh giá ý nghĩa các hệ số PTHQ ta thực hiện theo điều kiện: } y { s c } b { s }; b { s t | b | 2 ii i 2 i b i   Để thực hiện điều đó ta xác định giá trị phần tử cii của ma trận (XTX)-1, trong đó X là ma trận thực nghiệm. Kết quả tính cho trên cột 2 Bảng 4.6 (tương ứng các hệ số q = 0,05 và số bậc tự do fu = 168, theo Phụ lục 1 ta chọn được tb = 1,97). Giá trị s{bi} trên cột s{bi} của Bảng 4.6. Nếu } b { s t | b | i b i  thì hệ số bi không ý nghĩa. Chỉ có 2 hệ số b22 và b12 thỏa mãn điều kiện trên. Ta loại bỏ 2 hệ số này, sau đó ta viết lại ma trận thực nghiệm và tính lại giá trị các hệ số. PTHQ có dạng: 2 1 2 1 z x 04 , 27 x 42 , 17 x 05 , 93 48 , 432 F     Chỉ có 2 hệ số b0 và b11 có chút ít thay đổi. Các hệ số còn lại giữ nguyên. 4) Kiểm tra tính tương thích PTHQ Tiếp theo ta kiểm tra tính tương thích mô hình vừa nhận được. Đầu tiên ta xác định giá trị j y  theo mô hình toán. Kết quả tính cho trên cột cuối của Bảng 4.5.
  • 129.
    130 CHƯƠNG 4 1.Ta xác định tổng bình phương đặc trưng sự tương thích mô hình: 11208 ] ) 48 , 423 418 ( ) 03 , 468 475 [( 9 ) y y ( n S 2 2 N 1 f 2 j j th             2. Tương ứng số bậc tự do ; 17 4 21 p N fth      3. Phương sai tương thích 2 th s được xác định theo công thức: 3 , 659 17 11208 f S s th th 2 th    4. Giá trị tính toán Ft theo tiêu chuẩn Fisher được xác định theo công thức: 88 , 1 351 3 , 659 } y { s s F 2 2 th t    5. Tương ứng mức ý nghĩa α = 0,01 và fth = 17 (N-p) ở tỷ số và fy = 168 ở mẫu số ta tìm được Fb = 1,95 (nội suy theo Phụ lục 2). Vì Fb = 1,95 > Ft = 1,88 nên mô hình hồi quy là tương thích. Kết quả tính trên Minitab. Analysis of Variance Source DF Adj SS Adj MS F-Value P-Value Model 5 69265.5 13853.1 173.50 0.000 Linear 2 66889.5 33444.8 418.87 0.000 x1 1 65797.5 65797.5 824.06 0.000 x2 1 2726.9 2726.9 34.15 0.000 Square 2 1631.8 815.9 10.22 0.002 x1*x1 1 1616.6 1616.6 20.25 0.000 x2*x2 1 46.8 46.8 0.59 0.456 2-Way Interaction 1 2.0 2.0 0.03 0.876 x1*x2 1 2.0 2.0 0.03 0.876 Error 15 1197.7 79.8 Total 20 70463.1 Model Summary S R-sq R-sq(adj) R-sq(pred) 8.93563 98.30% 97.73% 96.48% Coded Coefficients Term Coef SE Coef T-Value P-Value VIF Constant 421.46 3.94 107.08 0.000 x1 93.05 3.24 28.71 0.000 1.12 x2 -17.46 2.99 -5.84 0.000 1.12 x1*x1 27.95 6.21 4.50 0.000 1.54 x2*x2 3.77 4.93 0.77 0.456 1.14 x1*x2 -0.99 6.23 -0.16 0.876 1.61
  • 130.
    PHÂN TÍCH PHƯƠNGSAI (ANOVA) PHƯƠNG TRÌNH HỒI QUY 131 Regression Equation in Uncoded Units y = 585 - 15.75 x1 - 4.11 x2 + 0.2795 x1*x1 + 0.151 x2*x2 - 0.020 x1*x2 Trong Chương 6 ta so sánh ví dụ này khi áp dụng phương pháp quy hoạch thực nghiệm với N = 9 thí nghiệm chính. 4.5. R BÌNH PHƯƠNG (R-SQUARE) R square là hệ số được sử dụng trong thống kê để đánh giá tính tương thích của PTHQ, cho biết PTHQ đó phù hợp với dữ liệu ở mức bao nhiêu %. Ví dụ: nếu R square = 0,9 thì mô hình hồi quy tuyến tính thu được sẽ tương thích với dữ liệu ở mức 90 %. Khi R square > 50 % thì một mô hình được đánh giá là tương thích. Đặc biệt, giá trị R square càng cao thì mối quan hệ giữa nhân tố độc lập (biến độc lập) và nhân tố phụ thuộc càng chặt chẽ. Vì thế mà R square còn được biết tới với tên hệ số tương quan R square. Tuy nhiên thường trong nghiên cứu ta chọn R square > 90 %. Công thức tính hệ số tương quan R square có dạng sau: r2 = 1 – ESS/TSS (4.23) trong đó: ESS - là viết tắt của Explained Sum of Squares, tức là tổng các độ lệch bình phương của phần dư (độ lệch):   n 2 i i 1 ESS y y     (4.24) TSS là viết tắt của Total Sum of Squares, tức là tổng độ lệch bình phương của toàn bộ các giá trị PTHQ:   n 2 i i 1 TSS y y     (4.25) Từ công thức này, có thể thấy R square sẽ trong khoảng từ 0 đến 1. Trong khi tính ESS ta cũng cần lưu ý multiple r. Multiple r là viết tắt của Multiple regression. Đây là hệ số tương quan hồi quy nhiều lần gắn liền mật thiết với R square. Chỉ số này cho phép ta kiểm tra xem việc đưa thêm một biến vào mô hình có còn được hay không, đồng thời nó còn có khả năng loại trừ ảnh hưởng của một số biến khác.
  • 131.
    132 CHƯƠNG 4 Hệsố R Square hiệu chỉnh Bên cạnh R square, R square hiệu chỉnh cũng là một khái niệm không thể bỏ qua. Đây là một hệ số được sử dụng để hạn chế những nhược điểm của R square. Công thức tính R square hiệu chỉnh: r2 hc =1– (ESS/(N-p))/(TSS/(N-1)) (4.26) Sau khi biến đổi ta được: r2 hc =1 – (N − 1) (1 − R2 )/(N – k) (4.27) trong đó: N - số lượng mẫu quan sát; p - số hệ số của PTHQ. Ý nghĩa của R square hiệu chỉnh: Hạn chế nổi bật nhất của R square là việc giảm tính chính xác của mô hình khi ta thêm một tham số trong quá trình tính toán. Vì vậy, R square hiệu chỉnh được nghiên cứu giúp khắc phục nhược điểm của R square thông thường. Hệ số này cho phép ta đo độ tương thích khi ta thêm một tham số nữa. Qua đó giúp giảm sự phức tạp của mô hình. VIF là hệ số phóng đại phương sai (variance-inflating factor), được xác định theo công thức:     2 1 1 1 VIF R x (4.28) Nếu hệ số VIF xung quanh giá trị 1 là rất tốt. Nếu VIF > 10, các nhân tố có đa cộng tuyến cao. Hai nhân tố có mối tương quan mạnh khi có VIF lớn hơn 5, khi đó có thể loại bỏ một trong hai nhân tố. Tóm lại để đánh giá mức độ tương thích PTHQ ta sử dụng các hệ số theo Bảng 4.7. Bảng 4.7 S Tổng bình phương các sai lệch R-sq R bình phương R-sq (adj) R bình phương hiệu chỉnh PRESS The prediction error sum of squares - Dự đoán tổng sai số sai lệch bình phương trung bình R-sq (pred) Predicted R2 – R bình phương dự đoán F F test VIF VIF là hệ số phóng đại phương sai (variance-inflating factor)
  • 132.
    PHÂN TÍCH PHƯƠNGSAI (ANOVA) PHƯƠNG TRÌNH HỒI QUY 133 BÀI TẬP 4.1. Kiểm tra tính tương thích PTHQ theo Ví dụ 3.1, Chương 3. 4.2. Bài tập lớn Chương 4: Sử dụng 7 trong 21 thí nghiệm chính của Bảng 4.5 để xác định và phân tích thống kê PTHQ (số thứ tự là số các phương án): 2 1 12 2 2 22 2 1 11 2 2 1 1 0 x x b x b x b x b x b b y       Yêu cầu: 1. Sử dụng ma trận xác định PTHQ. 2. Xác định phương sai tái hiện. 3. Kiểm tra mức ý nghĩa các hệ số PTHQ. 4. Kiểm tra tính tương thích PTHQ. 1.1 – 7 2.2 - 8 3.3 – 9 4.4 – 10 5.5 -11 6. 6 -12 7. 7-13 k. k - (k+6) ......... 14. 13-19 15. 15 - 21 16. Số chẵn 2, 4, 6, 8, 10, 12, 14 17. Số chẵn 4 – 16 18. Số chẵn 6 – 18 19. Số chẵn 8 – 20 20. Số lẻ 1, 3, 5, 7, 9, 11, 13 21. Số lẻ 3, 5, 7, 9, 11, 13, 15 22. Số lẻ 5, 7, 9, 11, 13, 15, 17 23. Số lẻ 7, 9, 11, 13, 15, 17, 19 24. Số lẻ 9, 11, 13, 15, 17, 19, 21 25. 3, 5, 7, 8, 10, 12, 14 26. 9, 11, 13, 15, 10, 12, 14 27. 2, 4, 6, 8, 11, 13, 15
  • 133.
    134 CHƯƠNG 5 Chương5 QUY HOẠCH THỰC NGHIỆM TOÀN PHẦN VÀ RIÊNG PHẦN Chương này gồm các nội dung sau: 5.1. Quy hoạch thực nghiệm nhân tố toàn phần 5.2. Tính toán hệ số hồi quy 5.3. Tính tương tác các nhân tố theo kết quả thực nghiệm nhân tố toàn phần 5.4. Phân tích thống kê mô hình hồi quy thu được theo thực nghiệm nhân tố toàn phần 5.5. Thực nghiệm nhân tố riêng phần 1 5.6. Thực hiện thực nghiệm nhân tố toàn phần và riêng phần khi có sai lệch giá trị các mức nhân tố với các giá trị cho trước 5.7. Ứng dụng thực nghiệm nhân tố toàn phần trong thiết kế 5.8. Ví dụ sử dụng Minitab Bài tập
  • 134.
    QUY HOẠCH THỰCNGHIỆM TOÀN PHẦN VÀ RIÊNG PHẦN 135 Nội dung chủ yếu chọn phương pháp QHTN là trả lời cho câu hỏi: ở các mức giá trị nào và sự kết hợp như thế nào giữa các nhân tố trong thực nghiệm. Trong chương này ta khảo sát QHTN nhiều nhân tố với PTHQ bậc 1. Thực nghiệm mà khi đó số mức thay đổi của tất cả các nhân tố như nhau, và tất cả sự tổ hợp này đều được sử dụng để nghiên cứu gọi là thực nghiệm nhân tố toàn phần (TNT). Nếu số mức thay đổi nhân tố là 2, và số nhân tố là k thì số thí nghiệm chính phải thực hiện là N = 2k . Theo kết quả TNT 2k ta có thể nhận được PTHQ bậc 1: y = b0 + b1x1 + b2x2 + ... + bkxk (5.1) Phương trình này có thể bổ sung thêm các thành phần là tích các nhân tố, hay gọi là các tương tác bijxixj. Thực nghiệm nhân tố riêng phần (TNR) cho phép ta giảm bớt số thí nghiệm chính so với TNT trong trường hợp PTHQ có số hệ số nhỏ hơn rất nhiều so với tổng số thí nghiệm chính N = 2k . TNT và TNR được sử dụng rộng rãi trong giai đoạn đầu tiên nghiên cứu thực nghiệm: xác định xem nhân tố nào ảnh hưởng nhiều nhất đến đối tượng nghiên cứu (Chương 7). 5.1. QUY HOẠCH THỰC NGHIỆM NHÂN TỐ TOÀN PHẦN (Full Factorial Design) Trong lý thuyết QHTN thì TNT có rất nhiều ưu điểm so với các dạng quy hoạch khác: - Ước lượng độc lập các hệ số PTHQ, - Phương sai chính là nhỏ nhất, - Xử lý kết quả thực nghiệm đơn giản. Ý tưởng xây dựng TNT với số thí nghiệm chính N = 2k đơn giản nhất cho trường hợp 2 nhân tố X1 và X2. Cần chú ý: - Đầu tiên cần chọn miền giá trị các nhân tố. Giả sử đối với nhân tố X1 ta chọn miền X1min  X1  X1max và đối với nhân tố X2: X2min  X2  X2max (Bảng 5.2). - Trong TNT 2k mỗi nhân tố đều thay đổi ở 2 mức - mức cao nhất và thấp nhất.
  • 135.
    136 CHƯƠNG 5 -Kết hợp tất cả giá trị có thể của các mức này giữa các nhân tố: khi đó đối với số nhân tố bất kỳ là k thì số thí nghiệm chính trong TNT là 2k . Nghĩa là nếu có 2 nhân tố thì số thí nghiệm chính là 22 = 4. Ma trận quy hoạch cho trường hợp 2 nhân tố cho trong Bảng 5.1. Bảng 5.1 Bảng ma trận quy hoạch TNT với 2 nhân tố dạng tự nhiên N Giá trị nhân tố tự nhiên Giá trị đại lượng đầu ra X1 X2 1 2 3 4 X1min X1max X1min X1max X2min X2min X2max X2max y1 y2 y3 y4 Tương tự ta xây dựng được ma trận thực nghiệm cho nhiều nhân tố. Để việc xử lý kết quả được thuận tiện hơn thì các nhân tố này nên được mã hóa. Ma trận TNT với 2 và 3 nhân tố (quy hoạch 22 , 23 ) trong ký hiệu được mã hóa trình bày trong Bảng 5.2 và 5.3. Hình 5.1 Chọn miền thay đổi các nhân tố Ta biểu diễn miền thay đổi các nhân tố dưới dạng hình học (Hình 5.1 và 5.2). Giả sử ta tiến hành thực nghiệm với hai nhân tố thay đổi X1, X2 và miền thay đổi các nhân tố này là (Bảng 5.2): X1min  X1  X1max; X2min  X2  X2max
  • 137.
    138 CHƯƠNG 5 Hình5.2 Miền giá trị các nhân tố trường hợp 2 nhân tố: a) Dạng tự nhiên; b) Mã hóa Bảng 5.3 Ma trận quy hoạch TNT với 2 nhân tố y = bo + b1x1 + b2x2 N Nhân tố tự nhiên Nhân tố mã hóa Kết quả thực nghiệm X1 X2 x0 x1 x2 1 2 3 4 X1min X1max X1min X1max X2min X2min X2max X2max 1 1 1 1 -1 +1 -1 +1 -1 -1 +1 +1 y1 y2 y3 y4 Đối với TNT với 3 nhân tố, ký hiệu 23 , ma trận quy hoạch với các nhân tố dạng mã hóa cho trong Bảng 5.4. Bảng 5.4 TNT với 3 nhân tố dạng mã hóa N Nhân tố tự nhiên Nhân tố mã hóa Kết quả thực nghiệm X1 X2 X3 x0 x1 x2 x3 1 2 3 4 5 6 7 8 X1min X1max X1min X1max X1min X1max X1min X1max X2min X2min X2max X2max X2min X2min X2max X2max X3min X3min X3min X3min X3max X3max X3max X3max +1 +1 +1 +1 +1 +1 +1 +1 –1 +1 –1 +1 –1 +1 –1 +1 –1 –1 +1 +1 –1 –1 +1 +1 –1 –1 –1 –1 +1 +1 +1 +1 y1 y2 y3 y4 y5 y6 y7 y8
  • 138.
    QUY HOẠCH THỰCNGHIỆM TOÀN PHẦN VÀ RIÊNG PHẦN 139 Ma trận theo Bảng 5.3 và 5.4 chỉ ra điều kiện tiến hành thực nghiệm. Trình tự tiến hành thí nghiệm chính, không nhất thiết phải theo thứ tự trên mà theo thuận tiện chọn giá trị các nhân tố. Tồn tại vài phương pháp xây dựng TNT, như trên Bảng 5.3 và 5.4 thì cột đầu tiên số mức -1 và +1 nối tiếp nhau 20 = 1, cột thứ 2 từ phải số mức -1 và +1 lần lượt là 21 = 2, và cột cuối cùng là 2k-1 . Các điểm thí nghiệm 2 nhân tố nằm trên các đỉnh hình vuông (Hình 5.2) tương ứng với ma trận thực nghiệm (Bảng 5.3 và 5.4). Hình 5.3 Biểu diễn hình học trường hợp 3 nhân tố dạng mã hóa Biểu diễn hình học TNT 3 nhân tố dạng khối chữ nhật Hình 5.3 và Bảng 5.4. Các đỉnh khối chữ nhật tương ứng các mức thực nghiệm, nếu ở dạng mã hóa thì là các đỉnh của khối vuông. Khi số nhân tố k > 3 thì biểu diễn hình học rất bổ ích để hình dung nhưng khó khăn khi thể hiện chúng trên giấy. Các ưu điểm TNT là do một số tính chất đặc biệt của ma trận thực nghiệm. Ma trận thực nghiệm TNT 2k với các nhân tố được mã hóa có các tính chất sau: 1) Tính đối xứng với tâm quy hoạch. Tổng đại số các phần tử cột của bất kỳ nhân tố nào cũng đều bằng 0. 0 1    N j ij x (5.3) trong đó: xij - giá trị nhân tố i trong thí nghiệm thứ j; i = 1, 2, ..., k; j = 1, 2, ..., N; N - số thí nghiệm chính trong quy hoạch.
  • 139.
    140 CHƯƠNG 5 2)Tính chuẩn hóa. Tổng bình phương các phần tử cột của một nhân tố bất kỳ bằng số thí nghiệm chính N: k i N x N j ij ... 2 , 1 ; 1 2     (5.4) 3) Tính trực giao. Tổng của tích 2 cột bất kỳ trong ma trận quy hoạch bằng 0. Ví dụ trong trường hợp TNT: k ... 2 , 1 u , i ; u i ; 0 x x N 1 j uj ij      là số các nhân tố (5.5) Ma trận quy hoạch có tính chất 3 gọi là ma trận trực giao. Tất cả các tính chất này đều có thể kiểm tra theo Bảng 5.4 và 5.5. Sự phụ thuộc đáp ứng vào các nhân tố thay đổi được cho bằng PTHQ được gọi là hàm đáp ứng. Biểu diễn hình học của hàm đáp ứng là bề mặt đáp ứng. Ví dụ để biểu diễn mô hình bậc 1 y = b0 + b1x1 + b2x2 ta cần khảo sát không gian 3 chiều với các trục tọa độ x1, x2 và y. Các dạng PTHQ dạng tổng quát: - Không có tương tác: y = b0 + b1x1 + b2x2 + ... + bkxk - Có thành phần tương tác: y = b0 + b1x1 + b2x2 + ... + bkxk + b12x1x2 + b13x1x3+…+ b(k-1)kx(k-1)xk Đối với loạt N thí nghiệm chính với số thí nghiệm lặp n ta kiểm tra tính đồng nhất các phương sai. Nếu đồng nhất thì ta tiếp tục xác định hệ số PTHQ, còn không phải tăng độ chính xác thí nghiệm, giảm miền giá trị các nhân tố (ximax - ximin) hoặc tăng số thí nghiệm lặp n. Trong trường hợp tổng quát có k nhân tố PTHQ không có tương tác, ma trận quy hoạch có dạng như Bảng 5.5. Bảng 5.5 N Nhân tố tự nhiên Nhân tố mã hóa Kết quả thực nghiệm X1 X2 ... XK x0 x1 x2 ... xk 1 X1min X2min ... Xkmin 1 -1 -1 ... -1 y1 2 X1max X2min ... Xkmin 1 +1 -1 ... -1 y2 3 X1min X2max ... Xkmin 1 -1 +1 ... -1 y3            N X1max X2max ... Xkmax 1 +1 +1 ... +1 yN
  • 140.
    QUY HOẠCH THỰCNGHIỆM TOÀN PHẦN VÀ RIÊNG PHẦN 141 5.2. TÍNH TOÁN HỆ SỐ HỒI QUY Để xác định các hệ số PTHQ của TNT ta sử dụng phương pháp bình phương nhỏ nhất. Sử dụng phương pháp này ta phải giải hệ phương trình với p ẩn số (p là số hệ số PTHQ). Các tính chất từ 1 đến 3 (công thức 5.3, 5.4 và 5.5) của TNT giúp cho việc xác định các hệ số PTHQ trở thành dễ dàng hơn. Đầu tiên ta tìm các hệ số PTHQ được viết dưới dạng mã hóa: y = b0 + b1x1 + b2x2 + ... + bkxk Từ công thức (3.33) ta có ma trận xác định các hệ số PTHQ: 1 2 oj j 0 oj oj 1j oj 2j oj kj 2 1j j 1 1j oj 1j 1j 2j 1j kj 2 2j j 2 2j oj 2j 1j 2j 2j kj 2 kj j k kj oj kj 1j kj 2j kj x y b x x x x x x x x y b x x x x x x x x y b x x x x x x x x y b x x x x x x x                                                                               Thay đường chéo bằng N, và do tính chất trực giao các thành phần còn lại bằng 0. Suy ra:
  • 141.
    142 CHƯƠNG 5 Cụthể để xác định các hệ số bậc 1 PTHQ b1, b2, ... bk ta có công thức tổng quát sau: N y x N y x ... y x y x b N 1 j j ij N iN 2 2 i 1 1 i i                (5.6) với i =1, 2, ..., k. Ví dụ 5.1 Xác định sự phụ thuộc giữa giới hạn bền vật liệu vào độ ẩm W và nhiệt độ t. Tương tự Ví dụ 3.4, nhưng ta chỉ tiến hành 4 thí nghiệm (bỏ 2 thí nghiệm 2 và 4). Bảng 5.6 Bảng giá trị các nhân tố STT Nhân tố Ký hiệu Mức giá trị Khoảng thay đổi Tự nhiên Mã hóa Dưới -1 Trên +1 1 Độ ẩm (%) W x1 6 30 24 2 Nhiệt độ (o C) t x2 40 80 40 Với kết quả thực nghiệm cho trong Bảng 5.7. Bảng 5.7 Kết quả thực nghiệm phụ thuộc giới hạn bền loại vật liệu vào độ ẩm W và nhiệt độ t N Tự nhiên Mã hóa Kết quả thí nghiệm Trung bình y Giá trị PTHQ  y W (%) t (0 C) xo x1 x2 y1 y2 y3 1 6 40 1 -1 -1 9,2 8,7 9,1 9 8,7 2 30 80 1 +1 -1 2,8 2,9 3,3 3 2,95 3 6 40 1 -1 +1 7,2 7,6 7,7 7,5 7,44 4 30 80 1 +1 +1 1,9 2,3 1,8 2 1,69 Sử dụng công thức (5.6) ta thu được giá trị các hệ số: 4 0j j j 1 0 x y 8,7 2,95 7,44 1,69 b 5,375 4 4         4 1j j j 1 1 x y 8,7 2,95 7,44 1,69 b 2,875 4 4          
  • 142.
    QUY HOẠCH THỰCNGHIỆM TOÀN PHẦN VÀ RIÊNG PHẦN 143 4 2j j j 1 2 x y 8,7 2,95 7,44 1,69 b 0,625 4 4           PTHQ dạng mã hóa: y = 5,375 – 2,875x1 – 0,625x2 So sánh với kết quả với Ví dụ 3.4: 2 1 x 63 , 0 x 875 , 2 2 , 5 y    nhận thấy rằng không có sự sai lệch đáng kể. Sử dụng Minitab Model Summary S R-sq R-sq(adj) R-sq(pred) 0.288194 99.29% 99.13% 98.73% Coded Coefficients Term Effect Coef SE Coef T-Value P-Value VIF Constant 5.3750 0.0832 64.61 0.000 v -5.7500 -2.8750 0.0832 -34.56 0.000 1.00 t -1.2500 -0.6250 0.0832 -7.51 0.000 1.00 Regression Equation in Coded Units y = 5.3750 - 2.8750 x1 - 0.6250 x2 Regression Equation in Uncoded Units y = 11.563 - 0.23958 v - 0.03125 t Ví dụ 5.2 Khảo sát sự phụ thuộc đại lượng y (cm2 /s) vào 3 nhân tố: đường kính d (cm), chiều dài L (cm) và vận tốc v (m/s). Các giá trị nhân tố dạng tự nhiên và mã hóa và kết quả thực nghiệm cho trong Bảng 5.8 và 5.9. Bảng 5.8 STT Nhân tố Ký hiệu Mức giá trị Khoảng thay đổi Tự nhiên Mã hóa Dưới -1 Trên +1 1 Đường kính (cm) d x1 30,5 53 22,5 2 Chiều dài (cm) L x2 48 66 18 3 Vận tốc (m/s) v x3 11,5 15,5 4
  • 143.
    144 CHƯƠNG 5 Bảng5.9 Ma trận thực nghiệm với nhân tố tự nhiên N Nhân tố tự nhiên Nhân tố mã hóa Kết quả d (cm) L (cm) v (m/s) x0 x1 x2 x3 y (cm2 /s) 1 2 3 4 5 6 7 8 30,5 53 30,5 53 30,5 53 30,5 53 48 48 66 66 48 48 66 66 11,5 11,5 11,5 11,5 15,5 15,5 15,5 15,5 +1 +1 +1 +1 +1 +1 +1 +1 –1 +1 –1 +1 –1 +1 –1 +1 –1 –1 +1 +1 –1 –1 +1 +1 –1 –1 –1 –1 +1 +1 +1 +1 24,0 42,2 33,8 41,4 57,8 51,0 51,7 54,6 Giải : Theo công thức (5.6) ta xác định các hệ số: 8 0j j j 1 0 x y 24 42,2 33,8 41,4 57,8 51,0 51,7 54,6 b 8 8            8 1j j j 1 1 x y 24 42,2 33,8 41,4 57,8 51,0 51,7 54,6 b 8 8             8 2j j j 1 2 x y 24 42,2 33,8 41,4 57,8 51,0 51,7 54,6 b 8 8             8 3j j j 1 3 x y 24 42,2 33,8 41,4 57,8 51,0 51,7 54,6 b 8 8             Thu được các kết quả sau: b0 = 44,56; b1 = 2,74; b2 = 0,8125; b3 = 9,2125 Từ đây suy ra: y = 44,56+ 2,74x1 + 0,8125x2 + 9,2125x3 Chuyển sang dạng tự nhiên bằng cách thay thế: 1 2 3 d 41,75 l 57 v 13,5 x ; x ; x 12,25 9 2      
  • 144.
    QUY HOẠCH THỰCNGHIỆM TOÀN PHẦN VÀ RIÊNG PHẦN 145 5.3. TÍNH TƯƠNG TÁC CÁC NHÂN TỐ THEO KẾT QUẢ THỰC NGHIỆM NHÂN TỐ TOÀN PHẦN 2k Trong nhiều trường hợp mức độ ảnh hưởng một nhân tố phụ thuộc vào mức giá trị nhân tố khác. Với TNT 2k ngoài các hệ số tuyến tính hồi quy ta cần ước lượng tất cả tương tác giữa các nhân tố. Đầu tiên ta khảo sát trường hợp với 2 nhân tố: chỉ có 1 cặp tác dụng lẫn nhau duy nhất giữa hai nhân tố x1x2. Hệ số b12 khi đó có thể đánh giá theo kết quả TNT và khi đó PTHQ có dạng: y = b0 + b1x1 + b2x2 + b12x1x2 (5.7) Như thế trong mô hình trên số hệ số p = 4 và nó bằng với số thí nghiệm chính N = 4. Do đó phương trình (5.7) gọi là phương án bão hòa (đầy đủ). Đánh giá tương tác các nhân tố bằng tính chất của ma trận hàm cơ sở TNT. Ta lập ma trận thực nghiệm với TNT với N = 22 với các ký hiệu nhân tố được mã hóa (Bảng 5.10). Bảng 5.10 Ma trận thực nghiệm N Nhân tố mã hóa và tương tác Kết quả thực nghiệm y xo x1 x2 x1x2 1 2 3 4 +1 +1 +1 +1 –1 +1 –1 +1 –1 –1 +1 +1 +1 –1 –1 +1 y1 y2 y3 y4 Ma trận trong Bảng 5.10 có các Tính chất 1 đến 3, từ đó cho phép ước lượng hệ số tương tác b12. Để tính chúng ta sử dụng cột x1x2 trong Bảng 5.10. N 1j 2 j j j 1 12 x x y b 4    (5.8) Đối với quy hoạch trong Bảng 5.10 thì b12 xác định theo công thức:     1 2 3 4 12 y y y y b 4 Đối với thực nghiệm 3 nhân tố, ngoài 3 hệ số tương tác đôi x1x2, x1x3, x2x3 ta còn tương tác 3 nhân tố x1x2x3, nó gọi là tương tác bậc 2. Mô hình khi đó có dạng: y = b0 + b1x1 + b2x2 + b3x3 + b12x1x2 + b13x1x3 + b23x2x3 + b123 x1x2x3
  • 145.
    146 CHƯƠNG 5 Vìp = N, nên mô hình trên là bão hòa. Để tìm giá trị hệ số b123 ta sử dụng cột x1x2x3 trên ma trận quy hoạch (Bảng 5.11). Tuy nhiên trong thực tế ít khi đưa hệ số b123 vào PTHQ. Bảng 5.11 TNT với 3 nhân tố dạng mã hóa N Nhân tố Tương tác Kết quả thực nghiệm y x0 x1 x2 x3 x1x2 x1x3 x2x3 x1x2x3 1 2 3 4 5 6 7 8 +1 +1 +1 +1 +1 +1 +1 +1 –1 +1 –1 +1 –1 +1 –1 +1 –1 –1 +1 +1 –1 –1 +1 +1 –1 –1 –1 –1 +1 +1 +1 +1 1 -1 -1 1 1 -1 -1 1 1 -1 1 -1 -1 1 -1 1 1 1 -1 -1 -1 -1 1 1 -1 +1 +1 -1 +1 -1 -1 1 y1 y2 y3 y4 y5 y6 y7 y8 Trong trường hợp tổng quát (quy hoạch 2k , hệ số biu xét đến tương tác nhân tố xi, xu): N y x x b N 1 j j uj ij iu    (5.9) Ví dụ 5.3 Với các số liệu như Ví dụ 5.2. Khảo sát sự phụ thuộc đại lượng y (cm2 /s) vào 3 nhân tố: đường kính d (cm), chiều dài L (cm) và vận tốc v (m/s) nếu kể đến tương tác bậc 1 và 2. Giải: PTHQ có dạng: y = b0 + b1x1 + b2x2 + b3x3 + b12x1x2+ b13x1x3 + b23x2x3+ b123 x1x2x3 Trong Ví dụ 5.2 nếu kể đến tương tác bậc 1 và 2 ta có bảng ma trận QHTN như Bảng 5.12. Bảng 5.12 N Nhân tố Tương tác bậc 1 Tương tác bậc 2 Kết quả Y xo x1 x2 x3 x1x2 x1x3 x2x3 x1x2x3 1 2 3 4 5 6 7 8 +1 +1 +1 +1 +1 +1 +1 +1 –1 +1 –1 +1 –1 +1 –1 +1 –1 –1 +1 +1 –1 –1 +1 +1 –1 –1 –1 –1 +1 +1 +1 +1 +1 –1 –1 +1 +1 –1 –1 +1 +1 –1 +1 –1 –1 +1 –1 +1 +1 +1 –1 –1 –1 –1 +1 +1 –1 +1 +1 –1 +1 –1 –1 +1 24,0 42,2 33,8 41,4 57,8 51,0 51,7 54,6
  • 146.
    QUY HOẠCH THỰCNGHIỆM TOÀN PHẦN VÀ RIÊNG PHẦN 147 Theo công thức (5.9) ta suy ra các hệ số tương tác bậc 1 và 2: b13=- 0,1125; b13 = -3,712; b23 = -1,437; b123 = 2,538. Khi đó PTHQ dạng mã hóa: y = 44,56+2,738x1 +0,8125x2 +9,213x3 –0,1125x1x2 –3,712x1x3 –1,437x2x3 +2,538x1x2x3 Chuyển sang dạng tự nhiên: y = -90,1 + 1,51 d + 0,72 L + 3,53 v - 0,0011 dL - 0,0363 dv - 0,0176 Lv PTHQ dạng tổng quát có tương tác bậc 1, tương ứng ma trận quy hoạch trong Bảng 5.13. y = b0 + b1x1 + b2x2 + ... + bkxk + b12x1x2 + b13x1x3+…+ b(k-1)kx(k-1)xk (5.10) Trong trường hợp tổng quát có k nhân tố, số tương tác đôi (bậc 1) được xác định theo công thức: 2 ) 1 k ( k C2 k   (5.11) - Số tương tác 3 (bậc 2): 3 . 2 ) 2 k )( 1 k ( k C3 k    (5.12) - Số tương tác k (bậc k - 1): 1 ! k ! 0 ! k Ck k   tổng quát: )! n k ( ! n ! k Cn k   (5.13) Tổng số hệ số: p = k + 1 + k k 3 k 2 k C ... C C    (5.14) Công thức xác định các hệ số tương tác tương tự công thức (5.9).
  • 147.
    148 CHƯƠNG 5 Bảng5.13 Ma trận quy hoạch với k nhân tố N Giá trị nhân tố mã hóa Tương tác Kết quả thực nghiệm xo x1 x2 ... xk x1x2 x1 x3 … xk-1xk 1 1 -1 -1 ... -1 +1 +1 +1 y1 2 1 +1 -1 ... -1 -1 -1 +1 y2 3 1 -1 +1 ... -1 -1 +1 +1 y3        N 1 +1 +1 ... +1 +1 +1 yN 5.4. PHÂN TÍCH THỐNG KÊ MÔ HÌNH HỒI QUY THU ĐƯỢC THEO THỰC NGHIỆM NHÂN TỐ TOÀN PHẦN Tính chất đối xứng, chuẩn hóa, trực giao theo các Công thức (5.3) đến (5.5) ma trận TNT làm đơn giản không chỉ tính toán hệ số PTHQ, mà còn phân tích thống kê mô hình hồi quy. Ma trận (XTX)-1 là ma trận đường chéo. Theo kết quả thì tất cả covarian giữa các hệ số hồi quy bằng 0 (tính trực giao). Do đó, các hệ số PTHQ độc lập và không cần tính lại các hệ số PTHQ khi loại bỏ các hệ số không ý nghĩa. Ngoài ra, phương sai của tất cả hệ số PTHQ bằng nhau và xác định theo công thức: a) Khi số thí nghiệm lặp n bằng nhau: Theo công thức (4.11): } y { s c } b { s 2 ii i 2  Suy ra: 2 2 i s {y} s {b } nN  (5.15) trong đó: s2 {y} - ước lượng phương sai tái hiện N - số thí nghiệm chính. b) Khi không có số thí nghiệm lặp: N } y { s } b { s 2 i 2  (5.16) Khi số thí nghiệm lặp n bằng nhau vẫn giữ các tính chất theo các công thức (5.3) đến (5.5) của ma trận quy hoạch và có tất cả ưu điểm của TNT.
  • 148.
    QUY HOẠCH THỰCNGHIỆM TOÀN PHẦN VÀ RIÊNG PHẦN 149 Công thức tính các hệ số vẫn đúng trong trường hợp giá trị đáp ứng thu được lấy theo giá trị trung bình các thí nghiệm lặp y . Khi số thí nghiệm lặp không bằng nhau sẽ vi phạm tính trực giao quy hoạch. Khi đó ta không thể sử dụng các công thức cho TNT để tính các hệ số. Để tính các hệ số cần sử dụng phương trình tổng quát. Để ước lượng ý nghĩa của hệ số PTHQ ta sử dụng tiêu chuẩn Student: } b { s t b i b i  (5.17) Khi loại bỏ các hệ số không ý nghĩa ta không cần tính lại các hệ số PTHQ. Kiểm tra tính tương thích PTHQ cũng tương tự trường hợp tổng quát. Ví dụ 5.4 Nghiên cứu ảnh hưởng nhiệt độ 20  t  60 (o C), thời gian 0  t  60 (ph) và độ pH: 4,5  pH  5,2 khi thủy phân đến độ bền uốn vật liệu ván dăm . Giải: 1) Giá trị các nhân tố cho trong Bảng 5.14. Bảng 5.14 STT Nhân tố Ký hiệu Mức giá trị Khoảng thay đổi Tự nhiên Mã hóa Dưới -1 Trên +1 1 Nhiệt độ (o C) t x1 20 60 20 2 Thời gian (ph)  x2 0 60 30 3 Độ pH  x3 4,5 5,2 0,35 2) Sử dụng PTHQ bậc 1 đầy đủ có dạng: y = b0 + b1x1 + b2x2 + b3x3 + b12x1x2+ b13x1x3 + b23x2x3 3) Quan hệ giữa nhân tố được mã hóa và tự nhiên: 20 40 t x1   ; 30 30 x2    và 3 v 4,85 x 0,35   4) Ma trận quy hoạch và kết quả thực nghiệm cho trong Bảng 5.15. Mỗi thí nghiệm chính lặp lại 5 lần.
  • 149.
    150 CHƯƠNG 5 Bảng5.15 N Nhân tố Mã hóa Kết quả thực nghiệm , MPa Kết quả tính toán t, o C , ph , pH x1 x2 x3 yj1 yj2 yj3 yj4 yj5 _ j y 2 j s j ŷ 1 2 3 4 5 6 7 8 9 10 11 12 13 14 15 1 2 3 4 5 6 7 8 20 +60 20 +60 20 +60 20 +60 0 0 +60 +60 0 0 +60 +60 4,5 4,5 4,5 4,5 +5,2 +5,2 +5,2 +5,2 -1 1 -1 1 -1 1 -1 1 -1 -1 1 1 -1 -1 1 1 -1 -1 -1 -1 1 1 1 1 39 46 53 47 32 38 43 55 41,5 44 53,5 50 31 37 45 52,5 40,5 43,5 53 49 34 39 46,5 53,5 41 43,5 53 49 34 39 46,5 53,5 39 44 52 51 53 36,5 45 53 40,2 44,2 52,7 49,2 32,9 37,4 45,2 53,5 1,325 1,075 0,45 2,2 2,05 1,175 2,075 0,875 40,65 43,7 52,23 49,65 33,35 36,93 44,73 53,95 5) Để kiểm tra giả thuyết về phân phối chuẩn của đại lượng đầu ra và số thí nghiệm lặp n ta tiến hành riêng 50 thí nghiệm với điều kiện: t = 20 %;  = 0 ph;  = 5,2 pH Tính chất chuẩn của phân bố kiểm tra theo tiêu chuẩn 2  . Giả sử 55 , 3 2 t   nhỏ hơn giá trị tra bảng 99 , 5 2 b   (khi α = 0,05). Do đó giả thuyết này được chấp nhận. Và trên cơ sở 50 thí nghiệm trên ta cũng xác định số thí nghiệm lặp là n = 5. 6) Thực nghiệm chính. Ma trận thực nghiệm với 3 nhân tố x1, x2, x3 trình bày trên Bảng 5.12. Các giá trị tự nhiên cho trong Bảng 5.14 và kết quả thực nghiệm cho trong Bảng 5.15. Trong cột 13 là giá trị trung bình đáp ứng, tính theo giá trị trung bình các thí nghiệm lặp: 5 ju u 1 1 y y , j 1, 2,...8 5     Ở đây yju - giá trị đáp ứng trong thí nghiệm lặp thứ u của thí nghiệm chính thứ j, u = 1, 2, …, 5. 7) Cột thứ 14 là kết quả tính toán phương sai mỗi thí nghiệm chính (với 5 thí nghiệm lặp):
  • 150.
    QUY HOẠCH THỰCNGHIỆM TOÀN PHẦN VÀ RIÊNG PHẦN 151   5 2 ju j 2 u 1 j y y s 4     với j = 1, 2, 3, ..., 8 8) Kiểm tra tính đồng nhất phương sai thí nghiệm (Mục 2.7). Do số thí nghiệm lặp như nhau nên ta sử dụng tiêu chuẩn Cochran. Phương sai lớn nhất là của loạt thí nghiệm chính thứ 4 là 2 , 2 s2 4  cho nên: 2 4 tt 2 2 2 1 2 8 s 2,2 G 0,196 11,25 s s s       Theo bảng tiêu chuẩn Cochran với α = 0,01, số bậc tự do f = n – 1 = 4. số lượng mẫu N = 8 ta tìm Gb = 0,46. Vì Gtt = 0,196  0,46 nên ta chấp nhận giả thuyết về tính đồng nhất phương sai thí nghiệm. 9) PTHQ có dạng (5.10). Hệ số PTHQ được xác định theo công thức (5.6) và (5.9) với sự trợ giúp ma trận quy hoạch (Bảng 5.7) và cột j y (cột thứ 10) trong Bảng 5.9. Sau khi tính toán ta thu được PTHQ dạng mã hóa: y = 44,4 + 1,66x1 + 5,74x2 – 2,16x3 – 0,46x1x2 + 1,54x1x3 + 1,36x2x3 + 1,41x1x2x3 10) Ước lượng ý nghĩa các hệ số PTHQ. Đại lượng tb được xác định theo bảng tiêu chuẩn Student với q = 0,01 và số bậc tự do (Phụ lục 1) fy = N(n – 1) = 8(5 – 1) = 32 Từ Phụ lục 1 ta thu được tb = 2,73. Phương sai tái hiện PTHQ: s2 {y} = (s2 1+ s2 2+…+ s2 8)/8 = 11,25/8 = 1,4 Theo công thức (5.16), phương sai hệ số PTHQ: s2 {bi} = s2 {y}/(n.N) = 1,4/(5,8) = 0,035. suy ra s{bi} = 0,187 Cho nên 51 , 0 187 , 0 . 73 , 2 } b { s t i b   . Trong các hệ số PTHQ thì chỉ có b12 không thỏa mãn điều kiện: 51 , 0 } b { s t 46 , 0 b i b 12   
  • 151.
    152 CHƯƠNG 5 Chonên hệ số b12 không ý nghĩa và loại bỏ nó. Ta không cần tính lại các hệ số PTHQ (do có tính trực giao của ma trận quy hoạch): y = 44,4 + 1,66x1 + 5,74x2 – 2,16x3 + 1,54x1x3 + 1,36x2x3 + 1,41x1x2x3 Xác định khoảng tin cậy các hệ số PTHQ: } b { s t b } b { s t b i b i i i b i      43,89  0  44,91 1,15  1  2,17 1,03  13  2,05 5,23  2  6,25 0,85  23  1,87 –2,67  3  -1,65 0,9  123  1,92 11) Tiếp tục ta kiểm tra tính tương thích PTHQ. Phương sai tương thích 2 th s được xác định theo công thức:   N 2 j j j 1 2 th th th ˆ n y y s s f N p       trong đó: p - số hệ số PTHQ (p = 7); j y - giá trị đáp ứng của thí nghiệm chính thứ j (trong cột 10 của Bảng 5.9).   62 , 8 ) 7 8 ( ) 45 , 53 5 , 53 ( ... ) 7 , 43 2 , 44 ( ) 65 , 40 2 , 40 ( 5 s 2 2 2 2 th          Giá trị tính toán theo tiêu chuẩn Fisher Ft được xác định theo công thức: 15 , 6 4 , 1 62 , 8 } y { s s F 2 2 th t    Từ bảng tiêu chuẩn Fisher (Phụ lục 2) với α = 0,01 và bậc tự do fth = N – p = 8 – 7 = 1 và fy = N(n – 1) = 32 ta tìm Fb = 7,57. vì Ft = 6,15 < Fb = 7,57 cho nên điều kiện tính tương tích PTHQ được chấp nhận.
  • 152.
    QUY HOẠCH THỰCNGHIỆM TOÀN PHẦN VÀ RIÊNG PHẦN 153 12) Phân tích kết quả: Biểu diễn PTHQ dạng tự nhiên: (t 40) ( 30) ( 4,85) (t 40) ( 4,35) 44,4 1,66 5,74 2,16 1,54 . 20 30 0,35 20 0,35 ( 30) ( 4,85) t 40 t 30 4,85 1,36 1,41 30 0,35 20 20 0,35                                                   hoặc: 127,46 0,366t 1,287      19,59 0,08t 0,206 0,0485t 0,01t           5.5. THỰC NGHIỆM NHÂN TỐ RIÊNG PHẦN (TNR - Fractional Factorial Design) Thông thường thực nghiệm được thực hiện trong các lãnh vực khoa học, kỹ thuật, công nghệ… tốn nhiều công sức, thời gian và chi phí. Cho nên vấn đề quan trọng là làm sao giảm chi phí thực nghiệm, cụ thể là giảm số thí nghiệm. Trong TNT ta thu được PTHQ với đầy đủ các hệ số, bao gồm cả các hệ số tương tác. Tuy nhiên trong nhiều trường hợp một số hệ số tương tác là không cần thiết. Ví dụ như trong giai đoạn đầu nghiên cứu đối tượng, thông thường ta tiến hành thực nghiệm để thu được PTHQ bậc 1 với các hệ số bi. Với k nhân tố thực nghiệm, PTHQ có p = k+1 hệ số và số thí nghiệm chính cần thiết N phải lớn hơn hoặc bằng p. Theo quan điểm về kinh tế thì số N không được lớn hơn nhiều so với số hệ số PTHQ. Ví dụ khi k = 6 thì số hệ số PTHQ có tương tác đôi là p = k + 1 + 2 k C = 1 + 6 + 2 5 . 6 = 22 hệ số, theo TNT thì N = 26 = 64 thí nghiệm chính, vì N >> p, cho nên sử dụng TNT không hiệu quả. Thực nghiệm nhân tố riêng phần (TNR) cho phép ta giảm bớt số thí nghiệm chính so với TNT trong trường hợp PTHQ có thể bỏ qua (biết trước) các hệ số tương tác. Thực nghiệm nhân tố riêng phần với ba nhân tố Để giải thích ý tưởng xây dựng TNR ta bắt đầu từ TNT với 2 nhân tố. Trong Bảng 5.6 là ma trận thực nghiệm, quy hoạch này tương ứng PTHQ: y = b0 + b1x1 + b2x2 + b12x1x2 (5.18)
  • 153.
    154 CHƯƠNG 5 Giảsử rằng ta biết trước rằng hệ số tương tác b12 có thể bỏ qua. Khi đó ta thay cột x1x2 bằng nhân tố mới x3 (Bảng 5.16). Khi đó, nhà thực nghiệm tiến hành với 3 nhân tố gồm 4 thí nghiệm chính. Theo kết quả thực nghiệm ta thu được PTHQ: y = b0 + b1x1 + b2x2 + b3x3 (5.19) Ma trận quy hoạch trong Bảng 5.6 và 5.12 đều thỏa các tính chất theo công thức (5.2) đến (5.4). Quy hoạch thu được từ TNT bằng cách thay thế hệ số tương tác bằng hệ số mới gọi là TNR hay gọi là đáp ứng riêng phần của TNT. Bảng 5.16 TNR với 3 nhân tố và 23-1 N Nhân tố tự nhiên Nhân tố mã hóa Kết quả thực nghiệm X1 X2 X3 x0 x1 x2 x3 = x1x2 1 2 3 4 X1min X1max X1min X1max X2min X2min X2max X2max X3max X3min X3min X3max 1 1 1 1 -1 +1 -1 +1 -1 -1 +1 +1 +1 -1 -1 +1 y1 y2 y3 y4 Trong quy hoạch 23-1 nhân tố x3 được thay bằng tương tác x1x2. Do đó, trong PTHQ không nên tách rời ảnh hưởng nhân tố x3 khỏi ảnh hưởng tương tác bằng hệ số b3 mà phải đánh giá đồng thời hoặc phối hợp của các hệ số 3 và 12. Ta có thể ký hiệu hệ thống đánh giá phối hợp các ước lượng như sau: b3  3 + 12 Nếu trên Bảng 5.12 ta thêm vào các cột x1x3 và x2x3 thì chúng sẽ trùng với các cột x2 và x1. Do đó ta có các đánh giá hỗn hợp sau: b2  2 + 13 b1  1 + 23 Khi xây dựng quy hoạch 23-1 ta sử dụng biểu thức x3 = x1x2. biểu thức này gọi là biểu thức sinh (generator) quy hoạch. Nhân cả hai vế biểu thức sinh cho x3 ta có: 1 x x x x 3 2 1 2 3   Biểu thức trên với vế phải là 1 và vế trái là tích của vài nhân tố gọi là độ tương phản xác định (determining contract).
  • 154.
    QUY HOẠCH THỰCNGHIỆM TOÀN PHẦN VÀ RIÊNG PHẦN 155 Nhờ vào độ tương phản xác định ta có thể xác định hệ thống phối hợp các đánh giá mà không cần phải thêm các cột phụ. Để thực hiện điều đó ta nhân 2 vế độ tương phản xác định cho x1. x2....x3. Ví dụ: 1 = x1x2x3 Nhân 2 vế cho x1: x1 = x2x3  b1  1 + 23 Nhân 2 vế cho x2: x2 = x1x3  b2  2 + 13 Nhân 2 vế cho x3: x3 = x1x2  b3  3 + 12 Chú ý rằng khi đặt x3 = -x1x2 ta có một ma trận thực nghiệm 23-1 khác. Và cả hai TNR 23-1 này (với x3 = x1x2 và x3 = -x1x2) tạo thành TNT 23 . Tiếp tục ta xây dựng TNR trên cơ sở TNT 23 . Ví dụ 5.5 Tương tự Ví dụ 5.3, ta khảo sát sự phụ thuộc đại lượng y (cm2 /s) vào 3 nhân tố: đường kính d (cm), chiều dài L (cm) và vận tốc v (m/s). Sử dụng TNR với các giá trị nhân tố dạng tự nhiên và mã hóa (Bảng 5.17), kết quả thực nghiệm cho trong Bảng 5.18. Bảng 5.17 STT Nhân tố Ký hiệu Mức giá trị Khoảng thay đổi Tự nhiên Mã hóa Dưới -1 Trên +1 1 Đường kính (cm) d x1 30,5 53 22,5 2 Chiều dài (cm) L x2 48 66 18 3 Vận tốc (m/s) v x3 11,5 15,5 4 Giải: Với biểu thức sinh x3= x1x2 ta suy ra hệ thống đánh giá phối hợp các ước lượng: b3  3 + 12 b2  2 + 13 b1  1 + 23 Do đó PTHQ có dạng: y = b0 + b1x1 + b2x2 + b3x3
  • 155.
    156 CHƯƠNG 5 Bảng5.18 Ma trận quy hoạch với kết quả thực nghiệm N Nhân tố tự nhiên Nhân tố mã hóa Kết quả d (cm) L (cm) v (m/s) x0 x1 x2 x3 = x1x2 y (cm2 /s) 1 2 3 4 30,5 53 30,5 53 48 48 66 66 11,5 11,5 11,5 11,5 1 1 1 1 –1 1 –1 1 –1 –1 1 1 1 –1 –1 1 57,8 42,2 33,8 54,6 Sử dụng công thức (5.6) ta thu được PTHQ sau dạng mã hóa: y = 47,10 + 1,300 x1 – 2,900 x2 + 9,100 x3 Một số lưu ý khi thực hiện trên Minitab: 1. Trên menu Stat chọn DOE > Factorial > Create Factorial Design… (Hình 5.4). Hình 5.4 2. Trên hộp thoại Create Factorial Design, chọn Type of Design là 2-level factorial (specify generators) và chọn Number of factors là 2.
  • 156.
    QUY HOẠCH THỰCNGHIỆM TOÀN PHẦN VÀ RIÊNG PHẦN 157 Hình 5.5 3. Chọn nút Display Avaiable Designs… and Designs… chọn dạng ma trận quy hoạch với N = 4. Hình 5.6 4. Chọn nút Generators… trên hộp thoại Create Factorial Design: Designs để nhập biểu thức sinh C=AB (có nghĩa là x3 = x1x2). Nếu có nhiều biểu thức sinh thì cách nhau 1 khoảng trống.
  • 157.
    158 CHƯƠNG 5 Hình5.7 5. Các bước tiếp theo như TNT (Mục 5.8). TNR với 4 nhân tố Có vài phương pháp xây dựng TNR với 4 nhân tố trên cơ sở quy hoạch này dựa trên tương tác nào được bỏ qua. Ví dụ ta bỏ qua tương tác x1x2x3 và thay thế bằng nhân tố x4 = x1x2x3 ta thu được quy hoạch 4 nhân tố (Bảng 5.19). Bảng 5.19 TNR với 4 nhân tố mã hóa và x4 = x1x2x3 N x1 x2 x3 x4 (x4 = x1x2x3) x1x2 x1x3 x1x4 Kết quả yi 1 -1 -1 -1 -1 1 1 1 y1 2 1 -1 -1 1 -1 -1 1 y2 3 -1 1 -1 1 -1 1 -1 y3 4 1 1 -1 -1 1 -1 -1 y4 5 -1 -1 1 1 1 -1 -1 y5 6 1 -1 1 -1 -1 1 -1 y6 7 -1 1 1 -1 -1 -1 1 y7 8 1 1 1 1 1 1 1 y8 Với quy hoạch này ta có biểu thức sinh x4 = x1x2x3. độ tương phản xác định có dạng: 1 = x1x2x3x4
  • 158.
    QUY HOẠCH THỰCNGHIỆM TOÀN PHẦN VÀ RIÊNG PHẦN 159 Nhân lần lượt 2 vế biểu thức trên cho x1, x2, x3 và x1x2, x2x3, x1x3 ta có: x1 = x2x3x4 x2 = x1x3x4 x3 = x1x2x4 x1x2 = x3x4 x2x3 = x1x4 x1x3 = x2x4 Từ đây ta có hệ thống đánh giá phối hợp các ước lượng: b1  1 + 234 b12  12 + 34 b2  2 + 134 b13  13 + 24 b3  3 + 124 b14  14 + 23 b4  4 + 123 PTHQ xây dựng trên cơ sở quy hoạch ở trên bao gồm các hệ số b0, b1, b2, b3, b4, b12, b13, b14: y = b0 + b1x1 + b2x2 + b3x3 + b4x4 + b12x1x2 + b13x1x3 + b14x1x4 (5.20) Cần chú ý hệ thống phối hợp. Ví dụ hệ số b12 đánh giá không chỉ 12 mà còn 34. Sử dụng ma trận quy hoạch theo Bảng 5.13 để xây dựng mô hình (5.20) là ma trận bão hòa vì N = 8 = p. Do đó không thể ước lượng tính tương thích mô hình. So sánh hai hệ thống phối hợp cả 2 quy hoạch vừa khảo sát ta thấy ưu điểm của quy hoạch với độ tương phản xác định: 1 = x1x2x3x4 Đối với quy hoạch này thì ước lượng các hệ số tuyến tính PTHQ phối hợp chỉ với các tương tác ba. Khi đó quy hoạch với độ tương phản xác định 1 = x1 x3 x4 vài ước lượng hệ số tuyến tính phối hợp với các tương tác đôi. Do đó theo hệ thống phối hợp các ước lượng ta chọn quy hoạch tốt nhất khi vế phải của độ tương phản xác định có số thành phần nhân tố nhiều nhất. Ngoài các phương án kể trên ta còn có phương án khác nhau để xây dựng TNR cho 4 nhân tố trên cơ sở TNT 23 với các biểu thức sinh có thể là: x4 = -x1x2x3 x4 =  x1x2 x4 = -x1x3 x4 =  x2x3
  • 159.
    160 CHƯƠNG 5 Vídụ 5.6 Sử dụng TNR trường hợp 4 nhân tố với biểu thức sinh x4 = x1x3. Yêu cầu: 1. Chọn độ tương phản xác định 2. Chọn dạng PTHQ 3. Ma trận quy hoạch Giải: 1. Độ tương phản xác định: 1 = x1x3x4 Các biểu thức sinh của quy hoạch: x1 = x3x4 x1x2 = x2x3x4 x2 = x1x2x3x4 x2x3 = x1x2x4 x3 = x1x4 x2x4 = x1x2x3 x4 = x1x3 Hệ thống phối hợp các đánh giá: b1  1+ 34 b12  12 + 234 b2  2 + 1234 b23  23 + 124 b3  3 + 14 b24  24 + 123 b4  4 + 13 2. Khi đó PTHQ có dạng: y = b0 + b1x1 + b2x2 + b3x3 + b4x4 + b12x1x2 + b23x2x3 + b24x2x4 3. Ma trận quy hoạch trình bày trên Bảng 5.20. Bảng 5.20 Ma trận quy hoạch TNR với 4 nhân tố và x4 = x1x3 N x1 x2 x3 x4 (x4 = x1x3) x1x2 x2x3 x2x4 Kết quả yi 1 -1 -1 -1 1 1 1 -1 y1 2 1 -1 -1 -1 -1 1 1 y2 3 -1 1 -1 1 -1 -1 1 y3 4 1 1 -1 -1 1 -1 -1 y4 5 -1 -1 1 -1 1 -1 1 y5 6 1 -1 1 1 -1 -1 -1 y6 7 -1 1 1 -1 -1 1 -1 y7 8 1 1 1 1 1 1 1 y8
  • 160.
    QUY HOẠCH THỰCNGHIỆM TOÀN PHẦN VÀ RIÊNG PHẦN 161 TNR với 5 nhân tố và nhiều hơn Ý tưởng xây dựng TNR cho các trường hợp tổng quát như 2k-1 , 2k-2 ,... 2k-p có thể phát triển trên cơ sở trình bày ở trên. Trên Bảng 5.21 là TNR 2k-2 với k = 5, khi thay thế x4 = x1x2x3 và x5 = x2x3 (các biểu thức sinh). Bảng 5.21 Ma trận QHTN 5 nhân tố 25-2 N x1 x2 x3 x4 (x4 = x1x2x3) x5 (x5 = x2x3) x1x2 x1x3 1 -1 -1 -1 -1 1 1 1 2 1 -1 -1 1 1 -1 -1 3 -1 1 -1 1 -1 -1 1 4 1 1 -1 -1 -1 1 -1 5 -1 -1 1 1 -1 1 -1 6 1 -1 1 -1 -1 -1 1 7 -1 1 1 -1 1 -1 -1 8 1 1 1 1 1 1 1 Để thu được hệ thống phối hợp ta khảo sát các độ tương phản xác định: 1 = x1x2x3x4 1 = x2x3x5 Ngoài ra ta còn thu được hệ thống phối hợp bằng cách nhân theo vế hai độ tương phản trên: 1 = x1x4x5 Cả ba độ tương phản trên có thể viết dưới dạng một biểu thức và được gọi là độ tương phản xác định mở rộng: 1 = x1x2x3x4 = x2x3x5 = x1x4x5 Nhân chúng tương ứng cho x1, x2, x3, x4, x5, x1x2, x1x3 ta thu được các biểu thức: x1 = x2x3x4 = x1x2x3x5 = x4x5 x2 = x1x3x4 = x3x5 = x1x2x4x5 x3 = x1x2x4 = x2x5 = x1x3x4x5 x4 = x1x2x3 = x2x3x4x5 = x1x5 x5 = x1x2x3x4x5 = x2x3 = x1x4 x1x2 = x3x4 = x1x3x5 = x2x4x5 x1x3= x2x4 = x1x2x5 = x3x4x5
  • 161.
    162 CHƯƠNG 5 Từđây ta có hệ thống phối hợp sau: 45 1235 234 1 1 b         1245 35 134 2 2 b         1345 25 124 3 3 b         15 2345 123 4 4 b         14 23 12345 5 5 b         245 135 34 12 12 b         345 125 24 13 b       Do đó PTHQ có dạng: y = b0 + b1x1 + b2x2 + b3x3 + b4x4 + b5x5 + b12x1x2 + b13x1x3 Từ đây ta thấy rằng trong quy hoạch đang khảo sát tất cả các hệ số tuyến tính đều phối hợp tương tác đôi. Khi thay thế TNT 3 tương tác bằng các nhân tố mới, ta có TNR 2k-3 . Trên cơ sở TNT 23 ta có thể xây dựng TNR với tối đa 7 nhân tố. Ma trận quy hoạch trong trường hợp này có dạng như Bảng 5.22 với các biểu thức sinh: x4 = x1x2x3; x5 = -x1x3; x6 = -x2x3; x7 = -x1x2 Bảng 5.22 Ma trận thực nghiệm TNR với 7 nhân tố N x1 x2 x3 x4 = x1x2x3 x5 = -x1x3 x6 = -x2x3 x7 = -x1x2 1 2 3 4 5 6 7 8 +1 -1 +1 -1 +1 -1 +1 -1 +1 +1 -1 -1 +1 +1 -1 -1 +1 +1 +1 +1 -1 -1 -1 -1 +1 -1 -1 +1 -1 +1 +1 -1 -1 +1 -1 +1 +1 -1 +1 -1 -1 -1 +1 +1 +1 +1 -1 -1 -1 +1 +1 -1 -1 +1 +1 -1 PTHQ có dạng: y = b0 + b1x1 + b2x2 + b3x3 + b4x4 + b5x5 + b6x6 + b7x7 Ta không thể kiểm tra tính tương thích phương trình trên vì p = N = 8.
  • 162.
    QUY HOẠCH THỰCNGHIỆM TOÀN PHẦN VÀ RIÊNG PHẦN 163 Vì các ma trận TNR có các tính chất tương tự như TNT, cho nên việc tính các hệ số PTHQ và phân tích thống kê PTHQ thu được tương tự TNT. Ví dụ 5.7 Nghiên cứu ảnh hưởng 5 nhân tố khi tiện: góc sau α, góc trước γ, góc chính φ, góc phụ φ1, độ tù mũi dao 0 đến độ bền mòn T của dao tiện. Giá trị các nhân tố cho trong Bảng 5.23. Bảng 5.23 Giá trị các nhân tố STT Nhân tố Ký hiệu Mức giá trị Khoảng thay đổi Tự nhiên Mã hóa Dưới -1 Trên +1 1 Góc sau (độ)  x1 -9o -2o 3,5o 2 Góc trước (độ)  x2 6o 10o 2o 3 Góc chính (độ) 1 x3 20o 25o 2,5o 4 Góc phụ (độ)  x4 39o 45o 3o 5 Độ tù mũi dao (mm) 0 x5 0,2 0,8 0,3 Giải: 1. Sử dụng TNR với biểu thức sinh: x4 = x1x2; x5 = x1x2x3. 2. Từ các biểu thức sinh x4 = x1x2, x5 = x1x2x3 suy ra PTHQ có dạng: 0 1 1 2 2 3 3 4 4 5 5 13 1 3 23 2 3 y b b x b x b x b x b x b x x b x x         3. Ma trân quy hoạch dạng mã hóa và kết quả thực nghiệm cho trong Bảng 5.24. Bảng 5.24 N x0 x 1 x 2 x 3 x4 = x1x2 x5 = x1x2x3 x1x3 x2x3 y(T) (min) 1 +1 –1 –1 –1 +1 –1 1 1 31,2 2 +1 +1 –1 –1 –1 +1 -1 1 29,0 3 +1 –1 +1 –1 –1 +1 1 -1 28,5 4 +1 +1 +1 –1 +1 –1 -1 -1 30,0 5 +1 –1 –1 +1 +1 +1 -1 -1 27,0 6 +1 +1 –1 +1 –1 –1 1 -1 28,8 7 +1 –1 +1 +1 –1 –1 -1 1 30,1 8 +1 +1 +1 +1 +1 +1 1 1 29,5
  • 163.
    164 CHƯƠNG 5 Ngoàira tiến hành 4 thí nghiệm với các giá trị nhân tố ở mức cơ sở (để xác định phương sai tái hiện) với kết quả y thu được: 24,1 23,6 23,9 24,0 1. Hệ số PTHQ xác định theo công thức (5.6): N ij i i 1 i x y b N    Kết quả thu được: 0 29,5 30,1 28,8 27,0 30,0 28,5 29,0 31,2 b 29,263 8          1 29,5 30,1 28,8 27,0 30,0 28,5 29,0 31,2 b 0,063 8          2 29,5 30,1 28,8 27,0 30,0 28,5 29,0 31,2 b 0,263 8          3 29,5 30,1 28,8 27,0 30,0 28,5 29,0 31,2 b 0,413 8           4 29,5 30,1 28,8 27,0 30,0 28,5 29,0 31,2 b 0,163 8          5 29,5 30,1 28,8 27,0 30,0 28,5 29,0 31,2 b 0,763 8           13 29,5 30,1 28,8 27,0 30,0 28,5 29,0 31,2 b 0,2375 8          15 29,5 30,1 28,8 27,0 30,0 28,5 29,0 31,2 b 0,6875 8          2. PTHQ có dạng: 1 2 3 4 5 y 29,263 0,063x 0,263x 0,413x 0,163x 0,763x       +0,2375x1x3 + 0,6875 x1x5
  • 164.
    QUY HOẠCH THỰCNGHIỆM TOÀN PHẦN VÀ RIÊNG PHẦN 165 3. Giá trị phương sai thu được từ 4 thí nghiệm ở tâm: N yi y (y – y ) (y – y )2 2 y s 1 24,1 23,9 0,2 0,04 n 2 i 2 i 1 y 0 (y y) S 0,0467 n 1       2 23,6 -0,3 0,09 3 23,9 0 0,0 4 24,0 0,1 0,01  95,6 0,14 Sử dụng phương sai tái hiện để đánh giá mức ý nghĩa các hệ số PTHQ và tính tương thích PTHQ. Ví dụ 5.8 Sử dụng TNR nghiên cứu ảnh hưởng 6 nhân tố công nghệ quá trình ép ván ép đến độ bền giữa các lớp. Các nhân tố khảo sát bao gồm (Bảng 5.25). Bảng 5.25 STT Nhân tố Ký hiệu Mức giá trị Khoảng thay đổi Tự nhiên Mã hóa Dưới -1 Trên +1 1 Độ nhớt keo dán X1 x1 50 200 150 2 Áp lực ép (MPa) X2 x2 1,6 2,2 0,6 3 Nhiệt độ ép (o C) X3 x3 130 150 20 4 Lượng keo (g/m2 ) X4 x4 110 150 40 5 Thời gian ép (ph) X5 x5 11,5 14,5 3 6 Hệ số chất lượng X6 x6 0,95 0,99 0,04 Giải: Sử dụng TNR 26-2 = 24 = 16 với các biểu thức sinh:      4 2 1 6 3 2 1 5 x x x x x x x x (5.21) Để xây dựng quy hoạch này trên cột 2-5 Bảng 5.26. ta sắp xếp theo ma trận quy hoạch TNT 24 . Nhờ vào các biểu thức sinh (5.21). Ta có các cột x5 và x6.
  • 165.
    166 CHƯƠNG 5 Bảng5.26 N Nhân tố Kết quả thực nghiệm y, MPa Kết quả PPHQ x0 x1 x2 x3 x4 x5 = x1x2x3 x6 = x1x2x4 1 1 -1 -1 -1 -1 -1 -1 1,045 0,97375 2 1 1 -1 -1 -1 1 1 1,28 116,813 3 1 -1 1 -1 -1 1 1 1,045 115,688 4 1 1 1 -1 -1 -1 -1 1,31 138,125 5 1 -1 -1 1 -1 1 -1 0,95 102,125 6 1 1 -1 1 -1 -1 1 1,30 141,188 7 1 -1 1 1 -1 -1 1 1,22 110,813 8 1 1 1 1 -1 1 -1 1,31 123,875 9 1 -1 -1 -1 1 -1 1 0,58 0,65125 10 1 1 -1 -1 1 1 -1 0,99 110,188 11 1 -1 1 -1 1 1 -1 1,42 130,813 12 1 1 1 -1 1 -1 1 1,045 0,97375 13 1 -1 -1 1 1 1 1 1,22 114,875 14 1 1 -1 1 1 -1 -1 1,31 119,813 15 1 -1 1 1 1 -1 -1 1,00 111,188 16 1 1 1 1 1 1 1 1,21 128,125 Số hệ số PTHQ p = k + 1 + k(k-1) = 6 + 1 + 6.5/2 = 22 Để xác định hệ thống phối hợp, ta tìm các độ tương phản xác định mở rộng: 6 5 4 3 6 4 2 1 5 3 2 1 x x x x 1 x x x x 1 x x x x 1    (5.22) Nhân hai vế phương trình (5.22) cho các thành phần tuyến tính và tương tác khác nhau, ta thu được hệ thống phối hợp các đánh giá. Ví dụ, nhân (5.22) cho x1x2 ta thu được: x1x2 = x3x5 = x4x6 = x1x2x3x4x5x6
  • 166.
    QUY HOẠCH THỰCNGHIỆM TOÀN PHẦN VÀ RIÊNG PHẦN 167 Từ đây suy ra: 123456 46 35 12 12 b         ………………………… PTHQ có dạng sau: y = b0+ b1x1 + b2x2 + b3x3 + b4x4 + b5x5 + b6x6 + b12x1x2 + b13x1x3+ b14x1x4 + b15x1x5 + b16x1x6 + b34x3x4 + b36x3x6 Trên cột 8 Bảng 5.18 là kết quả thực nghiệm, theo các công thức (5.6) và (5.9) ta tính các hệ số. Sau khi bỏ qua các hệ số không ý nghĩa ta thu được PTHQ sau: y = 1,14 + 0,08x1 + 0,055x2 + 0,05x3 – 0,06x2x3 + 0,075x4x5 – 0,056x3x5 Để chuyển về dạng tự nhiên ta sử dụng các công thức: 75 ) 125 X ( x 1 1   ; 3 , 0 ) 9 , 1 X ( x 2 2   ; 10 140 X x 3 3   20 130 X x 4 4   ; 5 , 1 13 X x 5 5   ; 02 , 0 97 , 0 X x 6 6   Kết quả trên Minitab: Model Summary S R-sq R-sq(adj) R-sq(pred) 0.265274 78.24% 0.00% 0.00% Regression Equation in Uncoded Units y = 1.1397 + 0.0797 X1 + 0.0553 X2 + 0.0503 X3 - 0.0428 X4 + 0.0384 X5 - 0.0272 X6 - 0.0559 X1*X2 + 0.0128 X1*X3 - 0.0378 X1*X4 - 0.0603 X1*X5 + 0.0166 X1*X6 + 0.0378 X3*X4 + 0.0747 X3*X6 5.6. THỰC HIỆN THỰC NGHIỆM NHÂN TỐ TOÀN PHẦN VÀ RIÊNG PHẦN KHI CÓ SAI LỆCH GIÁ TRỊ CÁC MỨC NHÂN TỐ VỚI CÁC GIÁ TRỊ CHO TRƯỚC Khi tiến hành thực nghiệm thì các giá trị thực của các nhân tố không trùng với các giá trị trong QHTN. Trong công nghệ chế tạo có thể là do đặc tính rời rạc các mức giá trị các nhân tố (vận tốc cắt. đẩy phôi. chiều dày cắt. độ tù lưỡi dao...).
  • 167.
    168 CHƯƠNG 5 Khiđó ta có thể sử dụng các công thức sẵn có để xác định các hệ số nhưng có hiệu chỉnh. Giả sử khi thực hiện TNT và TNR và xj là mức độ giá trị theo quy hoạch của nhân tố i và thí nghiệm chính thứ j (ký hiệu mã hóa): ij x ~ - mức độ giá trị thực của các nhân tố này; xij - giá trị theo quy hoạch ij  - sai số giữa giá trị thực và giá trị quy hoạch ij  = ij ij x x ~  . Nếu sai số ij  là ngẫu nhiên thì các hệ số PTHQ được tính theo công thức:                   N 1 j 2 ij N 1 j j ij N 1 j 2 ij N 1 i N 1 j j ij j ij i N y x ~ N y y x b (5.23) Phương sai đối với các hệ số hiệu chỉnh PTHQ xác định theo công thức:              N 1 j 2 ij 2 i 2 N } y { s } b { s (5.24) Ví dụ 5.9 Khi khảo sát độ bền vật liệu vào nhiệt độ gia công t (o C) và thời gian gia công  (min/mm). Giải: Ta lập quy hoạch theo Bảng 5.27. Bảng 5.27 N Giá trị tự nhiên Giá trị mã hóa Kết quả thực nghiệm t (o C)  (min) x1 x2 1 2 3 4 140 180 140 180 0,5 0,5 0,9 0,9 -1 +1 -1 +1 -1 -1 +1 +1 y1 y2 y3 y4 Trong thực tế các giá trị thực cho trong Bảng 5.28.
  • 168.
    QUY HOẠCH THỰCNGHIỆM TOÀN PHẦN VÀ RIÊNG PHẦN 169 Bảng 5.28 N Nhân tố t (o C)  (min) 1 2 3 4 138 179 140 183 0,5 0,49 0,91 0,9 36,2 33,3 36,5 33,9 Do điều kiện thực tế có sai lệch so với các giá trị quy hoạch. Kết quả thực nghiệm cho trong Bảng 5.29. Các hệ số dạng mã hóa và hệ số hiệu chỉnh cho trong bảng này. Bảng 5.29 Trong dạng mã hóa N Giá trị tự nhiên Giá trị mã hóa thực Hệ số hiệu chỉnh Kết quả thực nghiệm  (MPa) t (o C)  (min) xo 1 x ~ 2 x ~ 1 2 1 2 3 4 138 179 140 183 0,5 0,49 0,91 0,9 +1 +1 +1 +1 -1,1 +0,95 -1 1,15 -1 -1,05 +1,05 +1 -0,1 -0,05 0 0,15 0 -0,05 0,05 0 36,2 33,3 36,5 33,9 Ta có 1 t 160 x 20   ; 2 0,7 x 0,2    ij j 1 j 1 x x ~    ; 2 j 2 j 2 j x x    Khi đó: 035 , 0 4 1 j 2 j 1     ; 4 2 2j j 1 0,005     Theo công thức ta xác định các hệ số: 1 2 4 j 0 j 1 1,1.36,2 0,95.33,3 36,5 1,15.33,9 b 1,413 4 0,035 36,2 1,05.33,3 1,05.365 33,9 b 0,265 4 0,005 y 36,2 33,3 36,5 33,9 b 34,975 4 4                       
  • 169.
    170 CHƯƠNG 5 Dođó PTHQ có dạng: 1 2 34,975 1,413x 0,265x     5.7. ỨNG DỤNG THỰC NGHIỆM NHÂN TỐ TOÀN PHẦN TRONG THIẾT KẾ Trong thiết kế ta sử dụng QHTN thay thế các công thức phức tạp bằng các đa thức bậc 1 hoặc 2. Trong mục này ta khảo sát đa thức bậc 1. PTHQ bậc 1 có dạng: i k 1 i i 0 x b b y     (5.25) với    N 1 j j ji i y x N 1 b với i = 1, 2,…k (5.26) trong đó: k là số nhân tố độc lập; N là số thí nghiệm chính. Ví dụ 5.10 Sử dụng phương pháp QHTN để thay thế hàm 2 2 2 2 2 3 2 2 r r 3 32 b F 0,75T 10 1152,81F 0,10674166T d        bằng đa thức bậc 1. Giải: Thực nghiệm được thực hiện với các số liệu cho trong Bảng 5.30. Bảng 5.30 Ma trận quy hoạch 2 nhân tố N Các nhân tố tự nhiên Các nhân tố mã hóa Kết quả , MPa Fr2 T x0 x1 x2 1 554,4 126966 +1 -1 -1 45,5226 2 1029,6 126966 +1 +1 -1 54,2474 3 554,4 235794 +1 -1 +1 79,3034 4 1029,6 235794 +1 +1 +1 84,5977 Xác định các hệ số PTHQ bậc 1: N 0 0j j j 1 1 45,5226 54,2474 79,3034 84,5977 b x y 65,91775 N 4        
  • 170.
    QUY HOẠCH THỰCNGHIỆM TOÀN PHẦN VÀ RIÊNG PHẦN 171 N 1 1j j j 1 1 45,5226 54,2474 79,3034 84,5977 b x y 3,504775 N 4          N 2 2j j j 1 1 45,522 54,2474 79,30346 84,5977 b x y 16,032775 N 4          PTHQ có dạng: 2 1 x 032775 , 16 x 504775 , 3 91775 , 65     Thay thế các giá trị: r2 1 F 792 x 237,6   và 2 T 181380 x 54414   vào phương trình trên ta có: r2 F 792 T 181380 65,91775 3,504775 16,032775 237,6 54414       r2 0,79258 0,014750736F 0,0002946443T     Nếu xét mô hình đầy đủ hơn thì PTHQ bậc 1 đầy đủ có dạng: k k 0 i i iu i u i 1 i,u 1 i u y b b x b x x         (5.27) Các hệ số biu được xác định theo công thức (5.9). Ví dụ 5.11 Giải bài toán Ví dụ 5.10 với PTHQ bậc 1 đầy đủ. Giải: Thực nghiệm được thực hiện với các số liệu cho trong Bảng 5.31. Bảng 5.31 Ma trận quy hoạch 2 nhân tố N Các nhân tố tự nhiên Các nhân tố mã hóa Kết quả , MPa Fr2 T x0 x1 x2 x1x2 1 554,4 126966 +1 -1 -1 +1 45.5226 2 1029,6 126966 +1 +1 -1 -1 54.2474 3 554,4 235794 +1 -1 +1 -1 79.3034 4 1029,6 235794 +1 +1 +1 +1 84.5977
  • 171.
    172 CHƯƠNG 5 Xácđịnh các hệ số PTHQ bậc 1 đầy đủ: N 1 2 j j j 1 12 (x x ) y b 0,857625 N      PTHQ có dạng: 1 2 1 2 65,91775 3,504775x 16,032775x 0,857625x x      Thay thế các giá trị: r2 1 F 792 x 237,6   và 2 T 181380 x 54414   vào phương trình trên ta có: r2 r2 F 792 F 792 T 181380 T 181380 65,91775 3,504775 16,032775 0,857625 237,6 54414 237,6 54414                     8 r2 r2 8,7365867 0,026782512F 0,00034718133T 6,63346.10 TF        5.8. VÍ DỤ SỬ DỤNG MINITAB Giải Ví dụ 5.1 bằng Minitab. Xác định sự phụ thuộc giữa giới hạn bền loại vật liệu vào độ ẩm W và nhiệt độ t. Với kết quả thực nghiệm cho trong Bảng 5.32. Bảng 5.32 Kết quả thực nghiệm phụ thuộc giới hạn bền loại vật liệu, vào độ ẩm W và nhiệt độ t N xo W (%) t (0 ) x1 x2 x1 2 x2 2 x1x2 y1 y2 y3 y x1y x2y  y 1 1 6 40 -1 +1 1 1 -1 7,2 7,6 7,7 7,5 -7,5 7,5 7,44 2 1 30 80 +1 -1 1 1 -1 2,8 2,9 3,3 3 3 -3 2,95 3 1 6 40 -1 -1 1 1 1 9,2 8,7 9,1 9 -9 -9 8,7 4 1 30 80 +1 +1 1 1 1 1,9 2,3 1,8 2 2 2 1,69 Tổng 6 0 0 4 6 0 31,2 11,5 3,8
  • 172.
    QUY HOẠCH THỰCNGHIỆM TOÀN PHẦN VÀ RIÊNG PHẦN 173 Thực hiện Minitab theo trình tự sau: 1. Chọn dạng quy hoạch theo trình tự: Từ menu Stat chọn DOE > Factorial > Create Factorial Design… Hình 5.8 Trên hộp thoại Create Factorial Design, chọn Type of Design là 2- level factorial và Number of factors là 2. Hình 5.9 Tiếp tục chọn nút Display Available Design…. Trên hộp thoại Create Factorial Design: Display Available Design cột 2 chọn Full và nút OK.
  • 173.
    174 CHƯƠNG 5 Hình5.10 Trên hộp thoại Create Factorial Design, chọn Designs… Trên hộp thoại Create Factorial Design: Designs chọn thông số cho ma trân quy hoạch. Hình 5.11 Chú ý do số lần lặp mỗi thí nghiệm chính là 3, nên chọn nút Number of replicates for corner points là 3 (số thí nghiệm lặp n = 3), nếu nhập giá trị trung bình kết quả thí nghiệm lặp thì chọn 1.
  • 174.
    QUY HOẠCH THỰCNGHIỆM TOÀN PHẦN VÀ RIÊNG PHẦN 175 Nhấp nút OK. Trên hộp thoại Create Factorial Design, chọn Factors… có thể thay ký hiệu nhân tố tại cột Name. Hình 5.12 Trên hộp thoại Create Factorial Design, chọn nút Options… và trên hộp thoại Options ta không chọn nút Randomize runs. Hình 5.13 Để lưu ma trận quy hoạch trên Worksheet ta chọn nút Store design in worksheet. Trên hộp thoại Create Factorial Design, chọn nút Results…
  • 175.
    176 CHƯƠNG 5 Hình5.14 Nhấp OK trên các hộp thoại ta có ma trận quy hoạch sau: Hình 5.15 2. Để nhập dữ liệu giá trị tự nhiên hoặc ma trận quy hoạch theo nhu cầu ta chọn nút Define Custom Factorial Design… DOE > Factorial > Define Factorial Design
  • 176.
    QUY HOẠCH THỰCNGHIỆM TOÀN PHẦN VÀ RIÊNG PHẦN 177 Hình 5.16 Trên hộp thoại Define Custom Factorial Design, ta chọn các nhân tố ma trận quy hoạch và chọn nút Select. Trong ví dụ này ta có 2 nhân tố x1 và x2. Hình 5.17 Chọn nút Low/High và trên hộp thoại Define Custom Factorial Design: Low/High ta nhập lần lượt các giá trị tự nhiên nhỏ nhất và lớn nhất các nhân tố.
  • 177.
    178 CHƯƠNG 5 Hình5.18 Nhập kết quả thực nghiệm theo các cột tương ứng. Hình 5.19 3. Để xử lý chọn Analyze Factorial Design… - Nhập kết quả thực nghiệm vào cột y (4  3 = 12 kết quả)
  • 178.
    QUY HOẠCH THỰCNGHIỆM TOÀN PHẦN VÀ RIÊNG PHẦN 179 Hình 5.20 - Chọn DOE > Factorial > Analyze Factorial Design… Hình 5.21 - Trên hộp thoại Analyze Factorial Design ta chọn Responses: cho thông số đầu ra Y và chọn Select.
  • 179.
    180 CHƯƠNG 5 Hình5.22 Hình 5.23
  • 180.
    QUY HOẠCH THỰCNGHIỆM TOÀN PHẦN VÀ RIÊNG PHẦN 181 Ta nhập các cột kết quả tương ứng vào và chọn sẽ phân tích phương sai. Hình 5.24 Chọn các nút chọn tương ứng: Hình 5.25
  • 181.
    182 CHƯƠNG 5 Hình5.26 Sau khi chọn xong nhấp Ok sẽ xuất hiện các kết quả tương ứng: Full Factorial Design Factors: 2 Base Design: 2. 4 Runs: 12 Replicates: 3 Blocks: 1 Center pts (total): 0 All terms are free from aliasing. Analysis of Variance Source DF Seq SS Contribution Adj SS Adj MS F-Value P-Value Model 3 104.062 99.46% 104.062 34.6875 495.54 0.000 Linear 2 103.875 99.29% 0.694 0.3471 4.96 0.040 A 1 99.187 94.81% 0.071 0.0713 1.02 0.342 B 1 4.687 4.48% 0.098 0.0975 1.39 0.272 2-Way Interactions 1 0.187 0.18% 0.187 0.1875 2.68 0.140 A*B 1 0.187 0.18% 0.187 0.1875 2.68 0.140 Error 8 0.560 0.54% 0.560 0.0700 Total 11 104.622 100.00% Model Summary S R-sq R-sq(adj) PRESS R-sq(pred) 0.264575 99.46% 99.26% 1.26 98.80% Regression Equation in Uncoded Units Y = 5.3750 - 2.8750 A - 0.6250 B + 0.1250 A*B
  • 182.
