SlideShare a Scribd company logo
Page 1 of 97
D I R E C T O R A T E O F R E V E N U E I N T E L L I G E N C E
13, SIR VITHALDAS THAKERSEY MARG,
OPP PATKAR HALL, NEW MARINE LINES,
MUMBAI 400 020
PH: 022-22010115, 022-22010116
----------------------------------------------------------------------------------------------------------
F.No.DRI/MZU/CI-224 (PMC)/2013 Date: 15-05-2014
Subject: Gross over-valuation in the import of goods by M/s Maharashtra
Eastern Grid Power Transmission Company Limited (MEGPTCL), a
wholly owned subsidiary of M/s ADANI Enterprises Limited (AEL)
through the contractor M/s PMC Projects (India) Private Limited -
Show Cause Notice under Section 124 of the Customs Act, 1962 –
reg.
1.1 Intelligence developed by Mumbai Zonal Unit (MZU) of Directorate of
Revenue Intelligence (DRI) indicated that various entities of Adani group were
indulging in gross over-valuation of imported goods (zero or low duty rated) to siphon
off money abroad from public listed companies. The modus-operandi followed was
that for power sector imports (Power generation:- Zero % duty and Power
transmission:- 5% Basic Custom Duty), while the goods from various vendors (mostly
South Korean & Chinese) are sent directly to India, the documents are routed through
an intermediary entity created by them in the UAE, viz. M/s. Electrogen Infra FZE,
who raised inflated invoices (inflating the values in original invoices of OEMseveral
times) on the Indian company, against which money is remitted to UAE. The activities
of M/s Electrogen Infra FZE, UAE are apparently controlled and managed by the
Adani Group through one or more of its representative firms and/or personnel.
Intelligence further suggested that from UAE, while the actual invoice value is remitted
to respective OEMs, the extra amount is routed to the Mauritius account of the parent
company of M/s Electrogen Infra FZE i.e. M/s Electrogen Infra Holding Pvt. Ltd.
1.2 On the basis of the said intelligence, enquiries were initiated into the
import of goods invoiced by M/s Electrogen Infra FZE, UAE (here-in-after referred to
as ‘EIF’ also),which were found to have been imported and cleared in the name of M/s
PMC Projects (India) Private Limited, (IEC No. 0805004416)(here-in-after referred to as
‘PMC’ also), having its registeredoffice in Ahmedabad.
1.3 Information and documents were sought from PMCvideletter dated 05-
02-2013 bearing F.No.DRI/MZU/CI-224/2013/997(RUD-C/1). The company, vide its
letter Ref.No. PMC/DRI/Reply/1394/13 dated 26.02.2013, (RUD-D/1) sought extra-
time of 15 days upto 15.03.2013, on the plea of being unable to compile the
Page 2 of 97
requisitioned information within the given time frame. Subsequently, on or about
13/14-03-2013, the company through a representative from its Mumbai office, sought
to submit certain documents in two box files, which on preliminary scrutiny turned
out to be incomplete and did not contain all the requisitioneddocuments. The said
documents were returned back forthwith to the representative, since they were not
only found to be incomplete but submission of crucial documents also appeared to
have been withheld. This aspect was categorically pointed out to the concerned
person, Shri AjitBarodia, Associate VP of the Adani Group who had been been deputed
to this Unit with the documents to co-ordinate the company’s response, as well as
verbally to one Shri Vidyut Joshi, an employee of PMCbased at Ahmedabad. Despite
the documents having been returned back to the importer’s representative with
specific instructions, PMCproceeded to forward the same incomplete documents in two
box files by post. These facts were brought to the notice of the Vice-President of the
Adani Group, handling corporate affairs, who had liaised with this Unit on behalf of
PMC, through a letter dated 26-03-2013 (RUD-C/2) bearing F.No. DRI/MZU/CI-
224/2013/1869, drawing his attention to delay in furnishing of the requisitioned
information&documents
1.4 A specific request was made in the letter 26-03-2013, for immediate
submission of the all Contracts/Agreements entered into by EIF with one or more
overseas firms/entities in connection with sourcing of equipments/machinery for
eventual supply to PMC. Specific mention was made in the letter for submission of a
copy of the Contract No. bearing reference no. 700003, purported to be the contract
number for the Contract executed between EIF and M/s Hyundai Heavy Industries Co.
Ltd. , South Korea, involving supply of high voltage transformers, shunt reactors etc.,
mention of which was found in some of the documents forwarded by the importer in
the two box files.
2.1 The information and documents forwarded by PMC under cover of letter
bearing Ref : PMC/765/DRI/REPLY/1401/13 dated 12-03-2013 (RUD-D/2), were
examined. From the submissions made by the importer in the said letter, it appeared
that M/s Maharashtra Eastern Grid Power Transmission Company Limited, having its
registered office at Adani House, Mithakhali Six Roads, Navrangpura, Ahmebadad-
380009 (here-in-after referred to as ‘MEGPTCL’ also), a wholly owned subsidiary of
M/s Adani Enterprises Limited, (here-in-after referred to as ‘AEL’ also), the flagship
company of the Adani Group, under Licence from the Maharashtra Electricity
Regulatory Commission, Mumbai (here-in-after referred to as ‘MERC’ also), a
electricity regulatory body of government of Maharashtra, was setting up a 765 KV
intra-state transmission network in eastern part of the State of Maharashtra, to
evacuate power from the upcoming five power plants. The project apparently involved
setting up of two765 KV S/C transmission lines in the corridor of Tiroda– Koradi III –
Akola II – Aurangabad, alongwithassociated sub-stations and bays. It further appeared
that based on an application dated 18-02-2010, made by MEGPTCL to the MERC
requesting for grant of transmission licence under section 14 of the Electricity Act,
Page 3 of 97
2003 and the Maharashtra Electricity Regulatory Commission (Transmission Licence
Conditions) Regulations, 2004 for development of transmission system as above, for
evacuation of power from projects in north-eastern Maharashtra, the MERC vide its
order dated 14-09-2010 appears to have granted a Transmission Licence i.e
Transmission Licence No. 1 of 2010 (RUD-D/3)for a period of 25 years to MEGPTCL.
2.2 The Commission in its order dated 14-09-2010 observed that capital cost
of the transmission project should be optimized and grant of licence should not in any
manner be construed as approval of the cost and other details of the project by the
Commission. The Commission accordingly,inter-alia, imposed certain conditions,
which were to be construed as specific conditions for the Transmission Licence. The
first and foremost condition, as per the MERC’s order, was that the construction and
commissioning of the transmission system shall be executed through suitable
packages and contracts for these packages shall be awarded through Competitive
Bidding basis. The said order further contained directions that the aforesaid Specific
Conditions of the Transmission Licence of MEGPTCL are specified by regulations
under Section 16 of the Electricity Act, 2003 and that such conditions shall be deemed
to be conditions of Licence of MEGPTCL. These conditions appear to have been
expressly incorporated in the Transmission Licence No. 1 of 2010 dated 21-09-2010
granted to MEGPTCL.
2.3 Perusal of copy of the Purchase Order bearing Ref.
MEGPTCL/PMC/AD/03/10 dated 27-09-2010 (RUD-D/4)placed by MEGPTCL on
PMC revealed that it covered design, engineering, manufacture, procurement,
assembly and testing at works, packing & forwarding, supply, inland transportation
and transit insurance for items/materials for 765 KV & 400 KV sub-stations including
allequipments , auto transformers and shunt reactors associated with 765 KV Tiroda-
Koradi III-Akola III-Aurangabad Transmission System in Maharashtra. Relevant
extracts of the purchase order under the heading References is reproduced below :-
‘”References:
1. Tender Notice No. MEGPTCL/765 KV & 400 KV SS/EPC/02 issued vide letter ref.
no. MEGPTCL/Trans.Line/Tender-EPC/KP/36/10 dated 17-08-2010.
2. Pre-bid Meeting dated 21-08-2010
3. Your Techno-Commercial Bid Ref.PMC/MEGPTCL/Tender/696/10 dated 04-09-
2010
4. Letter of Intent Ref.AD/MEGPTCL/SS/01 dated 23-09-2010”
Contents of the Purchase Order, as reproduced above, appeared to indicate that
Purchase Order was placed pursuant to a tendering process in selection of PMC as the
contractor for execution of works. From the contents of the Purchase Order, it further
appeared that though the Purchase Order had been addressed to PMC, express
mention appears to have been made regarding the Purchase Order being placed on a
consortium which included M/s PMC Projects (India) Private Limited. However, the
Page 4 of 97
names of other members of the consortium were not forthcoming in the Purchase
Order. The Purchase Order value given at Clause 2.0 under Contract Price stood at Rs.
1440,65,10,525/- The price appeared to have been revised subsequently to Rs.
1693,94,04,176/- vide Purchase Order Amendment-1 bearing Ref. No.
MEGPTCL/PMC/AD/03/10/AMDT-1 dated 05-07-2011 (RUD-D/ 5 ).
2.4 On scrutiny of the documents, it further appearedthat PMC, for the
purpose of executing the order placed on by M/s MEGPTCL, on their part, in turn
appeared to have sub-contracted orders on two different entities viz. M/s ABB Limited,
Bangalore and EIF. A portion of the order placed on PMC by M/s MEGPTCL, was sub-
contracted to M/s ABB Limited, Bangalore by PMC by way of entering into a contract
dated 28-09-2010(RUD-D/6) with them,for sourcing of Surge Arresters & Isolators for
various sub-stations. The scope of supplies included both off-shore and onshore
supplies for an aggregate consideration of Rs. 189,40,37,306/- , price of the off-shore
and on-shore supply components being Rs. 20,76,16,131/- &Rs. 166,27,13,450/-
,respectively,and the balance of Rs. 2,37,07,726/-, being freight and transit insurance
for onshore and offshore supplies. The remaining portion of the work ordered on PMC
by MEGTPCL under Purchase Order dated 27-09-2010 appears to have beensub-
contracted by PMC to EIF, by way of entering into and executing an agreement bearing
no. 415703 on 01-10-2010 (RUD-D/7)with them for an aggregate consideration of
USD 376,195,652/- for sourcing Auto Transformers, Shunt Reactors, Disc
Insulatorsand OpticalFiber Ground Wire (OPGW) alongwith hardware and fittings.
It,therefore, appeared that PMC was to fulfilthe contractual obligations covered in the
Purchase Order dated 27-09-2010 placed on it by MEGTPCL in so far as it related to
sourcing of equipment and machinery, by way of arranging procurements from M/s
ABB Limited and EIFunder two separate contracts as narrated above.
2.5 PMC appears to be have been engaged by MEGPTCL, a wholly owned
subsidiary of M/s Adani Enterprises Limited, (AEL) and recipient of power
Transmission Licence issued by Maharashtra Electricity Regulatory Authority
Commission (MERC) for setting up two 765 KV Transmission corridor from Tiroda-
Koradi III-Akola II- Aurangabad in Maharashtra State, as a sub-contractor for and on
behalf of MEGPTCL, to execute works in pursuance of the power Transmission Licence
granted to it.
2.6 Vide a document titled Amendment-1 to Agreement No. 415703 dated
30-09-2011 (RUD-D/8)bearing reference no. Ref.415703/Amdt.-1, executed between
PMC and EIF, certain amendments appear to have been carried out. Marine Insurance
which was within the scope of EIF as per the original agreement appears to have been
removed from its scope vide the said Amendment. The total price under the scope of
work covered by the Agreement appears to have been amended and reduced to USD
376,077,628/- from USD 376,195,652/-.
Page 5 of 97
2.7 Further scrutiny of the documents appeared to reveal that MEGPTCL,
through an application bearing Ref.No. MEGPTCL/Energy/Certificate/01/11 dated
04-09-2011 (RUD/D-9)made to the Principal Secretary, Energy Department,
Government of Maharashtra, Mantralaya Main Building, Mumbai, requested for
issuance of essentiality certificate for import of transformers with accessories & shunt
reactors with accessories for the two transmission lines to be set up in the corridor of
Tiroda-Koradi-Akola- Aurangabad, while making a mention therein of the contract it
entered into with EIF. In its application, MEGPTCL,inter-alia, stated that PMC would
be importing transformers with accessories and shunt reactors, on behalf of MEGPTCL
as EPC contractor from EIF and would avail benefit of General Exemption No. 122. As
per the said application, the goods covered by the essentiality certificate to be issued,
were proposed to be registered with the Kandla Custom House for availing
concessional rate of duty as project imports. As a part of enclosures to the said letter,
MEGPTCL appear to have inter-alia, enclosed certain pages which apparently were
print-outs of product catalogues of M/s Hyundai Heavy Industries Co. Ltd. for shunt
reactors and transformers, thereby prima-facie indicative of the origin and make of the
transformers and shunt-reactors (i.eHyundai make, South Korea) to be supplied by
EIF to PMC. This appears to have been followed up by subsequent applications to the
Principal Secretary, Energy Department, Government of Maharashtra from time to
time through letters dated 24-09-2011, 17-11-2011 and 24-01-2012(RUD-D/10).
Similar correspondence made to Principal Secretary, Energy Department, Government
of Maharashtra seeking essentiality certificate so as to be able to avail concessional
rate of duty were also found in respect of Surge Arresters and Surge Counters to be
supplied by M/s ABB AB, Sweden through its Indian counterpart, M/s ABB Limited to
PMC, based on the application made by MEGPTCL. The Principal Secretary (Energy),
appears to have certified essentiality of goods for concessional rate of duty from time
to time.
2.8 From scrutiny of the documents submitted by the importer, it further
appeared that MEGPTCL made applications to the Commissioner of Customs, Kandla,
seeking to registerthe contract for supply of equipmentsfor availing concessional rate
of duty, to the extent of equipments for which they were in possession of certificate of
essentiality issued by the Government of Maharashra. Based on the applications
received, the office of Commissioner of Customs, Kandla Custom House appeared to
have registered the said project [(Registration No. 27/2011-12-Page No. 95) -F.No.
S/42-38/MEGPTCL/Gr.VI/2011] for assessment under heading 98.01.(RUD-D/11).
Entries in the register were updated for additional value registrationsdepending on
issuance of fresh essentiality certificates from time to time. Details of the registrations
done by the Kandla Custom House, as per information provided by PMC, with
reference to the supplies from EIF covered by Contract no. bearing 415703 dated 01-
10-2010 (RUD-D/12) is summarized in the table below :-
Page 6 of 97
Table - 1
Value of contracts registered with Kandla Custom House for assessment under
heading 98.01 against supplies covered by Contract no. 415703 dated 01-10-
2010 between PMC and EIF
S.No
.
Date & File No. of REIFstration CIF Value in USD Description of goods
1. S/42-38/MEGPTCL/Gr.VI/2011 dt.
01-11-2011
52313104.21 Auto Transformers, shunt reactors &
mandatory spares.
2. S/42-38/MEGPTCL/Gr.VI/2011 dt.
17-11-2011
31872406.27 Auto Transformers & mandatory spares
3. S/42-38/MEGPTCL/Gr.VI/2011 dt.
23.12-2011
50179259.26 Shunt Reactors & mandatory spares
4. S/42-38/MEGPTCL/Gr.VI/2011 dt.
30-12-2011
20529460.48 Shunt Reactors & Mandatory spares
5. S/42-38/MEGPTCL/Gr.VI/2011 dt.
16-02-2012
55154343.68
50179259.12
Shunt Reactors & Mandatory spares
Auto Transformers & mandatory spares
TOTAL CIF 260,227,832.90
2.9 From the figures shown in the table above, , it is evident that the
aggregate value of supply of auto transformers, shunt reactors and mandatory spares
to the tune of USD 260,227,832.90 appears to have been registered for assessment
under heading 98.01 by theOffice of Commissioner of Customs, Kandla. Going by the
price schedule summary sheet (RUD-D/13)given at Schedule 1 to Agreement No.
415703 dated 01-10-2010 between EIF and PMC, these items appear to be covered by
Sr.No. A & B. (A I & II and B-I &B-11) and the aggregate price works out to USD
260,269,978, value whereof being by and large in conformity with the aggregate value
registered for concessional assessment as project imports. The value of the other items
covered at Sr. No. C and D of Schedule 1 of the Agreement bearing No. 415703 dated
01-10-2010 between EIF and PMC involving supply of Disc Insulators and Optical
Fiber Ground Wire or Optical Ground Wire (OPGW)with hardware &accessories,
respectively, apparently were not sought to be registered for assessment under
heading 98.01, thereby implying that the these goods were to be cleared at merit rate
of duty.
2.10 Similar details of registration in respect of goods to be sourced by PMC
from M/s. ABB Limited, under Contract dated 28-09-2010 is summarized on the basis
of documents forwarded by the importer :-(RUD-D/14)
Table - 2
Value of contracts registered with Kandla Custom House for assessment under
heading 98.01 against supplies covered by Contract dated 28-09-2010 between
M/s PMC Projects (I) Pvt. Ltd. and M/s ABB Limited
S.No. Date & File No. of Registration CIF Value in USD Description of goods
1. S/42-38/MEGPTCL/Gr.VI/2011
dt. 16-02-2012
17866360 Surge Arrester and Surge Counter
2. S/42-38/MEGPTCL/Gr.VI/2011
dt. 16-02-2012
31991193 Surge Arrester and Surge Counter
3. S/42-38/MEGPTCL/Gr.VI/2011
dt. 07-05-2012
35024201.53 Isolator with one, two earth switch & spares
4. S/42-38/MEGPTCL/Gr.VI/2011
dt. 08-05-2012
51058246 Isolator with one, two earth switch & spares
5. S/42-38/MEGPTCL/Gr.VI/2011
dt. 16-02-2012
34167744 Isolator with one, two earth switch & spares
170,107,744.50
Page 7 of 97
It appears that pursuant to the above registration, goods were imported by M/s PMC
on high-sea-sale basis from M/s ABB Limited (IEC-0388038047) i.e M/s ABB Limited
(the original importer) imported the aforelisted goods and sold the same on high-sea-
sale basis to M/s PMC Projects (India) Pvt. Ltd., who filed bills of entry claiming
assessment at concessional rate of duty under heading 98.01. Since the present
investigation is in the context of supplies made by EIF, reference to imports by M/s
PMC Projects from ABB Limited, are being made and mentioned solely for the limited
purposes of understanding how the overall scope of work ordered by MEGPTCL on
PMC in the Purchase Order dated 27-09-2010 was further sub-contracted to the two
entities i.e. (i) EIF, and (ii) M/s ABB Limited.
2.11 With regard to the specific request made by this Unit for copies of the
invoices raised by the original supplier/original equipment manufacturer and copies of
the corresponding agreements entered into by EIF with such overseas entities, M/s
PMC Projects (India) Private Limited submitted, in their response dated 12-03-2013
that such documents were required to be obtained from EIF and M/s ABB Limited,
whom they had requested and that the said documents would be submitted
immediately upon receipt from EIF and M/s ABB Limited. Subsequently, vide another
letter bearing Ref.No. PMC/765/DRI/REPLY/1412/13 dated 25-04-2013, (RUD-
D/15)they conveyed that in response to their letter to EIF to provide copies of the
invoices/contracts between them and the original equipment manufacturer, M/s
Hyundai Heavy Industries Co. Ltd., South Korea, EIF had expressed their inability to
provide the requisite documents citing the reason of business confidentiality.
3.01 Imports made in the name of PMC as available on the Electronic-Data-
Interchange (EDI) system were retrieved and examined. It appeared from scrutiny of
the import data that PMC commenced its imports with invoice from EIF in the year
2011. As per the EDI data-base, the first consignment imported under Bill of Entry
No. 740818 dated 03-03-2011 with invoice from EIF involved import of goods declared
to be ‘120 KN and 210 KN Disc Insulators’ which were cleared through JNCH,
NhavaSheva at merit rate of duty applicable at the time of clearance. This
consignment was followed up,inter-alia,by several other imports which were noticed to
have been cleared through Mundra Port at merit rate duty involving clearance of goods
declared to be Glass Disc Insulators, OPGW cable, OPGW hardware and accessories.
The overseas firm, who had raised invoices in the name of PMC, for these
consignmentswas found to be EIF. The EDI data base also reflected certain imports
which were found to have been assessed and cleared at concessional rate of duty
under heading 98.01, details of which are narrated in the following paragraphs
separately.
3.2 Brief particulars of the consignments invoiced by EIF, imported,inter-
alia, by PMC involving import of goods required for setting up/installation of the two
transmission lines are tabulated below in Table-3A (those cleared at merit rate) and
Table-3B (those cleared claiming concessional rate under project import under 98.01)
Page 8 of 97
Table-3A
(Details of consignments imported by PMC and cleared at merit rate)
S. No.
BE No.
& date
SUPPLIER
(ELECTROGEN INFRA
FZE’S INVOICE NO.
/DATE
INV. VALUE
(USD)
BILL OF LADING
(B.L.) NO./ DATE
SHIPPER AS PER B.L.
[A] [B] [C] [D] [E] [F]
1
740818/
03-03-
2011
PMC/EG/11009/001
dt.: 09.02.11/09-02-
2011
4270200
MAEU601299135
/09-02-2011
DALIAN INSULATOR GROUP
CO. LTD
2
3036910/
24-03-
2011
PMC/EG/FP09022011
/002/15-02-2011
3269009.28
NDACVF300 /15-
02-2011
SEDIVER INSULATORS
(SHANGHAI) CO. LTD.
3
3427185/
06-05-
2011
PMC/EG/EG11053/DI
/004 dt.: 26.04.11/26-
04-2011
8846304
YMLUZ245202791
/05-04-2011
DALIAN INSULATOR GROUP
CO. LTD
4
3493704/
13-05-
2011
PMC/EG/EG11067/DI
/005/26-04-2011
3783025.2
APLU062194693
/31-03-2011
DALIAN INSULATOR GROUP
CO. LTD
5
3525050/
18-05-
2011
PMC/EG/SE110325/S
E/003 /26-04-2011
989736
YMLUZ230140405
/31-03-2011
SUZHOU FURUKAWA POWER
OPTIC CABLE CO. LTD. ,
CHINA
6
3685422/
02-06-
2011
PMC/EG/FP23042011
/SI/006 /20-05-2011
5608544.64
YMLUZ230145416
/28-04-2011
SEDIVER INSULATORS
(SHANGHAI) CO. LTD.
7
3739813/
08-06-
2011
PMC/EG/SE110509/S
F/007 /26-05-2011
2499741.2
YMLUZ230148714
/12-05-2011
SUZHOU FURUKAWA POWER
OPTIC CABLE CO. LTD. ,
CHINA
8
4472634/
26-08-
2011
PMC/EG/FP15072011
/SI/008 /06-08-2011
5608544.64
YMZUZ230162786
/22-07-2011
SEDIVER INSULATORS
(SHANGHAI) CO. LTD.
9
4798484/
30-09-
2011
PMC/EG/SE110817/S
F/012 /26-09-2011
4563413.62
KKLUSH4220867/
04-09-2011
SUZHOU FURUKAWA POWER
OPTIC CABLE CO. LTD. ,
CHINA
10
4799346/
30-09-
2011
PMC/EG/FP26082201
1/SI/011 /26-09-2011
5608544.64
MSCUY5709319/0
2-09-2011
SEDIVER INSULATORS
(SHANGHAI) CO. LTD.
11
5327127/
29-11-
2011
PMC/EG/EG11217/DI
/015 /19-11-2011
5302000
MSCUDL744655
/11-11-2011
DALIAN INSULATOR GROUP
CO. LTD
12
5905812/
03-02-
2012
PMC/EG/FP23122011
/SI/021 /18-01-2011
5608544.64
YMLUZ230190641
/30-12-2011
SEDIVER INSULATORS
(SHANGHAI) CO. LTD.
13
5906514/
30-02-
2012
PMC/EG/FP16122011
/SI/020 /18-01-2012
5608544.64
NDAEHH600 /13-
12-2011
SEDIVER INSULATORS
(SHANGHAI) CO. LTD.
14
5971442/
10-02-
2012
PMCEG111207SF019
/16-01-2011
5356134.48
NDAEHH600/13-
12-2011
SUZHOU FURUKAWA POWER
OPTIC CABLE CO. LTD. ,
CHINA
15
6225685/
12-03-
2012
PMC/EG/EG12001/DI
/027 /22-02-2012
5470280
MSCUDL786284/
28-01-2012
DALIAN INSULATOR GROUP
CO. LTD
16
6674228/
28-04-
2012
PMC/EG/EG12015/DI
/038/23-04-2012
7699000
MSCUDL815422/
30-03-2012
DALIAN INSULATOR GROUP
CO. LTD
17
6921529/
24-05-
2012
PMC/EG/EG12047/DI
/039 dt.: 21.05.12/21-
05-2012
3792053.84
YMLUZ245204311
/04-05-2012
DALIAN INSULATOR GROUP
CO. LTD
18
7420406/
18-07-
2012
PMC/EG/FP21062012
/SI/043 /12-07-2012
5048000
YMLUZ230223990
/28-06-2012
SEDIVER INSULATORS
(SHANGHAI) CO. LTD.
19
7421168/
18-07-
2012
PMC/EG/EG12094/DI
/042 /12-07-2012
2734564
YMLUZ245204378
/23-06-2012
DALIAN INSULATOR GROUP
CO. LTD
20
8104738/
03-10-
2012
PMC/EG/FP06092012
/SI/045 /27-09-2012
5410356.4
YMLUZ230241803
/14-09-2012
SEDIVER INSULATORS
(SHANGHAI) CO. LTD. CHINA
21
8752773/
13-12-
2012
PMC/EG/SE121116/S
F/046 /10-12-2012
2438920
YMLUZ230256175
/22-11-2012
SUZHOU FURUKAWA POWER
OPTIC CABLE CO. LTD. ,
CHINA
22
8823356/
20-12-
2012
PMC/EG/FP03122012
/SI/047 /19-12-2012
6429000
YMLUZ230259583
/06-12-2012
SEDIVER INSULATORS
(SHANGHAI) CO. LTD. CHINA
23
8924721/
02-01-
2013
PMC/EG/SE121210/S
F/052 /29-12-2012
4956776
YMLUZ230260792
/13-12-2012
SUZHOU FURUKAWA POWER
OPTIC CABLE CO. LTD. ,
CHINA
Page 9 of 97
24
9215792/
04-02-
2013
PMC/EG/SE130111/S
F/054 /29-01-2012
4285010.4
YMLUZ230269660
/17-01-2013
SUZHOU FURUKAWA POWER
OPTIC CABLE CO. LTD. ,
CHINA
25
9613690/
19-03-
2013
PMCSE130224SF055
/13-02-2013
2830412.2
YMLUZ230277098
/28-02-2013
SUZHOU FURUKAWA POWER
OPTIC CABLE CO. LTD. ,
CHINA
26
3071687/
22-08-
2013
PMC/EG/SE130729/S
F/060 /15-08-2013
1851454
YMLUZ231O0478
3/03-08-2013
SUZHOU FURUKAWA POWER
OPTIC CABLE CO. LTD. ,
CHINA
TOTAL 119868113.82
Note 1 :All except Sr.No. 1 (cleared through NhavaSheva) have been cleared through
Mundra Port.
Table-3B
(Details of consignments imported by PMC and cleared at concessional rate of
duty under heading 98.01)
S.
No.
BE No. &
/date
SUPPLIER
(ELECTROGEN INFRA
FZE’S INVOICE NO.
