You are reading a preview.
Create your free account to continue reading.
Sign Up
Share SlideShare
Facebook
Twitter
LinkedIn
Embed
Size (px)
Show related SlideShares at end
WordPress Shortcode
Link
Share
Email
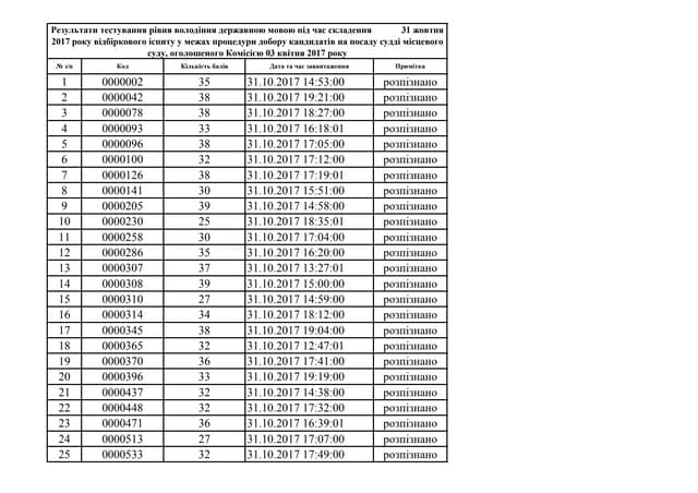
Результаты тестов
by Pravotv
13081 views
система судов украины2
by Pravotv
14608 views
6 idm sh_ua
by 6klas
35845 views
6 iss g_u
by 6klas
16050 views
6 vi b_ua_2014
by 6klas
528268 views
6 vi p_ua_2014
by 6klas
451028 views
Top clipped slide
1
1
of
2