    QUY HOẠCH THỰCNGHIỆM TOÀN PHẦN VÀ RIÊNG PHẦN 183 4. Phân tích kết quả… PTHQ dạng mã hóa có dạng: y = 5,375 – 2,875x1 – 0,625x2 + 0.1250x1x2 So sánh với kết quả Ví dụ 3.4: 2 1 x 63 , 0 x 875 , 2 2 , 5 y    nhận thấy rằng có sự sai lệch do làm tròn số khi tính toán và Minitab tính số thí nghiệm lặp n = 3 chứ không theo giá trị trung bình. 5. Factorial Plot a) b) Hình 5.27
  • 183.
    184 CHƯƠNG 5 ContourPlot và Surface Plot. a) A B 0.8 0.4 0.0 -0.4 -0.8 1.0 0.5 0.0 -0.5 -1.0 > – – – – < 3.0 3.0 4.5 4.5 6.0 6.0 7.5 7.5 9.0 9.0 Y Contour Plot of Y vs B, A b) 2 4 6 -1 0 -1 1 0 1 8 B Y A A , B s v Y f o t o l P e c a f r u S Hình 5.28 Chú ý: Khi sử dụng Minitab cho TNR, ví dụ x6 = x1x2x3; x7 = x1x2x4 ta có thể nhập biểu thức sinh theo trình tự sau (tham khảo thêm Ví dụ 5.5): - Trên hộp thoại Create Factorial Design, chọn Type of Design là 2-level factorial (Specify Generators) và Number of factors là 2 hoặc 3… theo số mũ của quy hoạch riêng phần 2k - p’ . - Trên hộp thoại Create Factorial Design: Generators như hình dưới đây, nhập Generators với G =ABC, H = ABD (theo thứ tự bảng chữ cái với A, B, C… tương ứng x1, x2, x3).
  • 184.
    QUY HOẠCH THỰCNGHIỆM TOÀN PHẦN VÀ RIÊNG PHẦN 185 Hình 5.29 BÀI TẬP 5.1. Xác định dạng PTHQ bậc 1 với 4 nhân tố với biểu thức sinh x4 = x1x2 và số thí nghiệm chính N = 24-1 = 8. 5.2. Xác định PTHQ sự phụ thuộc đại lượng đầu ra y vào các đại lượng đầu vào x1, x2, x3 với các giá trị cho trong Bảng 5.33. Bảng 5.33 N Nhân tố tự nhiên Nhân tố mã hóa Tương tác đôi Tương tác ba Kết quả yj X1 X2 X3 x1 x2 x3 x1x3 x2x3 x1x2 x1x2x3 1 2 3 4 5 6 7 8 100 200 100 200 100 200 100 200 20 20 60 60 20 20 60 60 10 10 10 10 30 30 30 30 –1 +1 –1 +1 –1 +1 –1 +1 –1 –1 +1 +1 –1 –1 +1 +1 –1 –1 –1 –1 +1 +1 +1 +1 +1 –1 +1 –1 –1 +1 –1 +1 +1 +1 –1 –1 –1 –1 +1 +1 +1 –1 –1 +1 +1 –1 –1 +1 –1 +1 +1 –1 +1 –1 –1 +1 2 6 4 8 10 18 8 12 y = b0 + b1 x1 + b2x2 + b3x3 + b12x1x2 + b13x1x3 + b23x2x3 5.3. Lập ma trận quy hoạch TNR 27-3 với các biểu thức sinh x5 = x1x2x3, x6 = x1x3x4 và x7 = x2x3x4. Biểu diễn dạng tổng quát PTHQ trong trường hợp này. 5.4. Quy hoạch thực nghiệm toàn phần: Nghiên cứu ảnh hưởng các nhân tố khi tiện: góc trước γ, góc chính φ, độ tù mũi dao r đến độ bền mòn T của dao tiện với ma trận quy hoạch như Bảng 5.27. Các giá trị thay đổi trong khoảng
  • 185.
    186 CHƯƠNG 5 sau: = 2o – 9o ,  = 39o – 45o , r = 0,2 – 0,8. Kết quả thực nghiệm cho trong Bảng 5.27. 5.5. Lập ma trận quy họach TNR 26-2 với các biểu thức sinh x5 = x1x2x3, x6 = x1x3x4 (Bảng 5.34). Biểu diễn dạng tổng quát PTHQ trong trường hợp này. Bảng 5.34 N x0 x 1 x 2 x 3 x 4 x5 = x1x2x3 x6 = x1x3x4 Y 1 +1 –1 –1 –1 –1 –1 –1 2 +1 +1 –1 –1 –1 +1 +1 3 +1 –1 +1 –1 –1 +1 –1 4 +1 +1 +1 –1 –1 –1 +1 5 +1 –1 –1 +1 –1 +1 +1 6 +1 +1 –1 +1 –1 –1 –1 7 +1 –1 +1 +1 –1 –1 +1 8 +1 +1 +1 +1 –1 +1 –1 9 +1 –1 –1 –1 +1 –1 +1 10 +1 +1 –1 –1 +1 +1 –1 11 +1 –1 +1 –1 +1 +1 +1 12 +1 +1 +1 –1 +1 –1 –1 13 +1 –1 –1 +1 +1 +1 –1 14 +1 +1 –1 +1 +1 –1 +1 15 +1 –1 +1 +1 +1 –1 –1 16 +1 +1 +1 +1 +1 +1 +1 5.6. Lập ma trận quy hoạch TNR 25-2 với các biểu thức sinh x4 = x1x2, x5 = x1x3. Biểu diễn dạng tổng quát PTHQ và bảng ma trận QHTN trong trường hợp này. Phương trình hồi quy có dạng: y = b0 + b1x1 + b2x2 + b3x3 + b4x4 + b5x5 + b23x2x3 + b34x3x4 N x0 x 1 x 2 x 3 x4 = x1x2 x5 = x1x3 x2x3 x3x4 Y 1 +1 –1 –1 –1 1 1 1 -1 2 +1 +1 –1 –1 -1 -1 1 1 3 +1 –1 +1 –1 -1 1 -1 1 4 +1 +1 +1 –1 1 -1 -1 -1 5 +1 –1 –1 +1 1 -1 -1 1 6 +1 +1 –1 +1 -1 1 -1 -1 7 +1 –1 +1 +1 -1 -1 1 -1 8 +1 +1 +1 +1 1 1 1 1
  • 186.
    QUY HOẠCH THỰCNGHIỆM TOÀN PHẦN VÀ RIÊNG PHẦN 187 5.7. Sử dụng Minitab xử lý kết quả thực nghiệm theo giá trị thực nghiệm các Bảng 5.35 và 5.36. Trường hợp 2 nhân tố: Bảng 5.35 N Giá trị tự nhiên Giá trị mã hóa Kết quả t, o C (X1) , min (X2) x0 x1 x2 x1x2 yj 2 j s 1 2 3 4 20 60 20 60 0 0 60 60 +1 +1 +1 +1 -1 +1 -1 +1 -1 -1 +1 +1 +1 -1 -1 +1 40,2 44,2 52,7 49,2 1,325 1,075 0,45 2,2 Mã hóa các nhân tố và hoàn chỉnh bảng kết quả QHTN 3 nhân tố với kết quả trong Bảng 5.36. Bảng 5.36 N Giá trị nhân tố Giá trị mã hóa Tương tác Kết quả tính t, o C , min , pH x0 x1 x2 x3 x1x2 x1x3 x2x3 _ j y 2 j s 1 2 3 4 5 6 7 8 20 60 20 60 20 60 20 60 0 0 60 60 0 0 60 60 4,5 4,5 4,5 4,5 5,2 5,2 5,2 5,2 +1 +1 +1 +1 +1 +1 +1 +1 -1 +1 -1 +1 -1 +1 -1 +1 -1 -1 +1 +1 -1 -1 +1 +1 -1 -1 -1 -1 +1 +1 +1 +1 1 -1 -1 1 1 -1 -1 1 1 -1 1 -1 -1 1 -1 1 1 1 -1 -1 -1 -1 1 1 40,2 44,2 52,7 49,2 32,9 37,4 45,2 53,5 1,325 1,075 0,45 2,2 2,05 1,175 2,075 0,875 5.8. Bài tập lớn: QHTN riêng phần: Nghiên cứu ảnh hưởng các nhân tố khi tiện: góc sau α, góc trước γ, góc chính φ, góc phụ φ1, độ tù mũi dao r đến độ bền mòn T của dao tiện. Các giá trị thay đổi trong khoảng sau:  = 6o – 10o ,  = 2o – 9o ,  = 39o – 45o , 1 = 20o – 25o , r = 0,2 – 0,8. Kết quả thực nghiệm cho trong Bảng 5.37. Các biểu thức sinh: x4 = x1x2; x5 = x1x2x3 a) Tìm dạng PTHQ b) Xác định các hệ số PTHQ c) Đánh giá mức ý nghĩa và kiểm tra tính tương thích PTHQ d) Thực hiện bài tập trên phần mềm Minitab
  • 187.
    188 CHƯƠNG 5 Bảng5.37 Bảng kết quả thực nghiệm theo phương án Phương án Kết quả độ bền mòn dao tiện T (min) Giá trị thực nghiệm chính Giá trị thực nghiệm ở tâm 1 2 3 4 5 6 7 8 9 10 11 12 1 29,5 30,1 28,8 27,0 30,0 28,5 29,0 31,2 24,1 23,6 23,9 24,0 2 30,5 31,02 30,0 29,9 32,1 29,8 32,6 30,1 25,0 23,9 23,8 29,0 3 35,1 35,4 35,6 35,7 35,0 35,46 35,74 35,8 26,1 26,0 26,58 26,5 4 27,1 28,0 29,0 27,89 27,9 27,8 28,5 30,1 27,9 28,6 29,1 29,3 5 32,1 32,0 32,9 32,5 32,4 33,0 32,7 32,5 26,6 26,5 26,8 26,9 6 27,6 27,8 27,9 28,0 28,1 27,5 27,2 27,3 24,5 26,6 25,1 26,8 7 28,9 29,2 29,1 28,7 28,4 29,0 30,1 31,0 25,6 25,7 25,1 25,3 8 35,6 35,7 35,0 35,4 35,2 35,9 35,2 35,4 30,3 30,4 30,5 30,7 9 33,3 33,5 33,6 33,8 33,7 33,1 33,2 33,8 23,3 23,5 23,6 23,4 10 34,5 34,4 34,3 34,6 33,8 33,0 33,9 33,1 28,3 28,8 28,1 28,5 11 35,3 35,6 35,9 35,4 35,6 35,4 35,4 35,8 30,3 30,1 30,5 30,6 12 25,3 25,6 25,6 25,4 25,7 25,9 25,0 26,0 26,0 26,1 26,8 25,8 13 40,5 40,4 40,1 40,0 40,6 40,9 40,8 40,5 39,1 38,89 38,4 38,1 14 37,1 37,5 37,6 37,6 37,1 37,0 37,2 37,4 29,9 30,1 30,0 29,8 15 37,2 38,0 38,1 38,6 38,1 37,9 37,6 39,0 30,5 30,4 30,6 30,7 16 28,4 28,3 28,1 28,6 28,7 28,9 28,8 28,5 27,3 27,6 27,5 27,4 17 32,2 32,6 32,4 32,7 32,6 32,9 33,0 32,5 30,3 31,0 30,5 30,1 18 25,3 26,0 25,8 25,6 25,9 26,1 26,2 25,7 27,0 26,9 26,8 30,0 19 33,6 36,4 36,1 35,0 34,9 33,8 35,1 36,3 30,3 30,5 30,1 28,0 20 25,0 24,8 24,9 25,1 25,2 25,8 25,6 27,0 28,1 28,0 30,1 33,0 21 38,0 38,1 38,6 38,2 38,3 39,0 41,0 37,0 33,0 36,0 34,0 34,6 22 22,0 22,6 22,4 22,9 22,4 23,0 22,9 22,4 25,0 24,9 25,1 25,8 23 37,0 37,5 37,3 36,8 36,9 37,4 37,3 37,7 28,0 29,6 28,5 25,6 24 24,0 24,4 24,6 24,1 24,6 24,8 24,9 24,6 20,1 20,6 22,0 23,0 25 26,6 26,5 26,4 26,6 26,8 26,9 26,1 26,3 25,0 25,1 24,7 24,6 26 28,8 28,6 28,9 28,4 28,9 28,4 28,5 28,2 27,6 27,0 26,6 26,9 27 29,9 29,1 29,0 29,3 29,3 29,4 29,6 29,2 29,0 28,4 28,6 29,1 28 34,6 34,8 34,5 34,6 34,1 34,3 34,2 34,6 33,0 32,7 33,1 33,5 29 44,1 44,5 44,6 44,0 44,2 44,3 44,4 45,0 39,8 40,0 40,3 40,5 30 26,6 26,3 26,2 26,4 25,9 26,4 26,8 26,7 25,0 25,6 26,0 26,9
  • 188.
    QUY HOẠCH THỰCNGHIỆM BẬC 2 189 Chương 6 QUY HOẠCH THỰC NGHIỆM BẬC 2 (Response surface) Chương này gồm các nội dung sau: 6.1. Giới thiệu 6.2. Quy hoạch hỗn hợp đối xứng bậc 2 dạng FCCCD 6.3. Quy hoạch hỗn hợp bậc 2 quay đều 6.4. Quy hoạch hỗn hợp bậc 2 trực giao 6.5. Quy hoạch đối xứng không hỗn hợp Box-Behnken 6.6. Quy hoạch đối xứng không hỗn hợp dạng D 6.7. Quy hoạch thực nghiệm bậc 2 dạng 3k 6.8. Xác định số thí nghiệm lặp từ độ chính xác cho trước phương trình hồi quy 6.9. Phân tích mặt đáp ứng 6.10. Quy hoạch thực nghiệm bậc 2 trong thiết kế 6.11. Sử dụng Minitab trong quy hoạch thực nghiệm bậc 2 Bài tập 2
  • 189.
    190 CHƯƠNG 6 6.1.GIỚI THIỆU Thực nghiệm nhân tố toàn phần (TNT) và riêng phần (TNR) thu được PTHQ bậc 1 phụ thuộc giữa đáp ứng và các nhân tố. Nếu khi phân tích thì PTHQ bậc 1 này có các sai số lớn và không tương thích để mô tả thực nghiệm, ta tiến hành bổ sung các thí nghiệm thu được mô hình hồi quy bậc 1 đầy đủ (có các tương tác). Nếu phương trình này tiếp tục không phù hợp thì ta cần phải tiến hành QHTN bậc 2 (Hình 6.1). Hoặc khi mô hình bậc 1 là phù hợp, tuy nhiên để khảo sát miền bên trong khoảng giá trị các nhân tố ảnh hưởng như thế nào đến thông số đầu ra (hoặc tìm giá trị tối ưu) ta tiếp tục quy hoạch bậc 2. Hình 6.1 Các bước lựa chọn mô hình quy hoạch tương thích
  • 190.
    QUY HOẠCH THỰCNGHIỆM BẬC 2 191 PTHQ đa thức bậc 2 có dạng tổng quát: k k k 2 0 i i ii i ij i j i 1 i 1 i j i,j 1 y b b x b x b x x            (6.1) Quy hoạch cho phép ta thu được PTHQ dạng đa thức bậc 2 (Hình 6.1) gọi là quy hoạch thực nghiệm bậc 2. Các hàm đáp ứng là bậc 2, nên thường gọi là mặt đáp ứng (Hình 6.2). Số thí nghiệm chính N phải lớn hơn số hệ số p: N ≥ p. Số hệ số p của PTHQ bậc 2 theo công thức (6.1) được xác định như sau: 2 ) 2 k )( 1 k ( 2 / ) 1 k ( k k 2 1 p        (6.2) Từ công thức (6.1) ta thấy rằng quy hoạch bậc 2 cho ta mô tả sự phụ thuộc đại lượng đầu ra với mỗi nhân tố có dạng phương trình parabol. Hình 6.2 Các mặt đáp ứng [24]
  • 191.
    192 CHƯƠNG 6 Theocác quan điểm hiện đại trong QHTN tổng hợp thì thực nghiệm tiến hành theo quan điểm nhiều tiêu chuẩn khác nhau, liên quan đến đánh giá các tham số của mô hình hồi quy nhận được. Ví dụ, ta xây dựng quy hoạch trực giao bậc 2 cho phép thu được các đánh giá hệ số hồi quy độc lập. Đối với các quy hoạch này, ma trận (XTX)–1 là ma trận đường chéo, do đó covarian giữa tất cả các hệ số hồi quy bằng 0: 0 } b , b cov{ j i  khi j i  . Tuy nhiên, tính trực giao đối với quy hoạch bậc 2 không liên quan đến yêu cầu về nâng cao tính chính xác mô hình toán. Trong Bảng 6.1 và 6.2 trình bày một số tính chất QHTN bậc 2. Bảng 6.1 Tính chất các dạng quy hoạch bậc 2 hỗn hợp đối xứng Dạng quy hoạch Tính chất Rotatable Central Composite Circumscribed Design - Quy hoạch hỗn hợp đối xứng quay đều (Box – Wilson) Quy hoạch Box – Wilson mô tả tốt tính chất đối tượng nghiên cứu trong toàn bộ không gian thiết kế, tuy nhiên các nhân tố có 5 mức giá trị. Do đó phải xác định lại miền giá trị các nhân tố để ±α nằm trong miền giá trị khả thi. Mỗi nhân tố yêu cầu 5 mức giá trị. Face Centered Central Composite Design (FCCCD) - Quy hoạch hỗn hợp đối xứng dạng FCCCD (hay còn gọi dạng B) Quy hoạch FCCCD mô tả tương đối tốt tính chất đối tượng nghiên cứu trong toàn bộ không gian thiết kế, các nhân tố nằm trong miền giá trị. Tuy nhiên các hệ số bậc 2 có độ chính xác thấp. Mỗi nhân tố yêu cầu 3 mức giá trị. Orthogonal Central Composite Design - Quy hoạch hỗn hợp trực giao (Box-Hunter) Quy hoạch Box – Hunter có tính chất trực giao với 5 mức giá trị các nhân tố, khi đó các hệ số được xác định dễ dàng. Sau khi loại bỏ các hệ số không ý nghĩa không cần tính toán lại. Ngoài các tính chất đối xứng, chuẩn và trực giao thì QHTN còn có tính hỗn hợp. Quy hoạch gọi là hỗn hợp là thực hiện theo trình tự, bao gồm QHTN bậc 1: nhân tố toàn phần hoặc riêng phần, sau đó tiến hành thí nghiệm tại các điểm sao và trong một số trường hợp còn có các điểm ở tâm để xác định bậc 2 (Hình 6.1). Các quy hoạch hỗn hợp bậc 2 bao gồm: quy hoạch dạng FCCCD, quy hoạch quay đều, quy hoạch trực giao…
  • 192.
    QUY HOẠCH THỰCNGHIỆM BẬC 2 193 Như ta đã biết, độ chính xác mô hình toán được xác định bằng phương sai các hệ số PTHQ và phương sai giá trị tính toán của đáp ứng. Cho nên theo quan điểm nhà thực nghiệm thì quy hoạch tốt nhất là quy hoạch cho phép người ta thu được mô hình hồi quy với giá trị nhỏ nhất của phương sai và covarian của các hệ số PTHQ và phương sai nhỏ nhất các giá trị của đáp ứng. Yêu cầu tối thiểu đồng thời các phương sai trên là khó thực hiện. Bảng 6.2 So sánh giữa các dạng QHTN bậc 2 quay đều, dạng FCCCD và Box-Behnken với 3 nhân tố Quy hoạch hỗn hợp (Central composite) Quy hoạch không hỗn hợp Quay đều (Box-Wilson) FCCCD Box-Behnken N x1 x2 x3 N x1 x2 x3 N x1 x2 x3 1 -1 -1 -1 1 -1 -1 -1 1 -1 -1 0 1 +1 -1 -1 1 +1 -1 -1 1 +1 -1 0 1 -1 +1 -1 1 -1 +1 -1 1 -1 +1 0 1 +1 +1 -1 1 +1 +1 -1 1 +1 +1 0 1 -1 -1 +1 1 -1 -1 +1 1 -1 0 -1 1 +1 -1 +1 1 +1 -1 +1 1 +1 0 -1 1 -1 +1 +1 1 -1 +1 +1 1 -1 0 +1 1 +1 +1 +1 1 +1 +1 +1 1 +1 0 +1 1 -1,682 0 0 1 -1 0 0 1 0 -1 -1 1 1,682 0 0 1 +1 0 0 1 0 +1 -1 1 0 -1,682 0 1 0 -1 0 1 0 -1 +1 1 0 1,682 0 1 0 +1 0 1 0 +1 +1 1 0 0 -1,682 1 0 0 -1 3 0 0 0 1 0 0 1,682 1 0 0 +1 6 0 0 0 1 0 0 0 Tổng cộng N = 20 Tổng cộng N = 14 hoặc 15 Tổng cộng N = 15 Trong lý thuyết QHTN, người ta đưa ra các dạng quy hoạch chỉ có thể tối thiểu vài giá trị từ các tham số trên. Ví dụ: - Quy hoạch cho phép thu được mô hình toán với giá trị trung bình phương sai hệ số PTHQ là nhỏ nhất - tối ưu A. - Nhỏ nhất - tối thiểu giá trị phương sai lớn nhất các giá trị tính toán đáp ứng - tối ưu G - Nhỏ nhất phương sai đánh giá các hệ số PTHQ - tương ứng (XTX)–1 /N → min, gọi là tối ưu D.
  • 193.
    194 CHƯƠNG 6 Trênlý thuyết quy hoạch có trên 20 tiêu chuẩn. Do đó trong chương này ta chỉ khảo sát một vài dạng quy hoạch. Ngoài 3 dạng quy hoạch hỗn hợp đối xứng: quy hoạch dạng FCCCD, quy hoạch quay đều (Box – Wilson), quy hoạch trực giao (Box – Hunter), trong chương này trình bày thêm các dạng Box – Behnken, 3k và tối ưu D. 6.2. QUY HOẠCH HỖN HỢP ĐỐI XỨNG BẬC 2 DẠNG FCCCD Trong quy hoạch dạng FCCCD, mỗi nhân tố Xi thay đổi ở ba mức giá trị. Ở mỗi thí nghiệm, các nhân tố ở một trong ba mức Ximin, Ximax và 2 X X X max i min i o i   . Trong dạng mã hóa tương ứng là -1, +1, 0. Đầu tiên ta tiến hành các thí nghiệm ở nhân bao gồm 2k thí nghiệm chính để thu được PTHQ bậc 1. Sau đó kiểm tra tính tương thích của PTHQ bậc 1. Nếu tương thích ta dừng thí nghiệm và sử dụng PTHQ bậc 1. Nếu không tương thích ta sẽ tiếp tục thí nghiệm ở các điểm sao và tâm. Tuy nhiên, để khảo sát miền bên trong khoảng giá trị các nhân tố ảnh hưởng như thế nào đến thông số đầu ra (hoặc tìm giá trị tối ưu) ta tiếp tục quy hoạch bậc 2 mặc dù PTHQ bậc 1 đã tương thích. Ta gọi điểm sao của quy hoạch FCCCD với điều kiện mà khi đó một trong các nhân tố có giá trị -1 hoặc +1, các nhân tố còn lại đều có giá trị 0. Có tất cả 2k thí nghiệm chính ở các điểm sao. Ví dụ, đối với quy hoạch gồm 3 nhân tố các điểm sao là: 1) x1 = -1; x2 = 0; x3 = 0 2) x1 = +1; x2 = 0; x3 = 0 3) x1 = 0; x2 = -1; x3 = 0 4) x1 = 0; x2 = +1; x3 = 0 5) x1 = 0; x2 = 0; x3 = -1 6) x1 = 0; x2 = 0; x3 = +1 hoặc theo dạng Bảng 6.3. Quy hoạch FCCCD gồm 2k thí nghiệm chính TNT và thêm 2k thí nghiệm chính tại các điểm sao. Tổng số thí nghiệm chính N = 2k + 2k+ n0. Tuy nhiên khi số nhân tố k  5, ta có thể sử dụng TNR gồm 2k-1 thí nghiệm và 2k thí nghiệm tại các điểm sao. Khi đó tổng số thí nghiệm chính sẽ là N = 2k-1 + 2k + n0. Bảng 6.3 và 6.4 là ma trận quy hoạch gồm 2 và 3 nhân tố.
  • 194.
    QUY HOẠCH THỰCNGHIỆM BẬC 2 195 Bảng 6.3 QHTN k = 2 nhân tố Bảng 6.4 QHTN k = 3 nhân tố N x0 x1 x2 N x1 x2 x3 1 2 3 4 1 1 1 1 -1 +1 -1 +1 -1 -1 +1 +1 Các thí nghiệm ở nhân (TNT) N1 = 22 = 4 1 2 3 4 5 6 7 8 -1 +1 -1 +1 -1 +1 -1 +1 -1 -1 +1 +1 -1 -1 +1 +1 -1 -1 -1 -1 +1 +1 +1 +1 Các thí nghiệm ở nhân (TNT) N1 = 23 = 8 5 6 7 8 1 1 1 1 -1 +1 0 0 0 0 -1 +1 Các thí nghiệm ở điểm sao 2.k = 2.2 = 4 9 10 11 12 13 14 -1 +1 0 0 0 0 0 0 -1 +1 0 0 0 0 0 0 -1 +1 Các thí nghiệm ở điểm sao 2.k = 2.3 = 6 9 0 0 0 Thí nghiệm ở tâm n0 15 0 0 0 Thí nghiệm ở tâm n0 Biểu diễn hình học quy hoạch FCCCD với k = 2 trong mặt phẳng nhân tố (Hình 6.3a). Các thí nghiệm từ 1 đến 4 (thực nghiệm nhân tố toàn phần - TNT) nằm ở các đỉnh hình vuông. Theo Hình 6.3a ta thấy rằng các thí nghiệm từ 5 đến 8, nằm tại điểm giữa các cạnh hình vuông. Khi k = 3 nằm trên các đỉnh và tâm các mặt bên của khối vuông trong không gian nhân tố. a) Hai nhân tố b) Ba nhân tố Hình 6.3 Các điểm thí nghiệm chính theo phương pháp FCCCD
  • 195.
    196 CHƯƠNG 6 Nhưthế tại vùng tâm không gian nhân tố, ta có thể không tiến hành các thí nghiệm. Do đó độ chính xác mô hình hồi quy gần tâm quy hoạch không cao. Do đó trong các bài toán tối ưu đối tượng nghiên cứu, ví dụ tìm chế độ cắt hợp lý, cần phải tiến hành thực nghiệm tại tâm quy hoạch. Khi đó ta bổ sung một số thí nghiệm tại không gian nhân tố: x1 = x2 = ... = xk = 0. Điều đó làm tăng độ chính xác mô hình hồi quy. Ngoài ra, ta còn có thể sử dụng các thí nghiệm lặp lại tại tâm nhân tố, để đánh giá phương sai tái hiện trong trường hợp các thí nghiệm chính không có thí nghiệm lặp. Quy hoạch bậc 2, chứa trong thành phần của mình QHTN bậc 1 được gọi là quy hoạch hỗn hợp, ví dụ quy hoạch FCCCD. Tính chất hỗn hợp rất thuận tiện cho nhà nghiên cứu. Cho phép nhà nghiên cứu tiến hành quy hoạch và thực nghiệm từng bước. Đầu tiên ta tiến hành theo TNT hoặc TNR thu được PTHQ bậc 1, nếu mô hình không tương thích ta có thể bổ sung thí nghiệm tại các điểm sao, ở tâm. Khi đó ta thu được PTHQ bậc 2. Các hệ số PTHQ có thể xác định dễ dàng từ ma trận quy hoạch X . x0 x1... xi... xk x1x2... xixj... xk-1xk 2 1 x 2 i x 2 k x 2 2 2 01 11 i1 k1 1 2 1 i j 1 k 1 k 1 11 ij k1 2 2 2 0u 1u iu ku 1 2 u i j u k 1 k u 1u iu ku 2 2 2 0N 1N iN kN 1 2 N i j N k 1 k N 1N iN kN x x x x (x x ) (x x ) (x x ) x x x x x x x (x x ) (x x ) (x x ) x x x x x x x (x x ) (x x ) (x x ) x x x                           X (6.3)
  • 196.
    QUY HOẠCH THỰCNGHIỆM BẬC 2 197 Ma trận chuyển vị XT có dạng: 01 0u 0x 11 1u 1N i1 iu iN k1 ku kN 1 2 1 1 2 u 1 2 N i j 1 i j u i j N k 1 k 1 k 1 k u k 1 k N 2 2 2 11 1u 1N 2 2 2 i1 iu iN 2 2 2 k1 ku kN x x x x x x x x x x x x (x x ) (x x ) (x x ) (x x ) (x x ) (x x ) (x x ) (x x ) (x x ) x x x x x x x x x           T X                                               (6.4) Hệ số PTHQ xác định theo công thức: B = (XTX)-1(XTY) Đối với quy hoạch FCCCD: 2 2 2 0 1 2 i j k 1 k 1 i k x x x x x x x x x x 1 1 1 1 1 1 1 1 1 1 1 1 1 1 1 1 1 1 1 1 1 1 0 0 0 0 0 1 0 0 1 0 0 1 0 0 0 0 0 1 1 0 0 0 0 0 0 0 0 0 1 0 0 0 0 0 0 0 0 0                             1 i k x x x X (6.5)
  • 197.
    198 CHƯƠNG 6  0 1 i k 12 1 ij (k 1)k 11 ii kk b b b b b b b b b b                                                         T T B X X (X Y) (6.6) trong đó Y 1 2 N y y Y y                2 2 2 1u iu ku 2 1u 2 iu 2 ku 2 2 1u 2u 2 2 iu ju 2 2 i j 2 4 2 2 2 2 1u 1u 1u iu 1u ku N 0 0 0 0 0 0 x x x 0 x 0 0 0 0 0 0 0 0 0 0 x 0 0 0 0 0 0 0 0 0 0 x 0 0 0 0 0 0 0 0 0 0 x x 0 0 0 0 0 0 0 0 0 0 x x 0 0 0 0 0 0 0 0 0 0 x x 0 0 0 x 0 0 0 0 0 0 x x x x x               T X X 2 2 2 4 2 2 iu iu 1u iu iu ku 2 2 2 2 2 4 ku ku 1u ku iu kN x 0 0 0 0 0 0 x x x x x x 0 0 0 0 0 0 x x x x x                                                           (6.7)
  • 198.
    QUY HOẠCH THỰCNGHIỆM BẬC 2 199 PTHQ bậc 2 có dạng: k k k 2 0 i i ii i iu i u i 1 i 1 i u u,i 1 y b b x b x b x x            (6.8) Nhân các ma trận ta suy ra các công thức xác định các hệ số: N k k 2 0 i ij i j 1 i 1 j 1 a b b y x y N N        (6.9)     N 1 j j ij 2 i y x N 1 b (6.10) (6.11) (6.12) Các hệ số c , b , a , , , 4 3 2    được xác định: N N N 2 2 2 4 2 ij 3 ij uj 4 ij j 1 j 1 j 1 2 2 2 2 2 4 3 3 2 4 3 3 2 2 3 2 2 4 3 4 3 4 3 3 2 1 1 1 x ; x x ; x N N N k a 1; b k k k k 1 c ; d ( )( k k )                                                             (6.13) Phương sai hệ số hồi quy và covarian giữa chúng xác định theo công thức (n – số thí nghiệm lặp trong mỗi thí nghiệm):                         2 2 1 0 2 2 3 i 2 2 4 5 ii 2 2 6 iu 2 2 0 ii 2 5 ii iu c s b s y n c s b s y n c c s b s y n c s b s y n c cov b ,b s y n c cov b ,b s y n                                                               (6.14)
  • 199.
    200 CHƯƠNG 6 Giátrị các hệ số c1-c6 tra trong Bảng 6.5. Bảng 6.5 ci Dạng quy hoạch FCCCD (B) B2 (k = 2, N = 8) B3 (k = 3, N = 14) B4 (k = 4, N = 24) B5 với TNT (k = 5, N = 42) c1 c2 c3 c4 c5 c6 1,25 0,75 0,1667 0,5 0,25 0,25 0,40924 0,15624 0,1 0,5 -0,09375 0,125 0,22917 0,0625 0,05556 0,5 -0,10417 0,0625 0,15821 0,0332 0,02941 0,5 -0,0918 0,03125 Ví dụ 6.1 Khi nghiên cứu độ bền uốn vật liệu ván nhân tạo phụ thuộc độ ẩm W và nhiệt độ ép t (Bảng 6.6) ta sử dụng QHTN bậc 2 dạng FCCCD. Xác định PTHQ bậc 2. Bảng 6.6 STT Nhân tố Ký hiệu Mức giá trị Khoảng thay đổi Tự nhiên Mã hóa Dưới -1 Cơ sở 0 Trên +1 1 Độ ẩm (%) W x1 6 18 30 24 2 Nhiệt độ (0 C) t x2 80 100 120 40 Bảng 6.7 là ma trận quy hoạch với kết quả thực nghiệm. Bảng 6.7 N Các nhân tố Bậc 2 Tương tác Kết quả TN j y Kết quả PTHQ Sai lệch (Resit) x0 x1 x2 x1 2 x2 2 x1x2 1 +1 -1 -1 +1 +1 +1 12 11,8000 0,200000 2 +1 +1 -1 +1 +1 -1 14,4 14,4333 -0,033333 3 +1 -1 +1 +1 +1 -1 20 19,9667 0,033333 4 +1 +1 +1 +1 +1 +1 25,6 25,8000 -0,200000 5 +1 -1 0 +1 0 0 13,8 14,0333 -0,233333 6 +1 +1 0 +1 0 0 18,5 18,2667 0,233333 7 +1 0 -1 0 +1 0 12,1 12,2667 -0,166667 8 +1 0 +1 0 +1 0 22,2 22,0333 0,166667 9 +1 0 0 0 0 0 15,4 11,8000 0,200000
  • 200.
    QUY HOẠCH THỰCNGHIỆM BẬC 2 201 Phương sai tái hiện: s2 {y} = 0,090. Giải: Ma trận quy hoạch: Ma trận chuyển vị: Ma trận kết quả thực nghiệm: 12 14,4 20 25,6 13,8 18,5 12,1 22,2 15,4  Y
  • 201.
    202 CHƯƠNG 6 Hệsố PTHQ được xác định theo ma trận:   0 1 1 2 11 22 12 b b b b b b                          T T B X X (X Y) (6.15) Kết quả tính toán các hệ số của PTHQ theo các ma trận trình bày ở trên hoặc theo các công thức (6.6) hoặc từ (6.9) đến (6.13). Sau khi tính toán ta thu được: b0 = 15,300; b1 = 2,117; b2 = 4,883; b11 = 0,850; b22 = 1,850; b12 = 0,800. PTHQ có dạng: Y = 15,300 + 2,117x1 + 4,883x2 + 0,850 x1 2 + 1,850 x2 2 + 0,800x1x2 Số bậc tự do fy = 9. Tra bảng Student theo Phụ lục 1 với  = 0,05 với fy = 9 ta có tb = 2,26. Xác định phương sai các hệ số s2 {bi} theo công thức (4.11). So sánh các hệ số PTHQ với tích tbs{bi} để loại bỏ các hệ số không có ý nghĩa. Tổng bình phương đặc trưng sự tương thích của mô hình: Sth = 0,493 s2 th = Sth /fth =0,247 Tỷ số Ftt tính toán: Ftt = s2 th/ s2 {y} = 2,741 Tra Phụ lục 1 với f1 = fth = 3 và f2 = fy = 9 ta tìm được Fb = 3.860 Vì Ftt < Fb nên giả thuyết về tính tương thích PTHQ được chấp nhận. Chú ý khi tính trên Minitab theo phương pháp FCCCD: Tham khảo Mục 6.11 và trên hộp thoại Create Response Surface Design: Designs (Hình 6.4) ta chọn nút Custom trên vùng Number of Center Point và nhập số thí nghiệm ở tâm (trong hình n0 =1). Và trên vùng Value of Alpha chọn Face Center.
  • 202.
    QUY HOẠCH THỰCNGHIỆM BẬC 2 203 Hình 6.4 Kết quả tính trên Minitab: Model Summary S R-sq R-sq(adj) R-sq(pred) 0.351188 99.86% 99.51% 97.50% Coded Coefficients Term Coef SE Coef T-Value P-Value VIF Constant 15.300 0.393 38.97 0.001 X1 2.117 0.143 14.76 0.005 1.00 X2 4.883 0.143 34.06 0.001 1.00 X1*x1 0.850 0.304 2.79 0.108 1.13 X2*x2 1.850 0.304 6.08 0.026 1.13 X1*x2 0.800 0.176 4.56 0.045 1.00 Regression Equation in Coded Units Y = 15.300 + 2.117 x1 + 4.883 x2 + 0.850 x1*x1 + 1.850 x2*x2 + 0.800 x1*x2 Regression Equation in Uncoded Units y = 41.02 - 0.3611w - 0.724 t + 0.00567w2 + 0.004542t2 + 0.003333 wt So sánh với ví dụ 3.4, chỉ cần bổ sung 3 thí nghiệm ta thu được PTHQ bậc 2 với R-sq = 99,86%.
  • 203.
    204 CHƯƠNG 6 Vídụ 6.2 So sánh ví dụ trên Mục 4.4 ta sử dụng quy hoạch dạng FCCCD. Nghiên cứu ảnh hưởng lực cắt Fz (N) vật liệu khi phay, phụ thuộc vào các nhân tố: góc cắt  và góc sau  của dụng cụ cắt. Tiến hành tất cả 9 thí nghiệm chính. Bảng 6.8 Bảng giá trị các nhân tố STT Nhân tố Ký hiệu Mức giá trị Khoảng thay đổi Tự nhiên Mã hóa Dưới -1 Cơ sở 0 Trên +1 1 Góc cắt (độ)  x1 35 45 55 10 2 Góc sau (độ)  x2 0 5 10 5 Bảng giá trị các nhân tố cho trong Bảng 6.8 và kết quả thực nghiệm trong Bảng 6.9. Bảng 6.9 Bảng ma trận quy hoạch và kết quả thực nghiệm N Nhân tố tự nhiên Nhân tố mã hóa và tương tác Kết quả thực nghiệm y Giá trị theo PTHQ Chú thích Góc cắt  (o ) Góc sau  (o ) x0 x1 x2 x1 2 x2 2 x1x2 1 2 3 4 35 55 35 55 0 0 10 10 1 1 1 1 -1 +1 -1 +1 -1 -1 +1 +1 1 1 1 1 1 1 1 1 1 -1 -1 1 383 572 348 516 381,083 569,250 350,583 517,750 Các thí nghiệm ở nhân (TNT) 22 = 4 5 6 7 8 35 55 45 45 5 5 0 10 1 1 1 1 -1 +1 0 0 0 0 -1 +1 1 1 0 0 0 0 1 1 0 0 0 0 359 535 441 409 358,333 536,000 445,667 404,667 Các thí nghiệm ở điểm sao 2.2 = 4 9 45 5 0 0 0 0 0 0 418 417,667 TN tại tâm
  • 204.
    QUY HOẠCH THỰCNGHIỆM BẬC 2 205 Tính trên Minitab thu được kết quả như sau: Analysis of Variance Source DF Adj SS Adj MS F-Value P-Value Model 5 51832.9 10366.6 492.99 0.000 Linear 2 1907.3 953.6 45.35 0.006 x1 1 1820.6 1820.6 86.58 0.003 x2 1 59.4 59.4 2.82 0.191 Square 2 1853.0 926.5 44.06 0.006 x1*x1 1 1740.5 1740.5 82.77 0.003 x2*x2 1 112.5 112.5 5.35 0.104 2-Way Interaction 1 110.2 110.2 5.24 0.106 x1*x2 1 110.2 110.2 5.24 0.106 Error 3 63.1 21.0 Total 8 51896.0 Model Summary S R-sq R-sq(adj) R-sq(pred) 4.58561 99.88% 99.68% 98.52% Coded Coefficients Term Coef SE Coef T-Value P-Value VIF Constant 63056 6585 9.58 0.002 x1 27176 2921 9.30 0.003 24338.50 x2 -909 541 -1.68 0.191 3338.50 x1*x1 2950 324 9.10 0.003 24301.00 x2*x2 187.5 81.1 2.31 0.104 301.00 x1*x2 -262 115 -2.29 0.106 3076.00 Regression Equation in Coded Units Y = 417.67 + 88.83 x1 - 20.50 x2 + 29.50 x1*x1 + 7.50 x2*x2 - 5.25 x1*x2 So sánh với Ví dụ 4.4 thì khi QHTN theo phương pháp FCCCD Ví dụ 6.2 có số thí nghiệm chính N giảm đáng kể: từ N = 21 giảm xuống N = 9, và kết quả thực nghiệm có sự sai lệch không đáng kể, ngoài ra tính tương thích PTHQ thu được được đảm bảo với R – sq = 99,88 %. Ví dụ 6.3 QHTN bậc 2 dạng FCCCD cho 3 nhân tố. Giá trị các nhân tố và ma trận quy hoạch cho trong các Bảng 6.10 và 6.11.Thông số đầu ra là độ bền uốn (MPa). Bảng 6.10 N Nhân tố Ký hiệu Mức giá trị Khoảng thay đổi Tự nhiên Mã hóa Dưới -1 Cơ sở 0 Trên +1 1 Độ ẩm (%) W x1 6 17 28 22 2 Thời gian (s) T x2 30 45 60 30 3 Nhiệt độ (0 C) t x3 80 110 140 60
  • 205.
    206 CHƯƠNG 6 Giải: Bảngma trận quy hoạch và kết quả thực nghiệm: Bảng 6.11 N Nhân tố mã hóa Tương tác Bậc 2 Kết quả j y Kết quả PTHQ x0 x1 x2 x3 x1x2 x1x3 x2x3 x1 2 x2 2 x3 2 1 +1 -1 -1 -1 +1 +1 +1 +1 +1 +1 6 6,6436 2 +1 +1 -1 -1 -1 -1 +1 +1 +1 +1 15,2 14,7616 3 +1 -1 +1 -1 -1 +1 -1 +1 +1 +1 22,7 22,1676 4 +1 +1 +1 -1 +1 -1 -1 +1 +1 +1 34,68 34,9456 5 +1 -1 -1 +1 +1 -1 -1 +1 +1 +1 13,5 13,2136 6 +1 +1 -1 +1 -1 +1 -1 +1 +1 +1 23,66 24,1716 7 +1 -1 +1 +1 -1 -1 +1 +1 +1 +1 30,5 30,9176 8 +1 +1 +1 +1 +1 +1 +1 +1 +1 +1 47,2 46,5356 9 +1 -1 0 0 0 0 0 +1 0 0 14,5 14,2578 10 +1 +1 0 0 0 0 0 +1 0 0 25,8 26,1258 11 +1 0 -1 0 0 0 0 0 +1 0 11,5 11,0698 12 +1 0 +1 0 0 0 0 0 +1 0 29,5 30,0138 13 +1 0 0 -1 0 0 0 0 0 +1 15 15,0618 14 +1 0 0 +1 0 0 0 0 0 +1 24,12 24,1418 15 +1 0 0 0 0 0 0 0 0 0 18,25 18,0829 Các hệ số b của PTHQ thu được khi sử dụng các công thức (6.6) tương tự Ví dụ 6.1 hoặc theo các công thức từ (6.9) đến (6.13): b0 = 18,015; b1 = 5,934; b2 = 9,472; b3 = 4,540; b1 2 = 2,109; b2 2 = 2,459; b3 2 = 1,519; b12 = 1,165; b13 = 0,710; b23 = 0,545 PTHQ bậc 2 có dạng (tính theo công thức): 2 2 2 1 2 3 1 2 3 1 2 1 3 2 3 y 18,015 5,934x 9,472x 4,54x 2,135x 2,485x 1,545x 1,165x x 0,71x x 0,545x x           PTHQ bậc 2 có dạng (tính theo Minitab): Regression Equation in Uncoded Units Y = 18.083 + 5.934 x1 + 9.472 x2 + 4.540 x3 + 2.109 x1*x1 + 2.459 x2*x2 + 1.519 x3*x3 + 1.165 x1*x2 + 0.710 x1*x3 + 0.545 x2*x3
  • 206.
    QUY HOẠCH THỰCNGHIỆM BẬC 2 207 Ví dụ 6.4 Xác định sự phụ thuộc của lực cắt vào 5 nhân tố khi cắt một loại vật liệu (Bảng 6.12): lượng đưa phôi, vận tốc cắt, lực nén trên phôi, chiều dài cắt, chiều dài làm việc dụng cụ cắt [30]. Bảng 6.12 Các nhân tố N Nhân tố Ký hiệu Mức giá trị Khoảng thay đổi Tự nhiên Mã hóa Dưới, - 1 Cơ sở, 0 Trên, 1 1 Chiều dài làm việc dụng cụ cắt (cm) L0 x1 30 48 66 18 2 Chiều dài cắt (cm) L1 x2 10 20 30 10 3 Lực nén trên phôi (N) F x3 60 90 120 30 4 Vận tốc cắt (m/s) v x4 8,9 13,5 18,1 4,6 5 Lượng đưa phôi (mm)  x5 0,6 0,9 1,2 0,3 Bảng 6.13 là ma trận quy hoạch và kết quả thực nghiệm. Bảng 6.13 N0 x0 x1 x2 x3 x4 x5 N , yj Kết quả Resit 1 +1 –1 –1 –1 –1 –1 83 90,792 -7,7923 2 +1 +1 –1 –1 –1 –1 110 108,270 1,7298 3 +1 –1 +1 –1 –1 –1 55 53,108 1,8915 4 +1 +1 +1 –1 –1 –1 102 99,211 2,7886 5 +1 –1 –1 +1 –1 –1 180 165,028 14,9724 6 +1 +1 –1 +1 –1 –1 204 202,381 1,6195 7 +1 –1 +1 +1 –1 –1 131 140,719 -9,7188 8 +1 +1 +1 +1 –1 –1 203 206,697 -3,6967 9 +1 –1 –1 –1 +1 –1 100 100,800 -0,7996 10 +1 +1 –1 –1 +1 –1 132 119,903 12,0974 11 +1 –1 +1 –1 +1 –1 66 62,741 3,2592 12 +1 +1 +1 –1 +1 –1 100 110,469 -10,4688 13 +1 –1 –1 +1 +1 –1 175 180,910 -5,9099 14 +1 +1 –1 +1 +1 –1 208 219,888 -11,8879 15 +1 –1 +1 +1 +1 –1 157 156,226 0,7739 16 +1 +1 +1 +1 +1 –1 233 223,829 9,1710 17 +1 –1 –1 –1 –1 +1 134 140,358 -6,3585 18 +1 +1 –1 –1 –1 +1 155 151,461 3,5386 19 +1 –1 +1 –1 –1 +1 125 106,300 18,7004 20 +1 +1 +1 –1 –1 +1 138 146,028 -8,0276
  • 207.
    208 CHƯƠNG 6 21+1 –1 –1 +1 –1 +1 237 237,469 -0,4688 22 +1 +1 –1 +1 –1 +1 269 268,447 0,5533 23 +1 –1 +1 +1 –1 +1 206 216,785 -10,7849 24 +1 +1 +1 +1 –1 +1 283 276,388 6,6121 25 +1 –1 –1 –1 +1 +1 143 144,991 -1,9908 26 +1 +1 –1 –1 +1 +1 166 157,719 8,2812 27 +1 –1 +1 –1 +1 +1 105 110,557 -5,5570 28 +1 +1 +1 –1 +1 +1 148 151,910 -3,9099 29 +1 –1 –1 +1 +1 +1 259 247,976 11,0239 30 +1 +1 –1 +1 +1 +1 272 280,579 -8,5790 31 +1 –1 +1 +1 +1 +1 221 226,917 -5,9173 32 +1 +1 +1 +1 +1 +1 293 288,145 4,8548 33 +1 –1 0 0 0 0 182 177,324 4,6765 34 +1 +1 0 0 0 0 212 216,676 -4,6765 35 +1 0 –1 0 0 0 190 200,029 -10,0294 36 +1 0 +1 0 0 0 195 184,971 10,0294 37 +1 0 0 –1 0 0 152 159,382 -7,3824 38 +1 0 0 +1 0 0 272 264,618 7,3824 39 +1 0 0 0 –1 0 210 215,559 -5,5588 40 +1 0 0 0 +1 0 232 226,441 5,5588 41 +1 0 0 0 0 –1 197 195,029 1,9706 42 +1 0 0 0 0 +1 250 251,971 -1,9706 Tính theo các công thức từ (6.9) đến (6.13) ta thu được các hệ số PTHQ (Bảng 6.14). Bảng 6.14 Giá trị các hệ số Hệ số bo b1 b2 b3 b4 b5 b11 b22 b33 b44 b55 Tínhtoán 219,46 21,18 -8,87 52,82 3,94 29,98 -23,6 -23,54 -8,6 0,4 2,9 Tính lại 218,22 20,97 -8,55 52,7 4,15 29,76 -26,84 -23,87 - - - Hệ số b12 b13 b14 b15 b23 b24 b25 b34 b35 b45 Tính toán 8,58 4,76 2,01 -3,19 3,53 -1,51 2,33 1,68 5,51 0,26 Tính lại 8,24 4,88 - -2,97 3,4 - - - 5,63 - Trên mỗi thí nghiệm chính ta lặp 5 lần (n = 5). Số bậc tự do f = N(n-1) = 42.4 = 168. Khi đó tb  1,97.
  • 208.
    QUY HOẠCH THỰCNGHIỆM BẬC 2 209 Theo tiêu chuẩn Cochran ta kiểm tra tính đồng nhất phương sai: 2 max tt 2 2 2 i 2 N s G (s s s )     (6.16) 12 , 0 G 0875 , 0 G b tt    khi q = 0,05 Phương sai tái hiện: j N 2 2 1 s s {y} N   với 2 iu j 2 j (y y ) s n 1        42 1 j 2 j 2 42 s } y { s 8 , 391 42 16455 } y { s2   Số bậc tự do fy: 168 ) 1 5 ( 42 ) 1 n ( N fy      Theo Bảng 6.5 ta chọn các hệ số c1, c2, c3, c4, c5 và c6 và tính theo công thức (6.14) (hoặc tính theo công thức (4.11)). Từ đây suy ra:   2 0 0,158 s b .391,8 12,8 5   3 , 2 8 , 391 . 5 0294 , 0 } b { s i 2   32 8 , 391 . 5 408 , 0 } b { s ii 2   44 , 2 8 , 391 . 5 0312 , 0 } b { s ij 2     0 ii 0,0332 cov b ,b .391,8 2,6 5           78 , 7 8 , 391 . 5 0918 , 0 } b , b { cov ij ii           Sau khi so sánh } b { s tb với các hệ số b, ta loại bỏ các hệ số không ý nghĩa và tính toán lại các hệ số. Cuối cùng PTHQ có dạng: 2 1 2 3 4 5 4 2 5 1 2 1 5 3 4 3 5 4 5 y 218,22 29,76x 4,15x 52,3x 8,5x 20,97x 23,87x 26,84x 5,63x x 2,97x x 3,4x x 4,88x x 8,24x x             
  • 209.
    210 CHƯƠNG 6 Kiểmtra tính tương thích theo phương sai tương thích 2 th s : 2 th th th S s f  ; với     N 1 j 2 j j th ) y y ( S  ta thu được: 16 , 541 s2 th  Hệ số Ftt tính toán: 38 , 1 8 , 391 16 , 541 } y { s s F 2 2 th tt    So sánh với giá trị Fb = 1,5 với fth = N – p = 29; fy = 168; q = 0,05. Vì Ftt < Fb suy ra giả thuyết về tính tương thích PTHQ được chấp nhận. Kết quả xử lý trên Minitab: Response Surface Regression: Y versus x1, x2, x3, x4, x5 Analysis of Variance Source DF Adj SS Adj MS F-Value P-Value Model 20 156023 7801.2 69.37 0.000 Linear 5 137790 27558.0 245.04 0.000 x1 1 13164 13163.6 117.05 0.000 x2 1 1928 1927.5 17.14 0.000 x3 1 94133 94133.0 837.02 0.000 x4 1 1007 1006.6 8.95 0.007 x5 1 27560 27559.5 245.06 0.000 Square 5 14160 2832.0 25.18 0.000 x1*x1 1 1226 1225.6 10.90 0.003 x2*x2 1 1768 1768.3 15.72 0.001 x3*x3 1 133 133.0 1.18 0.289 x4*x4 1 7 6.5 0.06 0.812 x5*x5 1 42 41.8 0.37 0.548 2-Way Interaction 10 4073 407.3 3.62 0.006 x1*x2 1 1639 1638.8 14.57 0.001 x1*x3 1 790 790.0 7.02 0.015 x1*x4 1 5 5.3 0.05 0.831 x1*x5 1 81 81.3 0.72 0.405 x2*x3 1 358 357.8 3.18 0.089 x2*x4 1 0 0.3 0.00 0.961 x2*x5 1 26 26.3 0.23 0.634 x3*x4 1 69 69.0 0.61 0.442 x3*x5 1 1047 1046.5 9.31 0.006 x4*x5 1 58 57.8 0.51 0.481 Error 21 2362 112.5 Total 41 158385 Model Summary S R-sq R-sq(adj) R-sq(pred) 10.6048 98.51% 97.09% 94.07%
  • 210.
    QUY HOẠCH THỰCNGHIỆM BẬC 2 211 Coded Coefficients Term Coef SE Coef T-Value P-Value VIF Constant 219.37 4.22 52.01 0.000 x1 19.68 1.82 10.82 0.000 1.00 x2 -7.53 1.82 -4.14 0.000 1.00 x3 52.62 1.82 28.93 0.000 1.00 x4 5.44 1.82 2.99 0.007 1.00 x5 28.47 1.82 15.65 0.000 1.00 x1*x1 -22.37 6.78 -3.30 0.003 2.64 x2*x2 -26.87 6.78 -3.97 0.001 2.64 x3*x3 -7.37 6.78 -1.09 0.289 2.64 x4*x4 1.63 6.78 0.24 0.812 2.64 x5*x5 4.13 6.78 0.61 0.548 2.64 x1*x2 7.16 1.87 3.82 0.001 1.00 x1*x3 4.97 1.87 2.65 0.015 1.00 x1*x4 0.41 1.87 0.22 0.831 1.00 x1*x5 -1.59 1.87 -0.85 0.405 1.00 x2*x3 3.34 1.87 1.78 0.089 1.00 x2*x4 -0.09 1.87 -0.05 0.961 1.00 x2*x5 0.91 1.87 0.48 0.634 1.00 x3*x4 1.47 1.87 0.78 0.442 1.00 x3*x5 5.72 1.87 3.05 0.006 1.00 x4*x5 -1.34 1.87 -0.72 0.481 1.00 Regression Equation in Coded Units Y = 219.37 + 19.68 x1 - 7.53 x2 + 52.62 x3 + 5.44 x4 + 28.47 x5 - 22.37 x1*x1 - 26.87 x2*x2 - 7.37 x3*x3 + 1.63 x4*x4 + 4.13 x5*x5 + 7.16 x1*x2 + 4.97 x1*x3 + 0.41 x1*x4 - 1.59 x1*x5 + 3.34 x2*x3 - 0.09 x2*x4 + 0.91 x2*x5 + 1.47 x3*x4 + 5.72 x3*x5 - 1.34 x4*x5 Ta có thể lại bỏ các hệ số không ý nghĩa bằng cách chọn nút Stepwise… trên hộp thoại Analyze Response Surface Design. Sau đó chọn Stepwise. Trong ví dụ trên, thay vì sử dụng TNT với N1 = 32 thí nghiệm ở nhân, ta có thể sử dụng TNR với N1 = 16 thí nghiệm. Khi đó tổng số thí nghiệm chính chỉ là N = 26 (Bảng 6.15), giảm bớt 16 thí nghiệm. Trong Bảng 6.15 cột thứ nhất N26 là thứ tự ma trận quy hoạch mới tương ứng số thứ tự thí nghiệm Bảng 6.13 (cột N42).
  • 211.
    212 CHƯƠNG 6 Bảng6.15 Kết quả với N= 26 thí nghiệm, sử dụng 16 thí nghiệm ở nhân N26 N42 x0 x1 x2 x3 x4 x5=x1x2 x5 N , yj 01 17 +1 –1 –1 –1 –1 1 +1 134 02 2 +1 +1 –1 –1 –1 -1 –1 110 03 3 +1 –1 +1 –1 –1 -1 –1 55 04 20 +1 +1 +1 –1 –1 1 +1 138 05 21 +1 –1 –1 +1 –1 1 +1 237 06 6 +1 +1 –1 +1 –1 -1 –1 204 07 7 +1 –1 +1 +1 –1 -1 –1 131 08 24 +1 +1 +1 +1 –1 1 +1 283 09 25 +1 –1 –1 –1 +1 1 +1 143 10 10 +1 +1 –1 –1 +1 -1 –1 132 11 11 +1 –1 +1 –1 +1 -1 –1 66 12 28 +1 +1 +1 –1 +1 1 +1 148 13 29 +1 –1 –1 +1 +1 1 +1 259 14 14 +1 +1 –1 +1 +1 -1 –1 208 15 15 +1 –1 +1 +1 +1 -1 –1 157 16 32 +1 +1 +1 +1 +1 1 +1 293 17 33 +1 –1 0 0 0 0 182 18 34 +1 +1 0 0 0 0 212 19 35 +1 0 –1 0 0 0 190 20 36 +1 0 +1 0 0 0 195 21 37 +1 0 0 –1 0 0 152 22 38 +1 0 0 +1 0 0 272 23 39 +1 0 0 0 –1 0 210 24 40 +1 0 0 0 +1 0 232 25 41 +1 0 0 0 0 –1 197 26 42 +1 0 0 0 0 +1 250 Ta sử dụng Minitab để tính toán các hệ số có kết quả như sau. Response Surface Regression: Y versus x1, x2, x3, x4, x5 Analysis of Variance Source DF Adj SS Adj MS F-Value P-Value Model 20 97894.4 4894.7 84.34 0.000 Linear 5 54736.6 10947.3 188.62 0.000 x1 1 450.0 450.0 7.75 0.039 x2 1 12.5 12.5 0.22 0.662 x3 1 51842.0 51842.0 893.23 0.000 x4 1 1027.6 1027.6 17.70 0.008 x5 1 1404.5 1404.5 24.20 0.004 Square 5 11689.9 2338.0 40.28 0.000 x1*x1 1 1217.2 1217.2 20.97 0.006 x2*x2 1 1756.9 1756.9 30.27 0.003 x3*x3 1 131.5 131.5 2.27 0.193 x4*x4 1 6.7 6.7 0.12 0.748 x5*x5 1 42.1 42.1 0.73 0.433
  • 212.
    QUY HOẠCH THỰCNGHIỆM BẬC 2 213 2-Way Interaction 10 3006.0 300.6 5.18 0.042 x1*x2 1 152.1 152.1 2.62 0.166 x1*x3 1 342.3 342.3 5.90 0.060 x1*x4 1 30.2 30.2 0.52 0.503 x1*x5 1 266.8 266.8 4.60 0.085 x2*x3 1 289.0 289.0 4.98 0.076 x2*x4 1 0.0 0.0 0.00 1.000 x2*x5 1 61.4 61.4 1.06 0.351 x3*x4 1 6.2 6.2 0.11 0.756 x3*x5 1 1849.0 1849.0 31.86 0.002 x4*x5 1 9.0 9.0 0.16 0.710 Error 5 290.2 58.0 Total 25 98184.6 Model Summary S R-sq R-sq(adj) R-sq(pred) 7.61833 99.70% 98.52% * Coded Coefficients Term Coef SE Coef T-Value P-Value VIF Constant 219.34 3.05 71.94 0.000 x1 15.00 5.39 2.78 0.039 9.00 x2 2.50 5.39 0.46 0.662 9.00 x3 53.67 1.80 29.89 0.000 1.00 x4 7.56 1.80 4.21 0.008 1.00 x5 26.50 5.39 4.92 0.004 9.00 x1*x1 -22.34 4.88 -4.58 0.006 2.27 x2*x2 -26.84 4.88 -5.50 0.003 2.27 x3*x3 -7.34 4.88 -1.51 0.193 2.27 x4*x4 1.66 4.88 0.34 0.748 2.27 x5*x5 4.16 4.88 0.85 0.433 2.27 x1*x2 9.25 5.71 1.62 0.166 9.00 x1*x3 4.63 1.90 2.43 0.060 1.00 x1*x4 -1.38 1.90 -0.72 0.503 1.00 x1*x5 -12.25 5.71 -2.14 0.085 9.00 x2*x3 4.25 1.90 2.23 0.076 1.00 x2*x4 0.00 1.90 0.00 1.000 1.00 x2*x5 5.88 5.71 1.03 0.351 9.00 x3*x4 0.62 1.90 0.33 0.756 1.00 x3*x5 10.75 1.90 5.64 0.002 1.00 x4*x5 -0.75 1.90 -0.39 0.710 1.00 Regression Equation in Uncoded Units Y = 219.34 + 15.00 x1 + 2.50 x2 + 53.67 x3 + 7.56 x4 + 26.50 x5 - 22.34 x1*x1 - 26.84 x2*x2 - 7.34 x3*x3 + 1.66 x4*x4 + 4.16 x5*x5 + 9.25 x1*x2 + 4.63 x1*x3 - 1.38 x1*x4 - 12.25 x1*x5 + 4.25 x2*x3 + 0.00 x2*x4 + 5.88 x2*x5 + 0.62 x3*x4 + 10.75 x3*x5 - 0.75 x4*x5 Mô hình PTHQ có độ tương thích cao với kết quả thực nghiệm do R- sq = 99,70 %. Tuy nhiên hệ số VIF cho các nhân tố x1, x2 và x5 khá cao và bằng 9 là do có sự phụ thuộc các nhân tố này theo biểu thức sinh x5 = x1x2.
  • 213.
    214 CHƯƠNG 6 6.3.QUY HOẠCH HỖN HỢP BẬC 2 QUAY ĐỀU (BOX – Wilson) (Rotatable Central Composite Circumscribed Design) 6.3.1. Xây dựng quy hoạch bậc 2 quay đều Ta khảo sát dạng quy hoạch bậc 2 được sử dụng rất phổ biến: quy hoạch bậc 2 hỗn hợp đối xứng quay đều. Một trong các đặc tính độ chính xác mô hình hồi quy là phương sai } y { s2  của giá trị đáp ứng. Tính chất quay của quy hoạch có nghĩa là độ chính xác PTHQ, thu được theo kết quả thực hiện là bằng nhau trong tất cả các điểm của không gian nhân tố, ở trên một khoảng cách bằng nhau từ tâm quy hoạch. Ví dụ, trong trường hợp hai nhân tố thì độ chính xác mô hình không đổi với tất cả các điểm nằm trên đường tròn tâm O (Hình 6.5). Đối với quy hoạch này, độ chính xác mô hình giảm khi tăng bán kính các đường tròn này. Tính chất đều kết hợp với quay nghĩa là phương sai } y { s2  không đổi trong vùng nào đó từ tâm quy hoạch. Như thế, từ tính chất quay đều có nghĩa là độ chính xác cao mô hình khi nằm gần trung tâm quy hoạch và có sai số khi gần vị trí đường bao miền giá trị các nhân tố. Do đó quy hoạch bậc 2 quay đều được sử dụng đối với các bài toán thu được PTHQ với mục tiêu điểm tối ưu nằm trên vùng gần tâm quy hoạch. Cấu trúc quy hoạch quay đều tương tự như quy hoạch dạng FCCCD. Quy hoạch quay là quy hoạch hỗn hợp và trong phần trực giao là TNT hoặc TNR (thường khi k  5). Thêm vào thực nghiệm này các điểm sao nα = 2k và no thí nghiệm tại tâm quy hoạch. Khác với quy hoạch FCCCD, số thí nghiệm ở tâm phụ thuộc vào số nhân tố yêu cầu tính chất đều của quy hoạch. Sự khác biệt nữa là các loạt thí nghiệm tại phần trực giao (TNT hoặc TNR) không nằm trên đường biên không gian nhân tố mà nằm trong nó. Nếu giá trị các nhân tố tại phần này dưới dạng mã hóa là -1 hoặc +1 thì giá trị nhỏ nhất và lớn nhất các nhân tố là - và + (Bảng 6.16) với  là số dương > 1, gọi là cánh tay đòn sao (cánh tay đòn sao và số thí nghiệm n0 ở tâm phụ thuộc vào tiêu chuẩn tối ưu). Tương tự quy hoạch FCCCD, các điểm sao là các thí nghiệm mà một trong các nhân tố ở mức thấp nhất hoặc cao nhất và các nhân tố còn lại ở mức cơ sở. Ví dụ: x1 =  ; x2 = x3 = ... = xk = 0 x2 =  ; x1 = x3 = ... = xk = 0
  • 214.
    QUY HOẠCH THỰCNGHIỆM BẬC 2 215 a) Hai nhân tố b) Ba nhân tố Hình 6.5 Bố trí các thí nghiệm phương pháp quay đều Bảng 6.16 Bảng giá trị các nhân tố theo phương pháp quay đều N Nhân tố Ký hiệu Mức giá trị Tự nhiên Mã hóa Dưới, -α Mức -1 Cơ sở, 0 Mức +1 Trên, +α 1 Vận tốc vòng (m/s) v x1 21,7 96 205 314 388,3 2 Vận tốc đưa phôi (m/min) u x2 0,1636 0,3 0,5 0,7 0,8364 3 Chiều sâu cắt (mm) h x3 0,0795 0,25 0,5 0,75 0,9205
  • 215.
    216 CHƯƠNG 6 Sốthí nghiệm n0 ở tâm Số thí nghiệm ở tâm n0 tra theo Bảng 6.11 và được xác định theo công thức: n0 4 k 2 N 4 n 1 o    (6.17) trong đó N1 được xác định: N1 = 2k hoặc 2k-1 (6.18) Giá trị cánh tay đòn sao  Đại lượng  (cánh tay đòn sao) được xác định theo công thức và tra theo Bảng 6.17:           TNR laø giao tröïc phaàn neáu 2 TNT laø giao tröïc phaàn neáu 2 4 / ) 1 k ( 4 / k (6.19) Bảng 6.17 Các tham số quy hoạch bậc 2 quay đều N Số nhân tố k Số thí nghiệm TNT và TNR ở nhân N1 Số TN ở các điểm sao n Số TN ở tâm no Tổng số TN N  1 2 3 4 5 6 7 8 9 2 3 4 5 5 6 6 7 7 4 8 16 32 16 64 32 128 64 4 6 8 10 10 12 12 14 14 5 6 7 10 6 15 9 21 14 13 20 31 52 32 91 53 163 92 1,414 1,682 2,00 2,378 2,00 2,828 2,378 3,333 2,828 Miền thay đổi các nhân tố: max i i min i X X X  
  • 216.
    QUY HOẠCH THỰCNGHIỆM BẬC 2 217 (6.20) Suy ra: Xi (+α) = α(Xi (0) -Xi -1 ) +Xi (0) Xi (-α) = -α(Xi (0) -Xi -1 ) +Xi (0) Khi đó: i ) 0 ( i i i X X x    Với: ) 1 ( i ) 0 ( i ) 0 ( i ) 1 ( i i X X X X        (6.21) Trên Bảng 6.18 và 6.19 là ma trận quy hoạch với số nhân tố k = 2 và k = 3. Bảng 6.18 Ma trận quy hoạch khi k = 2 N x0 x1 x2 x1 x2 x1 2 x2 2 Thí nghiệm ở nhân 2k , 2k-p 1 2 3 4 +1 +1 +1 +1 -1 +1 -1 +1 -1 -1 +1 +1 +1 -1 -1 +1 +1 +1 +1 +1 +1 +1 +1 +1 Các điểm sao 5 6 7 8 +1 +1 +1 +1 -1,414 +1,414 0 0 0 0 -1,414 +1,414 0 0 0 0 2 2 0 0 0 0 2 2 Các điểm ở tâm 9 10 11 12 13 +1 +1 +1 +1 +1 0 0 0 0 0 0 0 0 0 0 0 0 0 0 0 0 0 0 0 0 0 0 0 0 0
  • 217.
    218 CHƯƠNG 6 Bảng6.19 Ma trận quy hoạch khi k = 3 N x0 x1 x2 x3 x1 x2 x1x3 x2 x3 x1 2 x2 2 x3 2 1 2 3 4 5 6 7 8 +1 +1 +1 +1 +1 +1 +1 +1 -1 +1 -1 +1 -1 +1 -1 +1 -1 -1 +1 +1 -1 -1 +1 +1 -1 -1 -1 -1 +1 +1 +1 +1 +1 -1 -1 +1 +1 -1 -1 +1 +1 -1 +1 -1 -1 +1 -1 +1 +1 -1 +1 -1 -1 +1 -1 +1 1 1 1 1 1 1 1 1 1 1 1 1 1 1 1 1 1 1 1 1 1 1 1 1 9 10 11 12 13 14 +1 +1 +1 +1 +1 +1 -1,682 +1,682 0 0 0 0 0 0 -1,682 +1,682 0 0 0 0 0 0 -1,682 +1,682 0 0 0 0 0 0 0 0 0 0 0 0 0 0 0 0 0 0 4 2 2 4 2 2 0 0 0 0 0 0 4 2 2 4 2 2 0 0 0 0 0 0 4 2 2 4 2 2 15 ... 20 +1 … +1 0 0 0 0 0 0 0 0 0 0 0 0 0 0 0 0 0 0 Để tính các hệ số PTHQ, ta sử dụng các công thức tổng quát như quy hoạch dạng FCCCD, hoặc theo công thức (6.22) với các giá trị ci được hiệu chỉnh như Bảng 6.20. N k N 2 0 1 j 2 ij j j 1 i 1 j 1 N i 3 ij j j 1 N k N N 2 2 ii 4 ij j 5 ij j 2 j j 1 i 1i 1 j 1 N iu 6 ij uj j j 1 b c y c x y b c x y b c x y c x y c y b c x x y (j u)                                          (6.22) Các phương sai và độ lệch chuẩn hệ số PTHQ được xác định theo các công thức sau (giá trị ci tra Bảng 6.20).
  • 218.
    QUY HOẠCH THỰCNGHIỆM BẬC 2 219 Bảng 6.20 Hệ số ci phương pháp quay đều Hệ số ci Số nhân tố k 2 3 4 5 với TNR c1 c2 c3 c4 c5 c6 0,2 0,1 0,125 0,125 0,01874 0,25 0,16634 0,05679 0,07322 0,06247 0,0069 0,125 0,14285 0,03571 0,04167 0,03125 0,00372 0,0625 0,15909 0,03409 0,04167 0,03125 0,00284 0,0625 Tuy nhiên ta xác định hệ số PTHQ xác định theo công thức (6.6) tổng quát dạng ma trận: B = (XTX)-1(XTY) Ví dụ 6.5 Ta tiến hành quá trình gia công vật liệu trên máy tiện. Thông số đầu ra là độ nhám bề mặt Rz (µm) với các thông số đầu vào: vận tốc cắt v (m/min), vận tốc đưa phôi u (mm/vòng) và chiều sâu cắt h (mm). Xác định PTHQ với giá trị các nhân tố trên Bảng 6.21. Bảng 6.21 Bảng giá trị các nhân tố STT Nhân tố Ký hiệu Mức giá trị Tự nhiên Mã hóa Dưới, -1,682 Mức -1 Cơ sở, 0 Mức 1 Trên, 1,682 1 Vận tốc cắt (m/min) v x1 21,7 96 205 314 388,3 2 Vận tốc đưa phôi (mm/vòng) u x2 0,1636 0,3 0,5 0,7 0,8364 3 Chiều sâu cắt (mm) h x3 0,0795 0,25 0,5 0,75 0,9205 Giải: Kết quả thực nghiệm với 3 nhân tố cho trong Bảng 6.22.
  • 219.
    220 CHƯƠNG 6 Bảng6.22 Ma trận quy hoạch và kết quả thực nghiệm N x0 x1 x2 x3 x1 x2 x1 x3 x2 x3 x1 2 x2 2 x3 2 y 1 2 3 4 5 6 7 8 1 1 1 1 1 1 1 1 -1 +1 -1 +1 -1 +1 -1 +1 -1 -1 +1 +1 -1 -1 +1 +1 -1 -1 -1 -1 +1 +1 +1 +1 1 -1 -1 1 1 -1 -1 1 1 -1 1 -1 -1 1 -1 1 1 1 -1 -1 -1 -1 1 1 1 1 1 1 1 1 1 1 1 1 1 1 1 1 1 1 1 1 1 1 1 1 1 1 2,16 2,65 3,80 4,70 2,22 2,48 4,20 4,89 9 10 11 12 13 14 1 1 1 1 1 1 -1,682 +1,682 0 0 0 0 0 0 -1,682 +1,682 0 0 0 0 0 0 -1,682 +1,682 0 0 0 0 0 0 0 0 0 0 0 0 0 0 0 0 0 0 2 2 2 2 0 0 0 0 0 0 2 2 2 2 0 0 0 0 0 0 2 2 2 2 3,55 4,50 1,80 5,15 2,32 2,56 15 16 17 18 19 20 1 1 1 1 1 1 0 0 0 0 0 0 0 0 0 0 0 0 0 0 0 0 0 0 0 0 0 0 0 0 0 0 0 0 0 0 0 0 0 0 0 0 0 0 0 0 0 0 0 0 0 0 0 0 0 0 0 0 0 0 2,31 2,08 2,12 2,32 2,36 2,12 Sau khi xác định các hệ số, PTHQ dạng mã hóa có dạng: Y = 2,2181 + 0,2883x1 + 1,0042x2 + 0,0647x3 + 0,6404x1 2 + 0,4459x2 2 + 0,0800x3 2 + 0,1050x1x2 - 0,0550x1x3 + 0,0875x2x3 Kiểm tra mức ý nghĩa các hệ số PTHQ ta nhận thấy các hệ số b3, b12, b13, b23, b123 không ý nghĩa. Sau khi tính lại ta thu được PTHQ có dạng sau: y = 2,26 + 0,2882x1 + 0,9819x2 + 0,6555 x1 2 + 0,4389x2 2
  • 220.
    QUY HOẠCH THỰCNGHIỆM BẬC 2 221 Kết quả trính trên Minitab: Regression Equation in Coded Units Y = 2.2181 + 0.2883 x1 + 1.0042 x2 + 0.0647 x3 + 0.6404 x1* x1 + 0.4459 x2* x2 + 0.0800 x3*x3+ 0.1050 x1* x2 - 0.0550 x1*x3 + 0.0875 x2*x3 Model Summary S R-sq R-sq(adj) R-sq(pred) 0.0888485 99.66% 99.36% 99.47% Coded Coefficients Term Coef SE Coef T-Value P-Value VIF Constant 2.2181 0.0362 61.21 0.000 A 0.4849 0.0404 11.99 0.000 1.00 B 1.6888 0.0404 41.77 0.000 1.00 C 0.1088 0.0404 2.69 0.023 1.00 A*A 1.8113 0.0662 27.36 0.000 1.02 B*B 1.2613 0.0662 19.05 0.000 1.02 C*C 0.2263 0.0662 3.42 0.007 1.02 A*B 0.2970 0.0888 3.34 0.007 1.00 A*C -0.1556 0.0888 -1.75 0.111 1.00 B*C 0.2475 0.0888 2.79 0.019 1.00 Ví dụ 6.6 Sử dụng quy hoạch bậc 2 quay đều 3 nhân tố để nghiên cứu thời gian phá hủy vật liệu khi nhiệt độ 850 0 C và ứng suất 500 MPa của hợp kim phụ thuộc vào nhiệt độ tôi (t1), nhiệt độ hóa già (t2) và thời gian hóa già (t). Hãy xác định các hệ số của PTHQ. Theo kết quả thực nghiệm thu được phương sai tái hiện 2 s {y} = 0,58 và số bậc tự do f1 = 5 [19]s. Giải: Thực nghiệm theo phương pháp quy hoạch bậc 2 quay đều cho kết quả như Bảng 6.24. Bảng 6.23 N Nhân tố Ký hiệu Mức giá trị Tự nhiên Mã hóa Dưới, -1,682 Mức -1 Cơ sở, 0 Mức 1 Trên, 1,682 1 Nhiệt độ tôi (0 C) t1 x1 1026 1050 1100 1150 1174 2 Nhiệt độ hóa già (0 C) t2 x2 145 150 175 200 205 3 Thời gian hóa già (h) t x3 1,6 2 4 6 6,4
  • 221.
    222 CHƯƠNG 6 Bảng6.24 N Nhân tố mã hóa Tương tác Nhân tố bậc 2 Kết quả t, h x0 x1 x2 x3 x1 x2 x1 x3 x2 x3 x1 2 x2 2 x3 2 1 2 3 4 5 6 7 8 1 1 1 1 1 1 1 1 -1 +1 -1 +1 -1 +1 -1 +1 -1 -1 +1 +1 -1 -1 +1 +1 -1 -1 -1 -1 +1 +1 +1 +1 1 -1 -1 1 1 -1 -1 1 1 -1 1 -1 -1 1 -1 1 1 1 -1 -1 -1 -1 1 1 1 1 1 1 1 1 1 1 1 1 1 1 1 1 1 1 1 1 1 1 1 1 1 1 8,0 27,9 5,8 43,0 14,1 7,0 20,2 30,2 9 10 11 12 13 14 1 1 1 1 1 1 -1,682 +1,682 0 0 0 0 0 0 -1,682 +1,682 0 0 0 0 0 0 -1,682 +1,682 0 0 0 0 0 0 0 0 0 0 0 0 0 0 0 0 0 0 2 2 2 2 0 0 0 0 0 0 2 2 2 2 0 0 0 0 0 0 2 2 2 2 12,1 36,0 10,4 25,3 20,0 18,0 15 16 17 18 19 20 1 1 1 1 1 1 0 0 0 0 0 0 0 0 0 0 0 0 0 0 0 0 0 0 0 0 0 0 0 0 0 0 0 0 0 0 0 0 0 0 0 0 0 0 0 0 0 0 0 0 0 0 0 0 0 0 0 0 0 0 29,0 28,4 28,6 20,8 28,7 30,5 Các hệ số PTHQ được xác định theo các công thức và bảng tra và có kết quả trong bảng sau: b0 b1 b2 b3 b12 b13 b23 b1 2 b2 2 b3 2 29 7,34 4,92 -1,21 4,3 -6,78 2,05 -1,8 -3,99 -3,59 Sau khi đánh giá toàn bộ các hệ số đều có nghĩa. Và sau đó kiểm tra tính tương thích của PTHQ. Tính trên Minitab tham khảo Mục 6.11, theo trình tự giống như phương pháp FCCCD, với các nút Number of Center Points và Value of Alpha chọn Default (Hình 6.6).
  • 222.
    QUY HOẠCH THỰCNGHIỆM BẬC 2 223 Hình 6.6 Model Summary S R-sq R-sq(adj) R-sq(pred) 2.57597 96.69% 93.71% 93.11% Coded Coefficients Term Coef SE Coef T-Value P-Value VIF Constant 27.68 1.05 26.34 0.000 x1 12.34 1.17 10.53 0.000 1.00 x2 8.28 1.17 7.07 0.000 1.00 x3 -2.04 1.17 -1.74 0.112 1.00 x1*x1 -3.81 1.92 -1.99 0.075 1.02 x2*x2 -10.01 1.92 -5.22 0.000 1.02 x3*x3 -8.86 1.92 -4.62 0.001 1.02 x1*x2 12.16 2.58 4.72 0.001 1.00 x1*x3 -19.16 2.58 -7.44 0.000 1.00 x2*x3 5.80 2.58 2.25 0.048 1.00 Regression Equation in coded Units Y = 27.68 + 7.337 x1 + 4.925 x2 - 1.213 x3 - 1.348 x1*x1 - 3.540 x2*x2 - 3.133 x3*x3 + 4.300 x1*x2 - 6.775 x1*x3 + 2.050 x2*x3 Regression Equation in Uncoded Units Y = -383 + 0.637 t1 - 0.00520 t2 + 25.16 t - 0.000246 t1*t1 - 0.000000 t2*t2 - 0.1937 t*t + 0.000006 t1*t2 - 0.02277 t1*t + 0.000050 t2*t Ví dụ 6.7 Nghiên cứu sự phụ thuộc đại lượng y (%) vào các nhân tố sau: X1- nhiệt độ quá trình (0 C); X 2 - thành phần MgO trong axit photphoric (%); X 3 - thành phần SO3 trong axit photphoric (%); X 4 - thành phần Al2O3 trong axit photphoric (%); X 5 - thành phần F trong axit photphoric (%) [26].
  • 223.
    224 CHƯƠNG 6 Bảng6.25 N Nhân tố Ký hiệu Mức giá trị Khoảng thay đổi Tự nhiên Mã hóa Dưới, -2 Mức -1 Cơ sở, 0 Mức 1 Trên, 2 1 Nhiệt độ quá trình (0 C) X1 x1 10 30 50 70 90 80 2 Thành phần MgO (%) X2 x2 0,3 1,2 2,1 3,0 3,9 3,6 3 Thành phần SO3 (%) X3 x3 0 1 2 3 4 3 4 Thành phần Al2O3 (%) X4 x4 0,59 0,96 1,33 1,70 2,07 1,48 5 Thành phần F (%) X5 x4 0,25 0,5 0,75 1,00 1,25 1,00 Sử dụng TNR trong khi thực nghiệm ở nhân gồm 25-1 = 16 thí nghiệm chính với biểu thức sinh x5 = x1x2x3x4. Số thí nghiệm chính N theo QHTN với số nhân tố k = 5 là 32. Giá trị cánh tay đòn sao α = 2(k – 1)/4 = 2(5-1)/4 = 2. Sau đó chuyển từ giá trị thực sang mã hóa và kết quả thực nghiệm cho trong Bảng 6.26. Bảng 6.26 Quy hoạch bậc 2 quay đều với k = 5 N x0 x1 x2 x3 x4 x5 (x5 = x1 x2 x3 x4) Kết quả thí nghiệm y1, % Kết quả PTHQ Độ lệch 1 1 -1 -1 -1 -1 1 35,9 33,4875 2,41250 2 1 1 -1 -1 -1 -1 27,7 28,4417 -0,74167 3 1 -1 1 -1 -1 -1 33,3 32,8333 0,46667 4 1 1 1 -1 -1 1 23,9 26,5875 -2,68750 5 1 -1 -1 1 -1 -1 40,9 39,8583 1,04167 6 1 1 -1 1 -1 1 33,7 35,8125 -2,11250 7 1 -1 1 1 -1 1 41,4 42,3042 -0,90417 8 1 1 1 1 -1 -1 32,2 36,2583 -4,05833 9 1 -1 -1 -1 1 -1 34,5 30,4417 4,05833 10 1 1 -1 -1 1 1 30,0 29,0958 0,90417 11 1 -1 1 -1 1 1 26,6 24,4875 2,11250 12 1 1 1 -1 1 -1 29,5 30,5417 -1,04167 13 1 -1 -1 1 1 1 39,2 36,5125 2,68750 14 1 1 -1 1 1 -1 39,0 39,4667 -0.46667 15 1 -1 1 1 1 -1 41.4 40.6583 0.74167 16 1 1 1 1 1 1 34.7 37.1125 -2.41250 17 1 -2 0 0 0 0 25.0 31.3083 -6.30833 18 1 2 0 0 0 0 33.3 26.9917 6.30833 19 1 0 -2 0 0 0 42,0 45,8917 -3,89167
  • 224.