/DATE
INV. VALUE
(USD)
BILL OF LADING
(B.L.)/ NO./DATE
SHIPPER AS PER B.L.
[A] [B] [C] [D] [E] [F]
1
5094332/
03-11-
2011
PMC/EG/20103354TNG
001/HHI/009 /09-09-
2011
42836611.3
HDMUUSOMN119010
0/ 13-08-2011
HHICL*
2
5094334/
03-11-
2011
PMC/EG/20103354TNG
001A01/HHI/013 /28-
09-2011
3859806.74
KECO12020337/ 03-
09-2011
HHICL
3
5284599/
24-11-
2011
PMC/EG/20103354TNG
001A02/HHI/014 /21-
10-2011
1385993.65
11109521108011/ 02-
10-2011
HHICL
4
5296316/
25-11-
2011
PMC/EG/20103354TNG
002A01/HHI/010/26-
09-2011
20870378.66
HDMUMAOMN120010
0/ 27-08-2011
HHICL
5
5728265/
13-01-
2012
PMC/EG/20103355TRG
0022A01/HHI/017 /05-
01-2012
15095898.67
HDMD001A/ 27-10-
2011
HHICL
6
5907344/
03-02-
2012
PMC/EG/20103355TRO
020A03/HHI/018A /10-
01-2012
19395362.21
CPJQJI96MASMUN01
/ 22-11-2011
HHICL
7
5907347/
03-02-
2012
PMC/EG/20103354TRO
020A02/HHI/016 /10-
01-2012
19419250.35
HDMD001B/ 27-
10-2011
HHICL
8
6066894/
22-02-
2012
PMC/EG/20103354TNG
004-003/HHI/022 /14-
02-2012
6860212.97
POBUMASMUN120002
/ 22-01-2012
HHICL
9
6118467/
28-02-
2012
PMC/EG/20103355TNG
003/HHI/025 /22-02-
2012
13838633.48
POBUMASMUN120001
/ 22-01-2012
HHICL
10
6186246/
06-03-
2012
PMC/EG/20103355TRO
022A03/HHI/023 /18-
02-2012
2034920.44
11109521110012/ 01-
12-2011
HHICL
11
6186247/
06-03-
2012
PMC/EG/20103355TRO
022A03/HHI/024 /18-
02-2012
2608159.99
11109521110011/ 01-
12-2011
HHICL
12
6186248/
06-03-
2012
PMC/EG/20103355TRO
020A03/HHI/018 /10-
01-2012
3751551.3
CPJQJI96MASMUN02
/ 22-11-2011
HHICL
13
6257843/
14-03-
2012
PMC/EG/20103355TR00
21-01/HHI/028/27-02-
2012
19395362.21
HDEH002B/ 31-
01-2012
HHICL
14
6257846/
14-03-
2012
PMC/EG/20103355TR00
21-01/HHI/029 /27-02-
2012
19419250.35
HDEH002A/ 31-
01-2012
HHICL
15
6565565/
17-04-
2012
PMC/EG/OIL/HHI/036
/12-04-2012
446057.79
11109521202011/
17-03-2012
HHICL
16
6624398/
23-04-
2012
PMC/EG/20103355TNG
004/HHI/031 /01-04-
2012
13838633.48
POBUMASMUN120010
/ 29-02-2012
HHICL
17
6624583/
23-04-
PMC/EG/20103355TNG
003/003/HHI/032 /01-
6919316.74
POBUMASMUN120008
/ 29-02-2012
HHICL
Page 10 of 97
2012 04-2012
18
6624931/
23-04-
2012
PMC/EG/20103355TNG
003/004/HHI/033/01-
04-2012
6919316.74
POBUMASMUN120009
/ 29-02-2012
HHICL
19
6634898/
24-04-
2012
PMC/EG/20103355TSO
153-01/HHI/035/01-04-
2012
3190913.12
POBUMASMUN120007
/ 29-02-2012
HHICL
20
6636126/
24-04-
2012
PMC/EG/20103355TNG
004/004/HHI/030 /01-
04-2012
6954061.96
POBUMASMUN120011
/ 29-02-2012
HHICL
21
6651942/
26-04-
2012
PMC/EG/20103355TSO
153/HHI/034 /01-04-
2012
6362219.47
POBUMASMUN120006
/ 29-02-2012
HHICL
22
6678179/
28-04-
2012
PMC/EG/OIL/HHI/037
dt.: 12.04.12/12-04-
2012
3428993.18
11109521109013/
25-03-2012
HHICL
23
7163485/
20-06-
2012
PMC/EG/20103354TS01
50-02/HHI/041/20-05-
2012
327416.49
GOSUSEL2062505/
08-05-2012
HHICL
24
7915569/
11-09-
2012
PMC/EG/20103355TS01
53-02/HI/044/10-08-
2012
852816.04
ESSAPUS12072026/2
8-07-2012
HHICL
25
8970044/
08-01-
2013
PMC/EG/OIL/HI/048
dt.: 24.12.12/24-12-
2012
2509261.93
11109521211012/
03-12-2012
HHICL
26
8993748/
10-01-
2013
PMC/EG/OIL/HI/051
/24-04-2012
2035000.42
11109521211015/
10-12-2012
HHICL
27
8994085/
10-01-
2013
PMC/EG/OIL/HI/049
/24-12-2012
5187830.19
11109521211013/
10-12-2012
HHICL
28
9001672/
11-01-
2013
PMC/EG/OIL/HI/050
/24-12-2012
3102860.2
11109521211014/
10-12-2012
HHICL
29
9260637
/08-02-
2013
PMC/EG/OIL/HI/053
/10-01-2012
108533.55
11109521212011/
17-12-2012
HHICL
30
9871984/
16-04-
2013
PMC/EG/20123911TS02
27/HI/057 /02-04-2013
56316
ESSAPUS13030769/1
9-03-2013
HHICL
31
9954571/
25-04-
2013
PMC/EG/20103354TS01
50-01/HI/056/02-04-
2013
361940.32
2512-0030-303.012
/16-03-2013
HHICL
Total 253372879.94
Note :1) * HHICL : Hyundai Heavy Industries Co. Ltd., South Korea
2)All except Sr.No. 30 (cleared through NhavaSheva) have been cleared through
Mundra Port.
3.03 Perusal of the EDI data base further revealed that in the case of
shipments by M/s Dalian Insulator Group Co. Ltd. (here-in-after referred to as ‘Dalian’
also) and M/s Sediver Insulators (Shanghai) Co. Ltd. (here-in-after referred to as
‘Sediver’ also),the shipments as listed in Table-3A, comprised various types of Disc
Insulators, whereas in the case of consignments shipped by M/s Suzhou Furukawa
Power Optic Cable Co.Ltd. , China (here-in-after referred to as ‘Suzhou’ also),the
shipments as listed in Table-3A, comprised OPGW cable, hardware and accessories
thereof, as is evident from the description of goods declared in the Bills of Entry as per
the EDI database. It, therefore,prima-facie appeared that the Disc Insulators under
import had been purchased/procured from the two China based original equipment
manufacturers (OEM) viz. M/s Dalian Insulator Group Co. Ltd. and M/s Sediver
Insulators (Shanghai) Co. Ltd.,whereas, the OPGW cable, OPGW hardware and
accessories appear to have been purchased/procured from Suzhou Furukawa Power
Optic Cable Co.Ltd. , China. In respect of consignments shown at Table-3B, the EDI
data base revealed that equipmentsimported i.e. single phase auto transformers,
Page 11 of 97
single phase shunt reactors, fittings and accessories had been shipped by Hyundai
Heavy Industries Co. Ltd., South Korea. It, therefore,prima-facie appeared that the
said goods had been purchased/procured from the South Korea based original
equipment manufacturer (OEM) viz. M/s Hyundai Heavy Industries Co. Ltd., South
Korea.
4.0 DOCUMENTS FROM BANKS
During enquiries, it was gathered that documents relating to
transactions of goods invoiced by M/s Electrogen Infra FZE, UAE and importation
thereof by M/s PMC Projects (India) Private Limited had,inter-alia, been negotiated
through certain Indian banks having their branches in the UAE. Accordingly,
pursuant to ascertaining the name of some of the banks, correspondence was initiated
with Axis Bank having their branch in Dubai International Financial Centre (DIFC)
Branch in Dubai, to begin with. Vide letter bearing F.No.DRI/MZU/CI-224/2013 dt.
05-04-2013 (RUD-C/3)addressed to the bank authorities, specific
information/documents were sought from them by providing them with details of 29
shipments involving M/s Hyundai Heavy Industries Co. Ltd., South Korea as the
shipper and M/s PMC Projects (India) Private Limited, as the notifying party.
Relevant portion of the specific request made to the Bank is reproduced below :-
“
“i) Copies of invoices, packing lists for the transactions covered by individual
Bills of lading shown in Annexure A to the said letter and/or any other
document submitted/lodged with the bank to facilitate the
negotiation/transaction.
ii) Copies of individual Letters of Credit.
iii) A copy of the Agreement bearing No. 700003 dated 05.10.2010 involving
M/s Electrogen Infra FZE, UAE”.
A general request was made to the bank authorities spelling out the requirement in
terms of documentation i.e. all documents negotiated through the bank in respect of
every shipment of goods by any firm/entity (shipper) to India having M/s PMC
Projects (India) Private Limited as the ‘Notifying party’, wherein the original consignee
is EIF and/or all such documents negotiated by the bank on the instructions of/at the
behest of EIF.
4.1 DOCUMENTS FROM AXIS BANK (First Lot)
4.1.1 Axis Bank, Mumbai responded by providing certain documents through
their letters bearing reference no. AXIS/CO/IBD/2013-14/35 dated 18-04-2013(RUD-
D/16) and AXIS/CO/IBD/2013-14/44 dated 25-04-2013 (RUD-D/17). The
documents forwarded by Axis Bank contained bank attested photo copies of some bills
of lading together with corresponding invoices and packing lists, pertaining to the
shipments covered by such bills of lading. A careful scrutiny of the contents of
individual bills of lading revealed that each of the bills of lading covered goods shipped
Page 12 of 97
by M/s Hyundai Heavy Industries Co. Ltd., South Korea in the name of PMC. The
name of M/s Hyundai Heavy Industries Co. Ltd., South Korea was indicated as the
‘Shipper’ in the respective bills of lading and the name of PMC was indicated as the
Notifying Party. The box provided for mentioning the name of the Consignee in the
Bills of Lading was found to contain a remark ‘To Order’ or ‘To Order of Axis Bank,
DIFC Branch’. The bills of lading were found to make a mention of Letter of Credit
(L/C) Number which apparently pertained to the Letter of Credit opened by M/s AXIS
Bank Limited, DIFC Bank as the issuing Bank on behalf of EIF, in favour of the
shipper M/s Hyundai Heavy Industries Co. Ltd., South Korea. Many of the bills of
lading contained a reference to an Agreement number ‘700003 dated 05-10-2010’,
apparently to denote that the goods being shipped under cover of that specific bill of
lading were covered by the said Agreement. Brief description of the goods and other
particulars thereof were also found on the body of the bill of lading.
4.1.2 Scrutiny of invoices & packing lists forwarded by the bank in support of
each of the bills of lading revealed that each of these invoices happened to be an
invoice raised by M/s Hyundai Heavy Industries Limited, South Korea (an original
equipment manufacturer-OEM) on or in favour of EIF, with the name of the notifying
party appearing thereon as ‘M/s PMC Projects India Private Limited’. It,
therefore,prima-facie appeared that these invoices (here-in-after referred to as OEM
invoices) had been raised by the OEM M/s Hyundai Heavy Industries Co. Ltd. , South
Korea towards sale of the goods supplied by them.
4.1.3 Each of the OEM invoices was invariably found to be containing a
remark-
‘The goods supplied are as per agreement no. 700003 dated 05-10-2010’.
The OEM-invoices were also found to specifically contain the name of ‘M/s PMC
Projects India Private Limited’ as the notifying party. It also bore reference to a Letter
of Credit No. and date. Each of the OEM invoices was found to be accompaniedby a
corresponding Packing List of Hyundai Heavy Industries Co. Ltd., giving details of the
cargo (here-in-after referred to as the OEM packing list). These OEM-packing lists were
found to invariably contain a mention of the invoice number and date, thereby linking
the packing list to its corresponding invoice. The OEM-packing lists were also found to
inter-alia, contain a mention of the same agreement number &date, and other
particulars, as found mentioned on the body of invoices and bills of lading
(i.eAgreement No. 700003 dated 05-10-2010), name of the notifying party-PMC and
Letter of Credit No. & date). Some of the OEM-packing lists, in addition to the above
details were also found to specifically mention the name of the L/C issuing bank as
‘AXIS Bank Limited, DIFC Branch (Regulated by DFSA) Dubai, UAE and the SWIFT
code of the Bank viz. AXISAEEDXXX. Some of the packing lists also contained details
of the bill of lading no. and date, apparently to denote the bill of lading under which
the cargo covered by such OEM was shipped. In many of the OEM-invoices and
corresponding OEM-packing lists raised by M/s Hyundai Heavy Industries Co. Ltd.,
South Korea, the OEM appears to have specifically mentioned the name and mobile
Page 13 of 97
number of one Shri Jatin Shah, which was apparently found to be mentioned below
the name and address of EIF, thereby implying that the said Shri Jatin Shah belonged
to and/or was employed and/or represented EIF.
4.1.4 From the analysis of OEM documents forwarded by the Axis Bank, as
discussed in the foregoing paragraphs, it prima-facie appears that the bank has
facilitated EIFin its transaction involving purchase/procurement of goods from the
OEM- M/s Hyundai Heavy Industries Co. Ltd. , South Korea. The services of the Bank
appear to have been,inter-alia, utilized by EIF for remitting the invoice value of goods
procured/purchased from M/s Hyundai Heavy Industries Co. Ltd., South Korea, to the
said OEM, as per the amounts indicated in the respective invoices raised by the OEM
on M/s Electrogen Infra FZE, UAE and in accordance with terms & conditions of the
Letters of Credit covering the said transaction.
4.1.5 Amongst the other documents forwarded by the Bank were copies of
Letters of Credit (L/C) opened by Axis Bank, DIFC, Dubai in the name of applicant
i.eEIF favouring M/s Hyundai Heavy Industries Co. Ltd., South Korea, whose name
has been indicated as the ‘Beneficiary’ in the SWIFT messages pertaining to the letters
of credit. Such L/Cs appeared to cover a fixed lumpsum amount, apparently
representing money payable by EIF to M/s Hyundai Heavy Industries Co. Ltd., South
Korea towards purchase/procurement of goods. The Letters of Credit, further,inter-
alia invariably indicate the name of PMC as the Notifying party and also specify an
Agreement no. (Agreement No. 700003 dated 05-10-2010), thereby implying that the
goods were for eventual supply to PMC.
4.1.6 A copy of the Agreement No. 700003 dated 05-10-2010, (RUD/D-
18)foundrepeatedlymentionedin the OEM-invoices/OEM-packing lists/bills of lading
pertaining to supplies by M/s Hyundai Heavy Industries Co. Ltd., was one of the
documents forwarded by Axis Bank, DIFC, Dubai. Scrutiny thereof revealed that the
Agreement appears to have been executed between EIF having its registered/head
office in Sharjah, UAE and M/s Hyundai Heavy Industries Co. Ltd., South Korea. The
scope of work as stipulated in the said Agreement was for the supply of single phase
auto transformers, single phase shunt reactors, fittings and accessories thereof for
installation of the transmission line in the corridor of Tiroda–Koradi-III - AkolaII -
Aurangabad. Since the scope of supply stipulated in the Agreement between the OEM
and EIF appeared to be identical to scope of supply of Auto transformer and Shunt
Reactors etc. covered by Agreement No. 415703 dated 01-10-2010 between EIF and
PMC, (covered at Sr. No. A and B of Schedule 1 to the said agreement) and because
equipments covered by both these Agreements were apparently meant for the same
transmission line project, it prima-facie appeared that goods covered by Agreement No.
700003 dated 05-10-2010 were supplied to PMC.
4.1.7 In order to ascertain this aspect, efforts made to compare the scope of
supply (Description & Quantity) and price thereof covered by Agreement no. 700003
dated 05-10-2010 between EIF and Hyundai Heavy Industries Co. Ltd. South, Korea
vis-à-vis scope of supply (Description & Quantity) and price thereof covered by
Page 14 of 97
Agreement no. No. 415703 dated 01-10-2010 between PMC and EIF. In so far as the
supply of Transformers and shunt reactors was concerned, Agreement no. 700003 dt.
05-10-2010 (between EIF and Hyundai) covered supply of 15 numbers of single phase
auto transformers and 50 numbers of shunt reactors, precisely identical to the scope
of supply covered by the Agreement bearing No. 415703 (between EIF and PMC) as is
evident from an equipment-wise aggregate of the figures at Sr.Nos. 1 to 4 of the table
appended at clause 3.02.1 in the said Agreement, which is re-produced below :-
Table-4
Table appended at clause 3.02.1 of Agreement No. 415703 dated 01-10-2010
between PMC and EIF
S No. Item Description Quantity (Nos) Commencement
Period
Delivery/
Completion
Period
1 765/400 KV, 500 MVA Single Phase Auto
Transformers
7 - Oct 2011
2 765/400 KV, 500 MVA Single Phase Auto
Transformers
8 - Dec 2011
3 765 KV, 80 MVAR, Single Phase Shunt Reactors 7 - Oct 2011
4 765 KV, 80 MVAR, Single Phase Shunt Reactors 43 - Dec 2011
5 120 KN Disc Insulators for 2 Nos. 765 KV S/C
Transmission Lines.
496598 Jan 2011 Nov 2011
6 210 KN Disc Insulators for 2 Nos. 765KV S/C
Transmission Lines
688244 Jan 2011 Nov 2011
7 OPGW along with Hardware’s and fittings for 765 KV
S/C Transmission Line.
636 KM Jan 2011 Oct 2011
8 OPGW along with Hardware’s and fittings for 765 KV
S/C Transmission Line.
636 KM Jan 2011 Dec 2011
4.1.8 Perusal of Price Schedule Summary Sheet at Schedule-1(RUD-D/13) of
Agreement No. 415703 dated 01-10-2010 reveals that supplies to be made by EIFto
PMC, on the basis of procurements from M/s Hyundai Heavy Industries Co. Ltd.,
appear to be Sr.Nos. A & B of the summary sheet respectively, as is evident from the
description of goods covered at A & B respectively viz. auto transformers , shunt
reactors & spares thereof. Thus, the proportionate agreement value of goods supplied
by M/s Hyundai Heavy Industries Co. Ltd., to M/s PMC Projects (India) Private
Limited under Agreement No. 415703 works out to 260,269,798 USD. (AI+AII+BI+BII)
- (Scanned Copy of Price Schedule-Summary Sheet to this Agreement is at Para 13.1
below). The back-to-back contract prices are tabulated below :-
Table-5
Contract Price comparison:PMC<->EIF vis-à-vis EIF<->HHICL
Particulars Amt. in US $
a) Price : PMC  EIF, UAE
Value as per agreement no. 415703 dated 01-10-
2010 between M/s Electrogen Infra FZE and M/s
PMC Projects (India) Private Limited
260,269,798
b) Price : EIF, UAE  HHICL
Value as per agreement no. 700003 dated 05-10-
2010 between M/s Hyundai Heavy Industries Co.
Ltd. , South Korea and M/s Electrogen Infra
FZE, UAE
65,328,309
DIFFERENCE 194,941,489
(a) as % of (b) 398%
Page 15 of 97
It appears that for the same goods, the contract value between PMC and EIF (the
intermediary invoicing agent)is nearly four times (398%) of the contract value between
EIF and OEM (HHICL) the actual overseas supplierwhich appears to be abnormal
andgross inflation, contrary to ordinary economic logic or prudence. The purpose and
cause of entering into agreement bearing No. 700003 dated 05.10.2010 by EIF with
HHICL appears to stem from the Agreement no. 415703 dated 01-10-2010 and
covered at Sr. No. A and B of Schedule 1. Contents of para (b) of the Agreement No.
700003 dated 05-10-2010, which containsa specific reference to Purchase Order dated
27-09-2010 (Order placed on PMC by MEGTPCL) as well as to Agreement dated 01-
10-2010 (Agreement bearing No. 415703 dated 01-10-2010) make it abundantly clear
that it is back-to-back procurement contract entered into by EIF with M/s Hyundai
Heavy Industries Co. Ltd.(HHICL), for actual of supply the goods to PMC in terms of
agreement no. 415703 dated 01-10-2010 entered between EIF with PMC.
4.1.9 It further appeared from a perusal of the signatories to the Agreement
No. 700003 dated 05-10-2010that one ShriDharmesh Parekh had signed the said
Agreement as an authorized signatory for and on behalf EIF, as is evident from the
handwritten text indicating his name appended below his signature. It,
therefore,prima-facie appeared that Shri Dharmesh Parekh represented the UAE
based firm EIF and held a responsible position with them, having signed on its behalf
as an authorized signatory involving consideration of nearly 65 Million USD.
4.1.10 It further prima-facie appeared that the goods shipped from time to time
under cover of bills of lading submitted by the bank involving M/s Hyundai Heavy
Industries Co. Ltd. as the shipper and imported by PMC, were part and parcel of the
goods covered by Agreement No. 700003 dated 05-10-2010. The price shown in
corresponding OEM-invoices raised by M/s Hyundai Heavy Industries Co. Ltd. on EIF
from time to time represented the proportionate contract value of the goods
commensurate with the value of the goods being shipped in piecemeal.
4.1.11 The price payable by EIF to M/s Hyundai Heavy Industries Co. Ltd. as
per the invoices raised by the OEM on EIF has been tabulated below in respect of 26
shipments, on the basis of documents forwarded by Axis Bank, DIFC, Dubai in
response to this Unit’s letter seeking documents for 29 consignments:-
Table-6
Price of goods as per invoices raised by HHICL on EIF
Sr.
No.
Bill of Lading No. /date SHIPPER HYUNDAI HEAVY
INDUSTRIES CO. LTD. INVOICE
NO./DATE
SHIPPER'S INVOICE
VALUE (CIF USD)
1 POBUMASMUN120007/29-02-12 20103355TSO153-01/28-02-2012 781704
2 HDMD001A/27-10-11 20103355TSO153-01/28-02-2012 3476403
3 11109521110012/01-12-11 20103355TSO153-01/28-02-2012 613683
4 11109521110011/01-12-11 20103355TSO153-01/28-02-2012 924172
5 POBUMASMUN120006/29-02-2012 20103355TSO153/28-02-2012 1612158
6 ESSAPUS12072026/28-07-2012 20103355TS0153-02/20-07-2012 221306
Page 16 of 97
7 11109521211015/10-12-2012 NIL/30-11-2012 643021
8 11109521109013/25-03-2012 NIL/26-03-2012 1105332
9 POBUMASMUN120002/22-01-12 20103355TSO153-01/28-02-2012 1740762
10 HDMUMAOMN1200100/27-08-11 20103355TSO153-01/28-02-2012 5165787
11 HDMD001B/27-10-11 20103355TSO153-01/28-02-2012 4469661
12 CPJQJI96MASMUN01/22-11-11 20103355TSO153-01/28-02-2012 4469661
13 POBUMASMUN120001/22-01-12 20103355TSO153-01/28-02-2012 3469843
14 HDEH002B/31-01-12 20103355TSO153-01/28-02-2012 4598482
15 HDEH002A/31-01-12 20103355TSO153-01/28-02-2012 4598482
16 POBUMASMUN120011/29-02-2012 20103355TNG004-004/20-02-2012 1734013
17 POBUMASMUN120010/29-02-2012 20103355TNG004/20-02-2012 3468027
18 POBUMASMUN120008/29-02-2012 20103355TNG003-003/20-02-2012 1385757
19 POBUMASMUN120009/29-02-2012 20103355TNG003-004/20-02-2012 1732196
20 11109521211013/10-12-2012 NIL/30-11-2012 1636376
21 11109521211014/10-12-2012 NIL/30-11-2012 574898.66
22 11109521211012/03-12-2012 NIL/30-11-2012 472101.45
23 HDMUUSOMN1190100/13-08-11 20103355TSO153-01/28-02-2012 10364119
24 KECO12020337/03-09-11 20103355TSO153-01/28-02-2012 1236935
25 11109521108011/02-10-11 20103355TSO153-01/28-02-2012 616927
26 CPJQJI96MASMUN02/22-11-11 20103355TSO153-01/28-02-2012 1170895
TOTAL 62282702.11
4.1.12 Since the name of PMC featured as a notifying party in many of the
above listed bills of lading and corresponding OEM-invoices/packing lists, raised by
Hyundai Heavy Industries Co. Ltd. on EIF, efforts were made to identify the import
particulars for each such consignment i.e. to ascertain the corresponding Bill of Entry
No. & date and the port of import in India. Examination of import particulars thereof
revealed that PMC had utilized these very Bills of Lading, whose numbers are listed
above, for clearance of 26 of the 31 consignments (Table-3B) imported and cleared by
them through Mundra Port at concessional rate of duty, as is evident from the
samebills of lading numbers featuring in the Table 3Bwhich providesparticulars of
consignments imported and cleared by PMC as per the EDI data base.
4.1.13 It, therefore, appears that while the importer utilized the above-listed
bills of lading for customs clearance purpose in India, the value for the purpose of
assessment appears to have been declared on the basis of back-to-back intermediary
invoices raised by EIF on M/s PMC Projects (India) Private Limited. The OEM invoices
and OEM packing lists of M/s Hyundai Heavy Industries Co. Ltd., South Korea do not
appear to be a part of the documents produced to the jurisdictional customs
authorities in India.
4.1.14 It, therefore,prima-facie appears to emerge that for each shipment
imported by M/s PMC Projects (India) Private Limited where EIF, is the
intermediaryinvoicing agent and M/s Hyundai Heavy Industries Co. Ltd. , South Korea
is the shipper, there are two sets of invoices:-
Page 17 of 97
i) OEM sale invoice of HHICL (Copy of the sale invoice raised by the M/s
Hyundai Heavy Industries Co. Ltd.-Original Equipment Manufacturer-
(OEM) on EIF alongwith corresponding packing list-Invoices raised for
supplies made in pursuance of Agreement No. 700003 dated 05-10-2010
between EIF and HHICL , South Korea)
ii) Intermediaryinvoice of EIF, UAE (Copy of the back-to-back
intermediaryinvoice/packing list raised by EIF on PMC - Invoices raised
for supplies made in pursuance of Agreement 415703 dated 01-10-2010
between PMC and EIF).
Scanned images of two sets of invoices for the same goods (the OEM invoice raised on
EIF and the back-to-back inflated intermediary invoice raised by EIFon PMC)and the
scanned image of the corresponding common Bill of Lading, in respect of one
consignment shipped by HHICL) is reproduced below as illustration:-
Page 18 of 97
Page 19 of 97
Table-7
Comparison of invoice prices: HHICL(OEM) to EIF vis-a-vis EIF to PMC
SR.
NO.
