SVTH: Nguyễn Văn Đoài GVHD:Vũ Đình Nam
1
NHẬN XÉT CỦA GIÁO VIÊN HƯỚNG DẪN
……………………………………………………………………………………………
……………………………………………………………………………………………
……………………………………………………………………………………………
……………………………………………………………………………………………
……………………………………………………………………………………………
……………………………………………………………………………………………
……………………………………………………………………………………………
……………………………………………………………………………………………
……………………………………………………………………………………………
……………………………………………………………………………………………
……………………………………………………………………………………………
……………………………………………………………………………………………
……………………………………………………………………………………………
……………………………………………………………………………………………
……………………………………………………………………………………………
……………………………………………………………………………………………
……………………………………………………………………………………………
……………………………………………………………………………………………
……………………………………………………………………………………………
……………………………………………………………………………………………
……………………………………………………………………………………………
……………………………………………………………………………………………
……………………………………………………………………………………………
……………………………………………………………………………………………
……………………………………………………………………………………………
……………………………………………………………………………………………
……………………………………………………………………………………………
…………………………………………………..…………………………………………
……………………………………………………………………………………………
……………………………………………………………………………………………
………………………………………………..……………………………………………
……………………………………………………………………………………………
……………………………………………………………………………………………
……………………………………………………………………………………………
……………………………………………………………………………………………
……..……………………………………………………
SVTH: Nguyễn Văn Đoài GVHD:Vũ Đình Nam
2
MỤC LỤC
Phần 1: TỔNG QUAN VỀ LY HỢP ......................................................................................... 4
1.1. Công dụng, phân loại, yêu cầu:.................................... 4
1.2. Sơ đồ cấu tạo và nguyên lý hoạt động của ly hợp: ....................... 6
1.2.1. Ly hợp ma sát khô một đĩa bị động lò xo ép hình trụ bố trí xung quanh: ...... 6
1.2.2. Ly hợp ma sát khô hai đĩa bị động lò xo ép hình trụ bố trí xung quanh :....... 7
1.2.3. Ly hợp thuỷ lực: ............................................ 8
1.2.4. Ly hợp điện từ............................................. 10
1.3 LỰA CHỌN PHƯƠNG ÁN DẪN ĐỘNG. .....................................................................11
1.3.1.Dẫn động cơ khí : ........................................... 12
1.3.2. Dẫn động cơ khí có trợ lực khí nén : .............................. 13
1.3.3.Dẫn động thủy lực :.......................................... 14
1.3.4. Dẫn động thủy lực có trợ lực chân không: .......................... 15
1.3.5. Kết luận:................................................. 16
1.4, PHƯƠNG ÁN CHỌN LOẠI LÒ XO ÉP........................................................................17
1.4.1.Lò xo trụ: ................................................ 17
1.4.2. Lò xo côn xoắn:............................................ 17
1.4.3. Lò xo đĩa: ................................................ 18
1.4.4. Kết luận:................................................. 19
1.5. ĐĨA BỊ ĐỘNG CỦA LY HỢP. ........................................................................................19
PHẦN 2: TÍNH TOÁN THIẾT KẾ CỤM LY HỢP..............................................................20
2.1.Giới thiệu về các thông số cơ bản của cụm ly hợp : ..................... 20
2.2. Tính toán thiết kế cum ly hợp : ................................... 21
2.2.1. Xác định mô men ma sát mà ly hợp cần truyền :...................... 21
2.2.2Xác định kích thước cơ bản của ly hợp: ............................ 21
SVTH: Nguyễn Văn Đoài GVHD:Vũ Đình Nam
3
2.2.3.Chọn số lượng đĩa bị động (số đôi bề mặt ma sát): .................... 22
2.3. Tính kiểm tra điều kiện làm việc của ly hợp : ......................... 23
2.3.1 Xác định công trượt và công trượt riêng : ........................... 23
2.3.2.Kiểm tra theo nhiệt độ các chi tiết : ............................... 26
2.4.Tính toán sức bền một số chi tiết chủ yếu của ly hợp : ................... 27
2.4.1. Tính sức bền đinh tán đĩa bị động : ............................... 27
2.4.2 Tính toán bền lò xo ép của ly hợp :............................... 30
2.3.3. Tính bền trục ly hợp: ........................................ 32
2.3.4. Tính bền moay ơ đĩa bị động: .................................. 41
KẾT LUẬN.................................................................................................................................44
TÀI LIỆU THAM KHẢO.........................................................................................................45
LỜI NÓI ĐẦU
Với cơ chế mở cửa nền kinh tế đất nước để hội nhập và phát triển, trong những
năm gần đây đất nước ta đã đạt được rất nhiều thành tựu về mọi mặt trong đời sống xã
hội. Một trong các thành tựu quan trọng nhất đó chính là quá trình công nghiệp hoá, hiện
SVTH: Nguyễn Văn Đoài GVHD:Vũ Đình Nam
4
đại hoá đất nước. Ngành giao thông vận tải, trong đó đặc biệt là Ôtô, là một trong những
phương tiện phục vụ rất hiệu quả cho quá trình công nghiệp hoá, hiện đại hoá, thúc đẩy
sự phát triển nền kinh tế.
Ngành công nghiệp Ôtô, tuy vẫn còn là một ngành mới song với nhận thức đúng đắn
về tầm quan trọng của ngành công nghiệp này trong những năm gần đây Đảng và Nhà
nước ta đã có những chính sánh phù hợp thúc đẩy sự phát triển ngành công nghiệp Ôtô
trong nước, từng bước phát triển và tiến tới sẽ sản xuất được Ôtô tại chính nước ta mà
không cần nhập khẩu.