    QUY HOẠCH THỰCNGHIỆM BẬC 2 225 20 1 0 2 0 0 0 49,2 45,3083 3,89167 21 1 0 0 -2 0 0 17,5 20,2417 -2,74167 22 1 0 0 2 0 0 41,0 38,2583 2,74167 23 1 0 0 0 -2 0 35,6 32,3083 3,29167 24 1 0 0 0 2 0 27,2 30,4917 -3,29167 25 1 0 0 0 0 -2 39,0 35,1250 3,87500 26 1 0 0 0 0 2 30,0 35,1250 -5,12500 27 1 0 0 0 0 0 35,4 35,1250 0,27500 28 1 0 0 0 0 0 36,4 35,1250 1,27500 29 1 0 0 0 0 0 33,2 35,1250 -1,92500 30 1 0 0 0 0 0 32,4 35,1250 -2,72500 31 1 0 0 0 0 0 37,7 35,1250 2,57500 32 1 0 0 0 0 0 36,9 35,1250 1,77500 Theo số thí nghiệm ở tâm ta xác định phương sai tái hiện s2 {y}= 4,47 với bậc tự do f = n0 - 1 = 5. Sau đó theo các công thức tương ứng ta xác định các hệ số PTHQ: b0 = 35,41; b1 = 1,07794; b2 = –0,146; b3 = 4,5098; b4 = –0,542 b5 = –1,3; b11 = –1,5; b22 = 2,66; b33 = –1,47; b44 = –0,93; b55 = –0,15 b12 = 0,147; b13 = 0,256; b14 = 1,61; b15 = 0,0534; b23 = 0,736 b24 = –0,198; b25 = 0,403; b34 = 0,401; b35 = 0,256; b45 = -0,93 và sbj = 0,43; sbuj = 0,53; sbjj = 0,394 Mức ý nghĩa các hệ số được kiểm tra theo tiêu chuẩn Student: 1 1,07 t 2,84; 0,43   12 0,147 t 0,278 0,53   2 0,146 t 0,34 0,43   13 0,256 t 0,483 0,53   3 4,51 t 10,4 0,43   14 1,61 t 3,04 0,53   4 0,542 t 1,26 0,43   15 0,0534 t 0,1 0,53   5 1,3 t 3,02 0,43   23 0,736 t 0,1375 0,53   11 1,5 t 3,82 0,394   24 0,198 t 0,374 0,53   22 2,66 t 6,75 0,394   33 1,47 t 3,73 0,394   25 0,403 t 0,762 0,53   44 0,93 t 2,36 0,394   34 0,401 t 0,758 0,53   55 0,15 t 0,38 0,394   45 0,93 t 1,75 0,53  
  • 225.
    226 CHƯƠNG 6 Giátrị tra bảng hệ số theo tiêu chuẩn Student với mức ý nghĩa α = 0,05 và số bậc tự do f = 5, tìm được t0,05(5) = 2,57. Sau khi loại các hệ số không ý nghĩa và tính lại các hệ số ta thu được PTHQ như sau: y = 36,2 + 4,51 x3 – 1,3x5 + 1,01 x1x4 – 1,45x1 2 + 2,82 x2 2 – 1,53 x3 2 Kiểm tra tính tương thích PTHQ bậc 2: 2 th tt 2 s 15,35 F 3,43 4,47 s {y}    ; tra bảng với N - p = 32 - 7 = 25 suy ra F0,05(25, 5) = 4,53. Do đó mô hình nhận được là tương thích. Kết quả tính trên Minitab: Model Summary S R-sq R-sq(adj) R-sq(pred) 4.80242 80.01% 43.65% 0.00% Coded Coefficients Term Coef SE Coef T-Value P-Value VIF Constant 35.27 1.92 18.41 0.000 x1 -2.16 1.96 -1.10 0.294 1.00 x2 -0.29 1.96 -0.15 0.884 1.00 x3 9.01 1.96 4.59 0.001 1.00 x4 -0.91 1.96 -0.46 0.652 1.00 x5 -2.59 1.96 -1.32 0.213 1.00 x1*x1 -5.93 3.55 -1.67 0.123 1.02 x2*x2 10.52 3.55 2.97 0.013 1.02 x3*x3 -5.83 3.55 -1.64 0.129 1.02 x4*x4 -3.68 3.55 -1.04 0.322 1.02 x5*x5 -0.58 3.55 -0.16 0.874 1.02 x1*x2 -0.57 4.80 -0.12 0.907 1.00 x1*x3 -1.02 4.80 -0.21 0.835 1.00 x1*x4 6.38 4.80 1.33 0.211 1.00 x1*x5 0.22 4.80 0.05 0.963 1.00 x2*x3 2.93 4.80 0.61 0.555 1.00 x2*x4 -0.78 4.80 -0.16 0.875 1.00 x2*x5 -1.63 4.80 -0.34 0.741 1.00 x3*x4 1.58 4.80 0.33 0.749 1.00 x3*x5 1.03 4.80 0.21 0.835 1.00 x4*x5 -3.67 4.80 -0.77 0.460 1.00 Regression Equation in coded Units Y = 35.27 - 1.079 x1 - 0.146 x2 + 4.504 x3 - 0.454 x4 - 1.296 x5 - 1.482 x1*x1 + 2.631 x2*x2 - 1.457 x3*x3 - 0.919 x4*x4 - 0.144 x5*x5 - 0.14 x1*x2 - 0.26 x1*x3 + 1.59 x1*x4 + 0.06 x1*x5 + 0.73 x2*x3 - 0.19 x2*x4 - 0.41 x2*x5 + 0.39 x3*x4 + 0.26 x3*x5 - 0.92 x4*x5
  • 226.
    QUY HOẠCH THỰCNGHIỆM BẬC 2 227 6.4. QUY HOẠCH HỖN HỢP BẬC 2 TRỰC GIAO (Box – Hunter) Quy hoạch hỗn hợp đối xứng trực giao đảm bảo tính độc lập các hệ số phương trình hồi quy. Khi đó sau khi loại bỏ các hệ số không ý nghĩa ta không cần xác định lại các hệ số phương trình hồi quy. Ngoài ra do tính chất trực giao nên xác định hệ số PTHQ rất dễ dàng theo công thức (6.26). Tuy nhiên đối với quy hoạch bậc 2 trực giao thì phương sai } y { s2  của giá trị đáp ứng, thu được theo kết quả thực nghiệm không bằng nhau trong các điểm của không gian nhân tố khi ở trên một khoảng cách bằng nhau từ tâm quy hoạch (Hình 6.7). Hình 6.7 Các đường có thông tin giống nhau khi k = 2 Trong Chương 5 quy hoạch là trực giao khi tổng của tích 2 cột bất kỳ trong ma trận quy hoạch bằng 0. Ma trận quy hoạch quay đều và dạng FCCCD không trực giao do tổng của tích hai cột x0j với xij 2 hoặc giữa các cột xij 2 khác không (Ví dụ 6.5).    n 2 0j ij j 1 x x 0 và    n 2 2 ij ij j 1 x x 0 Để đảm bảo tính trực giao ta thay xi 2 bằng xi ’ với xi ’ được xác định như sau: N 2 ij , 2 2 i 1 i i 2 i x x x x N        với 2 – được xác định theo công thức (6.13).
  • 227.
    228 CHƯƠNG 6 Saukhi thay thế xi 2 bằng xi ’ ta thu được: N N , 2 0j ij 2 ij j 1 j 1 x x x N 0         Có nghĩa là QHTN trở thành trực giao. Trường hợp 2 nhân tố (k = 2): 9 2 ij 2 j 1 , 2 2 1 1 1 9 2 2j 2 j 1 , 2 2 2 2 2 x 4 2 x x x 9 9 x 4 2 x x x 9 9                            Khi đó:   9 9 , 2 2 0j 0j 1j 1 1j j 1 j 1 x x x x x       2 2 9(4 2 ) 4 2 0 9        Tương tự: 9 , 0j 2j j 1 x x 0    Trong trường hợp tổng quát đối với ma trận quy hoạch bậc hai:   2 2 2 1u iu ku 2 1u 2 iu 2 ku 2 2 1u 2u 2 2 iu ju 2 2 i j 2 4 2 2 2 2 1u 1u 1u iu 1u ku N 0 0 0 0 0 0 x x x 0 x 0 0 0 0 0 0 0 0 0 0 x 0 0 0 0 0 0 0 0 0 0 x 0 0 0 0 0 0 0 0 0 0 x x 0 0 0 0 0 0 0 0 0 0 x x 0 0 0 0 0 0 0 0 0 0 x x 0 0 0 x 0 0 0 0 0 0 x x x x x               T X X 2 2 2 4 2 2 iu iu 1u iu iu ku 2 2 2 2 2 4 ku ku 1u ku iu kN x 0 0 0 0 0 0 x x x x x x 0 0 0 0 0 0 x x x x x                                                      
  • 228.
    QUY HOẠCH THỰCNGHIỆM BẬC 2 229 2 2 2 3 3 3 0 0 0 0 0 0 0 0 0 0 0 0 0 0 0 0 0 0 0 0 0 0 0 0 0 0 0 0 0 0 0 0 0 0 0 0 0 0 0 0 0 0 0 0 0 0 1 0 0 0 0 0 0 0 0 0 N 0 0 0 0 0 0 0 0 0 0 0        T X X 2 2 2 4 2 3 2 3 2 2 2 2 3 2 4 2 3 2 2 2 2 3 2 3 2 4 2 0 0 0 0 0 0 0 0 0 0 0 0 0 0 0 0 0 0 0                                                                                          Để đảm bảo tính trực giao thì ma trận trên là ma trận đường chéo, khi đó: 2 3 2    Từ công thức (6.13) suy ra:   2 N N 2 2 2 i j iu u u 1 u 1 N x x x              (6.23) mặt khác từ ma trận quy hoạch:   N 2 2 iu 1 u i N 2 2 i j 1 u 1 x N 2 x x N                với N1 = 2k hoặc 2k-p’ (số thí nghiệm ở nhân).
  • 229.
    230 CHƯƠNG 6 Từcông thức (6.23) suy ra giá trị α để đảm bảo tính trực giao: 2 N N ) n k 2 N ( 1 1 o 1 2      (6.24) Nhân tố thay thế xi ’ được xác định theo công thức: N 2 ij , 2 2 i 1 i i 2 i x x x x N        và: Giá trị 2 được xác định như sau: - Khi sử dụng TNT tại các thí nghiệm ở nhân: (6.25a) - Khi sử dụng TNR tại các thí nghiệm ở nhân: (6.25b) với N1 = 2k hoặc 2k-p’ (số thí nghiệm ở nhân); k - số nhân tố; no - số thí nghiệm ở tâm. Các hệ số phương trình hồi quy xác định theo công thức: N N j ij j j i j i 0 i N 2 ij j i y x y b ; b N x              N 1 j 2 uj ij N 1 j j uj ij iu ) x x ( y x x b bii      N 1 j 2 ij N 1 j j ij iii x y x b (6.26) Tùy vào giá trị n0 giá trị α cho trong Bảng 6.27.
  • 230.
    QUY HOẠCH THỰCNGHIỆM BẬC 2 231 Bảng 6.27 Số thí nghiệm ở tâm n0 Giá trị phụ thuộc vào số nhân tố k k = 2 k = 3 k = 4 k = 5* 1 1,000 1,215 1,414 1,546 2 1,077 1,285 1,471 1,606 3 1,148 1,353 1,546 1,664 4 1,214 1,414 1,606 1,718 5 1,267 1,471 1,664 1,772 6 1,320 1,525 1,718 1,819 7 1,369 1,575 1,772 1,868 8 1,414 1,623 1,819 1,913 9 1,454 1,668 1,868 1,957 10 1,498 1,711 1,913 2,000 Phương sai để đánh giá các hệ số được xác định theo các công thức:   2 2 2 , 2 i 0 N 2 iu u 1 2 2 2 2 ij ii N N 2 ,2 i j iu u u 1 u 1 s {y} s {y} s {b } ; s {b } N x s {y} s {y} s {b } ; s {b } x x x                      (6.27) Khi có số thí nghiệm lặp:   u 2 2 2 , 2 i 0 N N 2 u u i u 1 u 1 2 2 2 2 ij ii N N 2 ,2 u i j u iu u u 1 u 1 s {y} s {y} s {b } ; s {b } n n x s {y} s {y} s {b } ; s {b } n x x n x                        (6.28a)
  • 231.
    232 CHƯƠNG 6 Đểxác định nhanh các hệ số ta có thể sử dụng bảng giá trị sau: Bảng 6.28 Đại lượng Số nhân tố, k 2 3 4 5 Số thí nghiệm ở nhân N1 22 23 24 25-1 (1 = x1x2x3x4 x5) Điểm sao α Số thí nghiệm điểm sao 2k 1,000 4 1,215 6 1,414 8 1,517 10 Số thí nghiệm ở tâm n0 1 1 1 1 Tổng số thí nghiệm N 9 15 17 27 a1 a2 a3 a4 a5 a6 a7 a8 0,11111 0,16667 0,25000 0,50000 0,33333 0,40825 0,50000 0,70711 0,06667 0,09141 0,12500 0,23041 0,25820 0,30234 0,35355 0,48001 0,04000 0,05000 0,06250 0,12500 0,20000 0,22361 0,25000 0,35355 0,03704 0,04811 0,06250 0,07220 0,19245 0,21934 0,25000 0,26870 Khi đó các hệ số PTHQ được xác định theo công thức: (6.28b) và: k ,, 1 0 ii 0 2 i 1 a b b b a     2 2 2 , 2 1 0 ii 0 2 a s {b } s {b } s {b } a        
  • 232.
    QUY HOẠCH THỰCNGHIỆM BẬC 2 233 Ví dụ 6.8 Sử dụng ma trận bậc 2 trực giao để nghiên cứu nguyên nhân tách lớp tấm khi cán nóng của hợp kim phụ thuộc vào phần trăm vận tốc cháy v (% / h) và thời gian rót t (ph). Bảng giá trị các nhân tố cho trong Bảng 6.29. Bảng 6.29 N Nhân tố Ký hiệu Mức giá trị Khoảng Thay đổi Tự nhiên Mã hóa Dưới, -1,115 Mức -1 Cơ sở, 0 Mức 1 Trên, 1,115 1 Phần trăm vận tốc cháy (% / h) v x1 0,18 0,2 0,35 0,5 0,52 20 2 Thời gian rót, (ph) t x2 3,2 3,5 5,5 7,5 7,8 0,9 Kết quả thực nghiệm cho trong Bảng 6.30. Bảng 6.30 Ma trận quy hoạch và kết quả thực nghiệm với 2 = (4/11)1/2 = 0,6 N Tự nhiên Mã hóa Kết quả y v t x0 x1 x2 x1 x2 x1 ’ = x1 2 - 2 x2 ’ = x2 2 - 2 Thí nghiệm ở nhân 2k, 2k-p 1 2 3 4 0,2 0,5 0,2 0,5 3,5 3,5 7,5 7,5 +1 +1 +1 +1 -1 +1 -1 +1 -1 -1 +1 +1 +1 -1 -1 +1 +0,4 +0,4 +0,4 +0,4 +1 +1 +1 +1 0,36 0,51 1,33 1,51 Các điểm sao 5 6 7 8 0,18 0,52 0,35 0,35 5,5 5,5 3,2 7,8 +1 +1 +1 +1 -1,15 +1,15 0 0 0 0 -1,15 +1,15 0 0 0 0 +0,7225 +0,7225 -0,6 -0,6 -0,6 -0,62 +0,7225 +0,7225 0,31 0,50 0,45 1,59 Các điểm ở tâm 9 10 11 0,35 0,35 0,35 5,5 5,5 5,5 +1 +1 +1 0 0 0 0 0 0 0 0 0 -0,6 -0,6 -0,6 -0,6 -0,6 -0,6 0,30 0,29 0,31 Sử dụng Minitab (Mục 6.11) trên các hộp thoại Create Response Surface Design và Create Response Surface Design: Designs chọn như Hình 6.9.
  • 233.
    234 CHƯƠNG 6 Hình6.9 Các bước tiếp theo thực hiện như phương pháp FCCCD và thu được kết quả như sau: Response Surface Regression: y versus x1, x2 Analysis of Variance Source DF Adj SS Adj MS F-Value P-Value Model 5 2.72613 0.54523 11814.47 0.000 Linear 2 1.66528 0.83264 18042.45 0.000 x1 1 0.04527 0.04527 981.06 0.000 x2 1 1.62001 1.62001 35103.85 0.000 Square 2 1.06062 0.53031 11491.29 0.000 x1*x1 1 0.02290 0.02290 496.21 0.000 x2*x2 1 1.03896 1.03896 22513.20 0.000 2-Way Interaction 1 0.00022 0.00022 4.88 0.078 x1*x2 1 0.00022 0.00022 4.88 0.078 Error 5 0.00023 0.00005 Lack-of-Fit 3 0.00003 0.00001 0.10 0.951 Pure Error 2 0.00020 0.00010 Total 10 2.72636 Model Summary S R-sq R-sq(adj) R-sq(pred) 0.0067933 99.99% 99.98% 99.98% Coded Coefficients Term Coef SE Coef T-Value P-Value VIF Constant 0.29931 0.00373 80.27 0.000 x1 0.08254 0.00264 31.32 0.000 1.00 x2 0.49375 0.00264 187.36 0.000 1.00 x1*x1 0.08108 0.00364 22.28 0.000 1.00 x2*x2 0.54610 0.00364 150.04 0.000 1.00 x1*x2 0.00750 0.00340 2.21 0.078 1.00 Regression Equation in Coded Units y = 0.29931 + 0.08254 x1 + 0.49375 x2 + 0.08108 x1*x1 + 0.54610 x2*x2 + 0.00750 x1*x Regression Equation in Uncoded Units y = 2.4520 - 1.584 v - 0.92760 t + 2.805 v*v + 0.103233 t*t + 0.01918 v*t
  • 234.
    QUY HOẠCH THỰCNGHIỆM BẬC 2 235 Ví dụ 6.9 Sử dụng ma trận bậc 2 trực giao để nghiên cứu cơ tính (giới hạn bền) của hợp kim phụ thuộc vào thành phần Liti (%), nhiệt độ (0 C) và thời gian hóa già (h). Bảng giá trị các nhân tố cho trong Bảng 6.31. Bảng 6.31 N Nhân tố Ký hiệu Mức giá trị Tự nhiên Mã hóa Dưới, -1,215 Mức -1 Cơ sở, 0 Mức 1 Trên, 1,215 1 Thành phần Liti (%) L x1 0,4 0,5 1,0 1,5 1,6 2 Nhiệt độ hóa già (0 C) T x2 145 150 175 200 205 3 Thời gian hóa già (h) T x3 1,5 2 4 6 6,4 Giải: Theo kết quả thí nghiệm thu được phương sai tái hiện s2 {y} = 4,0 và số bậc tự do f1 = 10. Bảng 6.32 là kết quả thí nghiệm. Bảng 6.32 Ma trận quy hoạch và kết quả thực nghiệm với 2 = (8/15)1/2 = 0,73 N Nhân tố mã hóa Tương tác x1 2 - 2 x2 2 -2 x3 2 - 2 Kết quả Y (MPa) Tính theo PTHQ Resit x0 x1 x2 x3 x1x2 x1x3 x2x3 x1 2 -0,73 x2 2 -0,73 x3 2 -0,73 1 +1 -1 -1 -1 +1 +1 +1 +0,27 +0,27 +0,27 280 283,400 -3,399 2 +1 +1 -1 -1 -1 -1 +1 +0,27 +0,27 +0,27 250 262,957 -12,957 3 +1 -1 +1 -1 -1 +1 -1 +0,27 +0,27 +0,27 260 300,308 -40,308 4 +1 +1 +1 -1 +1 -1 -1 +0,27 +0,27 +0,27 450 429,865 20,135 5 +1 -1 -1 +1 +1 -1 -1 +0,27 +0,27 +0,27 410 430,650 -20,650 6 +1 +1 -1 +1 -1 +1 -1 +0,27 +0,27 +0,27 380 340,207 39,793 7 +1 -1 +1 +1 -1 -1 +1 +0,27 +0,27 +0,27 200 187,558 12,442 8 +1 +1 +1 +1 +1 +1 +1 +0,27 +0,27 +0,27 250 247,115 2,885 9 +1 -1,215 0 0 0 0 0 0,745 -0,73 -0,73 360 317,421 42,579 10 +1 +1,215 0 0 0 0 0 0,745 -0,73 -0,73 300 341,183 -41,18 11 +1 0 -1,215 0 0 0 0 -0,73 0,745 -0,73 300 302,443 -2,443 12 +1 0 +1,215 0 0 0 0 -0,73 0,745 -0,73 260 256,161 3,839 13 +1 0 0 -1,215 0 0 0 -0,73 -0,73 0,745 320 290,085 29,915 14 +1 0 0 +1,215 0 0 0 -0,73 -0,73 0,745 240 268,519 -28,52 15 +1 0 0 0 0 0 0 -0,73 -0,73 -0,73 280 282,126 -2,126
  • 235.
    236 CHƯƠNG 6 Kếtquả tính toán các hệ số nêu trên Bảng 6.33. Bảng 6.33 b0 b1 b2 b3 b12 b13 b23 b1 2 b2 2 b3 2 302,7 9,8 -19,1 -8,9 37,5 -17,5 -65 32,1 -1.9 -1.9 Trong các hệ số trên sau khi đánh giá chỉ có các hệ dưới đây có ý nghĩa. Xác định lại hệ số b0 ta thu được (không cần xác định các hệ số còn lại do có tính trực giao): b0 b1 b2 b3 b12 b13 b23 b1 2 b2 2 b3 2 279,3 --- -19,1 --- 37,5 -17,5 -65 32,1 --- --- Thực hiện trên Minitab với số thí nghiệm ở tâm và α nhập vào như hộp thoại Hình 6.10. Hình 6.10
  • 236.
    QUY HOẠCH THỰCNGHIỆM BẬC 2 237 Response Surface Regression: Y versus x1, x2, x3 Ananysis of Variance Source DF Adj SS Adj MS F-Value P-Value Model 9 57868.3 6429.8 3.34 0.099 Linear 3 5882.9 1961.0 1.02 0.458 x1 1 1047.3 1047.3 0.54 0.494 x2 1 3973.0 3973.0 2.06 0.210 x3 1 862.6 862.6 0.45 0.533 Square 3 4485.4 1495.1 0.78 0.555 x1*x1 1 4454.1 4454.1 2.31 0.189 x2*x2 1 16.0 16.0 0.01 0.931 x3*x3 1 16.0 16.0 0.01 0.931 2-Way Interaction 3 47500.0 15833.3 8.23 0.022 x1*x2 1 11250.0 11250.0 5.84 0.060 x1*x3 1 2450.0 2450.0 1.27 0.310 x2*x3 1 33800.0 33800.0 17.56 0.009 Error 5 9625.1 1925.0 Total 14 67493.3 Model Summary S R-sq R-sq(adj) R-sq(pred) 43.8750 85.74% 60.07% 0.00% Coded Coefficients Term Coef SE Coef T-Value P-Value VIF Constant 282.1 28.9 9.77 0.000 x1 11.9 16.1 0.74 0.494 1.00 x2 -23.1 16.1 -1.44 0.210 1.00 x3 -10.8 16.1 -0.67 0.533 1.00 x1*x1 47.2 31.0 1.52 0.189 1.00 x2*x2 -2.8 31.0 -0.09 0.931 1.00 x3*x3 -2.8 31.0 -0.09 0.931 1.00 x1*x2 55.4 22.9 2.42 0.060 1.00 x1*x3 -25.8 22.9 -1.13 0.310 1.00 x2*x3 -96.0 22.9 -4.19 0.009 1.00 Regression Equation in coded Units Y = 282.1 + 9.8 x1 - 19.0 x2 - 8.9 x3 + 32.0 x1*x1 - 1.9 x2*x2 - 1.9 x3*x3 + 37.5 x1*x2 - 17.5 x1*x3 - 65.0 x2*x3
  • 237.
    238 CHƯƠNG 6 6.5.QUY HOẠCH ĐỐI XỨNG KHÔNG HỖN HỢP BOX–BEHNKEN Quy hoạch Box-Behnken là QHTN bậc 2 độc lập không chứa các quy hoạch TNT hoặc TNR, có nghĩa không là quy hoạch hỗn hợp. Các điểm thí nghiệm là điểm giữa các cạnh của không gian quy hoạch và tại điểm tâm (Hình 6.11). Quy hoạch Box-Behnken có tính chất đối xứng, nhưng không trực giao. Do đó khi loại bỏ các hệ số phương trình hồi quy không ý nghĩa thì ta cần phải tính lại các hệ số còn lại. Hình 6.11 Bố trí các điểm thí nghiệm quy hoạch Box - Behnken 3 nhân tố Quy hoạch Box – Behnken biểu diễn dạng block, với 3, 4, 5 nhân tố có dạng như Hình 6.12. Hình 6.12 Quy hoạch Box – Behnken với: a) 3 nhân tố, b) 4 nhân tố và c) 5 nhân tố
  • 238.
    QUY HOẠCH THỰCNGHIỆM BẬC 2 239 Tại mỗi hàng tại vị trí các điểm sao * là thực nghiệm nhân tố toàn phần với các nhân tố có điểm *, các nhân tố còn lại có giá trị bằng 0. Ví dụ trong trường hợp 4 nhân tố thì block với 4 thí nghiệm đầu tiên sẽ là (Hình 6.12b): N x1 x2 x3 x4 1 2 3 4 -1 +1 -1 +1 -1 -1 +1 +1 0 0 0 0 0 0 0 0 Tương tự block đầu tiên cho trường hợp 5 nhân tố (Hình 6.12c): N x1 x2 x3 x4 x5 1 2 3 4 -1 +1 -1 +1 -1 -1 +1 +1 0 0 0 0 0 0 0 0 0 0 0 0 Quy hoạch Box-Behnken trong trường hợp 4 và 7 nhân tố là quy hoạch bậc 2 quay đều (các điểm thí nghiệm cách đều tâm), còn trong các trường hợp còn lại gần giống như quay đều. Khi k = 3 ta có thể biến đổi quy hoạch Box-Behnken thành quay đều nếu thay ±1 thành ±p và ±q với p/q = ( 5 1)/ 2 1,62   ). Trên Bảng 6.34 và 6.35 trình bày các quy hoạch Box-Behnken với các nhân tố khác nhau. Bảng 6.34 Quy hoạch Box-Behnken với các nhân tố khác nhau với k = 3, 4 và 5 Số nhân tố k Ma trận quy hoạch Quy hoạch với các nhân tố ±1 Số thì nghiệm Hệ số độ không cầu Theo quy hoạch 2k Mức giá trị 0 Tổng cộng x1 x2 x3 x4 x5 3 ±1 0 ±1 0 ±1 ±1 0 0 0 ±1 ±1 0 22 12 3 15 0.38 4 ±1 0 ±1 0 0 ±1 0 ±1 0 0 ±1 ±1 0 0 0 ±1 0 ±1 0 ±1 0 0 ±1 ±1 0 ±1 0 0 22 24 3 27 0
  • 239.
    240 CHƯƠNG 6 5±1 0 0 ±1 0 0 ±1 0 ±1 0 0 ±1 0 ±1 0 0 ±1 0 0 0 ±1 0 0 ±1 0 ±1 0 ±1 0 ±1 0 0 0 0 ±1 0 0 ±1 0 ±1 0 0 ±1 0 0 0 ±1 0 ±1 0 0 ±1 ±1 0 0 22 40 6 46 0.17 Bảng 6.35 Khi k = 6, 7 Số nhân tố k Ma trận quy hoạch Quy hoạch với các nhân tố ±1 Số thí nghiệm Hệ số độ không cầu Theo quy hoạch 23 Mức giá trị 0 Tổng cộng x x1 x2 x3 x4 x5 x6 x7 6 ±1 0 0 ±1 0 ±1 0 ±1 ±1 0 0 ±1 0 0 0 ±1 ±1 0 0 ±1 0 ±1 0 ±1 ±1 0 0 0 0 ±1 0 ±1 ±1 0 0 0 0 ±1 0 ±1 ±1 0 23 48 6 54 0.23 7 0 ±1 0 ±1 0 ±1 0 0 0 0 ±1 ±1 0 0 ±1 0 0 0 0 0 ±1 ±1 ±1 0 ±1 0 0 ±1 ±1 0 0 0 ±1 0 ±1 0 0 ±1 0 0 ±1 ±1 0 0 0 0 ±1 0 0 ±1 ±1 0 ±1 0 0 0 23 56 6 62 0 Để tính các hệ số phương trình hồi quy, ta sử dụng các công thức tổng quát như quy hoạch dạng FCCCD công thức (6.6), hoặc theo công thức (6.22) với các giá trị ci được hiệu chỉnh như Bảng 6.36.
  • 240.
    QUY HOẠCH THỰCNGHIỆM BẬC 2 241 Bảng 6.36 Các hệ số ci theo quy hoạch Box-Behnken Hệ số ci Số nhân tố 3 4 5 6 7 c1 0,33333 0,33333 0,16667 0,16667 0,16667 c2 0,16667 0,16667 0,08333 0,05556 0,05556 c3 0,12500 0,08333 0,06250 0,04167 0,04167 c4 0,25000 0,25000 0,25000 0,12500 0,12500 c5 0,25000 0,12500 0,08333 0,08333 0,06250 c6 0,02083 0,06250 0,03125 0,01389 0,01157 c7 0,57735 0,57735 0,40825 0,40825 0,40825 c8 0,35355 0,28867 0,25000 0,20413 0,20413 c9 0,50000 0,50000 0,50000 0,35355 0,35355 c10 0,52041 0,43301 0,33850 0,31180 0,27216 Số thí nghiệm N quy hoạch Box-Behnken và so sánh các dạng quy hoạch bậc 2 khác với các số nhân tố khác nhau tham khảo Bảng 6.57. Ví dụ 6.10 Sử dụng phương pháp quy hoạch Box- Behnken nghên cứu độ bền kéo mối hàn phụ thuộc và ba nhân tố có giá trị trong Bảng 6.37 với 3 thí nghiệm ở tâm. Ma trận quy hoạch và kết quả trong Bảng 6.38. Bảng 6.37 Các thông số và mức thí nghiệm STT Nhân tố Ký hiệu Mức giá trị Khoảng thay đổi Tự nhiên Mã hóa Dưới, -1 Cơ sở, 0 Trên, 1 1 Số vòng quay (r/min) n x1 800 1000 1200 200 2 Tốc độ hàn (mm/min) v x2 50 100 150 50 3 Chiều sâu xâm nhập vai (mm) h x3 0,1 0,15 0,2 0,05
  • 241.
    242 CHƯƠNG 6 Bảng6.38 Bảng thông số hàn và kết quả kiểm tra các mối hàn nhôm dày 3mm, thông số đầu ra là độ bền kéo N Nhân tố mã hóa Nhân tố tự nhiên Kết quả Kết quả PTHQ y Số vòng quay (r/min) Vận tốc hàn (mm/min) Chiều sâu ép (mm) Kết quả thí nghiệm 1 Kết quả thí nghiệm 2 Kết quả thí nghiệm 3 Giá trị trung bình x1 x2 x3 n v h y1 y2 y3 y tb 1 -1 -1 0 800 50 0,15 195 196,2 196,8 196 198,037 2 +1 -1 0 1200 50 0,15 207,5 204,3 205,5 205,7 203,387 3 -1 +1 0 800 150 0,15 199,3 195 201,2 198,5 200,003 4 +1 +1 0 1200 150 0,15 216,92 220,4 223,28 220,2 217,287 5 -1 0 -1 800 100 0,1 197,7 198,3 201,9 199,3 198,755 6 +1 0 -1 1200 100 0,1 202,5 201,4 198,2 200,7 204,572 7 -1 0 +1 800 100 0,2 195,3 200,2 197,9 197,8 194,805 8 +1 0 +1 1200 100 0,2 208,5 209,3 212,8 210,2 211,622 9 0 -1 -1 1000 50 0,1 204,2 203,7 209,2 205,7 203,770 10 0 +1 -1 1000 150 0,1 222,2 228,4 225,3 225,3 223,903 11 0 -1 +1 1000 50 0,2 218,5 216,2 216,3 217 217,520 12 0 +1 +1 1000 150 0,2 211,3 210,9 214,4 212,2 213,253 13 0 0 0 1000 100 0,15 214,8 215,9 215,8 215,5 216,851 14 0 0 0 1000 100 0,15 217,1 218,7 214,9 216,9 216,851 15 0 0 0 1000 100 0,15 215,3 216,4 217,5 216,4 216,851 Kết quả tính trên Minitab (Tham khảo Mục 6.11): Khi sử dụng quy hoạch Box – Behnken, chọn các nút tương ứng các hộp thoại trên Hình 6.13. Hình 6.13
  • 242.
    QUY HOẠCH THỰCNGHIỆM BẬC 2 243 Box- Behnken Factors: 3 Replicates: 3 Base runs: 15 Total runs: 45 Base blocks: 1 Total blocks: 1 Center points: 9 Response Surface Regression: Y versus x1, x2, x3 Analysis of Variance Source DF Adj SS Adj MS F-Value P-Value Model 9 3486.73 387.41 44.19 0.000 Linear 3 1160.44 386.81 44.13 0.000 x1 1 768.40 768.40 87.66 0.000 x2 1 377.63 377.63 43.08 0.000 x3 1 14.42 14.42 1.64 0.208 Square 3 1682.22 560.74 63.97 0.000 x1*x1 1 1621.77 1621.77 185.00 0.000 x2*x2 1 10.00 10.00 1.14 0.293 x3*x3 1 52.00 52.00 5.93 0.020 2-Way Interaction 3 644.07 214.69 24.49 0.000 x1*x2 1 106.80 106.80 12.18 0.001 x1*x3 1 90.75 90.75 10.35 0.003 x2*x3 1 446.52 446.52 50.94 0.000 Error 35 306.81 8.77 Lack-of-Fit 3 154.76 51.59 10.86 0.000 Pure Error 32 152.05 4.75 Total 44 3793.55 Model Summary S R-sq R-sq(adj) R-sq(pred) 2.96077 91.91% 89.83% 85.80% Coded Coefficients Term Coef SE Coef T-Value P-Value VIF Constant 216.267 0.987 219.13 0.000 x1 5.658 0.604 9.36 0.000 1.00 x2 3.967 0.604 6.56 0.000 1.00 x3 0.775 0.604 1.28 0.208 1.00 x1*x1 -12.100 0.890 -13.60 0.000 1.01 x2*x2 0.950 0.890 1.07 0.293 1.01 x3*x3 -2.167 0.890 -2.44 0.020 1.01 x1*x2 2.983 0.855 3.49 0.001 1.00 x1*x3 2.750 0.855 3.22 0.003 1.00 x2*x3 -6.100 0.855 -7.14 0.000 1.00 Regression Equation in Uncoded Units Y = 216.267 + 5.658 x1 + 3.967 x2 + 0.775 x3 - 12.100 x1*x1 + 0.950 x2*x2 - 2.167 x3*x3 + 2.983 x1*x2 + 2.750 x1*x3 - 6.100 x2*x3
  • 243.
    244 CHƯƠNG 6 CoutourPlots of Y A 1000 B 100 C 0.15 Hold Values B*A 1200 1100 1000 900 800 150 125 100 75 50 C*A 1200 1100 1000 900 800 0.20 0.16 0.12 C*B 150 125 100 75 50 0.20 0.16 0.12 > – – – – – < 195 195 200 200 205 205 210 210 215 215 220 220 Y Contour Plots of Y Hình 6.14 Optimization plot Hình 6.15 Ví dụ 6.11 Sử dụng quy hoạch Box-Behnken để tiến hành thực nghiệm phụ thuộc độ rắn bề mặt vật liệu (đo bằng phương pháp Vicker vào nhiệt độ: tôi (X1), ram (X2), ram ổn định (X3), thấm nitơ (X4). Bảng 6.39 STT Nhân tố Ký hiệu Mức giá trị Khoảng thay đổi Tự nhiên Mã hóa Dưới, - 1 Cơ sở, 0 Trên, 1 1 Nhiệt độ tôi (0 C) T1 x1 870 900 930 30 2 Nhiệt độ ram (0 C) T2 x2 630 650 670 20 3 Nhiệt độ ram ổn định (0 C) T3 x3 550 570 590 20 4 Nhiệt độ thấm ni tơ (0 C) T4 x4 480 500 520 20
  • 244.
    QUY HOẠCH THỰCNGHIỆM BẬC 2 245 Ma trận quy hoạch và kết quả thực nghiệm cho trong Bảng 6.40. Bảng 6.40 Bảng quy hoạch và kết quả thực nghiệm N x0 x1 x2 x3 x4 x1x2 x1x3 x1x4 x2x3 x2x4 x3x4 x1 2 x2 2 x3 2 x4 2 Y (HV) KQ PTHQ Resit 1 +1 -1 -1 0 0 +1 0 0 0 0 0 +1 +1 0 0 847 843,000 4,0000 2 +1 +1 -1 0 0 -1 0 0 0 0 0 +1 +1 0 0 903 884,500 18,5000 3 +1 -1 +1 0 0 -1 0 0 0 0 0 +1 +1 0 0 842 837,833 4,1667 4 +1 +1 +1 0 0 +1 0 0 0 0 0 +1 +1 0 0 861 842,333 18,6667 5 +1 0 0 -1 -1 0 0 0 0 0 +1 0 0 +1 +1 857 846,333 10,6667 6 +1 0 0 +1 -1 0 0 0 0 0 -1 0 0 +1 +1 904 912,167 -8,1667 7 +1 0 0 -1 +1 0 0 0 0 0 -1 0 0 +1 +1 881 850,167 30,8333 8 +1 0 0 +1 +1 0 0 0 0 0 +1 0 0 +1 +1 825 813,000 12,0000 9 +1 -1 0 0 -1 0 0 +1 0 0 0 +1 0 0 +1 894 884,250 9,7500 10 +1 +1 0 0 -1 0 0 -1 0 0 0 +1 0 0 +1 887 896,250 -9,2500 11 +1 -1 0 0 +1 0 0 -1 0 0 0 +1 0 0 +1 810 825,583 -15,5833 12 +1 +1 0 0 +1 0 0 +1 0 0 0 +1 0 0 +1 825 859,583 -34,5833 13 +1 0 -1 -1 0 0 0 0 +1 0 0 0 +1 +1 0 823 836,083 -13,0833 14 +1 0 +1 -1 0 0 0 0 -1 0 0 0 +1 +1 0 808 831,417 -23,4167 15 +1 0 -1 +1 0 0 0 0 -1 0 0 0 +1 +1 0 868 869,417 -1,4167 16 +1 0 +1 +1 0 0 0 0 +1 0 0 0 +1 +1 0 815 826,750 -11,7500 17 +1 -1 0 -1 0 0 +1 0 0 0 0 +1 0 +1 0 820 824,750 -4,7500 18 +1 +1 0 -1 0 0 -1 0 0 0 0 +1 0 +1 0 880 880,250 -0,2500 19 +1 -1 0 +1 0 0 -1 0 0 0 0 +1 0 +1 0 874 871,583 2,4167 20 +1 +1 0 +1 0 0 +1 0 0 0 0 +1 0 +1 0 869 862,083 6,9167 21 +1 0 -1 0 -1 0 0 0 0 +1 0 0 +1 0 +1 861 867,583 -6,5833 22 +1 0 +1 0 -1 0 0 0 0 -1 0 0 +1 0 +1 879 875,417 3,5833 23 +1 0 -1 0 +1 0 0 0 0 -1 0 0 +1 0 +1 850 851,417 -1,4167 24 +1 0 +1 0 +1 0 0 0 0 +1 0 0 +1 0 +1 805 796,250 8,7500 25 +1 0 0 0 0 0 0 0 0 0 0 0 0 0 0 907 915,000 -8,0000 26 +1 0 0 0 0 0 0 0 0 0 0 0 0 0 0 928 915,000 13,0000 27 +1 0 0 0 0 0 0 0 0 0 0 0 0 0 0 910 915,000 -5,0000
  • 245.
    246 CHƯƠNG 6 Xácđịnh các hệ số phương trình hồi quy Tính toán hệ số phương trình hồi quy ta thu giá trị các hệ số như sau: b0 = 914,8; b1 = 11,5; b2 = -11,8; b3 = 7,2; b4 = -23,8 b12 = -9,3; b13 = -16,3; b14 = 5,5; b23 = -9,5; b24 = -15,8 b34 = -25,8; b11 = -22,2; b22 = -41,0; b33 = -33,2; b44 = -26,5 Từ n = 3 thí nghiệm lặp ở tâm ta thu đươc phương sai tái hiện s2 {y} = 129 với bậc tự do f1 = n – 1 = 2. Sau đó tính toán các giá trị phương sai hệ số phương trình hồi quy Sbi 2 : 2 0 0 i i 2 2 ij ij ii ii 0 ii ii jj s{b } 43; s{b } 6,56;s {b } 10,75; s{b } 3,28 s {b } 32,25; s{b } 5,68; s {b } 24,19; s{b } 4,92 covb b 21,5; covb b 8,06            Khoảng tin cậy để đánh giá các hệ số phương trình hồi quy với mức ý nghĩa 5 % (α = 0,05; f1 = 2; t0,05; 2 = 4,3): Δb0 = 28,21; Δbi = 14,1; Δbij = 24,42; Δbii = 21,16. Từ đây suy ra các hệ số b0, b4, b11, b22, b33, b44, b34 là có nghĩa. Các hệ số còn lại là không ý nghĩa nên ta có thể bỏ qua. Khi đó phương trình hồi quy có dạng: 2 2 2 2 4 3 4 1 2 3 4 y 914,8 23,8x 25,8x x 22,2x 41x 33,2x 26,5x        Với các giá trị x1, x2, x3 và x4 được mã hoá. 3 1 2 4 1 2 3 4 X 570 X 900 X 650 X 500 x ; x ; x ; x 30 20 20 20         Do quy hoạch Box-Behnken không trực giao nên cần phải xác định lại các hệ số, nhưng trong trường hợp này có sự thay đổi không đáng kể nên ta bỏ qua. Tiếp theo ta xác định tính tương thích phương trình hồi quy. Xác định tổng bình phương, đặc trưng tương thích mô hình Sth:     N 1 j 2 j j th ) y y ( S  = 3(914,8 - 915)2 +10404,42 = 10404,54 và f2 = N – p = 27 – 7 = 20. Từ đây suy ra: th th 2 th f S s  = 10404,54 / 20 = 520,23. khi
  • 246.
    QUY HOẠCH THỰCNGHIỆM BẬC 2 247 đó } y { s s F 2 2 th tt  = 520,23 / 129 = 4,03. Giá trị tra bảng Fb theo tiêu chuẩn Fisher F0,05;20;2 = 19,45 có giá trị rất lớn so với Ftt nên phương trình hồi quy thu được tương thích để mô tả được hiện tượng trên. Kết quả trên Minitab: Box-Behnken Design Factors: 4 Replicates: 1 Base runs: 27 Total runs: 27 Base blocks: 1 Total blocks: 1 Center points: 3 Response Surface Regression: HV versus x1, x2, x3, x4 Analysis of Variance Source DF Adj SS Adj MS F-Value P-Value Model 14 27869.4 1990.7 4.83 0.005 Linear 4 10700.0 2675.0 6.49 0.005 x1 1 1587.0 1587.0 3.85 0.073 x2 1 1680.3 1680.3 4.08 0.066 x3 1 616.3 616.3 1.49 0.245 x4 1 6816.3 6816.3 16.53 0.002 Square 4 11644.4 2911.1 7.06 0.004 x1*x1 1 2620.6 2620.6 6.36 0.027 x2*x2 1 8928.9 8928.9 21.66 0.001 x3*x3 1 5866.8 5866.8 14.23 0.003 x4*x4 1 3721.8 3721.8 9.03 0.011 2-Way Interaction 6 5525.0 920.8 2.23 0.111 x1*x2 1 342.2 342.2 0.83 0.380 x1*x3 1 1056.3 1056.3 2.56 0.135 x1*x4 1 121.0 121.0 0.29 0.598 x2*x3 1 361.0 361.0 0.88 0.368 x2*x4 1 992.2 992.2 2.41 0.147 x3*x4 1 2652.2 2652.2 6.43 0.026 Error 12 4947.3 412.3 Lack-of-Fit 10 4689.3 468.9 3.64 0.235 Pure Error 2 258.0 129.0 Total 26 32816.7 Model Summary S R-sq R-sq(adj) R-sq(pred) 20.3046 84.92% 67.34% 15.92% Coded Coefficients Term Coef SE Coef T-Value P-Value VIF Constant 915.0 11.7 78.05 0.000 x1 11.50 5.86 1.96 0.073 1.00 x2 -11.83 5.86 -2.02 0.066 1.00 x3 7.17 5.86 1.22 0.245 1.00 x4 -23.83 5.86 -4.07 0.002 1.00 x1*x1 -22.17 8.79 -2.52 0.027 1.25
  • 247.
    248 CHƯƠNG 6 x2*x2-40.92 8.79 -4.65 0.001 1.25 x3*x3 -33.17 8.79 -3.77 0.003 1.25 x4*x4 -26.42 8.79 -3.00 0.011 1.25 x1*x2 -9.2 10.2 -0.91 0.380 1.00 x1*x3 -16.2 10.2 -1.60 0.135 1.00 x1*x4 5.5 10.2 0.54 0.598 1.00 x2*x3 -9.5 10.2 -0.94 0.368 1.00 x2*x4 -15.7 10.2 -1.55 0.147 1.00 x3*x4 -25.7 10.2 -2.54 0.026 1.00 Regression Equation in coded Units HV = 915.0 + 11.50 x1 - 11.83 x2 + 7.17 x3 - 23.83 x4 - 22.17 x1*x1 - 40.92 x2*x2 - 33.17 x3*x3 - 26.42 x4*x4 - 9.2 x1*x2 - 16.2 x1*x3 + 5.5 x1*x4 - 9.5 x2*x3 - 15.7 x2*x4 - 25.7 x3*x4 Sau khi loại bỏ các hệ số không ý nghĩa: Model Summary S R-sq R-sq(adj) R-sq(pred) 19.6156 82.41% 69.52% 44.53% Regression Equation in coded Units HV = 915.0 + 11.50 x1 - 11.83 x2 + 7.17 x3 - 23.83 x4 - 22.17 x1*x1 - 40.92 x2*x2 - 33.17 x3*x3 - 26.42 x4*x4 - 16.25 x1*x3 - 15.75 x2*x4 - 25.75 x3*x4 x1 0 x2 0 x3 0 x4 0 Hold Values x2*x1 1 0 -1 1.0 0.5 0.0 -0.5 -1.0 x3*x1 1 0 -1 1.0 0.5 0.0 -0.5 -1.0 x4*x1 1 0 -1 1.0 0.5 0.0 -0.5 -1.0 x3*x2 1 0 -1 1.0 0.5 0.0 -0.5 -1.0 x4*x2 1 0 -1 1.0 0.5 0.0 -0.5 -1.0 x4*x3 1 0 -1 1.0 0.5 0.0 -0.5 -1.0 > – – – – – – < 800 800 820 820 840 840 860 860 880 880 900 900 920 920 HV Contour Plots of HV Hình 6.16
  • 248.
    QUY HOẠCH THỰCNGHIỆM BẬC 2 249 Hình 6.17 6.6. QUY HOẠCH ĐỐI XỨNG KHÔNG HỖN HỢP DẠNG D Các quy hoạch quay đều và trực giao được sử dụng rộng rãi, tuy nhiên chúng có nhiều nhược điểm: - Thứ nhất: không gian được phân bổ cho thực nghiệm không được sử dụng đầy đủ như các điểm giữa cạnh và mặt của một khối đa diện; trong miền thay đổi giới hạn các nhân tố không được lấp đầy, vì thí nghiệm được quy hoạch các điểm trên mặt cầu. - Thứ hai: với sự gia tăng kích thước miền thay đổi các nhân tố, thể tích tương đối của miền thay đổi các nhân tố không sử dụng tăng lên, dẫn đến mất độ chính xác của thực nghiệm trong khu vực này. - Thứ ba: khi sử dụng các phương pháp trực giao hiệu quả chỉ là tối ưu xử lý kết quả thực nghiệm. - Thứ tư: việc thực hiện quy hoạch quay đều hoặc trực giao tốn khá nhiều thời gian và công sức do thực hiện số lượng lớn các thí nghiệm ở tâm. Rõ ràng, đối với trường hợp miền thay đổi 3 mức giá trị (nằm trên các cạnh và mặt khối đa diện đều) thì các phương pháp quay đều hoặc trực giao số thí nghiệm ở tâm lớn. Gần đây, những phát triển trong lý thuyết QHTN đã đưa ra một số dạng quy hoạch mới. Trong số đó, dễ tiếp cận nhất để sử dụng trong thực tế là quy hoạch D - tối ưu. Quy hoạch này được phát triển bởi nhà toán học người Mỹ Kiefer. Ưu điểm chính của các kế hoạch tối ưu là chúng giảm tối thiểu phương sai tổng quát hoặc thể tích của ellipsoid, xác định miền phân tán khi đánh giá các hệ số phương trình hồi quy. Ngoài ra, quy hoạch D - tối ưu giảm tối thiểu phương sai lớn nhất trong một miền quy hoạch cho trước. Hiệu quả của các quy hoạch D – tối ưu của Kiefer được xác định bởi sự sắp xếp tối ưu các thí nghiệm trong không gian thay đổi các nhân tố.
  • 249.
    250 CHƯƠNG 6 Nếucác quy hoạch quay đều hoặc trực giao được dựa trên cách tiếp cận trực quan theo kinh nghiệm, thì quy hoạch D - tối ưu của Kiefer là sự phát triển logic của các ý tưởng về thống kê toán học. Theo quan điểm thực nghiệm, quy hoạch D - tối ưu lợi ích hơn do các nhân tố được thay đổi ở ba mức giá trị (-1, 0, +1) thay vì năm mức giá trị (-, -1, 0, +1, +) đối với quy hoạch quay đều hoặc trực giao. Do đó các quy hoạch hỗn hợp trong một số trường hợp có một số nhược điểm và ít hiệu quả trong thực nghiệm 2 giai đoạn. Trong các trường hợp này ta sử dụng quy hoạch dạng D – tối ưu thực hiện thực nghiệm một giai đoạn với tập hợp các số lượng và mức thí nghiệm cho trong Bảng 6.41. Bảng 6.41 Số nhân tố Block Nhóm Nhân tố có giá trị 0 Nhân tố có giá trị ±1 Thực nghiệm nhân tố toàn phần hoặc riêng phần Số lần lặp lại Số thí nghiệm trong nhóm 2 1 - x1, x2 22 1 4 2 x2 x1 21 1 2 3 x1 x2 21 1 2 ở tâm 1 Tổng cộng 9 3 1 x3 x1, x2 22 1 4 2 x2 x1, x3 22 1 4 3 x1 x2, x3 22 1 4 ở tâm 1 Tổng cộng 13 4 1 - x1, x2 x3, x4 24-1 1 = x1x2 x3x4 1 8 2 x1 x2, x3, x4 23 1 8 3 x2 x1, x3, x4 23 1 8 4 x3 x1, x2, x4 23 1 8 5 x4 x1, x2, x3 23-1 1 = -x1x2 x3 2 8 ở tâm 2 Tổng cộng 42 5 1 - x1, x2, x3, x4, x5 25-2 1 = x1x3x4 = x2x3 x5 = x1x2x4x5 1 8
  • 250.
    QUY HOẠCH THỰCNGHIỆM BẬC 2 251 2 x1 x2, x3, x4, x5 24-1 1 = x3x4x5 1 8 3 x2 x1, x3, x4, x5 24-1 1 = -x3x4x5 1 8 4 x3 x1, x2, x4, x5 24-1 1 = -x1x2x4x5 1 8 5 x4 x1, x2, x3, x5 24-1 1 = -x2x3 x5 1 8 6 x5 x1, x2, x3, x4 24-1 1 = -x1x3 x4 1 8 ở tâm 2 Tổng cộng 50 6 1 - x1, x2, x3, x4, x5,x6 26-2 1 = -x1x2x5x6 = -x2x3x4x6 = x1x3x4x6 1 16 2 x1 x2, x3, x4, x5, x6 25-2 1 = x3x5x6= = x2x4x5= = x2x3x4x6= 1 8 3 x2 x1, x3, x4, x5, x6 25-2 1 = -x3x5x6 = x1x4x6= = -x1x3x4x5 1 8 4 x3 x1, x2, x4, x5, x6 25-2 1 = -x2x4x5 = -x1x4x6 = x1x2x5x6 1 8 5 x4 x1, x2, x3, x5, x6 25-2 1 = -x1x3x4 = -x2x3x6 = x1x2x5x6 1 8 6 x5 x1, x2, x3, x4, x6 25-2 1 = x1x2x4 = x1x3x6 = x2x3x4x6 1 8 7 x6 x1, x2, x3, x4, x5 25-2 1 = -x1x2x4 = x2x3 x5 = -x1x2x4x5 1 8 ở tâm 2 Tổng cộng 66
  • 251.
    252 CHƯƠNG 6 Trườnghợp 2 nhân tố (tương tự FCCCD - quy hoạch) ma trận quy hoạch có dạng như Bảng 6.42. Bảng 6.42 N x0 x1 x2 x1x2 x1 2 x2 2 1 2 3 4 +1 +1 +1 +1 +1 -1 +1 -1 +1 +1 -1 -1 +1 -1 -1 +1 1 1 1 1 1 1 1 1 5 6 +1 +1 0 0 +1 -1 0 0 0 0 1 1 7 8 +1 +1 +1 -1 0 0 0 0 1 1 0 0 9 +1 0 0 0 0 0 Trường hợp 3 nhân tố (Hình 6.18) Ma trận quy hoạch có dạng như Bảng 6.43 (tương tự Box – Behnken). Hình 6.18 Vị trí các điểm thí nghiệm trường hợp 3 nhân tố
  • 252.
    QUY HOẠCH THỰCNGHIỆM BẬC 2 253 Bảng 6.43 Ma trận quy hoạch với ba nhân tố (tương tự Box- Benhken với n0 =1) N Nhân tố Tương tác đôi và bậc 2 Kết quả x0 x1 x2 x3 x1x2 x1x3 x2x3 x1 2 x2 2 x3 2 y1i y2i yni 1 2 3 4 +1 +1 +1 +1 -1 +1 -1 +1 -1 -1 +1 +1 0 0 0 0 +1 -1 -1 +1 0 0 0 0 0 0 0 0 1 1 1 1 1 1 1 1 0 0 0 0 5 6 7 8 +1 +1 +1 +1 -1 +1 -1 +1 0 0 0 0 -1 -1 +1 +1 0 0 0 0 +1 -1 -1 +1 0 0 0 0 1 1 1 1 0 0 0 0 1 1 1 1 9 10 11 12 +1 +1 +1 +1 0 0 0 0 -1 +1 -1 +1 -1 -1 +1 +1 0 0 0 0 0 0 0 0 +1 -1 -1 +1 0 0 0 0 1 1 1 1 1 1 1 1 13 +1 0 0 0 0 0 0 0 0 0 Trường hợp 4 nhân tố Ma trận quy hoạch có dạng như Bảng 6.44 Bảng 6.44 Ma trận quy hoạch với 4 nhân tố N Nhân tố Tương tác đôi và bậc 2 Kết quả x0 x1 x2 x3 x4 x1x2 x1x3 . x3x4 x1 2 x2 2 x3 2 x4 2 y1i y2i yni 1 2 3 4 +1 +1 +1 +1 -1 +1 -1 +1 -1 -1 +1 +1 -1 -1 -1 -1 -1 1 1 -1 +1 -1 -1 +1 0 0 0 0 1 -1 -1 1 1 1 1 1 1 1 1 1 1 1 1 1 1 1 1 1 5 6 7 8 +1 +1 +1 +1 -1 +1 -1 +1 -1 -1 +1 +1 1 1 1 1 1 -1 -1 1 1 -1 -1 1 -1 1 -1 1 1 -1 -1 1 1 1 1 1 1 1 1 1 1 1 1 1 1 1 1 1 9 10 11 12 +1 +1 +1 +1 0 0 0 0 -1 +1 -1 +1 -1 -1 +1 +1 -1 -1 -1 -1 0 0 0 0 +1 -1 -1 +1 1 1 -1 -1 0 0 0 0 1 1 1 1 1 1 1 1 1 1 1 1
  • 253.
    254 CHƯƠNG 6 13 14 15 16 +1 +1 +1 +1 0 0 0 0 -1 +1 -1 +1 -1 -1 +1 +1 1 1 1 1 0 0 0 0 0 0 0 0 -1 -1 1 1 0 0 0 0 1 1 1 1 1 1 1 1 1 1 1 1 17 18 19 20 +1 +1 +1 +1 -1 +1 -1 +1 0 0 0 0 -1 -1 +1 +1 -1 -1 -1 -1 0 0 0 0 0 0 0 0 1 1 -1 -1 1 1 1 1 0 0 0 0 1 1 1 1 1 1 1 1 21 22 23 24 +1 +1 +1 +1 -1 +1 -1 +1 0 0 0 0 -1 -1 +1 +1 1 1 1 1 0 0 0 0 1 -1 -1 1 -1 -1 1 1 1 1 1 1 0 0 0 0 1 1 1 1 1 1 1 1 25 26 27 28 +1 +1 +1 +1 -1 +1 -1 +1 -1 -1 +1 +1 0 0 0 0 -1 -1 -1 -1 1 -1 -1 1 0 0 0 0 0 0 0 0 1 1 1 1 1 1 1 1 0 0 0 0 1 1 1 1 29 30 31 32 +1 +1 +1 +1 -1 +1 -1 +1 -1 -1 +1 +1 0 0 0 0 1 1 1 1 1 -1 -1 1 0 0 0 0 0 0 0 0 1 1 1 1 1 1 1 1 0 0 0 0 1 1 1 1 33 34 35 36 +1 +1 +1 +1 -1 +1 -1 +1 -1 -1 +1 +1 -1 1 1 -1 0 0 0 0 1 -1 -1 1 1 1 -1 -1 0 0 0 0 1 1 1 1 1 1 1 1 1 1 1 1 0 0 0 0 37 38 39 40 +1 +1 +1 +1 -1 +1 -1 +1 -1 -1 +1 +1 -1 1 1 -1 0 0 0 0 1 -1 -1 1 1 1 -1 -1 0 0 0 0 1 1 1 1 1 1 1 1 1 1 1 1 0 0 0 0 41 42 +1 +1 0 0 0 0 0 0 0 0 0 0 0 0 0 0 0 0 0 0 0 0 0 0 Đểtính các hệ số phương trình hồi quy, ta sử dụng các công thức tổng quát như quy hoạch dạng FCCCD (công thức 6.6), hoặc theo công thức (6.22) với các giá trị ci được hiệu chỉnh như Bảng 6.45 hoặc 6.46.
  • 254.
    QUY HOẠCH THỰCNGHIỆM BẬC 2 255 Bảng 6.45 Các hằng số để xác định các hệ số phương trình hồi quy k c1 c2 c3 c4 c5 2 3 4 5 6 7 0,52941 1,00000 0,38235 0,42000 0,41111 0,25000 0,29412 0,50000 0,11765 0,10000 0,07778 0,04167 0,10000 0,12500 0,03125 0,02500 0,01786 0,01042 0,12500 0,25000 0,04167 0,03125 0,02083 0,01250 0,5000 0,2500 0,1250 0,1250 0,1250 0,0625 k c6 c7 c8 c9 c10 2 3 4 5 6 7 -0,05882 0,18750 0,00735 0 -0,00556 -0,00174 0,72761 1,00000 0,61834 0,64807 0,64118 0,50000 0,31623 0,35355 0,17678 0,58811 0,13364 0,10208 0,35355 0,50000 0,20413 0,17678 0,14433 0,11180 0,66421 0,66144 0,36380 0,35355 0,34560 0,24650 Các hằng số ci phụ thuộc k có thể biểu diễn dạng Bảng 6.46. Bảng 6.46 Hệ số ci Số nhân tố 2 3 4 5 6 7 c1 0,52941 1 0,38235 0,42 0,41111 0,25 c2 0,29412 0,5 0,11765 0,1 0,07778 0,04167 c3 0,1 0,125 0,03125 0,025 0,01786 0,01042 c4 0,125 0,25 0,04167 0,03125 0,02083 0,0125 c5 0,5 0,25 0,125 0,125 0,125 0,0625 c6 -0,05882 0,1875 0,00735 0 -0,00556 -0,00174 c7 0,72761 1 0,61834 0,64807 0,64118 0,5 c8 0,31623 0,35355 0,17678 0,58811 0,13364 0,10208 c9 0,35355 0,5 0,20413 0,17678 0,14433 0,1118 c10 0,66421 0,66144 0,3638 0,35355 0,3456 0,2465 Ví dụ 6.12 Nghiên cứu ảnh hưởng độ bền mòn khuôn dập (số sản phẩm dập đến khi khuôn bị mòn) vào các thành phần Carbon C (%), Silic Si (%) và Photpho P (%) trong vật liệu khuôn.s
  • 255.
    256 CHƯƠNG 6 Bảng6.47 N Nhân tố Ký hiệu Mức giá trị Khoảng thay đổi Tự nhiên Mã hóa Dưới, - 1 Cơ sở, 0 Trên, 1 1 Thành phần Carbon (%) C x1 3,3 3,5 3,7 0,2 2 Thành phần Silic (%) Si x2 1,8 2,0 2,2 0,2 3 Thành phần Phốt pho (%) P x3 0,1 0,2 0,3 0,1 Ma trận quy hoạch và kết quả thí nghiệm cho trong Bảng 6.48. Bảng 6.48 N Nhân tố Tương tác đôi và bậc 2 Kết quả x0 x1 x2 x3 x1x2 x1x3 x2x3 x1 2 x2 2 x3 2 Số SP y Y từ PTHQ1 Resi1 Y từ PTHQ2 Resi2 1 2 3 4 +1 +1 +1 +1 -1 +1 -1 +1 -1 -1 +1 +1 0 0 0 0 +1 -1 -1 +1 0 0 0 0 0 0 0 0 1 1 1 1 1 1 1 1 0 0 0 0 800 950 500 600 781,25 956,25 493,75 618,75 18,75 -6,25 6,25 -18,75 793,75 943,75 481,25 631,25 6,25 6,25 18,75 -31,25 5 6 7 8 +1 +1 +1 +1 -1 +1 -1 +1 0 0 0 0 -1 -1 +1 +1 0 0 0 0 +1 -1 -1 +1 0 0 0 0 1 1 1 1 0 0 0 0 1 1 1 1 750 900 500 700 756,25 881,25 518,75 693,75 -6,25 18,75 -18,75 6,25 743,75 893,75 531,25 681,25 6,25 6,25 -31,25 18,75 9 10 11 12 +1 +1 +1 +1 0 0 0 0 -1 +1 -1 +1 -1 -1 +1 +1 0 0 0 0 0 0 0 0 +1 -1 -1 +1 0 0 0 0 1 1 1 1 1 1 1 1 1050 550 650 550 1062,50 550,00 650,00 537,50 -12,50 0,00 0,00 12,50 1062,50 550,00 650,00 537,50 -12,50 0,00 0,00 12,50 13 +1 0 0 0 0 0 0 0 0 0 850 850 0 850 0 Không có số thí nghiệm lặp trong mỗi thí nghiệm chính, phương sai tái hiện được xác định trong các thí nghiệm trước đó s2 {y} = 625 và f = 9. Tính toán hệ số phương trình hồi quy ta thu được các giá trị sau: b0 = 850; b1 = 75; b2 = -156,3; b3 = -106,3; b12 = -12,5 b13 = 12,5; b23 = 100; b11 = -62,5; b22 = -75; b33 = -75
  • 256.
    QUY HOẠCH THỰCNGHIỆM BẬC 2 257 Sau đó tính toán các giá trị phương sai hệ số phương trình hồi quy: ii jj 0 ii 2 2 2 0 0 i i ij 2 ij ii ii b b b b s {b } 625;s{b } 25;s {b } 78,13;s{b } 8,84;s {b } 156,25 s{b } 12,50; s {b } 273,44; s{b } 16,54 cov 312,5; cov 117,19            Khoảng tin cậy để đánh giá các hệ số phương trình hồi quy với mức ý nghĩa 5% (α = 0,05; f1 = 9; t0,05;9 = 2,26): Δb0 = 56,5; Δbi = 19,98; Δbij = 28,25; Δbii = 37,38. Từ đây suy ra các hệ số b12, b13 là không ý nghĩa nên ta có thể bỏ qua. Phương trình hồi quy lúc này có dạng: 2 2 2 1 2 3 2 3 1 2 3 y 850 75x 156,3x 106,3x 100x x 62,5x 75x 75x         Với các giá trị x1, x2 và x3 được mã hóa. 1 2 3 C 3,5 Si 2 P 0,2 x ; x ; x 0,2 0,2 0,1       Tiếp theo ta xác định tính tương thích phương trình hồi quy. Xác định tổng bình phương, đặc trưng tương thích mô hình Sth. Theo công thức:     N 1 j 2 j j th ) y y ( S  và f2 = 13 – 8 = 5 Từ đây suy ra: th th 2 th f S s  = 625,01, khi đó } y { s s F 2 2 th tt  = 625,01 1,01 625  Giá trị tra bảng Fb theo tiêu chuẩn Fisher F0,05;5;9 = 3,48 có giá trị rất lớn so với Ftt nên phương trình hồi quy thu được tương thích để mô tả được hiện tượng trên. Kết quả tính trên Minitab Khi số nhân tố là 2 ta thực hiện như phương pháp FCCCD, khi số nhân tố là 3 ta thực hiện như Box – Behnken, khi k  4 thì ta nhập ma trận quy hoạch và kết quả vào worksheet của Minitab, sau đó trên menu Stat, chọn DOE > Response Surface > Define Custom Response Surface Design (Hình 6.18).
  • 257.
    258 CHƯƠNG 6 Hình6.18 Và trên hộp thoại Define Custom Response Surface Design chọn các nhân tố, chọn nút Select và nhập các nhân tố vào danh mục Continuous Factors: Hình 6.19. Hình 6.19
  • 258.
    QUY HOẠCH THỰCNGHIỆM BẬC 2 259 Model Summary S R-sq R-sq(adj) R-sq(pred) 25 99.52% 98.09% * Coded Coefficients (A = x1; B = x2; C = x3) Term Coef SE Coef T-Value P-Value VIF Constant 850.0 25.0 34.00 0.000 A 75.00 8.84 8.49 0.003 1.00 B -156.25 8.84 -17.68 0.000 1.00 C -106.25 8.84 -12.02 0.001 1.00 A*A -62.5 16.5 -3.78 0.032 1.35 B*B -75.0 16.5 -4.54 0.020 1.35 C*C -75.0 16.5 -4.54 0.020 1.35 A*B -12.5 12.5 -1.00 0.391 1.00 A*C 12.5 12.5 1.00 0.391 1.00 B*C 100.0 12.5 8.00 0.004 1.00 Regression Equation in Uncoded Units Y = -25378 + 11812 A + 6813 B - 10250 C - 1562 A*A - 1875 B*B - 7500 C*C - 312 A*B + 625 A*C + 5000 B*C Kết quả Coutour Plots trên Hình 6.20. A 3.5 B 2 C 0.2 Hold Values B*A 3.7 3.6 3.5 3.4 3.3 2.2 2.1 2.0 1.9 1.8 C*A 3.7 3.6 3.5 3.4 3.3 0.28 0.24 0.20 0.16 0.12 C*B 2.2 2.1 2.0 1.9 1.8 0.28 0.24 0.20 0.16 0.12 > – – – – – < 500 500 600 600 700 700 800 800 900 900 1000 1000 Y Contour Plots of Y Hình 6.20
  • 259.
    260 CHƯƠNG 6 6.7.QUY HOẠCH THỰC NGHIỆM BẬC 2 DẠNG 3k (Full Factorial Array 3 Levels) Quy hoạch dạng 3k là QHTN nhân tố toàn phần với 3 mức giá trị: cao nhất (mức +1), thấp nhất (mức -1) và cơ sở (mức 0). Khi số nhân tố 2 hoặc 3 ta sử dụng quy hoạch nhân tố toàn phần 3k (Hình 6.21). Quy hoạch 3k bao gồm các điểm thí nghiệm chính tại giữa cạnh, tâm mặt, ở tâm khối và tại các đỉnh. a) 2 nhân tố (tương tự FCCCD) b) 3 nhân tố (kết hợp FCCCD + BBD) Hình 6.21 Các điểm thí nghiệm chính quy hoạch 3k Phương trình hồi quy QHTN bậc 2 có dạng tổng quát: k k k 2 0 i i ii i ij i j i 1 i 1 i j i, j 1 y b b x b x b x x            Số hệ số của phương trình hồi quy:        k(k 1) (k 1)(k 2) p 1 2k 2 2 Vì quy hoạch 3k với 3 mức giá trị có số thí nghiệm chính N lớn, do đó tốn nhiều thời gian và công sức. Trong quy hoạch 3 nhân tố sẽ phân tích rõ vấn đề này. Khi số nhân tố lớn ta sử dụng thực nghiệm riêng phần 3k-m , ví dụ trường hợp k = 4 và 5 nhân tố ta sử dụng quy hoạch 3k-1(2) , khi đó N = 33 = 27 thí nghiệm chính (tham khảo Bảng 7.11 Quy hoạch L27).
  • 260.
    QUY HOẠCH THỰCNGHIỆM BẬC 2 261 6.7.1. Quy hoạch thực nghiệm bậc 2 dạng 3k cho 2 nhân tố Các nhân tố ở ba mức giá trị +1, 0 và -1. Nếu thay đổi thứ tự các thí nghiệm thì 3k trường hợp k = 2 trùng với quy hoạch FCCCD với 1 thí nghiệm ở tâm (Hình 6.21a). Ta sử dụng các công thức tổng quát dạng ma trận để xác định các hệ số và phân tích phương trình hồi quy. Ma trận QHTN cho 2 nhân tố có dạng Bảng 6.49. Ví dụ 6.13 Quy hoạch thực nghiệm 3k cho k = 2 nhân tố như Bảng 6.1. Số thí nghiệm chính N = 32 = 9, số thí nghiệm lặp n = 2. Kết quả thực nghiệm cho trong Bảng 6.49. Bảng 6.49 Ma trận trên nếu thay đổi thứ tự các thí nghiệm chính như cột cuối cùng của Bảng 6.29 sẽ là quy hoạch FCCCD với 1 thí nghiệm ở tâm. Giải: Ma trận để xác định các hệ số phương trình hồi quy:     1   T T B X X X Y N Nhân tố Tương tác đôi và bậc 2 Kết quả thí nghiệm Giá trị trung bình y Sai lệch 2 j s Giá trị hồi quy y (1) Thứ tự theo quy hoạch FCCCD x0 x1 x2 x1x2 x1 2 x2 2 yj1 yj2 1 +1 -1 -1 +1 1 1 12,2 11,8 12 0,08 11,5 1 2 +1 0 -1 0 0 1 12,3 11,9 12,1 0,08 12 7 3 +1 +1 -1 -1 1 1 14,2 14,6 14,4 0,08 14,5 2 4 +1 -1 0 0 1 0 13,9 13,7 13,8 0,02 14 5 5 +1 0 0 0 0 0 16 14,8 15,4 0,72 15 9 6 +1 +1 0 0 1 0 18,8 18,2 18,5 0,18 18 6 7 +1 -1 +1 -1 1 1 19,8 20,2 20 0,08 20,5 3 8 +1 0 +1 0 0 1 22,3 22,1 22,2 0,02 22 8 9 +1 +1 +1 +1 1 1 25,9 25,3 25,6 0,18 25,5 4
  • 261.
    262 CHƯƠNG 6  0,556 0 0 0 0,3333 0,3333 0 0,1667 0 0 0 0 0 0 0,1667 0 0 0 0 0 0 0,2500 0 0 0,3333 0 0 0 0,5000 0 0,3333 0 0 0 0 0,5000                          -1 T X X Ma trận xác định hệ số PTHQ: 0,5556 0 0 0 0,3333 0,3332 153.9 0 0,1667 0 0 0 0 12.6 0 0 0,1667 0 0 0 29.2 0 0 0 0,2500 0 0 3.1 0,3333 0 0 0 0,5000 0 104.2 0,3333 0 0 0 0 0,5000 106.2                                              B Sau khi tính toán ta thu được: 15,367 2,100 4,867 0,775 0,800 1,800                        B Phương trình hồi quy có dạng: y = 15,367 + 2,1x1 + 4,867x2 + 0,775x1x2 + 0,8x1 2 +1,8x2 2 Kiểm tra tính tương thích của PTHQ: 1. Tổng bình phương: n th i i i=1 S = (y - y )  2 .2= 0,238.2 = 0,476 2. Bậc tự do phương sai tương thích: fth = N – p = 9 – 6 = 3
  • 262.
    QUY HOẠCH THỰCNGHIỆM BẬC 2 263 3. Phương sai tương thích: 2 th th th S s f  = 0,238 3 = 0,0793 = 0,1586 4. Phương sai tái hiện: 2 N j 2 j 1 s s {y} 0,16 N     5. Số bậc tự do của phương sai tái hiện: N y y j 1 f f N(n 1) 9       6. Phương sai của các hệ số phương trình hồi quy được xác định theo công thức (4.11): 2 2 i ii s {b } c s {y}   {0,088896; 0,026672; 0,026672; 0,04; 0,08; 0,08} i i i | b | t s{b }   {51,54; 12,86; 29,8; 3,875; 2,83; 6,36} So sánh với giá trị tra bảng tb theo tiêu chuẩn Student (Phụ lục 1): Ta có ti > tb = 2,26 nên các hệ số đều có ý nghĩa. 7. Kiểm tra tính tương thích của phương trình hồi quy. đầu tiên xác định hệ số Ftt 2 th tt 2 s 0,0793 F 0,496 0,16 s {y}    Áp dụng tiêu chuẩn Fisher. Tương ứng mức ý nghĩa α = 0,05 và fth = 3 và fy = 9 (trong Phụ lục 2): Fb = 8,81 > Ftt = 0,496 nên mô hình thu được là tương thích để mô tả hiện tượng.
  • 263.
    264 CHƯƠNG 6 Kếtquả tính trên Minitab: Response Surface Regression: Y versus A. B Analysis of Variance (A = x1; B = x2) Source DF Adj SS Adj MS F-Value P-Value Model 5 180.458 36.092 431.18 0.000 Linear 2 169.963 84.982 1015.27 0.000 A 1 26.882 26.882 321.15 0.000 B 1 143.082 143.082 1709.38 0.000 Square 2 7.934 3.967 47.40 0.005 A*A 1 1.334 1.334 15.94 0.028 B*B 1 6.601 6.601 78.86 0.003 2-Way Interaction 1 2.560 2.560 30.58 0.012 A*B 1 2.560 2.560 30.58 0.012 Error 3 0.251 0.084 Total 8 180.709 Model Summary S R-sq R-sq(adj) R-sq(pred) 0.289316 99.86% 99.63% 98.32% Coded Coefficients Term Coef SE Coef T-Value P-Value VIF Constant 15.356 0.216 71.21 0.000 A 2.117 0.118 17.92 0.000 1.00 B 4.883 0.118 41.34 0.000 1.00 A*A 0.817 0.205 3.99 0.028 1.00 B*B 1.817 0.205 8.88 0.003 1.00 A*B 0.800 0.145 5.53 0.012 1.00 Regression Equation in Uncoded Units Y = 15.356 + 2.117 A + 4.883 B + 0.817 A*A + 1.817 B*B + 0.800 A*B 6.7.2.Quy hoạch thực nghiệm bậc 2 cho 3 nhân tố dạng 3k Sơ đồ bố trí các thí nghiệm 3 nhân tố (số thí nghiệm chính: N = 33 = 27) trình bày trên Hình 6.22. Từ hình trên ta thấy rằng QHTN 3k khi k = 3 bao gồm quy hoạch FCCCD (các điểm góc và tâm mặt) và Box-Behnken với 3 nhân tố (các điểm tâm các cạnh).
  • 264.
    QUY HOẠCH THỰCNGHIỆM BẬC 2 265 Hình 6.22 Các điểm thí nghiệm chính 3k cho k = 3 nhân tố Ví dụ 6.14 Quy hoạch thực nghiệm 3k cho k = 3 nhân tố. Số thí nghiệm chính N = 33 = 27; Số thí nghiệm lặp n = 2. Kết quả thực nghiệm cho trong Bảng 6.50. Xác định phương trình hồi quy và phân tích kết quả. Giải: Bảng 6.50 Ma trận quy hoạch và kết quả thực nghiệm 3k N x0 x1 x2 x3 x1 x2 x1 x3 x2x3 x1x2x3 x1 2 x2 2 x3 2 yj1 yj2 y ŷ 1 1 -1 -1 -1 1 1 1 -1 1 1 1 6,22 5,78 6 6,1 2 1 -1 -1 0 1 0 0 0 1 1 0 8,34 8,26 8,3 8,2 3 1 -1 -1 1 1 -1 -1 1 1 1 1 14,22 12,78 13,5 13,9 4 1 -1 0 -1 0 1 0 0 1 0 1 11,56 12,44 12 11,8 5 1 -1 0 0 0 0 0 0 1 0 0 13,96 15,04 14,5 14 6 1 -1 0 1 0 -1 0 0 1 0 1 19,96 19,04 19,5 19,8 7 1 -1 1 -1 -1 1 -1 1 1 1 1 22,32 23,08 22,7 22,5 8 1 -1 1 0 -1 0 0 0 1 1 0 24,6 24,4 24,5 24,8 9 1 -1 1 1 -1 -1 1 -1 1 1 1 29,58 31,42 30,5 30,7 10 1 0 -1 -1 0 0 1 0 0 1 1 9,22 8,58 8,9 8,8 11 1 0 -1 0 0 0 0 0 0 1 0 12 11 11,5 11
  • 265.
    266 CHƯƠNG 6 121 0 -1 1 0 0 -1 0 0 1 1 16,57 16,23 16,4 16,8 13 1 0 0 -1 0 0 0 0 0 0 1 15,52 14,48 15 15,2 14 1 0 0 0 0 0 0 0 0 0 0 17,21 18,35 17,78 18 15 1 0 0 1 0 0 0 0 0 0 1 23,98 24,26 24,12 24,4 16 1 0 1 -1 0 0 -1 0 0 1 1 26,1 26,7 26,4 26,6 17 1 0 1 0 0 0 0 0 0 1 0 28,8 30,2 29,5 30 18 1 0 1 1 0 0 1 0 0 1 1 37,12 37,28 37,2 37 19 1 1 -1 -1 -1 -1 1 1 1 1 1 15,33 15,07 15,2 15,5 20 1 1 -1 0 -1 0 0 0 1 1 0 17,92 17,44 17,68 17,8 21 1 1 -1 1 -1 1 -1 -1 1 1 1 24 23,32 23,66 23,7 22 1 1 0 -1 0 -1 0 0 1 0 1 22,22 22,68 22,45 22,6 23 1 1 0 0 0 0 0 0 1 0 0 25,45 26,15 25,8 26 24 1 1 0 1 0 1 0 0 1 0 1 32,8 33,4 33,1 33 25 1 1 1 -1 1 -1 -1 -1 1 1 1 34,5 34,86 34,68 34,7 26 1 1 1 0 1 0 0 0 1 1 0 39 39,5 39,25 39,2 27 1 1 1 1 1 1 1 1 1 1 1 46,9 47,5 47,2 47,3 với: y là giá trị tính từ phương trình hồi quy. Ma trận để xác định hệ số phương trình hồi quy:     -1 T T B= X X X Y   0,2593 0 0 0 0 0 0 0 0,1111 0,1111 0,1111 0 0,0556 0 0 0 0 0 0 0 0 0 0 0 0,0556 0 0 0 0 0 0 0 0 0 0 0 0,0556 0 0 0 0 0 0 0 0 0 0 0 0,0833 0 0 0 0 0 0 0 0 0 0 0 0,0833 0 0 0 0 0 0 0 0 0 0 0 0,0833 0 0 0 0 0 0 0 0 0 0 0 0,1250 0 0 0 0,1111 0 0 0 0 0 0 0 0,1667 0 0 0,1111 0 0 0 0 0 0 0 0 0,1667 0 0,1111     -1 T X X 0 0 0 0 0 0 0 0 0 0,1667                                     Hệ số phương trình được xác định
  • 266.
    QUY HOẠCH THỰCNGHIỆM BẬC 2 267     17,9607 5,9733 9,4883 4,5472 1,2242 0,7358 0,6383 0,4700 2,0511 2,4761 1,7161                                      -1 T T B= X X X Y Phương trình hồi quy có dạng: 1 2 3 1 2 1 3 2 2 2 2 3 1 2 3 1 2 3 y 17,96 5,97x 9,48x 4,55x 1,22x x 0,74x x 0,64x x 0,47x x x 2,05x 2,48x 1,72x            Kiểm tra tính tương thích của PTHQ: 1. Tổng bình phương: n th i i i=1 S = (y - y )  2 = 5,0008 2. Bậc tự do phương sai tương thích: fth = N – p = 27 – 11 = 16 3. Phương sai tương thích: 2 th th th S s f  = 5,0008 0,313 16  4. Phương sai tái hiện 2 N j 2 j 1 s s {y} 0,333 N     5. Số bậc tự do của phương sai tái hiện N y y j 1 f f N(n 1) 27      
  • 267.
    268 CHƯƠNG 6 6.Phương sai của các hệ số phương trình hồi quy (theo công thức 4.11). 2 2 i ii s {b } c s {y}   {0,086347; 0,018515; 0,018515; 0,018515; 0,027739; 0,027739; 0,027739; 0,041625; 0,055511; 0,055511; 0,055511} i i i | b | t s{b }   {61,12233; 43,89902; 69,73148; 33,41831; 7,350346; 4,417893; 3,832483; 2,303672; 8,705564; 10,50941; 7,28371} So sánh với giá trị tra bảng tb theo tiêu chuẩn Student ta có ti < tb = 2,05 nên các hệ số đều có ý nghĩa. 7. Kiểm tra tính tương thích của phương trình hồi quy: 2 th tt 2 s F s {y}   0,313 / 0,333 = 0,94 Áp dụng tiêu chuẩn Fisher, tương ứng mức giá trị α = 0,05 và fth = 16 và fy = 27 ta được (theo Phụ lục 2) Fb = 2,19 > Ft = 0,94 nên mô hình thu được là tương thích. Kết quả tính trên Minitab: Response Surface Regression: Y versus x1, x2, x3 Analysis of Variance Source DF Adj SS Adj MS F-Value P-Value Model 9 2744.02 304.89 1690.97 0.000 Linear 3 2634.96 878.32 4871.27 0.000 x1 1 642.25 642.25 3562.02 0.000 x2 1 1620.51 1620.51 8987.57 0.000 x3 1 372.19 372.19 2064.21 0.000 Square 3 79.70 26.57 147.34 0.000 x1*x1 1 25.24 25.24 140.00 0.000 x2*x2 1 36.79 36.79 204.02 0.000 x3*x3 1 17.67 17.67 98.00 0.000 2-Way Interaction 3 29.37 9.79 54.30 0.000 x1*x2 1 17.98 17.98 99.74 0.000 x1*x3 1 6.50 6.50 36.04 0.000 x2*x3 1 4.89 4.89 27.12 0.000 Error 17 3.07 0.18 Total 26 2747.09 Model Summary S R-sq R-sq(adj) R-sq(pred) 0.424625 99.89% 99.83% 99.62%
  • 268.