BILL OF LADING NO. /DATE PRICE
SHOWN IN
OEM (HHICL)
INVOICE USD
PRICE SHOWN
IN
ELECTROGEN
INVOICE (USD)
(d) as % of
(c)
DIFFERENCE IN
USD
(a) (b) [c] (d) [e] (f)
1 POBUMASMUN120007/29-02-12 781,704.00 3,190,913.12 408% 2,409,209.12
2 HDMD001A/27-10-11 3,476,403.00 15,095,898.67 434% 11,619,495.70
3 11109521110012/01-12-11 613,683.00 2,034,920.44 332% 1,421,237.44
4 11109521110011/01-12-11 924,172.00 2,608,159.99 282% 1,683,987.99
5 POBUMASMUN120006/29-02-2012 1,612,158.00 6,362,219.47 395% 4,750,061.47
6 ESSAPUS12072026/28-07-2012 221,306.00 852,816.04 385% 631,510.04
7 11109521211015/10-12-2012 643,021.00 2,035,000.42 316% 1,391,979.42
8 11109521109013/25-03-2012 1,105,332.00 3,428,993.18 310% 2,323,661.18
9 POBUMASMUN120002/22-01-12 1,740,762.00 6,860,212.97 394% 5,119,450.97
10 HDMUMAOMN1200100/27-08-11 5,165,787.00 20,870,378.66 404% 15,704,591.70
11 HDMD001B/27-10-11 4,469,661.00 19,419,250.35 434% 14,949,589.40
12 CPJQJI96MASMUN01/22-11-11 4,469,661.00 19,395,362.21 434% 14,925,701.20
13 POBUMASMUN120001/22-01-12 3,469,843.00 13,838,633.48 399% 10,368,790.50
14 HDEH002B/31-01-12 4,598,482.00 19,395,362.21 422% 14,796,880.20
15 HDEH002A/31-01-12 4,598,482.00 19,419,250.35 422% 14,820,768.40
16 POBUMASMUN120011/29-02-2012 1,734,013.00 6,954,061.96 401% 5,220,048.96
17 POBUMASMUN120010/29-02-2012 3,468,027.00 13,838,633.48 399% 10,370,606.50
18 POBUMASMUN120008/29-02-2012 1,385,757.00 6,919,316.74 499% 5,533,559.74
19 POBUMASMUN120009/29-02-2012 1,732,196.00 6,919,316.74 399% 5,187,120.74
20 11109521211013/10-12-2012 1,636,376.00 5,187,830.19 317% 3,551,454.19
21 11109521211014/10-12-2012 574,898.66 3,102,860.20 540% 2,527,961.54
22 11109521211012/03-12-2012 472,101.45 2,509,261.93 532% 2,037,160.48
23 HDMUUSOMN1190100/13-08-11 10,364,119.0
0
42,836,611.30 413% 32,472,492.30
24 KECO12020337/03-09-11 1,236,935.00 3,859,806.74 312% 2,622,871.74
25 11109521108011/02-10-11 616,927.00 1,385,993.65 225% 769,066.65
26 CPJQJI96MASMUN02/22-11-11 1,170,895.00 3,751,551.30 320% 2,580,656.30
TOTAL 62282702.11 252072615.79 404.73% 189,789,914.00
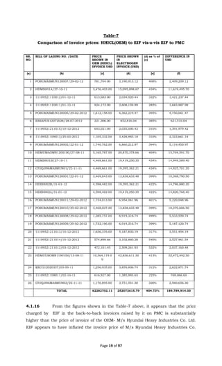
4.1.16 From the figures shown in the Table-7 above, it appears that the price
charged by EIF in the back-to-back invoices raised by it on PMC is substantially
higher than the price of invoice of the OEM- M/s Hyundai Heavy Industries Co. Ltd.
EIF appears to have inflated the invoice price of M/s Hyundai Heavy Industries Co.
Page 20 of 97
Ltd. to almost about 4 times on an average and raised invoices with such inflated
prices on PMC.On an average, values in the invoices raised by EIFon PMCappearto
be 400% of the values in the OEM invoice price.It, therefore, appears that the
consignments shipped by the OEM-M/s Hyundai Heavy Industries Co. Ltd., South
Korea, imported into India by M/s PMC Projects (India) Private Limited and cleared on
the strength of invoices raised by EIF had been grossly over-valued. It is apparent
that while the goods were shipped from HHICL (OEM) to PMC in India directly, the
invoices were routed through EIF, who merely acted as an intermediary invoicing
agent for facilitating inflation of invoice value. Given the scale and extent of invoice
inflation, it is apparent that it was with fraudulent intent of siphoning money from
India.
4.1.17 As brought out in para 4.1.3 above, the name of Shri Jatin Shah, as a
representative of EIF was found consistently appearing in majority of the
invoices/packing lists raised by M/s Hyundai Heavy Industries Co. Ltd. , South Korea
on EIF. Ondiscreet enquiries regarding Shri Jatin Shah, whose name was appearing
in many of the OEM invoices/packing lists, as a representative of UAE intermediary
EIF, it was gathered that he was an active member of Adani Group, visiting
Ahmedabad regularly to participate in meetings held by the Adani Group. It was also
gathered that he worked in the capacity of ‘Finance Controller’ for Adani Power
Limited. Accordingly, a summons under Section 108 of the Customs Act, 1962 bearing
F.No. DRI/MZU/CI-224/2013/3928 dated 30-04-2013 (RUD-C/4)was issued seeking
his appearance on 06-05-2013 withall agreements/contracts enteredinto/executed by
the Adani Group or its subsidiaries with the Hyundai Group, based on specific inputs
that the Hyundai Group had in the past signed a contract with the Adani Group for
100 units of high voltage transformers.
4.1.18 M/s Adani Power Limited, vide its reply bearing Ref:
APL/DRI/Mundra/088/RR/2013 dated 06-05-2013 (RUD-D/19),while acknowledging
receipt of the summons in the name of Shri Jatin Shah, informed in the letter that
Shri Jatin Shah was no longer working with them since 2009. They further informed
that Adani Power Limited or its subsidiaries had not entered into any
agreements/contracts with the Hyundai Group. In view of the information provided by
M/s Adani Power Limited, it was confirmed that Shri Jatin Shah, Manager of EIF, at
one point of time in the past was an employee of Adani Power Limited.
4.1.19 Shri Rajiv Rustogi, signatory to the aforesaid letter dated 06-05-2013,
was summoned under Section 108 of the Customs Act, 1962 through summons
issued under F.No. DRI/MZU/CI-224/2013/4112 dated 06-05-2013 (RUD-C/5)to
produce contracts relating to purchase/import of transformers with service records of
Shri Jatin Shah (designation & period when employed), date of relieving and copy of
relieving letter/resignation letter.
4.1.20 Shri Rajiv Rustogi, General Manager (Accounts), through his reply
bearing Ref.APL/DRI/Mundra/xxx/RR/2013 dated 09-05-2013 (RUD-
Page 21 of 97
D/20)responded stating that due to personal reasons, he was unable to remain
present in person. He provided certain information and documents under cover of the
said letter. On import of the transformers by M/s Adani Power Limited or its
subsidiary companies from the Hyundai Group, South Korea, he declared on behalf of
the company that Adani Power Limited or its subsidiaries had not entered into any
agreement/contract for transformers with Hyundai Group, South Korea.
4.1.21 From the employment details of Shri Jatin Shah as provided in the above
said letter, it appears that he worked for M/s Adani Enterprises Limited as Manager
(Finance) in 2002, as Senior Manager (Finance) and Deputy General Manager for
Adani Port Limited between 2003 and 2006, and finally as a General Manager with
Adani Power Limited in 2008 before resigning in August 2009. As per the documents
submitted, it appeared that Shri Jatin Shah submitted his resignation on 19-08-2009,
which was accepted by the company M/s Adani Power Limited on the same day while
communicating to him that he would stand relieved from the services of the company
with effect from 31-08-2009.
4.1.22 It, therefore, appears that M/s Jatin Shah, representative of the Dubai
based firm EIF in the past had been closely associated with the Adani Group by way of
being employed in different capacities in various Adanigroup companies for eight
consecutive years 2002 through 2009.
4.2 DOCUMENTS FROM ICICI BANK LTD (First Lot)
4.2.1 Besides, the Axis Bank Limited, it was gathered that documents relating
to transactions involving invoices raised byEIFonPMC had,inter-alia, been negotiated
through the ICICI Bank Limited, having its branch in the UAE viz. ICICI Bank, DIFC
Branch in Dubai. Accordingly, information was sought from ICICI Bank, DIFC Branch
Dubai, vide letter bearing F.No. DRI/MZU/C.I.-224/2013/3899 dated 30-04-
2013(RUD-C/6), while endorsing a copy thereof to Chief Manager of the ICICI Bank’s
corporate office in Mumbai to co-ordinate in the matter. Since there was no response,
a reminder was sent on 10-06-2013. (RUD-C/7)
4.2.2 The ICICI Bank’s Corporate office in Mumbai forwarded certain
documents under cover of their letter bearing reference no. NIL dated 19-06-2013
(RUD/D-21) as received by them from their DIFC Branch, in Dubai. The documents,
inter-alia, included details of the account held by EIF with their DIFC Branch in
Dubai; KYC (Know Your Customer) verification documents; account opening form;
details of inward and outward remittances into and from the account of EIF; and
certain import/export bills, as described in the letter dated 10-06-2013 of the ICICI
Bank’s DIFC,Dubai branch (RUD/D-22).Documents found relevant to the
investigation are discussed in the following paras.
4.2.3 As per letter dated 26th April 2012(RUD/D-23),written by EIF addressed
to the ICICI Bank Ltd., DIFC, Dubai Branch, the shareholding pattern of EIF was
Page 22 of 97
informed to the Bank. Relevant contents of the letter,apparently signed by Shri Jatin
Shah, are reproduced below :-
“Please find below the shareholding pattern of Electrogen Infra FZE :
i) Electrogen Infra FZE is 100% owned by Electrogen Infra Holding Pvt. Ltd.
ii) Electrogen Infra Holding Pvt. Ltd. is 100% owned by Asankhya Resources
Pvt. Ltd.
iii) Asankhya Resources Pvt. Ltd. is owned by Eagle Holding Ltd., which is a
nominee shareholder in Asankhya Resources Family Trust.
iv) In Asankhya Resources Family Trust, Mr. Vinod ShantilalAdani is the
settler.
From the above information given to the Bank by EIF, it appears that Shri
Vinod ShantilalAdani had a direct control over the activities of EIF through the
Asankhya Resources Family Trust.
4.2.4 Scrutiny of Audited Financial Statements (stated in US Dollars)
including Directors’ Report of ElectroGen Infra Holding Pvt. Ltd. (here-in-after referred
to as ‘EIH’ ) for the year ended 31-03-2011 (RUD/D-24), which contain parallel data
for the year ended 31st March 2010, revealed as under.
i) EIH was incorporated in Mauritius on 16 July 2009 as a private
company.
ii) In the Corporate Data, Shri Vinod Shantilal Shah has been listed as a
Director of EIH with the date of his appointment as Director shown as
12th January 2010. Other directors with their dates of appointment
and resignations are indicated as under :-
Name Appointed Resigned
GiandeoReemul 16 July 2009 08-March 2011
NavindBeeharry 16 July 2009 08 March 2011
Nasser Ali ShabanAhli 16 July 2009 01 October 2009
Chang Chung-Ling 01 October 2009 12 January 2010
Vinod Shantilal Shah 12 January 2010 N/A
Note :Name of Nasser Ali ShabanAhli, who was appointed Director from the
date of incorporation of the company and who resigned few months i.e
on 01-10-2009 before Vinod Shantilal Shah became a Directoron 12-
01-2010,is noteworthy.He was the initial subscriber on 16-07-2009 i.e
when the company was incorporated in Mauritius to the whole of
equity capital of USD 1000 divided into 1000 shares of USD one each
Page 23 of 97
of EIH and was thus the sole share-holder of the company. These
shares were thereafter transferred to Shri Vinod Shantilal Shah on 12-
01-2010, after Shri Vinod Shantilal Shah became the sole share-
holder and owner of EIH. Nasser Ali ShabanAhli was also the initial
subscriber to equity capital of AED 1,50,000 divided into one share of
AED 1,50,000 of M/s Sichuan Machinery &Equipments FZE
(name changed to EIF on 04-01-2010) on 07-07-2009, when the
company was registered in the UAE.The whole of this equity
was transferred and sold to EIH on 29-03-2010 after which EIF
became wholly owned subsidiary of EIH.
iii) The Directors’ Report of EIH appears to have been signed on 30-
05-2011 by Shri Vinod Shantilal Shah by order of the Board of
Director of EIH. Balance Sheet of EIH as on 31stMarch 2011 and
its profit and loss account for the year ended 31st March 2011 was
also approved on 30-05-2011 by Shri Vinod Shantilal Shah on
behalf of the Board of Directors of EIH. Incidentally, Shri Vinod
Shantilal Shah was the only Director of EIH as on 31-03-2011 as
is clear from sub-para (ii) above.
iv) As on 31st March 2010, EIH had paid-up share capital of USD
1000 divided into 1000 shares of one USD each which was
increased to USD 1,00,000 divided into one lakh shares of one
USD each by issue of 99,000 shares of one USD each during the
Financial Year 2010-11.
v) EIH had an investment of USD 40,872 as on 31-03-2010 in shares
of an unquoted company which went upto USD 14,81,390 as on
31-03-2011. This investment was in EIF, which was its wholly
owned subsidiary.
vi) EIH received dividend income of USD 53,850,954 during the
Financial Year 2010-11.Since EIH had investment only in EIF,
which was its wholly owned subsidiary, this dividend income was
also received from EIF only.
4.2.5 Scrutiny of Financial Statements of EIF for the year ended 31st March
2011, which included parallel data for the year ended 31st March 2010, revealed as
under :-
i) EIF was a Free Zone Establishment with limited liability registered in
Sharjah Airport International Free (SAIF) Zone, Sharjah. It was
incorporated on 08-July-2009.
ii) EIF had subscribed, issued and paid-up share capital of AED
1,50,000 divided into one share of AED 1,50,000. The subscribed
issued and paid-up share capital was raised during the financial
Page 24 of 97
year 2010-11 to AED 54,00,000 divided into 36 shares of AED
1,50,000 each.
iii) In the Notes to the Financial Statements, in Note No. 7, it is
mentioned that Share Certificate for share capital as on 31st March
2010 and 31st March 2011 was in the name of EIH. In the Manager’s
Report also, it is mentioned that as on 31st March 2011, the entire
share capital of AED 54,00,000 divided into 36 shares was held by
EIH, Mauritius.
iv) The Manager’s Report as on 31st March 2011 was signed by Shri
Jatin Shah. Financial Statements were also signed by him as
Manager of EIF.
4.2.6 Scrutiny of the application for opening of the account revealed that it was
made on 14-09-2011 signed by two individuals i.e Shri Jatin Shah, an ex-employee of
the Adani Group and Shri MehulJani, both apparently Indian nationals. As per the
business details provided to the Bank while opening of the account, the applicants
had declared nature of their business to be ‘General Trading’ and the country where
major business is carried out as ‘India’. Other information declared in the form was
annual turnover of AED 512 Million. The purpose of opening the relationship was
declared as ‘Loans’(RUD/D-25)
4.2.7 In the Signature Card, the above named two individuals had declared
themselves as Authorised Signatory 1 and Authorised Signatory 2, respectively
(RUD/D-26).Scrutiny of Annexure A to ICICI Bank’s application form (RUD/D-27),
which deals with information relating to Directors, Major Shareholders, Partner etc.,
the name of Shri Jatin Shah was found mentioned as a Director, while the name of
Shri MehulJani was found mentioned as an Authorised Signatory. From the
permanent residential addresses declared by the two individuals representing EIF, it
appears that they were residents of Ahmedabad and Vadodara (earlier Baroda),
respectively.
4.2.8 Scrutiny of a two-page document titled ‘Addendum to Memorandum and
Articles of Association of EIF. Scrutiny of the Addendum reveals that SAIF Zone
authorities have acknowledged the amendment made on 29-03-2010 to the
Memorandum and Articles of Association dated 07-07-2009 of EIF. As per the
amendment, Shri Nasser Ali ShabanAhli, a UAE national holding Passport no.
A1811119, who was the owner of EIF’s entire paid-up share capital of one share of
AED 1,50,000sold, transferred and assigned fully and wholly, the said one share of
EIF to EIH. The Addendum is signed by Shri Vinod Shantilal Shah as representative of
EIH. After execution of the Addendum, EIH has been described as the ‘owner’
substituting Mr. Nasser Ali ShabanAhli. With this sale, transfer and assignment, EIF
became wholly owned subsidiary of EIH with effect from 29-03-2010(RUD/D-28). This
was the second amendment to the Memorandum and Articles Association dated 07-
Page 25 of 97
07-2009 of EIF. The first amendment was made on 04-01-2010 to change name of the
company to EIF (para 4.3.4 below) and the third amendment was made on 17-06-2010
to increase share capital (para 4.4.12 below).
4.2.9 As percopy of‘Share Certificate No. 4107’ dated 21-06-2010 issued by
Government of Sharjah, SAIF Zone, it is certified that EIH,incorporated in the Republic
of Mauritius, is a registered holder of 36 shares of AED 54,00,0000 of EIF which is
stated to be a limited liability establishment incorporated and licensed at SAIF-Zone
with paid-up capital of Dhs 54,00,000 divided into 36 shares with a value of Dhs
1,50,000 each(RUD/D-29).
4.2.10 As per copy of Global Business Licence No. C211017320 dated 21-01-
2011 granted by the Government of the Republic of Mauritius to EIH, it is, inter-alia,
mentioned that the company shall not offer its shares or otherwise raise capital from
the public(RUD/D-30).
4.2.11 Copy of Certificate of Incorporation on Change of Name issued on 08-01-
2010 by the Registrar of Companies, Republic of Mauritius certifies that the name of
M/s Sichuan Machinery & Equipment Import & Export Co. Ltd have by special
resolution changed its name and is now incorporated under the name of M/s
ElectroGen Infra Holding Pvt. Ltd(RUD/D-31).
4.3 DOCUMENTS FROM BANK OF BARODA
4.3.1 Bank of Baroda, Dubai Main Branch,vide their letter Ref. No. CE:
Compliance:1612/2013 dated 05-11-2013 (RUD/D-32),referring to DRI’s letter
bearing F.No. DRI/MZU/CI-224/2013/3928 dated 30-04-2013 therein, forwarded
documents pertaining to EIF’s transactions to their corporate office located at Bandra-
Kurla Complex, Mumbai, which were retrieved by the officers of DRI on 18-11-2013.
4.3.2 These documents included, inter-alia, account opening form with related
documents and statement of account in respect of the USD account bearing no.
90010200008259held by EIF with BOB, Bur Dubai Branch. The above account was
initially opened on 06-07-2009 in the name of Sichuan Machinery and Equipments
FZE. As per copy of Memorandum and Articles of Association made on 07-07-2009 at
SAIF Zone, UAE, this company was incorporated with Shri Nasser Ali ShabanAhli, a
UAE national, as the ‘owner’ holding the entire authorised and paid-up capital of one
share valued at AED 1,50,000 (RUD/D-33). The Bank was authorised to honour
cheques/bills of exchange and promissory notes drawn, accepted or made on behalf of
the company singly byShri Nasser Ali ShabanAhli. As per the copy of the Licence
Certificate issued by SAIF Zone authorities on 07-07-2009(RUD/D-34)the company
was licensed for ‘general trading’.
4.3.3 Perusal of copy of document titled ‘Board Resolution of M/s Sichuan
Machinery &Equipments FZE dated 19th November 2009’ (RUD/D-35) reveals that the
purpose of the resolution was to open and operate accounts with any bank in the UAE
Page 26 of 97
in the name of M/s Sichuan Machinery &Equipments FZE, and to avail all types of
banking facilities in the company’s name. It was resolved, inter-alia, to add the name
of Shri Jatin Shah, holder of Indian Passport No. H3015351, as an the authorized
signatory in the bank accounts of M/s Sichuan Machinery &Equipments FZE;to
authorise Shri Jatin Shah to open, operate & close banking accounts with any bank of
the UAE and authorized to sign singly on Bank Mandate documents relating to use of
electronic distribution channels, undertakings, indemnity/security
documents/guarantees/agreements and any Finance Documents on behalf of the
Company excepting cheques and cheque book request forms which could only be
signed by Mr. Naseer Ali Shaban Ali singly. Accordingly, specimen signature card with
specimen signature of Shri Jatin Shah, stating that he could operate the account
singly, was submitted to the bank on 21-11-2009(RUD/D-36).
4.3.4 As per copy of Addendum to the Memorandum and Articles of
Association dated 07-07-2009 of EIF, an amendment made on 04-01-2010 to the
Memorandum and Articles of Association was acknowledged by SAIF Zone
authorities(RUD/D-37).As per the amendment, name of the company was changed
from Sichuan Machinery &Equipments FZE to EIF with same owner i.e. Shri Nasser
Ali ShabanAhli. This Addendum (amendment) to the Memorandum and Articles of
Association dated 07-07-2009 of EIF is immediately prior to the second Addendum as
discussed in para 4.2.8 above. Accordingly, SAIF Zone authorities also changed the
name of the Licence holder in the Licence Certificate no. 01-01-07314 on 14th January
2010 (RUD/D-38).EIF also intimated change of name to BOB, Bur Dubai vide its letter
dated 04-02-2010(RUD/D-39).
4.3.5 From the facts narrated above, it is evident that day to day work relating
to Sichuan Machinery &Equipments FZE was being handled by Shri Jatin Shah, (an
employee of Adani Group till 31-08-2009), since November 2009 even before the
company was taken over on 29-03-2010 by Shri Vinod ShantilalShah through EIH.
4.3.6 The documents processed by Bank of Baroda, Bur Dubai for and on
behalf of EIF were examined. Scrutiny revealed that these contained copies of certain
invoices and packing lists raised,inter-alia, by the some China based firms, who
appeared to be OEMs, on EIF towards the sale of certain goods. Each such
invoice/packing list was found to be accompanied by copy of a bill of lading,
apparently the corresponding bill of lading pertaining to shipment of the goods covered
by theOEM invoice/packing list, as could be reasonably inferred from the name of the
OEM raising the invoice whose name also appears as the ‘shipper’ in the
corresponding bill of lading found accompanying the invoice. On the basis of
commonalities appearing in the invoices, an OEM-wise summary is tabulated below:-
Table-8
Summary of invoices raised by three OEMs(Dalian, Sediver& Suzhou) on EIF
Page 27 of 97
Sr.
No.
Name of the
OEM-firm
raising the
invoice/
packing list
Brief
Description
of goods as
per OEM
invoice
raised on
EIF
Description of the
project for which
goods are meant as
declared in the
invoices
Contract/
Agreement No.
declared in the
invoices
Notifying party
as appearing in
the BL
accompanying
the invoice
Total
Number of
distinct
consignme
nts for
which
invoices
available
1 Dalian
Insulator
Group Co.
Ltd, China
Disc
Insulators
2 nos. of 765KV S/C
(Quad Bersimis)
Tiroda-Koradi-III-
Akola II-Aurangabad
Transmission Lines.
700002 dated 07-
10-2010
M/s PMC
Projects (India)
Pvt. Ltd., Mundra
Port, Navinal
Islands, Mundra-
370 421
8
2 Sediver
Insulators
(Shanghai)
Co. Ltd.,
China
Toughened
Glass Disc
Insulator
2 nos. of 765KV S/C
(Quad Bersimis)
Tiroda-Koradi-III-
Akola II-Aurangabad
Transmission Lines.
700001 dated 07-
10-2010
M/s PMC
Projects (India)
Pvt. Ltd., Mundra
Port, Navinal
Islands, Mundra-
370 421
9
3 Suzhou
Furukawa
Power Optic
Cable Co. Ltd.
, China
OPGW with
8 Fibre with
fittings &
accessories
2 nos. of 765KV S/C
(Quad Bersimis)
Tiroda-Koradi-III-
Akola II-Aurangabad
Transmission Lines.
700004 dated22-
10-2010
M/s PMC
Projects (India)
Pvt. Ltd., Mundra
Port, Navinal
Islands, Mundra-
370 421
8
TOTAL 25
4.3.7 From the data given in Table-8 above, it appears that in the case of 25
consignments, the transactions of sale/procurement by and between the respective
OEMs and EIF appear to have been negotiated through Bank of Baroda.
4.3.8 From analysis of the contents of the OEM documents, it prima-facie
appears that the Bank of Baroda, Bur Dubai Branch has facilitated its customer EIF
in the transactionsrelating to purchase/procurement of goods from the respective
OEMs viz. the transactions with M/s Dalian Insulator Group Co. Ltd. and M/s
SediverInsulators (Shanghai) Co. Ltd. for procurement/purchase of insulators, and the
transactions with Suzhou Furukawa Power Optic Cable Co.Ltd., China,for
procurement/purchase of OPGW cable, OPGW hardware and accessories. The services
of the Bank (Bank of Baroda, Bur Dubai) appear to have been,inter-alia, utilized by
EIF for remitting the value of the goods as per invoices raised on it by the respective
OEM firms.
4.3.9 Amongst other documents submitted by Bank of Baroda, Bur Dubai were
copies of Letters of Credit (L/Cs) opened by Bank of Baroda, Bur Dubai on behalf of
the applicant i.eEIF favouring the three OEM firms, whose names have been indicated
as the ‘Beneficiary’ in the SWIFT messages pertaining to such Letters of Credit. Such
L/Cs appeared to cover a fixed lump sum amount, apparently representing money
payable by EIF to the respective OEM towards goods supplied to PMC. The Letters of
Credit further,inter-alia, invariably indicate the name of M/s PMC Projects (India)
Private Limited as the ‘Notifying party’or ‘Notified Party’ thereby implying that the
goods were for supply to M/s PMC Projects (India) Private Limited. The Letters of
Credit were also found to make a mention of an Agreement no. (Agreement Numbers
reflected in Table 8 above against the name of respective OEMs were found mentioned
in the copy of the related letter of credit) purported to be Agreement executed by EIF
with the respective OEMs.
Page 28 of 97
4.3.10 The price payable by EIF to the OEMs towards goods supplied by the
three OEMs, respective OEM invoice-wise, has been tabulated below in respect of the
25 shipments, summarised at Table-8 above, on the basis of documents negotiated
through Bank of Baroda, Main Branch, as obtained by this Unit :-
Table-9
Invoice Price of goods as per invoices raised by three OEMs (Dalian Insulator
Group Co. Ltd., Sediver Insulators (Shanghai) Co. Ltd. and M/s Suzhou Furukawa
Power Optic Cable Co. Ltd. China) on Electrogen Infra FZE, UAE
S.
No.
BILL OF LADING
No. /DATE SHIPPER AS PER B.L.
SHIPPER INVOICE NO.
/DATE VALUE (USD)
1
MAEU601299135
/09-02-2011 DALIAN INSULATOR GROUP CO. LTD EG11009/06-01-2011 605250
2
NDACVF300 /
15-02-2011
SEDIVER INSULATORS (SHANGHAI)
CO. LTD.
FP09022011/ 09-02-
2011 463342
3
YMLUZ245202791
/05-04-2011 DALIAN INSULATOR GROUP CO. LTD EG11053/ 06-01-2011 1253880
4
APLU062194693
/31-03-2011 DALIAN INSULATOR GROUP CO. LTD EG11067/ 18-03-2011 536176.8
5
YMLUZ230140405
/31-03-2011
SUZHOU FURUKAWA POWER OPTIC
CABLE CO. LTD. , CHINA SE110325/ 25-03-2011 85177.3
6
YMLUZ230145416
/28-04-2011
SEDIVER INSULATORS (SHANGHAI)
CO. LTD.
