Ad
Ad
Ad
Ad
Ad
Ad
Ad
Ad
Ad
Ad
Ad
Додаток 3
інв. Номер Назва Кількість
Дата введення 
в експлуатацію
Початкова 
балансова вартість
Залишкова 
вартість на 
3...
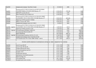
7д00090 Цифрова фотокамера 12мр Nikon Coolpix 1 01.06.2011 2495 0,00
7д00091
Компютер DC E5700 3/0 GHz/GA-G41MT-D3/DDR3
2G...
7д00031 цифрова фотокамера Olimpus 1 12.09.2003 2400,00 0,00
7д00032 комп"ютер 1 01.03.2004 1479 0,00
7д00033 цифрова фото...
1 of 3 Ad
1 of 3 Ad