    QUY HOẠCH THỰCNGHIỆM BẬC 2 269 Coded Coefficients Term Coef SE Coef T-Value P-Value VIF Constant 17.961 0.216 83.07 0.000 x1 5.973 0.100 59.68 0.000 1.00 x2 9.488 0.100 94.80 0.000 1.00 x3 4.547 0.100 45.43 0.000 1.00 x1*x1 2.051 0.173 11.83 0.000 1.00 x2*x2 2.476 0.173 14.28 0.000 1.00 x3*x3 1.716 0.173 9.90 0.000 1.00 x1*x2 1.224 0.123 9.99 0.000 1.00 x1*x3 0.736 0.123 6.00 0.000 1.00 x2*x3 0.638 0.123 5.21 0.000 1.00 Regression Equation in Uncoded Units Y = 17.961 + 5.973 x1 + 9.488 x2 + 4.547 x3 + 2.051 x1*x1 + 2.476 x2*x2 + 1.716 x3*x3 + 1.224 x1*x2 + 0.736 x1*x3 + 0.638 x2*x3 So sánh 3k với quy hoạch FCCCD và Box- Behnken Từ ma trận quy hoạch 33 với N = 27 thí nghiệm chính theo Hình 6.22 ta phân tích thành quy hoạch FCCCD (các đỉnh và tâm mặt) với N1=14 thí nghiệm chính và quy hoạch Box- Behnken (các điểm giữa cạnh và ở tâm khối) gồm N2 = 13 thí nghiệm chính. Quy hoạch FCCCD Quy hoạch FCCCD gồm N1 = 14 thí nghiệm chính theo đánh số thí nghiệm cột thứ hai của quy hoạch 3k (Bảng 6.51). Bảng 6.51 Ma trận quy hoạch FCCCD gồm N1 = 14 thí nghiệm chính N1 3k x0 x1 x2 x3 x1x2 x1x3 x2x3 x1 2 x2 2 x3 2 yj1 yj2 y ŷ 1 27 1 -1 -1 -1 1 1 1 1 1 1 6,22 5,78 6 6,1 2 9 1 1 -1 -1 -1 -1 1 1 1 1 15,33 15,07 15,2 15,5 3 21 1 -1 1 -1 -1 1 -1 1 1 1 22,32 23,08 22,7 22,5 4 3 1 1 1 -1 1 -1 -1 1 1 1 34,5 34,86 34,68 34,7 5 25 1 -1 -1 1 1 -1 -1 1 1 1 14,22 12,78 13,5 13,9 6 7 1 1 -1 1 -1 1 -1 1 1 1 24 23,32 23,66 23,7 7 19 1 -1 1 1 -1 -1 1 1 1 1 29,58 31,42 30,5 30,7 8 1 1 1 1 1 1 1 1 1 1 1 46,9 47,5 47,2 47,3 9 23 1 -1 0 0 0 0 0 1 0 0 13,96 15,04 14,5 14 10 5 1 1 0 0 0 0 0 1 0 0 25,45 26,15 25,8 26 11 17 1 0 -1 0 0 0 0 0 1 0 12 11 11,5 11 12 11 1 0 1 0 0 0 0 0 1 0 28,8 30,2 29,5 30 13 15 1 0 0 -1 0 0 0 0 0 1 15,52 14,48 15 15,2 14 13 1 0 0 1 0 0 0 0 0 1 23,98 24,26 24,12 24,4
  • 269.
    270 CHƯƠNG 6 Kếtquả trên Minitab quy hoạch FCCCD cho 14 thí nghiệm đầu tiên: Response Surface Regression: Y versus x1, x2, x3 Analysis of Variance Source DF Adj SS Adj MS F-Value P-Value Model 9 3063.03 340.34 529.62 0.000 Linear 3 2910.85 970.28 1509.94 0.000 x1 1 704.25 704.25 1095.93 0.000 x2 1 1794.38 1794.38 2792.37 0.000 x3 1 412.23 412.23 641.51 0.000 Square 3 117.64 39.21 61.02 0.000 x1*x1 1 22.44 22.44 34.92 0.000 x2*x2 1 30.40 30.40 47.31 0.000 x3*x3 1 11.75 11.75 18.29 0.000 2-Way Interaction 3 34.53 11.51 17.91 0.000 x1*x2 1 21.72 21.72 33.79 0.000 x1*x3 1 8.07 8.07 12.55 0.002 x2*x3 1 4.75 4.75 7.40 0.014 Error 18 11.57 0.64 Lack-of-Fit 4 5.05 1.26 2.72 0.073 Pure Error 14 6.51 0.47 Total 27 3074.59 Model Summary S R-sq R-sq(adj) R-sq(pred) 0.801623 99.62% 99.44% 99.05% Coded Coefficients Term Coef SE Coef T-Value P-Value VIF Constant 18.015 0.361 49.86 0.000 x1 5.934 0.179 33.10 0.000 1.00 x2 9.472 0.179 52.84 0.000 1.00 x3 4.540 0.179 25.33 0.000 1.00 x1*x1 2.135 0.361 5.91 0.000 1.16 x2*x2 2.485 0.361 6.88 0.000 1.16 x3*x3 1.545 0.361 4.28 0.000 1.16 x1*x2 1.165 0.200 5.81 0.000 1.00 x1*x3 0.710 0.200 3.54 0.002 1.00 x2*x3 0.545 0.200 2.72 0.014 1.00 Regression Equation in Uncoded Units Y = 18.015 + 5.934 x1 + 9.472 x2 + 4.540 x3 + 2.135 x1*x1 + 2.485 x2*x2 + 1.545 x3*x3 + 1.165 x1*x2 + 0.710 x1*x3 + 0.545 x2*x3 Box-Behnken (BBD) Quy hoạch FCCCD gồm N2 = 14 thí nghiệm chính theo số thí nghiệm cột thứ hai của quy hoạch 3k (Bảng 6.52).
  • 270.
    QUY HOẠCH THỰCNGHIỆM BẬC 2 271 Bảng 6.52 Ma trận quy hoạch Box- Behnken gồm N2=13 thí nghiệm chính N2 3k x0 x1 x2 x3 x1x2 x1x3 x2x3 x1 2 x2 2 x3 2 yj1 yj2 y ŷ 1 26 1 -1 -1 0 1 0 0 1 1 0 8,34 8,26 8,3 10,7437 2 8 1 1 -1 0 -1 0 0 1 1 0 17,92 17,44 17,68 20,1037 3 20 1 -1 1 0 -1 0 0 1 1 0 24,6 24,4 24,5 22,0763 4 2 1 1 1 0 1 0 0 1 1 0 39 39,5 39,25 36,8063 5 24 1 -1 0 -1 0 1 0 1 0 1 11,56 12,44 12 9,4712 6 6 1 1 0 -1 0 -1 0 1 0 1 22,22 22,68 22,45 19,9412 7 22 1 -1 0 1 0 -1 0 1 0 1 19,96 19,04 19,5 22,0087 8 4 1 1 0 1 0 1 0 1 0 1 32,8 33,4 33,1 35,6288 9 18 1 0 -1 -1 0 0 1 0 1 1 9,22 8,58 8,9 8,9850 10 16 1 0 -1 1 0 0 -1 0 1 1 16,57 16,23 16,4 21,3525 11 12 1 0 1 -1 0 0 -1 0 1 1 26,1 26,7 26,4 21,4475 12 10 1 0 1 1 0 0 1 0 1 1 37,12 37,28 37,2 37,1150 13 14 1 0 0 0 0 0 0 0 0 0 17,21 18,35 17,78 17,7800 Kết quả trên Minitab quy hoạch Box-Behnken Design cho 13 thí nghiệm: Response Surface Regression: Y versus x1, x2, x3 Analysis of Variance Source DF Adj SS Adj MS F-Value P-Value Model 9 2224.74 247.194 19.90 0.000 Linear 3 2162.94 720.980 58.04 0.000 x1 1 580.33 580.328 46.72 0.000 x2 1 785.96 785.961 63.27 0.000 x3 1 796.65 796.651 64.14 0.000 Square 3 36.98 12.326 0.99 0.422 x1*x1 1 20.06 20.064 1.62 0.222 x2*x2 1 29.90 29.901 2.41 0.140 x3*x3 1 16.29 16.286 1.31 0.269 2-Way Interaction 3 24.82 8.275 0.67 0.585 x1*x2 1 14.42 14.418 1.16 0.297 x1*x3 1 4.96 4.961 0.40 0.536 x2*x3 1 5.44 5.445 0.44 0.517 Error 16 198.74 12.421 Lack-of-Fit 3 196.28 65.426 345.07 0.000 Pure Error 13 2.46 0.190 Total 25 2423.48
  • 271.
    272 CHƯƠNG 6 ModelSummary S R-sq R-sq(adj) R-sq(pred) 3.52440 91.80% 87.19% 78.97% Coded Coefficients Term Coef SE Coef T-Value P-Value VIF Constant 17.78 2.49 7.13 0.000 x1 6.022 0.881 6.84 0.000 1.00 x2 7.009 0.881 7.95 0.000 1.00 x3 7.056 0.881 8.01 0.000 1.00 x1*x1 2.10 1.65 1.27 0.222 1.35 x2*x2 2.56 1.65 1.55 0.140 1.35 x3*x3 1.89 1.65 1.15 0.269 1.35 x1*x2 1.34 1.25 1.08 0.297 1.00 x1*x3 0.79 1.25 0.63 0.536 1.00 x2*x3 0.82 1.25 0.66 0.517 1.00 Regression Equation in Uncoded Units Y = 17.78 + 6.022 x1 + 7.009 x2 + 7.056 x3 + 2.10 x1*x1 + 2.56 x2*x2 + 1.89 x3*x3 + 1.34 x1*x2 + 0.79 x1*x3 + 0.82 x2*x3 So sánh kết quả tính với các hệ số cho trong Bảng 6.53, và kết quả không có sự sai lệch không đáng kể, tuy nhiên số thí nghiệm chính theo FCCCD và BBD giảm đáng kể. Bảng 6.53 Hệ số b0 b1 b2 b3 b12 b13 b23 b11 b22 b33 3k 17,96 5,97 9,48 4,55 1,22 0,74 0,64 2,05 2,48 1,72 FCCCD 18,015 5,934 9,472 4,540 1,165 0,71 0,545 2,135 2,485 1,545 BBD 17,78 6,022 7,009 7,056 1,34 0,79 0,82 2,10 2,56 1,89 6.7.3. Quy hoạch thực nghiệm bậc 2 cho 4 nhân tố dạng 3k-1 Khi số nhân tố k ≥ 3 ta sử dụng quy hoạch nhân tố riêng phần 3k-p (L27). Ví dụ ma trận quy hoạch và kết quả thực nghiệm trong trường hợp 4 nhân tố có dạng như Bảng 6.54.
  • 272.
    QUY HOẠCH THỰCNGHIỆM BẬC 2 273 Bảng 6.54 N x0 x1 x2 x3 x4 x1x2 x1x3 x1x4 x2x3 x2x4 x3x4 x1 2 x2 2 x3 2 x4 2 y ŷ 1 1 -1 -1 -1 -1 1 1 1 1 -1 1 1 1 1 1 6 6,1 2 1 -1 -1 0 0 1 0 0 0 0 0 1 1 0 0 8,3 8,2 3 1 -1 -1 1 1 1 -1 -1 -1 1 1 1 1 1 1 13,5 13,9 4 1 -1 0 -1 1 0 1 -1 0 0 -1 1 0 1 1 12 11,8 5 1 -1 0 0 -1 0 0 0 0 0 0 1 0 0 1 14,5 14 6 1 -1 0 1 0 0 -1 1 0 0 0 1 0 1 0 19,5 19,8 7 1 -1 1 -1 0 -1 1 -1 -1 1 0 1 1 1 0 22,7 22,5 8 1 -1 1 0 1 -1 0 0 0 0 0 1 1 0 1 24,5 24,8 9 1 -1 1 1 -1 -1 -1 1 1 -1 -1 1 1 1 1 30,5 30,7 10 1 0 -1 -1 1 0 0 0 1 0 -1 0 1 1 1 8,9 8,8 11 1 0 -1 0 -1 0 0 0 0 0 0 0 1 0 1 11,5 11 12 1 0 -1 1 0 0 0 0 -1 0 0 0 1 1 0 16,4 16,8 13 1 0 0 -1 0 0 0 0 0 0 0 0 0 1 0 15 15,2 14 1 0 0 0 1 0 0 0 0 0 0 0 0 0 1 17,78 18 15 1 0 0 1 -1 0 0 0 0 0 -1 0 0 1 1 24,12 24,4 16 1 0 1 -1 -1 0 0 0 -1 0 1 0 1 1 1 26,4 26,6 17 1 0 1 0 0 0 0 0 0 0 0 0 1 0 0 29,5 30 18 1 0 1 1 1 0 0 0 1 0 1 0 1 1 1 37,2 37 19 1 1 -1 -1 0 -1 -1 0 1 1 0 1 1 -1 0 15,2 15,5 20 1 1 -1 0 1 -1 0 1 0 0 1 1 1 0 1 17,68 17,8 21 1 1 -1 1 -1 -1 1 -1 -1 -1 -1 1 1 1 1 23,66 23,7 22 1 1 0 -1 -1 0 -1 -1 0 0 1 1 0 -1 1 22,45 22,6 23 1 1 0 0 0 0 0 0 0 0 0 1 0 0 0 25,8 26 24 1 1 0 1 1 0 1 1 0 0 1 1 0 1 1 33,1 33 25 1 1 1 -1 1 1 -1 1 -1 -1 -1 1 1 -1 1 34,68 34,7 26 1 1 1 0 -1 1 0 -1 0 0 0 1 1 0 -1 39,25 39,2 27 1 1 1 1 0 1 1 0 1 1 0 1 1 1 0 47,2 47,3 6.8. XÁC ĐỊNH SỐ THÍ NGHIỆM LẶP TỪ ĐỘ CHÍNH XÁC CHO TRƯỚC PHƯƠNG TRÌNH HỒI QUY Như ta đã khảo sát tại Chương 2 số thí nghiệm lặp n cho mỗi loạt thí nghiệm chính ) s t n ( 2 2 2   . Tuy nhiên, khi xác định theo công thức này ta chưa tính đến độ chính xác và dạng phương trình hồi quy.
  • 273.
    274 CHƯƠNG 6 Giảsử sự phụ thuộc đại lượng đầu ra đối tượng nghiên cứu ) x ( y  và sự thay đổi các nhân tố xác định theo công thức: m o i i i 1 y(x) b b f (x)     (6.29) trong đó: x là vectơ mà thành phần là các nhân tố thay đổi, x = (x1, x2,..., xk)T Giả sử ta chọn QHTN có N các loạt thí nghiệm chính (không tính thí nghiệm lặp). Ta khảo sát cho trường hợp không có thí nghiệm lặp. Khi đó ma trận cơ sở có dạng: X                                   ) x ( f ) x ( f ) x ( f ) x ( f ) x ( f ) x ( f ) x ( f ) x ( f ) x ( f ) x ( f ) x ( f ) x ( f X N m N 2 N 1 2 m 2 2 2 1 1 m 1 2 1 1 N T 2 T 1 T         (6.30) Ma trận mômen có dạng: M = XTX (6.31) Giả sử ta có mỗi thí nghiệm chính trong quy hoạch được lặp n lần. Khi đó M = XTPX, trong đó P = nE với E là ma trận đơn vị. Từ đây: M = n XTX (6.32) Khi đánh giá độ chính xác thực nghiệm nhà nghiên cứu quan tâm đến giá trị của đại lượng đầu ra tính theo phương trình hồi quy gần với giá trị trung bình đáp ứng theo một điểm o x nào đó. Thí nghiệm lặp thực hiện tại điểm này. Khoảng tin cậy với giá trị trung bình từ n thí nghiệm lặp tại điểm o x bằng: T 1 T 1 0 b 0 0 0 b 0 0 1 1 ˆ ˆ y(x ) t f (x )M f (x )s{y},y(x ) t f (x )n f (x )s{y} n n             (6.33) trong đó tb là giá trị tra bảng tiêu chuẩn student với mức giá trị α và số bậc tự do fy, liên quan đến phương sai tái hiện } y { s2 .
  • 274.
    QUY HOẠCH THỰCNGHIỆM BẬC 2 275 Sai số tương đối đáp ứng, tính theo phương trình hồi quy tại điểm xo từ giá trị trung bình theo n thí nghiệm lặp, không vượt quá giá trị . Khi đó: T 1 b o o o 1 t f (x )M f (x ) s{y} y(x ) n           (6.34) Từ công thức (6.34) ta xác định số quan sát n cần thiết trong mỗi loạt thí nghiệm. Khó khăn nhất là tính biểu thức: ) x ( f M ) x ( f o 1 o T  Đặt: x d ) x ( f ) X X )( x ( f d 1 T T tb    (6.35) trong đó dtb là phương sai trung bình các giá trị hàm hồi quy theo miền QHTN. Từ đây: nN d ) x ( f M ) x ( f tb 1 T   (6.36) Giả sử đại lượng y thu được như là giá trị trung bình theo kết quả loạt thí nghiệm riêng lẻ gồm m thí nghiệm lặp và s{y} – ước lượng độ lệch chuẩn tính theo loạt thí nghiệm trên. Khi đó fy = m – 1. Đặt ) x ( y o  = y và nN d ) x ( f M ) x ( f tb o o T   vào công thức (6.34), ta có:   y } y { s nN / ) d N ( t tb b    (6.37) Từ đây: N y / ) d N }( y { s t n 2 2 tb 2 2 b    (6.38) Như thế, để xác định n cần phải biết giá trị trung bình y (mx) theo loạt m thí nghiệm riêng lẻ và phương sai } y { s2 , số thí nghiệm chính N và đại lượng dtb với QHTN đã chọn và khoảng tin cậy p = 1 – α và sai lệch tương đối  của đại lượng y với các giá trị tính toán của đáp ứng. Giá trị Student tra bảng tb được xác định theo mức ý nghĩa, bằng α = 1 – p, với số bậc tự do fy = m – 1 (Phụ lục 1). Giá trị N và dtb được cho trong Bảng 6.55 phụ thuộc vào dạng QHTN.
  • 275.
    276 CHƯƠNG 6 Bảng6.55 Dạng quy hoạch Số nhân tố k N dtb Quy hoạch FCCCD (dạng B) 2 3 4 5 (TNT) 5 (TNR) 8 14 24 42 25 5,96 5,83 8,54 14,1 10,8 Quy hoạch quay đều 2 3 4 5 (TNT) 5 (TNR) 13 20 31 52 32 4,14 7,24 10,6 17,8 17,2 Ví dụ 6.15 Khi nghiên cứu công riêng để tính công suất cắt quá trình phay gỗ, ta sử dụng quy hoạch FCCCD với 3 nhân tố. Để xác định số thí nghiệm lặp n ta tiến hành loạt 50 thí nghiệm, kết quả cho trong Bảng 6.56. Chọn khoảng tin cậy p = 0,95 và sai lệch tương đối  = 0,05. Tìm số nghiệm lặp n. Bảng 6.56 Bảng giá trị 50 thí nghiệm N Giá trị N Giá trị N Giá trị N Giá trị N Giá trị 1 33,2 11 35,3 21 31 31 33,2 41 33,1 2 33,6 12 33,6 22 30 32 33,6 42 33,3 3 31,5 13 32,3 23 32,4 33 34,2 43 33,4 4 33,6 14 32,7 24 33,7 34 30,2 44 33,0 5 33,2 15 33,6 25 34,3 35 32,2 45 34,1 6 34,4 16 34,9 26 32,1 36 32,8 46 33,6 7 34,4 17 32,3 27 33,5 37 34,2 47 32,9 8 31,0 18 36,2 28 30,5 38 31,6 48 34,2 9 34,4 19 31,0 29 32,5 39 32,3 49 32,8 10 35,2 20 33,6 30 32,5 40 33,6 50 33,2 Giải: Sử dụng Minitab tính giá trị trung bình và phương sai (Hình 6.23). Theo kết quả tính ta có phương sai s2 {y}=1,312 và giá trị trung bình y = 33,08 từ kết quả 50 thí nghiệm.
  • 276.
    QUY HOẠCH THỰCNGHIỆM BẬC 2 277 36.0 34.8 33.6 32.4 31.2 30.0 12 10 8 6 4 2 0 Mean 33.08 StDev 1.310 N 50 x Frequency Histogram (with Normal Curve) of x Hình 6.23 Khi f = 40 – 1 = 39, nếu p = 0,95 thì mức giá trị α = 0,05. Theo Phụ lục 1 ta có giá trị tra bảng tb = 2,02. Nếu sử dụng quy hoạch FCCCD với 3 nhân tố thì số thí nghiệm chính N = 14, theo Bảng 6.30 ta chọn dtb = 5,83. Thay thế các giá trị thu được vào công thức (6.38) ta có: N y / ) d N }( y { s t n 2 2 tb 2 2 b    = 2,022 .1,312 (14+5,83)/(0,05)2 .33,082 .14) = 3,95 Do đó ta chọn số thí nghiệm lặp là n = 4 để thực nghiệm xác định công riêng quá trình phay gỗ. 6.9. PHÂN TÍCH MẶT ĐÁP ỨNG Sau khi thu được phương trình hồi quy ta tiến hành phân tích phương trình, ta có thể biểu diễn chúng dưới dạng hình học gọi là bề mặt đáp ứng. Trường hợp hai nhân tố, các mặt đáp ứng có dạng như Hình 6.24. Hình 6.24
  • 277.
    278 CHƯƠNG 6 Trườnghợp ba nhân tố, các mặt đáp ứng có dạng như Hình 6.25. Hình 6.25. Một số hình dạng mặt đáp ứng từ mô hình phương trình hồi quy bậc 2 với 2 nhân tố: a) maximum; b) plateau; c) maximum nằm ngoài miền giá trị; d) minimum; e) mặt yên ngựa (saddle surfaces) Từ phương trình hồi quy thu được ta có thể tìm giá trị tối ưu theo các giá trị nhân tố. Phát biểu bài toán tối ưu và các phương pháp giải được trình bày trong các Chương 10 đến Chương 13. Dưới đây là bảng so sánh số thí nghiệm của các dạng quy họach khác nhau cho các trường hợp 2 đến 7 nhân tố.
  • 278.
    QUY HOẠCH THỰCNGHIỆM BẬC 2 279 Bảng 6.57 Số nhân tố Dạng FCCCD Quay đều Trực giao Box - Behnken 3k Dạng D 2 8 13 8 + (1-10) 9 9 3 14 20 14+ (1-10) 15 27 13 4 24 31 24+ (1-10) 27 27 42 5 26 (42) 32 (42) 26 (42) + (1-10) 46 50 6 44 (76) 53 (91) 44 (76) + (1-10) 54 66 7 78 (144) 92 (163) 78 (144) + (1-10) 62 6.10. QUY HOẠCH THỰC NGHIỆM BẬC 2 TRONG THIẾT KẾ Thông thường trong thiết kế tối ưu đối với các bài toán có hàm phức tạp thông thường thay thế bằng các hàm đa thức. Trong Chương 5 đã trình bày thay thế bằng hàm bậc 1. Trong mục này trình bày thay thế hàm phức tạp bằng đa thức bậc 2. Giải bài toán ví dụ Chương 5 với thay thế hàm dưới đây bằng phương trình hồi quy bậc 2: 2 2 2 2 2 3 2 2 r r 3 32 b F 0,75T 10 1152,81F 0,10674166T d        Ta tiến hành thực nghiệm theo phương án quy hoạch dạng FCCCD với ma trận quy hoạch 2 nhân tố theo Bảng 6.58. Bảng 6.58 Ma trận quy hoạch 2 nhân tố N Các nhân tố tự nhiên Các nhân tố trong hệ mã hóa Ứng suất  Fr2 T x0 x1 x2 x1x2 1 554,4 126966 +1 -1 -1 +1 45,552623 2 1029,6 126966 +1 +1 -1 -1 54,247405 3 554,4 235794 +1 -1 +1 -1 79,303444 4 1029,6 235794 +1 +1 +1 +1 84,597729 5 554,4 181380 +1 -1 0 0 62,177080 6 1029,6 181380 +1 +1 0 0 68,802098 7 792 126966 +1 0 -1 0 49,435117 8 792 235794 +1 0 +1 0 81,595499
  • 279.
    280 CHƯƠNG 6 Xácđịnh các hệ số phương trình hồi quy theo ma trận hoặc theo các công thức sau: N K N 2 0 1 j 2 ij j j 1 i 1 j 1 b T y T x y 65,079597         N 1 3 1j j j 1 b T x y 3,435749476     N 2 3 2j j j 1 b T x y 16,043908847     N 12 6 1j 2j j j 1 b T x x y 0,85012426936     N k N N 2 2 11 4 1j j 5 ij j 2 j j 1 i 1 j 1 i 1 b T x y T x y T y 0,4099922641            N k N N 2 2 22 4 2j j 5 ij j 2 j j 1 i 1 j 1 i 1 b T x y T x y T y 0,4357112220            Phương trình hồi quy bậc 2 có dạng: y = 65,079597 + 3,435749476x1+ 16,043908847x2 + 0,85012426936 x1x2 + 0,4099922641x1 2 + 0,435711222 x2 2 Thay các giá trị mã hóa vào phương trình trên ta được:  = 0,098283 + 0,01488306Fr2 + 0,00029354T + 0,0000072624 2 2 r F + 0,0000000001T2 – 0,00000006575 2 r F T Tính trên Minitab: Response Surface Regression: Y versus A. B Analysis of Variance (A = x1; B = x2) Source DF Adj SS Adj MS F-Value P-Value Model 5 1618.45 323.69 13069.62 0.000 Linear 2 1615.20 807.60 32608.46 0.000 A 1 70.82 70.82 2859.63 0.000 B 1 1544.38 1544.38 62357.28 0.000 Square 2 0.36 0.18 7.23 0.121 A*A 1 0.22 0.22 9.05 0.095 B*B 1 0.25 0.25 10.22 0.085 2-Way Interaction 1 2.89 2.89 116.72 0.008 A*B 1 2.89 2.89 116.72 0.008 Error 2 0.05 0.02
  • 280.
    QUY HOẠCH THỰCNGHIỆM BẬC 2 281 Total 7 1618.50 Model Summary S R-sq R-sq(adj) R-sq(pred) 0.157374 100.00% 99.99% 99.94% Coded Coefficients Term Coef SE Coef T-Value P-Value VIF Constant 65.080 0.176 369.88 0.000 A 3.4357 0.0642 53.48 0.000 1.00 B 16.0436 0.0642 249.71 0.000 1.00 A*A 0.410 0.136 3.01 0.095 1.13 B*B 0.436 0.136 3.20 0.085 1.13 A*B -0.8501 0.0787 -10.80 0.008 1.00 Regression Equation in Uncoded Units Y = 0.10 + 0.01488 Fr2 + 0.000294 T + 0.000007 Fr2*Fr2 + 0.000000 T*T - 0.000000 Fr2*T 6.11. SỬ DỤNG MINITAB TRONG QUY HOẠCH THỰC NGHIỆM BẬC 2 Ví dụ 6.16 Nghiên cứu phụ thuộc công suất cắt P khi phay vật liệu vào vận tốc cắt v (2 m/s  v  6 m/s) và độ tù mũi dao 0 (10 m  0  60 m). Ma trận quy hoạch quay đều và kết quả thực nghiệm cho trong Bảng 6.59. Sử dụng Minitab xử lý và phân tích kết quả. Bảng 6.59 N Giá trị mã hóa Giá trị tự nhiên Giá trị công suất (kW) x0 x1 x2 v (m/s) 0 (m) 1 2 3 4 +1 +1 +1 +1 +1 +1 -1 -1 +1 -1 +1 -1 ? ? ? ? ? ? ? ? 3,254 0,886 1,586 0,474 5 6 7 8 +1 +1 +1 +1 +1,414 -1,414 0 0 0 0 +1,414 -1,414 6 6 2 2 60 10 60 10 1,525 0,055 3,540 1,080 9 10 11 12 13 +1 +1 +1 +1 1 0 0 0 0 0 0 0 0 0 0 4 4 4 4 4 35 35 35 35 35 1,875 1,775 1,675 1,975 1,800
  • 281.
    282 CHƯƠNG 6 Thựchiện Minitab theo trình tự sau: 1. Create Response Surface Design. Chọn dạng Quy hoạch theo trình tự: trên menu Stat chọn DOE > Response Surface > Create Response Surface Design Hình 6.26 Trên hộp thoại Create Response Surface Design, chọn dạng quy hoạch là hỗn hợp bằng cách chọn nút Central composite. Chọn số nhân tố trên Number of continuous factors:, trong ví dụ này ta chọn 2. Hình 6.27 Chọn nút Display Available Designs, và trên hộp thoại cùng tên ta chọn ma trận quy hoạch và nhấp OK.
  • 282.
    QUY HOẠCH THỰCNGHIỆM BẬC 2 283 Hình 6.28 Chọn nút Design…và trên hộp thoại Create Response Surface Design: Designs ta chọn ma trận quy hoạch và các thông số tương ứng. Trong trường hợp này chọn 13. Chú ý: - Number of center point: Số thí nghiệm ở tâm (no), nếu nuốn nhập vào chọn nút Custom và nhập số thí nghiệm ở tâm. Còn không nhập sẽ chọn mặc định (Defaut). - Value of Alpha: - Nhập giá trị α + Trường hợp sử dụng dạng quay đều với các thí nghiệm ở nhân là thực nghiệm nhân tố toàn phần (2k ) thì chọn Default. + Trường hợp sử dụng quy hoạch dạng FCCCD thì chọn Face Center. + Trường hợp sử dụng quy hoạch trực giao dạng quay đều hoặc quay đều với các thí nghiệm ở nhân là thực nghiệm nhân tố riêng phần (2k-p’ ) thì chọn Custom và nhập giá trị α vào. - Number of replicate: Nhập số thí nghiệm lặp n của mỗi thí nghiệm chính. Tùy vào số n mà số hàng trong worksheet tăng lên n lần, và lần lượt nhập kết quả tất cả lần lặp vào.
  • 283.
    284 CHƯƠNG 6 Hình6.29 Chọn nút Factors… và trên hộp thoại Create Response Surface Design: Factors chọn Level Define (theo Cube point – đỉnh hoặc theo trục Axial points). Nhập tên các nhân tố vào cột Name, cũng như các mức giá trị nhỏ nhất (Low) và lớn nhất (High). Hình 6.30 Chọn nút Options… và trên hộp thoại Create Response Surface Design: Options ta bỏ chọn nút Randomize Runs. Để lưu ma trận quy hoạch trên wooksheet ta chọn nút Store design in worksheet.
  • 284.
    QUY HOẠCH THỰCNGHIỆM BẬC 2 285 Hình 6.31 Chọn nút Results và trên hộp thoại Create Response Surface Design: Results chọn các lựa chọn để ma trận quy hoạch hiển thị trên wooksheet. Hình 6.32 Nhấp OK trên các hộp thoại và nhập giá trị kết quả thí nghiệm vào cột P ta có ma trận quy hoạch sau: Hình 6.33
  • 285.
    286 CHƯƠNG 6 2.Define Custom Factorial Design… trong các trường hợp ta cần nhập Ma trận quy hoạch theo nhu cầu vào ta chọn nút này. Từ Stat menu chọn DOE > Factorial > Define Factorial Design… Hình 6.34 Trên hộp thoại Define Custom Factorial Design, ta chọn các nhân tố ma trận quy hoạch và chọn nút Select. Trong ví dụ này ta có 2 nhân tố x1 và x2 sẽ được chuyển từ vùng bên trái qua vùng Factors. Hình 6.35
  • 286.
    QUY HOẠCH THỰCNGHIỆM BẬC 2 287 Chọn nút Low/High… và trên hộp thoại Define Custom Factorial Design: Low/High ta nhập lần lượt các giá trị tự nhiên nhỏ nhất và lớn nhất các nhân tố. Hình 6.36 Nhấp Ok. 3. Analyse Factorial Design… Xử lý và phân tích kết quả thực nghiệm. Từ Stat menu chọn DOE > Factorial > Analyse Factorial Design Hình 6.37
  • 287.
    288 CHƯƠNG 6 Trênhộp thoại Analyse Factorial Design ta chọn thông số đầu ra và chọn Select. Hình 6.38 Ta nhập các cột kết quả tương ứng vào và chọn sẽ phân tích phương sai. - Chọn nút Terms và trên hộp thoại Analyse Factorial Design: Terms chọn các hệ số phương trình hồi quy. Hình 6.39 - Chọn nút Stepwise… và trên hộp thoại Analyse Factorial Design:
  • 288.
    QUY HOẠCH THỰCNGHIỆM BẬC 2 289 Stepwise nếu muốn loại bỏ các hệ số không ý nghĩa thì chọn Stepwise. Hình 6.40 - Chọn nút Graphs… và trên hộp thoại Analyse Factorial Design: Graphs chọn các đồ thị kết quả cần hiển thị. Hình 6.41
  • 289.
    290 CHƯƠNG 6 -Chọn nút Results… và trên hộp thoại Analyse Factorial Design: Results chọn các kết quả cần hiển thị. Hình 6.42 - Chọn nút Storage… và trên hộp thoại Analyse Factorial Design: Storage chọn các kết quả cần xuất hiện trên worksheet. Hình 6.43
  • 290.
    QUY HOẠCH THỰCNGHIỆM BẬC 2 291 Sau khi chọn xong, nhấp Ok, sẽ xuất hiện các kết quả tương ứng: Response Surface Regression: P versus x1, x2 Analysis of Variance Source DF Adj SS Adj MS F-Value P-Value Model 5 10.6545 2.13090 27.60 0.000 Linear 2 7.7254 3.86271 50.02 0.000 x1 1 3.8627 3.86266 50.02 0.000 x2 1 3.8628 3.86276 50.02 0.000 Square 2 2.5347 1.26735 16.41 0.002 x1*x1 1 1.8450 1.84504 23.89 0.002 x2*x2 1 0.4176 0.41757 5.41 0.053 2-Way Interaction 1 0.3944 0.39438 5.11 0.058 x1*x2 1 0.3944 0.39438 5.11 0.058 Error 7 0.5405 0.07722 Lack-of-Fit 3 0.4900 0.16334 12.94 0.016 Pure Error 4 0.0505 0.01263 Total 12 11.1950 Model Summary S R-sq R-sq(adj) R-sq(pred) 0.277881 95.17% 91.72% 68.17% Coded Coefficients Term Coef SE Coef T-Value P-Value VIF Constant 1.820 0.124 14.65 0.000 x1 -0.6949 0.0982 -7.07 0.000 1.00 x2 -0.6949 0.0982 -7.07 0.000 1.00 x1*x1 -0.515 0.105 -4.89 0.002 1.02 x2*x2 0.245 0.105 2.33 0.053 1.02 x1*x2 0.314 0.139 2.26 0.058 1.00 Regression Equation in Uncoded Units P = 1.820 - 0.6949 x1 - 0.6949 x2 - 0.515 x1*x1 + 0.245 x2*x2 + 0.314 x1*x2 4. Chọn Contour Plot để xuất các đồ thị là các đường đồng mức. x1 x2 1.0 0.5 0.0 -0.5 -1.0 1.0 0.5 0.0 -0.5 -1.0 > – – – < 0 0 1 1 2 2 3 3 P Contour Plot of P vs x2, x1 Hình 6.44
  • 291.
    292 CHƯƠNG 6 5.Chọn Surface Plot để vẽ các mặt đáp ứng. Hình 6.45 6. Chọn Overlaid Contour Plot… để xác định miền giá trị nhân tố tương ứng khoảng giá trị kết quả đầu ra. Hình 6.46 7. Chọn Response Optimizer… tìm giá trị các nhân tố để thông số đầu ra đạt giá trị tối ưu.
  • 292.
    QUY HOẠCH THỰCNGHIỆM BẬC 2 293 Hình 6.47 BÀI TẬP 6.1. Nghiên cứu phụ thuộc độ nhám bề mặt R (µm) khi phay vật liệu vào vận tốc cắt v (1 m/s  v  5 m/s) và độ tù mũi dao  (20 m    80 m). Ma trận quy hoạch dạng FCCCD và kết quả thực nghiệm cho trong Bảng 6.60. Bảng 6.60 N x0 x1 x2 x1 2 x2 2 x1x2 y 1 2 3 4 +1 +1 +1 +1 +1 +1 -1 -1 +1 -1 +1 -1 1 1 1 1 1 1 1 1 1 -1 -1 1 26.95 13.85 30.90 23.15 5 6 7 8 +1 +1 +1 +1 +1 -1 0 0 0 0 +1 -1 1 1 0 0 0 0 1 1 0 0 0 0 18.15 24.65 28.15 17.75 a) Xác định phương trình hồi quy bậc 2 dạng mã hóa. b) Biểu diễn phương trình dạng tự nhiên và phân tích kết quả. 6.2. Nghiên cứu phụ thuộc độ nhám bề mặt R (m) khi phay vật liệu vào vận tốc cắt v (1 m/s  v  6 m/s) và độ tù mũi dao  (15 m    90 m). Ma trận quy hoạch dạng quay đều và kết quả thực nghiệm cho trong bảng sau (mỗi thí nghiệm chính có 3 giá trị lặp). Xác định:
  • 293.
    294 CHƯƠNG 6 Bảng6.61 N x0 x1 x2 y1 y2 y3 j y s2 i 1 2 3 4 +1 +1 +1 +1 +1 +1 -1 -1 +1 -1 +1 -1 40 16 27 35 42 15 28 32 39 17 24 36 5 6 7 8 +1 +1 +1 +1 +1.414 -1.414 0 0 0 0 +1.414 -1.414 12 28 58 35 14 26 59 34 13 25 56 33 9 10 11 12 13 +1 +1 +1 +1 +1 0 0 0 0 0 0 0 0 0 0 29 27 32 31 30 28 32 29 32 29 31 29 32 26 28 a) Phương sai tái hiện. b) Phương trình hồi quy bậc 2 dạng mã hóa. c) Mức ý nghĩa các hệ số và tính tương thích PTHQ. b) Phương trình dạng tự nhiên và phân tích kết quả. 6.3 Sử dụng QHTN hỗn hợp ở tâm trực giao bậc 2 để nghiên cứu ảnh hưởng các nhân tố: điện thế U (V), cường độ dòng điện I (A) và nhiệt độ nung nóng t (o C) đến chất lượng đĩa từ. Bảng 6.62 Mức giá trị Các nhân tố Điện thế U (V) Cường độ dòng điện I (A) Nhiệt độ nung nóng t (o C) Mức cơ sở Xi 0 Khoảng thay đổi Xi Mức trên (xi = +1) Mức dưới (xi = -1) 30 3 33 27 18 2 20 16 220 20 240 200 Kết quả thực nghiệm cho trong Bảng 6.63.
  • 294.
    QUY HOẠCH THỰCNGHIỆM BẬC 2 295 Bảng 6.63 N0 x0 x1 x2 x3 x1 2 - x2 2 - x3 2 - x1x2 x1x3 x2x3 y(f1) y(f2) y(f3) y(f4) s1 2 (f) 1 +1 -1 -1 -1 +0,27 +0,27 +0,27 +1 +1 +1 6,37 6,19 6,27 6,28 0,02 2 +1 +1 -1 -1 +0,27 +0,27 +0,27 -1 -1 +1 4,00 3,59 3,87 3,82 0,13 3 +1 -1 +1 -1 +0,27 +0,27 +0,27 -1 +1 -1 2,96 3,96 3,75 3,56 0,83 4 +1 +1 +1 -1 +0,27 +0,27 +0,27 +1 -1 -1 -1,16 -0,86 -1,82 -1,28 0,72 5 +1 -1 -1 +1 +0,27 +0,27 +0,27 +1 -1 -1 5,06 4,87 4,87 4,93 0,04 6 +1 +1 -1 +1 +0,27 +0,27 +0,27 -1 +1 -1 2,74 2,94 2,61 2,76 0,08 7 +1 -1 +1 +1 +0,27 +0,27 +0,27 -1 -1 +1 2,96 2,44 2,80 2,73 0,21 8 +1 +1 +1 +1 +0,27 +0,27 +0,27 +1 +1 +1 -2,46 -2,14 -2,80 -2,47 0,32 9 +1 -1,25 0 0 +0,75 -0,73 -0,73 0 0 0 4,04 4,20 4,37 4,20 0,08 10 +1 +1,25 0 0 +0,75 -0,73 -0,73 0 0 0 0,39 -0,73 0,76 0,14 1,81 11 +1 0 -1,25 0 -0,73 +0,75 -0,73 0 0 0 5,88 5,93 5,68 5,83 0,05 12 +1 0 +1,25 0 -0,73 +0,75 -0,73 0 0 0 1,41 1,14 1,07 1,21 0,10 13 +1 0 0 -1,25 -0,73 -0,73 +0,75 0 0 0 3,43 4,14 4,39 3,99 0,74 14 +1 0 0 +1,25 -0,73 -0,73 +0,75 0 0 0 2,30 3,05 2,61 2,65 0,43 15 +1 0 0 0 -0,73 -0,73 -0,73 0 0 0 3,64 2,96 3,65 3,42 0,47 Xác định: a) Phương trình hồi quy bậc 2 dạng mã hóa. b) Mức ý nghĩa các hệ số và tính tương thích PTHQ. c) Phương trình dạng tự nhiên và phân tích kết quả. 6.4. Sử dụng QHTN hỗn hợp quay đều bậc 2 để nghiên cứu ảnh hưởng các nhân tố: điện thế U (V), cường độ dòng điện I (A) và nhiệt độ nung nóng t (o C) đến chất lượng đĩa từ. Bảng 6.64 Mức giá trị Các nhân tố Điện thế U (V) Cường độ dòng điện I (A) Nhiệt độ nung nóng t (o C) Mức cơ sở Xi 0 Khoảng thay đổi Xi Mức trên (xi = +1) Mức dưới (xi = -1) 30 3 33 27 18 2 20 16 220 20 240 200 Kết quả thực nghiệm cho trong Bảng 6.65.
  • 295.
    296 CHƯƠNG 6 Bảng6.65 N0 x0 x1 x2 x3 x1 2 x2 2 x3 2 x1x2 x1x3 x2x3 y(f1) y(f2) y(f3) y(f4) s1 2 (f) 1 +1 -1 -1 -1 +1 +1 +1 +1 +1 +1 2,74 2,69 2,17 0,2 0,1 2 +1 +1 -1 -1 +1 +1 +1 -1 -1 +1 7,58 6,69 7,83 0,72 0,359 3 +1 -1 +1 -1 +1 +1 +1 -1 +1 -1 1,01 0,903 -0,12 0,78 0,389 4 +1 +1 +1 -1 +1 +1 +1 +1 -1 -1 8,15 8,54 8,72 0,17 0,085 5 +1 -1 -1 +1 +1 +1 +1 +1 -1 -1 4,35 5,11 4,59 0,30 0,151 6 +1 +1 -1 +1 +1 +1 +1 -1 +1 -1 6,02 6,69 5,87 0,38 0,191 7 +1 -1 +1 +1 +1 +1 +1 -1 -1 +1 0,45 -0,58 1,17 1,55 0,774 8 +1 +1 +1 +1 +1 +1 +1 +1 +1 +1 3,27 3,83 3,89 0,23 0,117 9 +1 -1,68 0 0 +2,83 0 0 0 0 0 -0,57 -0,38 -0,40 0,02 0,011 10 +1 +1,68 0 0 +2,83 0 0 0 0 0 5,74 5,78 6,19 0,12 0,062 11 +1 0 -1,68 0 0 +2,83 0 0 0 0 7,14 7,58 6,67 0,41 0,207 12 +1 0 +1,68 0 0 +2,83 0 0 0 0 3,35 3,44 4,30 0,55 0,275 13 +1 0 0 -1,68 0 0 +2,83 0 0 0 5,31 5,15 5,50 0,06 0,031 14 +1 0 0 +1,68 0 0 +2,83 0 0 0 2,96 3,78 3,47 0,34 0,171 15 +1 0 0 0 0 0 0 0 0 0 4,95 4,76 4,19 0,31 0,156 16 +1 0 0 0 0 0 0 0 0 0 3,98 4,89 3,80 0,68 0,341 17 +1 0 0 0 0 0 0 0 0 0 4,65 4,47 4,24 0,08 0,042 18 +1 0 0 0 0 0 0 0 0 0 4,37 4,53 4,27 0,03 0,017 19 +1 0 0 0 0 0 0 0 0 0 3,70 4,59 4,47 0,47 0,233 20 +1 0 0 0 0 0 0 0 0 0 4,72 4,57 4,30 0,07 0,037  85,35 28,2 -13,47 -7,30 49,29 64,49 58,54 4,85 7,88 6,04 Xác định: a) Phương trình hồi quy bậc 2 dạng mã hóa. b) Mức ý nghĩa các hệ số và tính tương thích PTHQ. c) Phương trình dạng tự nhiên và phân tích kết quả. 6.5. Sử dụng QHTN hỗn hợp tại tâm quay đều bậc 2 để nghiên cứu ảnh hưởng các nhân tố: góc cắt chính φ, góc nghiêng dao λ và góc trước γ đến lực cắt khi phay mặt đầu. Miền các nhân tố và ma trân thực nghiệm cho trong Bảng 6.66 và 6.67. Bảng 6.66 Mức giá trị Các nhân tố Góc cắt chính φ Góc nghiêng dao λ Góc trước γ Mức cơ sở Xi 0 Khoảng thay đổi Xi Mức trên (xi = +1) Mức dưới (xi = -1) 60 15 75 45 5 6 11 -1 10 6 16 0
  • 296.
    QUY HOẠCH THỰCNGHIỆM BẬC 2 297 Bảng 6.67 N x0 x1 x2 x3 x1x2 x1x3 x2x3 x1 2 x2 2 x3 2 F (N) 1 2 3 4 5 6 7 8 + + + + + + + + + + + + - - - - + + - - + + - - + - + - + - + - + + - - - - + + + - + - - + - + + - - + + - - + + + + + + + + + + + + + + + + + + + + + + + + + 1210 1350 1140 1285 1225 1370 1150 1290 9 10 11 12 13 14 + + + + + + +1,682 -1,682 0 0 0 0 0 0 +1,628 -1,628 0 0 0 0 0 0 +1,628 -1,628 0 0 0 0 0 0 0 0 0 0 0 0 0 0 0 0 0 0 2,829 2,829 0 0 0 0 0 0 2,829 2,829 0 0 0 0 0 0 2,829 2,829 1310 1370 1240 1120 1060 1300 15 16 17 18 19 20 + + + + + + 0 0 0 0 0 0 0 0 0 0 0 0 0 0 0 0 0 0 0 0 0 0 0 0 0 0 0 0 0 0 0 0 0 0 0 0 0 0 0 0 0 0 0 0 0 0 0 0 0 0 0 0 0 0 1118 1140 1160 1210 1190 1200 Xác định: a) Phương trình hồi quy bậc 2 dạng mã hoá. b) Mức ý nghĩa các hệ số và tính tương thích PTHQ. c) Phương trình dạng tự nhiên và phân tích kết quả. 6.6. Sử dụng QHTN không hỗn hợp dạng D để nghiên cứu ảnh hưởng các nhân tố: góc cắt chính 2φ, góc trước γ, chiều dày lõi E đến độ bền mòn lưỡi khoan để khoan lỗ đường kính d = 4 mm. Bảng 6.68 Mức giá trị Các nhân tố Góc cắt chính 2φ Góc trước γ Chiều dày lõi E Mức cơ sở Xi 0 Khoảng thay đổi Xi Mức trên (xi = +1) Mức dưới (xi = -1) 147 4 151 143 32 4 36 28 1,2 0,2 1,4 1,0 Ma trận quy hoạch và kết quả thực nghiệm cho trong Bảng 6.69.
  • 297.
    298 CHƯƠNG 6 Bảng6.69 N x0 x1 x2 x3 x1x2 x1x3 x2x3 x1 2 x2 2 x3 2 yi 1 2 3 4 + + + + + + - - + - + - 0 0 0 0 + - - + 0 0 0 0 0 0 0 0 + + + + + + + + 0 0 0 0 751 827 1298 1520 5 6 7 8 +1 + + + + + - - 0 0 0 0 + - + - 0 0 0 0 + - - + 0 0 0 0 + + + + 0 0 0 0 + + + + 1287 974 1844 1668 9 10 11 12 + + + + 0 0 0 0 + + - - + - + - 0 0 0 0 0 0 0 0 + - - + 0 0 0 0 + + + + + + + + 1042 544 961 937 13 14 15 + + + 0 0 0 0 0 0 0 0 0 0 0 0 0 0 0 0 0 0 0 0 0 0 0 0 0 0 0 1214 1201 1185 Xác định: a) Phương trình hồi quy bậc 2 dạng mã hóa. b) Mức ý nghĩa các hệ số và tính tương thích PTHQ. c) Phương trình dạng tự nhiên và phân tích kết quả. 6.7. Sử dụng QHTN hỗn hợp tại tâm quay đều bậc 2 để nghiên cứu ảnh hưởng các nhân tố: vận tốc cắt v (m/min), vận tốc đưa phôi u (mm/vg), chiều sâu cắt h (mm) đến độ nhám bề mặt Rz. Bảng 6.70 Mức giá trị Các nhân tố Vận tốc cắt v (m/min) Vận tốc đưa phôi u (mm/vg) Chiều sâu cắt h (mm) Mức cơ sở Xi 0 Khoảng thay đổi Xi Mức trên (xi = +1) Mức dưới (xi = -1) 205 109 314 96 0,5 0,2 0,7 0,3 0,25 0,25 0,75 0,25 Kết quả thực nghiệm cho trong Bảng 6.71.
  • 298.
    QUY HOẠCH THỰCNGHIỆM BẬC 2 299 Bảng 6.71 N0 x0 x1 x2 x3 x1 2 x2 2 x3 2 x1x2 x1x3 x2x3 Rz.(m) 1 +1 -1 -1 -1 +1 +1 +1 +1 +1 +1 2,16 2 +1 +1 -1 -1 +1 +1 +1 -1 -1 +1 2,65 3 +1 -1 +1 -1 +1 +1 +1 -1 +1 -1 3,80 4 +1 +1 +1 -1 +1 +1 +1 +1 -1 -1 4,70 5 +1 -1 -1 +1 +1 +1 +1 +1 -1 -1 2,22 6 +1 +1 -1 +1 +1 +1 +1 -1 +1 -1 2,48 7 +1 -1 +1 +1 +1 +1 +1 -1 -1 +1 4,20 8 +1 +1 +1 +1 +1 +1 +1 +1 +1 +1 4,89 9 +1 -1,68 0 0 +2,83 0 0 0 0 0 3,55 10 +1 +1,68 0 0 +2,83 0 0 0 0 0 4,50 11 +1 0 -1,68 0 0 +2,83 0 0 0 0 1,80 12 +1 0 +1,68 0 0 +2,83 0 0 0 0 5,15 13 +1 0 0 -1,68 0 0 +2,83 0 0 0 2,32 14 +1 0 0 +1,68 0 0 +2,83 0 0 0 2,56 15 +1 0 0 0 0 0 0 0 0 0 2,31 16 +1 0 0 0 0 0 0 0 0 0 2,08 17 +1 0 0 0 0 0 0 0 0 0 2,12 18 +1 0 0 0 0 0 0 0 0 0 2,32 19 +1 0 0 0 0 0 0 0 0 0 2,36 20 +1 0 0 0 0 0 0 0 0 0 2,12 Xác định: a) Phương trình hồi quy bậc 2 dạng mã hóa. b) Mức ý nghĩa các hệ số và tính tương thích PTHQ. c) Phương trình dạng tự nhiên và phân tích kết quả. 6.8. Xấp xỉ các hàm bằng các phương pháp mặt đáp ứng: 1. Xấp xỉ hàm y = X1 3 + X1X2 – X2 2 X1 2 + 3X3 4 bằng đa thức bậc 2 tại lân cận điểm X = (1, 1) theo quy hoạch FCCCD. 2. Xấp xỉ hàm y = X1 3 + X1X2 – X2 2 X1 2 + 3X3 4 bằng đa thức bậc 2 tại lân cận điểm X = (1, 1) theo quy hoạch quay đều. 3. Xấp xỉ hàm y = X1 3 + X1X2 – X2 2 X1 2 + 3X3 4 bằng đa thức bậc 2 tại lân cận điểm X = (1, 1) theo quy hoạch trực giao. 4. Xấp xỉ hàm y = X1 3 + X1X2 + X2 2 X1 2 + 3X3 4 bằng đa thức bậc 2 tại lân cận điểm X = (1, 1) theo quy hoạch dạng D.
  • 299.
    300 CHƯƠNG 6 5.Xấp xỉ hàm y = X1 3 + X1X2 – X2 2 X1 2 + 3X3 4 bằng đa thức bậc 2 tại lân cận điểm X = (1, 1) theo quy hoạch 3k . 6. Xấp xỉ hàm y = X1 3 - X1X2 + X2 2 X1 2 + 3X3 4 bằng đa thức bậc 2 tại lân cận điểm X = (1, 1) theo quy hoạch FCCCD. 7. Xấp xỉ hàm sau đây bằng đa thức bậc 2 tại lân cận điểm X = (1, 1) 2 2 1 1 2 1 X 20,25(X X ) 2 3 f(x) X .e             theo quy hoạch FCCCD. 8. Xấp xỉ sau đây bằng đa thức bậc 2 tại lân cận điểm X = (1, 1) 2 2 1 1 2 1 X 20,25(X X ) 2 3 f(x) X .e             theo quy hoạch quay đều. 9. Xấp xỉ hàm sau đây bằng đa thức bậc 2 tại lân cận điểm X = (1, 1) 2 2 1 1 2 1 X 20,25(X X ) 2 3 f(x) X .e             theo quy hoạch trực giao. 10. Xấp xỉ hàm sau đây bằng đa thức bậc 2 tại lân cận điểm X = (1, 1) 2 2 1 1 2 1 X 20,25(X X ) 2 3 f(x) X .e             theo quy hoạch dạng D. 11. Xấp xỉ hàm sau đây bằng đa thức bậc 2 tại lân cận điểm X = (1, 1) 2 2 1 1 2 1 X 20,25(X X ) 2 3 f(x) X .e             theo quy hoạch 3k . 12. Xấp xỉ sau đây bằng đa thức bậc 2 tại lân cận điểm X = (1, 1) 2 2 1 1 2 1 X 20,25(X X ) 2 3 f(x) X .e             theo quy hoạch Box-Behnken. 13. Xấp xỉ hàm sau đây bằng đa thức bậc 2 tại lân cận điểm X = (1, 1) 2 2 2 2 1 1 f (x) (X X ) (1 X )     + 4X3 4 theo quy hoạch FCCCD. 14. Xấp xỉ hàm sau đây ằng đa thức bậc 2 tại lân cận điểm X = (0, 0) 2 2 2 2 1 1 f (x) (X X ) (1 X )     + 4X3 4 theo quy hoạch quay đều. 15. Xấp xỉ hàm sau đây bằng đa thức bậc 2 tại lân cận điểm X = (0, 0) 2 2 2 2 1 1 f (x) (X X ) (1 X )     + 4X3 4 theo quy hoạch trực giao.
  • 300.
    QUY HOẠCH THỰCNGHIỆM BẬC 2 301 16. Xấp xỉ hàm sau đây bằng đa thức bậc 2 tại lân cận điểm X = (0, 0) 2 2 2 2 1 1 f (x) (X X ) (1 X )     + 4X3 4 theo quy hoạch dạng D. 17. Xấp xỉ hàm sau đây bằng đa thức bậc 2 tại lân cận điểm X = (0, 0)     2 2 2 2 1 1 f (X) (X X ) (1 X ) + 4X3 4 theo quy hoạch 3k . 18. Xấp xỉ hàm sau đây bằng đa thức bậc 2 tại lân cận điểm X = (0, 0) 2 2 2 4 2 1 1 3 f (x) (X X ) (1 X ) 4X      theo quy hoạch Box-Behnken. 19. Xấp xỉ hàm sau đây bằng đa thức bậc 2 tại lân cận điểm X = (0, 0) 2 2 2 2 1 1 f (x) (X X ) (1 X )     + 4X3 4 theo quy hoạch FCCCD. 6.9. Bài tập lớn theo Quy hoạch thực nghiệm bậc 2 (Mặt đáp ứng). Sinh viên (học viên) tìm hiểu 01 bài báo khoa học liên quan 1 trong các phương pháp quy hoạch thực nghiệm bậc 2 và trình bày trong thuyết minh các nội dung sau: 1. Tóm tắt nội dung bài báo khoa học (Abstract). 2. Các nhân tố đầu vào, đầu ra, miền giá trị. 3. Dạng ma trận QHTN, số thí nghiệm lặp (lựa chọn), kết quả thực nghiệm. 4. Xử lý kết quả thực nghiệm trên Minitab. 5. So sánh kết quả bài báo với Minitab. 6. Nhận xét chung.
  • 301.
    CHƯƠNG 7 302 Chương 7 PHƯƠNGPHÁP TAGUCHI (TAGUCHI METHOD) Chương này gồm các nội dung sau: 7.1. Giới thiệu 7.2. Ma trận quy hoạch theo phương pháp Taguchi 7.3. Sử dụng Minitab 7.4. Các ví dụ
  • 302.
    PHƯƠNG PHÁP TAGUCHI303 7.1. GIỚI THIỆU Tiến sĩ Taguchi (Nhật Bản) là người đặt nền móng cho phương pháp thiết kế bền vững (Robust Design), cũng là người đề ra phương pháp thực nghiệm mang tên ông. Mục tiêu phương pháp Taguchi là thiết kế một quá trình (hoặc sản phẩm) ít chịu ảnh hưởng bởi những nhân tố gây ra sự sai lệch về chất lượng. Mục đích là điều chỉnh các thông số đến mức tối ưu để quá trình (hoặc sản phẩm) ổn định ở mức chất lượng tốt nhất. Phương pháp Taguchi sử dụng các dãy trực giao trong quy hoạch thực nghiệm. Do đó, phương pháp này cho phép sử dụng tối thiểu các thí nghiệm cần thiết để nghiên cứu ảnh hưởng của các thông số lên một đáp ứng được lựa chọn nào đó của một quá trình (hoặc sản phẩm) từ đó nhanh chóng điều chỉnh các thông số tiến đến tối ưu nhanh nhất. Các đặc điểm phương pháp Taguchi: 1. Phương pháp Taguchi bổ sung cho 2 phương pháp quy hoạch thực nghiệm toàn phần (TNT) và riêng phần (TNR). 2. Phương pháp Taguchi dựa trên ma trận thực nghiệm trực giao xây dựng trước và phương pháp để phân tích đánh giá kết quả. 3. Các nhân tố có thể có 2, 3, 4, 5, …, 8 mức giá trị. 4. Phương pháp Taguchi sử dụng tốt nhất với số nhân tố khảo sát từ 3 đến 50, số tương tác ít và khi chỉ có một số ít nhân tố có ý nghĩa. Phương pháp Taguchi sử dụng tỷ số tín hiệu/nhiễu (Signal to Noise Ratio) S/N được chuyển đổi từ hàm số mất mát L = k (y - m)2 , trong đó L là mất mát do sai lệch giá trị đáp ứng y nhận được so với giá trị đáp ứng m mong muốn, k là hằng số. Tỷ số S/N được xây dựng và chuyển đổi để tính toán cho 3 trường hợp chính: - Nếu giá trị đáp ứng yi cần đạt “lớn hơn tốt hơn – Higher is better” thì: n 10 2 i 1 i S 1 1 10log N n y             (7.1) - Nếu giá trị đáp ứng yi cần đạt “Nhỏ hơn tốt hơn – Lower is better” thì: n 2 10 i i 1 S 1 10log y N n             (7.2)
  • 303.
    CHƯƠNG 7 304 - Nếugiá trị đáp ứng yi cần đạt hoặc “Đánh giá ảnh hưởng của các nhân tố - Nominal is best” thì: 2 i 10 2 i y S 10log N s          (7.3) trong đó:   n n 2 2 u u u 1 u 1 1 1 y y ; s y y n n 1         (7.4) với n, s, ȳ lần lượt là số thí nghiệm lặp, độ lệch chuẩn và giá trị trung bình. Trong mọi trường hợp, tỷ số S/N càng lớn thì đặc tính nhận được càng tốt. Do không sử dụng toàn bộ các tổ hợp thí nghiệm nên phương pháp Taguchi không đưa ra được một con số chính xác về ảnh hưởng của một thông số đầu vào (nhân tố) nào đó đến kết quả đầu ra mà chỉ mang tính chất định hướng. Mặc dù vậy, bằng việc đánh giá qua tỷ số S/N giúp những nhà công nghệ biết xu hướng và mức độ ảnh hưởng của từng thông số công nghệ đến kết quả đầu ra. Từ các nhận biết này sẽ giúp các nhà nghiên cứu nhanh chóng tìm ra các thông số công nghệ và phạm vi cần tác động để nhận được hiệu quả đầu ra tốt nhất. Trên cơ sở đánh giá ảnh hưởng riêng lẻ các thông số có thể tìm ra được tổ hợp các thông số công nghệ tối ưu cho kết quả đặc tính đầu ra mong muốn. Nhiều nghiên cứu và ứng dụng từ những năm 1970 đã chỉ ra rằng phương pháp Taguchi có thể sử dụng cho nghiên cứu hàn lâm, cũng như cho những ứng dụng trong sản xuất và đặc biệt phù hợp cho những người có hiểu biết hạn chế về thống kê [1, 2, 3]. Phương pháp Taguchi được thực hiện theo 7 bước cơ bản sau: 1. Chọn các nhân tố độc lập (Factors), biến điều khiển (Control Variable) và biến đáp ứng (Response – thông số đầu ra), hàm mục tiêu (Objective Function); 2. Xác định miền giá trị các nhân tố ảnh hưởng đến mục tiêu (đáp ứng), các quan hệ có thể có giữa các nhân tố (bậc tự do - Degree of Freedom) và phân bố toàn bộ miền giá trị của các nhân tố thành các mức (Level), ví dụ như Bảng 7.1 và Hình 7.3.
  • 304.
    PHƯƠNG PHÁP TAGUCHI305 Bảng 7.1 Các nhân tố và mức giá trị STT Nhân tố Ký hiệu Mức giá trị Khoảng thay đổi Tự nhiên Mã hóa Dưới, 1 Cơ sở, 2 Trên, 3 1 Chiều dài làm việc dụng cụ cắt (cm) L x1 2 Chiều dài cắt (cm) l x2 3 Vận tốc cắt (m/s) v x3 4 Lượng đưa phôi (mm)  x4 … … … … 3. Tạo (chọn) dạng ma trận quy hoạch thực nghiệm tùy vào số nhân tố và số mức giá trị, ví dụ L9 như Bảng 7.2: cột là các nhân tố, hàng là các thí nghiệm (n) trên Mục 7.2, phụ thuộc số mức giá trị và số nhân tố. 4. Tiến hành thực nghiệm để thu thập số liệu các giá trị đáp ứng (thông số đầu ra). Trong một số trường hợp trong mỗi thực nghiệm ta lặp n lần. Phân tích thống kê dữ liệu thực nghiệm. 5. Phân tích số liệu theo tỉ số S/N, phụ thuộc vào mục tiêu “lớn hơn tốt hơn – Higher is better”, “Nhỏ hơn tốt hơn – Lower is better” hoặc “Đánh giá ảnh hưởng của các nhân tố - Nominal is best” ta sử dụng công thức (7.1) đến (7.3). Sau đó xác định giá trị thí nghiệm tối ưu của các nhân tố.. Bảng 7.2 Ma trận quy hoạch L9 n Các nhân tố Giá trị đáp ứng yi Tỉ số S/N x1 x2 x3 x4 1 1 1 1 1 y1 … 2 1 2 2 2 y2 … 3 1 3 3 3 y3 … 4 2 1 2 3 y4 … 5 2 2 3 1 y5 … 6 2 3 1 2 y6 … 7 3 1 3 2 y7 … 8 3 2 1 3 y8 … 9 3 3 2 1 y9 …
  • 305.
    CHƯƠNG 7 306 6. Đểxác định ảnh hưởng của các nhân tố đến kết quả đầu ra ta sử dụng phân tích giá trị trung bình (ANalysis of Mean - ANOM) và phân tích phương sai (ANalysis of Variance - ANOVA), xác định mức độ ảnh hưởng của các nhân tố đến kết quả đầu ra. Kết quả bước này được trình bày tương ứng trong Bảng 7.3. Bảng 7.3 Các nhân tố ảnh hưởng đến thông số đầu ra STT Nhân tố Tỷ lệ S/N trung bình cho giá trị đáp ứng với các mức giá trị Trung bình m Lớn (nhỏ) nhất max (min) Hiệu số Max - m (m – min) % Ảnh hưởng (j) 1 2 3 1 L (cm) x 2 l (cm) x 3 V (m/s) x 4  (mm) x Chú ý: Lấy theo giá trị trung bình đáp ứng các nhân tố cùng mức giá trị (Level). Giá trị trung bình m của các tỉ số S/N cho mỗi mức giá trị của mỗi nhân tố được xác định theo công thức: p mj i i 1 S 1 S Mean N p N                  (7.5) trong đó p là số phần tử cùng mức giá trị của nhân tố j. Sai lệch có thể được đánh giá bằng các đại lượng khác nhau, cụ thể có thể thực hiện theo 3 cách cho nhân tố thứ j: - Tổng sai lệch trung bình của các mức giá trị:   j n j x u mj u 1 S      (7.6) - Tổng bình phương sai lệch trung bình của các mức giá trị:   j n 2 j x u mj u 1 S      (7.7)
  • 306.
    PHƯƠNG PHÁP TAGUCHI307 - Tổng bình phương sai lệch trung bình giữa các mức giá trị       2 2 2 j m1 m2 m2 m3 m3 m1 S              (7.8) Mức độ ảnh hưởng của mỗi nhân tố được đánh giá bằng tỷ lệ % giữa sai lệch Sj của nhân tố đó so với tổng sai lệch của tất cả các nhân tố (với k số nhân tố): j j k j j 1 S (%) S     (7.9) 7. Tính toán lại hàm mục tiêu theo bộ giá trị nhân tố tối ưu và kiểm chứng bằng thực nghiệm. Đây là bước bổ sung, vì bước 5 đã tính đến ảnh hưởng của các nhân tố theo tỷ số S/N. Phương pháp Taguchi đơn giản, số thí nghiệm ít, có thể định lượng hoặc định tính. Tuy nhiên phương pháp có nhược điểm: - Do số liệu rời rạc nên phương án nhận được chỉ gần tối ưu. - Không đưa được các điều kiện ràng buộc. - Giải được bài toán đơn mục tiêu. 7.2. MA TRẬN QUY HOẠCH THEO PHƯƠNG PHÁP TAGUCHI So sánh phương pháp Taguchi với các phương pháp quy hoạch thực nghiệm khác theo Bảng 7.4. Bảng 7.4 Mức giá trị Quy hoạch trực giao Số nhân tố Số thí nghiệm Trực giao Taguchi 1 nhân tố cùng lúc Nhân tố toàn phần 2k 2 L4 (23 -1 ) L8 (27-4 ) L12 (211 ) L16 (215 ) L32 (231 ) 3 7 11 15 31 4 8 12 16 32  4  8  12  16  32 8 128 2048 32768 2147483647 3 L9 (34 ) L27 (313 ) 4 13 9 27  9  27 81 1594323 Số mức hỗn hợp L16 (21 37 ) L36 (23 313 ) 1(2 mức) +7(3 mức) 3(2 mức) +13(3 mức) 18 36  18  36 4374 12754584
  • 307.
    CHƯƠNG 7 308 Sau đâylà vài dạng quy hoạch thực nghiệm 2, 3, 4 và 5 mức giá trị trực giao (còn gọi là quy hoạch trực giao Taguchi “L”). Trong trường hợp 2 mức giá trị là 1 và 2, còn 3 mức giá trị sẽ là 1, 2 và 3. Bảng 7.5 Chọn dãy trực giao Taguchi theo bậc tự do Dãy trực giao Số thí nghiệm Số nhân tố lớn nhất Số nhân tố lớn nhất theo số mức 2 mức 3 mức 4 mức 5 mức L4 4 3 3 L8 8 7 7 L9 9 4 4 L12 12 11 11 L16 16 15 15 L’16 16 5 5 L18 18 8 1 7 L25 25 6 6 L27 27 13 13 L32 32 31 31 L’32 32 10 1 9 L36 36 23 11 12 L’36 36 16 3 13 L50 50 12 1 11 L54 54 26 1 25 L64 64 63 63 L’64 64 21 21 L81 81 40 40 Bảng 7.6 Quy hoạch L4 cho 2 mức giá trị, số nhân tố 2 và 3 N x1 x2 x3 1 1 1 1 2 1 2 2 3 2 1 2 4 2 2 1
  • 308.
    PHƯƠNG PHÁP TAGUCHI309 a) L4, 3 nhân tố b) L9, 3 nhân tố Hình 7.1 Các điểm thí nghiệm theo phương pháp Taguchi Bảng 7.7 Quy hoạch L8 cho 2 mức giá trị, số nhân tố 2 đến 7 N x1 x2 x3 x4 x5 x6 x7 1 1 1 1 1 1 1 1 2 1 1 1 2 2 2 2 3 1 2 2 1 1 2 2 4 1 2 2 2 2 1 1 5 2 1 2 1 2 1 2 6 2 1 2 2 1 2 1 7 2 2 1 1 2 2 1 8 2 2 1 2 1 1 2 Bảng 7.8 Quy hoạch L12 cho 2 mức giá trị, số nhân tố 2 đến 11 N x1 x2 x3 x4 x5 x6 x7 x8 x9 x10 x11 1 1 1 1 1 1 1 1 1 1 1 1 2 1 1 1 1 1 2 2 2 2 2 2 3 1 1 2 2 2 1 1 1 2 2 2 4 1 2 1 2 2 1 2 2 1 1 2 5 1 2 2 1 2 2 1 2 1 2 1 6 1 2 2 1 2 2 1 2 1 2 1 7 1 2 2 2 1 2 2 1 2 1 1 8 2 1 2 1 2 2 2 1 1 1 2 9 2 1 1 2 2 2 1 2 2 1 1 10 2 2 2 1 1 1 1 2 2 1 2 11 2 2 1 2 1 2 1 1 1 2 2 12 2 2 1 1 2 1 2 1 2 2 1
  • 309.
    CHƯƠNG 7 310 Bảng 7.9Quy hoạch L9 L9 - quy hoạch nhân tố riêng phần 34-2 với 2 đến 4 nhân tố (9 thí nghiệm) N x1 x2 x3 x4 1 1 1 1 1 2 1 2 2 2 3 1 3 3 3 4 2 1 2 3 5 2 2 3 1 6 2 3 1 2 7 3 1 3 2 8 3 2 1 3 9 3 3 2 1 Bảng 7.10 Quy hoạch L18 L18 - quy hoạch nhân tố riêng phần 2  37-5 với 8 nhân tố (18 thí nghiệm) (1 nhân tố 2 mức giá trị và 7 nhân tố 3 mức giá trị) N x1 x2 x3 x4 x5 x6 x7 x8 1 1 1 1 1 1 1 1 1 2 1 1 2 2 2 2 2 2 3 1 1 3 3 3 3 3 3 4 1 2 1 1 2 2 3 3 5 1 2 2 2 3 3 1 1 6 1 2 3 3 1 1 2 2 7 1 3 1 2 1 3 2 3 8 1 3 2 3 2 1 3 1 9 1 3 3 1 3 2 1 2 10 2 1 1 3 3 2 2 1 11 2 1 2 1 1 3 3 2 12 2 1 3 2 2 1 1 3 13 2 2 1 2 3 1 3 2 14 2 2 2 3 1 2 1 3 15 2 2 3 1 2 3 2 1 16 2 3 1 3 2 3 1 2 17 2 3 2 1 3 1 2 3 18 2 3 3 2 1 2 3 1
  • 310.
    PHƯƠNG PHÁP TAGUCHI311 Bảng 7.11 Quy hoạch L27 L27 - quy hoạch nhân tố riêng phần 313-10 , 3 mức giá trị với 2 đến 13 nhân tố (27 thí nghiệm) N x1 x2 x3 x4 x5 x6 x7 x8 x9 x10 x11 x12 x13 1 1 1 1 1 1 1 1 1 1 1 1 1 1 2 1 1 1 1 2 2 2 2 2 2 2 2 2 3 1 1 1 1 3 3 3 3 3 3 3 3 3 4 1 2 2 2 1 1 1 2 2 2 3 3 3 5 1 2 2 2 2 2 2 3 3 3 1 1 1 6 1 2 2 2 3 3 3 1 1 1 2 2 2 7 1 3 3 3 1 1 1 3 3 3 2 2 2 8 1 3 3 3 2 2 2 1 1 1 3 3 3 9 1 3 3 3 3 3 3 2 2 2 1 1 1 10 2 1 2 3 1 2 3 1 2 3 1 2 3 11 2 1 2 3 2 3 1 2 3 1 2 3 1 12 2 1 2 3 3 1 2 3 1 2 3 1 2 13 2 2 3 1 1 2 3 2 3 1 3 1 2 14 2 2 3 1 2 3 1 3 1 2 1 2 3 15 2 2 3 1 3 1 2 1 2 3 2 3 1 16 2 3 1 2 1 2 3 3 1 2 2 3 1 17 2 3 1 2 2 3 1 1 2 3 3 1 2 18 2 3 1 2 3 1 2 2 3 1 1 2 3 19 3 1 3 2 1 3 2 1 3 2 1 3 2 20 3 1 3 2 2 1 3 2 1 3 2 1 3 21 3 1 3 2 3 2 1 3 2 1 3 2 1 22 3 2 1 3 1 3 2 2 1 3 3 2 1 23 3 2 1 3 2 1 3 3 2 1 1 3 2 24 3 2 1 3 3 2 1 1 3 2 2 1 3 25 3 3 2 1 1 3 2 3 2 1 2 1 3 26 3 3 2 1 2 1 3 1 3 2 3 2 1 27 3 3 2 1 3 2 1 2 1 3 1 3 2
  • 311.
    CHƯƠNG 7 312 Bảng 7.12Quy hoạch L36 L36 - quy hoạch nhân tố riêng phần với 11 nhân tố ở 2 mức giá trị và 12 nhân tố ở 3 mức giá trị (36 thí nghiệm) N x1 x2 x3 x4 x5 x6 x7 x8 x9 x10 x11 x12 x13 x14 x15 x16 x17 x18 x19 x20 x21 x22 x23 1 1 1 1 1 1 1 1 1 1 1 1 1 1 1 1 1 1 1 1 1 1 1 1 2 1 1 1 1 1 1 1 1 1 1 1 2 2 2 2 2 2 2 2 2 2 2 2 3 1 1 1 1 1 1 1 1 1 1 1 3 3 3 3 3 3 3 3 3 3 3 3 4 1 1 1 1 1 2 2 2 2 2 2 1 1 1 1 2 2 2 2 3 3 3 3 5 1 1 1 1 1 2 2 2 2 2 2 2 2 2 2 3 3 3 3 1 1 1 1 6 1 1 1 1 1 2 2 2 2 2 2 3 3 3 3 1 1 1 1 2 2 2 2 7 1 1 2 2 2 1 1 1 2 2 2 1 1 2 3 1 2 3 3 1 2 2 3 8 1 1 2 2 2 1 1 1 2 2 2 2 2 3 1 2 3 1 1 2 3 3 1 9 1 1 2 2 2 1 1 1 2 2 2 3 3 1 2 3 1 2 2 3 1 1 2 10 1 2 1 2 2 1 2 2 1 1 2 1 1 3 2 1 3 2 3 2 1 3 2 11 1 2 1 2 2 1 2 2 1 1 2 2 2 1 3 2 1 3 1 3 2 1 3 12 1 2 1 2 2 1 2 2 1 1 2 3 3 2 1 3 2 1 2 1 3 2 1 13 1 2 2 1 2 2 1 2 1 2 1 1 2 3 1 3 2 1 3 3 2 1 2 14 1 2 2 1 2 2 1 2 1 2 1 2 3 1 2 1 3 2 1 1 3 2 3 15 1 2 2 1 2 2 1 2 1 2 1 3 1 2 3 2 1 3 2 2 1 3 1 16 1 2 2 2 1 2 2 1 2 1 1 1 2 3 2 1 1 3 2 3 3 2 1 17 1 2 2 2 1 2 2 1 2 1 1 2 3 1 3 2 2 1 3 1 1 3 2 18 1 2 2 2 1 2 2 1 2 1 1 3 1 2 1 3 3 2 1 2 2 1 3 19 2 1 2 2 1 1 2 2 1 2 1 1 2 1 3 3 3 1 2 2 1 2 3 20 2 1 2 2 1 1 2 2 1 2 1 2 3 2 1 1 1 2 3 3 2 3 1 21 2 1 2 2 1 1 2 2 1 2 1 3 1 3 2 2 2 3 1 1 3 1 2 22 2 1 2 1 2 2 2 1 1 1 2 1 2 2 3 3 1 2 1 1 3 3 2 23 2 1 2 1 2 2 2 1 1 1 2 2 3 3 1 1 2 3 2 2 1 1 3 24 2 1 2 1 2 2 2 1 1 1 2 3 1 1 2 2 3 1 3 3 2 2 1 25 2 1 1 2 2 2 1 2 2 1 1 1 3 2 1 2 3 3 1 3 1 2 2 26 2 1 1 2 2 2 1 2 2 1 1 2 1 3 2 3 1 1 2 1 2 3 3 27 2 1 1 2 2 2 1 2 2 1 1 3 2 1 3 1 2 2 3 2 3 1 1 28 2 2 2 1 1 1 1 2 2 1 2 1 3 2 2 2 1 1 3 2 3 1 3 29 2 2 2 1 1 1 1 2 2 1 2 2 1 3 3 3 2 2 1 3 1 2 1 30 2 2 2 1 1 1 1 2 2 1 2 3 2 1 1 1 3 3 2 1 2 3 2 31 2 2 1 2 1 2 1 1 1 2 2 1 3 3 3 2 3 2 2 1 2 1 1 32 2 2 1 2 1 2 1 1 1 2 2 2 1 1 1 3 1 3 3 2 3 2 2 33 2 2 1 2 1 2 1 1 1 2 2 3 2 2 2 1 2 1 1 3 1 3 3 34 2 2 1 1 2 1 2 1 2 2 1 1 3 1 2 3 2 3 1 2 2 3 1 35 2 2 1 1 2 1 2 1 2 2 1 2 1 2 3 1 3 1 2 3 3 1 2 36 2 2 1 1 2 1 2 1 2 2 1 3 2 3 1 2 1 2 3 1 1 2 3
  • 312.
    PHƯƠNG PHÁP TAGUCHI313 Bảng 7.13 Quy hoạch L16 với 4 mức giá trị, 2 đến 5 nhân tố N x1 x2 x3 x4 x5 1 1 1 1 1 1 2 1 2 2 2 2 3 1 3 3 3 3 4 1 4 4 4 4 5 2 1 2 3 4 6 2 2 1 4 3 7 2 3 4 1 2 8 2 4 3 2 1 9 3 1 3 4 2 10 3 2 4 3 1 11 3 3 1 2 4 12 3 4 2 1 3 13 4 1 4 2 3 14 4 2 3 1 4 15 4 3 2 4 1 16 4 4 1 3 2 Tóm lại theo số nhân tố và số mức giá trị ta chọn ma trận quy hoạch tương ứng theo Bảng 7.14. Bảng 7.14 Chọn lựa ma trận trực giao LN Số mức giá trị Số nhân tố 2 3 4 5 6 7 8 9 10 11 12 13 14 15 16 2 L4 L4 L8 L8 L8 L8 L12 L12 L12 L12 L16 L16 L16 L16 L32 3 L9 L9 L9 L18 L18 L18 L18 L27 L27 L27 L27 L27 L36 L36 L36 4 L16 L16 L16 L16 L32 L32 L32 L32 L32 5 L25 L25 L25 L25 L25 L50 L50 L50 L50 L50 L50 7.3. SỬ DỤNG MINITAB Thực hiện quy hoạch thực nghiệm theo phương pháp Taguchi theo trình tự: 1. Trên menu Stat ta chọn lần lượt DOE > Taguchi > Create Taguchi Design (Hình 7.2) để tạo ma trận quy hoạch (trực giao). Trên Taguchi tab chọn số mức giá trị và số các nhân tố.
  • 313.
    CHƯƠNG 7 314 Hình 7.2 Mỗicột trên ma trận trực giao tương ứng 1 nhân tố với 2 đến 5 mức giá trị (Hình 7.3). 2. Có thể trên menu Stat chọn DOE > Taguchi > Define Custom Taguchi Design để tạo ma trận quy hoạch từ số liệu đã nhập trên worksheet. 3. Sau khi tạo ma trận quy hoạch, bạn có thể hiển thị hoặc hiệu chỉnh ma trận quy hoạch: - Trên menu Stat DOE > Display Design để thay đổi đơn vị (coded hoặc uncoded) mà Minitab sẽ hiển thị giá trị các nhân tố trên worksheet. - Trên menu Stat DOE > Modify Design thay đổi tên nhân tố, thay đổi mức giá trị các nhân tố, bỏ qua nhân tố signal hiện có (treat the design as static), và thêm mức độ mới cho nhân tố signal hiện có. 4. Tiến hành thực nghiệm và thu được các giá trị dữ liệu đáp ứng. 5. Trên Stat menu chọn DOE > Taguchi > Analyze Taguchi Design để phân tích kết quả thực nghiệm. 6. Trên Stat menu chọn DOE > Taguchi > Predict Taguchi Results để dự đoán tỉ số tín hiệu trên nhiễu và đặc tính đáp ứng cho các thiết lập nhân tố mới được chọn. 7. Ma trận trực giao trên phần mềm Taguchi.
  • 314.
    PHƯƠNG PHÁP TAGUCHI315 Hình 7.3 7.4. VÍ DỤ ỨNG DỤNG PHƯƠNG PHÁP TAGUCHI Trong ví dụ này nghiên cứu ảnh hưởng các nhân tố đến độ nhám bề mặt khi phay chi tiết trên máy CNC. Xác định các nhân tố, tiêu chí đánh giá chất lượng Các nhân tố chính ảnh hưởng đến chất lượng độ nhám bề mặt là: vận tốc cắt (v), lượng chạy dao (S) và chiều sâu cắt (h) (Bảng 7.15). Ngoài 3 nhân tố trên, chất lượng bề mặt còn chịu ảnh hướng của các nhân tố khác như: vật liệu gia công, đường kính dao cắt, các giá trị góc của dao, kích thước dao, vật liệu dao, loại máy, độ cứng của máy,… Bảng 7.15 Giá trị các nhân tố trong thực nghiệm TT Thông số thiết kế Ký hiệu nhân tố Mức độ nhân tố Khoảng thay đổi Tự nhiên Mã hóa Thấp Trung bình cao 1 Vận tốc cắt (m/min) v x1 45 60 75 30 2 Bước tiến dao (mm/vg) S x2 0,18 0,24 0,3 0,12 3 Chiều sâu cắt (mm) h x3 0,2 0,35 0,5 0,3
  • 315.