FP23042011/ 23-04-
2011 794944.8
7
YMLUZ230148714
/12-05-2011
SUZHOU FURUKAWA POWER OPTIC
CABLE CO. LTD. , CHINA SE110509/ 09-05-2011 185491.65
8
YMZUZ230162786
/22-07-2011
SEDIVER INSULATORS (SHANGHAI)
CO. LTD. FP15072011/15-07-2011 794944.8
9
KKLUSH4220867
/04-09-2011
SUZHOU FURUKAWA POWER OPTIC
CABLE CO. LTD. , CHINA SE110817/17-08-2011 438181.3
10
MSCUY5709319/
02-09-2011
SEDIVER INSULATORS (SHANGHAI)
CO. LTD.
FP260822011/26-08-
2011 794944.8
11
MSCUDL744655
/11-11-2011 DALIAN INSULATOR GROUP CO. LTD EG11217/19-10-2011 751500
12
YMLUZ230190641
/30-12-2011
SEDIVER INSULATORS (SHANGHAI)
CO. LTD. FP23122011/23-12-2011 794944.8
13
NDAEHH600 /
13-12-2011
SEDIVER INSULATORS (SHANGHAI)
CO. LTD. FP16122011/16-12-2011 794944.8
14
NDAEHH600/
13-12-2011
SUZHOU FURUKAWA POWER OPTIC
CABLE CO. LTD. , CHINA SE111207/07-12-2011 333245.16
15
MSCUDL786284/
28-01-2012 DALIAN INSULATOR GROUP CO. LTD EG12001/04-01-2012 775350
16
MSCUDL815422/
30-03-2012 DALIAN INSULATOR GROUP CO. LTD EG12015/24-02-2012 1091250
17
YMLUZ245204311
/04-05-2012 DALIAN INSULATOR GROUP CO. LTD EG12047/23-04-2012 537477.3
18
YMLUZ230223990
/28-06-2012
SEDIVER INSULATORS (SHANGHAI)
CO. LTD. FP21062012/21-06-2012 715500
19
YMLUZ245204378
/23-06-2012 DALIAN INSULATOR GROUP CO. LTD EG12094/18-05-2012 387576
20
YMLUZ230241803
/14-09-2012
SEDIVER INSULATORS (SHANGHAI)
CO. LTD. CHINA FP06092012/06-09-2012 766857.6
21
YMLUZ230256175
/22-11-2012
SUZHOU FURUKAWA POWER OPTIC
CABLE CO. LTD. , CHINA SE121116/16-11-2012 194125.39
22
YMLUZ230259583
/06-12-2012
SEDIVER INSULATORS (SHANGHAI)
CO. LTD. CHINA FP03122012/03-12-2012 911250
Page 29 of 97
23
YMLUZ230260792
/13-12-2012
SUZHOU FURUKAWA POWER OPTIC
CABLE CO. LTD. , CHINA SE121210/10-12-2012 391512.37
24
YMLUZ230269660
/17-01-2013
SUZHOU FURUKAWA POWER OPTIC
CABLE CO. LTD. , CHINA SE130111/11-01-2013 329586.44
25
YMLUZ230277098
/28-02-2013
SUZHOU FURUKAWA POWER OPTIC
CABLE CO. LTD. , CHINA SE130224/24-02-2013 211576.02
TOTAL 14939029.33
4.3.11 Since the name of M/s PMC Projects (India) Private Limited
appearedunder the column ‘Notify Party’ invariably in each of above listed bills of
lading pertaining to individual shipments by the respective OEMs, efforts were made
to identify the import particulars for each such consignment i.e to ascertain the bill of
entry no. & date and port of import, from the particulars available on individual bill of
lading. Examination revealed that the aforesaid bills of lading were the bills of lading
pertaining to 25 consignments (Sr.No. 1 to 25 of Table-3A) imported and cleared by
PMC Projects (India) Private Limited, as evident from the same bill of lading numbers
featuring in the table-3A, which provides details of consignments imported and cleared
by M/s PMC Projects (India) Private Limited as per the EDI data base.
4.3.12 It, therefore, appears that while the importer utilized the above-listed
bills of lading for customs clearance purpose in India, the value for the purpose of
assessment appears to have been declared on the basis of back-to-back invoices
raised separately by EIF on M/s PMC Projects (India) Private Limited. The respective
OEM invoices and packing lists do not appear to be part of the documents produced
by PMC to the jurisdictional customs authorities in India, on the strength of which
cargo appears to have been assessed and cleared, as was also the case with
procurements by EIF from M/s Hyundai Heavy Industries Co. Ltd.
4.3.13 It, therefore,prima-facie appears to emerge in the case of these
transactions also that for each shipment imported by M/s PMC Projects (India) Private
Limited where EIF is the intermediary invoicing agent and one of three OEMs is the
shipper, there are two sets of invoices:-
i) OEM sale invoices of the three OEM firms (Copies of the sale invoices
raised by each of the three OEMs viz. M/s Dalian Insulator Group Co.
Ltd., M/s Sediver Insulators (Shanghai) Co. Ltd. and Suzhou Furukawa
PowerOptic Cable Co.Ltd., China, onEIF along-with corresponding
packing lists-)
ii) Intermediary invoices of EIF, UAE (Copies of the back-to-back
intermediary invoices/packing lists raised by EIF on M/s PMC Projects
India Private Limited)-Invoices raised for supplies made in pursuance of
Agreement 415703 dated 05-10-2010 between PMC and EIF.)
Page 30 of 97
4.3.14 A comparison of prices between the two sets of invoices is tabulated
below for better appreciation of scale and extent of price difference:-
Table-10
Comparison of invoice prices: Three OEMs to EIF vis-a-vis EIF to PMC
SR.
NO.
BILL OF LADING NO. /DATE PRICE
SHOWN IN
OEM
INVOICE USD
PRICE
SHOWN IN
ELECTROGE
N INVOICE
(USD)
[D] AS % OF [C] DIFFERENCE IN
USD
(A) (B) [C] [D] [E] [F]
1 MAEU601299135 /09-02-2011 605250 4270200
706 3664950
2 NDACVF300 / 15-02-2011 463342 3269009.3
706 2805667.28
3 YMLUZ245202791 /05-04-2011 1253880 8846304
706 7592424
4 APLU062194693 /31-03-2011 536176.8 3783025.2
706 3246848.4
5 YMLUZ230140405 /31-03-2011 85177.3 989736
1162 904558.7
6 YMLUZ230145416/28-04-2011 794944.8 5608544.6
706 4813599.84
7 YMLUZ230148714/12-05-2011 185491.65 2499741.2
1348 2314249.55
8 YMZUZ230162786/22-07-2011 794944.8 5608544.6
706 4813599.84
9 KKLUSH4220867/04-09-2011 438181.3 4563413.6
1041 4125232.32
10 MSCUY5709319/ 02-09-2011 794944.8 5608544.6
706 4813599.84
11 MSCUDL744655 /11-11-2011 751500 5302000
706 4550500
12 YMLUZ230190641/30-12-2011 794944.8 5608544.6
706 4813599.84
13 NDAEHH600 / 13-12-2011 794944.8 5608544.6
706 4813599.84
14 NDAEHH600/ 13-12-2011 333245.16 5356134.5
1607 5022889.32
15 MSCUDL786284/ 28-01-2012 775350 5470280
706 4694930
16 MSCUDL815422/ 30-03-2012 1091250 7699000
706 6607750
17 YMLUZ245204311/04-05-2012 537477.3 3792053.8
706 3254576.54
18 YMLUZ230223990/28-06-2012 715500 5048000
706 4332500
19 YMLUZ245204378/23-06-2012 387576 2734564
706 2346988
20 YMLUZ230241803/14-09-2012 766857.6 5410356.4
706 4643498.8
21 YMLUZ230256175 /22-11-2012 194125.39 2438920
1256 2244794.61
22 YMLUZ230259583/06-12-2012 911250 6429000
706 5517750
23 YMLUZ230260792/13-12-2012 391512.37 4956776
1266 4565263.63
24 YMLUZ230269660/17-01-2013 329586.44 4285010.4
1300 3955423.96
25 YMLUZ230277098/28-02-2013 211576.02 2830412.2
1338 2618836.18
14939029.33 118016659.6
858.46% 103077630.27
4.3.15 From the figures shown in Table-10 above, it appears that the price
charged by EIF in the invoices raised by it on M/s PMC Projects (India) Private Limited
is substantially higher than the price for corresponding shipments charged by these
OEMs. The invoice price of the respective OEMs appears to have been grossly inflated
in the back-to-back invoice raised by EIF on M/s PMC Projects (India) Private Limited.
It, therefore, appears that consignments shipped by the respective OEMs and imported
into India by M/s PMC Projects (India) Private Limited on the strength of grossly
inflated invoices raised by EIF had been cleared by resorting to gross over-valuation.
It is apparent that while the goods were shipped from the respective OEMs to PMC in
India directly, the invoices were routed through EIF, who merely acted as an
intermediary invoicing agentfor facilitating invoice inflation. The modus-operandi can
be diagrammatically described as under:-
Page 31 of 97
Page 32 of 97
Page 33 of 97
Page 34 of 97
Given the scale and extent of invoice inflation and the relationship, it is apparent that
it was done with fraudulent intent of siphoning of public money from India.
4.3.16 Scrutiny of OEM invoices raised by the above named three OEMs on EIF,
it was observed that many of the OEM invoices contained references to certain
Agreement Numbers and dates, which were found to be distinct for each OEM raising
the invoice as shown below :-
Table-11
Details of Agreements between the three China based OEMs and EIF
Sr.No. Name of the OEM Agreement no. found
mentioned in the OEM
invoices
1. Sediver Insulators (Shanghai) Co. Ltd.,
China
Agreement No. 700001 dated
07-10-2010
2. Dalian Insulator Group Co Ltd. Agreement No. 700002 dated
07-10-2010
3. Suzhou Furukawa Power Optic Cable Co.
Ltd. , China
Agreement No. 700004 dated
22-10-2010
It appeared that the Agreement Numbers, referred in the OEM invoices as
above,were the Agreements executed by the respective OEMs with EIF. Supplies under
the respective OEM invoices apparently were being made in pursuance of these
Agreements.
4.3.17 On request, Axis Bank, DIFC Bank, Dubai, vide their letter bearing
Ref.No. AXIS/DIFC/55/2013-14 dated 10-04-2014 (RUD-D/40)forwarded,interalia,
bank attested photo-copies of each of the three Agreements referred to in the Table-11
above.
4.3.18 Key particulars of the respective Agreements in terms of description,
quantity and contract price as available in these Agreements are tabulated below :-
Table-12
Summary of Agreements between the three China based OEMs with EIF in terms
of description, quantity and value of goods
S.No
Agreement
No. /date
Executing
parties to the
contract
Item
No.
Description of
goods
Quantity (Nos.)
Agreement
value/consideration
in USD
1 2 3 4 5 6 7
8
700001/
07-10-2010
Sediver
Insulators
(Shanghai) Co.
Ltd., China and
EIF
i)
120 KN
Toughened
glass disc
insulators
248299 Nos.
5938460.1
ii)
210 KN
Toughened
glass disc
insulators
341622 Nos.
Page 35 of 97
2
700002/
07-10-2010
Dalian Insulator
Group Co Ltd
and EIF
i)
120 KN
Toughened
glass disc
insulators
248299 Nos.
5938460.1
ii)
210 KN
Toughened
glass disc
insulators
341622 Nos.
3
700004/
22-10-2010
Suzhou
Furukawa
Power Optic
Cable Co. Ltd. ,
China and EIF
i)
OPGW with 8
Fibre
1272 KMS.
2637757
ii)
Fitting and
accessories
341622
TOTAL 14514569.20
4.3.19 Each of these Agreements were found to make a mention of an
Agreement dated 01-10-2010 between the contractor and employer, designated as
PMC Projects (India) Private Limited and EIF thereby clearly enabling inference that it
referred to Agreement No. 415703 dated 01-10-2010 between the two parties.
Therefore, a scrutiny was done to examinethe scope of the goods described in the three
Agreements vis-à-vis those mentioned in the said Agreement 415703 dated 01-10-
2010 between PMC and EIF which revealed that the description and quantity of
different types of disc insulators and OPGW with hardware& fittings mentioned in the
three Agreements with OEMs were covered at Sr.No. 5 to 8 in the table appended at
clause 3.02.1 in the said Agreement between PMC and EIF as tabulatedbelow :-
Table-13
Table appended at clause 3.02.1 of Agreement No. 415703 dated 01-10-2010
between PMC and EIF
S No. Item Description Quantity (Nos) Commencement
Period
Delivery/
Completion
Period
1 765/400 KV, 500 MVA Single Phase Auto
Transformers
7 - Oct 2011
2 765/400 KV, 500 MVA Single Phase Auto
Transformers
8 - Dec 2011
3 765 KV, 80 MVAR, Single Phase Shunt Reactors 7 - Oct 2011
4 765 KV, 80 MVAR, Single Phase Shunt Reactors 43 - Dec 2011
5 120 KN Disc Insulators for 2 Nos. 765 KV S/C
Transmission Lines.
496598 Jan 2011 Nov 2011
6 210 KN Disc Insulators for 2 Nos. 765KV S/C
Transmission Lines
688244 Jan 2011 Nov 2011
7 OPGW along with Hardware’s and fittings for 765 KV
S/C Transmission Line.
636 KM Jan 2011 Oct 2011
8 OPGW along with Hardware’s and fittings for 765 KV
S/C Transmission Line.
636 KM Jan 2011 Dec 2011
4.3.20 An aggregate of the same type of insulators covered by the two OEM
Contracts (Sr.No. 1 & 2) shown in Table-12above match with the figures of the same
type of insulators as shown at Sr.No. 5 and 6 of Table-13 inasmuch as in respect of
120 KN Toughened glass disc insulators at Sr.No.1(i) + 2(i) of Table-12, quantity works
out to 248299 + 248299 =496598- which is the same as the quantity shown at Sr.no 5
of Table-13 and in respect of 210 KN Toughened glass disc insulatorsat Sr.No. 1(ii) +
2(ii) of Table-12, quantity works out to 341622 + 341622 = 688244, which is same as
Page 36 of 97
the quantity shown at Sr.No. 6 of Table-13 above.The quantity of OPGW shown at
Sr.No. 3(i) of Table-12 matches with the aggregate of quantities shown at Sr.No. 7 & 8
(636+636=1272) of Table-13 above.
4.3.21 It, therefore, appears evident that the description and quantity of the
scope of supplies covered by the three OEM-Agreements with EIFshown at sr.no. 1, 2&
3 of Table-12above are identically covered in terms of description and quantity, for
supply under Agreement No. 415703 dated 01-10-2010 between PMC and EIF (Table-
13 above)
4.3.22 A comparison of the value of the same set of goods, with identical
description and quantity, indicated as consideration in two different sets of
agreements reveal gross disparity at the contract level as shown in the table below :-
Table-14
Contract Price as per Agreements between PMC & EIF vis-à-vis the Agreements
between EIF & the three OEMs (Sediver, Dalian & Suzhou)
S.No Description of goods Price as per Agreement No.
415703/ 01-10-2010 as per
break-up given at Schedule 1
Price Schedule Summary
Sheet (USD)
Price as per
OEM
Agreements
(USD)
Difference
(USD)
(C) as % of
(D)
(A) (B) (C) (D) (E) (F
1. Disc Insulators (120 KN
+ 210 KN)
Sub-total of C
(C.I + CII)
83,794,854 11,876,920.2 71,917,933.8 705.53%
2 Optical Fiber Ground
Wire with hardware and
accessories
Sub-total D 32,131,000 2,637,757 29,495,243 1218.12%
NOTE: - Scanned Copy of Price Schedule Summary Sheet of the Agreement no.
415703 Dt. 01-10-2010 between PMC and EIF is at para 13.1 below
4.3.23 It appears that Disc Insulators supplied at an aggregate cost of USD
11876920.2 by the two OEMsi.eM/s Sediver Insulators (Shanghai) Co. Ltd., China and
Dalian Insulator Group Co Ltd. China, and OPGW hardware and accessories for USD
2,637,757/- from M/s Suzhou Furukawa Power Optic Cable Co. Ltd. , Chinawere to
be invoiced to PMC under Agreement No. 415703 dated 01-10-2010 at contract value
consideration of USD 83,794,854 and USD 32,131,000 which works out to approx.
705.53% & 1218.12% of the corresponding OEM prices, respectively.
4.4 KYC DOCUMENTS FROM AXIS BANK (Second Lot)
4.4.1 Axis Bank, DIFC Branch, Dubai submitted certain documents vide their
letter bearing Ref.No. AXIS/DICF/1229/2013-14 dated 18th December 2013 (RUD-
D/41). It was, inter-alia, conveyed by the bank in its letter that EIF held a current
Page 37 of 97
account bearing no. 912020200000514 opened on 20-07-2010 and that EIH was the
parent company of EIF. The documents forwarded by the bank included copies of
account opening form alongwith supporting KYC documents submitted by EIF; copies
of the bank account statement since inception of the account till 12-12-2013 and copy
of the shareholding pattern of EIF. Documents relevant to the investigation are
discussed in the following paras.
4.4.2 As per Section I for stating Client Details, Analysis &Consent Form, EIF
have declared the name of Bank of Baroda, Bur Dubai, Main Branch as their principal
bankers. In the information provided regarding accounts held with other banks, they
have declared the names of Bank of Baroda and Standard Chartered Bank. With
regard to the declaration of their business activity, it was declared that it was a new
company and incorporated with the object of trading in power equipment.
Regarding the declaration on source of funds, EIF has declared that their promoter
was EIH, who would be bringing equity as and when required from their own
sources. On the reason for applying for opening of the account, they have declared
“asset handling”. The application appears to have been signed by Shri Jatin Shah on
10-07-2010(RUD/D-42).
4.4.3 As per Section II for details of Authorised Signatory/Director/Beneficial
Owner, the name and other personal details of Shri Vinod Shah and Shri Jatin Shah
were found declared. While employment details in terms of occupation and corporate
title were not filled in for Shri Vinod Shah, Shri Jatin Shah’s occupation was declared
as ‘service’ and his corporate title as ‘Manager’(RUD/D-43).
4.4.4 As per resolution dated 10-07-2010 of the Board of Directors of EIF,
available in the records of the bank, it was resolved that a bank account be opened in
the name of EIF and Shri Vinod S Shah &Shri Jatin C Shah be designated as
authorized signatories to operate the account and sign documents without any
limit(RUD/D-44).
4.4.5 From letter dated 10-07-2010 of EIF addressed to Axis Bank, it is
certified by Shri Jatin Shah as Chief Financial Officer of EIF that Shri Vinod Shantilal
Shah, Shri Moreshwar V. Rabade and Shri Jatin C Shah were Directors of
EIF(RUD/D-45).
4.4.6 The documents included a copy of the Licence Certificate No. 01-01-
07314 dated 14-01-2010 issued to EIF by SAIF Zone authorities, which was also
found in the records of the documents pertaining to Bank of Baroda, Bur Dubai (para
4.3.4 above)(RUD/D-46).
4.4.7 As per copy of Resolution dated 19-05-2011 passed by the Board of
Directors of EIF, it was resolved, inter-alia, that Shri Vinod Shah wasauthorized to
operate the account of EIF singly without any limit and that any two of the three
persons viz. Shri Jatin Shah, Shri MehulJani and Shri MiteshJani, could operate the
account jointly without any limit (RUD/D-47)
Page 38 of 97
4.4.8 As per letter dated 14-10-2012 submitted by EIF to Axis Bank, Shri Jatin
Shah and Shri Moreshwar V Rabadehad been certified as Directors of EIF (RUD/D-
48).
4.4.9 In letter dated 23-10-2012 addressed to the Bank, EIF informed the
Bank about the resignation of Vinod Shantilal Shah as a Director of their holding
company-EIH w.e.f. 31-05-2011(RUD/D-49).
4.4.10 In another letter dated 23-10-2012 addressed to the Bank, EIF has
confirmed the names of Shri Jatin Shah, Shri MehulJani and Shri MiteshJani as the
authorized signatories of EIF and the names of its directors as Shri Jatin Shah and
Shri MoreshwarRabade. This letter also reitereated that 100% of the equity capital of
EIF was held by EIH(RUD/D-50).
4.4.11 Copies of the amended License Certificates issued by SAIF Zone
authorities as of 07-08-2012 and 19-06-2013 show EIF as a firm engaged in “general
trading” activity & owned by EIH with Shri Jatin Shah as the manager(RUD/D-51).
EIF was also holding a Trading Licence issued by Jumeirah Lake Tower authorities
bearing Licence No. JLT-65859, as a Branch office, having address Unit N. 2707,
Jumeirah Business Center 5 Plot No.W1, Jumeirah Lakes Towers, Dubai, United Arab
Emirates(RUD/D-52). The copy of the said Trading Licence shows Shri Jatin Shah as
the Manager and activity undertaken by the company as Trading in Equipment related
to power lines, ports and transmission lines.
4.4.12 The documents include copy of the Addendum to the Memorandum &
Articles of Association dated 07-07-2009 of EIF. Vide this addendum, SAIF Zone
authorities acknowledged amendment made on 17-06-2010 to the Memorandum &
Articles of Association of EIF for increasing the share capital from AED 1,50,000 to
AED 54,00,000(RUD/D-53). The Addendum was signed by Shri Vinod Shantilal Shah
as a representative of EIH. This is the third Addendum to the Memorandum &
Articles of Association of EIF dated 07-07-2009, the other two being dated 04-01-2010
for change of name and 29-03-2010 for transfer of ownership as discussed at para
4.3.4 and 4.2.8 above respectively.
4.4.13 The documents include a copy of Register of Members of EIH certified on
25-01-2010 by Shri GiandeoReemul, for and on behalf of Trustlink International
Limited, Company Secretary(RUD/D-54). A scanned image of the Register of Members
is shown below for ease of appreciation
Page 39 of 97
Page 40 of 97
4.4.14 Perusal of the Register of Members shows that on 16-07-2009 i.e the
date when EIH was incorporated in Mauritius, 1000 shares of USD 1 each (which was
the entire authorised and paid-up capital of EIH as on 16-07-2009) with distinctive
numbers from 0001 to 1000 were allotted to Nasser Ali Shaban Ahli. The same shares
were transferred on 01-10-2009 from Nasser Ali Shaban Ahli to Chang Chung Ling
and further transferred to Shri Vinod Shantilal Shah on 12-01-2010.
4.5 Documents from ICICI Bank Limited (2nd Lot)
4.5.1 In response to letter dated 27-03-2014, ICICI Bank, Singapore through
letter dated 02-04-2014 (RUD/D-55)conveyed that they had provided Advance
Payment Guarantee (APG) facility to EIF; that EIF did not accept and that the facility
was, therefore, not availed by EIF. The Bank also conveyed that no documents had
been lodged by EIF with the Singapore Branch. Therefore, the issue was taken up and
pursued with officials of ICICI Bank’s corporate office at Bandra Kurla Complex,
Mumbai. ICICI Bank, vide their letter dated 07-04-2014 (RUD-D/56),forwarded
certain documents, which appeared to be documents submitted by EIF to the Bank
authorities while applying for the APG facility. Documents relevant to this
investigation are discussed in the following paras.
4.5.2 From the documents forwarded by the Bank, it appeared that while
applying for APG facility, EIF had provided on 09-04-2010 a background of itself in a
document titled ‘Brief Background’(RUD-D/57),wherein they hadstated that the
company was established with SAIF Zone in July 2009 in the name and style of
Sichuan Machinery and Equipments FZE and with effect from 04-01-2010, the name
was changed to EIF.
4.5.3 In the said documents, EIF also disclosed to the bank on 09-04-2010
that it is a wholly owned subsidiary of EIH, registered in Mauritius,owned by Shri
Vinod Shantilal Shah. The names of Shri Vinod S Shah, Shri M.V.Rabade and Shri
Jatin Shah have been mentioned as Board Members of EIF.
4.5.4 ICICI Bank further submitted certain documents vide their letter
dated16-04-2014(RUD/D-58)which included a document titled ‘Details of Director’
provided by EIF to them at their specific insistence(RUD/D-59). Thisdocument
provides names and other particulars of Shri Jatin Champaklal Shah and Shri
Moreshwar Vasant Rabade, as Directors of EIF.MoreshwarVasantRabade appears to
be full name of ‘M.V.Rabade’ listed as one of members of the Board of Director of EIF
in the document titled ‘Brief Background’ referred to at the foregoing paragraph 4.5.2
above. The documents also include a certificate dated 01-06-2010 by Shri Jatin Shah
as Chief Financial Officer of EIF certifying that as on that date, Shri Vinod Shantilal
Shah, Shri Moreshwar V.Rabade and Shri Jatin C. Shah were members of the Board
of Directors of EIF(RUD/D-60).
Page 41 of 97
5.0 Visit to the offices of Adani Group companies in Ahmedabad and
summones issued to various persons of the group including those connected
with EIF.
5.1 The supplier on record for many of the Adani Group companies including
PMC was the UAE based firm EIF, which appear related to the Adani Group as
brought out elsewhere in this notice. Efforts were, therefore, made to obtain
documents covering transactions between EIF and overseas based OEMs/actual
suppliers, in the case of shipments where the goods were eventually supplied to one or
more of the Adani Group entities. The officers of MZU visited offices of the following
group entities of the Adani Group in Ahmedabad office on or about 25-09-2013, in an
attempt to procure OEM/actual supplier documentation with EIF under the
reasonable belief that such documents would be stored in the said offices. Shri Nayan
Rao, Vice President, Corporate Affairs, of the Adani Group voluntarily came forward
and agreed to co-operate with the officers during the course of their visit by supplying
the documents required by DRI. During the course of their visit, the officers visited
the following premises accompanied by Shri Nayan Rao, Vice President of the Adani
Group and directed him to produce specific documents required by them in exercise of
the power conferred by Section 107 of the Customs Act, 1962:-
i) M/s Adani Power Limited, Achalraj Building, Ahmedabad
ii) M/s Adani Enterprises, Adani House
iii) M/s Adani Enterprises, Shikhar Building
iv) Adani Group’s server room, Fortune House.
5.2 Certain documents/electronic data as specified in the visit report dated
25-09-2013, (RUD/C-8) were handed over by Shri Nayan Rao, Vice President, in co-
ordination and consultation with concerned officials at the above offices, to the officers
of DRI during the course of their visit, in response to the requisition under Section 107
of the Customs Act, 1962. However, documents pertaining to transactions between
EIF and one or more overseas based OEMs/actual suppliers and other entities, in the
form of OEM/actual supplier invoices and/or copies of agreements/contracts between
the OEM and EIF were not produced on the ground of non-availability.
5.3 Summons bearing F.No. DRI/MZU/C.I.-224/2013 (RUD/C-4) under
Section 108 of the Customs Act, 1962 was issued in the name of Shri Jatin Shah, who
is described variously as authorised signatory, Manager, Chief Financial Officer and
Director of EIF, to his known addresses, seeking his presence on 14-10-2013 to give
evidence and produce specific documents listed at Annexure A to the said summons,
relevant extracts of which are produced below :-
1. Self attested copies of all the agreements/contracts entered into with
various overseas based original equipment manufacturers/entities/firms
for sourcing of goods of foreign origin from them for eventual supply/sale
DRI 2014 (PMC Projects).pdf
DRI 2014 (PMC Projects).pdf
DRI 2014 (PMC Projects).pdf
DRI 2014 (PMC Projects).pdf
DRI 2014 (PMC Projects).pdf
DRI 2014 (PMC Projects).pdf
DRI 2014 (PMC Projects).pdf
DRI 2014 (PMC Projects).pdf
DRI 2014 (PMC Projects).pdf
DRI 2014 (PMC Projects).pdf
DRI 2014 (PMC Projects).pdf
DRI 2014 (PMC Projects).pdf
DRI 2014 (PMC Projects).pdf
DRI 2014 (PMC Projects).pdf
DRI 2014 (PMC Projects).pdf
DRI 2014 (PMC Projects).pdf
DRI 2014 (PMC Projects).pdf
DRI 2014 (PMC Projects).pdf
DRI 2014 (PMC Projects).pdf
DRI 2014 (PMC Projects).pdf
DRI 2014 (PMC Projects).pdf
DRI 2014 (PMC Projects).pdf
DRI 2014 (PMC Projects).pdf
DRI 2014 (PMC Projects).pdf
DRI 2014 (PMC Projects).pdf
DRI 2014 (PMC Projects).pdf
DRI 2014 (PMC Projects).pdf
DRI 2014 (PMC Projects).pdf
DRI 2014 (PMC Projects).pdf
DRI 2014 (PMC Projects).pdf
DRI 2014 (PMC Projects).pdf
DRI 2014 (PMC Projects).pdf
DRI 2014 (PMC Projects).pdf
DRI 2014 (PMC Projects).pdf
DRI 2014 (PMC Projects).pdf
DRI 2014 (PMC Projects).pdf
DRI 2014 (PMC Projects).pdf
DRI 2014 (PMC Projects).pdf
DRI 2014 (PMC Projects).pdf
DRI 2014 (PMC Projects).pdf
DRI 2014 (PMC Projects).pdf
DRI 2014 (PMC Projects).pdf
DRI 2014 (PMC Projects).pdf
DRI 2014 (PMC Projects).pdf
DRI 2014 (PMC Projects).pdf
DRI 2014 (PMC Projects).pdf
DRI 2014 (PMC Projects).pdf
DRI 2014 (PMC Projects).pdf
DRI 2014 (PMC Projects).pdf
DRI 2014 (PMC Projects).pdf
DRI 2014 (PMC Projects).pdf
DRI 2014 (PMC Projects).pdf
DRI 2014 (PMC Projects).pdf
DRI 2014 (PMC Projects).pdf
DRI 2014 (PMC Projects).pdf
DRI 2014 (PMC Projects).pdf

More Related Content

DRI 2014 (PMC Projects).pdf

  • 1. Page 1 of 97 D I R E C T O R A T E O F R E V E N U E I N T E L L I G E N C E 13, SIR VITHALDAS THAKERSEY MARG, OPP PATKAR HALL, NEW MARINE LINES, MUMBAI 400 020 PH: 022-22010115, 022-22010116 ---------------------------------------------------------------------------------------------------------- F.No.DRI/MZU/CI-224 (PMC)/2013 Date: 15-05-2014 Subject: Gross over-valuation in the import of goods by M/s Maharashtra Eastern Grid Power Transmission Company Limited (MEGPTCL), a wholly owned subsidiary of M/s ADANI Enterprises Limited (AEL) through the contractor M/s PMC Projects (India) Private Limited - Show Cause Notice under Section 124 of the Customs Act, 1962 – reg. 1.1 Intelligence developed by Mumbai Zonal Unit (MZU) of Directorate of Revenue Intelligence (DRI) indicated that various entities of Adani group were indulging in gross over-valuation of imported goods (zero or low duty rated) to siphon off money abroad from public listed companies. The modus-operandi followed was that for power sector imports (Power generation:- Zero % duty and Power transmission:- 5% Basic Custom Duty), while the goods from various vendors (mostly South Korean & Chinese) are sent directly to India, the documents are routed through an intermediary entity created by them in the UAE, viz. M/s. Electrogen Infra FZE, who raised inflated invoices (inflating the values in original invoices of OEMseveral times) on the Indian company, against which money is remitted to UAE. The activities of M/s Electrogen Infra FZE, UAE are apparently controlled and managed by the Adani Group through one or more of its representative firms and/or personnel. Intelligence further suggested that from UAE, while the actual invoice value is remitted to respective OEMs, the extra amount is routed to the Mauritius account of the parent company of M/s Electrogen Infra FZE i.e. M/s Electrogen Infra Holding Pvt. Ltd. 1.2 On the basis of the said intelligence, enquiries were initiated into the import of goods invoiced by M/s Electrogen Infra FZE, UAE (here-in-after referred to as ‘EIF’ also),which were found to have been imported and cleared in the name of M/s PMC Projects (India) Private Limited, (IEC No. 0805004416)(here-in-after referred to as ‘PMC’ also), having its registeredoffice in Ahmedabad. 1.3 Information and documents were sought from PMCvideletter dated 05- 02-2013 bearing F.No.DRI/MZU/CI-224/2013/997(RUD-C/1). The company, vide its letter Ref.No. PMC/DRI/Reply/1394/13 dated 26.02.2013, (RUD-D/1) sought extra- time of 15 days upto 15.03.2013, on the plea of being unable to compile the
  • 2. Page 2 of 97 requisitioned information within the given time frame. Subsequently, on or about 13/14-03-2013, the company through a representative from its Mumbai office, sought to submit certain documents in two box files, which on preliminary scrutiny turned out to be incomplete and did not contain all the requisitioneddocuments. The said documents were returned back forthwith to the representative, since they were not only found to be incomplete but submission of crucial documents also appeared to have been withheld. This aspect was categorically pointed out to the concerned person, Shri AjitBarodia, Associate VP of the Adani Group who had been been deputed to this Unit with the documents to co-ordinate the company’s response, as well as verbally to one Shri Vidyut Joshi, an employee of PMCbased at Ahmedabad. Despite the documents having been returned back to the importer’s representative with specific instructions, PMCproceeded to forward the same incomplete documents in two box files by post. These facts were brought to the notice of the Vice-President of the Adani Group, handling corporate affairs, who had liaised with this Unit on behalf of PMC, through a letter dated 26-03-2013 (RUD-C/2) bearing F.No. DRI/MZU/CI- 224/2013/1869, drawing his attention to delay in furnishing of the requisitioned information&documents 1.4 A specific request was made in the letter 26-03-2013, for immediate submission of the all Contracts/Agreements entered into by EIF with one or more overseas firms/entities in connection with sourcing of equipments/machinery for eventual supply to PMC. Specific mention was made in the letter for submission of a copy of the Contract No. bearing reference no. 700003, purported to be the contract number for the Contract executed between EIF and M/s Hyundai Heavy Industries Co. Ltd. , South Korea, involving supply of high voltage transformers, shunt reactors etc., mention of which was found in some of the documents forwarded by the importer in the two box files. 2.1 The information and documents forwarded by PMC under cover of letter bearing Ref : PMC/765/DRI/REPLY/1401/13 dated 12-03-2013 (RUD-D/2), were examined. From the submissions made by the importer in the said letter, it appeared that M/s Maharashtra Eastern Grid Power Transmission Company Limited, having its registered office at Adani House, Mithakhali Six Roads, Navrangpura, Ahmebadad- 380009 (here-in-after referred to as ‘MEGPTCL’ also), a wholly owned subsidiary of M/s Adani Enterprises Limited, (here-in-after referred to as ‘AEL’ also), the flagship company of the Adani Group, under Licence from the Maharashtra Electricity Regulatory Commission, Mumbai (here-in-after referred to as ‘MERC’ also), a electricity regulatory body of government of Maharashtra, was setting up a 765 KV intra-state transmission network in eastern part of the State of Maharashtra, to evacuate power from the upcoming five power plants. The project apparently involved setting up of two765 KV S/C transmission lines in the corridor of Tiroda– Koradi III – Akola II – Aurangabad, alongwithassociated sub-stations and bays. It further appeared that based on an application dated 18-02-2010, made by MEGPTCL to the MERC requesting for grant of transmission licence under section 14 of the Electricity Act,
  • 3. Page 3 of 97 2003 and the Maharashtra Electricity Regulatory Commission (Transmission Licence Conditions) Regulations, 2004 for development of transmission system as above, for evacuation of power from projects in north-eastern Maharashtra, the MERC vide its order dated 14-09-2010 appears to have granted a Transmission Licence i.e Transmission Licence No. 1 of 2010 (RUD-D/3)for a period of 25 years to MEGPTCL. 2.2 The Commission in its order dated 14-09-2010 observed that capital cost of the transmission project should be optimized and grant of licence should not in any manner be construed as approval of the cost and other details of the project by the Commission. The Commission accordingly,inter-alia, imposed certain conditions, which were to be construed as specific conditions for the Transmission Licence. The first and foremost condition, as per the MERC’s order, was that the construction and commissioning of the transmission system shall be executed through suitable packages and contracts for these packages shall be awarded through Competitive Bidding basis. The said order further contained directions that the aforesaid Specific Conditions of the Transmission Licence of MEGPTCL are specified by regulations under Section 16 of the Electricity Act, 2003 and that such conditions shall be deemed to be conditions of Licence of MEGPTCL. These conditions appear to have been expressly incorporated in the Transmission Licence No. 1 of 2010 dated 21-09-2010 granted to MEGPTCL. 2.3 Perusal of copy of the Purchase Order bearing Ref. MEGPTCL/PMC/AD/03/10 dated 27-09-2010 (RUD-D/4)placed by MEGPTCL on PMC revealed that it covered design, engineering, manufacture, procurement, assembly and testing at works, packing & forwarding, supply, inland transportation and transit insurance for items/materials for 765 KV & 400 KV sub-stations including allequipments , auto transformers and shunt reactors associated with 765 KV Tiroda- Koradi III-Akola III-Aurangabad Transmission System in Maharashtra. Relevant extracts of the purchase order under the heading References is reproduced below :- ‘”References: 1. Tender Notice No. MEGPTCL/765 KV & 400 KV SS/EPC/02 issued vide letter ref. no. MEGPTCL/Trans.Line/Tender-EPC/KP/36/10 dated 17-08-2010. 2. Pre-bid Meeting dated 21-08-2010 3. Your Techno-Commercial Bid Ref.PMC/MEGPTCL/Tender/696/10 dated 04-09- 2010 4. Letter of Intent Ref.AD/MEGPTCL/SS/01 dated 23-09-2010” Contents of the Purchase Order, as reproduced above, appeared to indicate that Purchase Order was placed pursuant to a tendering process in selection of PMC as the contractor for execution of works. From the contents of the Purchase Order, it further appeared that though the Purchase Order had been addressed to PMC, express mention appears to have been made regarding the Purchase Order being placed on a consortium which included M/s PMC Projects (India) Private Limited. However, the
  • 4. Page 4 of 97 names of other members of the consortium were not forthcoming in the Purchase Order. The Purchase Order value given at Clause 2.0 under Contract Price stood at Rs. 1440,65,10,525/- The price appeared to have been revised subsequently to Rs. 1693,94,04,176/- vide Purchase Order Amendment-1 bearing Ref. No. MEGPTCL/PMC/AD/03/10/AMDT-1 dated 05-07-2011 (RUD-D/ 5 ). 2.4 On scrutiny of the documents, it further appearedthat PMC, for the purpose of executing the order placed on by M/s MEGPTCL, on their part, in turn appeared to have sub-contracted orders on two different entities viz. M/s ABB Limited, Bangalore and EIF. A portion of the order placed on PMC by M/s MEGPTCL, was sub- contracted to M/s ABB Limited, Bangalore by PMC by way of entering into a contract dated 28-09-2010(RUD-D/6) with them,for sourcing of Surge Arresters & Isolators for various sub-stations. The scope of supplies included both off-shore and onshore supplies for an aggregate consideration of Rs. 189,40,37,306/- , price of the off-shore and on-shore supply components being Rs. 20,76,16,131/- &Rs. 166,27,13,450/- ,respectively,and the balance of Rs. 2,37,07,726/-, being freight and transit insurance for onshore and offshore supplies. The remaining portion of the work ordered on PMC by MEGTPCL under Purchase Order dated 27-09-2010 appears to have beensub- contracted by PMC to EIF, by way of entering into and executing an agreement bearing no. 415703 on 01-10-2010 (RUD-D/7)with them for an aggregate consideration of USD 376,195,652/- for sourcing Auto Transformers, Shunt Reactors, Disc Insulatorsand OpticalFiber Ground Wire (OPGW) alongwith hardware and fittings. It,therefore, appeared that PMC was to fulfilthe contractual obligations covered in the Purchase Order dated 27-09-2010 placed on it by MEGTPCL in so far as it related to sourcing of equipment and machinery, by way of arranging procurements from M/s ABB Limited and EIFunder two separate contracts as narrated above. 2.5 PMC appears to be have been engaged by MEGPTCL, a wholly owned subsidiary of M/s Adani Enterprises Limited, (AEL) and recipient of power Transmission Licence issued by Maharashtra Electricity Regulatory Authority Commission (MERC) for setting up two 765 KV Transmission corridor from Tiroda- Koradi III-Akola II- Aurangabad in Maharashtra State, as a sub-contractor for and on behalf of MEGPTCL, to execute works in pursuance of the power Transmission Licence granted to it. 2.6 Vide a document titled Amendment-1 to Agreement No. 415703 dated 30-09-2011 (RUD-D/8)bearing reference no. Ref.415703/Amdt.-1, executed between PMC and EIF, certain amendments appear to have been carried out. Marine Insurance which was within the scope of EIF as per the original agreement appears to have been removed from its scope vide the said Amendment. The total price under the scope of work covered by the Agreement appears to have been amended and reduced to USD 376,077,628/- from USD 376,195,652/-.
  • 5. Page 5 of 97 2.7 Further scrutiny of the documents appeared to reveal that MEGPTCL, through an application bearing Ref.No. MEGPTCL/Energy/Certificate/01/11 dated 04-09-2011 (RUD/D-9)made to the Principal Secretary, Energy Department, Government of Maharashtra, Mantralaya Main Building, Mumbai, requested for issuance of essentiality certificate for import of transformers with accessories & shunt reactors with accessories for the two transmission lines to be set up in the corridor of Tiroda-Koradi-Akola- Aurangabad, while making a mention therein of the contract it entered into with EIF. In its application, MEGPTCL,inter-alia, stated that PMC would be importing transformers with accessories and shunt reactors, on behalf of MEGPTCL as EPC contractor from EIF and would avail benefit of General Exemption No. 122. As per the said application, the goods covered by the essentiality certificate to be issued, were proposed to be registered with the Kandla Custom House for availing concessional rate of duty as project imports. As a part of enclosures to the said letter, MEGPTCL appear to have inter-alia, enclosed certain pages which apparently were print-outs of product catalogues of M/s Hyundai Heavy Industries Co. Ltd. for shunt reactors and transformers, thereby prima-facie indicative of the origin and make of the transformers and shunt-reactors (i.eHyundai make, South Korea) to be supplied by EIF to PMC. This appears to have been followed up by subsequent applications to the Principal Secretary, Energy Department, Government of Maharashtra from time to time through letters dated 24-09-2011, 17-11-2011 and 24-01-2012(RUD-D/10). Similar correspondence made to Principal Secretary, Energy Department, Government of Maharashtra seeking essentiality certificate so as to be able to avail concessional rate of duty were also found in respect of Surge Arresters and Surge Counters to be supplied by M/s ABB AB, Sweden through its Indian counterpart, M/s ABB Limited to PMC, based on the application made by MEGPTCL. The Principal Secretary (Energy), appears to have certified essentiality of goods for concessional rate of duty from time to time. 2.8 From scrutiny of the documents submitted by the importer, it further appeared that MEGPTCL made applications to the Commissioner of Customs, Kandla, seeking to registerthe contract for supply of equipmentsfor availing concessional rate of duty, to the extent of equipments for which they were in possession of certificate of essentiality issued by the Government of Maharashra. Based on the applications received, the office of Commissioner of Customs, Kandla Custom House appeared to have registered the said project [(Registration No. 27/2011-12-Page No. 95) -F.No. S/42-38/MEGPTCL/Gr.VI/2011] for assessment under heading 98.01.(RUD-D/11). Entries in the register were updated for additional value registrationsdepending on issuance of fresh essentiality certificates from time to time. Details of the registrations done by the Kandla Custom House, as per information provided by PMC, with reference to the supplies from EIF covered by Contract no. bearing 415703 dated 01- 10-2010 (RUD-D/12) is summarized in the table below :-
  • 6. Page 6 of 97 Table - 1 Value of contracts registered with Kandla Custom House for assessment under heading 98.01 against supplies covered by Contract no. 415703 dated 01-10- 2010 between PMC and EIF S.No . Date & File No. of REIFstration CIF Value in USD Description of goods 1. S/42-38/MEGPTCL/Gr.VI/2011 dt. 01-11-2011 52313104.21 Auto Transformers, shunt reactors & mandatory spares. 2. S/42-38/MEGPTCL/Gr.VI/2011 dt. 17-11-2011 31872406.27 Auto Transformers & mandatory spares 3. S/42-38/MEGPTCL/Gr.VI/2011 dt. 23.12-2011 50179259.26 Shunt Reactors & mandatory spares 4. S/42-38/MEGPTCL/Gr.VI/2011 dt. 30-12-2011 20529460.48 Shunt Reactors & Mandatory spares 5. S/42-38/MEGPTCL/Gr.VI/2011 dt. 16-02-2012 55154343.68 50179259.12 Shunt Reactors & Mandatory spares Auto Transformers & mandatory spares TOTAL CIF 260,227,832.90 2.9 From the figures shown in the table above, , it is evident that the aggregate value of supply of auto transformers, shunt reactors and mandatory spares to the tune of USD 260,227,832.90 appears to have been registered for assessment under heading 98.01 by theOffice of Commissioner of Customs, Kandla. Going by the price schedule summary sheet (RUD-D/13)given at Schedule 1 to Agreement No. 415703 dated 01-10-2010 between EIF and PMC, these items appear to be covered by Sr.No. A & B. (A I & II and B-I &B-11) and the aggregate price works out to USD 260,269,978, value whereof being by and large in conformity with the aggregate value registered for concessional assessment as project imports. The value of the other items covered at Sr. No. C and D of Schedule 1 of the Agreement bearing No. 415703 dated 01-10-2010 between EIF and PMC involving supply of Disc Insulators and Optical Fiber Ground Wire or Optical Ground Wire (OPGW)with hardware &accessories, respectively, apparently were not sought to be registered for assessment under heading 98.01, thereby implying that the these goods were to be cleared at merit rate of duty. 2.10 Similar details of registration in respect of goods to be sourced by PMC from M/s. ABB Limited, under Contract dated 28-09-2010 is summarized on the basis of documents forwarded by the importer :-(RUD-D/14) Table - 2 Value of contracts registered with Kandla Custom House for assessment under heading 98.01 against supplies covered by Contract dated 28-09-2010 between M/s PMC Projects (I) Pvt. Ltd. and M/s ABB Limited S.No. Date & File No. of Registration CIF Value in USD Description of goods 1. S/42-38/MEGPTCL/Gr.VI/2011 dt. 16-02-2012 17866360 Surge Arrester and Surge Counter 2. S/42-38/MEGPTCL/Gr.VI/2011 dt. 16-02-2012 31991193 Surge Arrester and Surge Counter 3. S/42-38/MEGPTCL/Gr.VI/2011 dt. 07-05-2012 35024201.53 Isolator with one, two earth switch & spares 4. S/42-38/MEGPTCL/Gr.VI/2011 dt. 08-05-2012 51058246 Isolator with one, two earth switch & spares 5. S/42-38/MEGPTCL/Gr.VI/2011 dt. 16-02-2012 34167744 Isolator with one, two earth switch & spares 170,107,744.50
  • 7. Page 7 of 97 It appears that pursuant to the above registration, goods were imported by M/s PMC on high-sea-sale basis from M/s ABB Limited (IEC-0388038047) i.e M/s ABB Limited (the original importer) imported the aforelisted goods and sold the same on high-sea- sale basis to M/s PMC Projects (India) Pvt. Ltd., who filed bills of entry claiming assessment at concessional rate of duty under heading 98.01. Since the present investigation is in the context of supplies made by EIF, reference to imports by M/s PMC Projects from ABB Limited, are being made and mentioned solely for the limited purposes of understanding how the overall scope of work ordered by MEGPTCL on PMC in the Purchase Order dated 27-09-2010 was further sub-contracted to the two entities i.e. (i) EIF, and (ii) M/s ABB Limited. 2.11 With regard to the specific request made by this Unit for copies of the invoices raised by the original supplier/original equipment manufacturer and copies of the corresponding agreements entered into by EIF with such overseas entities, M/s PMC Projects (India) Private Limited submitted, in their response dated 12-03-2013 that such documents were required to be obtained from EIF and M/s ABB Limited, whom they had requested and that the said documents would be submitted immediately upon receipt from EIF and M/s ABB Limited. Subsequently, vide another letter bearing Ref.No. PMC/765/DRI/REPLY/1412/13 dated 25-04-2013, (RUD- D/15)they conveyed that in response to their letter to EIF to provide copies of the invoices/contracts between them and the original equipment manufacturer, M/s Hyundai Heavy Industries Co. Ltd., South Korea, EIF had expressed their inability to provide the requisite documents citing the reason of business confidentiality. 3.01 Imports made in the name of PMC as available on the Electronic-Data- Interchange (EDI) system were retrieved and examined. It appeared from scrutiny of the import data that PMC commenced its imports with invoice from EIF in the year 2011. As per the EDI data-base, the first consignment imported under Bill of Entry No. 740818 dated 03-03-2011 with invoice from EIF involved import of goods declared to be ‘120 KN and 210 KN Disc Insulators’ which were cleared through JNCH, NhavaSheva at merit rate of duty applicable at the time of clearance. This consignment was followed up,inter-alia,by several other imports which were noticed to have been cleared through Mundra Port at merit rate duty involving clearance of goods declared to be Glass Disc Insulators, OPGW cable, OPGW hardware and accessories. The overseas firm, who had raised invoices in the name of PMC, for these consignmentswas found to be EIF. The EDI data base also reflected certain imports which were found to have been assessed and cleared at concessional rate of duty under heading 98.01, details of which are narrated in the following paragraphs separately. 3.2 Brief particulars of the consignments invoiced by EIF, imported,inter- alia, by PMC involving import of goods required for setting up/installation of the two transmission lines are tabulated below in Table-3A (those cleared at merit rate) and Table-3B (those cleared claiming concessional rate under project import under 98.01)
  • 8. Page 8 of 97 Table-3A (Details of consignments imported by PMC and cleared at merit rate) S. No. BE No. & date SUPPLIER (ELECTROGEN INFRA FZE’S INVOICE NO. /DATE INV. VALUE (USD) BILL OF LADING (B.L.) NO./ DATE SHIPPER AS PER B.L. [A] [B] [C] [D] [E] [F] 1 740818/ 03-03- 2011 PMC/EG/11009/001 dt.: 09.02.11/09-02- 2011 4270200 MAEU601299135 /09-02-2011 DALIAN INSULATOR GROUP CO. LTD 2 3036910/ 24-03- 2011 PMC/EG/FP09022011 /002/15-02-2011 3269009.28 NDACVF300 /15- 02-2011 SEDIVER INSULATORS (SHANGHAI) CO. LTD. 3 3427185/ 06-05- 2011 PMC/EG/EG11053/DI /004 dt.: 26.04.11/26- 04-2011 8846304 YMLUZ245202791 /05-04-2011 DALIAN INSULATOR GROUP CO. LTD 4 3493704/ 13-05- 2011 PMC/EG/EG11067/DI /005/26-04-2011 3783025.2 APLU062194693 /31-03-2011 DALIAN INSULATOR GROUP CO. LTD 5 3525050/ 18-05- 2011 PMC/EG/SE110325/S E/003 /26-04-2011 989736 YMLUZ230140405 /31-03-2011 SUZHOU FURUKAWA POWER OPTIC CABLE CO. LTD. , CHINA 6 3685422/ 02-06- 2011 PMC/EG/FP23042011 /SI/006 /20-05-2011 5608544.64 YMLUZ230145416 /28-04-2011 SEDIVER INSULATORS (SHANGHAI) CO. LTD. 7 3739813/ 08-06- 2011 PMC/EG/SE110509/S F/007 /26-05-2011 2499741.2 YMLUZ230148714 /12-05-2011 SUZHOU FURUKAWA POWER OPTIC CABLE CO. LTD. , CHINA 8 4472634/ 26-08- 2011 PMC/EG/FP15072011 /SI/008 /06-08-2011 5608544.64 YMZUZ230162786 /22-07-2011 SEDIVER INSULATORS (SHANGHAI) CO. LTD. 9 4798484/ 30-09- 2011 PMC/EG/SE110817/S F/012 /26-09-2011 4563413.62 KKLUSH4220867/ 04-09-2011 SUZHOU FURUKAWA POWER OPTIC CABLE CO. LTD. , CHINA 10 4799346/ 30-09- 2011 PMC/EG/FP26082201 1/SI/011 /26-09-2011 5608544.64 MSCUY5709319/0 2-09-2011 SEDIVER INSULATORS (SHANGHAI) CO. LTD. 11 5327127/ 29-11- 2011 PMC/EG/EG11217/DI /015 /19-11-2011 5302000 MSCUDL744655 /11-11-2011 DALIAN INSULATOR GROUP CO. LTD 12 5905812/ 03-02- 2012 PMC/EG/FP23122011 /SI/021 /18-01-2011 5608544.64 YMLUZ230190641 /30-12-2011 SEDIVER INSULATORS (SHANGHAI) CO. LTD. 13 5906514/ 30-02- 2012 PMC/EG/FP16122011 /SI/020 /18-01-2012 5608544.64 NDAEHH600 /13- 12-2011 SEDIVER INSULATORS (SHANGHAI) CO. LTD. 14 5971442/ 10-02- 2012 PMCEG111207SF019 /16-01-2011 5356134.48 NDAEHH600/13- 12-2011 SUZHOU FURUKAWA POWER OPTIC CABLE CO. LTD. , CHINA 15 6225685/ 12-03- 2012 PMC/EG/EG12001/DI /027 /22-02-2012 5470280 MSCUDL786284/ 28-01-2012 DALIAN INSULATOR GROUP CO. LTD 16 6674228/ 28-04- 2012 PMC/EG/EG12015/DI /038/23-04-2012 7699000 MSCUDL815422/ 30-03-2012 DALIAN INSULATOR GROUP CO. LTD 17 6921529/ 24-05- 2012 PMC/EG/EG12047/DI /039 dt.: 21.05.12/21- 05-2012 3792053.84 YMLUZ245204311 /04-05-2012 DALIAN INSULATOR GROUP CO. LTD 18 7420406/ 18-07- 2012 PMC/EG/FP21062012 /SI/043 /12-07-2012 5048000 YMLUZ230223990 /28-06-2012 SEDIVER INSULATORS (SHANGHAI) CO. LTD. 19 7421168/ 18-07- 2012 PMC/EG/EG12094/DI /042 /12-07-2012 2734564 YMLUZ245204378 /23-06-2012 DALIAN INSULATOR GROUP CO. LTD 20 8104738/ 03-10- 2012 PMC/EG/FP06092012 /SI/045 /27-09-2012 5410356.4 YMLUZ230241803 /14-09-2012 SEDIVER INSULATORS (SHANGHAI) CO. LTD. CHINA 21 8752773/ 13-12- 2012 PMC/EG/SE121116/S F/046 /10-12-2012 2438920 YMLUZ230256175 /22-11-2012 SUZHOU FURUKAWA POWER OPTIC CABLE CO. LTD. , CHINA 22 8823356/ 20-12- 2012 PMC/EG/FP03122012 /SI/047 /19-12-2012 6429000 YMLUZ230259583 /06-12-2012 SEDIVER INSULATORS (SHANGHAI) CO. LTD. CHINA 23 8924721/ 02-01- 2013 PMC/EG/SE121210/S F/052 /29-12-2012 4956776 YMLUZ230260792 /13-12-2012 SUZHOU FURUKAWA POWER OPTIC CABLE CO. LTD. , CHINA