    CHƯƠNG 7 316 Xác địnhnhân tố gây nhiễu Nhân tố gây nhiễu: chất lượng vật liệu được gia công, yếu tố gá đặt, kẹp chặt, độ sạch của mâm cập, tay nghề người gia công… Lựa chọn bảng trực giao, ma trận quy hoạch thực nghiệm Trong nghiên cứu đánh giá ảnh hưởng của các thông số công nghệ như: vận tốc cắt, lượng chạy dao, chiều sâu cắt đến độ nhám bề mặt sau khi gia công chi tiết trên máy phay CNC. Nếu quy hoạch thực nghiệm toàn phần ta cần N = 33 = 27 thí nghiệm. Đối với quy hoạch Taguchi ta chọn ma trận quy hoạch trực giao L9 với N = 33-1 = 9 thí nghiệm. Mỗi thí nghiệm được lặp lại n = 5 lần đo độ nhám. Việc đánh giá tỷ lệ S/N giúp các nhà công nghệ biết xu hướng và mức độ ảnh hưởng của từng thông số đến độ nhám gia công. Từ các nhận biết đó giúp các nhà nghiên cứu nhanh chóng tìm ra các thông số chế độ cắt và phạm vi cần tác động để tìm thông số công nghệ gia công là tốt nhất. Đồng thời từ đó cũng đánh giá riêng lẻ các ảnh hưởng của các thông số công nghệ tối ưu cho chất lượng chi tiết sau gia công. Bảng ma trận quy hoạch với các kết quả thực nghiệm cho trong Bảng 7.17. Bảng 7.17 Bảng kết quả thực nghiệm và xử lý kết quả theo Taguchi N Các nhân tố chế độ cắt Nhân tố mã hóa Độ nhám Ra (µm) Tỉ số S/N v (m/min) s (mm/vg) h (mm) x1 x2 x3 1 45 0,18 0,2 1 1 1 4.5 -13.0643 2 45 0.24 0.35 1 2 2 6.8 -16.6502 3 45 0.3 0.5 1 3 3 8.9 -18.9878 4 60 0.18 0.35 2 1 2 4.8 -13.6248 5 60 0.24 0.5 2 2 3 8.2 -18.2763 6 60 0.3 0.2 2 3 1 6.7 -16.5215 7 75 0.18 0.5 3 1 3 3.9 -11.8213 8 75 0.24 0.2 3 2 1 4.5 -13.0643 9 75 0.3 0.35 3 3 2 7.1 -17.0252 Theo đó tính giá trị trong cột S/N: Yêu cầu đặt ra là sản phẩm sau quá trình gia công đạt độ nhám bề mặt là thấp nhất, do vậy công thức được chọn theo Công thức (7.2):
  • 316.
    PHƯƠNG PHÁP TAGUCHI317 n 2 10 i i 1 S 1 10log y N n             Kết quả tính toán trên Minitab như sau: Response Table for Signal to Noise Ratios Smaller is better Level v s t 1 -16.23 -12.84 -14.22 2 -16.14 -16.00 -15.77 3 -13.97 -17.51 -16.36 Delta 2.26 4.67 2.15 Rank 2 1 3 Taguchi Analysis: y versus v, s, t Response Table for Means Level v s t 1 6.733 4.400 5.233 2 6.567 6.500 6.233 3 5.167 7.567 7.000 Delta 1.567 3.167 1.767 Rank 3 1 2 Hình 7.4
  • 317.
    CHƯƠNG 7 318 Hình 7.5Phân tích S/N (Ra) trên phần mềm Minitab Các kết quả và phân tích phương sai ANOVA đưa vào Bảng 7.18. Bảng 7.18 Các nhân tố ảnh hưởng đến độ nhám bề mặt S/N STT Mức giá trị nhân tố Công thức tính Nhân tố Chế độ tối ưu v s h 1 1 Công thức (7.5) -16,23 -12,84 -14,22 v3s1h1 v = 75 m/min) S = 0,18 mm/vg) h = 0,2 mm) 2 2 Công thức (7.5) -16,14 -16,00 -15,77 3 3 Công thức (7.5) -13,97 -17,51 -16,36 4 Mean (m) (1+2+3)/3 -15,45 -15,45 -15,45 5 Max Max(1,2,3) -13,97 -12,84 -14,22 6 Max - m 5 - 4 1,48 2,61 1,23 7 % ảnh hưởng 6/(Tổng hàng 6) 27,81 49,06 23,12 8 Delta max - min 2,26 4,67 2,15 Rank 2 1 3
  • 318.
    PHƯƠNG PHÁP TAGUCHI319 Giá trị trung bình tại các mức giá trị các nhân tố trong Bảng 7.18 được xác định theo công thức (7.5): 3 1 i 1 2 3 i 1 1 S 1 S S S v 3 N 3 N N N 13,0643 16,6 1 ( 502 18,9878) 16,234 3 1                                           Tương tự tính cho các giá trị trung bình còn lại theo Bảng 7.8. Nghiên cứu này mục đích tìm các thông số công nghệ cho độ nhám bề mặt là nhỏ nhất v3s1h1 (Ra = 2.48889 µm) với vận tốc v = 75 m/min, lượng đưa phôi s = 0,18 mm/vg và chiều sâu cắt h = 0,2 mm. Theo phương pháp Taguchi thì ta đánh giá giá trị đáp ứng tại các mức giá trị, ví dụ 3 mức giá trị như Hình 7.6 và đánh giá mức độ ảnh hưởng các nhân tố đên thông số đầu ra chỉ theo các mức giá trị này. Để thu được PTHQ ta sử dụng: bậc 1 hoặc bậc 2. Khi sử dụng PTHQ bậc 1 (đường cong 1), ta nội suy điểm đầu và điểm cuối miền giá trị nhân tố, do đó không đánh giá sự ảnh hưởng các nhân tố bên trong miền giá trị các nhân tố đến thông số đầu ra. Để xét đến ảnh hưởng các nhân tố bên trong miền giá trị đến thông số đầu ra và tìm giá trị cực trị ta sử dụng PTHQ bậc 2 (đường cong 3 Hình 7.6). Hình 7.6 So sánh phương pháp Taguchi, PTHQ bậc 1 và bậc 2 Theo Hình 7.6 nếu theo PTHQ bậc 1 thì nhỏ nhất của đáp ứng tại xmin, theo Taguchi thì tại x10, nhưng theo PTHQ bậc 2 thì nhỏ nhất nằm trong khoảng (x1min, x10), có nghĩa là có thể cho kết quả chính xác hơn.
  • 319.
    CHƯƠNG 7 320 PTHQ bậcnhất Analysis of Variance Source DF Adj SS Adj MS F-Value P-Value Model 6 24.9743 4.1624 11.13 0.085 Linear 3 18.0183 6.0061 16.06 0.059 v 1 3.0402 3.0402 8.13 0.104 s 1 3.7202 3.7202 9.95 0.088 h 1 5.5010 5.5010 14.71 0.062 2-Way Interactions 3 1.5693 0.5231 1.40 0.443 v*s 1 1.4860 1.4860 3.97 0.184 v*h 1 0.7202 0.7202 1.93 0.300 s*h 1 0.4002 0.4002 1.07 0.410 Error 2 0.7479 0.3740 Total 8 25.7222 Model Summary S R-sq R-sq(adj) R-sq(pred) 0.611529 97.09% 88.37% 0.00% Coded Coefficients Term Effect Coef SE Coef T-Value P-Value VIF Constant 6.156 0.204 30.20 0.001 v -2.152 -1.076 0.377 -2.85 0.104 2.29 s 2.381 1.190 0.377 3.15 0.088 2.29 h 2.895 1.448 0.377 3.84 0.062 2.29 v*s 2.257 1.129 0.566 1.99 0.184 3.43 v*h -1.571 -0.786 0.566 -1.39 0.300 3.43 s*h -1.171 -0.586 0.566 -1.03 0.410 3.43 Regression Equation in Uncoded Units Ra = 7.58 - 0.250 v - 32.6 s + 46.2 h + 1.254 v*s - 0.349 v*h - 65.1 s*h Regression Equation in coded Units Ra = 6.156 - 1.076 x1 + 1.190 x2 + 1.448 x3 + 1.129 x1*x2 - 0.786 x1*x3 - 0.586 x2*x3
  • 320.
    PHƯƠNG PHÁP TAGUCHI321 Các hệ số đều có ý nghĩa theo Pareto Chart. Hình 7.7 PTHQ bậc 2 Để thu được PTHQ bậc 2 ta tiến hành thêm 2 thí nghiệm ở tâm với các kết quả trung bình y10 = 6,1 µm và y11 = 6,2 µm. Bảng 7.19 Bảng ma trận quy hoạch và kết quả thực nghiệm N Các nhân tố chế độ cắt Nhân tố mã hóa Kết quả đo độ nhám Ra (µm) Trung bình Ra (µm) v (m/ph) s (mm/vg) h (mm) x1 x2 x3 Ra1 Ra2 Ra3 Ra4 Ra5 1 45 0,18 0,2 -1 -1 -1 4,3 4,6 4,6 4,4 4,6 4,5 2 45 0,24 0,35 -1 0 0 6,9 6,6 6,9 6,7 6,9 6,8 3 45 0,3 0,5 -1 1 1 8,8 8,7 8,9 8,9 8,7 8,9 4 60 0,18 0,35 0 -1 0 4,9 4,6 4,9 4,9 4,7 4,8 5 60 0,24 0,5 0 0 1 8,5 8,0 8,1 8,1 8,3 8,2 6 60 0,3 0,2 0 1 -1 6,5 6,6 7,0 6,6 6,8 6,7 7 75 0,18 0,5 1 -1 1 3,7 4,0 3,7 4,0 3,8 3,9 8 75 0,24 0,2 1 0 -1 4,8 4,3 4,4 4,5 4,5 4,5 9 75 0,3 0,35 1 1 0 7,0 7,1 7,2 7,3 7,1 7,1 10 60 0,24 0,35 0 0 0 6,0 6,2 6,1 6,0 6,2 6,1 11 60 0,24 0,35 0 0 0 6,0 6,3 6,3 6,3 6,1 6,2
  • 321.
    CHƯƠNG 7 322 Xử lýtrên Minitab ta có kết quả như sau: Nhập ma trận quy hoạch và kết quả vào Minitab, sau đó trên Stat menu chọn DOE> Response Surface > Define Custom Response Surface Design… Hình 7.8 Sau đó tiếp tục trên Stat menu chọn DOE> Response Surface > Analyze… Custom Response Surface Design… Cuối cùng có kết quả sau: Response Surface Regression: Ra versus x1, x2, x3 Analysis of Variance Source DF Adj SS Adj MS F-Value P-Value Model 9 127.666 14.1851 620.34 0.000 Linear 3 87.175 29.0585 1270.78 0.000 x1 1 9.761 9.7613 426.88 0.000 x2 1 13.255 13.2554 579.68 0.000 x3 1 21.655 21.6554 947.03 0.000 Square 3 3.727 1.2423 54.33 0.000 x1*x1 1 1.321 1.3213 57.78 0.000 x2*x2 1 0.212 0.2123 9.29 0.004 x3*x3 1 2.480 2.4800 108.46 0.000 2-Way Interaction 3 8.498 2.8326 123.87 0.000 x1*x2 1 6.075 6.0750 265.67 0.000 x1*x3 1 1.976 1.9763 86.43 0.000 x2*x3 1 0.890 0.8898 38.91 0.000 Error 45 1.029 0.0229 Total 54 128.695 Model Summary S R-sq R-sq(adj) R-sq(pred) 0.151217 99.20% 99.04% 98.79% Coded Coefficients Term Coef SE Coef T-Value P-Value VIF Constant 6.1500 0.0478 128.61 0.000
  • 322.
    PHƯƠNG PHÁP TAGUCHI323 x1 -1.0283 0.0498 -20.66 0.000 3.25 x2 1.1983 0.0498 24.08 0.000 3.25 x3 1.5317 0.0498 30.77 0.000 3.25 x1*x1 -0.3783 0.0498 -7.60 0.000 1.48 x2*x2 -0.1517 0.0498 -3.05 0.004 1.48 x3*x3 0.5183 0.0498 10.41 0.000 1.48 x1*x2 1.3500 0.0828 16.30 0.000 6.00 x1*x3 -0.7700 0.0828 -9.30 0.000 6.00 x2*x3 -0.5167 0.0828 -6.24 0.000 6.00 Regression Equation in Coded Units Ra = 6.1500 - 1.0283 x1 + 1.1983 x2 + 1.5317 x3 - 0.3783 x1*x1 - 0.1517 x2*x2 + 0.5183 x3*x3 + 1.3500 x1*x2 - 0.7700 x1*x3 - 0.5167 x2*x3 Regression Equation in Uncoded Units Ra = 5.83 - 0.1070 v - 29.71 s + 28.40 h - 0.001681 v*v - 42.1 s*s + 23.04 h*h + 1.5000 v*s - 0.3422 v*h - 57.41 s*h Response Optimization: Ra Parameters Response Goal Lower Target Upper Weight Importance Ra Minimum 3.9 8.9 1 1 Solution Ra Composite Solution v s h Fit Desirability 1 75 0.18 0.2 1.38333 1 Multiple Response Prediction Variable Setting v 75 s 0.18 h 0.2 Response Fit SE Fit 95% CI 95% PI Ra 1.383 0.150 (-0.523, 3.289) (-0.724, 3.490) Hình 7.9
  • 323.
    CHƯƠNG 7 324 Theo phântích tỷ lệ S/N bằng phần mềm Minitab với kết quả phân tích cho trên Hình 7.9 ta có mức độ ảnh hưởng của từng thông số công nghệ đến độ nhám bề mặt. Như vậy khi phay trên máy phay CNC thì kết quả thực nghiệm cho thấy rằng lượng chạy dao có ảnh hưởng lớn nhất đến độ nhám bề mặt. Tương tự chiều sâu cắt tăng cũng làm gia tăng độ nhám bề mặt, tuy nhiên mức độ ảnh hưởng này nhỏ (độ dốc nhỏ). Để tìm miền giá trị thông số công nghệ hợp lý, ví dụ tìm miền thông số v và s khi h = 0,35mm để 5 µm  Ra  2 µm (Hình 7.10). trên Stat menu chọn DOE > Response Surface > Overlaid Contour Plot… Hình 7.10 BÀI TẬP 7.1. Áp dụng phương pháp Taguchi để tìm ra các điều kiện tối ưu của quá trình nhuộm vải. Các nhân tố và mức giá trị và ma trận cũng như kết quả thực nghiệm trong Bảng 7.19 và 7.20. Xử lý và phân tích kết quả. Bảng 7.19 Các nhân tố và mức giá trị STT Nhân tố Ký hiệu Mức giá trị Khoảng thay đổi Tự nhiên Mã hóa Dưới, 1 Cơ sở, 2 Trên, 3 1 Nồng độ Evercion Red EXL (%) A x1 2,5 3,0 3,5 0,5 2 Nồng độ Na2SO4 (g/L) B x2 60 70 80 10 3 Nồng độ Na2CO3 (g/L) C x3 3,8 4,8 5,8 1 4 Nhiệt độ (0 C) D x4 70 80 90 10
  • 324.
    PHƯƠNG PHÁP TAGUCHI325 Bảng 7.20 Ma trận quy hoạch và kết quả thực nghiệm N Nhân tố mã hóa Kết quả thực nghiệm A B C D R1 R2 R3 1 1 1 1 1 12,91 12,39 11,71 2 1 2 2 2 17,03 17,46 17,88 3 1 3 3 3 17,06 16,26 16,44 4 2 1 2 3 18,10 18,32 18,33 5 2 2 3 1 18,24 18,85 18,78 6 2 3 1 2 20,38 20,94 19,89 7 3 1 3 2 20,56 20,29 19,93 8 3 2 1 3 19,85 19,42 19,50 9 3 3 2 1 18,93 19,85 18,32 7.2. Bài tập lớn: Phương pháp Taguchi. Sinh viên (học viên) tìm hiểu 01 bài báo khoa học liên quan phương pháp Taguchi và trình bày trong thuyết minh các nội dung sau: 1. Tóm tắt nội dung bài báo khoa học (Abstract). 2. Các nhân tố đầu vào, đầu ra, miền giá trị. 3. Dạng ma trận quy hoạch thực nghiệm, số thí nghiệm lặp (lựa chọn), kết quả thực nghiệm. 4. Xử lý kết quả thực nghiệm trên Minitab. 5. So sánh kết quả bài báo với Minitab. 6. Nhận xét chung.
  • 325.
    CHƯƠNG 8 326 Chương 8 QUYHOẠCH HỖN HỢP THÀNH PHẦN – TÍNH CHẤT (MIXTURE DESIGN) Chương này gồm các nội dung sau: 8.1. Giới thiệu 8.2. Quy hoạch Simplex Lattice 8.3. Quy hoạch Simplex Centroid 8.4. Quy hoạch Simplex Axial 8.5. Quy hoạch Extreme Vertex 8.6. Quy hoạch thực nghiệm tối ưu Bài tập
  • 326.
    QUY HOẠCH HỖNHỢP THỰC NGHIỆM – TÍNH CHẤT 327 8.1. GIỚI THIỆU Quy hoạch hỗn hợp được phát triển nhanh chóng như là một phương pháp mặt đáp ứng vào những năm 1950. Tuy nhiên, thời gian đầu không có cơ sở toán học thống nhất cho các quy hoạch hỗn hợp. Vào những năm 1950 chỉ có 2 nghiên cứu về các quy hoạch này, nhưng với nội dung thu hẹp trong mỗi nghiên cứu [7]. Đến năm 1958 Henry Scheffé trong bài báo về quy hoạch hỗn hợp mạng đơn hình (Simplex lattice) đưa ra phương pháp nghiên cứu và phân tích quy hoạch hỗn hợp [8]. Vào năm 1963 Scheffé viết tiếp bài báo nghiên cứu về một dạng quy hoạch hỗn hợp khác là tâm khối đơn hình (Simplex centroid) [9]. Và từ đó phương pháp này bắt đầu được phổ biến, đặc biệt các lãnh vực hóa học, vật liệu (chất dẻo, kim loại, xây dựng, dệt may,…). Quy hoạch hỗn hợp là dạng quy hoạch mặt đáp ứng đặc biệt, trong đó mỗi thành phần (nhân tố) đều có giá trị giới hạn từ 0 đến 1 và tổng các giá trị thành phần (nhân tố) phải bằng 1. Nếu có 𝑝 thành phần trong một hỗn hợp, ta chỉ cần 𝑝 - 1 thành phần để xác định giá trị của thành phần cuối cùng. Các ràng buộc làm phát sinh không gian thiết kế (𝑝 - 1) chiều được gọi là đơn hình (simplex). Kích thước không gian quy hoạch nhỏ hơn số thành phần (nhân tố) 1 bậc. Ví dụ trường hợp 3 nhân tố thì ta biểu diễn không gian quy hoạch trong mặt phẳng, cụ thể hình tam giác đều như Hình 8.1. x1 = 0 x1 (1,0,0) x2 (0,1,0) x3 (0,0,1) Hình 8.1 Biểu diễn giá trị các nhân tố Các đỉnh có các thành phần tinh khiết 1 nhân tố (giá trị bằng 1).  Điểm dọc theo cạnh biểu diễn hỗn hợp 2 nhân tố (binary blends).  Một điểm nằm bên trong hình biễu diễn tỉ lệ hỗn hợp các nhân tố khác không.  Điểm trọng tâm các tỉ lệ các thành phần bằng nhau.
  • 327.
    CHƯƠNG 8 328 Trên Hình8.1 biểu diễn simplex của 3 nhân tố (thành phần). Do các thành phần của hỗn hợp bị ràng buộc và phải tổng bằng 1, các hệ số PTHQ không được xác định một cách duy nhất. Thay vì loại bỏ một trong các hệ số PTHQ, ta xác định mô hình PTHQ tương đương. Để tìm dạng mô hình PTHQ tương đương, ta xem xét một mô hình PTHQ mặt đáp ứng bậc 2 đầy đủ với hai nhân tố 𝑥1, 𝑥2: 𝐸(𝑦) = 𝛽0 + 𝛽1𝑥1 + 𝛽2𝑥2 + 𝛽12𝑥1𝑥2 + 𝛽11𝑥1 2 + 𝛽22𝑥2 2 (8.1) Do giá trị tổng các nhân tố bằng 1 và suy ra: Khi đó bình phương thành phần các nhân tố: Do tổng các thành phần bằng 1: Thay thế vào PTHQ ban đầu ta có: Kết quả ta loại bỏ các hệ số bậc 2 trong PTHQ và khi đó PTHQ của QHTN hỗn hợp chỉ là bậc 1. Tập hợp các mô hình quy hoạch hỗn hợp được gọi là mô hình chuẩn hoặc mô hình hỗn hợp Scheffe (hoặc Borkowski). Theo quy ước, các dấu hoa thị được loại bỏ khỏi các hệ số trong các mô hình PTHQ chuẩn. Nói chung, các mô hình PTHQ bậc 1 và bậc 2 như sau: Bậc thấp hơn của các mô hình hỗn hợp chuẩn có cách giải thích khá đơn giản:
  • 328.
    QUY HOẠCH HỖNHỢP THỰC NGHIỆM – TÍNH CHẤT 329  Mỗi hệ số 𝛽𝑖 đại diện cho đáp ứng mong đợi của một hỗn hợp với 𝑥𝑖 = 1, 𝑥𝑗 = 0, với 𝑖 ≠ 𝑗. Về mặt đáp ứng, biểu diễn chiều cao dự kiến của mặt ở đỉnh của mỗi thành phần.  Mỗi 𝛽𝑖𝑗 đại diện cho sự tương tác các nhân tố (thành phần) hỗn hợp và thể hiện độ cong của mặt đáp ứng. Có 4 dạng chủ yếu: Simplex lattice, Simplex centroid, Simplex axial và Extreme vertex. Mỗi dạng quy hoạch hỗn hợp được sử dụng với mục đích riêng biệt. 8.2. QUY HOẠCH SIMPLEX LATTICE Quy hoạch Simplex lattice là dạng quy hoạch hỗn hợp đầu tiên do Scheffé đưa ra trong bài báo của mình vào 1958 [7]. Dạng quy hoạch Simplex lattice được sử dụng cho số lượng nhỏ các nhân tố với mặt đáp ứng là đa thức bậc 2 hoặc cao hơn cho các trường hợp mô tả chính xác. Trong trường hợp tổng quát, quy hoạch hỗn hợp {𝑝, 𝑚} Simplex lattice bao gồm 𝑝 nhân tố (phần tử) và 𝑚 khoảng giá trị giữa các điểm quy hoạch theo một mặt của đơn hình (Hình 8.2). Tổng quát, các điểm quy hoạch như sau: x1 = 1 x2 = 1 x3 = 1 x1 = x3 = 1 2 x2 = 0 x1 = 1 x2 = 1 x3 = 1 x2 = 0 x1 = , 2 3 x3 = 1 3 a) {3, 2} b) {3, 3} x1 = 1 x2 = 1 x4 = 1 x3 = 1 x1 = 1 x2 = 1 x4 = 1 x3 = 1 c) {4, 2} d) {4, 3} Hình 8.2 Simplex lattice
  • 329.
    CHƯƠNG 8 330 Số điểmquy hoạch (thí nghiệm) N được xác định theo công thức sau: Trong trường hợp 3 nhân tố (p = 3), số khoảng giá trị là 2 (m = 2), thì số điểm quy hoạch (số thí nghiệm) N = 4! / (2! . 2!) = 6 (Hình 8.2a và 8.3). Trong quy hoạch này, các điểm trải đều toàn bộ simplex, khi p = 3 ta có sơ đồ như Hình 8.3 [53]. x1 = 1 1 2 3 4 5 6 x3 = 1 x2 = 1 (1, 0, 0) (1/2, 0, 1/2) (0, 0, 1) (1/2, 1/2, 0) (0, 1/2, 1/2) (0, 1, 0) Hình 8.3 Bảng 8.1 Ma trận quy hoạch Simplex lattice {3, 2}, {4, 2} Quy hoạch {3, 2} Hình 8.2a Quy hoạch {4, 2} Hình 8.2c No x1 x2 x3 No x1 x2 x3 x4 1 1 0 0 1 1 0 0 0 2 0 +1 0 2 0 1 0 0 3 0 0 +1 3 0 0 1 0 4 1/2 1/2 0 4 0 0 0 1 5 1/2 0 1/2 5 1/2 1/2 0 0 6 0 1/2 1/2 6 1/2 0 1/2 0 7 1/2 0 0 1/2 8 0 1/2 1/2 0 9 0 1/2 0 1/2 10 0 0 1/2 1/2
  • 330.
    QUY HOẠCH HỖNHỢP THỰC NGHIỆM – TÍNH CHẤT 331 Ví dụ một số ma trận quy hoạch Simplex lattice. Bảng 8.2 Ma trận quy hoạch Simplex lattice {3, 3} STT Quy hoạch {3, 3} Hình 8.3b x1 x2 x3 1 1 0 0 2 0 +1 0 3 0 0 +1 4 1/3 2/3 0 5 1/3 0 2/3 6 2/3 1/3 0 7 0 1/3 2/3 8 0 2/3 1/3 9 2/3 0 1/3 10 1/3 1/3 1/3 Bảng 8.3 Ma trận quy hoạch Simplex lattice {4, 3} STT Quy hoạch {4, 3} hình 8.3d x1 x2 x3 x4 1 1 0 0 0 2 0 +1 0 0 3 0 0 +1 0 4 0 0 0 +1 5 1/3 2/3 0 0 6 1/3 0 2/3 0 7 1/3 0 0 2/3 8 2/3 1/3 0 0 9 0 1/3 2/3 0 10 0 1/3 0 2/3 11 2/3 0 1/3 0 12 0 2/3 1/3 0 13 0 0 1/3 2/3 14 1/3 0 2/3 1/3 15 0 2/3 0 1/3 16 2/3 0 0 1/3 17 0 1/3 1/3 0 18 0 1/3 0 1/3 19 1/3 0 1/3 1/3 20 0 1/3 1/3 1/3
  • 331.
    CHƯƠNG 8 332 Ví dụ8.1 Một nhà nghiên cứu đang phát triển một loại sợi được sử dụng để sản xuất vải làm rèm. Vật liệu vải gồm 3 thành phần: polyethylene (𝑥1), polystyrene (𝑥2), và polypropylene (𝑥3). Nhà nghiên cứu đang quan tâm phát triển lại vải này chỉ từ 2 trong 3 thành phần trên. Mục tiêu là pha trộn 2 thành phần với mục tiêu để độ giãn dài của sợi lớn nhất khi lực tác dụng. Nhà nghiên cứu sử dung quy hoạch {3, 2} Simplex lattice dựa trên một mô hình PTHQ. Ma trận và kết quả thực nghiệm cho trong Bảng 8.4. Trong đó các thí nghiệm lặp 2 lần. Bảng 8.4 Ma trận và kết quả thực nghiệm No x1 x1 x2 Y1 Y2 Y3 Y 1 1 0 0 11 12,4 11,5 2 1/2 1/2 0 15 14,8 16,7 15,75 3 1/2 0 1/2 17,7 16,4 16,6 16,5 4 0 +1 0 8,8 10 9,4 5 0 1/2 1/2 10 9,7 11,8 10,9 6 0 0 +1 16,8 16,00 16,4 Trên Hình 8.4 là hình ảnh phụ thuộc độ giãn dài của sợi vào thành phần các nhân tố. Độ giãn dài tăng dần khi chuyển từ màu xanh nhạt sang đậm. Độ giãn dài của sợi lớn nhất mong đợi với thành phần 30,3 % polyethylene và 69,7 % polypropylene. Hình 8.4 Đường đồng mức độ giãn dài của sợi
  • 332.
    QUY HOẠCH HỖNHỢP THỰC NGHIỆM – TÍNH CHẤT 333 Sử dụng Minitab Vào menu Stat chọn DOE > Mixture > Create Mixture Design Hình 8.5 Chọn các nút tương ứng trong các hộp thoại sau đó như Hình 7.6. Chú ý hộp thoại Hình 8.6c có thể chọn thí nghiệm lặp khác nhau giữa các thí nghiệm (Vertex, Double blend, Center point…)… a) b) c) d) Hình 8.6 Các hộp thoại tương ứng
  • 333.
    CHƯƠNG 8 334 - Từmenu Stat chọn lần lượt DOE > Mixture > Analyze Mixture Design. - Trên hộp thoại Responses, enter Y (Ký hiệu đáp ứng – thông số đầu ra). - Trên Type of Model, chọn Mixture components and process variables. - Trên Analyze Components in, chọn Proportions. - Trên Model Fitting Method, chọn Mixture regression. - Nhấp nút Terms. - Sử dụng mũi tên nhấp và chọn Selected Terms các hệ số tương ứng. - Nhấp OK và sau đó chọn Graphs. - Trên Residual Plots, chọn Four in one. - Nhấp OK trên mỗi hộp thoại. Sau khi tính toán kết quả như sau: Regression for Mixtures: y versus A, B, C Estimated Regression Coefficients for y (component proportions) Term Coef SE Coef T P VIF A 11.70 0.4941 * * 1.500 B 9.40 0.4941 * * 1.500 C 16.40 0.4941 * * 1.500 A*B 17.40 2.4207 7.19 0.000 1.500 A*C 12.00 2.4207 4.96 0.003 1.500 B*C -12.20 2.4207 -5.04 0.002 1.500 S = 0.698809 PRESS = 11.72 R-Sq = 97.44% R-Sq(pred) = 89.78% R-Sq(adj) = 95.31% Analysis of Variance for y (component proportions) Source DF Seq SS Adj SS Adj MS F P Regression 5 111.727 111.7267 22.3453 45.76 0.000 Linear 2 55.865 50.9200 25.4600 52.14 0.000 Quadratic 3 55.862 55.8620 18.6207 38.13 0.000 A*B 1 26.579 25.2300 25.2300 51.67 0.000 A*C 1 16.880 12.0000 12.0000 24.57 0.003 B*C 1 12.403 12.4033 12.4033 25.40 0.002 Residual Error 6 2.930 2.9300 0.4883 Total 11 114.657
  • 334.
    QUY HOẠCH HỖNHỢP THỰC NGHIỆM – TÍNH CHẤT 335 Predicted Response for New Design Points Using Model for y Point Fit SE Fit 95% CI 95% PI 1 11.7000 0.4941 (10.4909, 12.9091) ( 9.6058, 13.7942) 2 14.9000 0.4941 (13.6909, 16.1091) (12.8058, 16.9942) 3 17.0500 0.4941 (15.8409, 18.2591) (14.9558, 19.1442) 4 9.4000 0.4941 ( 8.1909, 10.6091) ( 7.3058, 11.4942) 5 9.8500 0.4941 ( 8.6409, 11.0591) ( 7.7558, 11.9442) 6 16.4000 0.4941 (15.1909, 17.6091) (14.3058, 18.4942) 7 11.7000 0.4941 (10.4909, 12.9091) ( 9.6058, 13.7942) 8 14.9000 0.4941 (13.6909, 16.1091) (12.8058, 16.9942) 9 17.0500 0.4941 (15.8409, 18.2591) (14.9558, 19.1442) 10 9.4000 0.4941 ( 8.1909, 10.6091) ( 7.3058, 11.4942) 11 9.8500 0.4941 ( 8.6409, 11.0591) ( 7.7558, 11.9442) 12 16.4000 0.4941 (15.1909, 17.6091) (14.3058, 18.4942) Hình 8.7 là mặt đáp ứng và giá trị lớn nhất giữa polyethylene và polypropylene. Hình 8.7 Mô hình mặt độ giãn dài của sợi Sau khi thu thập dữ liệu ta xác định PTHQ có dạng: 𝑦̂ = 11,7𝑥1 + 9,4𝑥2 + 16,4𝑥3 + 17,4𝑥1𝑥2 + 12,0𝑥1𝑥3 – 12,2𝑥2𝑥3 Để xác định thành phần tối ưu trên menu Stat ta chọn > DOE > Mixture > Response Optimizer.
  • 335.
    CHƯƠNG 8 336 Hình 8.8 Nhậpcác thông số tương ứng ta thu được kết quả tối ưu như Hình 8.9. Hình 8.9 Thành phần tối ưu với độ giãn dài lớn nhất 8.3. QUY HOẠCH SIMPLEX CENTROID Quy hoạch Simplex centroid được sử dụng với mục đích tương tự simplex lattice hoặc sử dụng trong các trường hợp có nhiều thành phần trong hỗn hợp. Khi đó thêm vào điểm trọng tâm. Quy hoạch Simplex centroid với p nhân tố có các đặc tính sau (Bảng 8.4): - p vị trí thực nghiệm (1, 0,…0) - p 2       vị trí thực nghiệm 1 1 , ,0,...0 2 2      
  • 336.
    QUY HOẠCH HỖNHỢP THỰC NGHIỆM – TÍNH CHẤT 337 - p 3       vị trí thực nghiệm 1 1 1 , , , 0,...0 3 3 3       - Tổng quát ta có p k       vị trí thí nghiệm 1 1 ,... ,0,...0 k k       đến khi k = p - Khi k = p, vị trí thí nghiệm tại trọng tâm theo 1 1 ,... p p       - Tổng số thí nghiệm p p i 1 p N 2 1 i            Ví dụ với QHTN hỗn hợp với 3 nhân tố thì vị trí các điểm thí nghiệm được xác định như sau:   1 2 3 x ,x ,x 1 1 1 1 1 1 1 1 1 (1,0,0),(0,1,0),(0,0,1), , ,0 , ,0, , 0, , , , , 2 2 2 2 2 2 3 3 3                               Tổng số thí nghiệm: 3 N 2 1 7    Các điểm quy hoạch được cho trong Hình 8.10 [53] và Bảng 8.5. Hình 8.10 Các điểm quy hoạch Simplex centroid
  • 337.
    CHƯƠNG 8 338 Bảng 8.5Ma trận quy hoạch Simplex Centroid {3, 2}, {4, 2} Quy hoạch {3, 2} Hình 8.10a Quy hoạch {4, 2} Hình 8.10b No x1 x2 x3 No x1 x2 x3 x4 1 1 0 0 1 1 0 0 0 2 0 +1 0 2 0 1 0 0 3 0 0 +1 3 0 0 1 0 4 1/2 1/2 0 4 0 0 0 1 5 1/2 0 1/2 5 1/2 1/2 0 0 6 0 1/2 1/2 6 1/2 0 1/2 0 7 1/3 1/3 1/3 7 1/2 0 0 1/2 8 0 1/2 1/2 0 9 0 1/2 0 1/2 10 0 0 1/2 1/2 11 1/3 1/3 1/3 0 12 1/3 1/3 0 1/3 13 1/3 0 1/3 1/3 14 0 1/3 1/3 1/3 15 1/4 1/4 1/4 1/4 Về sử dụng Minitab tương tự Simplex Lattice. Chú ý trên hộp thoại Create Mixture Design, chọn nút Augment the design with center points. Hình 8.11
  • 338.
    QUY HOẠCH HỖNHỢP THỰC NGHIỆM – TÍNH CHẤT 339 Hoặc trên hộp thoại Create Mixture Design ta chọn Simplex centroid. Hình 8.12 8.4. QUY HOẠCH SIMPLEX AXIAL Nếu như quy hoạch Simplex lattice và Simplex centroid các điểm nằm ở đường biên (ngoại trừ centroid có 1 điểm nằm ở trọng tâm) thì quy hoạch Simplex axial bao gồm các điểm nằm bên trong simplex. Quy hoạch Simplex centroid với p nhân tố có các đặc tính sau (Bảng 8.6): - p vị trí thí nghiệm (1, 0,…0) - p 2       vị trí thí nghiệm 1 1 , ,0,...0 2 2       - p 3       vị trí thí nghiệm 1 1 1 , , ,0,...0 3 3 3       - Tổng quát ta có p k       vị trí thí nghiệm 1 1 ,... ,0,...0 k k       đến khi k = p - Khi k = p, vị trí thí nghiệm tại trọng tâm theo 1 1 ,... p p       - Tổng số thí nghiệm p p i 1 p N 2 1 i           
  • 339.
    CHƯƠNG 8 340 Quy hoạchSimplex axial cho 3 nhân tố trong hỗn hợp có dạng như Hình 8.13 [53]. Ma trận quy hoạch được trình bày trên Bảng 8.6. x1 = 1 1 7 2 8 3 9 x3 = 1 x2 = 1 (1/2, 0, 1/2) (1/2, 1/2, 0) (0, 1/2, 1/2) 0 (1/3, 1/3, 1/3) 4 5 6 (4/6, 1/6, 1/6) (1/6, 1/6, 4/6) (1/6, 4/6, 1/6) Hình 8.13 Các điểm quy hoạch Simplex axial Bảng 8.6 Ma trận quy hoạch Simplex axial Quy hoạch {3, 2} Quy hoạch {4, 2} No x1 x1 x2 No x1 x1 x2 x4 1 +1 0 0 1 +1 0 0 0 2 0 +1 0 2 0 +1 0 0 3 0 0 +1 3 0 0 +1 0 4 1/2 1/2 0 4 0 0 0 +1 5 1/2 0 1/2 5 1/2 1/2 0 0 6 0 1/2 1/2 6 1/2 0 1/2 0 7 4/6 1/6 1/6 7 1/2 0 0 1/2 8 1/6 4/6 1/6 8 0 1/2 1/2 0 9 1/6 1/6 4/6 9 0 1/2 0 1/2 10 1/3 1/3 1/3 10 0 0 1/2 1/2 11 1/3 1/3 1/3 0 12 1/3 1/3 0 1/3 13 1/3 0 1/3 1/3 14 0 1/3 1/3 1/3 15 1/4 1/4 1/4 1/4 16 5/8 1/8 1/8 1/8 17 1/8 5/8 1/8 1/8 18 1/8 1/8 5/8 1/8 19 1/8 1/8 1/8 5/8
  • 340.
    QUY HOẠCH HỖNHỢP THỰC NGHIỆM – TÍNH CHẤT 341 Về sử dụng Minitab tương tự Simplex lattice. Chú ý trên hộp thoại Create Mixture Design, chọn cả 2 nút Augment the design with axial points và Augment the design with center points. Hoặc trên hộp thoại Create Mixture Design ta chọn Simplex centroid. Và sau đó trên hộp thoại Create Mixture Design, chọn cả nút Augment the design with axial points. Hình 8.14 8.5. QUY HOẠCH EXTREME VERTEX (MC LEARN ADERSON) Quy hoạch Extreme vertex được sử dụng khi có ràng buộc với 1 nhân tố nào đó trong hỗn hợp (ví dụ có thành phần lớn nhất hoặc nhỏ nhất) hoặc khi có ràng buộc tuyến tính vài nhân tố. Trong quy hoạch này các hàm ràng buộc xác định miền giá trị các nhân tố, và sử dụng các điểm giao giữa các hàm ràng buộc và các đường biên là các điểm thí nghiệm. Ví dụ ta có các ràng buộc sau [53]: x2 < 0,7 -2x1 + 2x2 + 3x3 > 0 48x1 + 13x2 - x3 > 0 Khi đó miền giá trị các nhân tố và miền giới hạn theo Hình 8.15.
  • 341.
    CHƯƠNG 8 342 1 2 0 3 4 5 6 0 – X1+ 2X2 + 3X3 > 0 48X1 + 13X2 – X3 > 0 X2 < 0,7 0 1 1 X3 0 1 X2 X1 Hình 8.15 Ví dụ 8.2 Vật liệu cao su được tạo ra từ hỗn hợp Nitril butadiene (NBR, X1), cao su Clopren (CR, X3) và Polyvinyl clorua (PVC, X2). Giới hạn các thành phần như sau [33]: 1 2 3 1 2 3 0,2 x 0,6 0,1 x 0,4 0,2 x 0,5 x x x 1                 4 9 2 5 3 7 1 8 6 12 13 10 11 X2 (PVC) K L E F A D G H C M B X3 (CR) X1 (NBR) Hình 8.16 Quy hoạch Extreme vertex (Mc Learn – Anderson) [33] Quy hoạch Mc Lean – Anderson được xây dựng như sau: 1. Viết tất cả tổ hợp khả dĩ của hai mức giới hạn trên dưới cho từng cặp hai cấu tử một (bỏ trống một cấu tử). Tổng số ta có: 3  23-1 = 12 tổ hợp.
  • 342.
    QUY HOẠCH HỖNHỢP THỰC NGHIỆM – TÍNH CHẤT 343 Bảng 8.7 TT X1 X2 X3 Điểm được chọn cho quy hoạch mới 1 0,2 0,1 - (1) x3 = 0,3 2 0,6 0,1 - 3 0,2 0,4 - 4 0,6 0,4 - (2) x3 = 0,4 5 0,2 - 0,2 (3) x2 = 0,2 (4) x2 = 0,3 6 0,6 - 0,2 7 0,2 - 0,5 8 0,6 - 0,5 9 - 0,1 0,2 (5) x1 = 0,4 (6) x1 = 0,4 10 - 0,4 0,2 11 - 0,1 0,5 12 - 0,4 0,5 2. Trong số 12 tổ hợp kể trên ta chọn tổ hợp để khi thêm thành phần thứ 3 thì thỏa mãn các điều kiện (1) và (2) tức là từng nồng độ nằm trong vùng giới hạn và tổng nồng độ các cấu tử phải bằng 1. Dễ dàng nhận thấy đó là các tổ hợp theo thứ tự: 2, 3, 6, 7, 10 và 11. Các điểm thí nghiệm của quy hoạch mới ký hiệu (1), (2), (3), (4), (5) và (6) trong Bảng 8.7 và trên Hình 8.16. Kết quả ta có quy hoạch thực nghiệm Mc Lean – Anderson trong Bảng 8.8. Bảng 8.8 Ma trận thực nghiệm Mc Lean – Anderson TT x1 x2 x3 Y (MPa) ŷ (MPa) y (MPa) 1 0,6 0,1 0,3 21,2 21,304 -0,104 2 0,2 0,4 0,4 16,5 16,502 -0,002 3 0,6 0,2 0,2 20,0 18,627 0,373 4 0,2 0,3 0,5 18,72 18,304 0,416 5 0,4 0,4 0,2 16,85 16,842 0,008 6 0,4 0,1 0,5 22,11 22,062 0,048 7 0,6 0,15 0,25 20,62 20,862 -0,242 8 0,5 0,1 0,4 22,35 22,197 0,153 9 0,2 0,35 0,45 17,17 17,536 -0,366 10 0,3 0,4 0,3 18,12 17,973 0,147 11 0,5 0,3 0,2 18,5 18,780 -0,280 12 0,3 0,2 0,5 21,2 21,516 -0,316 13 0,4 0,25 0,35 22,0 21,834 0,166
  • 343.
    CHƯƠNG 8 344 Ta tìmmô hình thực nghiệm thống kê của kế hoạch trên ở dạng đa thức rút gọn bậc 3 khuyết có 7 hệ số được xác định theo phương pháp bình phương nhỏ nhất với việc giải hệ phương trình chuẩn bằng thuật toán SIMQ [6]. Kết quả tính toán đã tìm được mô hình sau 1 2 3 1 2 1 3 2 3 1 2 3 ŷ 14,266x 5,715x 13,028x 2,082x x 25,186x x 0,925x x 262,312x x x        1. Trên menu Stat chọn DOE > Mixture > Create Mixture Design. 2. Trên Type of Design, chọn Extreme vertices. 3. Từ Number of components, chọn 3. 4. Nhấp nút Designs, và sau đó chọn OK. 5. Nhấp Components và nhập các số liệu tương ứng như hình sau. Hình 8.17 6. Nhấp nút Linear Constraints, và nhập các số liệu vào hộp thoại Hình 8.18.
  • 344.
    QUY HOẠCH HỖNHỢP THỰC NGHIỆM – TÍNH CHẤT 345 Hình 8.18 7. Nhấp OK hai lần và trở về hộp thoại chính. 8. Nhấp nút Process Vars. Trên hộp thoại Process Variables, nút Number chọn 1. Hình 8.19 9. Trên cột Name, nhập Temperature. Và trên các cột Low và High, nhập tương ứng 80 và 90. Nhấp nút OK.
  • 345.
    CHƯƠNG 8 346 10. Nhấpnút Results. Chọn Detailed description and design table. Hình 8.20 11. Nhấp nút OK trên mỗi hộp thoại. Extreme Vertices Design Components: 3 Design points: 10 Process variables: 0 Design degree: 2 Mixture total: 1.00000 Number of Boundaries for Each Dimension Point Type 1 2 0 Dimension 0 1 2 Number 6 6 1 Number of Design Points for Each Type Point Type 1 2 3 0 -1 Distinct 5 5 0 0 0 Replicates 1 1 0 0 0 Total number 5 5 0 0 0 Bounds of Mixture Components Amount Proportion Pseudocomponent Comp Lower Upper Lower Upper Lower Upper A 0.20000 0.45000 0.20000 0.45000 0.00000 0.62500 B 0.10000 0.40000 0.10000 0.40000 0.00000 0.75000 C 0.30000 0.50000 0.30000 0.50000 0.00000 0.50000 * NOTE * Bounds were adjusted to accommodate specified constraints. Linear Constraints of Mixture Components Constraint Lower A B C Upper 1 0.00000 -1.00000 0.00000 1.00000 1.00000 ** ** indicates inconsistent or unnecessary upper bound. * NOTE * Flagged constraints are ignored. Design Table
  • 346.
    QUY HOẠCH HỖNHỢP THỰC NGHIỆM – TÍNH CHẤT 347 Run Type A B C 1 1 0.20000 0.40000 0.40000 2 1 0.20000 0.30000 0.50000 3 1 0.40000 0.10000 0.50000 4 1 0.45000 0.10000 0.45000 5 1 0.30000 0.40000 0.30000 6 2 0.20000 0.35000 0.45000 7 2 0.42500 0.10000 0.47500 8 2 0.25000 0.40000 0.35000 9 2 0.30000 0.20000 0.50000 10 2 0.37500 0.25000 0.37500 Regression for Mixtures: y versus A, B, C Estimated Regression Coefficients for y (component proportions) Term Coef SE Coef T P VIF A -414 379.4 * * 27862 B -201 384.6 * * 22579 C -313 256.8 * * 23110 A*B 931 1645.6 0.57 0.611 28615 A*C 1532 1284.2 1.19 0.319 62325 B*C 922 1298.1 0.71 0.529 41299 A*B*C -1238 3552.3 -0.35 0.750 20523 S = 2.32494 PRESS = 499.878 R-Sq = 89.93% R-Sq(pred) = 0.00% R-Sq(adj) = 69.79% Analysis of Variance for y (component proportions) Source DF Seq SS Adj SS Adj MS F P Regression 6 144.817 144.8165 24.1361 4.47 0.124 Linear 2 106.326 19.2168 9.6084 1.78 0.310 Quadratic 3 37.833 36.9305 12.3102 2.28 0.258 A*B 1 0.059 1.7307 1.7307 0.32 0.611 A*C 1 17.349 7.6956 7.6956 1.42 0.319 B*C 1 20.426 2.7270 2.7270 0.50 0.529 Special Cubic 1 0.657 0.6567 0.6567 0.12 0.750 A*B*C 1 0.657 0.6567 0.6567 0.12 0.750 Residual Error 3 16.216 16.2161 5.4054 Total 9 161.033
  • 347.
    CHƯƠNG 8 348 8.6. QUYHOẠCH THỰC NGHIỆM TỐI ƯU Quy hoạch thực nghiệm tối ưu là một loại QHTN dựa theo một số tiêu chí thống kê được lựa chọn. Tiêu chí thống kê sẽ liên quan đến các phương sai có giá trị nhỏ nhất. Việc tối ưu hóa dựa theo một số tiêu chí thống kê cho phép ước tính các tham số mà không có độ lệch với phương sai tối thiểu hoặc tăng độ chính xác của các giá trị dự đoán. Mục tiêu của quy hoạch tối ưu là loại bỏ các QHTN không tối ưu, dẫn đến việc giảm số lần thực nghiệm để ước tính các tham số với cùng độ chính xác. Thông thường các nhà nghiên cứu sẽ sử dụng các QHTN truyền thống, vì chúng được hỗ trợ bởi các nghiên cứu trong nhiều năm nhờ có các đặc tính rất tốt giúp phân tích dữ liệu thực nghiệm trở nên đơn giản. Tuy nhiên, các quy hoạch truyền thống yêu cầu một số lần thực nghiệm nhất định và các kết hợp nhân tố để được thực hiện. Ví dụ: thử nghiệm quy hoạch 3 × 4 với hai lần lặp yêu cầu 24 lần thực nghiệm. Các ứng dụng trong thế giới thực của những quy hoạch truyền thống này có thể phức tạp, vì những lý do dẫn đến mất tính trực giao trong các quy hoạch này. Một số lý do này bao gồm: • Một số lượng lớn các lần thí nghiệm theo yêu cầu của quy hoạch truyền thống có thể không thực tế (ví dụ: hạn chế về chi phí và thời gian có thể giới hạn số lần thí nghiệm). • Một số tổ hợp yếu tố nhất định có thể không thí nghiệm được, chẳng hạn như các hạn chế do đặc tính vật lý của các nhân tố hoặc cài đặt và chức năng của thiết bị. • Mô hình có thể quá phức tạp với việc cần thiết phải bao gồm các thuật ngữ ngoại lai (ví dụ: các thuật ngữ mô hình độ cong phức tạp không thể được tính đến trong các quy hoạch truyền thống). Đôi khi, thực nghiệm đã được quy hoạch sẵn nhưng khi các nhà nghiên cứu thực hiện thì phát hiện ra rằng một số thí nghiệm sẽ không tiến hành được. Các quy hoạch tối ưu có thể được sử dụng để tìm ra những điểm mới nhằm “sửa chữa” quy hoạch truyền thống có vấn đề, đồng thời giữ lại những thí nghiệm khả thi.
  • 348.
    QUY HOẠCH HỖNHỢP THỰC NGHIỆM – TÍNH CHẤT 349 BÀI TẬP 8.1 Sử dụng quy hoạch Simplex centroid để xác định thành phần Buoyant Matrices của Dipyridamole từ 3 nhân tố (Bảng 8.9): HPMC K4M (X1), sodium bicarbonate (X2) và Ethyl cellulose (X3). Các thông số đầu ra (đáp ứng) tương ứng: Floating lag time (Y1) và Percentage drug release lúc 6 h (Y2) (https://www.japsonline.com/admin/php/uploads/735_pdf.pdf). Bảng 8.9 Mã hóa Giá trị tự nhiên (mg) X1 X2 X3 1 130 80 60 0 70 40 30 Kết quả thực nghiệm cho trong Bảng 8.10. Bảng 8.10 Các nhân tố Kết quả thí nghiệm X1 X2 X3 Y1 – FLT (s) Y2 – Rel 6 h (%) 1 1 1 0 172 86,66 2 1 0 1 146 88,1 3 0 1 1 107 98,32 4 0,5 0,5 0 123 89,68 5 0,5 0 0,5 104 92,62 6 0 0,5 0,5 90 96,66 7 0,33 0,33 0,33 130 94,43 Xử lý và phân tích kết quả thực nghiệm. 8.2. Bài tập lớn quy hoạch thành phần – hỗn hợp. Sinh viên (học viên) tìm hiểu 01 bài báo khoa học liên quan quy hoạch thành phần – hỗn hợp và trình bày trong thuyết minh các nội dung sau: 1. Tóm tắt nội dung bài báo khoa học (Abstract). 2. Các nhân tố đầu vào, đầu ra, miền giá trị. 3. Dạng ma trận QHTN, số thí nghiệm lặp (lựa chọn), kết quả thực nghiệm. 4. Xử lý kết quả thực nghiệm trên Minitab. 5. So sánh kết quả bài báo với Minitab. 6. Nhận xét chung.
  • 349.
    CHƯƠNG 9 350 Chương 9 QUYHOẠCH THỰC NGHIỆM CHỌN LỌC (SCREENING DESIGN) Chương này gồm các nội dung sau: 9.1. Quy hoạch thực nghiệm bão hòa 9.2. Sử dụng quy hoạch Plackett-Burman 9.3. Phương pháp cân bằng ngẫu nhiên 9.4. Phương pháp lấy ý kiến chuyên gia
  • 350.
    QUY HOẠCH THỰCNGHIỆM CHỌN LỌC 351 Nhiệm vụ của QHTN chọn lọc là xác định các nhân tố ảnh hưởng nhất từ số lượng lớn (hàng chục, hàng trăm) nhân tố liên quan đối tượng nghiên cứu. Để xác định các nhân tố này ta có thể nhờ vào các chuyên gia mà không cần tiến hành thực nghiệm, tuy nhiên, phương pháp này cũng là định tính. Trong chương này trình bày các phương pháp thực nghiệm để giải quyết bài toán trên. QHTN chọn lọc tìm ra các nhân tố ảnh hưởng nhất và nó không phải là bước nghiên cứu cuối cùng. Sau đó ta sử dụng các nhân tố ảnh hưởng nhất xác định trong QHTN chọn lọc để tiếp tục nghiên cứu (thực nghiệm) với mục đích xây dựng mô hình toán cho đối tượng. Theo kết quả thực nghiệm chọn lọc, danh sách các nhân tố ảnh hưởng nhất chỉ đúng trong miền giá trị các nhân tố đã chọn. Như ta đã biết từ k nhân tố, thu được mô hình bậc nhất mô tả đối tượng, khi so sánh giá trị tuyệt đối các hệ số phương trình hồi quy, thì dễ dàng tìm ra các nhân tố ảnh hưởng nhất: giá trị tuyệt đối các hệ số tuyến tính càng lớn trong phương trình ở dạng mã hóa thì ảnh hưởng nhân tố đó càng lớn. Khi thực hiện quy hoạch thực nghiệm chọn lọc ta tiến hành với số lượng lớn các nhân tố và khi đó yêu cầu số lượng lớn các thí nghiệm. Lúc đó, yêu cầu phải tiến hành quy hoạch thực nghiệm một cách hiệu quả nhất mà vẫn thu được các kết quả mong muốn. Bởi vì khi tiến hành thực nghiệm chọn lọc không cần thiết phải kiểm tra tính thích hợp phương trình hồi quy cho nên ta chỉ cần thực hiện quy hoạch thực nghiệm bão hòa hay gần bão hòa (số thí nghiệm N = số hệ số PTHQ p) để thu mô hình tuyến tính đối tượng nghiên cứu. Trong Chương 7 ta sử dụng phương pháp Taguchi được xem là một trong các phương pháp thực nghiệm chọn lọc. Từ kết quả thực nghiệm theo phương trình hồi quy hoặc phân tích ANOVA ta chọn lọc nhân tố nào ảnh hưởng nhiều nhất với thông số đầu ra. 9.1. QUY HOẠCH THỰC NGHIỆM BÃO HÒA (BALANCED DESIGNS) Quy hoạch thực nghiệm thỏa mãn các tính chất trên có thể là TNR 27-4 , bao gồm 7 nhân tố và 8 thí nghiệm. Quy hoạch 215-11 gồm 15 nhân tố và N = 16 thí nghiệm với các biểu thức sinh: 4 3 2 1 5 x x x x x  ; 3 2 1 6 x x x x  ; 4 2 1 7 x x x x  ; 4 3 1 8 x x x x  ; 4 3 2 9 x x x x  ; 2 1 10 x x x  ; 3 1 11 x x x  ; 4 1 12 x x x  ; 3 2 13 x x x  ; 4 2 14 x x x  ; 4 3 15 x x x 
  • 351.
    CHƯƠNG 9 352 Ta cóthể sử dụng TNR 231-26 = 32 thí nghiệm với 31 nhân tố và giả sử rằng tương tác đôi ảnh hưởng ít hơn hệ số tuyến tính. Chỉ khi giả thuyết này đúng thì sử dụng các phương pháp mới chính xác. Trong mục 9.3 ta khảo sát phương pháp cân bằng ngẫu nhiên cho phép xác định không những ảnh hưởng tuyến tính mà còn tương tác đôi. Giải: Thực nghiệm tiến hành với 7 nhân tố (Bảng 9.1) với ma trận quy hoạch và kết quả thí nghiệm như Bảng 9.2. Bảng 9.1 Các nhân tố và các mức giá trị STT Nhân tố Ký hiệu Mức giá trị Khoảng thay đổi Tự nhiên Mã hóa Dưới - 1 Trên +1 1 Chiều dài bàn chải (phần có lông cứng) (mm) L x1 4 20 16 2 Đường kính lông bàn chải (mm) d x2 0,2 0,5 0,3 3 Chiều rộng phần gắn lông bàn chải (mm) b x3 20 40 20 4 Lực nén chổi quét (N) f x4 0,6 1,2 0,6 5 Vận tốc vòng chổi quét (m/s) v x5 1,57 3,14 1,57 6 Chiều dày tấm vật liệu (mm) h x6 0,7 2,0 1,3 7 Hướng sợi (độ 0 )  x7 0 90 90 Bảng 9.2 Ma trận quy hoạch và kết quả thực nghiệm N x1 x2 x3 x4 (x4=x1x2x3) x5 (x5=x2x3) x6 (x6 = x1x3) x7 (x7= x1x2) y 1 –1 –1 –1 –1 +1 +1 +1 5,2 2 +1 –1 –1 +1 +1 –1 –1 3,2 3 –1 +1 –1 +1 –1 +1 –1 3,0 4 +1 +1 –1 –1 –1 –1 +1 6,2 5 –1 –1 +1 +1 –1 –1 +1 5,0 6 +1 –1 +1 –1 –1 +1 –1 2,5 7 –1 +1 +1 –1 +1 –1 –1 4,6 8 +1 +1 +1 +1 +1 +1 +1 5,2 Ví dụ 9.1 Ví dụ sử dụng TNR bão hòa khi nghiên cứu phương pháp dò khuyết tật tấm vật liệu bằng âm thanh. Nội dung phương pháp dò khuyết tật là ma sát giữa chổi quay trên bề mặt tấm vật liệu tạo nên dao động âm.
  • 352.
    QUY HOẠCH THỰCNGHIỆM CHỌN LỌC 353 Mỗi thí nghiệm ta đo 34 lần điện áp thu được từ microfone trên vùng đo có khuyết tật hoặc không có khuyết tật. Đáp ứng trong thực nghiệm là đại lượng 2 2 1 E E E y   với E1, E2 - giá trị điện áp trung bình thu được từ microfone máy dò khuyết tật trên vùng có và không có khuyết tật. Mục tiêu nghiên cứu là tìm ra các nhân tố ảnh hưởng nhất nên đáp ứng sử dụng TNR 27-4 với ma trận quy hoạch và kết quả thực nghiệm trình bày như Bảng 9.2. Sau khi xử lý số liệu theo công thức (5.6) ta thu được phương trình hồi quy: y = 4,363 – 0,08750 x1 + 0,3875 x2 – 0,03750 x3 – 0,2625 x4 + 0,1875 x5 – 0,3875 x6 + 1,038 x7 Từ phương trình trên ta thấy rằng nhân tố x7 là ảnh hưởng nhiều nhất, kế tiếp là x6, x2, x4, x5. Các nhân tố x1 và x3 là ít ảnh hưởng nhất. Sử dụng Minitab Trường hợp sử dụng Minitab ta chọn và nhập các biểu thức sinh trên các hộp thoại tương ứng như các Hình 9.1. a) b) c) Hình 9.1
  • 353.
    CHƯƠNG 9 354 Kết quảta thu được phương trình hồi quy: Term Effect Coef Coef T-Value P-Value VIF Constant 4.363 * * * X1 -0.17500 -0.08750 * * * 1.00 X2 0.7750 0.3875 * * * 1.00 X3 -0.07500 -0.03750 * * * 1.00 X4 -0.5250 -0.2625 * * * 1.00 X5 0.3750 0.1875 * * * 1.00 X6 -0.7750 -0.3875 * * * 1.00 X7 2.075 1.038 * * * 1.00 Regression Equation in Uncoded Units y = 4.363 - 0.08750 X1 + 0.3875 X2 - 0.03750 X3 - 0.2625 X4 + 0.1875 X5 - 0.3875 X6 + 1.038 X7 9.2. SỬ DỤNG QUY HOẠCH PLACKETT-BURMAN (PLACKETT–BURMAN DESIGN) TNR với số thí nghiệm là bội số của 2, có nghĩa là 4, 8, 16, 32, 64,... Khi đó, nó hạn chế trong việc ứng dụng quy hoạch thực nghiệm chọn lọc. Ví dụ, nếu ta đưa vào thực nghiệm 20 nhân tố, thì số thí nghiệm nhỏ nhất là N = 220-15 = 32 thí nghiệm và không bão hòa. Vào năm 1946, R. L. Plackett and J. P. Burman trong bài báo [2] đưa ra ý tưởng xây dựng quy hoạch thực nghiệm trực giao bão hòa có thể xây dựng không những đối với các giá trị N như TNR ở trên mà còn đối với tất cả N là bội số của 4. Các quy hoạch này gọi là Plackett - Burman, ví dụ N = 8, 12, 16, 20, 24, 32 và 36. Số nhân tố thay đổi tương ứng bằng 7, 11, 15, 19, 23, 31 và 35. Để xây dựng các quy hoạch này ta sử dụng sự kết hợp các dấu như Bảng 9.3. Bảng 9.3 k ≤ N Kết hợp dấu 7 11 15 8 12 16 + + + – + – – + + – + + + – – – + – + + + + – + – + + – – + – – – 19 20 + + – – + + + + – + – + – – – – + + – 23 31 24 32 + + + + + – + – + + – – + + – – + – + – – – – – – – – + – + – + + + – + + – – – + + + + + – – + + – + – – + 35 36 – + – + + + – – – + + + + + – + + + – – + – – – – + – + – + + – – + – Ví dụ ta xây dựng quy hoạch bão hòa với 11 nhân tố, bao gồm N = 12 thí nghiệm. Để làm được điều đó ta sử dụng bảng dấu trên Bảng 9.3, trình tự dấu cộng và dấu trừ của hàng này đối với mức nhân tố x1 với các thí nghiệm từ 1 đến 11.
  • 354.
    QUY HOẠCH THỰCNGHIỆM CHỌN LỌC 355 Giải: Ma trận quy hoạch theo phương pháp Plackett–Burman có dạng như Bảng 9.4. Bảng 9.4 Ma trận quy hoạch L8 N x1 x2 x3 x4 x5 x6 x7 y 1 +1 –1 –1 +1 –1 +1 +1 4,126 2 +1 +1 –1 –1 +1 –1 +1 6,576 3 +1 +1 +1 –1 –1 +1 –1 3,275 4 -1 +1 +1 +1 –1 –1 +1 5,776 5 +1 -1 +1 +1 +1 –1 –1 3,125 6 –1 +1 -1 +1 +1 +1 –1 3,375 7 –1 –1 +1 -1 +1 +1 +1 5,126 8 –1 –1 –1 –1 –1 –1 –1 3,525 Kết quả tính trên Minitab: Model Summary S R-sq R-sq(adj) R-sq(pred) * 100.00% * * Coded Coefficients SE Term Effect Coef Coef T-Value P-Value VIF Constant 4.363 * * * x1 -0.17500 -0.08750 * * * 1.00 x2 0.7750 0.3875 * * * 1.00 x3 -0.07500 -0.03750 * * * 1.00 x4 -0.5250 -0.2625 * * * 1.00 x5 0.3750 0.1875 * * * 1.00 x6 -0.7750 -0.3875 * * * 1.00 x7 2.076 1.038 * * * 1.00 Regression Equation in Uncoded Units Y = 4.363 - 0.08750 x1 + 0.3875 x2 - 0.03750 x3 - 0.2625 x4 + 0.1875 x5 - 0.3875 x6 + 1.038 x7 Từ phương trình trên ta thấy rằng nhân tố x7 là ảnh hưởng nhiều nhất, kế tiếp là x6, x2, x4, x5. Ví dụ 9.2 Xây dựng ma trân quy hoạch theo phương pháp Plackett– Burman khi nghiên cứu phương pháp dò khuyết tật tấm vật liệu bằng âm thanh. Nội dung phương pháp dò khuyết tật là ma sát giữa chổi quay trên bề mặt tấm vật liệu tạo nên dao động âm. Thực nghiệm tiến hành với 7 nhân tố với các mức giá trị như Bảng 9.1.
  • 355.
    CHƯƠNG 9 356 Sau đâylà một số dạng ma trận quy hoạch, Bảng 9.5 là ma trận quy hoạch với N = 12, hàng 12 tất cả các giá trị đều là trừ (–1). Giá trị cột thứ 2 (x2) đối với tất cả thí nghiệm nhận được bằng cách di chuyển cột x1 xuống dưới 1 vị trí, khi đó dấu trừ hàng cuối cùng được viết đầu tiên. Tương tự với các cột còn lại. Bảng 9.5 Ma trận quy hoạch với N = 12, k ≤ 11 N x1 x2 x3 x4 x5 x6 x7 x8 x9 x10 x11 1 +1 –1 +1 –1 –1 –1 +1 +1 +1 –1 +1 2 +1 +1 –1 +1 –1 –1 –1 +1 +1 +1 –1 3 –1 +1 +1 –1 +1 –1 –1 –1 +1 +1 +1 4 +1 –1 +1 +1 –1 +1 –1 –1 –1 +1 +1 5 +1 +1 –1 +1 +1 –1 +1 –1 –1 –1 +1 6 +1 +1 +1 –1 +1 +1 –1 +1 –1 –1 –1 7 –1 +1 +1 +1 –1 +1 +1 –1 +1 –1 –1 8 –1 –1 +1 +1 +1 –1 +1 +1 –1 +1 –1 9 –1 –1 –1 +1 +1 +1 –1 +1 +1 –1 +1 10 +1 –1 –1 –1 +1 +1 +1 –1 +1 +1 –1 11 –1 +1 –1 –1 –1 +1 +1 +1 –1 +1 +1 12 –1 –1 –1 –1 –1 –1 –1 –1 –1 –1 –1 Dựa trên cơ sở này ta xây dựng quy hoạch Plackett-Burman cho N = 20 (Bảng 9.6), 24 (Bảng 9.7) và 36. Bảng 9.6 Ma trận quy hoạch với N = 20, k ≤ 19 N x1 x2 x3 x4 x5 x6 x7 x8 x9 x10 x11 x12 x13 x14 x15 x16 x17 x18 x19 1 +1 -1 +1 +1 -1 -1 -1 -1 +1 -1 +1 -1 +1 +1 +1 +1 -1 -1 +1 2 +1 +1 -1 +1 +1 -1 -1 -1 -1 +1 -1 +1 -1 +1 +1 +1 +1 -1 -1 3 -1 +1 +1 -1 +1 +1 -1 -1 -1 -1 +1 -1 +1 -1 +1 +1 +1 +1 -1 4 -1 -1 +1 +1 -1 +1 +1 -1 -1 -1 -1 +1 -1 +1 -1 +1 +1 +1 +1 5 +1 -1 -1 +1 +1 -1 +1 +1 -1 -1 -1 -1 +1 -1 +1 -1 +1 +1 +1 6 +1 +1 -1 -1 +1 +1 -1 +1 +1 -1 -1 -1 -1 +1 -1 +1 -1 +1 +1 7 +1 +1 +1 -1 -1 +1 +1 -1 +1 +1 -1 -1 -1 -1 +1 -1 +1 -1 +1 8 +1 +1 +1 +1 -1 -1 +1 +1 -1 +1 +1 -1 -1 -1 -1 +1 -1 +1 -1 9 -1 +1 +1 +1 +1 -1 -1 +1 +1 -1 +1 +1 -1 -1 -1 -1 +1 -1 +1 10 +1 -1 +1 +1 +1 +1 -1 -1 +1 +1 -1 +1 +1 -1 -1 -1 -1 +1 -1 11 -1 +1 -1 +1 +1 +1 +1 -1 -1 +1 +1 -1 +1 +1 -1 -1 -1 -1 +1 12 +1 -1 +1 -1 +1 +1 +1 +1 -1 -1 +1 +1 -1 +1 +1 -1 -1 -1 -1 13 -1 +1 -1 +1 -1 +1 +1 +1 +1 -1 -1 +1 +1 -1 +1 +1 -1 -1 -1 14 -1 -1 +1 -1 +1 -1 +1 +1 +1 +1 -1 -1 +1 +1 -1 +1 +1 -1 -1 15 -1 -1 -1 +1 -1 +1 -1 +1 +1 +1 +1 -1 -1 +1 +1 -1 +1 +1 -1 16 -1 -1 -1 -1 +1 -1 +1 -1 +1 +1 +1 +1 -1 -1 +1 +1 -1 +1 +1 17 +1 -1 -1 -1 -1 +1 -1 +1 -1 +1 +1 +1 +1 -1 -1 +1 +1 -1 +1 18 +1 +1 -1 -1 -1 -1 +1 -1 +1 -1 +1 +1 +1 +1 -1 -1 +1 +1 -1 19 -1 +1 +1 -1 -1 -1 -1 +1 -1 +1 -1 +1 +1 +1 +1 -1 -1 +1 +1 20 -1 -1 -1 -1 -1 -1 -1 -1 -1 -1 -1 -1 -1 -1 -1 -1 -1 -1 -1
  • 356.
    QUY HOẠCH THỰCNGHIỆM CHỌN LỌC 357 Bảng 9.7 Ma trận quy hoạch với N = 24, k ≤ 23 N x1 x2 x3 x4 x5 x6 x7 x8 x9 x10 x11 x12 x13 x14 x15 x16 x17 x18 x19 x20 x21 x22 x23 1 1 -1 -1 -1 -1 1 -1 1 -1 -1 1 1 -1 -1 1 1 -1 1 -1 1 1 1 1 2 1 1 -1 -1 -1 -1 1 -1 1 -1 -1 1 1 -1 -1 1 1 -1 1 -1 1 1 1 3 1 1 1 -1 -1 -1 -1 1 -1 1 -1 -1 1 1 -1 -1 1 1 -1 1 -1 1 1 4 1 1 1 1 -1 -1 -1 -1 1 -1 1 -1 -1 1 1 -1 -1 1 1 -1 1 -1 1 5 1 1 1 1 1 -1 -1 -1 -1 1 -1 1 -1 -1 1 1 -1 -1 1 1 -1 1 -1 6 -1 1 1 1 1 1 -1 -1 -1 -1 1 -1 1 -1 -1 1 1 -1 -1 1 1 -1 1 7 1 -1 1 1 1 1 1 -1 -1 -1 -1 1 -1 1 -1 -1 1 1 -1 -1 1 1 -1 8 -1 1 -1 1 1 1 1 1 -1 -1 -1 -1 1 -1 1 -1 -1 1 1 -1 -1 1 1 9 1 -1 1 -1 1 1 1 1 1 -1 -1 -1 -1 1 -1 1 -1 -1 1 1 -1 -1 1 10 1 1 -1 1 -1 1 1 1 1 1 -1 -1 -1 -1 1 -1 1 -1 -1 1 1 -1 -1 11 -1 1 1 -1 1 -1 1 1 1 1 1 -1 -1 -1 -1 1 -1 1 -1 -1 1 1 -1 12 -1 -1 1 1 -1 1 -1 1 1 1 1 1 -1 -1 -1 -1 1 -1 1 -1 -1 1 1 13 1 -1 -1 1 1 -1 1 -1 1 1 1 1 1 -1 -1 -1 -1 1 -1 1 -1 -1 1 14 1 1 -1 -1 1 1 -1 1 -1 1 1 1 1 1 -1 -1 -1 -1 1 -1 1 -1 -1 15 -1 1 1 -1 -1 1 1 -1 1 -1 1 1 1 1 1 -1 -1 -1 -1 1 -1 1 -1 16 -1 -1 1 1 -1 -1 1 1 -1 1 -1 1 1 1 1 1 -1 -1 -1 -1 1 -1 1 17 1 -1 -1 1 1 -1 -1 1 1 -1 1 -1 1 1 1 1 1 -1 -1 -1 -1 1 -1 18 -1 1 -1 -1 1 1 -1 -1 1 1 -1 1 -1 1 1 1 1 1 -1 -1 -1 -1 1 19 1 -1 1 -1 -1 1 1 -1 -1 1 1 -1 1 -1 1 1 1 1 1 -1 -1 -1 -1 20 -1 1 -1 1 -1 -1 1 1 -1 -1 1 1 -1 1 -1 1 1 1 1 1 -1 -1 -1 21 -1 -1 1 -1 1 -1 -1 1 1 -1 -1 1 1 -1 1 -1 1 1 1 1 1 -1 -1 22 -1 -1 -1 1 -1 1 -1 -1 1 1 -1 -1 1 1 -1 1 -1 1 1 1 1 1 -1 23 -1 -1 -1 -1 1 -1 1 -1 -1 1 1 -1 -1 1 1 -1 1 -1 1 1 1 1 1 24 -1 -1 -1 -1 -1 -1 -1 -1 -1 -1 -1 -1 -1 -1 -1 -1 -1 -1 -1 -1 -1 -1 -1 Quy hoạch Plackett-Burman cho phép nhận mô hình tuyến tính đối tượng với số nhân tố ít hơn số thí nghiệm 1 giá trị. Quy hoạch này có đầy đủ các tính chất TNT và TNR: tính chất đối xứng, chuẩn và trực giao. Do đó, các hệ số phương trình hồi quy có thể xác định theo các công thức (5.6) và (5.9).
  • 357.
    CHƯƠNG 9 358 Bảng 9.8Bảng giá trị các nhân tố Nhân tố x1 x2 x3 x4 x5 x6 x7 x8 x9 x10 Thấp nhất (-1) 0,6 25 1,5 0,05 1,5 12 2 35 1,2 1,5 Cao nhất (+1) 1,3 45 30,5 0,25 55,5 14 22 80 6 6 Bảng 9.9 Kết quả thực nghiệm độ nhám Rz (µm) N x0 x1 x2 x3 x4 x5 x6 x7 x8 x9 x10 max z R 2 i S 1 1 +1 –1 +1 –1 –1 –1 +1 +1 +1 –1 50,25 7,8 2 1 +1 +1 –1 +1 –1 –1 –1 +1 +1 +1 21,76 4,38 3 1 –1 +1 +1 –1 +1 –1 –1 –1 +1 +1 25,92 5,19 4 1 +1 –1 +1 +1 –1 +1 –1 –1 –1 +1 34,59 14,82 5 1 +1 +1 –1 +1 +1 –1 +1 –1 –1 –1 39,59 13,2 6 1 +1 +1 +1 –1 +1 +1 –1 +1 –1 –1 31,08 5,69 7 1 –1 +1 +1 +1 –1 +1 +1 –1 +1 –1 60,41 26,57 8 1 –1 –1 +1 +1 +1 –1 +1 +1 –1 +1 34,75 11,09 9 1 –1 –1 –1 +1 +1 +1 –1 +1 +1 –1 22,92 6,03 10 1 +1 –1 –1 –1 +1 +1 +1 –1 +1 +1 66,74 26,69 11 1 –1 +1 –1 –1 –1 +1 +1 +1 –1 +1 68,24 24,66 12 1 –1 –1 –1 –1 –1 –1 –1 –1 –1 –1 26,75 10,12 Phương trình hồi quy bậc nhất có dạng: 1 2 3 4 5 6 7 8 9 10 y 40,25 0,418x 0,917 0,75 4,58 3,42 7,08 13,08 2,08 1,08 1,75 x x x x x x x x x            Từ công thức ta thấy các hệ số b4 (x4) đến b7 (x7) là ảnh hưởng lớn nhất đến đối tượng nghiên cứu. Ví dụ 9.3 Sử dụng quy hoạch Plackett-Burman cho quá trình mài, gồm 10 nhân tố. Bảng giá trị các nhân tố trên Bảng 9.8 và ma trận quy hoạch và kết quả như Bảng 9.9.
  • 358.
    QUY HOẠCH THỰCNGHIỆM CHỌN LỌC 359 Sử dụng Minitab Từ menu Stat chọn DOE>Screening> Create Factorial Design… Hình 9.2 Xuất hiện hộp thoại Create Factorial Design Hình 9.3 Chọn số nhân tố Number of Factors, chọn nút Display Available Designs… sẽ xuất hiện Hộp thoại Create Screening Design: Display Available Designs
  • 359.
    CHƯƠNG 9 360 Hình 9.4 Chọnnút Options… Chọn Store design in worksheet. Hình 9.5 Ta có kết quả Ma trận quy hoạch như sau: Hình 9.6
  • 360.
    QUY HOẠCH THỰCNGHIỆM CHỌN LỌC 361 Bước 2. Xác định các thông số thực nghiệm chọn lọc bằng ccasch chọ các nút chọn tương ứng DOE > Screening > Define Custom Screening Design… Hình 9.7 Chọn các nhân tố và nhấp nút Select. Hình 9.8 Nhấp nút Low/High xuất hiện hộp thoại Low/High và nhập các giá trị nhỏ nhất và lớn nhất các thông số vào. Sau đó chọn nút Ok và trên Worksheet ta nhập kết quả thực nghiệm vào cột tương ứng.
  • 361.
    CHƯƠNG 9 362 Bước tiếptheo ta tiến hành phân tích bằng cách chọn Analyze Screening Design… Factorial Regression: Y versus A, B, C, D, E, F, G, H, J, K Analysis of Variance Source DF Adj SS Adj MS F-Value P-Value Model 10 3168.20 316.82 9504611.30 0.000 Linear 10 3168.20 316.82 9504611.30 0.000 X1 1 2.10 2.10 63001.00 0.003 X2 1 10.08 10.08 302500.00 0.001 X3 1 6.75 6.75 202500.00 0.001 X4 1 251.72 251.72 7551504.00 0.000 X5 1 140.08 140.08 4202500.00 0.000 X6 1 601.52 601.52 18045504.00 0.000 X7 1 2053.04 2053.04 61591104.00 0.000 X8 1 52.08 52.08 1562500.00 0.001 X9 1 14.08 14.08 422500.00 0.001 X10 1 36.75 36.75 1102500.00 0.001 Error 1 0.00 0.00 Total 11 3168.20 Model Summary S R-sq R-sq(adj) R-sq(pred) 0.0057735 100.00% 100.00% 100.00% Coded Coefficients Term Effect Coef SE Coef T-Value P-Value VIF Constant 40.2500 0.0017 24150.00 0.000 X1 0.83667 0.41833 0.00167 251.00 0.003 1.00 X2 1.83333 0.91667 0.00167 550.00 0.001 1.00 X3 -1.50000 -0.75000 0.00167 -450.00 0.001 1.00 X4 -9.16000 -4.58000 0.00167 -2748.00 0.000 1.00 X5 -6.83333 -3.41667 0.00167 -2050.00 0.000 1.00 X6 14.16000 7.08000 0.00167 4248.00 0.000 1.00 X7 26.1600 13.0800 0.0017 7848.00 0.000 1.00 X8 -4.16667 -2.08333 0.00167 -1250.00 0.001 1.00 X9 2.16667 1.08333 0.00167 650.00 0.001 1.00 X10 3.50000 1.75000 0.00167 1050.00 0.001 1.00
  • 362.
    QUY HOẠCH THỰCNGHIỆM CHỌN LỌC 363 Hình 9.9 Regression Equation in Uncoded Units y = 40.2500 + 0.41833 x1 + 0.91667 x2 - 0.75000 x3 - 4.58000 x4 - 3.41667 x5 + 7.08000 x6 + 13.0800 x7 - 2.08333 x8 + 1.08333 x9 + 1.75000 x10 9.3. PHƯƠNG PHÁP CÂN BẰNG NGẪU NHIÊN (RANDOM BALANCE DESIGNS) Khi số nhân tố lớn ta sử dụng phương pháp cân bằng ngẫu nhiên. Phương pháp cân bằng ngẫu nhiên là phương pháp thực nghiệm chọn lọc cho phép xác định các ảnh hưởng tuyến tính và tương tác đôi nhân tố. Phương pháp này gọi là siêu bão hòa vì nhân tố và tương tác lớn hơn nhiều so với số thí nghiệm. Nội dung phương pháp cân bằng ngẫu nhiên: giữa số lượng lớn các nhân tố chỉ có vài nhân tố ảnh hưởng đáng kể và các nhân tố còn lại gọi là các nhân tố nhiễu. Giai đoạn đầu tiên quy hoạch chọn lọc là lập ma trận quy hoạch. Có thể xây dựng theo nhiều phương pháp khác nhau, từ điều kiện cực tiểu hệ số tương quan lớn nhất giữa các cột. Thiết lập các quy hoạch này có thể là nhà thực nghiệm hoặc sử dụng các dạng quy hoạch sẵn có.
  • 363.
    CHƯƠNG 9 364 Khi đóta chia số nhân tố theo nhóm có từ 3-4 nhân tố. Sau đó đối với mỗi nhóm ta thiết lập ma trận quy hoạch nhân tố toàn phần. Giả sử ta có 10 nhân tố, ta chia làm ba nhóm: - Nhóm I gồm 4 nhân tố từ x1 đến x4. - Nhóm II gồm 4 nhân tố từ x5 đến x8. - Nhóm III gồm x9 và x10. Đối với mỗi nhóm ta lập ma trận quy hoạch toàn phần, hai nhóm đầu có 16 thí nghiệm. Nhóm III gồm hai nhân tố và lặp lại 4 lần (Bảng 9.10). Ta đánh số ngẫu nhiên theo các cột kI, kII, kIII như Bảng 9.10. Bảng 9.10 Bảng đánh số ngẫu nhiên xác định ma trận quy hoạch N x1 x2 x3 x4 kI x5 x6 x7 x8 kII x9 x10 kIII 1 –1 –1 –1 –1 7 –1 –1 –1 –1 11 –1 –1 10 2 +1 –1 –1 –1 5 +1 –1 –1 –1 16 +1 –1 15 3 –1 +1 –1 –1 8 –1 +1 –1 –1 3 –1 +1 2 4 +1 +1 –1 –1 10 +1 +1 –1 –1 7 +1 +1 6 5 –1 –1 +1 –1 11 –1 –1 +1 –1 9 –1 –1 8 6 +1 –1 +1 –1 15 +1 –1 +1 –1 8 +1 –1 7 7 –1 +1 +1 –1 14 –1 +1 +1 –1 4 –1 +1 3 8 +1 +1 +1 –1 1 +1 +1 +1 –1 12 +1 +1 11 9 –1 –1 –1 +1 13 –1 –1 –1 +1 5 –1 –1 4 10 +1 –1 –1 +1 6 +1 –1 –1 +1 13 +1 –1 12 11 –1 +1 –1 +1 9 –1 +1 –1 +1 14 –1 +1 13 12 +1 +1 –1 +1 2 +1 +1 –1 +1 10 +1 +1 9 13 –1 –1 +1 +1 4 –1 –1 +1 +1 15 –1 –1 14 14 +1 –1 +1 +1 3 +1 –1 +1 +1 1 +1 –1 16 15 –1 +1 +1 +1 12 –1 +1 +1 +1 2 –1 +1 1 16 +1 +1 +1 +1 16 +1 +1 +1 +1 6 +1 +1 5 Sau đó ta lập ma trận trình tự thí nghiệm. Ví dụ thí nghiệm 1 (Bảng 9.10) với các nhân tố từ x1 đến x4 lấy theo hàng thứ 8 của cột kI, các nhân tố từ x4 đến x8 theo hàng thứ 14 của cột kII và các nhân tố x9 và x10 theo hàng thứ 15 của cột kIII. Tương tự ta lập được ma trận thực nghiệm như Bảng 9.11. Ví dụ 9.4 Sử dụng phương pháp cân bằng ngẫu nhiên cho trường hợp 10 nhân tố.
  • 364.