  • 9. Page 9 of 97 24 9215792/ 04-02- 2013 PMC/EG/SE130111/S F/054 /29-01-2012 4285010.4 YMLUZ230269660 /17-01-2013 SUZHOU FURUKAWA POWER OPTIC CABLE CO. LTD. , CHINA 25 9613690/ 19-03- 2013 PMCSE130224SF055 /13-02-2013 2830412.2 YMLUZ230277098 /28-02-2013 SUZHOU FURUKAWA POWER OPTIC CABLE CO. LTD. , CHINA 26 3071687/ 22-08- 2013 PMC/EG/SE130729/S F/060 /15-08-2013 1851454 YMLUZ231O0478 3/03-08-2013 SUZHOU FURUKAWA POWER OPTIC CABLE CO. LTD. , CHINA TOTAL 119868113.82 Note 1 :All except Sr.No. 1 (cleared through NhavaSheva) have been cleared through Mundra Port. Table-3B (Details of consignments imported by PMC and cleared at concessional rate of duty under heading 98.01) S. No. BE No. & /date SUPPLIER (ELECTROGEN INFRA FZE’S INVOICE NO. /DATE INV. VALUE (USD) BILL OF LADING (B.L.)/ NO./DATE SHIPPER AS PER B.L. [A] [B] [C] [D] [E] [F] 1 5094332/ 03-11- 2011 PMC/EG/20103354TNG 001/HHI/009 /09-09- 2011 42836611.3 HDMUUSOMN119010 0/ 13-08-2011 HHICL* 2 5094334/ 03-11- 2011 PMC/EG/20103354TNG 001A01/HHI/013 /28- 09-2011 3859806.74 KECO12020337/ 03- 09-2011 HHICL 3 5284599/ 24-11- 2011 PMC/EG/20103354TNG 001A02/HHI/014 /21- 10-2011 1385993.65 11109521108011/ 02- 10-2011 HHICL 4 5296316/ 25-11- 2011 PMC/EG/20103354TNG 002A01/HHI/010/26- 09-2011 20870378.66 HDMUMAOMN120010 0/ 27-08-2011 HHICL 5 5728265/ 13-01- 2012 PMC/EG/20103355TRG 0022A01/HHI/017 /05- 01-2012 15095898.67 HDMD001A/ 27-10- 2011 HHICL 6 5907344/ 03-02- 2012 PMC/EG/20103355TRO 020A03/HHI/018A /10- 01-2012 19395362.21 CPJQJI96MASMUN01 / 22-11-2011 HHICL 7 5907347/ 03-02- 2012 PMC/EG/20103354TRO 020A02/HHI/016 /10- 01-2012 19419250.35 HDMD001B/ 27- 10-2011 HHICL 8 6066894/ 22-02- 2012 PMC/EG/20103354TNG 004-003/HHI/022 /14- 02-2012 6860212.97 POBUMASMUN120002 / 22-01-2012 HHICL 9 6118467/ 28-02- 2012 PMC/EG/20103355TNG 003/HHI/025 /22-02- 2012 13838633.48 POBUMASMUN120001 / 22-01-2012 HHICL 10 6186246/ 06-03- 2012 PMC/EG/20103355TRO 022A03/HHI/023 /18- 02-2012 2034920.44 11109521110012/ 01- 12-2011 HHICL 11 6186247/ 06-03- 2012 PMC/EG/20103355TRO 022A03/HHI/024 /18- 02-2012 2608159.99 11109521110011/ 01- 12-2011 HHICL 12 6186248/ 06-03- 2012 PMC/EG/20103355TRO 020A03/HHI/018 /10- 01-2012 3751551.3 CPJQJI96MASMUN02 / 22-11-2011 HHICL 13 6257843/ 14-03- 2012 PMC/EG/20103355TR00 21-01/HHI/028/27-02- 2012 19395362.21 HDEH002B/ 31- 01-2012 HHICL 14 6257846/ 14-03- 2012 PMC/EG/20103355TR00 21-01/HHI/029 /27-02- 2012 19419250.35 HDEH002A/ 31- 01-2012 HHICL 15 6565565/ 17-04- 2012 PMC/EG/OIL/HHI/036 /12-04-2012 446057.79 11109521202011/ 17-03-2012 HHICL 16 6624398/ 23-04- 2012 PMC/EG/20103355TNG 004/HHI/031 /01-04- 2012 13838633.48 POBUMASMUN120010 / 29-02-2012 HHICL 17 6624583/ 23-04- PMC/EG/20103355TNG 003/003/HHI/032 /01- 6919316.74 POBUMASMUN120008 / 29-02-2012 HHICL
  • 10. Page 10 of 97 2012 04-2012 18 6624931/ 23-04- 2012 PMC/EG/20103355TNG 003/004/HHI/033/01- 04-2012 6919316.74 POBUMASMUN120009 / 29-02-2012 HHICL 19 6634898/ 24-04- 2012 PMC/EG/20103355TSO 153-01/HHI/035/01-04- 2012 3190913.12 POBUMASMUN120007 / 29-02-2012 HHICL 20 6636126/ 24-04- 2012 PMC/EG/20103355TNG 004/004/HHI/030 /01- 04-2012 6954061.96 POBUMASMUN120011 / 29-02-2012 HHICL 21 6651942/ 26-04- 2012 PMC/EG/20103355TSO 153/HHI/034 /01-04- 2012 6362219.47 POBUMASMUN120006 / 29-02-2012 HHICL 22 6678179/ 28-04- 2012 PMC/EG/OIL/HHI/037 dt.: 12.04.12/12-04- 2012 3428993.18 11109521109013/ 25-03-2012 HHICL 23 7163485/ 20-06- 2012 PMC/EG/20103354TS01 50-02/HHI/041/20-05- 2012 327416.49 GOSUSEL2062505/ 08-05-2012 HHICL 24 7915569/ 11-09- 2012 PMC/EG/20103355TS01 53-02/HI/044/10-08- 2012 852816.04 ESSAPUS12072026/2 8-07-2012 HHICL 25 8970044/ 08-01- 2013 PMC/EG/OIL/HI/048 dt.: 24.12.12/24-12- 2012 2509261.93 11109521211012/ 03-12-2012 HHICL 26 8993748/ 10-01- 2013 PMC/EG/OIL/HI/051 /24-04-2012 2035000.42 11109521211015/ 10-12-2012 HHICL 27 8994085/ 10-01- 2013 PMC/EG/OIL/HI/049 /24-12-2012 5187830.19 11109521211013/ 10-12-2012 HHICL 28 9001672/ 11-01- 2013 PMC/EG/OIL/HI/050 /24-12-2012 3102860.2 11109521211014/ 10-12-2012 HHICL 29 9260637 /08-02- 2013 PMC/EG/OIL/HI/053 /10-01-2012 108533.55 11109521212011/ 17-12-2012 HHICL 30 9871984/ 16-04- 2013 PMC/EG/20123911TS02 27/HI/057 /02-04-2013 56316 ESSAPUS13030769/1 9-03-2013 HHICL 31 9954571/ 25-04- 2013 PMC/EG/20103354TS01 50-01/HI/056/02-04- 2013 361940.32 2512-0030-303.012 /16-03-2013 HHICL Total 253372879.94 Note :1) * HHICL : Hyundai Heavy Industries Co. Ltd., South Korea 2)All except Sr.No. 30 (cleared through NhavaSheva) have been cleared through Mundra Port. 3.03 Perusal of the EDI data base further revealed that in the case of shipments by M/s Dalian Insulator Group Co. Ltd. (here-in-after referred to as ‘Dalian’ also) and M/s Sediver Insulators (Shanghai) Co. Ltd. (here-in-after referred to as ‘Sediver’ also),the shipments as listed in Table-3A, comprised various types of Disc Insulators, whereas in the case of consignments shipped by M/s Suzhou Furukawa Power Optic Cable Co.Ltd. , China (here-in-after referred to as ‘Suzhou’ also),the shipments as listed in Table-3A, comprised OPGW cable, hardware and accessories thereof, as is evident from the description of goods declared in the Bills of Entry as per the EDI database. It, therefore,prima-facie appeared that the Disc Insulators under import had been purchased/procured from the two China based original equipment manufacturers (OEM) viz. M/s Dalian Insulator Group Co. Ltd. and M/s Sediver Insulators (Shanghai) Co. Ltd.,whereas, the OPGW cable, OPGW hardware and accessories appear to have been purchased/procured from Suzhou Furukawa Power Optic Cable Co.Ltd. , China. In respect of consignments shown at Table-3B, the EDI data base revealed that equipmentsimported i.e. single phase auto transformers,
  • 11. Page 11 of 97 single phase shunt reactors, fittings and accessories had been shipped by Hyundai Heavy Industries Co. Ltd., South Korea. It, therefore,prima-facie appeared that the said goods had been purchased/procured from the South Korea based original equipment manufacturer (OEM) viz. M/s Hyundai Heavy Industries Co. Ltd., South Korea. 4.0 DOCUMENTS FROM BANKS During enquiries, it was gathered that documents relating to transactions of goods invoiced by M/s Electrogen Infra FZE, UAE and importation thereof by M/s PMC Projects (India) Private Limited had,inter-alia, been negotiated through certain Indian banks having their branches in the UAE. Accordingly, pursuant to ascertaining the name of some of the banks, correspondence was initiated with Axis Bank having their branch in Dubai International Financial Centre (DIFC) Branch in Dubai, to begin with. Vide letter bearing F.No.DRI/MZU/CI-224/2013 dt. 05-04-2013 (RUD-C/3)addressed to the bank authorities, specific information/documents were sought from them by providing them with details of 29 shipments involving M/s Hyundai Heavy Industries Co. Ltd., South Korea as the shipper and M/s PMC Projects (India) Private Limited, as the notifying party. Relevant portion of the specific request made to the Bank is reproduced below :- “ “i) Copies of invoices, packing lists for the transactions covered by individual Bills of lading shown in Annexure A to the said letter and/or any other document submitted/lodged with the bank to facilitate the negotiation/transaction. ii) Copies of individual Letters of Credit. iii) A copy of the Agreement bearing No. 700003 dated 05.10.2010 involving M/s Electrogen Infra FZE, UAE”. A general request was made to the bank authorities spelling out the requirement in terms of documentation i.e. all documents negotiated through the bank in respect of every shipment of goods by any firm/entity (shipper) to India having M/s PMC Projects (India) Private Limited as the ‘Notifying party’, wherein the original consignee is EIF and/or all such documents negotiated by the bank on the instructions of/at the behest of EIF. 4.1 DOCUMENTS FROM AXIS BANK (First Lot) 4.1.1 Axis Bank, Mumbai responded by providing certain documents through their letters bearing reference no. AXIS/CO/IBD/2013-14/35 dated 18-04-2013(RUD- D/16) and AXIS/CO/IBD/2013-14/44 dated 25-04-2013 (RUD-D/17). The documents forwarded by Axis Bank contained bank attested photo copies of some bills of lading together with corresponding invoices and packing lists, pertaining to the shipments covered by such bills of lading. A careful scrutiny of the contents of individual bills of lading revealed that each of the bills of lading covered goods shipped
  • 12. Page 12 of 97 by M/s Hyundai Heavy Industries Co. Ltd., South Korea in the name of PMC. The name of M/s Hyundai Heavy Industries Co. Ltd., South Korea was indicated as the ‘Shipper’ in the respective bills of lading and the name of PMC was indicated as the Notifying Party. The box provided for mentioning the name of the Consignee in the Bills of Lading was found to contain a remark ‘To Order’ or ‘To Order of Axis Bank, DIFC Branch’. The bills of lading were found to make a mention of Letter of Credit (L/C) Number which apparently pertained to the Letter of Credit opened by M/s AXIS Bank Limited, DIFC Bank as the issuing Bank on behalf of EIF, in favour of the shipper M/s Hyundai Heavy Industries Co. Ltd., South Korea. Many of the bills of lading contained a reference to an Agreement number ‘700003 dated 05-10-2010’, apparently to denote that the goods being shipped under cover of that specific bill of lading were covered by the said Agreement. Brief description of the goods and other particulars thereof were also found on the body of the bill of lading. 4.1.2 Scrutiny of invoices & packing lists forwarded by the bank in support of each of the bills of lading revealed that each of these invoices happened to be an invoice raised by M/s Hyundai Heavy Industries Limited, South Korea (an original equipment manufacturer-OEM) on or in favour of EIF, with the name of the notifying party appearing thereon as ‘M/s PMC Projects India Private Limited’. It, therefore,prima-facie appeared that these invoices (here-in-after referred to as OEM invoices) had been raised by the OEM M/s Hyundai Heavy Industries Co. Ltd. , South Korea towards sale of the goods supplied by them. 4.1.3 Each of the OEM invoices was invariably found to be containing a remark- ‘The goods supplied are as per agreement no. 700003 dated 05-10-2010’. The OEM-invoices were also found to specifically contain the name of ‘M/s PMC Projects India Private Limited’ as the notifying party. It also bore reference to a Letter of Credit No. and date. Each of the OEM invoices was found to be accompaniedby a corresponding Packing List of Hyundai Heavy Industries Co. Ltd., giving details of the cargo (here-in-after referred to as the OEM packing list). These OEM-packing lists were found to invariably contain a mention of the invoice number and date, thereby linking the packing list to its corresponding invoice. The OEM-packing lists were also found to inter-alia, contain a mention of the same agreement number &date, and other particulars, as found mentioned on the body of invoices and bills of lading (i.eAgreement No. 700003 dated 05-10-2010), name of the notifying party-PMC and Letter of Credit No. & date). Some of the OEM-packing lists, in addition to the above details were also found to specifically mention the name of the L/C issuing bank as ‘AXIS Bank Limited, DIFC Branch (Regulated by DFSA) Dubai, UAE and the SWIFT code of the Bank viz. AXISAEEDXXX. Some of the packing lists also contained details of the bill of lading no. and date, apparently to denote the bill of lading under which the cargo covered by such OEM was shipped. In many of the OEM-invoices and corresponding OEM-packing lists raised by M/s Hyundai Heavy Industries Co. Ltd., South Korea, the OEM appears to have specifically mentioned the name and mobile
  • 13. Page 13 of 97 number of one Shri Jatin Shah, which was apparently found to be mentioned below the name and address of EIF, thereby implying that the said Shri Jatin Shah belonged to and/or was employed and/or represented EIF. 4.1.4 From the analysis of OEM documents forwarded by the Axis Bank, as discussed in the foregoing paragraphs, it prima-facie appears that the bank has facilitated EIFin its transaction involving purchase/procurement of goods from the OEM- M/s Hyundai Heavy Industries Co. Ltd. , South Korea. The services of the Bank appear to have been,inter-alia, utilized by EIF for remitting the invoice value of goods procured/purchased from M/s Hyundai Heavy Industries Co. Ltd., South Korea, to the said OEM, as per the amounts indicated in the respective invoices raised by the OEM on M/s Electrogen Infra FZE, UAE and in accordance with terms & conditions of the Letters of Credit covering the said transaction. 4.1.5 Amongst the other documents forwarded by the Bank were copies of Letters of Credit (L/C) opened by Axis Bank, DIFC, Dubai in the name of applicant i.eEIF favouring M/s Hyundai Heavy Industries Co. Ltd., South Korea, whose name has been indicated as the ‘Beneficiary’ in the SWIFT messages pertaining to the letters of credit. Such L/Cs appeared to cover a fixed lumpsum amount, apparently representing money payable by EIF to M/s Hyundai Heavy Industries Co. Ltd., South Korea towards purchase/procurement of goods. The Letters of Credit, further,inter- alia invariably indicate the name of PMC as the Notifying party and also specify an Agreement no. (Agreement No. 700003 dated 05-10-2010), thereby implying that the goods were for eventual supply to PMC. 4.1.6 A copy of the Agreement No. 700003 dated 05-10-2010, (RUD/D- 18)foundrepeatedlymentionedin the OEM-invoices/OEM-packing lists/bills of lading pertaining to supplies by M/s Hyundai Heavy Industries Co. Ltd., was one of the documents forwarded by Axis Bank, DIFC, Dubai. Scrutiny thereof revealed that the Agreement appears to have been executed between EIF having its registered/head office in Sharjah, UAE and M/s Hyundai Heavy Industries Co. Ltd., South Korea. The scope of work as stipulated in the said Agreement was for the supply of single phase auto transformers, single phase shunt reactors, fittings and accessories thereof for installation of the transmission line in the corridor of Tiroda–Koradi-III - AkolaII - Aurangabad. Since the scope of supply stipulated in the Agreement between the OEM and EIF appeared to be identical to scope of supply of Auto transformer and Shunt Reactors etc. covered by Agreement No. 415703 dated 01-10-2010 between EIF and PMC, (covered at Sr. No. A and B of Schedule 1 to the said agreement) and because equipments covered by both these Agreements were apparently meant for the same transmission line project, it prima-facie appeared that goods covered by Agreement No. 700003 dated 05-10-2010 were supplied to PMC. 4.1.7 In order to ascertain this aspect, efforts made to compare the scope of supply (Description & Quantity) and price thereof covered by Agreement no. 700003 dated 05-10-2010 between EIF and Hyundai Heavy Industries Co. Ltd. South, Korea vis-à-vis scope of supply (Description & Quantity) and price thereof covered by
  • 14. Page 14 of 97 Agreement no. No. 415703 dated 01-10-2010 between PMC and EIF. In so far as the supply of Transformers and shunt reactors was concerned, Agreement no. 700003 dt. 05-10-2010 (between EIF and Hyundai) covered supply of 15 numbers of single phase auto transformers and 50 numbers of shunt reactors, precisely identical to the scope of supply covered by the Agreement bearing No. 415703 (between EIF and PMC) as is evident from an equipment-wise aggregate of the figures at Sr.Nos. 1 to 4 of the table appended at clause 3.02.1 in the said Agreement, which is re-produced below :- Table-4 Table appended at clause 3.02.1 of Agreement No. 415703 dated 01-10-2010 between PMC and EIF S No. Item Description Quantity (Nos) Commencement Period Delivery/ Completion Period 1 765/400 KV, 500 MVA Single Phase Auto Transformers 7 - Oct 2011 2 765/400 KV, 500 MVA Single Phase Auto Transformers 8 - Dec 2011 3 765 KV, 80 MVAR, Single Phase Shunt Reactors 7 - Oct 2011 4 765 KV, 80 MVAR, Single Phase Shunt Reactors 43 - Dec 2011 5 120 KN Disc Insulators for 2 Nos. 765 KV S/C Transmission Lines. 496598 Jan 2011 Nov 2011 6 210 KN Disc Insulators for 2 Nos. 765KV S/C Transmission Lines 688244 Jan 2011 Nov 2011 7 OPGW along with Hardware’s and fittings for 765 KV S/C Transmission Line. 636 KM Jan 2011 Oct 2011 8 OPGW along with Hardware’s and fittings for 765 KV S/C Transmission Line. 636 KM Jan 2011 Dec 2011 4.1.8 Perusal of Price Schedule Summary Sheet at Schedule-1(RUD-D/13) of Agreement No. 415703 dated 01-10-2010 reveals that supplies to be made by EIFto PMC, on the basis of procurements from M/s Hyundai Heavy Industries Co. Ltd., appear to be Sr.Nos. A & B of the summary sheet respectively, as is evident from the description of goods covered at A & B respectively viz. auto transformers , shunt reactors & spares thereof. Thus, the proportionate agreement value of goods supplied by M/s Hyundai Heavy Industries Co. Ltd., to M/s PMC Projects (India) Private Limited under Agreement No. 415703 works out to 260,269,798 USD. (AI+AII+BI+BII) - (Scanned Copy of Price Schedule-Summary Sheet to this Agreement is at Para 13.1 below). The back-to-back contract prices are tabulated below :- Table-5 Contract Price comparison:PMC<->EIF vis-à-vis EIF<->HHICL Particulars Amt. in US $ a) Price : PMC  EIF, UAE Value as per agreement no. 415703 dated 01-10- 2010 between M/s Electrogen Infra FZE and M/s PMC Projects (India) Private Limited 260,269,798 b) Price : EIF, UAE  HHICL Value as per agreement no. 700003 dated 05-10- 2010 between M/s Hyundai Heavy Industries Co. Ltd. , South Korea and M/s Electrogen Infra FZE, UAE 65,328,309 DIFFERENCE 194,941,489 (a) as % of (b) 398%
  • 15. Page 15 of 97 It appears that for the same goods, the contract value between PMC and EIF (the intermediary invoicing agent)is nearly four times (398%) of the contract value between EIF and OEM (HHICL) the actual overseas supplierwhich appears to be abnormal andgross inflation, contrary to ordinary economic logic or prudence. The purpose and cause of entering into agreement bearing No. 700003 dated 05.10.2010 by EIF with HHICL appears to stem from the Agreement no. 415703 dated 01-10-2010 and covered at Sr. No. A and B of Schedule 1. Contents of para (b) of the Agreement No. 700003 dated 05-10-2010, which containsa specific reference to Purchase Order dated 27-09-2010 (Order placed on PMC by MEGTPCL) as well as to Agreement dated 01- 10-2010 (Agreement bearing No. 415703 dated 01-10-2010) make it abundantly clear that it is back-to-back procurement contract entered into by EIF with M/s Hyundai Heavy Industries Co. Ltd.(HHICL), for actual of supply the goods to PMC in terms of agreement no. 415703 dated 01-10-2010 entered between EIF with PMC. 4.1.9 It further appeared from a perusal of the signatories to the Agreement No. 700003 dated 05-10-2010that one ShriDharmesh Parekh had signed the said Agreement as an authorized signatory for and on behalf EIF, as is evident from the handwritten text indicating his name appended below his signature. It, therefore,prima-facie appeared that Shri Dharmesh Parekh represented the UAE based firm EIF and held a responsible position with them, having signed on its behalf as an authorized signatory involving consideration of nearly 65 Million USD. 4.1.10 It further prima-facie appeared that the goods shipped from time to time under cover of bills of lading submitted by the bank involving M/s Hyundai Heavy Industries Co. Ltd. as the shipper and imported by PMC, were part and parcel of the goods covered by Agreement No. 700003 dated 05-10-2010. The price shown in corresponding OEM-invoices raised by M/s Hyundai Heavy Industries Co. Ltd. on EIF from time to time represented the proportionate contract value of the goods commensurate with the value of the goods being shipped in piecemeal. 4.1.11 The price payable by EIF to M/s Hyundai Heavy Industries Co. Ltd. as per the invoices raised by the OEM on EIF has been tabulated below in respect of 26 shipments, on the basis of documents forwarded by Axis Bank, DIFC, Dubai in response to this Unit’s letter seeking documents for 29 consignments:- Table-6 Price of goods as per invoices raised by HHICL on EIF Sr. No. Bill of Lading No. /date SHIPPER HYUNDAI HEAVY INDUSTRIES CO. LTD. INVOICE NO./DATE SHIPPER'S INVOICE VALUE (CIF USD) 1 POBUMASMUN120007/29-02-12 20103355TSO153-01/28-02-2012 781704 2 HDMD001A/27-10-11 20103355TSO153-01/28-02-2012 3476403 3 11109521110012/01-12-11 20103355TSO153-01/28-02-2012 613683 4 11109521110011/01-12-11 20103355TSO153-01/28-02-2012 924172 5 POBUMASMUN120006/29-02-2012 20103355TSO153/28-02-2012 1612158 6 ESSAPUS12072026/28-07-2012 20103355TS0153-02/20-07-2012 221306
  • 16. Page 16 of 97 7 11109521211015/10-12-2012 NIL/30-11-2012 643021 8 11109521109013/25-03-2012 NIL/26-03-2012 1105332 9 POBUMASMUN120002/22-01-12 20103355TSO153-01/28-02-2012 1740762 10 HDMUMAOMN1200100/27-08-11 20103355TSO153-01/28-02-2012 5165787 11 HDMD001B/27-10-11 20103355TSO153-01/28-02-2012 4469661 12 CPJQJI96MASMUN01/22-11-11 20103355TSO153-01/28-02-2012 4469661 13 POBUMASMUN120001/22-01-12 20103355TSO153-01/28-02-2012 3469843 14 HDEH002B/31-01-12 20103355TSO153-01/28-02-2012 4598482 15 HDEH002A/31-01-12 20103355TSO153-01/28-02-2012 4598482 16 POBUMASMUN120011/29-02-2012 20103355TNG004-004/20-02-2012 1734013 17 POBUMASMUN120010/29-02-2012 20103355TNG004/20-02-2012 3468027 18 POBUMASMUN120008/29-02-2012 20103355TNG003-003/20-02-2012 1385757 19 POBUMASMUN120009/29-02-2012 20103355TNG003-004/20-02-2012 1732196 20 11109521211013/10-12-2012 NIL/30-11-2012 1636376 21 11109521211014/10-12-2012 NIL/30-11-2012 574898.66 22 11109521211012/03-12-2012 NIL/30-11-2012 472101.45 23 HDMUUSOMN1190100/13-08-11 20103355TSO153-01/28-02-2012 10364119 24 KECO12020337/03-09-11 20103355TSO153-01/28-02-2012 1236935 25 11109521108011/02-10-11 20103355TSO153-01/28-02-2012 616927 26 CPJQJI96MASMUN02/22-11-11 20103355TSO153-01/28-02-2012 1170895 TOTAL 62282702.11 4.1.12 Since the name of PMC featured as a notifying party in many of the above listed bills of lading and corresponding OEM-invoices/packing lists, raised by Hyundai Heavy Industries Co. Ltd. on EIF, efforts were made to identify the import particulars for each such consignment i.e. to ascertain the corresponding Bill of Entry No. & date and the port of import in India. Examination of import particulars thereof revealed that PMC had utilized these very Bills of Lading, whose numbers are listed above, for clearance of 26 of the 31 consignments (Table-3B) imported and cleared by them through Mundra Port at concessional rate of duty, as is evident from the samebills of lading numbers featuring in the Table 3Bwhich providesparticulars of consignments imported and cleared by PMC as per the EDI data base. 4.1.13 It, therefore, appears that while the importer utilized the above-listed bills of lading for customs clearance purpose in India, the value for the purpose of assessment appears to have been declared on the basis of back-to-back intermediary invoices raised by EIF on M/s PMC Projects (India) Private Limited. The OEM invoices and OEM packing lists of M/s Hyundai Heavy Industries Co. Ltd., South Korea do not appear to be a part of the documents produced to the jurisdictional customs authorities in India. 4.1.14 It, therefore,prima-facie appears to emerge that for each shipment imported by M/s PMC Projects (India) Private Limited where EIF, is the intermediaryinvoicing agent and M/s Hyundai Heavy Industries Co. Ltd. , South Korea is the shipper, there are two sets of invoices:-
  • 17. Page 17 of 97 i) OEM sale invoice of HHICL (Copy of the sale invoice raised by the M/s Hyundai Heavy Industries Co. Ltd.-Original Equipment Manufacturer- (OEM) on EIF alongwith corresponding packing list-Invoices raised for supplies made in pursuance of Agreement No. 700003 dated 05-10-2010 between EIF and HHICL , South Korea) ii) Intermediaryinvoice of EIF, UAE (Copy of the back-to-back intermediaryinvoice/packing list raised by EIF on PMC - Invoices raised for supplies made in pursuance of Agreement 415703 dated 01-10-2010 between PMC and EIF). Scanned images of two sets of invoices for the same goods (the OEM invoice raised on EIF and the back-to-back inflated intermediary invoice raised by EIFon PMC)and the scanned image of the corresponding common Bill of Lading, in respect of one consignment shipped by HHICL) is reproduced below as illustration:-
  • 19. Page 19 of 97 Table-7 Comparison of invoice prices: HHICL(OEM) to EIF vis-a-vis EIF to PMC SR. NO. BILL OF LADING NO. /DATE PRICE SHOWN IN OEM (HHICL) INVOICE USD PRICE SHOWN IN ELECTROGEN INVOICE (USD) (d) as % of (c) DIFFERENCE IN USD (a) (b) [c] (d) [e] (f) 1 POBUMASMUN120007/29-02-12 781,704.00 3,190,913.12 408% 2,409,209.12 2 HDMD001A/27-10-11 3,476,403.00 15,095,898.67 434% 11,619,495.70 3 11109521110012/01-12-11 613,683.00 2,034,920.44 332% 1,421,237.44 4 11109521110011/01-12-11 924,172.00 2,608,159.99 282% 1,683,987.99 5 POBUMASMUN120006/29-02-2012 1,612,158.00 6,362,219.47 395% 4,750,061.47 6 ESSAPUS12072026/28-07-2012 221,306.00 852,816.04 385% 631,510.04 7 11109521211015/10-12-2012 643,021.00 2,035,000.42 316% 1,391,979.42 8 11109521109013/25-03-2012 1,105,332.00 3,428,993.18 310% 2,323,661.18 9 POBUMASMUN120002/22-01-12 1,740,762.00 6,860,212.97 394% 5,119,450.97 10 HDMUMAOMN1200100/27-08-11 5,165,787.00 20,870,378.66 404% 15,704,591.70 11 HDMD001B/27-10-11 4,469,661.00 19,419,250.35 434% 14,949,589.40 12 CPJQJI96MASMUN01/22-11-11 4,469,661.00 19,395,362.21 434% 14,925,701.20 13 POBUMASMUN120001/22-01-12 3,469,843.00 13,838,633.48 399% 10,368,790.50 14 HDEH002B/31-01-12 4,598,482.00 19,395,362.21 422% 14,796,880.20 15 HDEH002A/31-01-12 4,598,482.00 19,419,250.35 422% 14,820,768.40 16 POBUMASMUN120011/29-02-2012 1,734,013.00 6,954,061.96 401% 5,220,048.96 17 POBUMASMUN120010/29-02-2012 3,468,027.00 13,838,633.48 399% 10,370,606.50 18 POBUMASMUN120008/29-02-2012 1,385,757.00 6,919,316.74 499% 5,533,559.74 19 POBUMASMUN120009/29-02-2012 1,732,196.00 6,919,316.74 399% 5,187,120.74 20 11109521211013/10-12-2012 1,636,376.00 5,187,830.19 317% 3,551,454.19 21 11109521211014/10-12-2012 574,898.66 3,102,860.20 540% 2,527,961.54 22 11109521211012/03-12-2012 472,101.45 2,509,261.93 532% 2,037,160.48 23 HDMUUSOMN1190100/13-08-11 10,364,119.0 0 42,836,611.30 413% 32,472,492.30 24 KECO12020337/03-09-11 1,236,935.00 3,859,806.74 312% 2,622,871.74 25 11109521108011/02-10-11 616,927.00 1,385,993.65 225% 769,066.65 26 CPJQJI96MASMUN02/22-11-11 1,170,895.00 3,751,551.30 320% 2,580,656.30 TOTAL 62282702.11 252072615.79 404.73% 189,789,914.00 4.1.16 From the figures shown in the Table-7 above, it appears that the price charged by EIF in the back-to-back invoices raised by it on PMC is substantially higher than the price of invoice of the OEM- M/s Hyundai Heavy Industries Co. Ltd. EIF appears to have inflated the invoice price of M/s Hyundai Heavy Industries Co.
  • 20. Page 20 of 97 Ltd. to almost about 4 times on an average and raised invoices with such inflated prices on PMC.On an average, values in the invoices raised by EIFon PMCappearto be 400% of the values in the OEM invoice price.It, therefore, appears that the consignments shipped by the OEM-M/s Hyundai Heavy Industries Co. Ltd., South Korea, imported into India by M/s PMC Projects (India) Private Limited and cleared on the strength of invoices raised by EIF had been grossly over-valued. It is apparent that while the goods were shipped from HHICL (OEM) to PMC in India directly, the invoices were routed through EIF, who merely acted as an intermediary invoicing agent for facilitating inflation of invoice value. Given the scale and extent of invoice inflation, it is apparent that it was with fraudulent intent of siphoning money from India. 4.1.17 As brought out in para 4.1.3 above, the name of Shri Jatin Shah, as a representative of EIF was found consistently appearing in majority of the invoices/packing lists raised by M/s Hyundai Heavy Industries Co. Ltd. , South Korea on EIF. Ondiscreet enquiries regarding Shri Jatin Shah, whose name was appearing in many of the OEM invoices/packing lists, as a representative of UAE intermediary EIF, it was gathered that he was an active member of Adani Group, visiting Ahmedabad regularly to participate in meetings held by the Adani Group. It was also gathered that he worked in the capacity of ‘Finance Controller’ for Adani Power Limited. Accordingly, a summons under Section 108 of the Customs Act, 1962 bearing F.No. DRI/MZU/CI-224/2013/3928 dated 30-04-2013 (RUD-C/4)was issued seeking his appearance on 06-05-2013 withall agreements/contracts enteredinto/executed by the Adani Group or its subsidiaries with the Hyundai Group, based on specific inputs that the Hyundai Group had in the past signed a contract with the Adani Group for 100 units of high voltage transformers. 4.1.18 M/s Adani Power Limited, vide its reply bearing Ref: APL/DRI/Mundra/088/RR/2013 dated 06-05-2013 (RUD-D/19),while acknowledging receipt of the summons in the name of Shri Jatin Shah, informed in the letter that Shri Jatin Shah was no longer working with them since 2009. They further informed that Adani Power Limited or its subsidiaries had not entered into any agreements/contracts with the Hyundai Group. In view of the information provided by M/s Adani Power Limited, it was confirmed that Shri Jatin Shah, Manager of EIF, at one point of time in the past was an employee of Adani Power Limited. 4.1.19 Shri Rajiv Rustogi, signatory to the aforesaid letter dated 06-05-2013, was summoned under Section 108 of the Customs Act, 1962 through summons issued under F.No. DRI/MZU/CI-224/2013/4112 dated 06-05-2013 (RUD-C/5)to produce contracts relating to purchase/import of transformers with service records of Shri Jatin Shah (designation & period when employed), date of relieving and copy of relieving letter/resignation letter. 4.1.20 Shri Rajiv Rustogi, General Manager (Accounts), through his reply bearing Ref.APL/DRI/Mundra/xxx/RR/2013 dated 09-05-2013 (RUD-
  • 21. Page 21 of 97 D/20)responded stating that due to personal reasons, he was unable to remain present in person. He provided certain information and documents under cover of the said letter. On import of the transformers by M/s Adani Power Limited or its subsidiary companies from the Hyundai Group, South Korea, he declared on behalf of the company that Adani Power Limited or its subsidiaries had not entered into any agreement/contract for transformers with Hyundai Group, South Korea. 4.1.21 From the employment details of Shri Jatin Shah as provided in the above said letter, it appears that he worked for M/s Adani Enterprises Limited as Manager (Finance) in 2002, as Senior Manager (Finance) and Deputy General Manager for Adani Port Limited between 2003 and 2006, and finally as a General Manager with Adani Power Limited in 2008 before resigning in August 2009. As per the documents submitted, it appeared that Shri Jatin Shah submitted his resignation on 19-08-2009, which was accepted by the company M/s Adani Power Limited on the same day while communicating to him that he would stand relieved from the services of the company with effect from 31-08-2009. 4.1.22 It, therefore, appears that M/s Jatin Shah, representative of the Dubai based firm EIF in the past had been closely associated with the Adani Group by way of being employed in different capacities in various Adanigroup companies for eight consecutive years 2002 through 2009. 4.2 DOCUMENTS FROM ICICI BANK LTD (First Lot) 4.2.1 Besides, the Axis Bank Limited, it was gathered that documents relating to transactions involving invoices raised byEIFonPMC had,inter-alia, been negotiated through the ICICI Bank Limited, having its branch in the UAE viz. ICICI Bank, DIFC Branch in Dubai. Accordingly, information was sought from ICICI Bank, DIFC Branch Dubai, vide letter bearing F.No. DRI/MZU/C.I.-224/2013/3899 dated 30-04- 2013(RUD-C/6), while endorsing a copy thereof to Chief Manager of the ICICI Bank’s corporate office in Mumbai to co-ordinate in the matter. Since there was no response, a reminder was sent on 10-06-2013. (RUD-C/7) 4.2.2 The ICICI Bank’s Corporate office in Mumbai forwarded certain documents under cover of their letter bearing reference no. NIL dated 19-06-2013 (RUD/D-21) as received by them from their DIFC Branch, in Dubai. The documents, inter-alia, included details of the account held by EIF with their DIFC Branch in Dubai; KYC (Know Your Customer) verification documents; account opening form; details of inward and outward remittances into and from the account of EIF; and certain import/export bills, as described in the letter dated 10-06-2013 of the ICICI Bank’s DIFC,Dubai branch (RUD/D-22).Documents found relevant to the investigation are discussed in the following paras. 4.2.3 As per letter dated 26th April 2012(RUD/D-23),written by EIF addressed to the ICICI Bank Ltd., DIFC, Dubai Branch, the shareholding pattern of EIF was
  • 22. Page 22 of 97 informed to the Bank. Relevant contents of the letter,apparently signed by Shri Jatin Shah, are reproduced below :- “Please find below the shareholding pattern of Electrogen Infra FZE : i) Electrogen Infra FZE is 100% owned by Electrogen Infra Holding Pvt. Ltd. ii) Electrogen Infra Holding Pvt. Ltd. is 100% owned by Asankhya Resources Pvt. Ltd. iii) Asankhya Resources Pvt. Ltd. is owned by Eagle Holding Ltd., which is a nominee shareholder in Asankhya Resources Family Trust. iv) In Asankhya Resources Family Trust, Mr. Vinod ShantilalAdani is the settler. From the above information given to the Bank by EIF, it appears that Shri Vinod ShantilalAdani had a direct control over the activities of EIF through the Asankhya Resources Family Trust. 4.2.4 Scrutiny of Audited Financial Statements (stated in US Dollars) including Directors’ Report of ElectroGen Infra Holding Pvt. Ltd. (here-in-after referred to as ‘EIH’ ) for the year ended 31-03-2011 (RUD/D-24), which contain parallel data for the year ended 31st March 2010, revealed as under. i) EIH was incorporated in Mauritius on 16 July 2009 as a private company. ii) In the Corporate Data, Shri Vinod Shantilal Shah has been listed as a Director of EIH with the date of his appointment as Director shown as 12th January 2010. Other directors with their dates of appointment and resignations are indicated as under :- Name Appointed Resigned GiandeoReemul 16 July 2009 08-March 2011 NavindBeeharry 16 July 2009 08 March 2011 Nasser Ali ShabanAhli 16 July 2009 01 October 2009 Chang Chung-Ling 01 October 2009 12 January 2010 Vinod Shantilal Shah 12 January 2010 N/A Note :Name of Nasser Ali ShabanAhli, who was appointed Director from the date of incorporation of the company and who resigned few months i.e on 01-10-2009 before Vinod Shantilal Shah became a Directoron 12- 01-2010,is noteworthy.He was the initial subscriber on 16-07-2009 i.e when the company was incorporated in Mauritius to the whole of equity capital of USD 1000 divided into 1000 shares of USD one each
  • 23. Page 23 of 97 of EIH and was thus the sole share-holder of the company. These shares were thereafter transferred to Shri Vinod Shantilal Shah on 12- 01-2010, after Shri Vinod Shantilal Shah became the sole share- holder and owner of EIH. Nasser Ali ShabanAhli was also the initial subscriber to equity capital of AED 1,50,000 divided into one share of AED 1,50,000 of M/s Sichuan Machinery &Equipments FZE (name changed to EIF on 04-01-2010) on 07-07-2009, when the company was registered in the UAE.The whole of this equity was transferred and sold to EIH on 29-03-2010 after which EIF became wholly owned subsidiary of EIH. iii) The Directors’ Report of EIH appears to have been signed on 30- 05-2011 by Shri Vinod Shantilal Shah by order of the Board of Director of EIH. Balance Sheet of EIH as on 31stMarch 2011 and its profit and loss account for the year ended 31st March 2011 was also approved on 30-05-2011 by Shri Vinod Shantilal Shah on behalf of the Board of Directors of EIH. Incidentally, Shri Vinod Shantilal Shah was the only Director of EIH as on 31-03-2011 as is clear from sub-para (ii) above. iv) As on 31st March 2010, EIH had paid-up share capital of USD 1000 divided into 1000 shares of one USD each which was increased to USD 1,00,000 divided into one lakh shares of one USD each by issue of 99,000 shares of one USD each during the Financial Year 2010-11. v) EIH had an investment of USD 40,872 as on 31-03-2010 in shares of an unquoted company which went upto USD 14,81,390 as on 31-03-2011. This investment was in EIF, which was its wholly owned subsidiary. vi) EIH received dividend income of USD 53,850,954 during the Financial Year 2010-11.Since EIH had investment only in EIF, which was its wholly owned subsidiary, this dividend income was also received from EIF only. 4.2.5 Scrutiny of Financial Statements of EIF for the year ended 31st March 2011, which included parallel data for the year ended 31st March 2010, revealed as under :- i) EIF was a Free Zone Establishment with limited liability registered in Sharjah Airport International Free (SAIF) Zone, Sharjah. It was incorporated on 08-July-2009. ii) EIF had subscribed, issued and paid-up share capital of AED 1,50,000 divided into one share of AED 1,50,000. The subscribed issued and paid-up share capital was raised during the financial
  • 24. Page 24 of 97 year 2010-11 to AED 54,00,000 divided into 36 shares of AED 1,50,000 each. iii) In the Notes to the Financial Statements, in Note No. 7, it is mentioned that Share Certificate for share capital as on 31st March 2010 and 31st March 2011 was in the name of EIH. In the Manager’s Report also, it is mentioned that as on 31st March 2011, the entire share capital of AED 54,00,000 divided into 36 shares was held by EIH, Mauritius. iv) The Manager’s Report as on 31st March 2011 was signed by Shri Jatin Shah. Financial Statements were also signed by him as Manager of EIF. 4.2.6 Scrutiny of the application for opening of the account revealed that it was made on 14-09-2011 signed by two individuals i.e Shri Jatin Shah, an ex-employee of the Adani Group and Shri MehulJani, both apparently Indian nationals. As per the business details provided to the Bank while opening of the account, the applicants had declared nature of their business to be ‘General Trading’ and the country where major business is carried out as ‘India’. Other information declared in the form was annual turnover of AED 512 Million. The purpose of opening the relationship was declared as ‘Loans’(RUD/D-25) 4.2.7 In the Signature Card, the above named two individuals had declared themselves as Authorised Signatory 1 and Authorised Signatory 2, respectively (RUD/D-26).Scrutiny of Annexure A to ICICI Bank’s application form (RUD/D-27), which deals with information relating to Directors, Major Shareholders, Partner etc., the name of Shri Jatin Shah was found mentioned as a Director, while the name of Shri MehulJani was found mentioned as an Authorised Signatory. From the permanent residential addresses declared by the two individuals representing EIF, it appears that they were residents of Ahmedabad and Vadodara (earlier Baroda), respectively. 4.2.8 Scrutiny of a two-page document titled ‘Addendum to Memorandum and Articles of Association of EIF. Scrutiny of the Addendum reveals that SAIF Zone authorities have acknowledged the amendment made on 29-03-2010 to the Memorandum and Articles of Association dated 07-07-2009 of EIF. As per the amendment, Shri Nasser Ali ShabanAhli, a UAE national holding Passport no. A1811119, who was the owner of EIF’s entire paid-up share capital of one share of AED 1,50,000sold, transferred and assigned fully and wholly, the said one share of EIF to EIH. The Addendum is signed by Shri Vinod Shantilal Shah as representative of EIH. After execution of the Addendum, EIH has been described as the ‘owner’ substituting Mr. Nasser Ali ShabanAhli. With this sale, transfer and assignment, EIF became wholly owned subsidiary of EIH with effect from 29-03-2010(RUD/D-28). This was the second amendment to the Memorandum and Articles Association dated 07-
  • 25. Page 25 of 97 07-2009 of EIF. The first amendment was made on 04-01-2010 to change name of the company to EIF (para 4.3.4 below) and the third amendment was made on 17-06-2010 to increase share capital (para 4.4.12 below). 4.2.9 As percopy of‘Share Certificate No. 4107’ dated 21-06-2010 issued by Government of Sharjah, SAIF Zone, it is certified that EIH,incorporated in the Republic of Mauritius, is a registered holder of 36 shares of AED 54,00,0000 of EIF which is stated to be a limited liability establishment incorporated and licensed at SAIF-Zone with paid-up capital of Dhs 54,00,000 divided into 36 shares with a value of Dhs 1,50,000 each(RUD/D-29). 4.2.10 As per copy of Global Business Licence No. C211017320 dated 21-01- 2011 granted by the Government of the Republic of Mauritius to EIH, it is, inter-alia, mentioned that the company shall not offer its shares or otherwise raise capital from the public(RUD/D-30). 4.2.11 Copy of Certificate of Incorporation on Change of Name issued on 08-01- 2010 by the Registrar of Companies, Republic of Mauritius certifies that the name of M/s Sichuan Machinery & Equipment Import & Export Co. Ltd have by special resolution changed its name and is now incorporated under the name of M/s ElectroGen Infra Holding Pvt. Ltd(RUD/D-31). 4.3 DOCUMENTS FROM BANK OF BARODA 4.3.1 Bank of Baroda, Dubai Main Branch,vide their letter Ref. No. CE: Compliance:1612/2013 dated 05-11-2013 (RUD/D-32),referring to DRI’s letter bearing F.No. DRI/MZU/CI-224/2013/3928 dated 30-04-2013 therein, forwarded documents pertaining to EIF’s transactions to their corporate office located at Bandra- Kurla Complex, Mumbai, which were retrieved by the officers of DRI on 18-11-2013. 4.3.2 These documents included, inter-alia, account opening form with related documents and statement of account in respect of the USD account bearing no. 90010200008259held by EIF with BOB, Bur Dubai Branch. The above account was initially opened on 06-07-2009 in the name of Sichuan Machinery and Equipments FZE. As per copy of Memorandum and Articles of Association made on 07-07-2009 at SAIF Zone, UAE, this company was incorporated with Shri Nasser Ali ShabanAhli, a UAE national, as the ‘owner’ holding the entire authorised and paid-up capital of one share valued at AED 1,50,000 (RUD/D-33). The Bank was authorised to honour cheques/bills of exchange and promissory notes drawn, accepted or made on behalf of the company singly byShri Nasser Ali ShabanAhli. As per the copy of the Licence Certificate issued by SAIF Zone authorities on 07-07-2009(RUD/D-34)the company was licensed for ‘general trading’. 4.3.3 Perusal of copy of document titled ‘Board Resolution of M/s Sichuan Machinery &Equipments FZE dated 19th November 2009’ (RUD/D-35) reveals that the purpose of the resolution was to open and operate accounts with any bank in the UAE
  • 26. Page 26 of 97 in the name of M/s Sichuan Machinery &Equipments FZE, and to avail all types of banking facilities in the company’s name. It was resolved, inter-alia, to add the name of Shri Jatin Shah, holder of Indian Passport No. H3015351, as an the authorized signatory in the bank accounts of M/s Sichuan Machinery &Equipments FZE;to authorise Shri Jatin Shah to open, operate & close banking accounts with any bank of the UAE and authorized to sign singly on Bank Mandate documents relating to use of electronic distribution channels, undertakings, indemnity/security documents/guarantees/agreements and any Finance Documents on behalf of the Company excepting cheques and cheque book request forms which could only be signed by Mr. Naseer Ali Shaban Ali singly. Accordingly, specimen signature card with specimen signature of Shri Jatin Shah, stating that he could operate the account singly, was submitted to the bank on 21-11-2009(RUD/D-36). 4.3.4 As per copy of Addendum to the Memorandum and Articles of Association dated 07-07-2009 of EIF, an amendment made on 04-01-2010 to the Memorandum and Articles of Association was acknowledged by SAIF Zone authorities(RUD/D-37).As per the amendment, name of the company was changed from Sichuan Machinery &Equipments FZE to EIF with same owner i.e. Shri Nasser Ali ShabanAhli. This Addendum (amendment) to the Memorandum and Articles of Association dated 07-07-2009 of EIF is immediately prior to the second Addendum as discussed in para 4.2.8 above. Accordingly, SAIF Zone authorities also changed the name of the Licence holder in the Licence Certificate no. 01-01-07314 on 14th January 2010 (RUD/D-38).EIF also intimated change of name to BOB, Bur Dubai vide its letter dated 04-02-2010(RUD/D-39). 4.3.5 From the facts narrated above, it is evident that day to day work relating to Sichuan Machinery &Equipments FZE was being handled by Shri Jatin Shah, (an employee of Adani Group till 31-08-2009), since November 2009 even before the company was taken over on 29-03-2010 by Shri Vinod ShantilalShah through EIH. 4.3.6 The documents processed by Bank of Baroda, Bur Dubai for and on behalf of EIF were examined. Scrutiny revealed that these contained copies of certain invoices and packing lists raised,inter-alia, by the some China based firms, who appeared to be OEMs, on EIF towards the sale of certain goods. Each such invoice/packing list was found to be accompanied by copy of a bill of lading, apparently the corresponding bill of lading pertaining to shipment of the goods covered by theOEM invoice/packing list, as could be reasonably inferred from the name of the OEM raising the invoice whose name also appears as the ‘shipper’ in the corresponding bill of lading found accompanying the invoice. On the basis of commonalities appearing in the invoices, an OEM-wise summary is tabulated below:- Table-8 Summary of invoices raised by three OEMs(Dalian, Sediver& Suzhou) on EIF
  • 27. Page 27 of 97 Sr. No. Name of the OEM-firm raising the invoice/ packing list Brief Description of goods as per OEM invoice raised on EIF Description of the project for which goods are meant as declared in the invoices Contract/ Agreement No. declared in the invoices Notifying party as appearing in the BL accompanying the invoice Total Number of distinct consignme nts for which invoices available 1 Dalian Insulator Group Co. Ltd, China Disc Insulators 2 nos. of 765KV S/C (Quad Bersimis) Tiroda-Koradi-III- Akola II-Aurangabad Transmission Lines. 700002 dated 07- 10-2010 M/s PMC Projects (India) Pvt. Ltd., Mundra Port, Navinal Islands, Mundra- 370 421 8 2 Sediver Insulators (Shanghai) Co. Ltd., China Toughened Glass Disc Insulator 2 nos. of 765KV S/C (Quad Bersimis) Tiroda-Koradi-III- Akola II-Aurangabad Transmission Lines. 700001 dated 07- 10-2010 M/s PMC Projects (India) Pvt. Ltd., Mundra Port, Navinal Islands, Mundra- 370 421 9 3 Suzhou Furukawa Power Optic Cable Co. Ltd. , China OPGW with 8 Fibre with fittings & accessories 2 nos. of 765KV S/C (Quad Bersimis) Tiroda-Koradi-III- Akola II-Aurangabad Transmission Lines. 700004 dated22- 10-2010 M/s PMC Projects (India) Pvt. Ltd., Mundra Port, Navinal Islands, Mundra- 370 421 8 TOTAL 25 4.3.7 From the data given in Table-8 above, it appears that in the case of 25 consignments, the transactions of sale/procurement by and between the respective OEMs and EIF appear to have been negotiated through Bank of Baroda. 4.3.8 From analysis of the contents of the OEM documents, it prima-facie appears that the Bank of Baroda, Bur Dubai Branch has facilitated its customer EIF in the transactionsrelating to purchase/procurement of goods from the respective OEMs viz. the transactions with M/s Dalian Insulator Group Co. Ltd. and M/s SediverInsulators (Shanghai) Co. Ltd. for procurement/purchase of insulators, and the transactions with Suzhou Furukawa Power Optic Cable Co.Ltd., China,for procurement/purchase of OPGW cable, OPGW hardware and accessories. The services of the Bank (Bank of Baroda, Bur Dubai) appear to have been,inter-alia, utilized by EIF for remitting the value of the goods as per invoices raised on it by the respective OEM firms. 4.3.9 Amongst other documents submitted by Bank of Baroda, Bur Dubai were copies of Letters of Credit (L/Cs) opened by Bank of Baroda, Bur Dubai on behalf of the applicant i.eEIF favouring the three OEM firms, whose names have been indicated as the ‘Beneficiary’ in the SWIFT messages pertaining to such Letters of Credit. Such L/Cs appeared to cover a fixed lump sum amount, apparently representing money payable by EIF to the respective OEM towards goods supplied to PMC. The Letters of Credit further,inter-alia, invariably indicate the name of M/s PMC Projects (India) Private Limited as the ‘Notifying party’or ‘Notified Party’ thereby implying that the goods were for supply to M/s PMC Projects (India) Private Limited. The Letters of Credit were also found to make a mention of an Agreement no. (Agreement Numbers reflected in Table 8 above against the name of respective OEMs were found mentioned in the copy of the related letter of credit) purported to be Agreement executed by EIF with the respective OEMs.