    QUY HOẠCH THỰCNGHIỆM CHỌN LỌC 365 Bảng 9.11 N x1 x2 x3 x4 x5 x6 x7 x8 x9 x10 t1 y t 2 y t y 1 +1 +1 +1 –1 +1 –1 +1 +1 –1 +1 58,4 56,6 57,5 2 +1 +1 –1 +1 –1 +1 +1 +1 –1 +1 78,6 79,8 79,2 3 +1 –1 +1 +1 –1 +1 –1 –1 –1 +1 54,2 55,8 55,0 4 -1 –1 +1 +1 –1 +1 +1 –1 –1 –1 20,2 18,6 19,4 5 +1 –1 –1 –1 –1 –1 –1 +1 +1 +1 8,2 8,6 8,4 6 +1 –1 –1 +1 +1 +1 +1 +1 +1 +1 80,2 82,4 81,3 7 –1 –1 –1 –1 +1 +1 –1 –1 +1 –1 30,6 32,4 31,5 8 –1 +1 –1 –1 +1 –1 +1 –1 –1 –1 42,2 44,8 43,5 9 –1 +1 –1 +1 –1 –1 +1 –1 +1 + 6,8 7,6 7,2 10 +1 +1 –1 –1 +1 +1 –1 +1 –1 –1 38,6 40,2 39,4 11 –1 –1 +1 –1 –1 –1 –1 –1 +1 +1 15,2 16,0 15,6 12 –1 +1 +1 +1 +1 +1 +1 –1 +1 –1 62,2 64,4 63,3 13 –1 –1 –1 +1 +1 –1 –1 +1 –1 +1 68,6 66,4 67,5 14 –1 +1 +1 –1 –1 +1 –1 +1 –1 –1 18,2 19,2 18,7 15 +1 –1 +1 –1 –1 –1 +1 +1 +1 –1 24,6 26,0 25,3 16 +1 +1 +1 +1 +1 –1 –1 –1 +1 –1 42,2 43,8 43,0 Theo ma trận quy hoạch như Bảng 9.11 ta tiến hành thí nghiệm với kết quả trên các cột cuối của Bảng 9.11. Theo kết quả thực nghiệm, ta xây dựng biểu đồ phân bố (Hình 9.10). Theo trục hoành ta đưa ra mức giá trị nhân tố +1, –1, theo trục tung là giá trị thông số đầu ra. Đối với mỗi nhân tố ta có số điểm giống nhau bằng với số thí nghiệm N. Các điểm này chia làm hai nhóm: một nhóm tương ứng với mức giá trị nhỏ nhất nhân tố, nhóm còn lại tương ứng giá trị lớn nhất. Mức ảnh hưởng của nhân tố đáp ứng được đánh giá theo hiệu số giữa các giá trị của vài chỉ tiêu đặc trưng bởi tâm nhóm, tập hợp các điểm với các mức khác nhau một nhân tố. Tâm nhóm Bk không theo giá trị trung bình mà theo điểm trung vị, tức là trung điểm hai điểm giữa các điểm quan sát. Trong ví dụ này là trung điểm đoạn nằm giữa các điểm 4 và 5. Trên Hình 9.10 theo cách xác định trên thì nhân tố x5 và x4 ảnh hưởng nhiều nhất với các giá trị B5 và B4 được xác định như sau:      5 B (57,5 43,5) / 2 (18,7 15,6) / 2 33,4 -(18,7+19,4)=31,45 B4 = (55,0+63,3)/2 – (25,3+31,5)/2 = 30,75
  • 365.
    CHƯƠNG 9 366 Hình 9.10 Mộtchỉ tiêu nữa để đánh giá là số các điểm nổi bật, tức là các điểm nằm trên điểm lớn nhất hoặc thấp hơn điểm nhỏ nhất của cùng nhân tố. Ví dụ nhân tố x5 có bảy điểm nổi bật, nhân tố x4 có năm điểm nổi bật. Ngoài ra ta còn tính theo tích giữa số các điểm nổi bật và khoảng cách giữa hai điểm trung vị. So sánh khi tính theo phương trình hồi quy với ma trận quy hoạch như Hình 9.11. Hình 9.11
  • 366.
    QUY HOẠCH THỰCNGHIỆM CHỌN LỌC 367 Model Summary S R-sq R-sq(adj) R-sq(pred) 18.1229 81.58% 44.74% 0.00% Coded Coefficients Term Effect Coef SE Coef T-Value P-Value VIF Constant 40.99 4.53 9.05 0.000 x1 7.61 3.81 5.56 0.69 0.524 1.50 x2 -2.25 -1.12 5.22 -0.22 0.838 1.33 x3 5.89 2.95 5.24 0.56 0.598 1.34 x4 14.56 7.28 5.70 1.28 0.258 1.59 x5 30.64 15.32 5.16 2.97 0.031 1.29 x6 13.05 6.53 5.39 1.21 0.280 1.41 x7 9.12 4.56 4.92 0.93 0.396 1.18 x8 7.72 3.86 6.21 0.62 0.562 1.88 x9 -8.45 -4.22 5.18 -0.81 0.452 1.31 x10 15.31 7.66 6.18 1.24 0.270 1.86 Regression Equation in Uncoded Units y = 40.99 + 3.81 x1 - 1.12 x2 + 2.95 x3 + 7.28 x4 + 15.32 x5 + 6.53 x6 + 4.56 x7 + 3.86 x8 - 4.22 x9 + 7.66 x10 Dựa vào phương trình hồi quy thì các nhân tố ảnh hưởng nhiều nhất là x5, x10 và x4. 9.4. PHƯƠNG PHÁP LẤY Ý KIẾN CHUYÊN GIA Đây là cách sử dụng phổ biến chọn các nhân tố ảnh hưởng dựa theo kết quả lấy ý kiến các chuyên gia. Tiến hành theo các bước sau: Bước 1: Đặt bài toán, tổ chức và tiến hành lấy ý kiến các chuyên gia. Ví dụ xét ảnh hưởng các nhân tố đến thời gian phá huỷ của một loại thép hợp kim khi làm việc điều kiện nhiệt độ 800 0 C và ứng suất 300 MPa. Các nhân tố khảo sát là thành phần các kim loại trong hợp kim: Al (x1), Mo (x2), Nb (x3), Cr(x4), Zr (x5), Ti (x6), Co (x7), Fe (x8) và nhiệt độ nóng chảy vật liệu (x9), nhiệt độ rót vào khuôn đúc (x10), vận tốc làm nguội khi kết tinh (x11) và nhiệt độ ủ (x12). Ta tiến hành lấy ý kiến 14 chuyên gia theo bảng khảo sát. Nhân tố nào ảnh hưởng lớn nhất xếp hạng 1 và sau đó tăng dần đến nhân tố cuối cùng, nếu hai hoăc nhiều nhân tố đồng hạng thì ta lấy cùng số. Kết quả khảo sát cho trong Bảng 9.12.
  • 367.
    CHƯƠNG 9 368 Bước 2:Xử lý ban đầu các kết quả lấy ý kiến. Định lại thứ hạng các nhân tố theo ý kiến chuyên gia. Bảng 9.12 Chuyên gia (i) Nhân tố (j) x1 x2 x3 x4 x5 x6 x7 x8 x9 x10 x11 x12 1 2 3 4 5 6 7 8 9 10 11 12 13 14 3 4 2 2 3 1 1 1 1 2 2 2 1 1 4 3 2 1 4 2 3 1 1 1 3 3 4 4 1 2 1 1 2 4 4 1 2 3 4 4 3 3 2 1 1 1 1 3 2 1 2 4 1 1 2 2 8 8 5 3 9 6 9 3 6 7 11 10 5 6 7 5 6 5 10 5 10 5 7 8 9 5 5 6 5 12 7 6 5 7 8 4 5 9 10 9 6 5 11 10 8 9 11 9 11 6 8 10 12 11 8 5 12 11 3 4 12 8 7 2 3 5 5 12 7 7 6 7 3 4 6 8 6 2 3 5 6 6 7 7 9 6 3 7 7 8 5 2 4 5 7 8 7 7 10 9 4 8 8 10 12 7 9 6 8 7 9 7 m y 1 x  26 36 35 24 96 93 98 129 98 76 85 114 Thứ hạng 2 4 3 1 8 7 9,5 12 9,5 5 6 11 Kết quả sơ bộ cho trong Bảng 9.11. Tuy nhiên một số chuyên gia, ví dụ chuyên gia 3 đánh giá ở hạng 1 có hai nhân tố x3, x4, hạng 2 có hai nhân tố x1, x2, ở hạng 3 có ba nhân tố x9, x10 và x11. Khi đó phải định lại thứ hạng theo giá trị trung bình cộng như Bảng 9.13. Bảng 9.13 Nhân tố x1 x2 x3 x4 x5 x6 x7 x8 x9 x10 x11 x12 Thứ hạng ban đầu 2 2 1 1 5 6 7 8 3 3 3 4 Xếp hạng 3–4 3–4 1–2 1–2 9 10 11 12 5–7 5–7 5–7 5–7 Thứ hạng đánh giá lại 3,5 3,5 1,5 1,5 9 10 11 12 6 6 6 8 Bước 3: Xác định tính thích hợp các kết quả lấy ý kiến ban đầu và thứ tự đã định các nhân tố. Bước 4: Kiểm tra tồn tại sự đồng thuận theo ý kiến các chuyên gia.
  • 368.
    QUY HOẠCH THỰCNGHIỆM CHỌN LỌC 369 Bước 5: Kiểm tra sự thông thái các chuyên gia, chia chuyên gia thành các nhóm (Bảng 9.14). Bảng 9.14 Đánh giá các chuyên gia để đưa ra trọng số Ngöôøi ñaùnh giaù chuyeân gia, h Xeáp haïng chuyeân gia xi x1 x2 x3 x4 x5 x6 x7 x8 x9 x10 x11 x12 x13 x14 1* 2 3 4 5 3 4 3 2 2 5 6 5 6 5 7 3 4 4 4 8 10 11 11 13 1 1 2 1 2 14 14 12 13 12 4 5 6 5 6 13 12 13 12 10 12 13 14 14 14 2 2 1 3 1 9 7 7 8 7 10 11 10 10 11 11 9 8 9 8 6 8 9 7 9 1h h 1 a   15 27 22 53 7 65 26 60 67 9 38 52 45 39 h 37,5    l 22,5 10,5 15,5 15,5 30,5 27,5 11,5 22,5 29,5 28,5 0,5 14,5 7,5 1,5 2 l 506.25 110.25 240.25 240.25 930.25 756.25 132.25 506.25 870.25 812.25 0.25 210.25 56.25 2.25 2 l 5373,25    l 1.88 1.68 1.77 1.24 2 1.03 7.5 1.12 1 1.99 1.49 1.26 1.37 1.48 Bước 6. Phân tích và tổng hợp kết quả xếp hạng: Hình 9.12 Xếp hạng các nhân tố
  • 369.
    CHƯƠNG 9 370 Như thếbốn nhân tố ảnh hưởng nhiều nhất là x4, x1, x3, x2 (Hình 9.12). Bước 7: Làm chính xác lại kết quả xếp hạng các nhân tố ảnh hưởng đã xác định trong các bước trước đó. BÀI TẬP 9.1. Sử dụng các phương pháp cân bằng ngẫu nhiên trên để xét các ảnh hưởng 6 nhân tố đến độ nhám khi gia công thô vật liệu. Trong Bảng 9.15 đánh số ngẫu nhiên xác định ma trận quy hoạch. Bảng 9.15 N x1 x2 x3 kI x4 x5 x6 kII 1 -1 -1 -1 3 -1 -1 -1 4 2 +1 -1 -1 1 +1 -1 -1 8 3 -1 +1 -1 7 -1 +1 -1 2 4 +1 +1 -1 8 +1 +1 -1 1 5 -1 -1 +1 4 -1 -1 +1 3 6 +1 -1 +1 2 +1 -1 +1 7 7 -1 +1 +1 6 -1 +1 +1 6 8 +1 +1 +1 5 +1 +1 +1 5 Bảng 9.16 kết quả thực nghiệm với số thí nghiệm lặp là n = 4. Bảng 9.16 Nhân tố Kết quả x1 x2 x3 x4 x5 x6 y1 y2 y3 y4 1 +1 -1 -1 +1 +1 -1 59,2 59,2 59,2 59,2 2 +1 -1 +1 -1 +1 -1 59,8 59,8 59,8 61,2 3 -1 -1 -1 -1 -1 +1 55,6 55,6 58,7 58,7 4 -1 -1 +1 -1 -1 -1 55,8 55,8 55,8 57,2 5 +1 +1 +1 +1 +1 +1 56,0 51,4 54,5 55,9 6 -1 +1 +1 -1 +1 +1 60,8 56,2 59,3 60,7 7 -1 +1 -1 +1 -1 +1 67,0 62,4 65,5 65,5 8 +1 +1 -1 +1 -1 -1 63,4 58,8 58,8 58,8
  • 370.
    QUY HOẠCH THỰCNGHIỆM CHỌN LỌC 371 9.2. Khảo sát ảnh hưởng các nhân tố đến độ dẫn nhiệt vật liệu composite. Bảng 9.17 là kết quả thí nghiệm. Bảng 9.17 N X0 X1 X2 X3 X4 X5 X6 X7 X8 X9 X10 X11 y 1 + + + - + + + - - - + - 0,34 2 + + - + + + - - - + - + 0,37 3 + - + + + - - - + - + + 0,40 4 + + + + - - - + - + + - 0,53 5 + + + - - - + - + + - + 0,36 6 + + - - - + - + + - + + 0,36 7 + - - - + - + + - + + + 0,29 8 + - - + - + + - + + + - 0,33 9 + - + - + + - + + + - - 0,35 10 + + - + + - + + + - - - 0,50 11 + - + + - + + + - - - + 0,50 12 + - - - - - - - - - - - 0,19 Tìm 3 nhân tố ảnh hưởng nhiều nhất theo quy hoạch Plackett-Burman. 9.3. Sử dụng Minitab xác định phương trình hồi quy bậc nhất không tương tác để xác định các nhân tố ảnh hưởng nhiều nhất thông số đầu ra theo các số liệu ma trận quy hoạch trong Bài tập 9.1 và 9.2.
  • 371.
    372 CHƯƠNG 10 Chương10 THIẾT LẬP BÀI TOÁN TỐI ƯU VÀ TỐI ƯU TUYẾN TÍNH Chương này gồm các nội dung sau: 10.1. Giới thiệu thiết kế tối ưu 10.2. Các thành phần bài toán thiết kế tối ưu 10.3. Các phương pháp giải bài toán thiết kế tối ưu 10.4. Kết hợp giải bài toán tối ưu trong quy hoạch thực nghiệm
  • 372.
    THIẾT LẬP BÀITOÁN TỐI ƯU VÀ TỐI ƯU TUYẾN TÍNH 373 Tối ưu hóa được xem như một lãnh vực toán ứng dụng, được sử dụng hiệu quả và rộng rãi trong quản lý, kinh tế, kỹ thuật và công nghệ, phát triển các hệ thống,… Chính vì vậy, các lĩnh vực của tối ưu hóa ngày càng trở nên đa dạng và mang nhiều tên gọi khác nhau… Trong chương này trước hết, trình bày vấn đề tối ưu hóa và các bài toán thiết kế tối ưu trong thiết kế cơ khí. Tổng kết các phương pháp khác nhau hiện có để giải quyết các bài toán tối ưu. Sau đó, thông qua các hình ảnh minh họa để trình bày chi tiết các phương pháp tối ưu phổ biến… Việc tìm hiểu các giải thuật hiện có hay nghiên cứu giải thuật mới cho bài toán tối ưu và so sánh giải thuật về độ chính xác, thời gian thực hiện với các giải thuật khác là điều cần thiết với người kỹ sư. 10.1. GIỚI THIỆU THIẾT KẾ TỐI ƯU KẾT CẤU Một sản phẩm muốn tồn tại trên thị trường thì phải hội đủ nhiều yếu tố: chất lượng tốt nhất, chi phí thấp nhất, thời gian sản phẩm tung ra thị trường là ngắn nhất,... Vì vậy kết cấu thiết kế cần phải được tối ưu. Tối ưu hóa kết cấu bao gồm (Hình 10.1): - Tối ưu kích thước, - Tối ưu hình dạng, - Tối ưu kiểu dáng. Các yếu tố ảnh hưởng đến hình dạng, kích thước, kiểu dáng của kết cấu thân máy bao gồm: tải trọng tác dụng, vật liệu chế tạo, dây chuyền công nghệ, quy trình lắp ráp, khả năng vận chuyển, lắp ráp, bảo trì,… a) Tối ưu kích thước; b) Tối ưu hình dạng; c) Tối ưu kiểu dáng Hình 10.1 Tối ưu kết cấu
  • 373.
    374 CHƯƠNG 10 Trongđó, tối ưu hình dạng và kích thước sẽ xác định được hình dạng và kích thước tối ưu của sản phẩm. Tối ưu hình dạng là giai đoạn sau giai đoạn tối ưu kiểu dáng. Ứng dụng tối ưu hình dạng trong thiết kế làm tăng năng suất và chất lượng sản phẩm, rút ngắn thời gian sản phẩm tung ra thị trường, cải tiến mẫu mã sản phẩm. Thiết kế tối ưu kết cấu, đặc biệt là thiết kế tối ưu hình dạng, là một trong những công cụ quan trọng nhất để đáp ứng các nhu cầu trên. Tối ưu hình dạng giúp cho sản phẩm đạt hình dạng và kích thước tối ưu, nhưng dáng sản phẩm không thay đổi. Quá trình nghiên cứu về tối ưu được nghiên cứu và thực hiện từ rất lâu. Công trình dầu tiên về tối ưu có thể kể đến Galileo Galilei với việc tối ưu hình dạng trong tài liệu “Lý thuyết về hình dạng vật thể đảm bảo độ bền đều”. Từ đó đến nay đã có rất nhiều công trình nghiên cứu tối ưu khác nhau, phục vụ cho những lĩnh vực, chuyên ngành như: quốc phòng, hàng không, cơ khí, xây dựng, điện - điện tử, giao thông, kỹ thuật công nghiệp,… Có thể tóm tắt các giai đoạn nghiên cứu và ứng dụng tối ưu như sau: + Từ trước cho đến 1980: Quá trình phân tích kết cấu trở nên phổ biến, thay thế dần quá trình kiểm tra cơ lý tính. Quá trình tối ưu kết cấu vẫn chưa được áp dụng một cách khả thi do khoa học máy tính vẫn chưa phát triển kịp để đáp ứng các yêu cầu về tính toán. + Trong thập kỷ 80 của thế kỷ XX: Quá trình phân tích kết cấu trở thành một công cụ thiết kế. Trong giai đoạn này, quá trình tối ưu đã có những phát triển rất lớn. Tuy nhiên chỉ dừng lại ở việc nghiên cứu, việc ứng dụng còn gặp nhiều khó khăn. + Trong thập kỷ 90 của thế kỷ XX: Sự bùng nổ các phần mềm thiết kế 3D và phần mềm tính toán, quá trình phân tích kết cấu và quá trình tối ưu hóa được thực hiện một cách dễ dàng. Mặt khác sự phát triển mạnh mẽ của khoa học và kỹ thuật máy tính cũng hỗ trợ rất nhiều cho quá trình thiết kế và tính toán tối ưu. + Từ năm 2000 đến nay: Quá trình phân tích kết cấu đã thay thế hoàn toàn quá trình kiểm tra cơ lý tính ở rất nhiều sản phẩm. Quá trình tối ưu đang dần phổ biến và trở thành công cụ thiết kế quan trọng với quá trình thiết kế. Thuật ngữ tối ưu hình dạng kết cấu cơ khí xuất hiện vào những năm 1970. Năm 1986, Haftka và Grandhi đưa ra tối ưu hình dạng với những biến thiết kế là tọa độ nút của khung kết cấu hay tọa độ nút của những điểm điều khiển đường spline. Tối ưu hóa kết cấu cơ khí đã được nghiên cứu bởi Seireg và Surana nhưng chỉ dừng lại ở việc trình bày lý thuyết một cách tổng quan chung.
  • 374.
    THIẾT LẬP BÀITOÁN TỐI ƯU VÀ TỐI ƯU TUYẾN TÍNH 375 Để đáp ứng nhu cầu đó, ngày càng nhiều kỹ sư chuyên về tính toán cũng như các công cụ CAD, CAE đã được tích hợp vào quá trình thiết kế. Đặc biệt, công cụ tối ưu kiểu dáng giúp cho quá trình thiết kế ý tưởng hiệu quả hơn vì nó là sự kết hợp giữa thiết kế chức năng với thiết kế kiểu dáng sản phẩm. Tùy theo điều kiện cụ thể có thể áp dụng từng dạng tối ưu riêng lẻ hoặc kết hợp 2 hoặc 3 dạng tối ưu trên lại với nhau. 10.2. CÁC THÀNH PHẦN BÀI TOÁN THIẾT KẾ TỐI ƯU Tối ưu hóa là quá trình đạt được kết quả tốt nhất dựa theo các tình huống quy định. Mục đích các trình tự thiết kế thông thường là tìm ra thiết kế thích hợp và chúng chỉ đơn thuần thỏa mãn các đòi hỏi chức năng bên trong những ràng buộc của các giới hạn sẵn có. Quá trình thiết kế tối ưu nhằm vào việc tìm kiếm các biến thiết kế theo hướng tạo bản thiết kế tốt nhất (trong các bản thiết kế thích hợp) thỏa mãn tất cả các ràng buộc yêu cầu (Hình 10.2). Hình 10.2 Quá trình thiết kế tối ưu
  • 375.
    376 CHƯƠNG 10 Lậpbài toán thiết kế tối ưu Bài toán thiết kế tối ưu bao gồm các thành phần: - Xác định các biến thiết kế: rời rạc hoặc liên tục, số nguyên,… như bán kính r, chiều dài l, chiều rộng b, chiều cao h, số răng, số lỗ,… - Xác định hàm mục tiêu, ví dụ khối lượng hoặc thể tích nhỏ nhất. Có thể 1 mục tiêu hoặc đa mục tiêu. - Các hàm ràng buộc về độ bền, độ cứng (độ cứng vững), độ ổn định dao động, chịu nhiệt, độ tin cậy,… Ràng buộc đẳng thức hoặc bất đẳng thức. Bài toán tối ưu tổng quát có thể phát biểu như sau: Tìm X 1 2 n d d ... d              (10.1) để f(X) đạt giá trị nhỏ nhất (lớn nhất). Điều kiện ràng buộc là: hj(X)  0; j = 1, 2, ..., nj lk(X) = 0; k = 1, 2, ..., nk (10.2) dil  di  diu; i = 1, 2, ..., n trong đó: di - biến thiết kế thứ i; X - véctơ của các biến thiết kế; f - hàm mục tiêu; hj - hàm bất đẳng thức ràng buộc; lk - hàm đẳng thức ràng buộc; n - số biến thiết kế; nj - số hàm bất đẳng thức ràng buộc; nk - số hàm đẳng thức ràng buộc.
  • 376.
    THIẾT LẬP BÀITOÁN TỐI ƯU VÀ TỐI ƯU TUYẾN TÍNH 377 Biến thiết kế hay còn gọi là biến quyết định hoặc biến điều khiển được điều khiển bởi người quyết định và có ảnh hưởng lớn đến lời giải của bài toán tối ưu. Kết hợp các biến thiết kế khác nhau ta có các bài toán tối ưu khác nhau. Các biến thiết kế có thể là: - Biến liên tục. - Biến là số nguyên, ví dụ số răng bánh răng và đĩa xích... - Biến rời rạc từ một dãy số tiêu chuẩn, ví dụ đường kính thân trục... Mục tiêu thiết kế thường biểu diễn mong muốn của người thiết kế, ví dụ lợi nhuận lớn nhất và giá thành nhỏ nhất. Mục tiêu thiết kế có thể là: - Giá trị lớn nhất của độ bền, độ bền mòn, độ tin cậy, độ an toàn,... - Giá trị nhỏ nhất giá thành, thời gian chế tạo, khối lượng, xác suất hỏng,... Ngoài ra còn có bài toán đa mục tiêu. Ràng buộc thiết kế cần thiết để tìm các lời giải cho các bài toán tối ưu. Hàm ràng buộc thiết kế là hàm toán học theo các biến thiết kế. Các ràng buộc thiết kế có thể là: - Ứng suất lớn nhất nhỏ hơn độ bền. - Biến dạng nhỏ hơn giá trị cho phép. - Xác suất hỏng nhỏ hơn mức độ cho phép hoặc độ tin cậy lớn hơn giá trị mong muốn. - Chi phí không vượt quá ngân sách cho phép. Mặt khác quá trình thiết kế có thể chia làm hai dạng chính là: có xét đến độ tin cậy và không xét đến độ tin cậy. Với quá trình thiết kế không xét đến độ tin cậy, xem các biến thiết kế là giá trị đơn định, không thay đổi trong quá trình thiết kế, chế tạo, vận hành và sử dụng,… Quá trình thiết kế này thường đơn giản, ít tốn thời gian, chi phí. Tuy nhiên, một số biến thiết kế như tải trọng tác dụng, ứng suất tới hạn,… thường là các đại lượng ngẫu nhiên, phân bố theo một quy luật xác suất nào đó trong quá trình thiết kế, chế tạo, sử dụng, do đó kết quả của quá trình thiết kế này thường không sát với thực tế, không sử dụng hết khả năng làm việc của vật liệu,… Với quá trình thiết kế có xét đến độ tin cậy, các biến thiết kế được xem là đại lượng ngẫu nhiên, phân bố theo một quy luật nào đó. Do có xét đến các yếu tố ngẫu nhiên trong quá trình thiết kế nên kết quả sát với thực
  • 377.
    378 CHƯƠNG 10 tế,sử dụng hết khả năng làm việc của vật liệu, đảm bảo xác suất hư hỏng trong quá trình sử dụng,… Tuy nhiên để có thể thiết kế theo độ tin cậy cần số lượng thực nghiệm, nghiên cứu, quan sát, ghi chép lớn do đó thường tốn kém, mất nhiều thời gian, và việc giải bài toán thiết kế thường gặp nhiều khó khăn phức tạp. Với các yêu cầu từ người sử dụng, tiến bộ về khoa học kỹ thuật, quá trình thiết kế đều xét đến chỉ tiêu độ tin cậy nhằm hạn chế các hư hỏng xảy ra trong quá trình làm việc, tiết kiệm nguyên vật liệu,… Quá trình thiết kế tối ưu theo độ tin cậy tương với việc giải bài toán tối ưu theo độ tin cậy. Bài toán tối ưu kết cấu trong các ngành kỹ thuật thường là đơn mục tiêu, số lượng biến lớn, không gian tìm kiếm lớn, có ràng buộc như các ràng buộc độ cứng, độ bền, độ ổn định, biến dạng, chuyển vị,… Với giải thuật tối ưu, bài toán tối ưu có thể chia ra làm 2 dạng chính: - Bài toán tối ưu chưa có hay không có giải thuật tối ưu chính xác. - Bài toán tối ưu có giải thuật tối ưu chính xác. Với bài toán tối ưu chưa hay không có giải thuật tối ưu chính xác, việc giải bài toán vẫn có khả năng thực hiện được, kết quả thu được vẫn có khả năng cho giá trị tối ưu mong muốn. Có thể giải bài toán dạng này bằng cách áp dụng các giải thuật tối ưu sẵn có trong một số điều kiện biên nào đó. Việc áp dụng này tiết kiệm thời gian hơn rất nhiều so với việc tìm giải thuật mới hay chứng minh giải thuật nào đó hiện có là giải thuật chính xác cho bài toán tối ưu. Hạn chế là kết quả thu được không đảm bảo là giá trị tối ưu toàn cục mặc dù có thể áp dụng nhiều giải thuật tối ưu trên cùng một bài toán. Việc kiểm tra, chứng minh các điều kiện biên của bài toán phù hợp với giải thuật được chọn cũng đòi hỏi nhiều thời gian. Với bài toán tối ưu có giải thuật chính xác, việc giải bài toán chỉ cần thực hiện theo trình tự của giải thuật. Ưu điểm của dạng này là có trình tự giải nhất định nên không cần kiểm tra điều kiện biên có phù hợp với giải thuật được chọn hay không, kết quả bài toán đã được chứng minh là giá trị tối ưu toàn cục. Hạn chế là giải thuật chỉ thích hợp bài toán tối ưu đang xét hay với dạng bài toán tối ưu tương tự. Với các bài toán mới hay phát sinh thêm ràng buộc, điều kiện biên khác thì không đảm bảo giải thuật sẽ thực hiện được hay cho kết quả là giá trị tối ưu toàn cục. Do đó, với các bài toán mới, việc tìm kiếm một giải thuật mới hay nghiên cứu áp dụng và chứng minh một giải thuật hiện có thích hợp với bài toán sẽ mất nhiều thời gian và đôi khi là không khả thi. Ngoài ra, với một số giải thuật tối ưu việc thực hiện theo đúng trình tự giải gặp nhiều khó khăn, mất nhiều thời gian và có thể không thực hiện được.
  • 378.
    THIẾT LẬP BÀITOÁN TỐI ƯU VÀ TỐI ƯU TUYẾN TÍNH 379 Sản phẩm thường biến đổi không ngừng do chịu sự tác động từ nhu cầu, thị hiếu người tiêu dùng, ảnh hưởng của sự phát triển khoa học công nghệ… Do đó bài toán thiết kế tối ưu cũng trở nên phức tạp hơn với việc tăng số lượng biến thiết kế, mở rộng miền thiết kế, sử dụng vật liệu, thay đổi quy trình công nghệ,… Ngoài ra, với sự cạnh tranh mạnh mẽ đòi hỏi quá trình thiết kế phải được rút ngắn. Với các yêu cầu trên, việc nghiên cứu, tìm ra, áp dụng các giải thuật tối ưu có thể giải mọi bài toán tối ưu hay một số bài toán tối ưu trong điều kiện nhất định với kết quả thu được có giá trị tương đối chính xác so với giá trị tối ưu toàn cục là điều hết sức cần thiết với người thiết kế. Giải thuật tiến hóa có khả năng đáp ứng các điều kiện trên. Tiêu biểu cho nhóm giải thuật này là: phương pháp leo đồi, mô phỏng luyện thép, giải thuật di truyền, giải thuật quần thể,… 10.3. CÁC PHƯƠNG PHÁP GIẢI BÀI TOÁN THIẾT KẾ TỐI ƯU Không một phương pháp đơn lẻ nào có thể giải được tất cả các dạng bài toán tối ưu một cách có hiệu quả. Phụ thuộc vào dạng của bài toán tối ưu, chỉ một vài phương pháp có thể sử dụng một cách hiệu quả để giải chúng. Phân loại các bài toán tối ưu chỉ ra trên Bảng 11.1. Các phương pháp chung để giải các bài toán tối ưu thông thường: Phương pháp tính đạo hàm riêng của hàm mục tiêu: Giải thuật này chủ yếu dựa vào tính toán đạo hàm hàm mục tiêu. sử dụng cho bài toán tối ưu không ràng buộc. Từ đây có thể suy ra tính tăng giảm của hàm mục tiêu trong miền khảo sát và có thể tìm ra giá trị tối ưu mong muốn. Với phương pháp đạo hàm, kết quả tối ưu tính toán là chính xác chứ không phải kết quả gần đúng. Tuy nhiên, có trường hợp kết quả này không phù hợp thực tế. Với bài toán có số lượng biến tương đối lớn và hàm phức tạp, việc thực hiện đạo hàm là không đơn giản và đôi khi không thực hiện được. Mặt khác, việc xử lý các ràng buộc tuyến tính và phi tuyến trong quá trình tìm giá trị tối ưu cũng gặp nhiều khó khăn. Tiêu biểu cho nhóm phương pháp này là Newton- Raphson và phương pháp Cauchy. Bài toán tối ưu trong trường hợp này là tìm giá trị nhỏ nhất (min) hoặc giá trị lớn nhất (max) của hàm mục tiêu f(x1, x2,…xn) với n biến. Cách giải là tìm đạo hàm riêng và cho nó bằng 0 để tìm điểm tối ưu: 1 2 n f f f , ,... x x x      
  • 379.
    380 CHƯƠNG 10 Đốivới bài toán tối ưu giải theo phương pháp đạo hàm, ngoài việc tính đạo hàm bậc 1, ta còn phải tính đạo hàm bậc 2, được thể hiện dưới dạng ma trận H. 2 2 2 2 1 2 1 n 1 2 2 2 2 n 1 n 2 n f f f x x x x x f f f x x x x x                                    H (10.3) Nếu đạo hàm bậc 2 này âm tại những vị trí trước và sau điểm tối ưu, nghĩa là điểm tối ưu này là điểm lớn nhất. Nếu đạo hàm bậc 2 này dương tại những vị trí trước và sau điểm tối ưu, nghĩa là điểm tối ưu này là điểm nhỏ nhất. Phương pháp thứ hai là phương pháp đồ thị, được sử dụng khi số biến thiết kế là 1 hoặc 2, sử dụng cho bài toán quy hoạch tuyến tính, phi tuyến (Chương 13) và đơn hình. Phương pháp thứ ba là phương pháp giải tích, dựa trên cơ sở tính toán thông thường sử dụng phương pháp nhân tử Lagrange với điều kiện Kuhn - Tucker, nó được sử dụng để giải quyết các bài toán có các ràng buộc là các đẳng thức hoặc bất đẳng thức. Chuyển từ các bài toán có ràng buộc thành các bài toán không ràng buộc và giải bằng phương pháp dùng đạo hàm riêng. Phương pháp thứ tư là phương pháp số, còn gọi là phương pháp hàm phạt được sử dụng để giải quyết các bài toán tối ưu tổng quát đã trình bày trên Phương trình (10.1). Phương pháp này để tìm lời giải cho hàng loạt các bài toán tìm giá trị nhỏ nhất không ràng buộc. Phương pháp thứ năm được biết như là phương pháp quy hoạch động, được sử dụng để giải quyết các vấn đề mà cấu trúc vật lý của nó có dạng nối tiếp. Ngoài ra còn rất nhiều phương pháp khác được trình bày trong các tài liệu liên quan tối ưu hóa. Ta cần chú ý rằng tìm giá trị lớn nhất của hàm f(X) tương ứng với tìm giá trị nhỏ nhất của hàm – f(X). Không một phương pháp đơn lẻ nào có thể giải được tất cả các dạng bài toán tối ưu một cách có hiệu quả. Phụ thuộc vào dạng của bài toán tối ưu,
  • 380.
    THIẾT LẬP BÀITOÁN TỐI ƯU VÀ TỐI ƯU TUYẾN TÍNH 381 chỉ một vài phương pháp có thể sử dụng một cách hiệu quả để giải chúng. Phân loại các bài toán tối ưu chỉ ra trên Bảng 10.1. Bảng 10.1 Dạng bài toán Các đặc tính bài toán Phương pháp giải Biến thiết kế (xi) Hàm mục tiêu f(X) Hàm ràng buộc hj(X) và lk(X) Bài toán quy hoạch tuyến tính Số thực Hàm tuyến tính của xi Hàm tuyến tính của xi Các phương pháp đơn hình, đồ thị. Bài toán quy hoạch tuyến tính số nguyên Số nguyên Hàm tuyến tính của xi Hàm tuyến tính của xi Phương pháp: đơn hình, cắt lớp Gomory, nhánh cận Land – Doig, quy hoạch động, quy hoạch nguyên 0-1 (zero-one). Bài toán tối ưu phi tuyến không ràng buộc 1 biến Số thực Hàm phi tuyến của x Phương pháp đạo hàm, chia đôi, mặt cắt vàng, Fibonachi, xấp xỉ đa thức bậc 2 và 3, phương pháp Powell, phương pháp Newton–Raphson, phương pháp hai mặt cắt, phương pháp Secant…. Các phương pháp này trình bày trong Chương 11. Bài toán tối ưu phi tuyến không ràng buộc nhiều biến Số thực Hàm phi tuyến của xi Thuật toán Nelder – Mead, phương pháp tìm kiếm trực tiếp Hooke – Jeeves, phương pháp gradient, phương pháp bậc 2: sử dụng xấp xỉ đạo hàm bậc 1 và 2 của hàm mục tiêu. Một số phương pháp này trình bày trong Chương 12. Bài toán tối ưu phi tuyến ràng buộc nhiều biến Số thực Hàm phi tuyến tổng quát của xi Hàm phi tuyến tổng quát của xi - Quy hoạch toàn phương, quy hoạch tách, quy hoạch lồi - Phương pháp hàm phạt - Đa thức Lagrange, Điều kiện Kuhn- Tucker (Chương 13) - Giải thuật tiến hóa: phương pháp leo đồi, mô phỏng luyện thép (ủ), giải thuật di truyền, giải thuật quần thể,… Ta cần chú ý rằng tìm giá trị lớn nhất của hàm f(X) tương ứng với tìm giá trị nhỏ nhất của hàm – f(X).
  • 381.
    382 CHƯƠNG 10 Bàitoán tối ưu kết cấu trong các ngành kỹ thuật thường là đơn mục tiêu, số lượng biến lớn, không gian tìm kiếm lớn, có ràng buộc như các ràng buộc độ cứng, độ bền, độ ổn định, biến dạng, chuyển vị,… Với giải thuật tối ưu, bài toán tối ưu có thể chia ra làm 2 dạng chính: - Bài toán tối ưu chưa có hay không có giải thuật tối ưu chính xác. - Bài toán tối ưu có giải thuật tối ưu chính xác. Với bài toán tối ưu chưa hay không có giải thuật tối ưu chính xác, việc giải bài toán vẫn có khả năng thực hiện được, kết quả thu được vẫn có thể là giá trị tối ưu mong muốn. Khi giải bài toán dạng này bằng cách áp dụng các giải thuật tối ưu sẵn có trong một số điều kiện biên nào đó, và việc này tiết kiệm thời gian hơn rất nhiều so với việc tìm giải thuật mới hay chứng minh giải thuật nào đó hiện có là giải thuật chính xác cho bài toán tối ưu. Hạn chế là kết quả thu được không đảm bảo giá trị tối ưu là toàn cục mặc dù có thể áp dụng nhiều giải thuật tối ưu trên cùng một bài toán. Việc kiểm tra, chứng minh các điều kiện biên của bài toán phù hợp với giải thuật được chọn cũng đòi hỏi nhiều thời gian. Với bài toán tối ưu có giải thuật chính xác, việc giải bài toán chỉ cần thực hiện theo trình tự của giải thuật. Ưu điểm của dạng này là có trình tự giải rõ ràng nên không cần kiểm tra điều kiện biên có phù hợp với giải thuật được chọn hay không, kết quả bài toán đã được chứng minh là giá trị tối ưu toàn cục. Hạn chế là giải thuật chỉ thích hợp bài toán tối ưu đang xét hay với dạng bài toán tối ưu tương tự. Với các bài toán mới hay phát sinh thêm ràng buộc, điều kiện biên khác thì không đảm bảo giải thuật sẽ thực hiện được hay cho kết quả là giá trị tối ưu toàn cục. Do đó, với các bài toán mới, việc tìm kiếm một giải thuật mới hay nghiên cứu áp dụng và chứng minh một giải thuật hiện có thích hợp với bài toán sẽ mất nhiều thời gian và đôi khi là không khả thi. Ngoài ra, với một số giải thuật tối ưu việc thực hiện theo đúng trình tự giải gặp nhiều khó khăn, mất nhiều thời gian và có thể không thực hiện được. Tối ưu theo độ tin cậy Mặt khác bài toán tối ưu còn có xét đến độ tin cậy và không xét đến độ tin cậy. Với quá trình thiết kế không xét đến độ tin cậy xem các biến thiết kế là giá trị đơn định, không thay đổi trong quá trình thiết kế, chế tạo, sử dụng,… Quá trình thiết kế này thường đơn giản, ít tốn thời gian, chi phí. Tuy nhiên, một số biến thiết kế như tải trọng tác dụng, ứng suất tới hạn,… thường là các đại lượng ngẫu nhiên, phân bố theo một quy luật xác suất nào đó trong quá trình thiết kế, chế tạo, sử dụng, do đó kết quả của quá trình
  • 382.
    THIẾT LẬP BÀITOÁN TỐI ƯU VÀ TỐI ƯU TUYẾN TÍNH 383 thiết kế này thường không sát với thực tế, không sử dụng hết khả năng làm việc của vật liệu,… Với quá trình thiết kế có xét đến độ tin cậy, các biến thiết kế được xem là đại lượng ngẫu nhiên, phân bố theo một quy luật nào đó. Do có xét đến các yếu tố ngẫu nhiên trong quá trình thiết kế nên kết quả sát với thực tế, sử dụng hết khả năng làm việc của vật liệu, đảm bảo xác suất hư hỏng trong quá trình sử dụng,… Tuy nhiên để có thể thiết kế theo độ tin cậy cần số lượng thực nghiệm, nghiên cứu, quan sát, ghi chép lớn do đó thường tốn kém, mất nhiều thời gian,… và việc giải bài toán thiết kế thường gặp nhiều khó khăn phức tạp. Với các yêu cầu từ người sử dụng, tiến bộ về khoa học kỹ thuật, quá trình thiết kế đều xét đến chỉ tiêu độ tin cậy nhằm hạn chế các hư hỏng xảy ra trong quá trình làm việc, tiết kiệm nguyên vật liệu,… Sản phẩm thường biến đổi không ngừng do chịu sự tác động từ nhu cầu, thị hiếu người tiêu dùng, ảnh hưởng của sự phát triển khoa học công nghệ,… Do đó bài toán thiết kế tối ưu cũng trở nên phức tạp hơn với việc tăng số lượng biến thiết kế, mở rộng miền thiết kế, sử dụng vật liệu, thay đổi quy trình công nghệ,… Ngoài ra, với sự cạnh tranh mạnh mẽ đòi hỏi quá trình thiết kế phải được rút ngắn. Với các yêu cầu trên, việc nghiên cứu, tìm ra, áp dụng các giải thuật tối ưu có thể giải mọi bài toán tối ưu hay một số bài toán tối ưu trong điều kiện nhất định với kết quả thu được có giá trị tương đối chính xác so với giá trị tối ưu toàn cục là điều hết sức cần thiết với người thiết kế. Giải thuật tiến hóa có khả năng đáp ứng các điều kiện trên, các phương pháp của nhóm giải thuật này: phương pháp leo đồi, mô phỏng luyện thép, giải thuật di truyền, giải thuật quần thể,… 10.4. KẾT HỢP GIẢI BÀI TOÁN TỐI ƯU TRONG QUY HOẠCH THỰC NGHIỆM Xây dựng mô hình toán cho các đối tượng nghiên cứu, được khảo sát đầy đủ trong các Chương 5 đến 8, không phải mục tiêu cuối cùng nghiên cứu. Mô hình được sử dụng là phương tiện để thu nhận thông tin về đối tượng nghiên cứu, điều khiển chúng, dự đoán trạng thái của chúng và là cơ sở để tìm điều kiện tối ưu cho đối tượng nghiên cứu. Phương trình hồi quy có các dạng bậc 1 và bậc 2. - Phương trình hồi quy bậc 1 không có tương tác: y = b0 + b1x1 + b2x2 + ... + bkxk
  • 383.
    384 CHƯƠNG 10 -Phương trình hồi quy bậc 1 có tương tác: y = b0 + b1x1 + b2x2 + ... + bkxk + b12x1x2 + b13x1x3+…+ b(k-1)kx(k-1)xk - Phương trình hồi quy bậc 2: k k k 2 0 i i ii i iu i u i 1 i 1 i u u,i 1 y b b x b x b x x            Tiếp theo ta thiết lập bài toán tối ưu có ràng buộc hoặc không có ràng buộc và chia ra các dạng bài toán sau: - Bài toán tuyến tính nhiều biến có ràng buộc. - Bài toán phi tuyến không ràng buộc. - Bài toán phi tuyến có ràng buộc. Bài toán tuyến tính nhiều biến có ràng buộc được giới thiệu trong nhiều tài liệu về tối ưu [49]. Trong sách này chúng tôi giới thiệu phương pháp giải các bài toán tối ưu phi tuyến không ràng buộc (Chương 11 và 12) và có ràng buộc (Chương 13). Trong Chương 6 đã phân tích mô hình hồi quy bậc 2 thu được từ quy hoạch thực nghiệm. Nếu mô hình nhận được là tương thích thì ta có thể sử dụng chúng để giải các bài toán tối ưu. Nếu không có mô hình hồi quy thì trong nhiều trường hợp ta phải tìm điều kiện tối ưu trực tiếp bằng phương pháp quy hoạch thực nghiệm. Bài toán giải theo cách này sẽ đơn giản hơn rất nhiều so với việc đầu tiên phải xây dựng phương trình hồi quy, sau đó mới giải bài toán tối ưu. Đại lượng đầu ra, mà ta cần tìm giá trị tối ưu, trong các bài toán tối ưu gọi là thông số tối ưu hoặc là hàm mục tiêu. Trong một vài bài toán việc tìm thông số tối ưu là bài toán riêng lẻ. Do đó ta có vài đòi hỏi đối với thông số tối ưu: 1. Đặc trưng tính hiệu quả của hệ thống 2. Định lượng được, tức là xác định bằng một giá trị cụ thể 3. Xác định với độ chính xác yêu cầu với ít chi phí 4. Đơn giản và có ý nghĩa vật lý. Đa số các phương pháp quy hoạch tối ưu đều dựa trên nguyên tắc tiến hành các thực nghiệm tuần tự. Điều đó có nghĩa là điều kiện để tiến hành thực nghiệm tiếp theo dựa trên kết quả thực nghiệm trước đó.
  • 384.
    PHƯƠNG PHÁP QUYHOẠCH THỰC NGHIỆM VÀ TỐI ƯU MỘT NHÂN TỐ 385 Chương 11 PHƯƠNG PHÁP QUY HOẠCH THỰC NGHIỆM VÀ TỐI ƯU MỘT NHÂN TỐ Chương này bao gồm các nội dung sau: 11.1. Giới thiệu 11.2. Phương pháp chia khoảng 11.3. Phương pháp chia đôi 11.4. Phương pháp mặt cắt vàng 11.5. Phương pháp Fibonacci 11.6. Các phương pháp khác Bài tập
  • 385.
    386 CHƯƠNG 11 Trongchương này ta sẽ tìm hiểu về những thuật toán để giải bài toán tối ưu phi tuyến một biến không ràng buộc và ứng dụng trong quy hoạch thực nghiệm. Mặc dù đa số các bài toán mà chúng ta gặp trong thực tế đều có ràng buộc để giới hạn không gian biến thiết kế, việc nghiên cứu bài toán tối ưu không ràng buộc cũng có những ý nghĩa riêng của nó. Xây dựng mô hình toán cho các đối tượng nghiên cứu (được khảo sát đầy đủ trong các chương trước) không phải mục tiêu cuối cùng nghiên cứu. Mô hình được sử dụng là phương tiện để thu nhận thông tin về đối tượng nghiên cứu, điều khiển chúng, dự đoán trạng thái của chúng và là cơ sở để tìm giá trị tối ưu cho đối tượng nghiên cứu (hàm mục tiêu). Trong các Chương 5 đến 8 đã phân tích mô hình hồi quy thu được từ quy hoạch thực nghiệm. Nếu mô hình nhận được là thích hợp thì ta có thể sử dụng chúng để giải các bài toán tối ưu. Nếu không có mô hình hồi quy thì trong nhiều trường hợp ta phải tìm điều kiện tối ưu trực tiếp bằng phương pháp quy hoạch thực nghiệm. Bài toán tối ưu giải theo cách này trong nhiều trường hợp sẽ đơn giản hơn rất nhiều so với việc đầu tiên phải xây dựng phương trình hồi quy, sau đó mới giải bài toán tối ưu. Đại lượng đầu ra, mà ta cần tìm giá trị tối ưu, trong các bài toán tối ưu gọi là thông số tối ưu hoặc là hàm mục tiêu. Trong một vài bài toán việc tìm thông số tối ưu là bài toán riêng lẻ. Do đó, ta có vài yêu cầu đối với thông số tối ưu: 1- Đặc trưng tính hiệu quả của hệ thống. 2- Định lượng được, tức là xác định bằng một giá trị cụ thể. 3- Xác định với độ chính xác yêu cầu với ít chi phí nhất. 4- Đơn giản và có ý nghĩa. Đầu tiên ta khảo sát phương pháp tối ưu cho trường hợp một nhân tố, khi đó hàm đáp ứng trong bài toán tối ưu phụ thuộc vào nhân tố (biến) thay đổi X1, trong miền thay đổi nhân tố X1 có một giá trị cực trị: nhỏ nhất hoặc lớn nhất. Ta có 3 phương pháp giải bài toán tối ưu phi tuyến một biến: phương pháp bậc 0, bậc 1, và bậc 2: - Phương pháp bậc 0 chỉ dùng giá trị của hàm mục tiêu; - Phương pháp bậc 1 dùng kết hợp giá trị hàm mục tiêu và đạo hàm bậc 1 của nó; - Phương pháp bậc 2 dùng giá trị của hàm mục tiêu, đạo hàm bậc 1 và đạo hàm bậc 2 của nó.
  • 386.
    PHƯƠNG PHÁP QUYHOẠCH THỰC NGHIỆM VÀ TỐI ƯU MỘT NHÂN TỐ 387 Bài toán tối ưu được phát biểu: Tìm giá trị lớn nhất hoặc giá trị nhỏ nhất của hàm f(X), với X là biến thiết kế có giá trị bất kỳ, nhưng vì trong lãnh vực kỹ thuật thông thường là số thực dương, do đó: 0  x1i   với i thay đổi từ 1 đến n và n là biến thiết kế. Đa số các phương pháp quy hoạch tối ưu đều dựa trên nguyên tắc tiến hành các thực nghiệm tuần tự. Điều đó có nghĩa là điều kiện để tiến hành thực nghiệm tiếp theo dựa trên kết quả thực nghiệm trước đó. 11.1. GIỚI THIỆU Đối với bài toán tìm tối ưu hàm f(x) không có ràng buộc thì nghiệm của bài toán tối ưu có hai dạng: nghiệm tối ưu toàn cục và nghiệm tối ưu cục bộ. Ví dụ với miền ràng buộc là S, x** được gọi là nghiệm tối ưu toàn cục của bài toán tìm giá trị nhỏ nhất (min) nếu: ( ) ( )   f x f x (11.1) đối với tất cả x  S. Và x* được gọi là nghiệm tối ưu cục bộ của bài toán tìm min nếu f(x*)  f(x) với tất cả x nằm trong khoảng  so với x*. Nghĩa là tồn tại  > 0, sao cho * , ( ) ( ).      x x f x f x Lưu ý: Nghiệm tối ưu cục bộ có thể được xem như là nghiệm tối ưu toàn cục nếu bài toán biến thiên đơn (một chiều). Nhưng khi gặp bài toán biến thiên phức tạp, có thể có nhiều nghiệm tối ưu cục bộ, khi đó nghiệm tối ưu của bài toán, là nghiệm tối ưu toàn cục, chỉ có thể tìm được bằng cách so sánh các nghiệm tối ưu cục bộ và lấy giá trị tối ưu nhất. Phương pháp lấy đạo hàm Điều kiện cần thiết để x* là nghiệm tối ưu của hàm f(x) trong khoảng [a, b]: * 0   x x df dx và 2 2 * 0 ( 0)    x x d f dx (11.2) Đây là điều kiện cần, có nghĩa là nếu hai điều kiện này không được thỏa mãn thì chắc chắn nó không là nghiệm tối ưu. Hãy lấy hàm f(x) = x3 làm ví dụ. Hàm này được vẽ trên Hình 11.1. Nó thỏa cả hai điều kiện đạo hàm bậc 1 và bậc 2 tại x = 0 nhưng nó không phải là nghiệm tối ưu.
  • 387.
    388 CHƯƠNG 11 Theotài liệu [27] và [49], ta có thể lấy đạo hàm bậc 1, bậc 2, … bậc n đến khi nào giá trị đạo hàm tại x* là hằng số khác 0. Ví dụ hàm f(x) = x3 , thì sau khi lấy đến đạo hàm bậc n = 3 ta có giá trị đạo hàm tại x* = 0 là 6. Đây là giá trị khác 0. Từ giá trị khác 0 này, ta quan sát bậc n. Nếu n là số lẻ (như trong ví dụ n = 3) thì điểm x* = 0 chỉ là điểm uốn, không phải là điểm tối ưu. Nếu n là số chẵn thì chắc chắn giá trị x* là giá trị tối ưu. Hình 11.1 Hàm f(x) = x3 Phương pháp loại bỏ dần Điểm thuận lợi của phương pháp này là cách tính đơn giản, không cần phải tính đạo hàm. Tất cả yêu cầu chỉ là một khoảng lặp [a, b] và tính được giá trị của f(x) tại điểm x cho sẵn. Để áp dụng phương pháp loại bỏ dần, đối với một bài toán không có ràng buộc hoặc khoảng ràng buộc lớn thì bài toán được chia làm hai giai đoạn: giai đoạn giới hạn và giai đoạn loại bỏ dần (Hình 11.2): - Giai đoạn giới hạn là giai đoạn tìm khoảng cách [a, b] để khoảng cách này đủ nhỏ cho hàm f(x) trong khoảng đó biến thiên đơn. - Sau khi có khoảng cách [a, b] đủ nhỏ thì giai đoạn loại bỏ dần áp dụng. Hình 11.2 Minh họa lý thuyết loại bỏ dần
  • 388.
    PHƯƠNG PHÁP QUYHOẠCH THỰC NGHIỆM VÀ TỐI ƯU MỘT NHÂN TỐ 389 Giai đoạn giới hạn Để tìm giai đoạn giới hạn [a, b] ta bắt đầu bằng việc thử một số điểm trước. Một trong những cách để chọn điểm thử là áp dụng phương pháp của Swann với k = 0, 1, 2,… xk+1 = xk + 2k  (11.3) trong đó, x0 là điểm bắt đầu, có thể chọn bất kỳ. Giá trị  cũng được chọn bất kỳ và có thể âm hoặc dương. Sau khi có x0 và , ta tính f(x0 – ||), f(x0) và f(x0 + ||). Ta xét bài toán tìm min: - Nếu f(x0 – ||) ≤ f(x0) ≤ f(x0 + ||), ta có điểm min sẽ nằm bên trái x0. Lúc này x1 < x0 nhưng x1 = x0 + 20 , do đó phải chọn  < 0. - Nếu f(x0 – ||)  f(x0)  f(x0 + ||), ta có điểm min sẽ nằm bên phải x0. Lúc này x1> x0 nhưng x1 = x0 + 20 , do đó phải chọn  > 0. - Nếu f(x0 – ||)  f(x0) ≤ f(x0 + ||), ta có điểm min sẽ nằm bên trong [x0– ||, x0 + ||] = [a, b]. Khi đó giai đoạn giới hạn kết thúc. - Nếu f(x0– ||) ≤ f(x0)  f(x0 + ||), ta có điểm max sẽ nằm bên trong [x0– ||, x0 + || = [a, b]. Khi đó bài toán không biến thiên đơn nữa và ta không thể tìm được giá trị min của bài toán theo phương pháp loại bỏ dần. Ví dụ 11.1 Tìm giai đoạn giới hạn của f(x) = (100 – 3x) 2 , với điểm bắt đầu x0 = 15 và || = 5. Giải: Đầu tiên ta tính:
  • 389.
    390 CHƯƠNG 11 Tathấy 1 2 3 ( ) ( ) ( ),   f x f x f x do đó       1 3 , , 20, 50   a b x x . Lưu ý rằng nếu  càng lớn thì khoảng cách [a, b] tìm được sẽ càng lớn nhưng bù lại giai đoạn giới hạn này sẽ có ít bước hơn so với khi giá trị  nhỏ. Khi  càng nhỏ thì giai đoạn loại bỏ sẽ có ít bước giải hơn. Sau khi hoàn thành giai đoạn giới hạn, bước tiếp theo là thực hiện giai đoạn loại bỏ. Giai đoạn loại bỏ dần Với những phương pháp này, qua mỗi lần lặp thì khoảng [a, b] giới hạn ban đầu của x bị giảm đi một đoạn và thực hiện cho đến khi giá trị đoạn này  . Ta có thể sử dụng nó để giải bài toán tối ưu phi tuyến một biến bất kỳ mà không cần quan tâm tới việc tính đạo hàm của hàm f(x). Giả sử hàm f(x) được xét như Hình 11.2, với giới hạn a  x  b, có giá trị tối ưu giả định là x*. Cho x1 và x2 là hai điểm nằm trong giới hạn sao cho a  x1  x2  b. So sánh giá trị f(x1) và f(x2), ta có thể nói rằng: - Nếu f(x1) > f(x2), thì giá trị nhỏ nhất x* sẽ thuộc đoạn [x1, b]. - Nếu f(x1) < f(x2), thì giá trị nhỏ nhất x* sẽ thuộc đoạn [a, x2]. Một điều cần phải lưu ý là hàm f(x) phải là hàm biến thiên đơn trong trường hợp này, nếu không lý thuyết trên không phù hợp. Lưu ý: nếu f(x1) = f(x2), thì giá trị nhỏ nhất x* sẽ thuộc đoạn [x1, x2]. Một số phương pháp cơ bản bài toán tối ưu trong giai đoạn loại bỏ dần và được giới thiệu trong chương này: - Phương pháp chia khoảng. - Phương pháp chia đôi. - Phương pháp mặt cắt vàng. - Phương pháp Fibonacci.
  • 390.
    PHƯƠNG PHÁP QUYHOẠCH THỰC NGHIỆM VÀ TỐI ƯU MỘT NHÂN TỐ 391 11.2. PHƯƠNG PHÁP CHIA KHOẢNG Giả sử nhân tố x1 thay đổi trong miền a = xmin ≤ x ≤ xmax = b. Bước đầu tiên ta đặt hai giá trị (hoặc thí nghiệm) gần điểm giữa miền thay đổi. Ký hiệu  là hiệu giữa các giá trị nhân tố tại các điểm này (Hình 11.3a):  = x2 – x1 (11.4) a) b) Hình 11.3 a) Phương pháp chia khoảng; b) Phương pháp tìm kiếm thụ động Giá trị  được chọn càng nhỏ càng tốt, nhưng phải đủ lớn để nhận biết sự khác nhau của các giá trị thu được (kết quả thí nghiệm) tiến hành. Để xác định ta giả sử giá trị lớn nhất hàm đáp ứng đã được tìm ra. Tức là tìm được giá trị nhân tố x* = xopt khi đó hàm đáp ứng là lớn nhất. Ta ký hiệu qua y1 và y2 là kết quả tương ứng của giá trị hàm (thí nghiệm) thứ nhất và thứ hai, với giả thuyết rằng hàm đáp ứng là biến thiên đơn. Trình tự tìm giá trị lớn nhất hàm mục tiêu: Bước 1. Tìm   m1 1 x a b 2   và x1 = xm1 - /2; x2 = xm1 + /2. Tính y1= f(x1), y2 = f(x2). Bước 2. Nếu y1 > y2, do đó giá trị cần tìm nằm bên trái điểm x2. Khi đó điểm tối ưu cần tìm x* xác định trong khoảng [a, x2]. Khoảng [a, b] mới sẽ là [a, x2] và thực hiện Bước 3 với xm2 tính theo công thức (11.7b). Nếu y2 > y1, do đó giá trị cần tìm nằm bên phải điểm x1. Khi đó điểm tối ưu cần tìm xopt xác định trong khoảng [x1, b]. Khoảng [a, b] mới sẽ là [x1, b] và thực hiện Bước 3 với xm2 tính theo công thức (11.7c). Bước 3. Tiếp theo thực hiện tương tự Bước 1, tức là tiến hành tính toán 2 giá trị (hoặc thí nghiệm) gần tâm miền thay đổi mới của nhân tố (Hình 11.3a):
  • 391.
    392 CHƯƠNG 11 x3= xm2 - /2; x4 = xm2 + /2 (11.7a) trong đó:   m2 2 1 x a x 2   (11.7b) hoặc   m2 1 1 x x b 2   (11.7c) Bước 4. Giả sử y3 < y4 thì ta loại bỏ đoạn a đến x3 và tiếp tục thực hiện hai giá trị (thí nghiệm) trong vùng lân cận điểm giữa của khoảng [x3, x2] còn ngược lại y3 > y4 thì nghiệm nằm trên khoảng [a, x4]. Tiếp tục thực hiện như các Bước 1 và 3 đến đoạn giá trị nhỏ hơn 2. Nếu cần tìm giá trị nhỏ nhất hàm mục tiêu thì ta thực hiện Bước 2 như sau: Bước 2. Nếu y1 > y2, do đó giá trị cần tìm nằm bên phải điểm x1. Khi đó điểm tối ưu cần tìm x* xác định trong khoảng [x1, b]. Khoảng [a, b] mới sẽ là [x1, b] và thực hiện Bước 3 với xm2 tính theo công thức (11.7c). Nếu y2 > y1, do đó giá trị cần tìm nằm bên trái điểm x2. Khi đó điểm tối ưu cần tìm xopt xác định trong khoảng [a, x2]. Khoảng [a, b] mới sẽ là [a, x2] và thực hiện Bước 3 với xm2 tính theo công thức (11.7b). Các giá trị tính toán được điền vào Bảng 11.1. Bảng 11.1 Bảng kết quả tính Lần a b h x1 xm x2 f(x1) f(xm) f(x2) min (max) 1 2 3 4 … Do đó theo phương pháp chia khoảng thì qua mỗi cặp giá trị (thí nghiệm) thì đoạn chứa giá trị tối ưu giảm đi hai lần. Đoạn này được gọi là đoạn không xác định. So sánh hiệu quả của phương pháp đang khảo sát với trình tự thụ động, khi đó điều kiện tiến hành tất cả thí nghiệm biết trước. Giả sử ta tiến hành tính toán 8 giá trị (thí nghiệm) N = 8. Theo phương pháp chia khoảng, trong trường hợp này ta thực hiện bốn giá trị (loạt thí nghiệm), mỗi loạt có
  • 392.
    PHƯƠNG PHÁP QUYHOẠCH THỰC NGHIỆM VÀ TỐI ƯU MỘT NHÂN TỐ 393 hai giá trị (thí nghiệm). Theo kết quả thì đoạn không xác định được giảm đi 24 = 16 lần. Khi đó theo phương pháp tìm kiếm thụ động thì các điểm giá trị (thí nghiệm) nằm cách đều nhau trên miền thay đổi (điểm 1, 2,...8 trên Hình 11.3b). Khi thực hiện N giá trị (thí nghiệm) ta có N - 1 đoạn. Theo kết quả tất cả giá trị (thí nghiệm) sẽ bằng 2 (nằm giữa 4 và 6) tức là giảm đi 2 1 N  lần. Đối với 8 điểm đoạn giá trị không xác định được giảm chỉ có 3,5 lần. Như thế khi tìm kiếm theo phương pháp chia khoảng đại lượng đoạn không xác định giảm theo sự tăng N theo hàm mũ và khi tìm kiếm thụ động tỷ lệ nghịch với N. Do đó khi N càng lớn thì phương pháp chia khoảng càng hiệu quả hơn khi so sánh với tìm kiếm thụ động. 11.3. PHƯƠNG PHÁP CHIA ĐÔI (INTERVAL HALVING METHOD) Tương tự phương pháp chia khoảng, tuy nhiên ta chia đoạn [a, b] thành các khoảng bằng nhau. Khi đó cho một số  > 0, với độ chính xác  đã cho, hãy tìm giá trị nhỏ nhất của f(x), x [a,b]  , có nghĩa là lập một thuật toán bậc không, sau một số lần lặp, xác định được điểm giá trị nhỏ nhất x* của hàm f(x) với độ chính xác  đã cho (Hình 13.4). Trình tự thực hiện tìm giá trị nhỏ nhất theo các bước sau (Hình 13.4a): Bước 1. Tìm   m 1 x a b 2   và h b a   . Tính ym = f(xm). Bước 2. Tìm 1 1 x a h 4   và 2 1 x b h. 4   Tính y1 = f(x1) và y2 = f(x2). Lưu ý lúc này các điểm x1, xm, x2. Chia đoạn [a, b] thành các khoảng bằng nhau. Bước 3. Tìm min của f(x1), f(xm), f(x2). - Nếu min là y1 = f(x1), thì khoảng [a, b] mới sẽ là [a, xm]. - Nếu min là ym = f(xm), thì khoảng [a, b] mới sẽ là [x1, x2]. - Nếu min là y2 = f(x2), thì khoảng [a, b] mới sẽ là [xm, b]. Các giá trị tính toán được điền vào Bảng 11.1. Sau khi có khoảng [a, b] mới, ta tiến hành lại bước 1. Vòng lặp xảy ra đến khi nào h = (b – a)  . Nếu tìm giá trị lớn nhất thì Bước 3 thực hiện như sau (Hình 13.4b): Bước 3. Tìm max của f(x1), f(xm), f(x2). - Nếu max là y1 = f(x1), thì khoảng [a, b] mới sẽ là [a, xm].
  • 393.
    394 CHƯƠNG 11 -Nếu max là ym = f(xm), thì khoảng [a, b] mới sẽ là [x1, x2]. - Nếu max là y2 = f(x2), thì khoảng [a, b] mới sẽ là [xm, b]. Lưu ý: ở mỗi vòng lặp, xm và f(xm) không cần phải tính lại vì có thể suy ra được từ vòng lặp trước đó. Nếu khoảng [a, b] mới là [a, xm] thì giá trị xm của vòng lặp mới là x1. Nếu khoảng [a, b] mới là [x1, x2] thì giá trị xm của vòng lặp mới là xm của vòng lặp trước. Nếu khoảng [a, b] mới là [xm, b] thì giá trị xm của vòng lặp mới là x2. Sau mỗi vòng lặp, khoảng bị loại bỏ là h/2. a) b) Hình 11.4 Phương pháp chia đôi Như vậy trong phương pháp chia đôi, ở mỗi phép lặp phải tính lại giá trị f(x) ở hai điểm mới (trừ phép lặp đầu tiên). Gọi k là số lần lặp xác định được x*, thì lúc này khoảng hoạch định chứa điểm giá trị nhỏ nhất là: k k b a s 2   (11.8) và k s .   Phương pháp này đơn giản và vạn năng, có thể giải được hầu hết các bài toán tối ưu phi tuyến, tuy nhiên tốc độ hội tụ kém. Ví dụ 11.2 Tìm min của 1 5 f(x) = x + 2 x với x nằm trong khoảng [1, 4], và độ chính xác  = 0,3. Giải: Tiến hành tính Bước 1, m m 4 1 x 2,5; h 4 1 3; f (x ) 3,25 2       
  • 394.
    PHƯƠNG PHÁP QUYHOẠCH THỰC NGHIỆM VÀ TỐI ƯU MỘT NHÂN TỐ 395 Trong Bước 2 ta tính x1, x2 và giá trị f(x1), f(x2): 1 2 1 2 h h x 1 1,75; x 4 3,25;f (x ) 3,7321, f (x ) 3,1635 4 4         Tất cả những giá trị này được cho vào Bảng 11.1 và 11.2 với cột cuối cùng của bảng là ghi min của 3 giá trị f(x1), f(xm), f(x2). Trong vòng lặp đầu tiên, giá trị min là f(x2) nên [a, b] mới có giá trị [xm, b] của vòng lặp trước nó: [2,5 , 4] như trong Bảng 11.2. Bảng 11.2 Lần a b L x1 xm x2 f(x1) f(xm) f(x2) min 1 1 4 3 1,75 2,5 3,25 3,7321 3,25 3,1635 f(x2) 2 2,5 4 1,5 2,875 3,25 3,0625 3,1766 3,1635 3,1918 f(xm) 3 2,875 3,625 0,75 3,0625 3,25 3,4375 3,1639 3,1635 3,1733 f(xm) 4 3,0625 3,4375 0,375 3,1563 3,25 3,3438 3,1623 3,1635 3,1672 f(x1) 5 3,0625 3,25 0,1875 3,1563 3,1623 f(xm) Các lần lặp được tính tuần tự cho đến lần lặp thứ 5 thì h = 0,1875 <  = 0,3, bài toán dừng. Ta có giá trị min là f(x*) = f(3,1563) = 3,1623. Chú ý: nếu ta sử dụng phương pháp bình phương nhỏ nhất thay thế hàm trên bằng đa thức: x 1,75 2,5 2,875 3,0625 3,1563 3,25 3,3438 3,4375 3,625 y 3,7321 3,25 3,1766 3,1639 3,1623 3,1635 3,1635 3,1733 3,1918 3.5 3.0 2.5 2.0 1.5 3.8 3.7 3.6 3.5 3.4 3.3 3.2 3.1 S 0.0030299 R-Sq 100.0% R-Sq(adj) 100.0% x y Fitted Line Plot y = 7.738 - 3.864 x + 1.068 x^2 - 0.09602 x^3 Hình 11.5
  • 395.
    396 CHƯƠNG 11 Phươngtrình hồi quy có dạng (Hình 11.5): y = 7,738 – 3,864x + 1,068 x2 – 0,09602x3 Tìm nghiệm tối ưu bằng cách lấy đạo hàm riêng và cho bằng 0: -3,864 + 2,136x – 0,28806x2 = 0 Giải phương trình ta tìm được xopt = 3,1312. Bảng 11.3 kết quả với các bậc đường cong xấp xỉ khác nhau. Bảng 11.3 x Bậc 1 Bậc 2 Bậc 3 y 4,081 - 0,2793x 6,018 - 1,810 x + 0,2856 x2 7,738 - 3,864x + 1,068 x2 - 0,09602x3 R-square 73,7% 99,5% 100% X0pt 3,16876 3,1312 Y0pt 3,1502722 11.4. PHƯƠNG PHÁP MẶT CẮT VÀNG (GOLDEN SECTION METHOD) Xác định khoảng giá trị mặt cắt vàng Theo phương pháp này thì trên vòng lặp đầu tiên ta thực hiện hai tính toán (thí nghiệm). Tuy nhiên mỗi vòng lặp tiếp theo ta chỉ thực hiện 1 tính toán (thí nghiệm). Do đó, phương pháp mặt cắt vàng hiệu quả hơn phương pháp chia đôi do tốc độ hội tụ phương pháp mặt cắt vàng nhanh hơn vì ở mỗi lần lặp chỉ cần tính một điểm mới, và khoảng cách từ trung điểm đến hai điểm chọn để loại bỏ là bằng nhau (Hình 11.6). a) b) Hình 11.6 Phương pháp mặt cắt vàng
  • 396.
    PHƯƠNG PHÁP QUYHOẠCH THỰC NGHIỆM VÀ TỐI ƯU MỘT NHÂN TỐ 397 Lý thuyết này được xây dựng trên việc chia đoạn [a, b] thành 3 đoạn sao cho khoảng cách từ a đến x1 bằng khoảng cách từ x2 đến b (x1 – a = b – x2). 1 2 1 1 x a x x b a b x      (11.9) Đặt 1 1 y b a; y x a     1 1 1 b x (b a) (x a) y y        (11.10) Từ Hình 11.6 suy ra: 2 1 1 1 x x (b a) 2(x a) y 2y        (11.11) Thay biểu thức (11.10) và (11.11) vào biểu thức (11.9) ta nhận được biểu thức: 1 1 1 h h 2h 1 2r ;suy ra : r h h h 1 r       với: 1 1 h x a r h b a     từ đây: 2 r 3r 1 0    (11.12) Nghiệm của phương trình (11.12) là: 3 5 r 0,382 2    Theo [27], ta có một phương trình khác, dạng như sau: 2 1 r r   Khi giải phương trình này ta có nghiệm: 1 5 r 0,382 2      và nghiệm dương 2 là r = 0,61803 Hai phương trình đều có chung một ý nghĩa là sau mỗi vòng lặp, đoạn bị bỏ đi là 0,382 chiều dài ban đầu và đoạn được giữ lại là r = 0,618 chiều dài ban đầu. Như vậy khi sử dụng phương pháp mặt cắt vàng, mỗi phép lặp chỉ cần tính một giá trị f(x), và khi đó khoảng chứa điểm giá trị nhỏ nhất x* của f(x)
  • 397.
    398 CHƯƠNG 11 cóđộ dài bằng r2 = 1 – r = 0,382 độ dài ban đầu. Còn phương pháp chia đôi và chia khoảng mỗi lần lặp phải tính tới hai giá trị f(x). Rõ ràng phương pháp mặt cắt vàng hiệu quả hơn phương pháp chia đôi và chia khoảng. Trình tự thực hiện Trường hợp mã hóa: Để làm đơn giản ta giả sử rằng nhân tố x thay đổi trong khoảng a = 0  x  1 = b (sử dụng công thức mã hóa như trong quy hoạch thực nghiệm). Bước 1. Theo phương pháp mặt cắt vàng các giá trị nhân tố x1 trong 2 tính toán (thí nghiệm) đầu tiên tương ứng sẽ bằng x1  0,382; x2  0,618 (Hình 11.6) và tính y1 = f(x1) và y2 = f(x2). Các điểm đối xứng nhau (vì 1– 0,618 = 0,382). Bước 2. Theo kết quả thực hiện 2 tính toán (thí nghiệm) đầu tiên có thể có các phương án sau khi tìm kiếm giá trị lớn nhất: 1) 2 1 y y  - trong trường hợp này ta loại bỏ đoạn (x2, 1) trong các lần khảo sát tiếp theo. Trường hợp này trình bày trên đoạn Hình 11.6a. 2) 2 1 y y  - loại bỏ đoạn (0, x1). 3) 2 1 y y  - loại bỏ cả 2 đoạn (0, x1) và (x2, 1). Bước 3. Ta tiếp tục chia đoạn còn lại theo hai điểm ra ba đoạn theo tỷ số 0,382 và 0,618 và tiếp tục thực hiện như bước 2. Đặc điểm của phương pháp này là bắt đầu từ bước thứ 2 khi chia mỗi đoạn kế tiếp theo tỷ số đã cho thì một trong các điểm chia bắt buộc phải trùng với một điểm trước đó. Ví dụ khi chia đoạn (x1, 1) ta nhận điểm x2 và điểm mới x3. Cho nên trong vòng lặp thứ 2 chỉ cần thực hiện 1 thí nghiệm tại x3. Tương tự ta đặt một thí nghiệm trong mỗi vòng lặp sau đó. Trong trường hợp tìm giá trị nhỏ nhất (min) như Hình 11.6b thì Bước 2 được thực hiện như sau: Bước 2. Theo kết quả thực hiện 2 tính toán (thí nghiệm) đầu tiên có thể có các phương án sau khi tìm kiếm giá trị nhỏ nhất: 1) y1 > y2 - trong trường hợp này ta loại bỏ đoạn (0, x1) trong các lần khảo sát tiếp theo. 2) y1 < y2 - loại bỏ đoạn (x2, 1). Trường hợp này trình bày trên đoạn Hình 11.6b. 3) y1 = y2 - loại bỏ cả 2 đoạn (0, x1) và (x2, 1).
  • 398.
    PHƯƠNG PHÁP QUYHOẠCH THỰC NGHIỆM VÀ TỐI ƯU MỘT NHÂN TỐ 399 Trường hợp giá trị thực (tự nhiên): Giả sử ta tìm giá trị lớn nhất hàm số y = f(x) khi đó x thay đổi trong miền a = xmin  x  b = xmax. Thực hiện các thí nghiệm theo phương pháp mặt cắt vàng theo giải thuật sau (giả sử tìm giá trị nhỏ nhất như Hình 11.6): Bước 1. Ta nhận a = xmin; b = xmax; h = b - a xtr = a + r2 h; xph = a + rh; với r = 0,618, r2 = 0,382. Ta tính toán (hoặc tiến hành các thí nghiệm) tại các điểm xtr và xph, kết quả thu được y1 = y(xtr) và y2 = y(xph). Bước 2. So sánh y(xtr) và y(xph). Trong trường hợp tìm giá trị lớn nhất: nếu y(xtr)  y(xph) ta chuyển sang bước 3, nếu y(xtr) < y(xph) ta chuyển sang bước 4. Bước 3. Ta thu được trên đoạn mới a = a; b = xph và h = xph – a. Kết thúc tính toán (thực nghiệm) nếu h đủ nhỏ. Trong trường hợp ngược lại với giá trị xph mới là giá trị xtr trước đó, và giá trị xtr mới là điểm (a + r2 h). Ta thực hiện tính toán (thí nghiệm) tại điểm xtr và trở về bước 2. Bước 4. Ta nhận được trên đoạn mới a = xtr; b = b và h = b – xtr. Dừng tính toán (thí nghiệm) nếu h đủ nhỏ. Trong trường hợp ngược lại ta chọn giá trị xtr mới là giá trị xph trước đó, và điểm xph mới có giá trị (a + rh). Ta thực hiện thí nghiệm tại điểm xph và trở về Bước 2. Trong trường hợp tìm giá trị nhỏ nhất (Hình 11.6b) thì Bước 2 thực hiện như sau: Bước 2. So sánh y(xtr) và y(xph). Nếu y(xtr)  y(xph) ta chuyển sang Bước 4, nếu y(xtr) < y(xph) ta chuyển sang Bước 3. Giải: Có hai cách để giải bài toán theo phương pháp mặt cắt vàng: quy chuẩn hóa hoặc không quy chuẩn. Nếu sử dụng quy chuẩn hóa thì ta sẽ đưa đoạn [a, b] về [0, 1] với biến mới    x a w b a . Cách giải 1: Giải bài toán theo mã hóa (quy chuẩn hóa): 2 2    x w x w 2 ( ) (2 ) 2   f w w w
  • 399.
    400 CHƯƠNG 11 vớiw [0, 1] 2 1 1 0,382 ( ) (2.0,382) 2.0,382 0,1803      w f w 2 2 0,618 ( ) 0,2917    w f w Do 1 2 ( ) ( ),  f w f w bài toán tìm min nên khoảng [a, b] mới là [0, 0,618]. 2 1 1 0,382.0,618 0,236 ( ) (2.0,236) 2.0,236 0,249        w f w 2 2 0,618 . 0,618 0,382 ( ) 0,1803 w f w      Do f(w1) < f(w2), bài toán tìm min nên khoảng [a, b] mới là [0; 0,382] 1 1 0,382.0,382 0,146 ( ) 0,207 w f w      2 2 0,618.0,382 0,236 ( ) 0,249 w f w      Do f(w1) > f(w2), bài toán tìm min nên khoảng [a, b] mới là [0,146; 0,382]. 1 1 0,146 0,382.0,236 0,236 ( ) 0,249 w f w       2 2 0,146 0,618 . 0,236 0,292 ( ) 0,243 w f w       Do f(w1) < f(w2), bài toán tìm min nên khoảng [a, b] mới là [0,146; 0,292]. 1 1 0,146 0,382.0,146 0,202 ( ) 0,241 w f w       2 2 0,146 0,618 . 0,146 0,236 ( ) 0,249 w f w       Do f(w1) > f(w2), bài toán tìm min nên khoảng [a, b] với là [0,202; 0,292]. Với độ chính xác  = 0,1, thì khoảng cách b – a < . Nhưng do ta chuyển khoảng [a; b] = [0; 2] về khoảng [aw, bw] = [0, 1] nên w = 0,05. Do đó ta tiếp tục tính: 1 1 0,202 0,382 . 0,09 0,236 ( ) 0,249 w f w       2 2 0,202 0,618 . 0,09 0,258 ( ) 0,25 w f w       Do f(w1) > f(w2), bài toán tìm min nên khoảng [a, b] mới là [0,236; 0,292]. 1 1 0,236 0,382 . 0,056 0,2574 ( ) 0,2498 w f w       2 2 0,236 0,618 .0,056 0,2706 ( ) 0,2483 w f w      
  • 400.
    PHƯƠNG PHÁP QUYHOẠCH THỰC NGHIỆM VÀ TỐI ƯU MỘT NHÂN TỐ 401 Do f(w1) < f(w2), bài toán tìm min nên khoảng [a, b] mới là [0,236, 0,2706]. Lúc này khoảng b – a < w, bài toán dừng, với nghiệm tối ưu là w = 0,2574, ứng với x = 0,5148, và giá trị giá trị nhỏ nhất của hàm fmin = -0,2498 Cách giải 2: Giải bài toán không cần chuẩn hóa: h = b – a = 2 (x1 = xtr; x2 = xph). 2 1 1 0 0,382 . 2 0,764 ( ) 0,764 0,764 0,18 x f x         2 2 0 0,618 . 2 1,236 ( ) 0,292 x f x      Do f(x1) < f(x2), bài toán tìm min nên khoảng [a, b] mới là [0, 1,236] 1 1 0 0,382 .1,236 0,472 ( ) 0,249 x f x       2 2 0 0,618 .1,236 0,764 ( ) 0,18 x f x       Do f(x1) < f(x2), bài toán tìm min nên khoảng [a, b] mới là [0, 0,764]. 1 1 0 0,382 . 0,764 0,292 ( ) 0,207 x f x       2 2 0 0,618 . 0,764 0,472 ( ) 0,249 x f x       Do f(x1) > f(x2), bài toán tìm min nên khoảng [a, b] mới là [0,292, 0,764] 1 1 0,292 0,382 . 0,472 0,472 ( ) 0,249 x f x       2 2 0,292 0,618 . 0,472 0,5837 ( ) 0,243 x f x       Do f(x1) < f(x2), bài toán tìm min nên khoảng [a, b] mới là [0,292, 0,5837]. 1 1 0,292 0,382.0,292 0,4035 ( ) 0,24 x f x       2 2 0,292 0,618.0,292 0,4725 ( ) 0,2492 x f x       Do f(x1) > f(x2), bài toán tìm min nên khoảng [a, b] mới là [0,4035, 0,5837]. 1 1 0,4035 0,382 . 0,18 0,472 ( ) 0,2492 x f x       2 2 0,4035 0,618 . 0,18 0,515 ( ) 0,2498 x f x       Do f(x1) > f(x2), bài toán tìm min nên khoảng [a, b] mới là [0,472, 0,5837]. 1 1 0,472 0,382 . 0,112 0,515 ( ) 0,2498 x f x       2 2 0,472 0,618 . 0,112 0,541 ( ) 0,2483 x f x      
  • 401.
    402 CHƯƠNG 11 Dof(x1) < f(x2), bài toán tìm min nên khoảng [a, b] mới là [0,472, 0,541]. Lúc này khoảng b – a < , bài toán dừng, với nghiệm tối ưu là x = 0,515, và giá trị giá trị nhỏ nhất của hàm fmin = –0,2498. Kết luận: Hai cách giải cho ra kết quả như nhau, việc chọn cách giải nào tùy thuộc vào bài toán và người sử dụng. Để cho ngắn gọn, ta có thể lập thành bảng như đối với phương pháp chia đôi. Ví dụ 11.4 Sử dụng phương pháp mặt cắt vàng để giải bài toán tối ưu sau bằng cách lập bảng: y = 3x2 – 12x với x  (1, 4) và hmin = 0,2. Giải: Giá trị r: r = 0,618; r2 = 0,382. Theo giải thuật trình bày ở trên, bước đầu tiên ta gán: a = xmin = 1; b = xmax= 4 h = 4 - 1 = 3 Ta có thể tổng hợp kết quả theo Bảng 11.4. Bảng 11.4 Lần a b h xtr xph f(xtr) f(xph) 1 1 4 3 2,146 2,854 -11,93 -9,812 2 1 2,854 1,854 1,708 2,146 -11,745 -11,93 3 1,708 2,854 1,146 2,146 2,416 -11,93 -11,48 4 1,708 2,416 0,708 1,978 2,146 -11,9986 -11,93 5 1,708 2,146 0,438 1,875 1,978 -11,9534 -11,9986 6 1,875 2,146 0,271 1,798 2,042 -11,9986 -11,9946 7 1,875 2,042 0,167 -11,9948 hmin = 0,167 < 0,2 dừng vòng lặp. Nghiệm tối ưu: x* = (1,875 + 2,042) = 1,9585 Giá trị tối ưu (nhỏ nhất) f(x* )= -11,9948 Ứng dụng phương pháp mặt cắt vàng trong thực nghiệm
  • 402.