  • 28. Page 28 of 97 4.3.10 The price payable by EIF to the OEMs towards goods supplied by the three OEMs, respective OEM invoice-wise, has been tabulated below in respect of the 25 shipments, summarised at Table-8 above, on the basis of documents negotiated through Bank of Baroda, Main Branch, as obtained by this Unit :- Table-9 Invoice Price of goods as per invoices raised by three OEMs (Dalian Insulator Group Co. Ltd., Sediver Insulators (Shanghai) Co. Ltd. and M/s Suzhou Furukawa Power Optic Cable Co. Ltd. China) on Electrogen Infra FZE, UAE S. No. BILL OF LADING No. /DATE SHIPPER AS PER B.L. SHIPPER INVOICE NO. /DATE VALUE (USD) 1 MAEU601299135 /09-02-2011 DALIAN INSULATOR GROUP CO. LTD EG11009/06-01-2011 605250 2 NDACVF300 / 15-02-2011 SEDIVER INSULATORS (SHANGHAI) CO. LTD. FP09022011/ 09-02- 2011 463342 3 YMLUZ245202791 /05-04-2011 DALIAN INSULATOR GROUP CO. LTD EG11053/ 06-01-2011 1253880 4 APLU062194693 /31-03-2011 DALIAN INSULATOR GROUP CO. LTD EG11067/ 18-03-2011 536176.8 5 YMLUZ230140405 /31-03-2011 SUZHOU FURUKAWA POWER OPTIC CABLE CO. LTD. , CHINA SE110325/ 25-03-2011 85177.3 6 YMLUZ230145416 /28-04-2011 SEDIVER INSULATORS (SHANGHAI) CO. LTD. FP23042011/ 23-04- 2011 794944.8 7 YMLUZ230148714 /12-05-2011 SUZHOU FURUKAWA POWER OPTIC CABLE CO. LTD. , CHINA SE110509/ 09-05-2011 185491.65 8 YMZUZ230162786 /22-07-2011 SEDIVER INSULATORS (SHANGHAI) CO. LTD. FP15072011/15-07-2011 794944.8 9 KKLUSH4220867 /04-09-2011 SUZHOU FURUKAWA POWER OPTIC CABLE CO. LTD. , CHINA SE110817/17-08-2011 438181.3 10 MSCUY5709319/ 02-09-2011 SEDIVER INSULATORS (SHANGHAI) CO. LTD. FP260822011/26-08- 2011 794944.8 11 MSCUDL744655 /11-11-2011 DALIAN INSULATOR GROUP CO. LTD EG11217/19-10-2011 751500 12 YMLUZ230190641 /30-12-2011 SEDIVER INSULATORS (SHANGHAI) CO. LTD. FP23122011/23-12-2011 794944.8 13 NDAEHH600 / 13-12-2011 SEDIVER INSULATORS (SHANGHAI) CO. LTD. FP16122011/16-12-2011 794944.8 14 NDAEHH600/ 13-12-2011 SUZHOU FURUKAWA POWER OPTIC CABLE CO. LTD. , CHINA SE111207/07-12-2011 333245.16 15 MSCUDL786284/ 28-01-2012 DALIAN INSULATOR GROUP CO. LTD EG12001/04-01-2012 775350 16 MSCUDL815422/ 30-03-2012 DALIAN INSULATOR GROUP CO. LTD EG12015/24-02-2012 1091250 17 YMLUZ245204311 /04-05-2012 DALIAN INSULATOR GROUP CO. LTD EG12047/23-04-2012 537477.3 18 YMLUZ230223990 /28-06-2012 SEDIVER INSULATORS (SHANGHAI) CO. LTD. FP21062012/21-06-2012 715500 19 YMLUZ245204378 /23-06-2012 DALIAN INSULATOR GROUP CO. LTD EG12094/18-05-2012 387576 20 YMLUZ230241803 /14-09-2012 SEDIVER INSULATORS (SHANGHAI) CO. LTD. CHINA FP06092012/06-09-2012 766857.6 21 YMLUZ230256175 /22-11-2012 SUZHOU FURUKAWA POWER OPTIC CABLE CO. LTD. , CHINA SE121116/16-11-2012 194125.39 22 YMLUZ230259583 /06-12-2012 SEDIVER INSULATORS (SHANGHAI) CO. LTD. CHINA FP03122012/03-12-2012 911250
  • 29. Page 29 of 97 23 YMLUZ230260792 /13-12-2012 SUZHOU FURUKAWA POWER OPTIC CABLE CO. LTD. , CHINA SE121210/10-12-2012 391512.37 24 YMLUZ230269660 /17-01-2013 SUZHOU FURUKAWA POWER OPTIC CABLE CO. LTD. , CHINA SE130111/11-01-2013 329586.44 25 YMLUZ230277098 /28-02-2013 SUZHOU FURUKAWA POWER OPTIC CABLE CO. LTD. , CHINA SE130224/24-02-2013 211576.02 TOTAL 14939029.33 4.3.11 Since the name of M/s PMC Projects (India) Private Limited appearedunder the column ‘Notify Party’ invariably in each of above listed bills of lading pertaining to individual shipments by the respective OEMs, efforts were made to identify the import particulars for each such consignment i.e to ascertain the bill of entry no. & date and port of import, from the particulars available on individual bill of lading. Examination revealed that the aforesaid bills of lading were the bills of lading pertaining to 25 consignments (Sr.No. 1 to 25 of Table-3A) imported and cleared by PMC Projects (India) Private Limited, as evident from the same bill of lading numbers featuring in the table-3A, which provides details of consignments imported and cleared by M/s PMC Projects (India) Private Limited as per the EDI data base. 4.3.12 It, therefore, appears that while the importer utilized the above-listed bills of lading for customs clearance purpose in India, the value for the purpose of assessment appears to have been declared on the basis of back-to-back invoices raised separately by EIF on M/s PMC Projects (India) Private Limited. The respective OEM invoices and packing lists do not appear to be part of the documents produced by PMC to the jurisdictional customs authorities in India, on the strength of which cargo appears to have been assessed and cleared, as was also the case with procurements by EIF from M/s Hyundai Heavy Industries Co. Ltd. 4.3.13 It, therefore,prima-facie appears to emerge in the case of these transactions also that for each shipment imported by M/s PMC Projects (India) Private Limited where EIF is the intermediary invoicing agent and one of three OEMs is the shipper, there are two sets of invoices:- i) OEM sale invoices of the three OEM firms (Copies of the sale invoices raised by each of the three OEMs viz. M/s Dalian Insulator Group Co. Ltd., M/s Sediver Insulators (Shanghai) Co. Ltd. and Suzhou Furukawa PowerOptic Cable Co.Ltd., China, onEIF along-with corresponding packing lists-) ii) Intermediary invoices of EIF, UAE (Copies of the back-to-back intermediary invoices/packing lists raised by EIF on M/s PMC Projects India Private Limited)-Invoices raised for supplies made in pursuance of Agreement 415703 dated 05-10-2010 between PMC and EIF.)
  • 30. Page 30 of 97 4.3.14 A comparison of prices between the two sets of invoices is tabulated below for better appreciation of scale and extent of price difference:- Table-10 Comparison of invoice prices: Three OEMs to EIF vis-a-vis EIF to PMC SR. NO. BILL OF LADING NO. /DATE PRICE SHOWN IN OEM INVOICE USD PRICE SHOWN IN ELECTROGE N INVOICE (USD) [D] AS % OF [C] DIFFERENCE IN USD (A) (B) [C] [D] [E] [F] 1 MAEU601299135 /09-02-2011 605250 4270200 706 3664950 2 NDACVF300 / 15-02-2011 463342 3269009.3 706 2805667.28 3 YMLUZ245202791 /05-04-2011 1253880 8846304 706 7592424 4 APLU062194693 /31-03-2011 536176.8 3783025.2 706 3246848.4 5 YMLUZ230140405 /31-03-2011 85177.3 989736 1162 904558.7 6 YMLUZ230145416/28-04-2011 794944.8 5608544.6 706 4813599.84 7 YMLUZ230148714/12-05-2011 185491.65 2499741.2 1348 2314249.55 8 YMZUZ230162786/22-07-2011 794944.8 5608544.6 706 4813599.84 9 KKLUSH4220867/04-09-2011 438181.3 4563413.6 1041 4125232.32 10 MSCUY5709319/ 02-09-2011 794944.8 5608544.6 706 4813599.84 11 MSCUDL744655 /11-11-2011 751500 5302000 706 4550500 12 YMLUZ230190641/30-12-2011 794944.8 5608544.6 706 4813599.84 13 NDAEHH600 / 13-12-2011 794944.8 5608544.6 706 4813599.84 14 NDAEHH600/ 13-12-2011 333245.16 5356134.5 1607 5022889.32 15 MSCUDL786284/ 28-01-2012 775350 5470280 706 4694930 16 MSCUDL815422/ 30-03-2012 1091250 7699000 706 6607750 17 YMLUZ245204311/04-05-2012 537477.3 3792053.8 706 3254576.54 18 YMLUZ230223990/28-06-2012 715500 5048000 706 4332500 19 YMLUZ245204378/23-06-2012 387576 2734564 706 2346988 20 YMLUZ230241803/14-09-2012 766857.6 5410356.4 706 4643498.8 21 YMLUZ230256175 /22-11-2012 194125.39 2438920 1256 2244794.61 22 YMLUZ230259583/06-12-2012 911250 6429000 706 5517750 23 YMLUZ230260792/13-12-2012 391512.37 4956776 1266 4565263.63 24 YMLUZ230269660/17-01-2013 329586.44 4285010.4 1300 3955423.96 25 YMLUZ230277098/28-02-2013 211576.02 2830412.2 1338 2618836.18 14939029.33 118016659.6 858.46% 103077630.27 4.3.15 From the figures shown in Table-10 above, it appears that the price charged by EIF in the invoices raised by it on M/s PMC Projects (India) Private Limited is substantially higher than the price for corresponding shipments charged by these OEMs. The invoice price of the respective OEMs appears to have been grossly inflated in the back-to-back invoice raised by EIF on M/s PMC Projects (India) Private Limited. It, therefore, appears that consignments shipped by the respective OEMs and imported into India by M/s PMC Projects (India) Private Limited on the strength of grossly inflated invoices raised by EIF had been cleared by resorting to gross over-valuation. It is apparent that while the goods were shipped from the respective OEMs to PMC in India directly, the invoices were routed through EIF, who merely acted as an intermediary invoicing agentfor facilitating invoice inflation. The modus-operandi can be diagrammatically described as under:-
  • 34. Page 34 of 97 Given the scale and extent of invoice inflation and the relationship, it is apparent that it was done with fraudulent intent of siphoning of public money from India. 4.3.16 Scrutiny of OEM invoices raised by the above named three OEMs on EIF, it was observed that many of the OEM invoices contained references to certain Agreement Numbers and dates, which were found to be distinct for each OEM raising the invoice as shown below :- Table-11 Details of Agreements between the three China based OEMs and EIF Sr.No. Name of the OEM Agreement no. found mentioned in the OEM invoices 1. Sediver Insulators (Shanghai) Co. Ltd., China Agreement No. 700001 dated 07-10-2010 2. Dalian Insulator Group Co Ltd. Agreement No. 700002 dated 07-10-2010 3. Suzhou Furukawa Power Optic Cable Co. Ltd. , China Agreement No. 700004 dated 22-10-2010 It appeared that the Agreement Numbers, referred in the OEM invoices as above,were the Agreements executed by the respective OEMs with EIF. Supplies under the respective OEM invoices apparently were being made in pursuance of these Agreements. 4.3.17 On request, Axis Bank, DIFC Bank, Dubai, vide their letter bearing Ref.No. AXIS/DIFC/55/2013-14 dated 10-04-2014 (RUD-D/40)forwarded,interalia, bank attested photo-copies of each of the three Agreements referred to in the Table-11 above. 4.3.18 Key particulars of the respective Agreements in terms of description, quantity and contract price as available in these Agreements are tabulated below :- Table-12 Summary of Agreements between the three China based OEMs with EIF in terms of description, quantity and value of goods S.No Agreement No. /date Executing parties to the contract Item No. Description of goods Quantity (Nos.) Agreement value/consideration in USD 1 2 3 4 5 6 7 8 700001/ 07-10-2010 Sediver Insulators (Shanghai) Co. Ltd., China and EIF i) 120 KN Toughened glass disc insulators 248299 Nos. 5938460.1 ii) 210 KN Toughened glass disc insulators 341622 Nos.
  • 35. Page 35 of 97 2 700002/ 07-10-2010 Dalian Insulator Group Co Ltd and EIF i) 120 KN Toughened glass disc insulators 248299 Nos. 5938460.1 ii) 210 KN Toughened glass disc insulators 341622 Nos. 3 700004/ 22-10-2010 Suzhou Furukawa Power Optic Cable Co. Ltd. , China and EIF i) OPGW with 8 Fibre 1272 KMS. 2637757 ii) Fitting and accessories 341622 TOTAL 14514569.20 4.3.19 Each of these Agreements were found to make a mention of an Agreement dated 01-10-2010 between the contractor and employer, designated as PMC Projects (India) Private Limited and EIF thereby clearly enabling inference that it referred to Agreement No. 415703 dated 01-10-2010 between the two parties. Therefore, a scrutiny was done to examinethe scope of the goods described in the three Agreements vis-à-vis those mentioned in the said Agreement 415703 dated 01-10- 2010 between PMC and EIF which revealed that the description and quantity of different types of disc insulators and OPGW with hardware& fittings mentioned in the three Agreements with OEMs were covered at Sr.No. 5 to 8 in the table appended at clause 3.02.1 in the said Agreement between PMC and EIF as tabulatedbelow :- Table-13 Table appended at clause 3.02.1 of Agreement No. 415703 dated 01-10-2010 between PMC and EIF S No. Item Description Quantity (Nos) Commencement Period Delivery/ Completion Period 1 765/400 KV, 500 MVA Single Phase Auto Transformers 7 - Oct 2011 2 765/400 KV, 500 MVA Single Phase Auto Transformers 8 - Dec 2011 3 765 KV, 80 MVAR, Single Phase Shunt Reactors 7 - Oct 2011 4 765 KV, 80 MVAR, Single Phase Shunt Reactors 43 - Dec 2011 5 120 KN Disc Insulators for 2 Nos. 765 KV S/C Transmission Lines. 496598 Jan 2011 Nov 2011 6 210 KN Disc Insulators for 2 Nos. 765KV S/C Transmission Lines 688244 Jan 2011 Nov 2011 7 OPGW along with Hardware’s and fittings for 765 KV S/C Transmission Line. 636 KM Jan 2011 Oct 2011 8 OPGW along with Hardware’s and fittings for 765 KV S/C Transmission Line. 636 KM Jan 2011 Dec 2011 4.3.20 An aggregate of the same type of insulators covered by the two OEM Contracts (Sr.No. 1 & 2) shown in Table-12above match with the figures of the same type of insulators as shown at Sr.No. 5 and 6 of Table-13 inasmuch as in respect of 120 KN Toughened glass disc insulators at Sr.No.1(i) + 2(i) of Table-12, quantity works out to 248299 + 248299 =496598- which is the same as the quantity shown at Sr.no 5 of Table-13 and in respect of 210 KN Toughened glass disc insulatorsat Sr.No. 1(ii) + 2(ii) of Table-12, quantity works out to 341622 + 341622 = 688244, which is same as
  • 36. Page 36 of 97 the quantity shown at Sr.No. 6 of Table-13 above.The quantity of OPGW shown at Sr.No. 3(i) of Table-12 matches with the aggregate of quantities shown at Sr.No. 7 & 8 (636+636=1272) of Table-13 above. 4.3.21 It, therefore, appears evident that the description and quantity of the scope of supplies covered by the three OEM-Agreements with EIFshown at sr.no. 1, 2& 3 of Table-12above are identically covered in terms of description and quantity, for supply under Agreement No. 415703 dated 01-10-2010 between PMC and EIF (Table- 13 above) 4.3.22 A comparison of the value of the same set of goods, with identical description and quantity, indicated as consideration in two different sets of agreements reveal gross disparity at the contract level as shown in the table below :- Table-14 Contract Price as per Agreements between PMC & EIF vis-à-vis the Agreements between EIF & the three OEMs (Sediver, Dalian & Suzhou) S.No Description of goods Price as per Agreement No. 415703/ 01-10-2010 as per break-up given at Schedule 1 Price Schedule Summary Sheet (USD) Price as per OEM Agreements (USD) Difference (USD) (C) as % of (D) (A) (B) (C) (D) (E) (F 1. Disc Insulators (120 KN + 210 KN) Sub-total of C (C.I + CII) 83,794,854 11,876,920.2 71,917,933.8 705.53% 2 Optical Fiber Ground Wire with hardware and accessories Sub-total D 32,131,000 2,637,757 29,495,243 1218.12% NOTE: - Scanned Copy of Price Schedule Summary Sheet of the Agreement no. 415703 Dt. 01-10-2010 between PMC and EIF is at para 13.1 below 4.3.23 It appears that Disc Insulators supplied at an aggregate cost of USD 11876920.2 by the two OEMsi.eM/s Sediver Insulators (Shanghai) Co. Ltd., China and Dalian Insulator Group Co Ltd. China, and OPGW hardware and accessories for USD 2,637,757/- from M/s Suzhou Furukawa Power Optic Cable Co. Ltd. , Chinawere to be invoiced to PMC under Agreement No. 415703 dated 01-10-2010 at contract value consideration of USD 83,794,854 and USD 32,131,000 which works out to approx. 705.53% & 1218.12% of the corresponding OEM prices, respectively. 4.4 KYC DOCUMENTS FROM AXIS BANK (Second Lot) 4.4.1 Axis Bank, DIFC Branch, Dubai submitted certain documents vide their letter bearing Ref.No. AXIS/DICF/1229/2013-14 dated 18th December 2013 (RUD- D/41). It was, inter-alia, conveyed by the bank in its letter that EIF held a current
  • 37. Page 37 of 97 account bearing no. 912020200000514 opened on 20-07-2010 and that EIH was the parent company of EIF. The documents forwarded by the bank included copies of account opening form alongwith supporting KYC documents submitted by EIF; copies of the bank account statement since inception of the account till 12-12-2013 and copy of the shareholding pattern of EIF. Documents relevant to the investigation are discussed in the following paras. 4.4.2 As per Section I for stating Client Details, Analysis &Consent Form, EIF have declared the name of Bank of Baroda, Bur Dubai, Main Branch as their principal bankers. In the information provided regarding accounts held with other banks, they have declared the names of Bank of Baroda and Standard Chartered Bank. With regard to the declaration of their business activity, it was declared that it was a new company and incorporated with the object of trading in power equipment. Regarding the declaration on source of funds, EIF has declared that their promoter was EIH, who would be bringing equity as and when required from their own sources. On the reason for applying for opening of the account, they have declared “asset handling”. The application appears to have been signed by Shri Jatin Shah on 10-07-2010(RUD/D-42). 4.4.3 As per Section II for details of Authorised Signatory/Director/Beneficial Owner, the name and other personal details of Shri Vinod Shah and Shri Jatin Shah were found declared. While employment details in terms of occupation and corporate title were not filled in for Shri Vinod Shah, Shri Jatin Shah’s occupation was declared as ‘service’ and his corporate title as ‘Manager’(RUD/D-43). 4.4.4 As per resolution dated 10-07-2010 of the Board of Directors of EIF, available in the records of the bank, it was resolved that a bank account be opened in the name of EIF and Shri Vinod S Shah &Shri Jatin C Shah be designated as authorized signatories to operate the account and sign documents without any limit(RUD/D-44). 4.4.5 From letter dated 10-07-2010 of EIF addressed to Axis Bank, it is certified by Shri Jatin Shah as Chief Financial Officer of EIF that Shri Vinod Shantilal Shah, Shri Moreshwar V. Rabade and Shri Jatin C Shah were Directors of EIF(RUD/D-45). 4.4.6 The documents included a copy of the Licence Certificate No. 01-01- 07314 dated 14-01-2010 issued to EIF by SAIF Zone authorities, which was also found in the records of the documents pertaining to Bank of Baroda, Bur Dubai (para 4.3.4 above)(RUD/D-46). 4.4.7 As per copy of Resolution dated 19-05-2011 passed by the Board of Directors of EIF, it was resolved, inter-alia, that Shri Vinod Shah wasauthorized to operate the account of EIF singly without any limit and that any two of the three persons viz. Shri Jatin Shah, Shri MehulJani and Shri MiteshJani, could operate the account jointly without any limit (RUD/D-47)
  • 38. Page 38 of 97 4.4.8 As per letter dated 14-10-2012 submitted by EIF to Axis Bank, Shri Jatin Shah and Shri Moreshwar V Rabadehad been certified as Directors of EIF (RUD/D- 48). 4.4.9 In letter dated 23-10-2012 addressed to the Bank, EIF informed the Bank about the resignation of Vinod Shantilal Shah as a Director of their holding company-EIH w.e.f. 31-05-2011(RUD/D-49). 4.4.10 In another letter dated 23-10-2012 addressed to the Bank, EIF has confirmed the names of Shri Jatin Shah, Shri MehulJani and Shri MiteshJani as the authorized signatories of EIF and the names of its directors as Shri Jatin Shah and Shri MoreshwarRabade. This letter also reitereated that 100% of the equity capital of EIF was held by EIH(RUD/D-50). 4.4.11 Copies of the amended License Certificates issued by SAIF Zone authorities as of 07-08-2012 and 19-06-2013 show EIF as a firm engaged in “general trading” activity & owned by EIH with Shri Jatin Shah as the manager(RUD/D-51). EIF was also holding a Trading Licence issued by Jumeirah Lake Tower authorities bearing Licence No. JLT-65859, as a Branch office, having address Unit N. 2707, Jumeirah Business Center 5 Plot No.W1, Jumeirah Lakes Towers, Dubai, United Arab Emirates(RUD/D-52). The copy of the said Trading Licence shows Shri Jatin Shah as the Manager and activity undertaken by the company as Trading in Equipment related to power lines, ports and transmission lines. 4.4.12 The documents include copy of the Addendum to the Memorandum & Articles of Association dated 07-07-2009 of EIF. Vide this addendum, SAIF Zone authorities acknowledged amendment made on 17-06-2010 to the Memorandum & Articles of Association of EIF for increasing the share capital from AED 1,50,000 to AED 54,00,000(RUD/D-53). The Addendum was signed by Shri Vinod Shantilal Shah as a representative of EIH. This is the third Addendum to the Memorandum & Articles of Association of EIF dated 07-07-2009, the other two being dated 04-01-2010 for change of name and 29-03-2010 for transfer of ownership as discussed at para 4.3.4 and 4.2.8 above respectively. 4.4.13 The documents include a copy of Register of Members of EIH certified on 25-01-2010 by Shri GiandeoReemul, for and on behalf of Trustlink International Limited, Company Secretary(RUD/D-54). A scanned image of the Register of Members is shown below for ease of appreciation
  • 40. Page 40 of 97 4.4.14 Perusal of the Register of Members shows that on 16-07-2009 i.e the date when EIH was incorporated in Mauritius, 1000 shares of USD 1 each (which was the entire authorised and paid-up capital of EIH as on 16-07-2009) with distinctive numbers from 0001 to 1000 were allotted to Nasser Ali Shaban Ahli. The same shares were transferred on 01-10-2009 from Nasser Ali Shaban Ahli to Chang Chung Ling and further transferred to Shri Vinod Shantilal Shah on 12-01-2010. 4.5 Documents from ICICI Bank Limited (2nd Lot) 4.5.1 In response to letter dated 27-03-2014, ICICI Bank, Singapore through letter dated 02-04-2014 (RUD/D-55)conveyed that they had provided Advance Payment Guarantee (APG) facility to EIF; that EIF did not accept and that the facility was, therefore, not availed by EIF. The Bank also conveyed that no documents had been lodged by EIF with the Singapore Branch. Therefore, the issue was taken up and pursued with officials of ICICI Bank’s corporate office at Bandra Kurla Complex, Mumbai. ICICI Bank, vide their letter dated 07-04-2014 (RUD-D/56),forwarded certain documents, which appeared to be documents submitted by EIF to the Bank authorities while applying for the APG facility. Documents relevant to this investigation are discussed in the following paras. 4.5.2 From the documents forwarded by the Bank, it appeared that while applying for APG facility, EIF had provided on 09-04-2010 a background of itself in a document titled ‘Brief Background’(RUD-D/57),wherein they hadstated that the company was established with SAIF Zone in July 2009 in the name and style of Sichuan Machinery and Equipments FZE and with effect from 04-01-2010, the name was changed to EIF. 4.5.3 In the said documents, EIF also disclosed to the bank on 09-04-2010 that it is a wholly owned subsidiary of EIH, registered in Mauritius,owned by Shri Vinod Shantilal Shah. The names of Shri Vinod S Shah, Shri M.V.Rabade and Shri Jatin Shah have been mentioned as Board Members of EIF. 4.5.4 ICICI Bank further submitted certain documents vide their letter dated16-04-2014(RUD/D-58)which included a document titled ‘Details of Director’ provided by EIF to them at their specific insistence(RUD/D-59). Thisdocument provides names and other particulars of Shri Jatin Champaklal Shah and Shri Moreshwar Vasant Rabade, as Directors of EIF.MoreshwarVasantRabade appears to be full name of ‘M.V.Rabade’ listed as one of members of the Board of Director of EIF in the document titled ‘Brief Background’ referred to at the foregoing paragraph 4.5.2 above. The documents also include a certificate dated 01-06-2010 by Shri Jatin Shah as Chief Financial Officer of EIF certifying that as on that date, Shri Vinod Shantilal Shah, Shri Moreshwar V.Rabade and Shri Jatin C. Shah were members of the Board of Directors of EIF(RUD/D-60).
  • 41. Page 41 of 97 5.0 Visit to the offices of Adani Group companies in Ahmedabad and summones issued to various persons of the group including those connected with EIF. 5.1 The supplier on record for many of the Adani Group companies including PMC was the UAE based firm EIF, which appear related to the Adani Group as brought out elsewhere in this notice. Efforts were, therefore, made to obtain documents covering transactions between EIF and overseas based OEMs/actual suppliers, in the case of shipments where the goods were eventually supplied to one or more of the Adani Group entities. The officers of MZU visited offices of the following group entities of the Adani Group in Ahmedabad office on or about 25-09-2013, in an attempt to procure OEM/actual supplier documentation with EIF under the reasonable belief that such documents would be stored in the said offices. Shri Nayan Rao, Vice President, Corporate Affairs, of the Adani Group voluntarily came forward and agreed to co-operate with the officers during the course of their visit by supplying the documents required by DRI. During the course of their visit, the officers visited the following premises accompanied by Shri Nayan Rao, Vice President of the Adani Group and directed him to produce specific documents required by them in exercise of the power conferred by Section 107 of the Customs Act, 1962:- i) M/s Adani Power Limited, Achalraj Building, Ahmedabad ii) M/s Adani Enterprises, Adani House iii) M/s Adani Enterprises, Shikhar Building iv) Adani Group’s server room, Fortune House. 5.2 Certain documents/electronic data as specified in the visit report dated 25-09-2013, (RUD/C-8) were handed over by Shri Nayan Rao, Vice President, in co- ordination and consultation with concerned officials at the above offices, to the officers of DRI during the course of their visit, in response to the requisition under Section 107 of the Customs Act, 1962. However, documents pertaining to transactions between EIF and one or more overseas based OEMs/actual suppliers and other entities, in the form of OEM/actual supplier invoices and/or copies of agreements/contracts between the OEM and EIF were not produced on the ground of non-availability. 5.3 Summons bearing F.No. DRI/MZU/C.I.-224/2013 (RUD/C-4) under Section 108 of the Customs Act, 1962 was issued in the name of Shri Jatin Shah, who is described variously as authorised signatory, Manager, Chief Financial Officer and Director of EIF, to his known addresses, seeking his presence on 14-10-2013 to give evidence and produce specific documents listed at Annexure A to the said summons, relevant extracts of which are produced below :- 1. Self attested copies of all the agreements/contracts entered into with various overseas based original equipment manufacturers/entities/firms for sourcing of goods of foreign origin from them for eventual supply/sale