    PHƯƠNG PHÁP QUYHOẠCH THỰC NGHIỆM VÀ TỐI ƯU MỘT NHÂN TỐ 403 Giải: Theo giải thuật trình bày ở trên, bước đầu tiên ta gán: a = xmin = 1 ph b = xmax = 3 ph Ta xác định: h = b – a = 2ph xtr = a +r2 h = 1+ 0,382.2 = 1,764 ph xph = a + rh = 1+ 0,618.2 = 2,236 ph Kết quả thí nghiệm tại các điểm xtr và xph: y(xtr) = y(1,764) = 14,8 MPa y(xph) = y(2,236) = 16,5 MPa Trên Bước 2 ta so sánh các kết quả thí nghiệm. Ta có y(xph) < y(xph), cho nên ta chuyển sang Bước 4. Ngoài ra ta có thể lập Bảng 11.5. Bảng 11.5 Vòng lặp Bước Điểm 0 1 a = xmin = 1 ph; b = xmax = 3 ph, h = b – a = 2ph xtr = a + r2 h = 1+ 0,382 . 2 = 1,764 ph xph = a + rh= 1+ 0,618 . 2 = 2,236 ph 1 2 5 , 16 ) 236 , 2 ( y ; 8 , 14 ) 764 , 1 ( y   (thí nghiệm) 4 a = 1,64; h = 3 - 1,764 = 1,236; xtr = 2,236; xph= 1,764 + 0,618 . 1,236 = 2,528 2 2 y(2,236) = 16,5 (thí nghiệm trước); y(2,528) = 18 (thí nghiệm mới) 4 a = 2,236; h = 3 - 2,236 = 0,764; xtr = 2,528; xph= 2,236+ 0,618 . 0,764 = 2,708 3 2 y(2,528) = 18,0 (thí nghiệm trước); y(2,708) = 17,2 (thí nghiệm mới) 3 b = 2,708; h = 2,708 - 2,236 = 0,472; xph = 2,528; Ví dụ 11.5 Ta khảo sát quá trình hóa rắn bề mặt sơn khi chiếu tia cực tím. Khi cố định cường độ chiếu 150000 lux thì yêu cầu phải xác định thời gian chiếu t (ph) khi đó độ bền lớp phủ lớn nhất y = σb (MPa). Nhân tố t thay đổi trong khoảng 1 ph  t  3 ph. Tính toán điều kiện tiến hành thí nghiệm và kết quả cho trong Bảng 11.5.
  • 403.
    404 CHƯƠNG 11 Vònglặp Bước Điểm xtr= 2,236 + 0,382 . 0,472 = 2,416 4 2 y(2,416) = 17,8 (thí nghiệm mới); y(2,528) = 18 (thí nghiệm cũ) 4 a = 2,416; h = 2,708 - 2,416 = 0,292; xtr = 2,528; xph= 2,416 + 0,618 . 0,292 = 2,586 5 2 y(2,528) = 18,0 (thí nghiệm trước); y(2,596) = 17,6 (thí nghiệm mới) 3 b = 2,596; h = 2,596 - 2,416 = 0,18; xph = 2,528; xtr= 2,416 + 0,382 . 0,18 = 2,485 6 2 y(2,485) = 18,2 (thí nghiệm mới); y(2,582) = 18 (thí nghiệm cũ) 3 112 , 0 416 , 2 528 , 2 H ; 528 , 2 A2     b = 2,528; h = 2,528 - 2,416 = 0,112 Giả sử rằng a = xtr = 1,764 ph. h = b – xtr = 3 – 1,764 = 1,236 ph với giá trị xtr mới ta chọn xph thí nghiệm trước: xtr = 2,236 ph; xph = a + rh = 1,764 + 0,618 . 1,236 = 2,528 ph Kết quả thí nghiệm tại điểm xph: y(2,528) = 18,0 MPa Trở về Bước 2. Khi y(2,236) < y(2,528) ta chuyển sang Bước 4. Các bước tính toán kế tiếp trên Bảng 11.1 trong vòng lặp thứ 6 đoạn không xác định giảm đến 0,112 ph, nghĩa là khoảng 7 giây là cơ sở để kết thúc thực nghiệm. Như thế, thời gian tối ưu sẽ là 2,485 ph khi đó độ bền lớp phủ tương ứng sẽ bằng 18,2 MPa. Ngoài ra ta có thể lập bảng tìm giá trị tối ưu như Bảng 11.6. Bảng 11.6 Lần a b h xtr xph f(xtr) f(xph) min 1 1 3 2 1,764 2,236 14,8 16,5 f(xtr) 2 1,764 3 1,236 2,236 2,528 16,5 18 f(xtr) 3 2,236 3 0,764 2,528 2,708 18 17,2 f(xph) 4 2,236 2,708 0,472 2,416 2,528 17,8 18 f(xtr) 5 2,416 2,708 0,292 2,528 2,596 18 17,6 f(xph) 6 2,416 2,596 0,180 2,485 2,528 18,2 18 f(xph) 7 2,416 2,528 0,1120
  • 404.
    PHƯƠNG PHÁP QUYHOẠCH THỰC NGHIỆM VÀ TỐI ƯU MỘT NHÂN TỐ 405 Bài toán trên có thể giải bằng phương pháp thông thường, sau khi tiến hành các thực nghiệm ta thu được phương trình hồi quy và tìm nghiệm tối ưu cho phương trình hồi quy này bằng phương pháp lấy đạo hàm: 1. Các thí nghiệm và kết quả: X 1,764 2,236 2,416 2,485 2,528 2,596 2,708 Y 14,8 16,5 17,8 18,2 18 17,6 17,2 2. Sử dụng phương pháp bình phương nhỏ nhất xác định phương trình hồi quy bậc 3 (Hình 11.7). y = 256,7 – 344,2 x + 160,3 x2 – 24,31 x3 3. Tìm nghiệm tối ưu bằng cách lấy đạo hàm: xopt = 2,53 và yopt = 18,25 So sánh với kết quả thí nghiệm tại điểm Xph: y(2,528) = 18,0 MPa 2.7 2.6 2.5 2.4 2.3 2.2 2.1 2.0 1.9 1.8 18 17 16 15 14 S 0.229727 R-Sq 98.1% R-Sq(adj) 96.2% x y Fitted Line Plot y = 256.7 - 344.2 x + 160.3 x^2 - 24.31 x^3 Hình 11.7 11.5. PHƯƠNG PHÁP FIBONACCI Phương pháp Fibonacci tương tự các phương pháp trên là thu hẹp dần miền chứa giá trị tối ưu sử dụng dãy số Fibonacci. Dãy số Fn được gọi là dãy số Fibonacci khi có tính chất sau (Bảng 11.7).
  • 405.
    406 CHƯƠNG 11 01 1 2; 2          n n n F F F F F n (11.13) Bảng 11.7 n 0 1 2 3 4 5 6 7 8 9 10 … Fn 1 1 2 3 5 8 13 21 34 55 89 … Người ta sử dụng dãy số Fibonacci để tìm khoảng cách chứa điểm có giá trị nhỏ nhất x* của hàm một biến f (x) có một điểm giá trị nhỏ nhất tương đối trong khoảng [a, b] với độ chính xác  cho trước. Hình 11.8 Thuật toán dùng dãy số Fibonacci để xác định tối ưu điểm giá trị nhỏ nhất f (x) như sau (Hình 11.8): Bước 1. Tính h = b – a và tìm giá trị n với Fn+1  2(b – a)/ Bước 2. Tính bắt đầu với k = 2 đến k = n n k 1 k k n k 3 F L h F      Bước 3. Từ k = 2, tính x1 = a + Lk, x2 = b – Lk, tính f(x1), f(x2) - Nếu f(x1) < f(x2) thì giá trị mới của a = a, b = x2 - Nếu f(x1) > f(x2) thì a = x1, b = b - Nếu f(x1) = f(x2) thì a = x1, b = x2. Tăng k = k + 1 rồi quay lại tính x1, x2 và f(x1), f(x2). Vòng lặp đến khi k = n.
  • 406.
    PHƯƠNG PHÁP QUYHOẠCH THỰC NGHIỆM VÀ TỐI ƯU MỘT NHÂN TỐ 407 Ví dụ 11.6 Giải lại bài toán sau bằng phương pháp Fibonacci: Xác định điểm giá trị nhỏ nhất của hàm f(x) = x2 – x; x  [0; 2] với độ chính xác  = 0,1. Giải: Bước 1. Tính h = b – a = 2 - 0 = 2 và tìm giá trị n với Fn+1  2(b – a)/ = 2.2/0,1 = 40. Tương đương với F9. Vậy n + 1 = 9, suy ra n = 8. Để ngắn gọn trong việc trình bày, việc giải bài toán được lập thành Bảng 11.8. Khi k = 2: Bước 2. Tính bắt đầu với k = 2 7 n k 1 2 2 n k 3 9 F F 21 L h .2 .2 0,764 F F 55         Bước 3. Từ k = 2, tính x1 = a + L2 = 0 + 0,764 = 0,764 x2 = b – L2 = 2 – 0,764 = 1,236 tính f(x1)= f(0,764) = -0,180 f(x2)= 0,292 Nếu f(x1) < f(x2) thì giá trị mới của a = a, b = x2 nghĩa là a = 0, b = 1,236. Vòng lặp mới k = 3 và tiếp tục tính các Bước 2, 3 tiếp theo: Bước 2. Tính bắt đầu với k = 3 với h. 8 3 1 6 3 3 8 3 3 8 F F 13 L h .1,236 .1,236 F F 3 0,47 4 3         Bước 3. Từ k = 3, tính x1 = a + L3 = 0 + 0,473 = 0,473 x2 = b – L3 = 1,236 –0,473 =0,764 tính f(x1)= f(0,473) = -0,249 f(x2)= f(0,764) = -0,243 Do f(x1) < f(x2) thì giá trị mới của a = a, b = x2 nghĩa là a = 0, b = 0,944. Tiếp tục thực hiện đến vòng lặp khi k = 8. Kết quả trình bày trong Bảng 11.8.
  • 407.
    408 CHƯƠNG 11 Bảng11.8 k Fn–k+1 Lk a b x1 x2 f(x1) f(x2) Chú ý 2 F7 = 21 0,764 0 2 0,764 1,236 –0,180 0,292 f(x1) 3 F6 = 13 0,473 0 1,236 0,473 0,764 –0,249 –0,180 f(x1) 4 F5 = 8 0,291 0 0,764 0,291 0,473 –0,206 –0,249 f(x2) 5 F4 = 5 0,182 0,291 0,764 0,473 0,582 –0,249 –0,243 f(x1) 6 F3 = 3 0,109 0,291 0,582 0,400 0,473 –0,240 –0,249 f(x2) 7 F2 = 2 0,073 0,400 0,582 0,473 0,509 –0,249 –0,250 f(x2) 8 F1 = 1 0,036 0,473 0,582 0,509 0,545 -0,250 –0,248 f(x1) Vậy bài toán này có giá trị tối ưu fmin = –0,25 tại x = 0,509. Kết quả này có sai số với kết quả tính từ phương pháp mặt cắt vàng. Nhưng giá trị này nằm trong giới hạn cho phép  = 0,1. Lưu ý: Phương pháp mặt cắt vàng và Fibonacci giảm được thời gian tính toán so với phương pháp chia đôi do mỗi lần lặp ta chỉ tính một trong hai giá trị f(x1) hoặc f(x2) do giá trị x1 hoặc x2 được lặp lại cho mỗi lần lặp. 11.6. CÁC PHƯƠNG PHÁP KHÁC 11.6.1. Phương pháp xấp xỉ đa thức bậc 2 (Quadratic estimation methods) Sử dụng phương pháp này để xấp xỉ hàm phức tạp bằng đa thức bậc 2. Phương pháp này thực hiện như sau: với 3 điểm x1, x2, x3 ta có 3 giá trị f1, f2, f3. Ta tìm cách xấp xỉ hàm f(x) bằng hàm q(x) = a0 + a1(x – x1) + a2(x – x1)(x– x2). Đầu tiên xác định: 1 1 0 ( )   f q x a 2 2 0 1 2 1 ( ) ( )     f q x a a x x 3 3 0 1 3 1 2 3 1 3 2 ( ) ( ) ( )( )        f q x a a x x a x x x x (11.14) Với ba phương trình ba ẩn a0, a1, a3 như trên, ta có thể tìm được giá trị các ẩn và cuối cùng là hàm q(x) khá dễ dàng: 0 1  a f 2 1 1 2 1    f f a x x 3 1 2 1 2 3 2 3 1 2 1 1              f f f f a x x x x x x (11.15)
  • 408.
    PHƯƠNG PHÁP QUYHOẠCH THỰC NGHIỆM VÀ TỐI ƯU MỘT NHÂN TỐ 409 Sau khi có hàm q(x) là hàm xấp xỉ của f(x) thì việc tìm min của hàm f(x) sẽ được thay thế bằng việc tìm min của hàm q(x). Với hàm q(x) là hàm đa thức bậc 2 đã tìm được như trên thì việc tìm min của nó khá đơn giản, ta chỉ việc lấy đạo hàm bậc 1 của hàm q(x) và cho đạo hàm này bằng 0 để tìm x. 1 2 2 2 1 ( ) ( ) 0       dq a a x x a x x dx 2 1 1 2 ( ) 2 2    x x a x a (11.16) Ví dụ 11.7 Tìm min của hàm: 2 16 ( ) 2   f x x x trên khoảng x  [1, 5]. Giải: Đặt x1 = 1, x3 = 5, x2 = (x1 + x3)/2 = 3, khi đó f1 = f(x1) = 18, f2 = f(x2) = 23,333, f3 = f(x3) = 53,2. Xấp xỉ hàm f(x) bởi hàm q(x) = a0 + a1(x – x1) + a2(x – x1)(x – x2). 0 1 18   a f 2 1 1 2 1 8 3     f f a x x 3 1 2 1 2 3 2 3 1 2 1 1 46 15               f f f f a x x x x x x Sau đó lấy đạo hàm bậc 1 của q(x), và cho đạo hàm bậc 1 này bằng 0, ta tính được: (3 1) 8 / 3 1,565 2 2(46 /15)     x Thực tế kết quả chính xác của fmin là x* = 1,5874. Chú ý: ta có thể thay thế hàm ở Ví dụ 11.7 bằng hàm bậc 2 khi sử dụng phương pháp bình phương nhỏ nhất (Hình 11.9) với các số liệu x và y như sau: x 1 2 3 4 5 y 18 16 23,33 36 53,2
  • 409.
    410 CHƯƠNG 11 5 4 3 2 1 55 50 45 40 35 30 25 20 15 S1.10645 R-Sq 99.7% R-Sq(adj) 99.5% x y Fitted Line Plot y = 24.06 - 9.706 x + 3.124 x^2 Hình 11.9 Phương trình hồi quy có dạng: y = 24,06 – 9,706x + 3,124x2 Lấy đạo hàm bậc nhất và cho bằng 0: y’ = -9,706+ 6,248 x = 0 Suy ra nghiệm tối ưu: x = 1,553457, khi đó ymin = 16,52 11.6.2. Phương pháp xấp xỉ bậc 3 (Cubic search method) Phương pháp này tương tự như phương pháp xấp xỉ bậc 2, khi đó theo sử dụng đa thức bậc 3 để xấp xỉ cho hàm mục tiêu. 2 0 1 1 2 1 2 3 1 2 ( ) ( ) ( )( ) ( ) ( )          f x a a x x a x x x x a x x x x = 2 1 2 1 2 2 3 1 3 1 2 ( ) ( ) ( ) ( ) 2 ( )( )          d f x a a x x a x x a x x a x x x x dx (11.17) Giá trị của các hệ số a0, a1, a2 và a3 có thể được xác định dựa trên giá trị của f(x1), f(x2), f’(x1) và f’(x2) bằng cách giải hệ phương trình sau: 1 1 0 ( )   f f x a 2 2 0 1 2 1 ( ) ( )     f f x a a x x 1 1 2 1 2 1 1 , , ( ) ( )     f f x a a x x
  • 410.
    PHƯƠNG PHÁP QUYHOẠCH THỰC NGHIỆM VÀ TỐI ƯU MỘT NHÂN TỐ 411 2 2 1 2 2 1 3 2 1 2 , , ( ) ( ) ( )       f f x a a x x a x x (11.18) 2 2 2 1 1 , 0 ( ), 0 1 , 1                 x x x x x x trong đó: 2 2 1 , , , 2       f w z f f w 1 2 1 2 2 1 3( ) , ,            f f z f f x x 2 1/2 1 2 1 2 2 1/2 1 2 1 2 , , ( ) , , , ( ) ,            z f f x x w z f f x x Bước 1. Nếu f’(x0) < 0, tính xk+1 = xk + 2k , với k = 0, 1, 2,… Nếu f’(x0) > 0, tính xk+1 = xk – 2k , với k = 0, 1, 2,… Bước 2. Tính f’(x) cho điểm xk+1 với k = 0, 1, 2,… cho đến khi đạt bằng điểm xM, f’(xM–1) f’(xM)  0. Sau đó, đặt x1 = xM–1, x2 = xM Tính f1, f2, 1 2 , , , f f . Bước 3. Tính điểm x của hàm đa thức bậc 3. Bước 4. Nếu 1 ( ) ( ),  f x f x chuyển tới Bước 5. Nếu không, đặt 1 1 ( ) 2    x x x x cho đến khi 1 ( ) ( ).  f x f x Bước 5. Kiểm tra để biết kết thúc bài toán: Nếu 1 '( )   f x và 1 2 ( ) / ,    x x x dừng. Nếu không, đặt x2 = x1 và 1  x x nếu 1 '( ) '( ) 0.  f x f x Nếu 2 '( ) '( ) 0,  f x f x đặt 1  x x , sau đó quay trở lại Bước 3. Ví dụ 11.8 Giải lại bài toán tìm min 2 16 f (x) 2x x   với điểm ban đầu x0 = 1 và bước nhảy  = 1. Tiêu chuẩn hội tụ: 2 2 1 2 10 , 3.10 .      
  • 411.
    412 CHƯƠNG 11 Giải: Đạohàm: 2 16 '( ) 4    df f x x dx x Lần lặp 1: Bước 1. Nếu f’(1) = –12 < 0, tính x1 = 1 + 1 = 2 Bước 2. Tính f’(2) = 4, f’(1)f’(2) = –48 < 0. Đặt x1 = 1, x2 = 3, tính f1 = 18, f2 = 16, 1 2 , , 12, 4    f f . Bước 3. Tính điểm x của hàm đa thức bậc 3 như sau: 1 2 1 2 2 1 3( ) 3 , , (18 16) ( 12) 4 2 1                   f f z f f x x  1/2 1/2 4 ( 12)(4) 52 7,211      w 4 7,211 ( 2) 0,4343 4 ( 12) 2(7,211)          Từ đây: 2 0,4343(2 1) 1,5657     x Bước 4. 1 (1,5657) 15,1219 ( ) 18    f f x Bước 5. Kiểm tra: '(1,5657) 0,264   f chưa thỏa điều kiện hội tụ. Do 2 '( ) '( ) ( 0,264).4 0,    f x f x đặt 1 1,5657.   x x Lần lặp 2: Bước 3. Tính điểm x của hàm đa thức bậc 3. 1 2 1 2 2 1 3( ) 3 , , (15,1219 16) ( 0,264) 4 2,3296 0,4343                   f f z f f x x 1/2 2 (2,3296) ( 0,264)(4) 2,5462         w 4 2,5462 ( 2,3296) 0,9486 4 ( 0,264) 2(2,5462)          2 0,9486(2 1,5657) 1,588     x
  • 412.
    PHƯƠNG PHÁP QUYHOẠCH THỰC NGHIỆM VÀ TỐI ƯU MỘT NHÂN TỐ 413 Bước 4. f(1,588)= 15,1191 < f(x1) = 15,1219 Bước 5. Kiểm tra: 2 '(1,588) 0,0072 10    f 2 1,588 1,5657 0,014 3.10 1,588     Vậy bài toán đã đạt điều kiện hội tụ. Lưu ý là với cùng điểm ban đầu x0 = 1 và bước nhảy , phương pháp xấp xỉ đa thức bậc 2 cho ra kết quả cuối cùng 1,714,  x trong khi phương pháp này cho ra kết quả 1,5657  x , so với kết quả chính xác của bài toán là 1,5874, ta thấy rõ ràng phương pháp xấp xỉ đa thức bậc ba này cho ra kết quả chính xác hơn vì nó xấp xỉ hàm f(x) chính xác hơn. 11.6.3. Phương pháp Powell Nội dung phương pháp này theo [49] được thực hiện theo trình tự sau: 1. Tính x2 = x1 + x. 2. Tính f(x1) và f(x2). 3. Nếu f(x1) > f(x2), đặt x3 = x1 + 2x. Nếu f(x1)  f(x2), đặt x3 = x1 – x. 4. Tính f(x3) và xác định min 1 2 3 min , ,  F f f f từ đó suy ra xmin tương ứng. 5. Dùng x1, x2, x3 để tính x bằng công thức xấp xỉ đa thức bậc 2 như trên (Mục 11.6.1). 6. Kiểm tra xem bài toán đã đạt tối ưu hay chưa: nếu   min ( )  f f x và min ( )  x x đủ nhỏ thì bài toán đã đạt giá trị tối ưu. Nếu chưa đủ nhỏ thì tiếp Bước 7. 7. Lưu giá trị xmin, giá trị giới hạn đầu và cuối của nó và lặp lại Bước 4. Ví dụ 11.9 Giải lại bài toán tìm min của: 2 16 f (x) 2x x   với điểm ban đầu x1 = 1 và bước nhảy x = 1. Tiêu chuẩn hội tụ của bài toán: 2 min X x 3.10 x    và     min 3 F f x 3.10 f x    .
  • 413.
    414 CHƯƠNG 11 Giải: Lầnlặp 1: 1. Tính 2 1 2     x x x 2. Tính 1 ( ) 18  f x và 2 ( ) 16.  f x 3. Nếu 1 2 ( ) ( ),  f x f x đặt 3 1 2 3.     x x x 4. Tính f(x3) = 23,33 và xác định min 1 2 3 min , , 16   f f f f từ đó suy ra xmin = x2 = 2 tương ứng. 5. Dùng x1, x2, x3 để tính x bằng công thức xấp xỉ đa thức bậc 2: 1 16 18 1 2 1      a 2 1 1 23,33 18 4,665 3 2 3 1             a a Suy ra: (1 2) 2 1,714 2 2(4,665)      x ( ) 15,21  f x 6. Kiểm tra xem bài toán đã đạt tối ưu hay chưa: min 2 1,714 0,167 1,714     X x x min ( ) 16 15,21 0,0519 ( ) 15,21     F f x f x 7. Lưu giá trị xmin, giá trị giới hạn đầu và cuối của nó và lặp lại Bước 4. Lần lặp 2: 1 1 1 18    x f 2 2 1,714 15,21    x f 3 3 2 16    x f min 1 2 3 min , , 15,21   F f f f từ đó suy ra xmin = x2 = 1,714 tương ứng.
  • 414.
    PHƯƠNG PHÁP QUYHOẠCH THỰC NGHIỆM VÀ TỐI ƯU MỘT NHÂN TỐ 415 5. Dùng x1, x2, x3 để tính x bằng công thức xấp xỉ đa thức bậc 2: 1 15,21 18 3,908 1,714 1      a 2 1 1 16 18 6,671 2 1,714 2 1             a a Suy ra: (1 1,714) 3,908 1,65 2 2(6,671)      x Từ đây: ( ) 15,142  f x 6. Kiểm tra xem bài toán đã đạt tối ưu hay chưa: min ( ) 15,21 15,142 0,0045 ( ) 15,142     F f x f x 7. Lưu giá trị Xmin, giá trị giới hạn đầu và cuối của nó và lặp lại Bước 4. Lần lặp 3: 1 1 1 18    x f 2 2 1,65 15,142    x f 3 3 1,714 15,21    x f min 1 2 3 min , , 15,142   F f f f từ đó suy ra xmin= x2 = 1,65 tương ứng. 5. Dùng x1, x2, x3 để tính x bằng công thức xấp xỉ đa thức bậc 2: 1 15,142 18 4,397 1,65 1      a 2 1 1 15,21 18 7,647 1,714 1,65 1,714 1             a a Suy ra: (1 1,65) 4,397 1,6125 2 2(7,647)      x Từ đây: ( ) 15,123  f x
  • 415.
    416 CHƯƠNG 11 6.Kiểm tra xem bài toán đã đạt tối ưu hay chưa: min ( ) 15,142 15,123 0,0013 0,003 ( ) 15,123      F f x f x min ( ) 1,65 1,6125 0,023 0,03 ( ) 1,6125      X f x f x Do đó vòng lặp sẽ kết thúc, ta có kết quả tối ưu. Ngoài ra còn nhiều phương pháp khác được trình bày trong [49] như Phương pháp đạo hàm bậc 1 và bậc 2 (First order and second order methods), bao gồm: Phương pháp Newton–Raphson, phương pháp hai mặt cắt (Bisection method, Bolzano search), phương pháp Secant… So sánh giữa các phương pháp Từ góc nhìn lý thuyết, ta có thể thấy rằng phương pháp xấp xỉ như phương pháp xấp xỉ bậc 2, Powell hay phương pháp xấp xỉ bậc ba có nhiều ưu điểm hơn phương pháp không cần đạo hàm như chia đôi hay mặt cắt vàng. Tuy nhiên về phương diện sử dụng lập trình để giải các bài toán tối ưu thì phương pháp chia đôi, mặt cắt vàng hay Fibonacci lại thể hiện những ưu điểm vượt trội. Nó giảm thời gian tính toán và làm việc lập trình phần mềm giải dễ dàng. Việc sử dụng phương pháp nào để giải tùy thuộc vào ý nghĩa, mục đích, độ chính xác và thời gian cho phép của mỗi bài toán. Ngoài ra ta có thể sử dụng phương pháp bình phương nhỏ nhất, kết hợp phần mềm Minitab để thay thế các hàm phức tạp thành các đa thức bậc 2, bậc 3,… Từ đó tìm giá trị tối ưu bằng cách lấy đạo hàm.
  • 416.
    PHƯƠNG PHÁP QUYHOẠCH THỰC NGHIỆM VÀ TỐI ƯU MỘT NHÂN TỐ 417 BÀI TẬP Sử dụng phương pháp chia khoảng, chia đôi, mặt cắt vàng, Fibonacci để giải bài toán tối ưu sau ( = 0,2). 11.1. f(x) = x3 – 3x + 1 trên đoạn x  [0, 3] 11.2. f(x) = 2x3/2 – 3x trên đoạn x  [0, 3] 11.3.   2 2 x 3x 2 f (x) x 1     trên đoạn x  [-1/2, 2] 11.4. y = -x2 + x1/2 với x  (0, 4) 11.5. y = -x2 + 3x với x  (1, 4) 11.6. y = x2 + 2x + 2 với x  (-5, 3) 11.7. 3 f(x) x x 1   với x  [-7, 2] 11.8. 3 f(x) x | x | 1   với x  [-7, 2] 11.9.  2/3 f(x) x x 2   với x  [-1, +] 11.10.   1/3 2/3 2 f(x) x x 1    với x  (0, 3) 11.11. 2 2 x 5x 6 f(x) x 1     với x  (0, 4) 11.12. f(x) x 2sin x   với x  [0, +] 11.13. 2/3 x f(x) x e  với x  [-1, +] 11.14. |x| f(x) | x | e  với x  [-2, 2] 11.15. 3 3 f(x) cos x sin x   với x  [0, +] 11.16.   2 2 x f(x) 1 x e   với x  [0, +]
  • 417.
    418 CHƯƠNG 11 11.17.f(x) sin(x), x , 2           11.18.     2 f(x) x 2 , x 0,3    11.19.     4 f(x) x 5 , x 6,2     11.20.   2 f(x) x 2x 4, x 2,1      11.21.   5 2 f(x) x x , x 0,1    11.22.   4 f(x) x x, x 0,1    11.23.   x f(x) xe , x 2,6     11.24.     f(x) cos x , x 0,    11.25.     2 f(x) x 15 5, x 12,20     11.26.   x f(x) xe , x 2,0    11.27.   3 f(x) x x, x 0,1    11.28.   x x f(x) , x 0,3 e    11.29.   4 x f(x) , x 1.1, 1.5 ln x   11.30.   2x f(x) xe , x 2,6     Bài tập lớn: mỗi em thực hiện 2 trong 4 phương pháp chia khoảng, chia đôi, mặt cắt vàng, Fibonacci để tìm giá trị tối ưu cho các bài tập trên.
  • 418.
    PHƯƠNG PHÁP QUYHOẠCH THỰC NGHIỆM VÀ TỐI ƯU NHIỀU NHÂN TỐ 419 Chương 12 PHƯƠNG PHÁP QUY HOẠCH THỰC NGHIỆM VÀ TỐI ƯU NHIỀU NHÂN TỐ Chương này gồm các nội dung sau: 12.1. Phương pháp tìm kiếm theo toạ độ 12.2. Phương pháp độ dốc nhất 12.3. Phương pháp đơn hình Bài tập
  • 419.
    CHƯƠNG 12 420 Trong chươngnày, ta sẽ thảo luận về bài toán tối ưu phi tuyến nhiều biến, không ràng buộc. Bài toán thông thường là dạng tìm giá trị nhỏ nhât (min) của hàm f(x) với x là vectơ của những biến cần giải. Các phương pháp giải bài toán tối ưu nhiều biến: - Phương pháp đạo hàm riêng. - Phương pháp tìm kiếm theo tọa độ. - Phương pháp độ dốc nhất (gradient). - Phương pháp đơn hình. - Phương pháp bậc 2: sử dụng xấp xỉ đạo hàm bậc 1 và 2 của hàm mục tiêu. Nếu hàm mục tiêu dễ dàng lấy đạo hàm và hệ phương trình đạo hàm riêng giải dễ dàng thì ta sử dụng phương pháp lấy đạo hàm. Ví dụ trong trường hợp sử dụng các phương pháp quy hoạch thực nghiệm trong Chương 6 ta thu dược phương trình hồi quy bậc 2 có dạng sau: k k k 2 0 i i ii i ij i j i 1 i 1 i j i,j 1 y b b x b x b x x            (12.1) Khi đó bài toán tối ưu với hàm mục tiêu là hàm đa thức bậc 2, phương pháp đơn giản là lấy đạo hàm riêng theo các biến (nhân tố) xi, khi đó giá trị tối ưu là nghiệm của hệ phương trình đạo hàm riêng sau đây:                     1 2 k y 0; x y 0; x ... y 0; x (12.2) Đối với các hàm phức tạp việc lấy đạo hàm riêng và giải hệ phương trình đạo hàm riêng vô cùng phức tạp. Khi đó ta sử dụng các phương pháp khác. Dưới đây giới thiệu vài phương pháp giải bài toán tối ưu nhiều biến không ràng buộc để có thể giải bài toán tối ưu hoặc kết hợp quy hoạch thực nghiệm và phương pháp tối ưu để tìm các thông số tối ưu.
  • 420.
    PHƯƠNG PHÁP QUYHOẠCH THỰC NGHIỆM VÀ TỐI ƯU NHIỀU NHÂN TỐ 421 12.1. PHƯƠNG PHÁP TÌM KIẾM THEO TỌA ĐỘ 12.1.1. Phương pháp tìm kiếm theo tọa độ (Coordinate Search Method) Đối với thực nghiệm tối ưu nhiều nhân tố thì phương pháp đơn giản và hiệu quả nhất là sử dụng phương pháp tìm kiếm theo tọa độ. Theo phương pháp này các nhân tố thay đổi trong thực nghiệm một cách luân phiên có nghĩa là ta thực hiện loạt thí nghiệm 1 nhân tố kế tiếp nhau. Bắt đầu, ta cho trước điểm đầu tiên   (0) (0) (0) (0) 1 2 3 k x ,x , x , x và thực hiện thí nghiệm đầu tiên. Sau đó lần lượt thay đổi giá trị chỉ 1 nhân tố. Ví dụ thay đổi x1 và các nhân tố còn lại x2, x3, ..., xk cố định tại mức đầu tiên (0) (0) (0) 2 3 k x , x , x . Trong trường hợp hai nhân tố thì ta thay đổi nhân tố x1 tương ứng với các điểm 1-5 trên mặt phẳng nhân tố (Hình 12.1). Trên hình này ta vẽ các đường đồng mức hay đường có giá trị thông số đầu ra bằng nhau. Đối với tất cả các điểm nằm trên đường đồng mức thứ i, giá trị đáp ứng giống nhau và bằng một giá trị yi nào đó. Giữa các thí nghiệm thực hiện ta tìm giá trị y lớn nhất (Hình 12.1 thí nghiệm 4). Các giá trị tương ứng nhân tố x1 được cố định. Trong các điều kiện này lần lượt thay đổi nhân tố x2 (thí nghiệm 6 đến 9 Hình 12.1). Đối với các thí nghiệm của loạt thí nghiệm này ta tìm giá trị x2 tốt nhất (điểm 8 Hình 12.1). Trong loạt thí nghiệm tiếp theo ta chỉ thay đổi nhân tố x3 (nếu số nhân tố lớn hơn 2) và tiếp tục đến xk. Sau đó vòng thay đổi các nhân tố kế tiếp thực hiện lặp lại bắt đầu từ x1. Trình tự được thực hiện lặp lại đến khi nào tìm được điểm mà sự thay đổi bất cứ nhân tố nào đều dẫn đến đến làm xấu đi kết quả. Điểm này là điểm tối ưu. Hình 12.1 Phương pháp tìm kiếm theo tọa độ
  • 421.
    CHƯƠNG 12 422 Trên Hình12.1 để tìm điểm cực trị (điểm 17) ta cần thực hiện năm loạt thí nghiệm một nhân tố. Chú ý rằng trên mỗi loạt thí nghiệm chỉ thực nghiệm một nhân tố thay đổi. Thay vì thay đổi nhân tố theo các bước bằng nhau thì ta có thể sử dụng một trong các phương pháp được khảo sát ở Chương 11: chia khoảng hoặc là mặt cắt vàng. 12.1.2. Phương pháp tìm kiếm theo mẫu Hooke-Jeeves (Hooke-Jeeves Pattern Search Method) Điểm tìm kiếm mới của phương pháp tìm kiếm theo tọa độ được xác định theo công thức sau [49]: ( ) ( ) ( )     j j new c x x x x (12.3a) Hướng nhảy theo mẫu (Pattern Move):   ( 1) ( ) ( ) ( 1)      k k k k p x x x x (12.3b) trong đó: x(k) - điểm cơ sở hiện tại; x(k–1) - điểm cơ sở ở lần lặp trước; ( 1) k p x  - điểm di chuyển theo mẫu (pattern move point); x(k+1) - điểm cơ sở lần lặp kế tiếp; Bước 1. Định nghĩa và cho điểm ban đầu x(0) ; Bước tăng i cho k = 1, 2, 3,…N; Hệ số giảm bước nhảy ; Tham số kiểm tra hội tụ . Bước 2. Thực hiện bước tìm kiếm. Bước 3. Nếu bước tìm kiếm thành công (tức là điểm nhỏ hơn được tìm thấy) thì chuyển qua Bước 5, nếu không thì tiếp tục Bước 4. Bước 4. Kiểm tra hội tụ: Nếu |||| <  thì dừng. Nếu không thì giảm bước nhảy:     i i (12.4) với i = 1, 2, 3,…, N
  • 422.
    PHƯƠNG PHÁP QUYHOẠCH THỰC NGHIỆM VÀ TỐI ƯU NHIỀU NHÂN TỐ 423 Trở về bước 2. Bước 5. Thực hiện bước nhảy theo mẫu:   ( 1) ( ) ( ) ( 1)      k k k k p x x x x (12.5) Bước 6. Thực hiện bước tìm kiếm bằng việc sử dụng ( 1)  k p x như là biến cơ sở, và đặt kết quả là x(k+1) . Bước 7. Nếu f((k+1) ) < f((k) ) thì đặt ( 1) ( ) ( ) ( 1) ,     k k k k x x x x , qua Bước 5. Nếu không thì qua Bước 4. Ví dụ 12.1 Tìm min của hàm f(x) = 8x1 2 + 4x1x2 + 5x2 2 với điểm ban đầu x(0) = [-4, -4]. Giải: Chọn  = [1, 1] là bước nhảy: +  = 2 là hệ số giảm bước nhảy +  = 10–4 là tham số xét điều kiện hội tụ. Đầu tiên ta tính f(x(0) ) = f(-4, -4) = 272, với x2 cố định, ta tăng x1: (0) 2 1 4, 4 1 3 ( 3, 4) 200 ( )             x x f f x Bước tìm kiếm này thành công, do đó ta cố định x1 = –3 và tăng x2: 2 4 1 ( 3, 3) 153 200         x f Bước tìm kiếm này thành công, cho nên:   (1) 3, 3    T x và (1) ( ) 153  f x . Ta tiếp tục chuyển qua bước nhảy theo mẫu:   2 (1) (1) (0) ( ) 2, 2       T p x x x x (2) ( 68)  p f x Bây giờ ta thực hiện tìm kiếm ứng với 2 p x như đã làm ở trên và thấy bước tìm kiếm thành công, do đó:   (2) 1, 1    T x và (2) ( ) 17  f x .
  • 423.
    CHƯƠNG 12 424 Do (2)(1) ( ) ( ),  f x f x bước nhảy theo mẫu này thỏa và x(2) trở thành điểm cơ sở mới. Các bước này cứ được tiếp tục cho đến khi điều kiện hội tụ đạt được gần giá trị:   * 0, 0  T x . 12.2. PHƯƠNG PHÁP ĐỘ DỐC NHẤT (Gradient Descent Method) 12.2.1. Giải bài toán tối ưu theo phương pháp độ dốc nhất Phương pháp hiệu quả nhất và sử dụng phổ biến nhất trong tối ưu thực nghiệm dựa trên cơ sở các phương pháp độ dốc nhất tìm kiếm cực trị (Hình 11.2). Hình 12.2 Hình minh họa phương pháp độ dốc nhất [52] Ý tưởng của phương pháp này là đầu tiên ta giả thuyết với chỉ một nhân tố thay đổi x1. Trên Hình 12.3 điểm a và b là giới hạn miền thay đổi của nhân tố này. Giả sử M là hoành độ của điểm cực trị cần tìm. Đầu tiên ta tiến hành tính (thí nghiệm) tại 1 điểm bất kỳ trong miền thay đổi của nhân tố x1, kết quả thu được y1. Từ điểm 1 ta dịch chuyển về hướng điểm M, trong trường hợp này về bên trái. Nhưng điểm M ta không biết trước, do đó ta thực hiện bước thử về hướng trái hoặc phải từ điểm 1. Giả sử ta chọn điểm 2 về phía phải điểm 1 (Hình 12.3), kết quả ta có y2. Vì y2 < y1 do đó M phải nằm bên trái điểm 1. Cho nên bước làm việc tiếp theo thực hiện bên trái điểm 1 tại điểm 3. Bởi vì y3 > y1, nên bước làm việc tiếp theo thực hiện theo hướng này tức là về điểm 4 (Hình 12.3) và tiếp tục đến điểm 6. Vì y6 < y5 nên M nằm giữa 5 và 6. Nếu độ chính xác mà ta tìm kiếm điểm M chưa đạt yêu cầu thì ta dịch chuyển tiếp tục về phía phải điểm 6 với bước được giảm đi.
  • 424.
    PHƯƠNG PHÁP QUYHOẠCH THỰC NGHIỆM VÀ TỐI ƯU NHIỀU NHÂN TỐ 425 Hình 12.3 Phương pháp độ dốc nhất tìm kiếm điểm cực trị Nếu giả sử số nhân tố thay đổi là 2, khi đó minh họa hình học của phương pháp được khảo sát trong mặt phẳng nhân tố với các tọa độ x1 và x2 (Hình 12.4). Hình 12.4 Việc tìm kiếm giá trị lớn nhất của một hàm theo phương pháp độ dốc nhất với biến x1, x2,…xk bao gồm các bước sau: Bước 1. Tính gradient của hàm f (V) (công thức 12.2), độ dài của vectơ gradient |f (V)|: 2 2 2 1 2 k y y y ( ) ... V x x x f                              (12.6)
  • 425.
    CHƯƠNG 12 426 và vectơđơn vị t (V): ( f V) t(V) (V) f    (12.7) Bước 2. Chọn điểm ban đầu Vn khi n = 0. Bước 3. Tính tọa độ của vectơ đơn vị t (Vn) theo công thức (12.7) có được ở Bước 1 và xác định tọa độ của điểm mới khi chuyển động theo phương của vectơ đơn vị. Bước 4. Chọn bước a thay đổi tọa độ của điểm hiện tại Vn. Nó được thực hiện từ điều kiện tăng giới hạn của hàm f [Vn + ant(Vn)] của một đối số a theo phương trình: n n n n df[V a t(V )] 0 da   (12.8) Nghiệm của phương trình này, tối ưu hàm f(V), ký hiệu an. Giá trị bước sau đó Vn + 1 được xác định theo công thức: Vn+1 = Vn+аn t(Vn) (12.9) Trở về tính lại Bước 3. Kết quả ta thu được V0, V1, V2,… Quá trình tính toán kết thúc khi đạt đến điểm Vn, với (Vn - Vn-1) ≤ , khi đó ước lượng gradient df(V)/dV xấp xỉ bằng 0. Giải: Bước 1. Dạng tổng quát gradient của hàm f(V) theo công thức (12.2): у/х1 = – 6х1; у/х2 = – 4х2; f(V) = (– 6х1; – 4х2). Chiều dài vectơ gradient |f(V)| được tính theo công thức (12.6): |f(V)| = 2 2 2 2 1 2 1 2 y y 36x 16x x x                    Vectơ đơn vị t theo công thức (12.7): t = (t1; t2) = f(V) / |f(V)| = – (-6х1; -4х2) / 2 2 1 2 36x 16x  . Ví dụ 12.3 Thực hiện theo phương pháp đường dốc nhất để tìm lời giải tối ưu cho phương trình у = – 3х1 2 – 2х2 2.
  • 426.
    PHƯƠNG PHÁP QUYHOẠCH THỰC NGHIỆM VÀ TỐI ƯU NHIỀU NHÂN TỐ 427 Bước 2. Chọn điểm ban đầu V0 = (5; 3). Bước 3. Tính tọa độ vectơ đơn vị theo công thức (12.7): t(V0) = –(30; 12)/ 36,25 16,9  = – (30; 12)/[32,31] = (–0,93; –0,37). Tọa độ điểm V1 khi dịch chuyển theo hướng vectơ t theo công thức (12.9): V1 = V0 + at(V0)= (5; 3) + a (– 0,93; – 0,37) = (5 – a . 0,93; 3 – a . 0,37). Hàm у = – 3х1 2 – 2х2 2 tại điểm V1 không gian 2 biến: f(V1) = f( V0 + at(V0))= – 3(5 – a . 0,93)2 – 2(3 – a . 0,37)2 . Bước 4. Chọn bước a thay đổi tọa độ theo phương trình (công thức 12.8) (lấy đạo hàm f(V) theo a): 0 0 1 df (V at(V )) df (V ) 0 da da    3 . 2 . 0,93 . (5 – a . 0,93) – 2.2.0,37(3 – a . 0,37) = 0 Thay thế các giá trị vào ta thu được: 32,34 – 5,737 . а = 0. Suy ra bước а = 5,637. Tọa độ điểm V1 sau khi thực hiện bước đầu tiên đường dốc nhất: V1 = V0 + аt(V0) = (– 0,242; 0,914) Quay lại bước 3 cho vòng lặp mới: Bước 3. Tính tọa độ vectơ đơn vị t(V1) theo công thức (12.7): t (V1) = (t1; t2) = f(V) / |f(V)| = – (-6х1; -4х2)/ 2 2 1 2 36x 16x  . t(V1) = –(1,452; -3,656)/ 15,47464 = –(1,452; -3,656)/3,934= (-0,369; 0,929). Tọa độ điểm V1 khi dịch chuyển theo hướng vectơ t: V2 = V1 + at(V1)= (– 0,242; 0,914)+ a (-0,369; 0,929) = (– 0,242 - 0,369a; 0,914 + 0,929a).
  • 427.
    CHƯƠNG 12 428 Hàm уtại điểm V2 không gian 2 biến: f( V1 + at(V1)) = – 3(– 0,242 - 0,369a)2 – 2(0,914 + 0,929a)2 . Bước 4. Chọn bước a thay đổi tọa độ theo phương trình: 1 1 df[V at(V )] 0 da   Thay thế các giá trị vào ta thu được: -2,86 – 2,635а = 0. Suy ra bước а = -1,085 Tọa độ điểm V2 sau khi thực hiện bước đầu tiên đường dốc nhất V2 = V1 + аt(V1) = (– 0,242; 0,914) - 1,085(-0,369; 0,929). = (0,158; -0,093965) Tiếp tục thực hiện đến Vn  (0; 0) với (Vn - Vn-1) ≤  = 0,1 và giá trị cực đại y xấp xỉ bằng 0. Trong quá trình tính kết quả các bước có thể đưa vào Bảng 12.1. Bảng 12.1 Lần Vn f(V) |f(V)| t(V0) a Vn+1 1 2 3 4 … 12.2.2. Ứng dụng phương pháp độ dốc nhất trong thực nghiệm Thí nghiệm đầu tiên được thực hiện tại điểm A bất kỳ bên trong miền giá trị các nhân tố (điểm A có tọa độ x1 (0) , x2 (0) như Hình 12.4 và 12.5). Từ điểm này có thể dịch chuyển theo hướng bất kỳ chứ không phải theo một trong hai hướng như phương pháp vừa khảo sát. Theo vài hướng làm tăng giá trị đáp ứng (hướng 1-4) theo các hướng khác giảm giá trị đáp ứng (5-8). Vị trí điểm tối ưu không được biết, nhưng hướng tốt nhất cần dịch chuyển điểm A là hướng mà hàm đáp ứng tăng nhanh nhất. Hướng đó được gọi là gradient của hàm đáp ứng. Nhận xét rằng trong mỗi điểm
  • 428.
    PHƯƠNG PHÁP QUYHOẠCH THỰC NGHIỆM VÀ TỐI ƯU NHIỀU NHÂN TỐ 429 không gian nhân tố hướng gradient vuông góc với tiếp tuyến đường đồng mức vẽ qua điểm này. Vectơ thành phần của gradient đáp ứng f(x1, x2, ..., xk) là đạo hàm riêng theo các nhân tố:              k 2 1 k 2 1 x f , x f , x f ) x , x , x ( f grad   (12.10) Do đó có thể xác định gradient của một điểm bất kỳ trong không gian nhân tố nếu như biết hàm đáp ứng trong vùng lân cận điểm này. Mô hình toán của hàm đáp ứng có thể thu được bằng phương pháp quy hoạch thực nghiệm (Hình 12.7). Do đó, kết quả thực nghiệm thực hiện theo một miền nào đó của không gian nhân tố có thể đánh giá hướng gardient của hàm đáp ứng. Theo hướng này sẽ dịch chuyển đến điểm cực đại. Trình tự thực hiện theo nhiều bước bởi vì sau mỗi bước hướng gradient hàm đáp ứng sẽ thay đổi. Để đánh giá chúng cần phải tiến hành lại thí nghiệm. Theo phương pháp độ dốc nhất để đánh giá gradient hàm đáp ứng thì người ta sử dụng TNT hoặc TNR. Giả sử rằng trên vùng lân cận của điểm A với các tọa độ x1 (0) , x2 (0) ,…xk (0) ta thực hiện một trong các dạng quy hoạch trên. Điểm A là tâm quy hoạch. Giả sử theo kết quả thực nghiệm ta thu được mô hình tuyến tính như sau: k k 2 2 1 1 o x b x b x b b y       (12.11) Biểu thức (12.11) được viết dưới dạng mã hóa. Từ công thức (12.11) suy ra vectơ gradient đối với mô hình trên là các hệ số tuyến tính:   k 2 1 k 2 1 b , b , b ) x , x , x ( f grad    (12.12) Cho nên với điều kiện thí nghiệm bất kỳ nằm trên đường gradient đi qua điểm ban đầu có thể thu được bằng cách thay giá trị mới nhân tố tại tâm quy hoạch bằng các đại lượng tương ứng hệ số hồi quy mô hình tuyến tính. Các thí nghiệm như trên gọi là thí nghiệm theo đường dốc nhất. Giá trị các nhân tố trong thí nghiệm đường dốc nhất xác định (trong trường hợp tìm cực đại của hàm đáp ứng) theo công thức: (12.13)
  • 429.
    CHƯƠNG 12 430 trong đó: k 2 1, ,     - đoạn thay đổi các nhân tố trong loạt thí nghiệm trước;  - hệ số, xác định chiều dài bước theo hướng cực trị. Sau đó ta tiến hành loạt thí nghiệm tiếp theo, theo kết quả đó ta xác định hướng gradient mới. Thành phần i trong công thức (12.13) là do chúng biểu diễn dạng tự nhiên. Trình tự phương pháp gradient trong thực nghiệm Ta khảo sát trường hợp tìm cực đại hàm đáp ứng. Bước 1. Chọn giá trị các nhân tố tại điểm ban đầu (0) (0) 1 1 x x x   ; x2 = x2 (0) , …, xk = xk (0) . Đó là tâm quy hoạch trong loạt thí nghiệm đầu tiên (Hình 12.5). Vị trí điểm đầu tiên được chọn bởi nhà nghiên cứu theo dự đoán vị trí tối ưu. Chọn miền giá trị các nhân tố trong loạt thí nghiệm này: k 2 1 , ,     . Các miền giá trị này phải nhỏ hơn đáng kể miền giá trị nhân tố tương ứng trong tất cả thực nghiệm vì cần thiết phải đặt loạt thí nghiệm mới trong các vùng khác của không gian nhân tố. Hình 12.5 Bước 2. Với tâm nhân tố tại ) 0 ( X ta tiến hành TNT hoặc TNR (điểm 1 đến 4 trên Hình 12.5).
  • 430.
    PHƯƠNG PHÁP QUYHOẠCH THỰC NGHIỆM VÀ TỐI ƯU NHIỀU NHÂN TỐ 431 Bước 3. Kết quả thực nghiệm được xử lý với mục tiêu nhận được mô hình tuyến tính (phương trình hồi quy bậc 1). Ước lượng ý nghĩa hệ số phương trình hồi quy và kiểm tra tính tương thích mô hình. Bước 4. Với sự trợ giúp công thức (12.12) ta tính điều kiện các thí nghiệm có thể theo đường dốc nhất. Đối với mỗi nhân tố người ta tính tích . b i i  Giả sử nhân tố x1 mà khi đó tích l l b  lớn nhất theo giá trị tuyệt đối được gọi là nhân tố cơ sở. Khi đó ta chọn bước thay đổi 1 trong thí nghiệm độ dốc nhất (chọn giá trị hợp lý đảm bảo tiến hành các bước tiếp theo, ví dụ chọn 1/5 đến 1/10 miền giá trị thay đổi của nhân tố xi). Khi đó dấu l  trùng với dấu của hệ số l b khi tìm cực đại. Còn ngược dấu thì ta tìm cực tiểu hàm đáp ứng. Sau đó ta xác định hệ số  theo công thức: l l l b     (12.14) Sau đó ta tìm giá trị bước đối với từng nhân tố còn lại: i i i b     (12.15) Giá trị có thể nhỏ nhất đối với bước i  được xác định theo điều kiện khác nhau giữa 2 thí nghiệm kế cận của phương pháp độ dốc lớn nhất. Giá trị lớn nhất được hạn chế bằng miền giá trị có thể của nhân tố xi trong thực nghiệm. Tương ứng với công thức (12.12) của điều kiện thí nghiệm đầu tiên được viết: xi (1) = xi (0) + δi, i = 1, 2,…k (12.16) Còn giá trị nhân tố bất kỳ trong mỗi thí nghiệm tiếp theo của phương pháp đường dốc nhất được xác định sau khi thêm giá trị bước tiếp theo vào giá trị của nhân tố đã cho trong thí nghiệm trước đó: xi (2) = xi (1) + δi, (12.17) Bước 5. Thực hiện vài thí nghiệm. Trên Hình 12.5 là các thí nghiệm 5, 6 và 7. Giá trị thu được tốt nhất được lấy làm tâm của quy hoạch mới, sau đó trình tự được lặp lại từ Bước 2. Trên Hình 12.5 thì thí nghiệm tốt nhất là thí nghiệm 6. Các điểm 8 đến 11 tạo thành quy hoạch loạt thí nghiệm mới, theo kết quả của quy hoạch ta tính và thực hiện các thí nghiệm độ dốc nhất 12 đến 15. Bước 6. Dấu hiệu đạt được miền tối ưu là không ý nghĩa của tất cả hệ số hồi quy tuyến tính trên một trong các bước. Trong trường hợp đó trình tự
  • 431.
    CHƯƠNG 12 432 độ dốcnhất kết thúc và để mô tả chi tiết miền tối ưu thông thường sử dụng quy hoạch bậc 2 trong vùng lân cận điểm đạt được tốt nhất. Chú ý: 1. Trong trường hợp tìm giá trị nhỏ nhất của hàm đáp ứng thì theo trình tự trên ở vế phải các công thức (12.15) đến (12.17) ta đặt dấu trừ trước i. 2. Các nhân tố tương ứng với các hệ số không có ý nghĩa trong các thí nghiệm độ dốc nhất không thay đổi. Chúng được đặt ở một giá trị nào đó. thông thường ở mức 0. 3. Trong khi giải bài toán về thực hiện các thí nghiệm tương đương ta chú ý đến kết quả kiểm tra tính tương thích mô hình. Nếu mô hình là tương thích thì ta lập tức chuyển sang thực hiện các thí nghiệm tương đương, khi đó có một nhân tố nào đó nằm ngoài giới hạn miền giá trị các nhân tố trong loạt thí nghiệm trước đó. Mô hình không thương thích có thể sử dụng để quy hoạch phương pháp độ dốc nhất. Nhưng trong trường hợp này tốt nhất bắt đầu từ các thí nghiệm nằm trong miền giá trị các nhân tố. 4. Ứng dụng phương pháp đường dốc nhất đạt hiệu quả nhất nếu như giá trị tuyệt đối của hệ số tuyến tính với mô hình trong các nhân tố được mã hóa, được tính theo kết quả các loạt thí nghiệm kế tiếp, có sự khác nhau không đáng kể. Điều đó có thể đạt được bằng cách chọn các miền thay đổi các nhân tố. 5. Thực hiện các thí nghiệm độ dốc nhất theo các phương pháp khác nhau. Đặc biệt ở đây ta có thể sử dụng một trong các phương pháp một nhân tố để tìm kiếm cực trị, ví dụ phương pháp mặt cắt vàng. 12.2.3. Các ví dụ ứng dụng phương pháp độ dốc nhất trong thực nghiệm Ví dụ 12.4 Ứng dụng phương pháp độ dốc nhất để tối ưu quá trình sấy vật liệu Các nhân tố: X1 (cP - CentiPoise) - độ nhớt có điều kiện chất tải nhiệt X2 (giờ) - thời gian sấy X3 (0 C)- nhiệt độ quá trình sấy. Thông số tối ưu là độ ẩm y (%) mà giá trị cần thiết phải nhỏ nhất. Giải: Điều kiện và kết quả thực nghiệm theo phương pháp đường dốc nhất được trình bày theo Bảng 12.3 (bao gồm ma trận quy hoạch. kết quả và tính toán đường dốc nhất trong loạt thí nghiệm đầu tiên). Từ trên Bảng 12.2 ta thấy rằng tâm quy hoạch là điểm:
  • 432.
    PHƯƠNG PHÁP QUYHOẠCH THỰC NGHIỆM VÀ TỐI ƯU NHIỀU NHÂN TỐ 433 Khoảng thay đổi các nhân tố: Trong loạt thí nghiệm đầu tiên sử dụng TNT 23 , kết quả cho trong Bảng 12.2. Xử lý dữ liệu thí nghiệm cho ta mô hình tuyến tính: 3 2 1 x 01 , 3 x 06 , 4 x 94 , 1 74 , 39 y     Theo hàng 14 Bảng 12.2 chỉ ra giá trị các hệ số hồi quy của mô hình toán. Các hệ số này nhân cho khoảng thay đổi của các nhân tố tương ứng: b11 = 3,88; b22 = –6,09; b33 = –15,05 (hàng 15 Bảng 12.2). Ta chọn nhân tố cơ sở là X3 vì 1 1 2 2 3 3 b b b      . Bước thay đổi của nhân tố này bằng 4 , 7 3    (chọn giá trị hợp lý đảm bảo tiến hành các bước tiếp theo, ví dụ chọn 1/5 đến 1/10 miền giá trị thay đổi của nhân tố X3). Khi chọn đại lượng 3 trong công thức (12.17) là thích hợp, cho nên trong thí nghiệm đầu, trên độ dốc lớn nhất nên chọn ngoài giới hạn miền giá trị các nhân tố. Khi 4 , 7 3    điều đó xảy ra vì 3 3    . Xác định: 492 , 0 05 , 15 4 , 7 b 3 3 3         Nhân tích i i b  cho  ta thu được các giá trị bước thay đổi với các nhân tố còn lại: 1 = 3,88 . 0,492  1,9; 2 = –6,09 . 0,492  –3 Giá trị i cho trong hàng 16 của Bảng 12.2. Tiếp tục các thí nghiệm độ dốc nhất được quy hoạch. Cần nhớ rằng ta cần tìm giá trị nhỏ nhất của thông số tối ưu, các giá trị, các nhân tố trong các thí nghiệm này nhận được bằng cách trừ mức cơ sở nhân tố cho giá trị bước: i ) 0 ( i ) 1 ( i X X    ; ... 2 X X X i ) 0 ( i i ) 1 ( i ) 2 ( i       (12.18) Kết quả tính toán các thí nghiệm độ dốc nhất cho trong hàng 18 đến 21 Bảng 12.2. Ta thấy rằng đầu tiên đáp ứng là tốt nhất từ loạt thí nghiệm trước đó, điều đó chứng tỏ tính hiệu quả của quy trình độ dốc nhất. Trong thí nghiệm 12 đáp ứng bắt đầu tăng. cho nên ta dừng thí nghiệm. Thí nghiệm thứ 11 là tốt nhất, do đó sử dụng chúng làm tâm của quy hoạch
  • 433.
    CHƯƠNG 12 434 mới. Cácdữ liệu cho loạt thí nghiệm thứ 2 đưa ra trong Bảng 12.3 có cấu trúc tương tự Bảng 12.2. Bảng 12.2 No Thông số Giá trị tự nhiên các nhân tố Giá trị đáp ứng y (%) Nhận xét X1 (cP) X2 (giờ) X3 (o C) 1 Mức cơ sở o i X 26 5,5 45 – 2 Khoảng thay đổi i 2 1,5 5 – 3 Mức cao 28 7 50 – 4 Mức thấp 24 4 40 – 5 Số thí nghiệm Giá trị được mã hóa các nhân tố x1 x2 x3 6 1 – – – 46,8 Thí nghiệm TNT 7 3 + - – 47 8 3 – + – 36 9 4 + + – 41,2 18 5 – – + 39,4 11 6 + – + 42 12 7 – + + 29 13 8 + + + 36,5 14 Hệ số hồi quy bi 1,94 -4,06 -3,01 – 15 bii 3,88 -6,09 -15,05 – 16 Bước thay đổi i 1,9 -3 -7,4 –  = 0,492 17 Số thí nghiệm Giá trị tự nhiên các nhân tố X1 (cP) X2 (giờ) X3 (o C) 18 9 24,1 8,5 52,4 22,7 Thí nghiệm độ dốc nhất 19 10 22,2 11,5 59,8 15 20 11 20,3 14,5 67,2 7,4 21 12 18,4 17,5 74,6 8,9 Trong loạt thí nghiệm mới, ta vẫn giữ các khoảng giá trị nhân tố như cũ, theo kết quả thực hiện thực nghiệm nhân tố toàn phần (TNT - thí nghiệm 13 đến 20 trong Bảng 12.3) ta thu được phương trình hồi quy bậc 1: y = 7,34 + 1,01x1 – 0,31x2 + 1,09x3 Nhân tố cơ sở ta chọn là X3. Bước thay đổi ta chọn 3 = 5,4. Khi đó:
  • 434.
    PHƯƠNG PHÁP QUYHOẠCH THỰC NGHIỆM VÀ TỐI ƯU NHIỀU NHÂN TỐ 435 1 b 3 3 3      (12.19) Tương tự trường hợp trước, ta tính bước thay đổi cho các nhân tố còn lại và các điều kiện thí nghiệm đường dốc nhất (hàng 17 đến 19 Bảng 12.3). Thí nghiệm đầu tiên cho kết quả tốt nhất - giá trị nhỏ nhất nhân tố (thí nghiệm 21 Bảng 12.3). Trong thí nghiệm sau đó giá trị đáp ứng tăng lên. cho nên điều kiện tối ưu cho thí nghiệm 21: X1 = 18,3 cP; X2 = 15 giờ; X3 = 61,8 o C Bảng 12.3 No Thông số Giá trị tự nhiên các nhân tố Giá trị đáp ứng y, % Nhận xét X1 (cP) X2 (giờ) X3 (o C) 1 Mức cơ sở o i X 20,3 14,5 67,2 – 2 Khoảng thay đổi i 2 1,5 5 – 3 Mức cao 22,3 13 72,2 – 4 Mức thấp 18,3 16 62,2 – 5 Số thí nghiệm Giá trị được mã hóa các nhân tố x1 x2 x3 6 1 – – – 6,4 Các thí nghiệm TNT 7 2 + – – 6,5 8 3 – + – 4 9 4 + + – 8,1 10 5 – – + 6,9 11 6 + – + 10,8 12 7 – + + 8 13 8 + + + 8 14 Hệ số hồi quy bi 1,0125 -0,3125 1,0875 – 15 bii 2,025 -0,46875 5,4375 – 16 Bước thay đổi i 2 -0,5 5,4 –  = 1 17 Số thí nghiệm Giá trị tự nhiên các nhân tố x1 x2 x3 18 21 18,3 15 61,8 2,3 Thí nghiệm độ dốc nhất 19 22 16,3 15,5 56,4 5,1
  • 435.
    CHƯƠNG 12 436 Ví dụ12.5 Tìm thành phần tối ưu gang xám GX21 – 40 nhờ vào phương pháp đường dốc nhất và đơn hình. Thông số đầu ra là ứng suất kéo k (MPa). Thành phần đầu tiên cho trong Bảng 12.4. Bảng 12.4 Tên thành phần Thành phần (%) Ký hiệu mã hóa Carbon, C 2,8 x1 Silic, Si 1,8 x2 Mangan, Mn 0,6 x3 Giải: Giả sử lấy các thành phần ban đầu là điểm ở tâm và chọn C = 0,2 %, Si = 0,1 %, Mn = 0,1 %. Bảng 12.5 No Thông số Giá trị tự nhiên các nhân tố Giá trị đáp ứng k (MPa) Nhận xét C (%) Si (%) Mn (%) 1 Mức cơ sở o i X 2,8 1,8 0,6 – 2 Khoảng thay đổi i 0,2 0,1 0,1 – 3 Mức cao 3,0 1,9 0,7 – 4 Mức thấp 2,6 1,7 0,5 – 5 Số thí nghiệm Giá trị được mã hóa các nhân tố x1 x2 x3 6 1 – – + 211,21 Các thí nghiệm TNT 7 2 + – – 192,22 8 3 – + – 228,47 9 4 + + + 214,25 14 Hệ số hồi quy bi 9,8275 -8,3075 1,1975 – 15 bii 1,96550 -0,83075 0,11975 – 16 Bước thay đổi i. % 0,15 -0,0634 0,0091 – 17 Số thí nghiệm Giá trị tự nhiên các nhân tố Thí nghiệm độ dốc nhất C (%) Si (%) Mn (%) 18 1 2,950 1,737 0,609 234,76 Theo 10 thí nghiệm mỗi mức, tổng cộng 30 thí nghiệm 19 2 3,100 1,673 0,618 246,42 20 3 3,250 1,610 0,627 250,39
  • 436.
    PHƯƠNG PHÁP QUYHOẠCH THỰC NGHIỆM VÀ TỐI ƯU NHIỀU NHÂN TỐ 437 Xác định các hệ số PTHQ theo các bước 6, 7, 8 và 9 bằng các công thức:         0 1 2 3 1 b 21,425 22,847 19,22 21,121 21,1533; 4 1 b 21,425 22,847 19,22 21,121 0,98275; 4 1 b 21,425 22,847 19,22 21,121 0,83075; 4 1 b 21,425 22,847 19,22 21,121 0,11975; 4                      Sau đó ta tính: 1 1 2 2 3 3 b x 0,98275. 0,2 0,19655 b x 0,83075.0,1 0,083075 b x 0,11975. 0,1 0,011975            Tiếp theo ta xác định: 2 3 0,19655 1,31033 0,15 0,083075 0,0633999 1,31033 0,011975 0,0091389 1,31033            Sau khi phân tích, thành phần tối ưu trong gang xám GX21 – 40 là: C 3,250 % Si 1,610 % Mn 0,627 %    12.3. PHƯƠNG PHÁP ĐƠN HÌNH (Simplex method) Ta sử dụng phương pháp đơn hình tương tự phương pháp độ dốc nhất để giải bài toán tối ưu thực nghiệm. Cả hai phương pháp đều dựa trên cơ sở dịch chuyển về hướng gradient của hàm đáp ứng. Phương pháp độ dốc nhất được sử dụng trong các bài toán nghiên cứu, ví dụ như tối ưu hóa quá trình công nghệ trong điều kiện sản xuất. Khi số nhân tố lớn và tồn tại nhân tố nhiễu thì phương pháp đơn hình hiệu quả hơn phương pháp đường dốc nhất.
  • 437.
    CHƯƠNG 12 438 12.3.1. Giớithiệu phương pháp đơn hình Khảo sát chi tiết phương pháp tốt nhất bắt đầu từ trường hợp hai nhân tố thay đổi, bởi vì ở đây có thể nội suy hình học thuận tiện hơn. Đối với các nhân tố mã hóa x1 và x2 ta khảo sát không gian nhân tố và thêm vào đường đồng mức. Giả sử mục tiêu thực nghiệm là tìm cực đại của hàm số hai nhân tố x1 và x2. Trên Hình 12.8b điểm tối ưu có tọa độ x1opt và x2opt. Khi hai nhân tố thay đổi các thí nghiệm của loạt thí nghiệm đầu tiên theo phương pháp đơn hình được đặt tại đỉnh của tam giác đều (thực nghiệm 1, 2 và 3 Hình 12.8) với tâm của tam giác là một đại lượng ban đầu o x cho trước. Từ kết quả các thí nghiệm trên ta chọn giá trị xấu nhất của y. Trong trường hợp trên thì rõ ràng rằng thí nghiệm 2 có giá trị y nhỏ hơn so với các thí nghiệm 1 và 3. Tiếp theo ta xây dựng tam giác mới có hai đỉnh trùng với hai đỉnh 1 và 3 của tam giác trước đó và đỉnh 4 đối xứng với đỉnh “xấu nhất” 2 đối với cạnh 1-3. Tam giác mới là 1-4-3. Ta thực hiện thí nghiệm tiếp theo tại điểm 4. Từ các thí nghiệm 1-4-3 tương ứng với các đỉnh của tam giác mới, ta chọn thí nghiệm xấu nhất. Giả sử đó là thí nghiệm 1, khi đó đỉnh mới 5 của tam giác mới sẽ đối xứng với điểm 1 qua cạnh 4-3. Tại điểm 5, ta thực hiện thí nghiệm tiếp theo,... tiến hành theo quy luật đó dẫn đến vị trí tối ưu. Ta khảo sát phương pháp trên với trường hợp số nhân tố bất kỳ. Trong không gian 3 chiều là tứ diện đều cho nên đối với trường hợp 3 nhân tố là loạt thí nghiệm ban đầu bao gồm 4 thí nghiệm nằm trên các đỉnh của tứ diện đều. Các thí nghiệm sau đó thực hiện theo đỉnh của tứ diện đều mới, đối xứng với điểm xấu nhất của tứ diện trước đó. Với k nhân tố bất kỳ thì đa diện lồi đơn giản nhất trong không gian k chiều có k + 1 đỉnh. Ví dụ, tam giác trong mặt phẳng hoặc tứ diện trong không gian 3 chiều. Đơn hình gọi là đều nếu như tất cả các cạnh bằng nhau. Tuy nhiên, khi thực hiện về phía điểm tối ưu có trường hợp đỉnh mới trở thành điểm xấu nhất, trong thí nghiệm sau đó thì điểm mới lại trùng với điểm trước đó. Ví dụ trong trường hợp đơn hình 11-12-13 trong Hình 12.8b, điểm xấu nhất là 12, đối xứng 12 qua cạnh 11-13 là điểm 21, nhưng điểm 21 lại là điểm xấu nhất và đối xứng với nó chính là điểm 12 đã tiến hành thí nghiệm. Trong trường hợp đó ta chọn điểm tốt hơn điểm 12 nhưng xấu hơn các điểm còn lại trong trường hợp này là điểm 11. Đối với quy hoạch đơn hình để tìm điểm tối ưu ta cần phải: 1. Xây dựng ma trận đơn hình ban đầu. 2. Thực hiện dịch chuyển về điểm tối ưu, sử dụng quy luật đối xứng điểm có giá trị xấu nhất tham số tối ưu.
  • 438.
    PHƯƠNG PHÁP QUYHOẠCH THỰC NGHIỆM VÀ TỐI ƯU NHIỀU NHÂN TỐ 439 3. Xác định thời điểm đạt đến vị trí tối ưu. Quan trọng là biết chuyển từ quy hoạch đơn hình sang quy hoạch thực nghiệm dùng để mô tả miền tối ưu. a) b) Hình 12.8 Tìm điểm lớn nhất trong trường hợp 2 nhân tố 12.3.2. Mã hóa và xây dựng đơn hình ban đầu Mã hóa đơn hình Trong giai đoạn đầu, ma trận đơn hình đầu tiên được xây dựng từ các nhân tố được mã hóa. Khi đó tâm đơn hình chuyển đến gốc tọa độ, đỉnh xk+1 trên trục xk và các đỉnh còn lại đối xứng với các trục tọa độ. Trên Hình 12.9 ta có vị trí các đỉnh trong trường hợp 2 và 3 nhân tố. Khi đó tọa độ các đỉnh đơn hình bằng bán kính đường tròn hoặc siêu cầu nội và ngoại tiếp. Ví dụ theo Hình 12.9a, tọa độ đỉnh V1 đơn hình hai nhân tố (–R1, –r2). đỉnh V2 – (R1, –r2) và đỉnh V3 –(0, R2). Hình 12.9 Sơ đồ đơn hình ban đầu V1 V2
  • 439.
    CHƯƠNG 12 440 Trong trườnghợp tổng quát tọa độ các đỉnh của đơn hình ban đầu k nhân tố được xác định theo các hàng của ma trận sau (giá trị ri, Ri trong Bảng 12.6): 1 2 3 4 k 1 2 3 4 k 2 3 4 k 3 4 k 4 k k r r r r r R r r r r 0 R r r r C 0 0 R r r 0 0 0 R r 0 0 0 0 R                                       (12.20) Nếu chiều dài cạnh đơn hình bằng 1, thì bán kính hình cầu nội và ngoại tiếp được xác định theo các công thức sau:     i i 1 i r ; R 2i i 1 2 i 1     (12.21) trong đó: i = 1, 2, 3,...k. Theo Bảng 12.6 ta có tọa độ được mã hóa của đơn hình ban đầu khi k = 10. Nếu k < 10 thì tọa độ của nó có thể nhận theo bảng này nhưng chỉ lấy k cột đầu tiên và k + 1 hàng. Trong bảng này thì N tương ứng với số thí nghiệm trong loạt đầu tiên. Bảng 12.6 N Các nhân tố mã hóa x1 x2 x3 x4 x5 x6 x7 x8 x9 x10 r1 r2 r3 r4 r5 r6 r7 r8 r9 r10 1 -0,5 -0,289 -0,204 -0,158 -0,129 -0,109 -0,095 -0,083 -0,075 -0,067 2 0,5=R1 -0,289 -0,204 -0,158 -0,129 -0,109 -0,095 -0,083 -0,075 -0,067 3 0 0,577=R2 -0,204 -0,158 -0,129 -0,109 -0,095 -0,083 -0,075 -0,067 4 0 0 0,612=R3 -0,158 -0,129 -0,109 -0,095 -0,083 -0,075 -0,067 5 0 0 0 0,632=R4 -0,129 -0,109 -0,095 -0,083 -0,075 -0,067 6 0 0 0 0 0,645=R5 -0,109 -0,095 -0,083 -0,075 -0,067 7 0 0 0 0 0 0,655=R6 -0,095 -0,083 -0,075 -0,067 8 0 0 0 0 0 0 0,661=R7 -0,083 -0,075 -0,067 9 0 0 0 0 0 0 0 0,667=R8 -0,075 -0,067 10 0 0 0 0 0 0 0 0 0,671=R9 -0,067 11 0 0 0 0 0 0 0 0 0 0,674=R10
  • 440.
    PHƯƠNG PHÁP QUYHOẠCH THỰC NGHIỆM VÀ TỐI ƯU NHIỀU NHÂN TỐ 441 Xây dựng ma trận đơn hình ban đầu Khi dịch chuyển về miền tối ưu tốt nhất nên sử dụng tỷ lệ tự nhiên các nhân tố. Khi đó tọa độ đơn hình ban đầu chuyển từ dạng mã hóa sang tự nhiên. Đối với mỗi nhân tố i đưa ra mức cơ sở xio và khoảng thay đổi nhân tố (biến) xi thì (Hình 12.10a): xij = xio + Cijxi (12.22a) trong đó: xi0- tọa độ tâm đơn hình; xi - khoảng thay đổi nhân tố (biến) thứ i; Cij- giá trị mã hóa nhân tố (biến) thứ i trong thực nghiệm thứ j, tính theo công thức (12.21) hoặc tra Bảng 12.6 (tương ứng giá trị ri, Ri); xij - giá trị nhân tố thứ i trong thí nghiệm thứ j dạng tự nhiên. a) Tổng quát b) Đơn hình đều Hình 12.10 Đơn hình 2 nhân tố Tọa độ các đỉnh đơn hình đều cho trường hợp 2 nhân tố (biến) được xác định từ công thức (12.22a) (tham khảo Hình 12.10b): - Giá trị tính toán (thí nghiệm) thứ nhất V1: 11 10 1 1 21 20 2 2 x x r x x x r x       (12.22b) - Tính toán (thí nghiệm) thứ hai V2: 12 10 1 1 22 20 2 2 x x R x x x r x       (12.22c) - Tính toán (thí nghiệm) thứ ba V3: 13 10 23 20 2 2 x x 0 x x R x      (12.22d)
  • 441.
    CHƯƠNG 12 442 Ngoài cácđơn hình ban đầu như Bảng 12.6 ta còn sử dụng một số đơn hình không đều như Bảng 12.7 đến 12.11. Bảng 12.7 Đơn hình ban đầu khi k = 2 No x1 x2 1 2 3 –1 +1 +1 –1 –1 +1 Bảng 12.8 Đơn hình ban đầu khi k = 3 N x1 x2 x3 1 2 3 4 –1 +1 –1 +1 –1 –1 +1 +1 +1 –1 –1 +1 Bảng 12.9 Đơn hình ban đầu khi k = 4 No x1 x2 x3 x4 1 2 3 4 5 –1 +1 +1 +1 –0,618 +1 –1 +1 +1 –0,618 +1 +1 –1 +1 –0,618 +1 +1 +1 –1 –0,618 Bảng 12.10 Đơn hình ban đầu khi k = 5 No x1 x2 x3 x4 x5 1 2 3 4 5 6 –0,0488 0,8139 –1 –1 +1 +1 +1 –0,0488 0,8139 –1 –1 +1 –1 –1 –0,0488 0,8139 –1 +1 –1 –1 +1 –0,0488 0,8139 +1 0,8139 –1 –1 +1 –0,0488 +1
  • 442.
    PHƯƠNG PHÁP QUYHOẠCH THỰC NGHIỆM VÀ TỐI ƯU NHIỀU NHÂN TỐ 443 Bảng 12.11 Đơn hình ban đầu khi k = 6 No x1 x2 x3 x4 x5 x6 1 2 3 4 5 6 7 0 +1 +1 –1 –1 –0,707 0,707 +1 0 –1 +1 –1 –0,707 0,707 +1 –1 0 –1 +1 –0,707 0,707 –1 +1 –1 0 +1 –0,707 0,707 –1 –1 +1 +1 0 –0,707 0,707 +1 +1 +1 +1 +1 –1 –1 Bảng 12.12 Đơn hình ban đầu khi k = 7 No x1 x2 x3 x4 x5 x6 x7 1 2 3 4 5 6 7 8 –1 +1 –1 +1 –1 +1 –1 +1 –1 –1 +1 +1 –1 –1 +1 +1 –1 –1 –1 –1 +1 +1 +1 +1 +1 –1 –1 +1 +1 –1 –1 +1 +1 –1 +1 –1 –1 +1 –1 +1 +1 +1 –1 –1 –1 –1 +1 +1 –1 +1 +1 –1 +1 –1 –1 +1 12.3.3. Dịch chuyển về điểm tối ưu Ta xây dựng đơn hình đều đối với nhân tố bất kỳ. Ở đây đơn hình được sử dụng là quy hoạch đối với loạt thí nghiệm đầu tiên, ta đưa chúng về dạng các ma trận bình thường dưới dạng mã hóa các nhân tố dịch chuyển của đơn hình trong miền tối ưu thực hiện theo quy tắc đối xứng. Khi đó đỉnh của đơn hình có giá trị xấu nhất của tham số tối ưu được loại bỏ và thay bằng đỉnh mới, đối xứng qua cạnh đối diện của đỉnh được loại bỏ. Tọa độ của đỉnh mới ở dạng tự nhiên: k 1 in ij ir j 1 2 x x x , i j k       (12.23) trong đó: xin - tọa độ đỉnh mới theo trục xi của đơn hình k nhân tố; xir - tọa độ đỉnh có giá trị xấu nhất tham số tối ưu được thay thế; - tổng tọa độ (theo trục xi) các nhân tố ngoại trừ xir.
  • 443.
    CHƯƠNG 12 444 Sau khiđạt được vị trí tối ưu ta có thể kiểm tra vị trí điểm tối ưu bằng cách sử dụng quy hoạch thực nghiệm bậc 2 với miền giá trí các nhân tố lân cận điểm tối ưu. 12.3.4. Các ví dụ Ví dụ 12.6 Sử dụng phương pháp đơn hình tìm giá trị tối ưu hàm 2 2 1 1 2 2 y 4 12x x 30x 3x      Giải: Minh họa theo Hình 12.11. 1. Cho trước x10 = 3; x20 = -1 và chọn x1 = 1; x2 = 1,5 2. Tìm r1, R1, r2, R2 theo công thức (12.21):     1 1 1 1 r 0,5; R 0,5 2.1 1 1 2 1 1           2 2 1 2 r 0,289; R 0,577 2.2 2 1 2 2 1       3. Các đỉnh tính toán đơn hình ban đầu công thức (12.22b, c, d): Đỉnh 1: x11 = 3 + 0,5 . 1 = 3,5 x21 = -1 + 0,289 . 1,5 = -0,565 Đỉnh 2: x12 = 3 - 0,5 . 1 = 2,5 x22 = -1 + 0,289 . 1,5 = -0,565 Đinh 3: x13 = 3 + 0 = 3,0 x23 = -1 - 0,577 . 1,5 = -1,865 4. Tính được các kết quả y1 = 15,84; y2 = 9,78; y3 = -35,5 Khi đó y3= -35,5 là nhỏ nhất. 5. Tính tọa độ đối xứng điểm nhỏ nhất theo công thức (12.23):
  • 444.
    PHƯƠNG PHÁP QUYHOẠCH THỰC NGHIỆM VÀ TỐI ƯU NHIỀU NHÂN TỐ 445     14 24 2 3,5 2,5 x 3 3; 2 2 0,565 0,565 x 1,865 0,735 2          Từ đây: y4 = 52,1, so sánh y1, y2, y4 thì đỉnh 2 (y2 = 9,78) có giá trị nhỏ nhất, và đỉnh 5 đối xứng qua 1-4. 6. Tính tọa độ và giá trị đỉnh thứ 5 theo công thức (12.23): x15 = 4; x25 = 0,735; y5 = 57,1. So sánh y1, y4, y5 thì đỉnh 1 có giá trị nhỏ nhất, và đỉnh 6 đối xứng qua 2-5. x16 = 3,5; x26 = 2,035; y6 = 82,6 7. Loại bỏ đỉnh 4, tiếp tục tính đỉnh 7 có tọa độ: 7(4,5; 2,035) và tính y7. Quá trình lặp lại và lần lượt tính các điểm 8(4; 3,3); 9(5; 3,3); 10(4,5; 4,8); 11(5,5; 4,8) Và tính các giá trị: y9 = 105; y10 = 113; y11 = 112,32 Tìm tọa độ đỉnh 12:     112 212 12 2 4,5 5,5 x 5 5; 2 2 4,6 4,6 x 3,3 5,9; 2 y 111          Do đỉnh 12 kết quả nhỏ hơn 10 và 11. Nên trở về tam giác 9-10-11 và thay vì đã chọn 9 ta chọn 10 là kết quả xấu nhất và thực hiện thí nghiệm 13.     113 213 13 2 5 5,5 x 4,5 6; 2 2 5,3 4,6 x 4,6 3,3; 2 y 106         
  • 445.
    CHƯƠNG 12 446 Theo đơnhình 1-10-11 thì 9 là nhỏ nhất. 9 (5; 3,3); 10 (5,5; 4,6) và 13 (6; 3,3) Hình 12.11 Xác định tọa độ tối ưu theo phương pháp đơn hình Ta thay đỉnh 9 bằng 14:     114 214 14 2 5,5 6 x 5 6,5; 2 2 4,6 3,3 x 3,3 4,6; 2 y 114,21          Theo kết quả tính 11, 13 và 14 ta có: y11 = 112,32; y13 = 106 và y14 = 114,21. Ta thay đỉnh 13 bằng 15:     115 215 15 2 5,5 6,5 x 6 6; 2 2 4,6 4,6 x 3,3 5,9; 2 y 112          Giá trị này nhỏ hơn 11 và 14 nên ta thay 11 bằng 16:     116 216 16 2 6,5 6 x 5,5 7; 2 2 4,6 5,9 x 4,6 5,9; 2 y 111         
  • 446.
    PHƯƠNG PHÁP QUYHOẠCH THỰC NGHIỆM VÀ TỐI ƯU NHIỀU NHÂN TỐ 447 Giá trị này nhỏ hơn 11 và 15 nên ta thay 14 bằng 17:     117 217 2 5,5 6 x 6,5 5; 2 2 4,6 5,9 x 4,6 5,9; 2         Giá trị đỉnh 17 và 12 trùng nhau y17 = y12 = 111. Do đó giá trị cực trị nằm trong đơn hình này. 1 2 x 6,5; x 4,6; y 114,21    So sánh phương pháp đạo hàm riêng có nghiệm: 1 2 x 6; x 5; y 115    Giải: Mức cơ sở và đoạn thay đổi của nhân tố dạng tự nhiên cho trong Bảng 12.13. Bảng 12.13 Điều kiện thực nghiệm Giới hạn thay đổi Các nhân tố (nhân tố mã hóa) h (x1) v (x2) s (x3)  (x4) Mức cơ sở Đoạn thay đổi 7 2 30 10 0,5 0,2 0,05 0,03 Để xác định tọa độ đỉnh của đơn hình ban đầu, ta sử dụng Bảng 12.6 với 4 cột và 5 hàng. Tính toán tiến hành theo công thức (12.22). Kết quả tính tọa độ đỉnh của đơn hình cho trong Bảng 12.14. Bảng 12.14 Đơn hình ban đầu STT Các nhân tố mã hóa Tự nhiên x1 x2 x3 x4 h v s  1 -0,5 -0,289 -0,204 -0,158 6 27,1 0,46 0,045 2 0,5 -0,289 -0,204 -0,158 8 27,1 0,46 0,045 3 0 0,578 -0,204 -0,158 7 35,8 0,46 0,045 4 0 0 0,612 -0,158 7 30 0,62 0,045 5 0 0 0 0,632 7 30 0,5 0,069 Ví dụ 12.7 Xác định điều kiện tối ưu cho quá trình mài không tâm con lăn có đường kính 20mm từ thép Cr15. Thông số tối ưu trong trường hợp này là độ không tròn của chi tiết được mài N (m). Các nhân tố thay đổi bao gồm: độ vượt khỏi trục phôi h (mm); vận tốc vòng v (m/min); lượng gia công mỗi vòng  (mm); lượng chạy dao ngang s (m/min).
  • 447.
    CHƯƠNG 12 448 Kết quảtìm tối ưu bằng phương pháp quy hoạch đơn hình trình bày trong Bảng 12.15. Giá trị h là giá trị trung bình số học độ không tròn 5 chi tiết được mài trong điều kiện như nhau. Trong 5 thí nghiệm đầu tiên thì thí nghiệm 1 cho ra kết quả xấu nhất (H lớn nhất). Do đó thay đỉnh 1 bằng đỉnh mới 6, tọa độ đỉnh này được xác định như sau theo công thức (12.23):   16 12 13 14 15 11 2 x x x x x x 4      16 2 x (8 7 7 7) 6 8,5 4       Tương tự: 36 2 x (27,1 35,8 30 30) 27,1 34,4 4       36 2 x (0,46 0,46 0,62 0,5) 0,46 0,56 4       46 2 x (0,045 0,045 0,045 0,069) 0,045 0,057 4       Tương tự với các đơn hình tiếp theo. Sau 15 thí nghiệm thì kết quả H lại tăng lên, đến thí nghiệm 21 các tham số tối ưu không tốt hơn. Cho nên ta có thể chọn các thông số tối ưu cho bài toán này như sau: h = 11 mm; v = 43 m/min; s = 0,8 mm/min;  = 0,1 mm. Trong quá trình tìm điểm tối ưu theo phương pháp quy hoạch đơn hình có thể nảy sinh ra trường hợp ta cần thêm vào thí nghiệm một nhân tố mới. Khi đó đơn hình k nhân tố trở thành k + 1 nhân tố. Đỉnh thứ k + 2 của đơn hình k + 1 nhân tố được xác định theo các công thức sau: Giả sử ta đã tiến hành N thí nghiệm:      N m u iu i ) 1 N ( X 1 k 1 X (12.24)   1 k t 1 k ) 1 k )( 1 N ( ) R r ( X X X         (12.25) N > k + 1; m = N – k – 1; i = 1, 2,...k
  • 448.
    PHƯƠNG PHÁP QUYHOẠCH THỰC NGHIỆM VÀ TỐI ƯU NHIỀU NHÂN TỐ 449 trong đó: ) 1 k )( 1 N ( X   - tọa độ đỉnh mới của đơn hình theo trục nhân tố k + 1; t 1 k X  - mức nhân tố thứ k + 1 đã xác định trong các thí nghiệm trước đó; 1 k X   - đoạn thay đổi của nhân tố k + 1 được chọn; rk+1, Rk+1 - mã số nhân tố (k + 1), lấy theo Bảng 12.5 hoặc tính theo công thức (12.21) nếu k > 10. Bảng 12.15 Quy hoạch đơn hình và kết quả tối ưu Số thí nghiệm Đơn hình Đỉnh bị loại h v s  Độ không tròn (m) s1 2 3 4 5 6 7 8 9 10 11 12 13 14 15 16 17 18 19 20 21 1-2-3-4-5 1-2-3-4-5 1-2-3-4-5 1-2-3-4-5 1-2-3-4-5 2-3-4-5-6 2-3-7-5-6 2-8-7-5-6 9-8-7-5-6 9-8-7-10-6 9-8-7-10-11 9-8-12-10-11 9-13-12-10-11 14-13-12-10-11 14-13-12-15-11 14-13-12-15-16 14-13-17-15-16 14-18-17-15-16 14-18-19-15-16 14-18-19-15-20 14-15-18-20-21 – – – – – 1 4 3 2 5 6 7 8 9 10 11 12 13 17 16 19 6 8 7 7 7 8,5 8,25 8,87 8,31 9,96 9,19 9,92 9,82 11,14 11,07 11,73 11,96 13,33 11,57 11,73 11,66 27,1 27,1 35,8 30 30 34,4 33,7 32,6 38,2 39,5 37,6 40,3 45,3 43 43,6 48,5 49,9 47,2 51,6 44,2 37,4 0,46 0,46 0,46 0,62 0,5 0,56 0,53 0,57 0,66 0,66 0,65 0,74 0,79 0,78 0,82 0,89 0,9 0,9 0,98 0,85 0,69 0,045 0,045 0,045 0,045 0,069 0,057 0,063 0,072 0,086 0,070 0,089 0,096 0,099 0,091 0,117 0,112 0,113 0,117 0,138 0,119 0,084 4,8 4 4,2 4,5 3,9 3,7 3,2 2,8 2,3 2,2 1,8 1,2 0,8 0,7 0,7 0,8 0,9 0,8 1,1 0,7 1,6 Ví dụ 12.8 Tối ưu điều kiện mài không tâm con lăn đường kính d = 30 mm từ thép Cr15. Thông số tối ưu là độ không tròn H của chi tiết (m), các nhân tố sau đây là cố định: lượng chạy dao ngang s = 0,1 mm/min, và lượng gia công mỗi vòng  = 0,05 mm.
  • 449.
    CHƯƠNG 12 450 Giải: Thông sốtối ưu là độ không tròn H chi tiết được mài (m), các nhân tố thay đổi: độ vượt khỏi trục phôi h (mm) và vận tốc vòng v (m/min). Mức cơ sở và đoạn thay đổi trong Bảng 12.16. Bảng 12.16 Đoạn thay đổi Nhân tố (nhân tố mã hóa) v (x1) h (x2) δ(x3)- từ thí nghiệm 11 Mức cơ sở Đoạn thay đổi 25 5 8,67 2,3 0,045 0,025 Để thu được đơn hình, đầu tiên ta sử dụng các nhân tố mã hóa theo Bảng 12.6, đối với nhân tố x2: r2 = –0,289 và R2 = –0,578. Mong muốn là ở tỷ lệ tự nhiên thì khoảng cách giữa các đỉnh đơn hình theo trục x2 bằng 2 mm. Khi đó: mm 3 , 2 289 , 0 578 , 0 2 X2     Hình 12.12
  • 450.
    PHƯƠNG PHÁP QUYHOẠCH THỰC NGHIỆM VÀ TỐI ƯU NHIỀU NHÂN TỐ 451 Cho giá trị nhỏ nhất h = 8 mm, ta nhận được X20 = 8 + 2,3.0,289 = 8,67 mm. Kết quả tìm nhân tố h và v cho trong Bảng 12.15 và Hình 12.12. Rõ ràng rằng, tối ưu theo các tham số h và v thực hiện đến 19 thí nghiệm (số thí nghiệm trong vòng tròn và bên ngoài kết quả thí nghiệm). Dịch chuyển tiếp tục bằng cách loại bỏ các đỉnh 7 và 8 dẫn đến làm xấu đi kết quả. Khi đó thông số tối ưu bắt đầu tăng lên. Do đó ta đưa vào thí nghiệm thêm một nhân tố  từ thí nghiệm số 11. Khi đó đơn hình 7-8-9 được bổ sung thêm một đỉnh, tọa độ được tính theo công thức (12.24) và (12.25): h12 = mm 3 , 15 3 ) 16 14 14 (    mm 06 , 0 ) 612 , 0 204 , 0 ( 025 , 0 05 , 0 12       Sau thí nghiệm thứ 16, ta thực hiện các thí nghiệm 17, 18, 19 tham số tối ưu không tốt hơn và khi đó ta kết thúc thí nghiệm. Như thế giá trị các nhân tố để thu được tham số tối ưu là: h = 15,2 mm; v = 40,9 m/min;  = 0,073 mm. Bảng 12.15 Kết quả tìm nghiệm tối ưu No Đơn hình Đỉnh bị loại v h  H 1 2 3 4 5 6 7 8 9 10 11 12 13 14 15 16 17 18 19 1-2-3 1-2-3 1-2-3 1-4-3 5-4-3 5-4-6 5-7-6 8-7-6 8-7-9 8-10-9 11-7-9 7-8-9-12 13-8-9-12 13-14-9-12 13-14-15-12 16-14-15-12 16-14-15-17 16-18-15-17 16-18-15-19 – – – 2 1 3 4 5 6 7 8 – 7 8 9 13 12 14 17 30 20 25 35 30 40 35 45 40 50 30 40 48,4 40,6 46 36 41,8 42 40,9 8 8 10 10 12 12 14 14 16 16 16 15,3 16,2 17,7 16,8 17 19 17,5 15,2 0,05 0,05 0,05 0,05 0,05 0,05 0,05 0,05 0,05 0,05 0,05 0,06 0,057 0,061 0,069 0,070 0,073 0,080 0,073 4,3 4,5 3,5 3,2 2,8 2,4 2 1,8 1,1 2,4 2,3 0,9 1 0,8 0,7 0,6 0,75 0,65 0,6
  • 451.
    CHƯƠNG 12 452 12.3.5. Phươngpháp tìm kiếm đơn hình (simplex search method, S2) Phương pháp này có những ưu điểm sau [49]: 1. Cách tính đơn giản và logic không quá phức tạp cho nên việc lập trình trên máy tính sẽ ngắn gọn. 2. Bộ nhớ yêu cầu ít. 3. Chỉ cần cung cấp một số ít tham số điều chỉnh như . Các điểm đơn hình được xác định theo công thức sau: ( ) 1 ( ) ( ) 2 , ,             i j i j i j x i j x x i j (12.26) trong đó: 1/2 1 ( 1) 1 2               N N N (12.27) 1/2 2 ( 1) 1 2              N N (12.28) (12.29) ( ) ( ) 2   j j new c old x x x (12.30) Phương pháp này có những nhược điểm sau: 1. Bước nhảy  giống nhau, không có việc thu nhỏ theo giá trị biến. 2. Thuật toán chậm vì nó không dùng giá trị tính ở lần lặp trước để tăng tốc bước tính. 3. Không có cách nào mở rộng phương pháp mà không làm lại toàn bộ mẫu có sẵn. Để loại bỏ phần nào những nhược điểm này, phương pháp đơn hình được hiệu chỉnh bởi Nelder và Mead [49]. Phương pháp này yêu cầu giá trị cao nhất của hàm mục tiêu x(h) và điểm kế tiếp cao nhất x(g) , điểm tạo ra giá trị thấp nhất của hàm mục tiêu x(l) , tương ứng với nó là f (h) , f (g) , và f (l) . Khi đó: ( ) ( ) (1 )( )      h h c x x x x (12.31)
  • 452.
    PHƯƠNG PHÁP QUYHOẠCH THỰC NGHIỆM VÀ TỐI ƯU NHIỀU NHÂN TỐ 453 Nếu ta đặt  = 1, ta có phương pháp đơn hình như cũ, nghĩa là xnew cách xc một khoảng ( )  j c x x . Khi –1   < 1, ta tạo ra sự co ngắn khoảng cách đó, và khi  > 1 ta tạo ra sự dãn dài của khoảng cách đó. Ta có thể gọi 3 giá trị này là ,  và  tương ứng với sự không thay đổi, thu nhỏ, và dãn dài của khoảng cách. Nelder và Mead đề nghị rằng  = 1,  = 0,5, và  = 2. Đầu tiên phương pháp đơn hình được tiến hành bình thường, sau đó kiểm tra điều kiện hội tụ, nếu đã hội tụ thì kết thúc bài toán, nếu chưa thì tiến hành bước lặp với: -  nếu ( ) ( ) ( )   l g new f f x f -  nếu ( ) ( ) ( )   h g new f f x f hoặc ( ) ( ) ( )   g h new f f x f (12.32) -  nếu ( ) ( )  l new f f x Năm 1972, Parkinson và Hutchinson đưa ra một tập hợp mới  = 2,  = 0,25 và  = 2,5. Ví dụ 12.9 Tìm min của 2 2 1 2 ( ) (1 ) (2 )     f x x x Giải: Chọn điểm ban đầu   (0) 0, 0  T x và  = 2, theo công thức (12.28, 12.29) ta có (N = 2): 1/2 1 (2 1) 2 1 1,9318 2 2                1/2 2 (2 1) 1 0,5176 2 2               Áp dụng công thức (12.27): (i) 1 j (i) j (i) 2 j x , i j x x ,i j           suy ra x1 (1) = 1,9318; x2 (1) = 0,5176.
  • 453.
    CHƯƠNG 12 454 ta có: do(0) ( ) 5,  f x tính x(3) : 2 ( ) (1) (2) 1 1 1 ( ) 2 2      i c i x x x x Suy ra: BÀI TẬP Sử dụng các phương pháp trong Chương 12 giải các bài toán tìm giá trị tối ưu các hàm sau: 12.1. 2 2 2 1 2 3 1 2 1 3 3 f(x) x 2x 5x 2x x 4x x 2x       12.2. 4 2 1 2 1 2 f(x) x x 4x x    12.3.   1 1 x x 1 2 f(x) x e 1 e sin x    12.4. y = –3x1 2 – 2 2 2 x với x1  (-1, 1); x2  (-2, 2) x0 =(½; ½) 12.5. y = 4(x1 – 5)2 + (x2 – 6)2 Nếu x0 = (8, 9); 1 = 0,1; 2 = 0,1. 12.6. 2 2 1 1 2 2 y 4 12x x 30x 3x      với x0 = (3, -1). 12.7. 3 2 0 T 1 1 2 2 1 2 f (x) x x x x 2x 3x 4 min, x (0,0)         với điểm ban đầu x0 = (0, 0) 12.8. 3 2 0 T 1 1 2 2 1 2 f (x) x x x x 2x 3x 4 min, x (0,0)         với điểm ban đầu x0 = (0, 0) 12.9. 2 2 2 0 2 1 1 f (x) (x x ) (1 x ) min, x (0,0)       12.10. 2 2 2 2 2 1 1 2 f (x) [(x 1) x ].[x (x 1) ] min      
  • 454.
    PHƯƠNG PHÁP QUYHOẠCH THỰC NGHIỆM VÀ TỐI ƯU NHIỀU NHÂN TỐ 455 12.11. 2 2 2 1 1 1 2 f (x) x .exp[1 x 20,25(x x ) ] min       nếu 0 x (0,1;0,5)  12.12.         2 2 1 2 x 3 x 2 f (x) 4 9 12.13.         2 2 2 1 2 1 f (x) 1 x 10 x x 12.14.    2 2 1 1 2 2 f (x) 2x x x x 12.15.        2 2 2 1 2 3 1 1 2 3 f (x) x x x x x x 2x 12.16.        3 2 2 1 2 3 2 3 1 2 f (x) x x x x x 3x 6x 2 12.17.      2 2 2 1 1 2 2 3 f (x) x 2x x x 4x 12.18.     2 2 1 2 1 2 1 f (x) 4x 3x 4x x x 12.19.     3 2 2 1 1 2 1 2 2 f (x) 2x 4x x 10x x x 12.20.         4 2 1 2 f (x) x 1 x 3 12.21.       3 2 1 1 2 2 1 2 f (x) x x x x 2x 3x 4 12.22.         2 2 2 2 1 1 f (x) x x 1 x 12.23.    2 2 1 2 1 2 1 2 f (x) 3x x x x x x 12.24.       2 4 4 1 2 1 2 f (x) x x x x 12.25.           2 2 0 1 1 2 2 1 2 f (x) 2x x x x ; x 0,5, 1 ; 0,1; 0,15 12.26.            2 2 2 2 2 1 1 2 f (x) x x 1 x x 1 min 12.27.            2 2 2 2 2 2 1 2 f (x) x x 11 x x 7 min        0 1 2 x 0, 0 ; 0,1; 0,1
  • 455.
    CHƯƠNG 12 456 12.28.              2 2 2 1 1 1 2 f (x) x .exp 1 x 20,25 x x min    0 x 0,1, 0,5 12.29.       3 2 1 2 1 2 f (x) x x 3x 2x 2 min 12.30.              2 2 2 1 2 3 f (x) x 2 x 5 x 2 min 12.31.       4 4 2 2 1 2 1 2 1 f (x) x x 2x x 4x 3 min
  • 456.
    BÀI TOÁN TỐIƯU PHI TUYẾN NHIỀU BIẾN CÓ RÀNG BUỘC 457 Chương 13 BÀI TOÁN TỐI ƯU PHI TUYẾN NHIỀU BIẾN CÓ RÀNG BUỘC Chương này gồm các nội dung sau: 13.1. Giới thiệu 13.2. Phương pháp đồ thị 13.3. Phương pháp nhân tử Lagrange 13.4. Điều kiện Kuhn-Tucker 13.5. Phương pháp quy hoạch động 13.6. Các giải thuật giải bài toán tối ưu Bài tập
  • 457.
    458 CHƯƠNG 13 13.1.GIỚI THIỆU Hầu hết những bài toán tối ưu kết cấu trong thực tế đều là những bài toán tối ưu phi tuyến nhiều biến có ràng buộc. Ví dụ trong thiết kế kết cấu cơ khí, những ràng buộc đó bao gồm kích thước kết cấu, giới hạn bền cho phép, độ võng giới hạn,... Lý thuyết trong chương này sẽ giúp giải quyết những bài toán tối ưu phi tuyến nhiều biến với ràng buộc đơn giản. Nếu gặp những bài toán phức tạp hơn thì phải dùng đến những thuật toán khác và lập trình giải bằng máy tính. Bài toán tối ưu tổng quát có thể phát biểu như sau: Tìm X 1 2 n d d ... d              (13.1) để f(X) đạt giá trị nhỏ nhất (lớn nhất). Điều kiện ràng buộc là: hj(X)  0; j = 1, 2, ..., nj lk(X) = 0; k = 1, 2, ..., nk (13.2) dil  di  diu; i = 1, 2, ..., n Những ràng buộc hj, lk trong bài toán này là ràng buộc mang dấu "=" hoặc "" . Nếu những ràng buộc này mang dấu "=" có thể tìm được mối liên hệ giữa các biến và thay thế vào hàm mục tiêu. Khi đó bài toán đã được thay đổi từ bài toán tối ưu có ràng buộc thành bài toán tối ưu không ràng buộc. Phương pháp này gọi là phương pháp loại biến. Ví dụ sau sẽ minh họa cho phương pháp. Ví dụ 13.1 Tìm min của f(x) = x1x2x3 với ràng buộc l1(x) = x1 + x2 + x3 – 1 = 0. Bài giải: Với ràng buộc 1( ) 0  l x ta có thể tìm được mối liên hệ giữa các biến là 3 1 2 1 ,    x x x bài toán tối ưu ba biến với một ràng buộc trở thành bài toán tối ưu không ràng buộc hai biến: 1 2 1 2 1 2 min ( , ) (1 )    f x x x x x x Sau đó sử dụng phương pháp đạo hàm riêng để giải.
  • 458.
    BÀI TOÁN TỐIƯU PHI TUYẾN NHIỀU BIẾN CÓ RÀNG BUỘC 459                  2 1 2 2 1 1 1 2 f 1 x – 2 x x 0 x f 1 x – 2 x x 0 x Trừ 2 phương trình trên ta suy ra x1 = x2 Thay thế vào 1 trong 2 phương trình trên ta có: 2x1 2 + x1 – 1 = x1 2 + x1+ x1 2 – 1 = 0 Suy ra: (x1+ 1)(2x1-1) = 0 Thu được 2 nghiệm: x1 = -1 , x1 = ½ - Nếu x1 = -1 suy ra x2 = x1= -1 và 3 1 2 1 3     x x x và f(x) = -3 - Nếu x1 = 1/2, suy ra x2 = x1= 1/2 và 3 1 2 1 0     x x x và f = 0 Do đó nghiệm là x2 = x1= -1 và x3= -1 và min f(x) = -3 Từ đây ta có thể áp dụng các phương pháp bài toán tối ưu không ràng buộc đã biết ở Chương 12 để giải. Phương pháp loại biến được áp dụng khi các ràng buộc mang dấu "=" và có thể suy ra 1 biến dựa trên các biến còn lại. Trong trường hợp có nhiều ràng buộc, việc loại bỏ biến có thể dẫn đến những trường hợp phụ thuộc biến lẫn nhau. Và trong một số trường hợp khác, ta không thể nào tìm được mối liên hệ giữa 1 biến với các biến còn lại, như trường hợp ràng buộc sau: 2 2 1 1 1 3 2 3 2 1 ( ) 0      l x x x x x x x Hoặc trong những trường hợp ràng buộc của bài toán không mang dấu "=" mà mang dấu "≥" hoặc "≤" thì phương pháp loại biến này không thể áp dụng được. Khi đó ta áp dụng các phương pháp khác để đưa các bài toán tối ưu có ràng buộc thành các bài toán không ràng buộc. 13.2. PHƯƠNG PHÁP ĐỒ THỊ Các phương pháp giải các bài toán tối ưu nhiều biến có ràng buộc được trình bày cụ thể trong các tài liệu về tối ưu hóa. Trong mục này chúng tôi chỉ trình bày các phương pháp giải bài toán tối ưu nhiều biến có ràng buộc bằng phương pháp đồ thị.
  • 459.
    460 CHƯƠNG 13 Khảosát bài toán tối ưu: - Tìm X để f(X) là nhỏ nhất. - Điều kiện ràng buộc: hj(X)  0, j = 1, 2, ..., nj (13.3) Nếu mỗi xi, được tương ứng với một trục tọa độ, thì kết quả là không gian Descartes n chiều được gọi là không gian thiết kế. Mỗi điểm trên không gian n chiều gọi là điểm thiết kế và tương ứng với lời giải có khả năng thực hiện hoặc không có khả năng thực hiện của bài toán thiết kế. Các điểm thiết kế có khả năng thực hiện hoặc không được ngăn cách bởi một mặt cong được gọi là mặt cong ràng buộc. Khi đó để hiểu khái niệm mặt cong ràng buộc ta khảo sát bất đẳng thức ràng buộc hj(X)  0. Tập hợp các điểm thiết kế X thỏa mãn đẳng thức hj(X) = 0 tạo nên siêu diện trong không gian thiết kế và được gọi là mặt cong ràng buộc. Mặt cong ràng buộc chia không gian thành hai miền: miền được gọi là không gian có khả năng thực hiện được mà trên đó mỗi điểm thiết kế X sẽ tương ứng với giá trị hj(X)  0 và miền khác gọi là miền không có khả năng thực hiện mà trên đó mỗi điểm thiết kế tương ứng với hj(X)  0. Khi hàm mục tiêu được vẽ với f(X) = c = const, đồ thị tạo nên siêu diện trong không gian thiết kế. Nếu nhiều hàm đồ thị được vẽ với các giá trị hằng số c khác nhau thì kết quả mặt cong được gọi là các mặt cong hàm mục tiêu. Một khi các mặt cong mục tiêu được biết thì lời giải tối ưu của bài toán có thể được nhận biết như là các điểm thiết kế trên không gian có khả năng thực hiện mà đem lại giá trị nhỏ nhất cho hàm mục tiêu. Hình 13.1 Phương pháp đồ thị
  • 460.
    BÀI TOÁN TỐIƯU PHI TUYẾN NHIỀU BIẾN CÓ RÀNG BUỘC 461 Các mặt cong ràng buộc, các mặt cong hàm mục tiêu với lời giải tối ưu của bài toán tối ưu hai biến được trình bày trên Hình 13.1. Chú ý rằng nếu số các biến lớn hơn hai hoặc ba thì các ràng buộc và các mặt cong hàm mục tiêu trở nên phức tạp ngay cả cho việc quan sát. Trong Ví dụ 13.2 trình bày trình tự thiết tối ưu theo phương pháp đồ thị. Ví dụ 13.2 Hai phần tử được mắc nối tiếp như trên Hình 13.2. Giá thành phần tử thứ nhất 2 1 100R trong đó 1 R là độ tin cậy phần tử thứ nhất. Tương tự giá thành phần tử thứ hai 2 2 200R trong đó 2 R là độ tin cậy phần tử thứ hai. Tìm độ tin cậy các phần tử để giá thành là nhỏ nhất. Độ tin cậy của hệ thống cũng như của các phần tử không được nhỏ hơn 0,7: h1(R) = 0,7 – R1R2  0. Giải: Các biến thiết kế là độ tin cậy các phần tử:                    1 1 2 2 x R X R x R Hàm mục tiêu là tìm giá trị nhỏ nhất của giá thành:   2 2 1 2 f (R) 100R 200R Các điều kiện ràng buộc: R1R2  0,7 có nghĩa là h1(R) = 0,7 – R1R2  0 0,7  R1  1 có nghĩa là h2(R) = R1 – 0,7  0 và h3(R) = R1 – 1  0 0,7  R2  1 có nghĩa là h4(R) = R2 – 0,7  0 và h5(R) = R2 – 1  0 Hình 13.2 Hệ thống gồm hai phần tử mắc nối tiếp Các đường bao trình bày từ h2 đến h5 trên Hình 13.3. Hàm ràng buộc g1 là đường cong R1 = 0,7/R2. R1 0,6 0,65 0,7 0,75 0,8 0,85 0,9 0,95 1 R2 1,167 1,077 1,000 0,933 0,875 0,824 0,778 0,737 0,700
  • 461.
    462 CHƯƠNG 13 Đườngbao hàm mục tiêu:   2 2 1 2 f (R) 100R 200R = c được vẽ với các giá trị c khác nhau. Các điểm trên đường bao được liệt kê: 2 2 1 2 100R 200R 250   suy ra 2 1 2 250 100R R 200   R1 0,6 0,65 0,7 0,75 0,8 0,85 0,9 0,95 1 R2 1,034 1,019 1,003 0,984 0,964 0,943 0,919 0,894 0,866 2 2 1 2 100R 200R 225   suy ra 2 1 2 225 100R R 200   R1 0,6 0,65 0,7 0,75 0,8 0,85 0,9 0,95 1 R2 0,972 0,956 0,938 0,919 0,897 0,874 0,849 0,821 0,791 2 2 1 2 100R 200R 200   suy ra 2 1 2 200 100R R 200   R1 0,6 0,65 0,7 0,75 0,8 0,85 0,9 0,95 1 R2 0,906 0,888 0,869 0,848 0,825 0,799 0,771 0,741 0,707 2 2 1 2 100R 200R 198   suy ra 2 1 2 198 100R R 200   R1 0,6 0,65 0,7 0,75 0,8 0,85 0,9 0,95 1 R2 0,900 0,882 0,863 0,842 0,819 0,793 0,765 0,734 0,700 2 2 1 2 100R 200R 175   suy ra 2 1 2 175 100R R 200   R1 0,6 0,65 0,7 0,75 0,8 0,85 0,9 0,95 1 R2 0,834 0,815 0,794 0,771 0,745 0,717 0,686 0,651 0,612
  • 462.
    BÀI TOÁN TỐIƯU PHI TUYẾN NHIỀU BIẾN CÓ RÀNG BUỘC 463 Hình 13.3 Các đường bao được trình bày trên Hình 13.3 và có thể quan sát thấy được rằng các giá trị hàm mục tiêu không thể giảm dưới giá trị 198 không có bất cứ một vi phạm ràng buộc độ tin cậy nào. Điểm tối ưu là điểm tiếp xúc của hai đường cong g1 = 0 và f = 198 (điểm A). Khi đó R1 * = 0,99 và R2 * = 0,71 với fmin = 198. 13.3. PHƯƠNG PHÁP NHÂN TỬ LAGRANGE (Method of Lagrange Multipliers) Phương pháp nhân tử Lagrange là phương pháp giải tích được sử dụng để tìm giá trị nhỏ nhất của hàm nhiều biến khi các hàm ràng buộc là các đẳng thức. Khi đó chuyển từ bài toán tối ưu có ràng buộc thành bài toán tối ưu không ràng buộc. Bài toán tối ưu có ràng buộc bằng đẳng thức: - Tìm X 1 2 n d d ... d              để f(X) đạt giá trị nhỏ nhất. - Điều kiện ràng buộc là: lk(X) = 0; k = 1, 2, ..., nk
  • 463.
    464 CHƯƠNG 13 Tathay thế bài toán có ràng buộc đẳng thức bằng cách tạo một hàm mới được gọi là hàm Lagrange L(X, ) như sau:       k n k k k 1 L(X, ) f (X) l (X) (13.4) trong đó k là hằng số chưa biết và được gọi là nhân tử Lagrange. Cần chú ý rằng số lượng nhân tử Lagrange phụ thuộc số lượng hàm ràng buộc. Khi đó bài toán tối ưu có ràng buộc trở thành bài toán tìm giá trị nhỏ nhất của hàm L(X,). Khi đó ta sử dụng phương pháp xác định đạo hàm riêng của hàm L(X,):                     i k k L X, 0; i 1, 2,...n d L X, 0; j 1, 2,...n (13.5) Số các đại lượng không biết là n+p (n biến thiết kế xi và p nhân tử Lagrange j) và số các phương trình nhận được cũng là n + p. Nghiệm của giải hệ (n + p) phương trình phi tuyến là X* và * . Mặc dù phương pháp này tương đối đơn giản, tuy nhiên giải hệ (n + p) phương trình phi tuyến rất dài dòng và đôi khi rất phức tạp. Mặt khác nếu các hàm f và lj không thể biểu diễn dưới dạng tường minh thì để giải hệ (13.5) sẽ rất khó khăn. Tuy nhiên, các phương pháp số thích hợp trong tối ưu hóa như hàm phạt khảo sát ở mục tiếp theo sẽ được sử dụng để giải quyết các bài toán tối ưu. Ví dụ 13.3 Hai phần tử được lắp song song như Hình 13.4. Muốn tìm độ tin cậy các phần tử R1 và R2 để tổng giá thành là nhỏ nhất khi mà độ tin cậy của hệ thống l(X) = Rht = 1 – (1 – R1)(1 – R2) = 0,9. Giả sử rằng giá thành các phần tử R1 và +R2 tương ứng sẽ bằng 100R1 và 200R2. Hình 13.4 Hệ thống gồm hai phần tử mắc song song
  • 464.
    BÀI TOÁN TỐIƯU PHI TUYẾN NHIỀU BIẾN CÓ RÀNG BUỘC 465 a) Lập bài toán tối ưu b) Tìm nghiệm bằng phương pháp nhân tử Lagrange Giải: Bài toán được phát biểu như sau: Tìm X với:                   1 1 2 2 x R x R X Hàm mục tiêu là tìm giá trị nhỏ nhất của giá thành: 1 2 f ( ) 100R 200R   X (13.6) Các điều kiện ràng buộc: l(X) = R1 + R2 – R1R2 – 0,9 = 0 Hàm Lagrange có thể được viết dưới dạng: L(X, ) = 100R1 + 200R2 +  (R1 + R2 – R1R2 – 0,9) trong đó  là nhân tử Lagrange. Các điều kiện cần thiết để tối ưu là: 2 1 L 100 (1 R ) 0 R        suy ra 2 100 (1 R )     (13.7) 1 2 L 200 (1 R ) 0 R        suy ra 1 200 (1 R )     (13.8) 1 2 1 2 L R R R R 0,9 0        (13.9) Từ biểu thức (13.7) và (13.8) ta nhận được: 1 2 2 1 (1 R ) (1 R )      có nghĩa là 1 2 R 2R 1   (13.10) Thay biểu thức (13.10) vào (13.9) ta nhận được: 2 2 2 2 (2R 1) R R (2R 1) 0,9      có nghĩa là 2 2 2 2R 4R 1,9 0   
  • 465.
    466 CHƯƠNG 13 Giảiphương trình vừa nhận được ta có 2 R 0,7764 vaø1,2236.  Nghiệm tối ưu là R1* = 0,5528 và R2* = 0,7764 (vì R*  1) với fmin = 210,56. 13.4. ĐIỀU KIỆN KUHN – TUCKER Điều kiện Kuhn-Tucker là phương pháp giải tích được sử dụng để tìm giá trị nhỏ nhất của hàm nhiều biến khi các hàm ràng buộc là các đẳng thức và bất đẳng thức. Tương tự phương pháp nhân tử Lagrange, ta chuyển từ bài toán tối ưu có ràng buộc thành bài toán tối ưu không ràng buộc. Bài toán tối ưu có ràng buộc: Tìm X 1 2 n d d ... d              để f(X) đạt giá trị nhỏ nhất. Các ràng buộc là: hj(X)  0 với j = 1, 2,...nj (13.11) lk(X) = 0 với k = 1, 2,...nk (13.12) Ta thay thế bài toán có ràng buộc theo điều kiện Kuhn – Tucker bằng bài toán tối ưu không ràng buộc như sau: j k j 1 k 1 w v         j k n n j k K ( ,w, v) f ( h ( l ( 0 X X X X ) ) ) (13.13) Lấy đạo hàm riêng theo di, wj, vk ta có hệ phương trình:                          i j k K ,w, v 0 d K ,w, v 0 w K ,w, v 0 v X X X (13.14)
  • 466.
    BÀI TOÁN TỐIƯU PHI TUYẾN NHIỀU BIẾN CÓ RÀNG BUỘC 467 Hoặc có thể biểu diễn theo công thức: j k j 1 k 1 w v           j k n n j k f ( h ( l ( 0 X X X ) ) ) (13.15) Với gradient các hàm có dạng:                 T 1 1 n f ( , ,... d d d X f f f )                 T 1 1 n h( , ,... d d d X h h h ) (13.16)                 T 1 1 n l( , ,... d d d X l l l ) Do đó, điều kiện Kuhn – Tucker có thể viết dưới dạng sau: j k j 1 k 1 w v              j k n n j k i i i h ( l ( f ( 0 d d d X X X ) ) ) (13.17) hj(X)  0 với j = 1, 2,...nj lk (X) = 0 với k = 1, 2,...nk Ví dụ 13.4 Giải bài toán ở Ví dụ 13.3 theo điều kiện Kuhn – Tucker với ràng buộc Rht = 1- (1 – R1)(1 – R2)  0,9. Giải: Bài toán được phát biểu như sau: Tìm X với:                   1 1 2 2 d R X d R Hàm mục tiêu là tìm giá trị nhỏ nhất của giá thành:   1 2 f (X) 100R 200R
  • 467.
    468 CHƯƠNG 13 Cácđiều kiện ràng buộc: Rht = 1 – (1 – R1)(1 – R2)  0,9 Suy ra h(X) = - R1 -R2 + R1R2 + 0,9  0 Bài này không có ràng buộc l(X). Khi đó hàm Kuhn – Tucker:         1 2 1 1 2 1 2 K( ,w,v) 100R 200R v ( R R R R 0,9) 0 X Theo điều kiện Kuhn–Tucker ta có hệ phương trình theo R1, R2 và v1:     1 1 2 1 1 1 1 1 1 2 2 2 1 2 1 2 1 K f l v 100 v R 1 0 R R R K f l v 200 v R 1 0 R R R K l( ) R R R R 0,9 0 v                                           X Giải hệ phương trình trên ta thu được:   1 v 200000 447,2135955     1 1 200 R 1 0,552784 v 13.5. BÀI TOÁN QUY HOẠCH ĐỘNG Phương pháp giải bài toán này do nhà toán học Mỹ Richard Bellman đề xuất và phát triển vào đầu năm 1950. Phương pháp giải bài toán tối ưu theo quy hoạch động dựa trên nguyên tắc có thể chia quá trình giải bài toán tối ưu thành nhiều giai đoạn liên tiếp. Giai đoạn sau chứa thông tin đã được xử lý tối ưu ở giai đoạn trước đó. Phương án tối ưu ở giai đoạn cuối cùng chính là phương án tối ưu chung cần tìm. Dạng bài toán này thường gặp trong thiết kế tối ưu một số dạng kết cấu trong xây dựng. Ví dụ thiết kế tối ưu một nhà cao tầng. Vì tải trọng truyền dần dần từ trần trên xuống trần dưới, nên đầu tiên ta chọn kích thước tối ưu cho các kết cấu trong tầng trên cùng. Căn cứ vào kích thước này, ta tiếp tục chọn kích thước tối ưu cho các kết cấu trong tầng thứ 2 và cứ như vậy cho đến tầng cuối cùng.
  • 468.
    BÀI TOÁN TỐIƯU PHI TUYẾN NHIỀU BIẾN CÓ RÀNG BUỘC 469 13.6. CÁC GIẢI THUẬT GIẢI BÀI TOÁN TỐI ƯU Khác với giải thuật tìm giá trị tối ưu dựa vào đạo hàm của hàm mục tiêu, các giải thuật trong mục này chỉ dựa vào hàm mục tiêu và các ràng buộc có thể là tuyến tính hoặc phi tuyến. Đặc điểm của các giải thuật này là dựa vào lời giải ban đầu sau đó cài thiện lời giải đó, trải qua nhiều thế hệ thu được giá trị tối ưu mong muốn. Tiêu biểu cho nhóm này là: giải thuật leo đồi, mô phỏng luyện thép, giải thuật di truyền… Giải thuật leo đồi (Hill Climbing) Đầu tiên giải thuật leo đồi lựa chọn một điểm trong miền thiết kế. Sau đó so sánh điểm vừa chọn với một điểm lân cận. Nếu điểm ban đầu tốt hơn so với điểm lân cận thì giữ lại điểm ban đầu và loại bỏ điểm lân cận. Nếu điểm ban đầu không tốt hơn thì lấy điểm lân cận. Sau khi đã loại bỏ điểm không tốt hơn, tiếp tục lựa chọn điểm lân cận khác để so sánh với điểm vừa giữ lại. Quá trình được lặp lại cho đến khi thu được giá trị tối ưu mong muốn. Haø m muï c tieâ u Toá i öu toaø n c uï c Toá i öu c uï c boä Ñieå m laâ n c aä n Ñieå m ban ñaà u Hình 13.5 Giải thuật leo đồi Từ trình tự thực hiện giải thuật có thể thấy, giá trị tối ưu thu được phụ thuộc rất nhiều vào việc lựa chọn điểm ban đầu (Hình 13.5). Khoảng cách giữa các điểm lân cận cũng ảnh hưởng lớn đến kết quả thu được. Nếu chọn khoảng cách giữa các điểm quá lớn có thể bỏ qua các giá trị tối ưu toàn cục hay cục bộ trong miền thiết kế. Nếu khoảng cách giữa các điểm quá nhỏ sẽ tốn thời gian thực hiện giải thuật. Một hạn chế nữa của giải thuật là giá trị tối ưu thu được vẫn không đảm bảo là giá trị tối ưu toàn cục.
  • 469.
    470 CHƯƠNG 13 Cóthể khắc phục hiện tượng này bằng cách chia nhỏ miền khảo sát hơn nữa, lựa chọn nhiều điểm ban đầu để co thể thu được giá trị tối ưu toàn cục. Giải thuật mô phỏng luyện thép (SA – Simulated Annealing) Thay vì loại bỏ một điểm ngay sau khi so sánh như giải thuật leo đồi, giải thuật mô phỏng luyện thép vẫn giữ lại điểm có giá trị thấp hơn nếu thỏa mãn một xác suất nào đó. Việc giữ lại này sẽ làm tăng thêm khả năng tìm được giá trị tối ưu toàn cục. Tuy nhiên giống như giải thuật leo đồi, giải thuật mô phỏng luyện thép vẫn phụ thuộc nhiều vào điểm lựa chọn ban đầu. Tương tự như có thể chọn nhiều điểm ban đầu ở nhiều vị trí khác nhau, nhưng kết quả thu được không chắc là tối ưu toàn cục. Mặt khác, với không gian tìm kiếm lớn, lựa chọn nhiều điềm ban đầu ở nhiều vị trí trong miền khảo sát sẽ mất rất nhiều thời gian. Do đó, hạn chế của giải thuật là không thích hợp với các không gian tìm kiếm lớn. Giải thuật di truyền (Genetic Algorithm) Khắc phục hạn chế của cả hai giải thuật trên chỉ sử dụng một điểm làm lời giải ban đầu, giải thuật di truyền duy trì một hay nhiều quần thể trong không gian tìm kiếm. Trong một quần thể lại có n cá thể. Số lượng quần thể và số lượng các thể trong quần thể có thể lựa chọn thích hợp với độ lớn của không gian tìm kiếm. Các cá thể trải qua nhiều thế hệ phát triển và thông qua các quá trình tiến hóa sẽ cho giá trị tối ưu. Do số lượng cá thể lớn nên có thể khảo sát toàn bộ không gian tìm kiếm, giá trị tối ưu thu được ít bị ảnh hưởng bởi việc lựa chọn điểm ban đầu. Với các ưu điểm kể trên thì giải thuật di truyền rất thích hợp cho các bài toán có số biến thiết kế lớn, không gian tìm kiếm lớn. Giải thuật quần thể cũng tương tự như giải thuật di truyền, tuy nhiên ở mỗi thế hệ sẽ lựa chọn một cá thể ‘tốt nhất’ trong quần thể. Cá thể này sẽ ‘hướng dẫn’ các cá thể thể khác để có thể thích nghi cao hơn. Việc ‘hướng dẫn’ này sẽ giúp quần thể nhanh chóng đạt được giá trị tối ưu nhanh hơn so với giải thuật di truyền. Tuy nhiên, việc lựa chọn cá thể ‘tốt nhất’ và ‘hướng dẫn’ các cá thể còn lại cũng tốn rất nhiều thời và đôi khi thời gian thực hiện lớn hơn so với giải thuật di truyền.
  • 470.
    BÀI TOÁN TỐIƯU PHI TUYẾN NHIỀU BIẾN CÓ RÀNG BUỘC 471 BÀI TẬP 13.1. Giả sử ta có ellipsoid 3 chiều x1 2 /a1 2 + x2 2 /a2 2 + x3 2 /a3 2 = 1 với a1 > a2 > a3 > 0, và mặt phẳng đi qua tâm ellipsoid b1x1 + b2x2 + b3x3 = 0 (với mọi bi khác không). Xác định nửa trục elip mặt cắt giữa mặt phẳng và ellipsoid. 13.2. Hai phần tử được lắp song song, muốn tìm độ tin cậy các phần tử R1 và R2 để tổng giá thành là nhỏ nhất khi mà độ tin cậy của hệ thống R = R1 + R2 – R1R2 = 0,85. Giả sử rằng giá thành các phần tử R1 và R2 tương ứng sẽ bằng 100R1 2 và 200R2. a) Lập bài toán tối ưu. b) Tìm nghiệm bằng phương pháp điều kiện Kuhn- Tucker. c) Tìm nghiệm bằng phương pháp nhân tử Lagrange. 13.3. Ba phần tử được mắc nối tiếp. Giá thành phần tử thứ nhất 2 1 100R trong đó 1 R là độ tin cậy phần tử thứ nhất. Giá thành phần tử thứ hai 2 2 100R trong đó 2 R là độ tin cậy phần tử thứ hai. Giá thành phần tử thứ ba 2 3 150R trong đó 3 R là độ tin cậy phần tử thứ ba. Tìm độ tin cậy các phần tử để giá thành là nhỏ nhất. Độ tin cậy của hệ thống cũng như của các phần tử không được nhỏ hơn Rht = R1R2R3  0,7. 13.4. Hệ thống gồm 1 phần tử A và 2 phần tử giống nhau B được lắp ứng sẽ hỗn hợp như Hình 13.6. Giả sử rằng giá thành các phần tử A và B tương bằng 20RA và 10RB. a) Lập bài tóan tối ưu xác định độ tin cậy các phần tử RA và RB để tổng giá thành là nhỏ nhất và phải đảm bảo độ tin cậy của hệ thống Rht = RARB (2-RB) ≥ 0,80. Hình 13.6 b) Lập hệ phương trình xác định độ tin cậy các phần tử bằng phương pháp nhân tử Lagrange. c) Lập hệ phương trình xác định độ tin cậy các phần tử bằng điều kiện Kuhn-Tucker.
  • 471.
    472 CHƯƠNG 13 13.5.Tìm khoảng cách giữa parabol y = x2 và đường thẳng x – y – 2 = 0. Từ yêu cầu trên, bài toán có thể phát biểu sau: - Tìm giá trị nhỏ nhất hàm f(x1, x2, y1, y2) = (x1 – x2)2 + (y1 – y2)2 - Các ràng buộc: y1 – x1 2 = 0 và y2 + x2– 2 = 0. Hàm Lagrange: L(X, ) = (x1 – x2)2 + (y1 – y2)2 + 1(y1 – x1 2 ) + 2(y2 + x2– 2)                                     1 2 1 2 1 2 L 0; x L 0; x L 0; y L 0; y L 0; L 0; Hình 13.7 13.6. Bài tập lớn: Tìm nghiệm tối ưu cho các bài toán sau: Phương án 1. Tìm     2 2 1 2 minf(x) x 3 x 2     với các điều kiện ràng buộc:
  • 472.
    BÀI TOÁN TỐIƯU PHI TUYẾN NHIỀU BIẾN CÓ RÀNG BUỘC 473 2 2 1 2 1 2 1 2 x x 5 x x 3 x 0 x 0              Phương án 2. Tìm giá trị cực trị hàm 1 2 3 f(x) x x x  với các ràng buộc: 1 2 3 1 2 2 3 1 3 x x x 5 x x x x x x 8       Phương án 3. Tìm giá trị cực trị hàm 2 3 1 2 3 f(x) x x x    với các ràng buộc: 1 2 3 1 2 3 x 2x 3x a, x 0,x 0,x 0 a 0        Phương án 4. Tìm giá trị cực trị hàm: 1 2 3 f(x) x x x    với các ràng buộc: 2 2 1 2 1 2 3 x x 1, x x x 0      Phương án 5. Giải bài toán tối ưu: tìm giá trị nhỏ nhất của hàm:   2 2 1 2 1 2 3 f(x ,x ) x x 5 2           với các ràng buộc: 1 2 1 2 1 2 x x 2 2x 3x 11 x 0 x 0                 Phương án 6. Tìm giá trị tối ưu của hàm:   2 1 2 3 1 2 1 3 2 3 f(x) x x x 2 x x x x x x       với ràng buộc: 2 2 1 2 3 x x x 1   
  • 473.
    474 CHƯƠNG 13 Phươngán 7. Tìm giá trị tối ưu của hàm: 1 2 3 f(x) x x x    với ràng buộc: 2 2 1 2 3 3 x x x , x 1    Phương án 8. Tìm giá trị tối ưu của hàm: 1 2 3 f(x) 2x x x   với ràng buộc: 2 2 1 2 3 1 x x 1, 0 x 2x 1      Phương án 9. Tìm giá trị tối ưu của hàm: 2 2 1 2 f(x) x x   với ràng buộc: 2 2 1 2 x x 16   Phương án 10. Tìm giá trị tối ưu của hàm: 2 2 1 2 1 2 f(x) x x 12x 16x     với ràng buộc: 2 2 1 2 x x 25   Phương án 11. Tìm giá trị tối ưu của hàm: 1 2 f(x) arccot x ln x   với ràng buộc: 2 2 1 2 1 2 x x 4,x 0, x 1     Phương án 12. Tìm giá trị tối ưu của hàm: 1 2 3 f(x) x x x    với ràng buộc: 1 2 3 1 2 3 x x x 1, x x x 0      Phương án 13. Giải bài toán bằng phương pháp điều kiện Kuhn – Tucker: tìm   2 2 1 2 1 1 2 2 1 minf(x) 4x 6x x x x 3x exp x        với các ràng buộc: 1 2 1 2 1 2 2x x 8 x x 2 1 x , x 3            
  • 474.
    BÀI TOÁN TỐIƯU PHI TUYẾN NHIỀU BIẾN CÓ RÀNG BUỘC 475 Phương án 14. Theo điều kiện Kuhn-Tucker tìm min của hàm: 2 2 1 2 z x x ,   với các ràng buộc: 2 2 1 2 1 2 1 2 x x 5 x 0 x 0 x 2x 4         Phương án 15. Tìm giá trị cực trị hàm 1 2 3 4 f(x) x x x x     với ràng buộc: 4 1 2 3 4 (x) x x x x a 0 (a 0)      với biến thiết kế   i X x 0 i 1,n    Phương án 16. Tìm max của 2 1 2 3 z 3x x x    với các ràng buộc: 1 2 3 2 1 2 3 x x x 0 x 2x x 0        Phương án 17. Theo điều kiện Kuhn-Tucker tìm min của hàm: 2 2 1 2 9 ( 2) 4           z x x với các ràng buộc: 2 1 2 1 2 1 2 x x 0 x x 6 x , x 0       Phương án 18. Theo điều kiện Kuhn-Tucker tìm min của hàm: 2 2 1 2 1 2 z 2x 6x x x      với các ràng buộc:
  • 475.
    476 CHƯƠNG 13 12 1 2 1 2 x 2x 5 x x 3 x , x 0      Phương án 19. Theo điều kiện Kuhn-Tucker tìm min của hàm: 2 2 2 1 2 3 5 1 z x x x 3 3                  với các ràng buộc: 1 2 3 1 2 1 2 3 1 2 3 x x x 2 x x 12 2x 4x 3x 2 x , x , x 0          Phương án 20. Theo điều kiện Kuhn - Tucker tìm min của hàm: 2 2 1 2 1 2 1 2 z 8x 10x 12x x 50x 80x      với ràng buộc: 1 2 1 1 2 x x 1 0 1 x 0 2 x , x 0       Phương án 21. Xét bài toán tối ưu 2 1 2 3 maxf(x) 3x x x    với các ràng buộc: 1 2 3 2 1 2 3 x x x 0 x 2x x 0             Phương án 22. Giải bài toán tối ưu: Tìm   2 2 1 2 9 maxf(x) x x 2 4           với các ràng buộc:
  • 476.
    BÀI TOÁN TỐIƯU PHI TUYẾN NHIỀU BIẾN CÓ RÀNG BUỘC 477 2 1 2 1 2 1 2 x x 0 x x 6 x , x 0           Phương án 23. Tìm 2 2 1 2 1 2 minf(x) 2x 6x x x ,      với các ràng buộc 1 2 1 2 1 2 x 2x 5 x x 3 x , x 0           Phương án 24. Tìm 2 2 2 1 2 3 5 1 minf(x) x x x 3 3                  với các ràng buộc 1 2 3 1 2 1 2 3 1 2 3 x x x 2 x x 12 2x 4x 3x 2 x ,x ,x 0                 Phương án 25. Tìm 2 2 1 2 1 2 1 2 minf(x) 8x 10x 12x x 50x 80x ,      với các ràng buộc: 1 1 2 2 1 1 2 g (x) x x 1 0 1 g (x) x 0 2 x , x 0                Phương án 26. Tìm 2 2 1 2 minf(x) x x ,   với các ràng buộc: 2 2 1 2 1 2 1 2 x x 5 x 0 x 0 x 2x 4               
  • 477.
    478 CHƯƠNG 13 Phươngán 27. Tìm 2 2 1 2 3 1 2 1 2 minf(x) 6x 2x 12x x 2x x x        với các ràng buộc: 1 2 3 1 2 1 2 3 x x x 2 x 2x 3 x , x ,x 0             Phương án 28. Tìm 2 2 3 1 2 1 2 2 minf(x) x 2x x x 2x      với các ràng buộc: 1 2 1 2 1 2 x 2x 6 x 2x 3 x , x 0            Phương án 29. Tìm 2 2 1 2 1 2 1 2 minf(x) 2x 2x 2x x 4x 6x      với các ràng buộc: 1 2 2 1 2 1 2 x x 2 x 5x 5 x , x 0           Phương án 30. Tìm 2 2 1 2 1 2 1 2 minf(x) 2x 3x 4x x 6x 3x      với các ràng buộc: 1 2 1 2 1 2 x x 2 2x 3x 4 x 0 x 0              
  • 478.
    479 Phần Phụ lục Phụlục 1 Bảng giá trị phân bố Student ( α - mức giá trị; f - số bậc tự do) f α f α f α 0,05 0,01 0,05 0,01 0,05 0,01 1 2 3 4 5 6 7 8 9 10 11 12 13 12,71 4,30 3,18 2,78 2,57 2,45 2,36 2,31 2,26 2,23 2,20 2,18 2,16 63,66 9,92 5,84 4,60 4,03 3,71 3,50 3,36 3,25 3,17 3,11 3,05 3,01 14 15 16 17 18 19 20 21 22 23 24 25 26 2,14 2,13 2,12 2,11 2,10 2,09 2,09 2,08 2,07 2,07 2,06 2,06 2,06 2,98 2,95 2,92 2,90 2,88 2,86 2,85 2,83 2,82 2,81 2,80 2,79 2,78 27 28 29 30 40 50 60 80 100 120 200 500  2,05 2,05 2,05 2,04 2,02 2,01 2,00 1,99 1,98 1,98 1,97 1,96 1,96 2,77 2,76 2,76 2,75 2,70 2,68 2,66 2,64 2,63 2,62 2,60 2,59 2,58
  • 479.
    480 Phụ lục 2Giá trị phân bố Fisher (f1 - số bậc tự do phương sai lớn; f2 - số bậc tự do phương sai nhỏ) f2 (fy)= (n-1)N f1 (fth) = N-p 1 2 3 4 5 6 7 8 9 10 12 15 20 30  α = 0,05 1 2 3 4 5 6 7 8 9 10 11 12 13 14 15 16 17 18 19 20 21 22 23 24 25 26 27 28 29 30 40 60 120  161 18,51 10,13 7,71 6,61 5,99 5,59 5,32 5,12 4,96 4,84 4,75 4,67 4,60 4,54 4,49 4,45 4,41 4,38 4,35 4,32 4,30 4,28 4,26 4,24 4,23 4,21 4,20 4,18 4,17 4,08 4,00 3,92 3,84 200 19,00 9,55 6,94 5,79 5,14 4,74 4,46 4,26 4,10 3,98 3,89 3,81 3,74 3,68 3,63 3,59 3,55 3,52 3,49 3,47 3,44 3,42 3,40 3,39 3,37 3,35 3,34 3,33 3,32 3,23 3,15 3,07 3,00 216 19,16 9,28 6,59 5,41 4,76 4,35 4,07 3,86 3,71 3,59 3,49 3,41 3,34 3,29 3,24 3,20 3,16 3,13 3,10 3,07 3,05 3,03 3,01 2,99 2,98 2,96 2,95 2,93 2,92 2,84 2,76 2,68 2,60 225 19,25 9,12 6,39 5,19 4,53 4,12 3,84 3,63 3,48 3,36 3,26 3,18 3,11 3,06 3,01 2,96 2,93 2,90 2,87 2,84 2,82 2,80 2,78 2,76 2,74 2,73 2,71 2,70 2,69 2,61 2,53 2,45 2,37 230 19,30 9,01 6,26 5,05 4,39 3,97 3,69 3,48 3,33 3,20 3,11 3,03 2,96 2,90 2,85 2,81 2,77 2,74 2,71 2,68 2,66 2,64 2,62 2,60 2,59 2,57 2,56 2,55 2,53 2,45 2,37 2,29 2,21 234 19,33 8,94 6,16 4,95 4,28 3,87 3,58 3,37 3,22 3,09 3,00 2,92 2,85 2,79 2,74 2,70 2,66 2,63 2,60 2,57 2,55 2,53 2,51 2,49 2,47 2,46 2,45 2,43 2,42 2,34 2,25 2,17 2,10 237 19,35 8,89 6,09 4,88 4,21 3,79 3,50 3,29 3,14 3,01 2,91 2,83 2,76 2,71 2,66 2,61 2,58 2,54 2,51 2,49 2,46 2,44 2,42 2,40 2,39 2,37 2,36 2,35 2,33 2,25 2,17 2,09 2,01 239 19,37 8,85 6,04 4,82 4,15 3,73 3,44 3,23 3,07 2,95 2,85 2,77 2,70 2,64 2,59 2,55 2,51 2,48 2,45 2,42 2,40 2,37 2,36 2,34 2,32 2,31 2,29 2,28 2,27 2,18 2,10 2,02 1,94 241 19,38 8,81 6,00 4,77 4,10 3,68 3,39 3,18 3,02 2,90 2,80 2,71 2,65 2,59 2,54 2,49 2,46 2,42 2,39 2,37 2,34 2,32 2,30 2,28 2,27 2,25 2,24 2,22 2,21 2,12 2,04 1,96 1,88 242 19,40 8,79 5,94 4,74 4,06 3,64 3,35 3,14 2,98 2,85 2,75 2,67 2,60 2,54 2,49 2,45 2,41 2,38 2,35 2,32 2,30 2,27 2,25 2,24 2,22 2,20 2,19 2,18 2,16 2,08 1,99 1,91 1,83 244 19,41 8,74 5,91 4,68 4,00 3,57 3,28 3,07 2,91 2,79 2,69 2,60 2,53 2,48 2,42 2,38 2,34 2,31 2,28 2,25 2,23 2,20 2,18 2,16 2,15 2,13 2,12 2,10 2,09 2,00 1,92 1,83 1,75 246 19,43 8,70 5,86 4,62 3,94 3,51 3,22 3,01 2,85 2,72 2,62 2,53 2,46 2,40 2,35 2,31 2,27 2,23 2,20 2,18 2,15 2,13 2,11 2,09 2,07 2,06 2,04 2,03 2,01 1,92 1,84 1,75 1,67 248 19,45 8,66 5,80 4,56 3,87 3,44 3,15 2,94 2,77 2,65 2,54 2,46 2,39 2,33 2,28 2,23 2,19 2,16 2,12 2,10 2,07 2,05 2,03 2,01 1,99 1,97 1,96 1,94 1,93 1,84 1,75 1,66 1,57 250 19,46 8,62 5,75 4,50 3,81 3,38 3,08 2,86 2,70 2,57 2,47 2,38 2,31 2,25 2,19 2,15 2,11 2,07 2,04 2,01 1,98 1,96 1,94 1,92 1,90 1,88 1,87 1,85 1,84 1,74 1,65 1,55 1,46 254 19,50 8,53 5,63 4,36 3,67 3,23 2,93 2,71 2,54 2,40 2,30 2,21 2,13 2,07 2,01 1,96 1,92 1,88 1,84 1,81 1,78 1,76 1,73 1,71 1,69 1,67 1,65 1,64 1,62 1,51 1,39 1,25 1,00
  • 480.
    481 α = 0,01 1 2 3 4 5 6 7 8 9 10 11 12 13 14 15 16 17 18 19 20 21 22 23 24 25 26 27 28 29 30 40 60 120  4052 98,50 34,12 21,20 16,26 13,75 12,25 11,26 10,56 10,04 9,65 9,33 9,07 8,86 8,68 8,53 8,40 8,29 8,18 8,10 8,02 7,95 7,88 7,82 7,77 7,72 7,68 7,64 7,60 7,56 7,31 7,08 6,85 6,63 4999 99,00 30,82 18,00 13,27 10,92 9,55 8,65 8,02 7,56 7,21 6,93 6,70 6,51 6,36 6,23 6,11 6,01 5,93 5,85 5,78 5,72 5,66 5,61 5,57 5,53 5,49 5,45 5,42 5,39 5,18 4,98 4,79 4,61 5403 99,17 29,46 16,69 12,06 9,78 8,45 7,59 6,99 6,55 6,22 5,95 5,74 5,56 5,42 5,29 5,18 5,09 5,01 4,94 4,87 4,82 4,76 4,72 4,68 4,64 4,60 4,57 4,54 4,51 4,31 4,13 3,95 3,78 5625 99,25 28,71 15,98 11,39 9,15 7,85 7,01 6,42 5,99 5,67 5,41 5,21 5,04 4,89 4,77 4,67 4,58 4,50 4,43 4,37 4,31 4,26 4,22 4,18 4,14 4,11 4,07 4,04 4,02 3,85 3,63 3,48 3,32 5764 99,30 28,42 15,52 10,97 8,75 7,46 6,63 6,06 5,64 5,32 5,06 4,86 4,69 4,56 4,44 4,34 4,25 4,17 4,10 4,04 3,99 3,94 3,90 3,85 3,82 3,78 3,75 3,73 3,70 3,51 3,34 3,17 3,02 5859 99,33 27,91 15,21 10,67 8,47 7,19 6,37 5,80 5,39 5,07 4,82 4,62 4,46 4,32 4,20 4,10 4,01 3,94 3,87 3,81 3,76 3,71 3,67 3,63 3,59 3,56 3,53 3,50 3,47 3,29 3,12 2,96 2,80 5928 99,36 27,67 14,98 10,46 8,26 6,99 6,18 5,61 5,20 4,89 4,64 4,44 4,28 4,14 4,03 3,93 3,84 3,77 3,70 3,64 3,59 3,54 3,50 3,46 3,42 3,39 3,36 3,33 3,30 3,12 2,95 2,79 2,64 5982 99,37 27,49 14,80 10,29 8,10 6,84 6,03 5,47 5,06 4,74 4,50 4,30 4,14 4,00 3,89 3,79 3,71 3,61 3,56 3,51 3,45 3,41 3,36 3,32 3,29 3,26 3,23 3,20 3,17 2,99 2,82 2,66 2,51 6022 99,39 27,35 14,66 10,16 7,98 6,72 5,91 5,35 4,94 4,63 4,39 4,19 4,03 3,89 3,78 3,68 3,60 3,52 3,46 3,40 3,35 3,30 3,26 3,22 3,18 3,15 3,12 3,09 3,07 2,89 2,72 2,56 2,41 6056 99,40 27,23 14,55 10,05 7,87 6,62 5,81 5,26 4,85 4,54 4,30 4,10 3,94 3,80 3,69 3,59 3,51 3,43 3,37 3,31 3,26 3,21 3,17 3,13 3,09 3,06 3,03 3,00 2,98 2,80 2,63 2,47 2,32 6106 99,42 27,05 14,37 9,89 7,72 6,47 5,67 5,11 4,71 4,40 4,16 3,96 3,80 2,67 3,55 3,46 3,37 3,30 3,23 3,17 3,12 3,07 3,03 2,99 2,96 2,93 2,90 2,87 2,84 2,66 2,50 2,34 2,18 6157 99,43 26,87 14,20 9,72 7,56 6,31 5,52 4,96 4,56 4,25 4,01 3,82 3,66 3,52 3,41 3,31 3,23 3,15 3,09 3,03 2,98 2,93 2,89 2,85 2,81 2,78 2,75 2,73 2,70 2,52 2,35 2,19 2,04 6209 99,45 26,69 14,02 9,55 7,40 6,16 5,36 4,81 4,41 4,10 3,86 3,66 3,51 3,37 3,26 3,16 3,08 3,00 2,94 2,88 2,83 2,78 2,74 2,70 2,66 2,63 2,60 2,57 2,55 2,37 2,20 2,03 1,88 6261 99,47 26,50 13,84 9,38 7,23 5,99 5,20 4,65 4,25 3,94 3,70 3,51 3,35 3,21 3,10 3,00 2,92 2,84 2,78 2,72 2,67 2,62 2,58 2,54 2,50 2,47 2,44 2,41 2,39 2,20 2,03 1,86 1,70 6366 99,50 26,13 13,46 9,02 6,88 5,65 4,86 4,31 3,91 3,60 3,36 3,17 3,00 2,87 2,75 2,65 2,57 2,49 2,42 2,36 2,31 2,26 2,21 2,17 2,13 2,10 2,06 2,03 2,01 1,80 1,60 1,38 1,00
  • 481.
    482 Phụ lục 3Giá trị phân bố Cochran G (f - số bậc tự do mẫu; N - số lượng mẫu) N f 1 2 3 4 5 6 7 8 9 10 16 36 144  α = 0,05 2 3 4 5 6 7 8 9 10 12 15 20 24 30 40 60 120 0,99 0,97 0,91 0,84 0,78 0,73 0,68 0,64 0,60 0,54 0,47 0,39 0,34 0,29 0,24 0,17 0,10 0,98 0,87 0,77 0,68 0,62 0,56 0,52 0,48 0,45 0,39 0,33 0,27 0,24 0,20 0,16 0,11 0,06 0,94 0,80 0,68 0,60 0,53 0,48 0,44 0,40 0,37 0,33 0,28 0,22 0,19 0,16 0,13 0,09 0,05 0,91 0,75 0,63 0,54 0,48 0,43 0,39 0,36 0,33 0,29 0,24 0,19 0,17 0,14 0,11 0,09 0,04 0,88 0,71 0,59 0,51 0,44 0,40 0,36 0,33 0,30 0,26 0,22 0,17 0,15 0,12 0,10 0,07 0,04 0,85 0,68 0,56 0,48 0,42 0,37 0,34 0,31 0,28 0,24 0,20 0,16 0,14 0,11 0,09 0,06 0,03 0,83 0,65 0,54 0,46 0,40 0,35 0,32 0,29 0,27 0,23 0,19 0,15 0,13 0,11 0,08 0,06 0,03 0,82 0,63 0,52 0,44 0,38 0,34 0,30 0,28 0,25 0,22 0,18 0,14 0,12 0,10 0,08 0,06 0,03 0,80 0,62 0,50 0,42 0,37 0,33 0,29 0,27 0,24 0,21 0,17 0,14 0,12 0,10 0,07 0,05 0,03 0,79 0,60 0,49 0,41 0,36 0,32 0,28 0,26 0,24 0,20 0,17 0,13 0,11 0,09 0,07 0,05 0,03 0,73 0,55 0,44 0,36 0,31 0,28 0,25 0,22 0,20 0,17 0,14 0,11 0,09 0,08 0,06 0,04 0,02 0,66 0,47 0,37 0,31 0,26 0,23 0,20 0,18 0,17 0,14 0,11 0,09 0,07 0,06 0,05 0,03 0,02 0,58 0,40 0,31 0,25 0,21 0,18 0,16 0,14 0,13 0,11 0,09 0,07 0,06 0,05 0,03 0,02 0,01 0,50 0,33 0,25 0,20 0,17 0,14 0,13 0,11 0,10 0,08 0,07 0,05 0,04 0,03 0,03 0,02 0,01
  • 482.
    483 α = 0,01 2 3 4 5 6 7 8 9 10 12 15 20 24 30 40 60 120 0,99 0,99 0,97 0,93 0,88 0,84 0,79 0,75 0,72 0,65 0,57 0,48 0,42 0,36 0,29 0,22 0,12 0,99 0,94 0,86 0,79 0,72 0,66 0,62 0,57 0,54 0,48 0,41 0,33 0,29 0,24 0,19 0,14 0,08 0,98 0,88 0,78 0,70 0,63 0,57 0,52 0,48 0,45 0,39 0,33 0,27 0,23 0,19 0,15 0,11 0,06 0,96 0,83 0,72 0,63 0,56 0,51 0,46 0,43 0,39 0,33 0,29 0,23 0,20 0,16 0,13 0,09 0,05 0,94 0,79 0,68 0,59 0,52 0,47 0,42 0,39 0,36 0,31 0,26 0,20 0,18 0,15 0,11 0,08 0,04 0,92 0,76 0,64 0,55 0,49 0,43 0,39 0,36 0,33 0,29 0,24 0,19 0,16 0,13 0,10 0,07 0,04 0,90 0,73 0,61 0,53 0,46 0,41 0,37 0,34 0,31 0,27 0,22 0,17 0,15 0,12 0,10 0,07 0,04 0,88 0,71 0,59 0,50 0,44 0,39 0,35 0,32 0,29 0,25 0,21 0,16 0,14 0,12 0,09 0,06 0,03 0,87 0,69 0,57 0,49 0,42 0,38 0,34 0,31 0,28 0,24 0,20 0,16 0,13 0,12 0,09 0,06 0,03 0,85 0,67 0,55 0,47 0,41 0,36 0,32 0,30 0,27 0,23 0,19 0,15 0,13 0,11 0,08 0,06 0,03 0,79 0,61 0,49 0,41 0,35 0,31 0,28 0,25 0,23 0,20 0,16 0,12 0,11 0,09 0,07 0,05 0,02 0,71 0,52 0,41 0,34 0,29 0,25 0,22 0,20 0,18 0,15 0,13 0,10 0,08 0,07 0,05 0,03 0,02 0,61 0,42 0,33 0,26 0,22 0,19 0,17 0,15 0,14 0,12 0,09 0,07 0,06 0,05 0,04 0,02 0,01 0,50 0,33 0,25 0,20 0,17 0,14 0,13 0,11 0,10 0,08 0,07 0,05 0,04 0,03 0,03 0,02 0,01 Phụlục 4 Gi trị phân bố 2 (k - số bậc tự do)
  • 483.
    484 k q kq k q k q 0,05 0,01 0,05 0,01 0,05 0,01 0,05 0,01 1 2 3 4 5 6 7 8 9 10 11 12 13 3,84 5,99 7,81 9,49 11,1 12,6 14,1 15,5 16,9 18,3 19,7 21,0 22,4 6,63 9,21 11,3 13,3 15,1 16,8 18,5 20,1 21,7 23,2 24,7 26,2 27,7 14 15 16 17 18 19 20 21 22 23 24 25 26 23,7 25,0 26,3 27,6 28,9 30,1 31,4 32,7 33,9 35,2 36,4 37,7 38,9 29,1 30,6 32,0 33,4 34,8 36,2 37,6 38,9 40,3 41,6 43,0 44,3 45,6 27 28 29 30 31 32 33 34 35 36 37 38 39 40,1 41,3 42,6 43,8 45,0 46,2 47,4 48,6 49,8 51,0 52,2 53,4 54,6 47,0 48,3 49,6 50,9 52,2 53,5 54,8 56,1 57,3 58,6 59,9 61,2 62,4 40 41 42 43 44 45 46 47 48 49 50 55,8 56,9 58,1 59,3 60,5 61,7 62,8 64,0 65,2 66,3 67,5 63,7 65,0 66,2 67,5 68,7 70,0 71,2 72,4 73,7 74,9 76,2
  • 484.
    485 Phụ lục 5Hàm phân phối chuẩn Giá trị của (z), với 2 z z /2 1 (z) e dz 2       Nếu đổi dấu z, thì giá trị tra bảng chính là xác suất làm việc không hỏng z .00 .01 .02 .03 .04 .05 .06 .07 .08 .09 .0 .50000 .50399 .50798 .51197 .51595 .51994 .52392 .52790 .53188 .53586 .1 .53983 .54380 .54776 .55172 .55567 .55962 .56356 .56749 .57142 .57534 .2 .57926 .58317 .58706 .59095 .59483 .59871 .60257 .60642 .61026 .61409 .3 .61791 .62172 .62552 .62930 .63307 .63683 .64058 .64431 .64803 .65173 .4 .65542 .65910 .66276 .66640 .67003 .67364 .67724 .68082 .68439 .68793 .5 .69146 .69497 .69847 .70194 .70540 .70884 .71226 .71566 .71940 .72240 .6 .72575 .72907 .73237 .73565 .73891 .74215 .74537 .74857 .75175 .75490 .7 .75804 .76115 .76424 .76730 .77035 .77337 .77637 .77935 .78230 .78524 .8 .78814 .79103 .79389 .79673 .79955 .80234 .80510 .80785 .81057 .81327 .9 .81594 .81859 .82121 .82381 .82639 .82894 .83147 .83398 .83646 .83891 1.0 .84134 .84375 .84614 .84849 .85083 .85314 .85543 .85769 .85992 .86214 1.1 .86433 .86650 .86864 .87076 .87286 .87493 .87698 .87900 .88100 .88298 1.2 .88493 .88686 .88877 .89065 .89251 .89435 .89616 .89796 .89973 .90147 1.3 .90320 .90490 .90658 .90824 .90988 .91149 .91309 .91466 .91621 .91774 1.4 .91924 .92073 .92220 .92364 .92507 .92647 .92785 .92922 .93056 .93189 1.5 .93319 .93448 .93574 .93699 .93822 .93943 .94062 .94179 .94295 .94408 1.6 .94520 .94630 .94738 .94845 .94950 .95053 .95154 .95254 .95352 .95449 1.7 .95543 .95637 .95728 .95818 .95907 .95994 .96080 .96164 .96246 .96327 1.8 .96407 .96485 .96562 .96638 .96712 .96784 .96856 .96926 .96995 .97062 1.9 .97128 .97193 .97257 .97320 .97381 .97441 .97500 .97558 .97615 .97670 2.0 .97725 .97778 .97831 .97882 .97932 .97982 .98030 .98077 .98124 .98169 2.1 .98214 .98257 .98300 .98341 .98382 .98422 .98461 .98500 .98537 .98574 2.2 .98610 .98645 .98679 .98713 .98745 .98778 .98809 .98840 .98870 .98899 2.3 .98928 .98956 .98983 .920097 .920358 .920613 .920863 .921106 .921344 .921576 2.4 .921802 .922024 .922240 .922451 .922656 .922857 .923053 .923244 .923431 .923613 2.5 .923790 .923963 .924132 .924297 .924457 .924614 .924766 .924915 .925060 .925201 2.6 .925339 .925473 .925604 .925731 .925855 .925975 .926093 .926207 .926319 .926427 2.7 .92 6533 .92 6636 .92 6736 .92 6833 .92 6928 .92 7072 .92 7110 .92 7197 .92 7282 .92 7365 2.8 .927445 .927523 .927599 .927673 .927744 .927814 .927882 .927948 .928012 .928074 2.9 .928134 .928193 .928250 .928305 .928359 .928411 .928462 .928511 .928559 .928605 3.0 .92 8650 .92 8694 .92 8736 .92 8777 .92 8817 .92 8856 .92 8893 .92 8930 .92 8965 .92 8999 3.1 .930324 .930646 .930957 .931260 .931553 .931836 .932112 .932378 .932636 .932886
  • 485.
    486 3.2 .93 3129 .93 3363.93 3590 .93 3810 .93 4024 .93 4230 .93 4429 .93 4623 .93 4810 .93 4991 3.3 .935166 .935335 .935499 .935658 .935811 .935959 .936103 .936242 .936376 .936505 3.4 .93 6631 .93 6752 .93 6869 .93 6982 .93 7091 .93 7197 .93 7299 .93 7398 .93 7493 .93 7585 3.5 .937674 .937759 .937842 .937922 .937999 .938074 .938146 .938215 .938282 .938347 3.6 .938409 .938469 .938527 .938583 .938637 .938689 .938739 .938787 .938834 .938879 3.7 .938922 .938964 .940039 .940426 .940799 .941158 .941504 .941838 .942159 .942568 3.8 .942765 .943052 .943327 .943593 .943848 .944094 .944331 .944558 .944777 .944988 3.9 .94 5190 .94 5385 .94 5573 .94 5753 .94 5926 .94 6092 .94 6253 .94 6406 .94 6554 .94 6696 4.0 .946833 .946964 .947090 .947211 .947327 .947439 .947546 .947649 .947748 .947843 4.1 .947934 .948022 .948106 .948186 .948263 .948338 .948409 .948477 .948542 .948605 4.2 .94 8665 .94 8723 .94 8778 .94 8832 .94 8882 .94 8931 .94 8978 .95 0226 .95 0655 .95 1066 4.3 .951460 .951837 .952199 .952545 .952876 .953193 .953497 .953788 .954066 .954332 4.4 .954587 .954831 .955065 .955288 .955502 .955706 .955902 .956089 .956268 .956439 4.5 .956602 .956759 .956908 .957051 .957187 .957318 .957442 .957561 .957675 .957784 4.6 .95 7888 .95 7987 .95 8081 .95 8172 .95 8258 .95 8340 .95 8419 .95 8494 .95 8566 .95 8634 4.7 .958699 .958761 .958821 .958877 .958931 .958983 .960302 .960789 .961235 .961661 4.8 .96 2067 .96 2453 .96 2822 .96 3173 .96 3508 .96 3827 .96 4131 .96 4420 .96 4696 .96 4958 4.9 .965208 .965446 .965673 .965889 .966094 .966289 .966475 .966652 .966821 .966981  (z) z 0.60 0.253 0.70 0.524 0.80 0.842 0.90 1.282 0.95 1.645 0.99 2.326 0.999 3.090 0.9999 3.719 0.99999 4.27 0.999999 4.75 0.9999999 5.20 0.99999999 5.61 0.999999999 6.00 0.9999999999 6.36 Chú ý:  (-z) =  (z);  (3) = 0.92 8650 = 0.998650
  • 486.
    487 TÀI LIỆU THAMKHẢO 1. Fisher Ronald A. Design of Experiments, Hafner press, 1971. London. 2. Plackett R. L. and Burman J. P., The Design of Optimum Multifactorial Experiments, Biometrika. Vol. 33, No. 4 (Jun., 1946), pp. 305-325 (21 pages), Published By: Oxford University Press. 3. William G. Cochran, Gertrude M. Cox., Experimental Designs, John Wiley, New York, 1958. 4. Douglas C. Montgomery, Design and Analysis of Experiments, John Wiley & Sons; 10 edition, 2019. 5. Antony Jiju, Design of Experiments for Engineers and Scientists Publisher: Butterworth-Heinemann, 2007. 6. Cox D.R. and N. Reid (Author), The Theory of the Design of Experiments CRC, 1 edition, June 6, 2000. 7. John A. Cornell &I. J. Good, The Mixture Problem for Categorized Components, Journal of the American Statistical Association, Volume 65, 1970, Issue 329. 8. Henry Scheffé, Experiments with Mixtures, Journal of the Royal Statistical Society: Series B (Methodological), July 1958. 9. Henry Scheffé, The Simplex‐Centroid Design for Experiments with Mixtures, Journal of the Royal Statistical Society: Series B (Methodological), July 1963. 10. Dean A. , D.Voss, Design and Analysis of Experiments, Springer. 2002. 11. Funkenbusch P.D., Practical Guide to Designed Experiments, Marcel Decker. 2005. 12. Goupy J., Introduction to Design of experiments, SAS Publishing. 2007. 13. Hinkelmann K., Design and analysis of experiments: Tom 1 Introduction to Experimental Design, Tom 2 Advanced Experimental Design. Wiley, 2007. 14. Lorenzen Thomas, Anderson Virgil, Design of Experiments Statistics: a Series of Textbooks and Monographs, 1993. 15. Lyman Ott R., Statistical Methods and Data Analysis, Duxbury, 2001. 16. Nguyễn Cảnh, Quy hoạch thực nghiệm, NXB ĐHQG TP HCM, 2004. 17. Raymond H. Myers, Douglas C. Montgomery, Response Surface Methodology: Process and Product Optimization Using Designed Experiments. Wiley-Interscience, 2 edition (February 5, 2002).
  • 487.
    488 18. Володарский Е.Т. Планирование Организация Измерительного эксперимента. Вiщa школа, 1987. 19. Нгуен Х.Л., Исследование рациональных режимов обработки древесины методом фрезерования, БГТУ, Минск 1992. 20. Новик Ф. С., Арсов Я. Б. Оптимизация процессов технологии металлов методами планирования экспериментов. М.: Машиностроение; София: Техника, 1980. — 304 с. 21. Рыков В. В., Иткин В. Ю. Математическая статистика и планирование эксперимента. М.: Российский государственный ун-т нефти и газа им. И. М. Губкина, 2008. - 210 с. 22. Фаддеев М. А. Элементарная обработка результатов, 2002. 23. Хамханов К. М. Основы планирования эксперимента. 2001. 24. Ящерицын П. И., Махаринский Е. И., Планироевание эксперимента в машиностроении, Выcшейшая школа, 1992. 25. Mathews, Paul G., Design of experiments with MINITAB, American Society for Quality, Quality Press, 2005. 26. Ахназарова С.Л., Кафаров В.В. - Методы оптимизации эксперимента в химической технологии,1985, Высшая школа. 27. Ravindran A., Engineering Optimization, 1940: International Secretariat, Institute of Pacific Relations. 28. Raphael T. Haftka and Zafer Gurdal, Elements of Structural Optimization, 1992, Kluwer Academic Publishers. 29. Зедгинидзе И.Г. Планирование эксперимента для исследования многокомпонентных систем. - М.: Наука, 1976. - 390 с. 30. Пижурин А.А. Основы научных исследований в деревообработке: Учебник для вузов /А.А. Пижурин, А.А. Пижурин. - М.: ГОУ ВПО МГУЛ, 2005. - 305 с. 31. Ranjit K. Roy, A primer on the Taguchi method, 2010, Society of Manufacturing Engineers. 32. Krishnaiah K. and Shahabudeen P., Applied design of experiments and Taguchi methods, 2012 by PHI Learning Private Limited, New Delhi. 33. Trần Kim Liên, Phạm Hồng Hải, Đỗ Quang Kháng. Áp dụng phương pháp quy hoạch thực nghiệm trong nghiên cứu chế tạo vật liệu blend ba cấu tử trên cơ sở NBR – PVC – CR. Tạp chí Khoa học và Công nghệ 49 (6) (2011) 39-45.
  • 488.
    489 34. Tran VanThuy and Nguyen Huu Loc, Investigation on influence of cutting parameters on spindle vibration of CNC wood milling machine, in MATEC Web of Conferences, 2018, p. 01007. 35. Nguyễn Hữu Lộc, Lê Thanh Duy, Nghiên cứu ảnh hưởng các thông số đến hiệu suất bộ truyền bánh răng sử dụng phương pháp Taguchi, Tạp chí Cơ khí Việt Nam, Số đặc biệt, 12, 2021. 36. Nguyen Huu Loc, Le Thanh Duy, Using the Box–Behnken Response Surface Method to Study Parametric Influence to Improve the Efficiency of Helical Gears, October 2021, Machines 9(11)(264, 2021). 37. Nguyen Huu Loc and Trinh Q. H., Optimization of cutting parameters on surface roughness and productivity when milling wood materials, Journal of Machine Engineering, 2021, Vol. 21, No. 3, 5 – 23. 38. Nguyen Huu Loc, Trinh Q. H., 2021, Study the Surface and Chip Formation of Wood Materials by Milling Method, Materials Science Forum, Vol. 1047, pp 74-81. 39. Nguyen Huu Loc, Tran Van Thuy, Applying FCCCD Response Surface Method In Studying The Cutting Power Of The Wood Milling Machine, Solid State Phenomena, Vol. 330, pp. 25-31, 2022. 40. Nguyen Huu Loc, 2021, Experimental Study of Tool Wear when Milling Tropical Wood with Various Tool Materials, Key Engineering Materials. Vol.904: p.260-267. 41. Nguyễn Hữu Lộc, Trần Văn Thùy, Tối ưu kết cấu máy CNC kiểu giàn sử dụng phương pháp giải thuật di truyền, Hội nghị khoa học và công nghệ Toàn quốc về Cơ khí lần thứ V - VCME 2018, 2018. 42. Nguyễn Hữu Lộc, Thiết kế và phân tích hệ thống cơ khí theo độ tin cậy, Nhà xuất bản Quốc Gia TP Hồ Chí Minh, 2015. 43. Mitchell Melanie, An introduction to genetic algorithms, MIT Press, 1999. 44. Jenkins, W., Structure Optimization With the Genetic Algorithm, Structure Engineering, 1991, pp. 418-422. 45. Shape Optimization Method Based on a Genetic Algorithm, Struct. Multidiscip. Optim., 2001, pp. 57-64. 46. Koza, John R., Genetic Programing: On the programming of Computer by Means of Natural Selection, Cambridge, 1992. 47. Dmitrij Sesok, and Rimantas Belevicius, Use of genetic algorithm in topology optimization of truss structures, ISSN 1392-1207, Mechanika, 2007. 48. Dmitrij Sesok, and Rimantas Belevicius, Use of genetic algorithm in topology optimization of truss structures, ISSN 1392-1207. Mechanika, 2007.
  • 489.
    490 49. Nguyễn HữuLộc, Nguyễn Như Ý, Thiết kế tối ưu kết cấu, NXB Đại học Quốc Gia TP Hồ Chí Minh 2018. 50. Nguyen Huu Loc, Nguyen P. H., Utilizing response surface methods designs for optimization of technological parameters on the vibration amplitude of CNC router spindle, ASEAN Engineering Journal, Vol 11 No 1 (2021), e- ISSN 2586-9159 p. 34. 51. Getting Started with Minitab 17, 2016 by Minitab Inc. 52. https://developpaper.com/machine-learning-gradient-descent-method/ 53. https://www.weibull.com/hotwire/issue180/hottopics180.htm. Using Mixture Designs in DOE++