Sau khi học xong môn ‘ Tính toán và thiết kế ôtô’ em đã được nhà trường giao cho đề
tài: “Thiết kế cụm ly hợp cho ô tô 7chỗ”. Em nhận thấy đây là đề tài có tầm quan trọng
và đòi hỏi yêu cầu cao. Bởi vì với ngành công nghiệp Ôtô của nước ta để tiến tới sẽ sản
xuất được thì việc tính toán thiết kế các cụm chi tiết trong ôtô phải là những yêu cầu được
xây dựng ngay từ trong những bước đi đầu tiên.
Quá trình làm đồ án môn học, mặc dù bản thân đã hết sức cố gắng, được sự giúp đỡ tận
tình của các thầy và các bạn song do khả năng có hạn và thời gian làm đồ án bị hạn chế
nên bản đồ án không tránh khỏi những sai sót. Vì vậy em rất mong sự chỉ bảo của của các
thầy cô và các bạn để đồ án của em được hoàn thiện hơn.
Qua đây em cũng xin chân thành cảm ơn sự giúp đỡ, chỉ bảo tận tình của thầy :
Vũ Đình Nam đã giúp đỡ tạo điều kiện để em hoàn thành tốt đồ án này.
Em xin chân thành cảm ơn!
Hưng yên, ngày…tháng….năm…
Sinh viên:
Nguyễn Văn Đoài
Phần 1: TỔNG QUAN VỀ LY HỢP
1.1. Công dụng, phân loại, yêu cầu:
1.1.1. Công dụng:
Trong hệ thống truyền lực ôtô, ly hợp là một thành phần rất quan trọng, nó có chức năng
chính là:
- Nối động cơ với hệ thống truyền lực khi ôtô di chuyển.
SVTH: Nguyễn Văn Đoài GVHD:Vũ Đình Nam
5
- Ngắt động cơ ra khỏi hệ thống truyền lực trong trường hợp khi ôtô khởi hành
hoặc sang số.
- Đảm bảo là cơ cấu an toàn cho các chi tiết của hệ thống truyền lực khi gặp quá
tải hư trong trường hợp phanh đột ngột mà không nhả ly hợp.
1.1.2. Phân loại:
a. Theo phương pháp truyền mômen:
Theo phương pháp truyền mô men từ trục khuỷu của động cơ đến hệ thống
truyền lực người ta chia ly hợp thành các loại sau:
- Ly hợp ma sát: mô men truyền động nhờ các bề mặt ma sát.
- Ly hợp thuỷ lực: mô men truyền động nhờ năng lượng của chất lỏng.
- Ly hợp điện từ: mô men truyền động nhờ tác dụng của trường nam châm điện.
- Ly hợp liên hợp: mô men truyền động bằng cách kết hợp hai trong các loại kể
trên.
b. Theo trạng thái làm việc của ly hợp:
Theo trạng thái làm việc của ly hợp người ta chia ly hợp thành các loại sau:
- Ly hợp thường đóng.
- Ly hợp thường mở.
c. Theo phương pháp sinh lực ép trên đĩa ép:
Theo phương pháp phát sinh lực ép trên đĩa ép người ta chia ra thành các loại ly hợp
sau:
- Loại lò xo (lò xo đặt xung quanh, lò xo trung tâm, lò xo đĩa).
- Loại nửa ly tâm: lực ép sinh ra ngoài lực ép của lò xo còn có lực ly tâm của
trọng khối phụ ép thêm vào.
- Loại ly tâm: ly hợp ly tâm sử dụng lực ly tâm để tạo lực ép đóng và mở ly hợp.
d. Theo phương pháp dẫn động ly hợp:
Theo phương pháp dẫn động ly hợp người ta chia ly hợp thành các loại sau:
- Ly hợp dẫn động cơ khí.
- Ly hợp dẫn động thuỷ lực.
- Ly hợp dẫn động có cường hoá:
+ Ly hợp dẫn động cơ khí cường hoá khí nén.
+ Ly hợp dẫn động thuỷ lực cường hoá khí nén.
1.1.3. Yêu cầu:
- Ly hợp phải có khả năng truyền hết mô men của động cơ mà không bị trượt ở
bất kỳ điều kiện sử dụng nào.
- Khi đóng ly hợp phải êm dịu, mômen quán tính phần bị động phải nhỏ để giảm
hết tải trọng va đập lên các bánh răng của hộp số khi sang số.
- Khi mở ly hợp phải dứt khoát và nhanh chóng để việc gài số êm dịu, tách động
cơ ra khỏi hệ thống truyền lực trong thời gian ngắn.
- Đảm bảo cho hệ thống truyền lực khi bị quá tải.
- Điều khiển dễ dàng, lực tác dụng lên bàn đạp nhỏ.
- Các bề mặt ma sát phải thoát nhiệt tốt.
- Kết cấu ly hợp phải đơn giản, dễ điều chỉnh chăm sóc và bảo dưỡng.
SVTH: Nguyễn Văn Đoài GVHD:Vũ Đình Nam
6
1.2. Sơ đồ cấu tạo và nguyên lý hoạt động của ly hợp:
- Đối với hệ thống ly hợp, về mặt cấu tạo người ta chia thành các bộ phận chính:
- Cơ cấu ly hợp: là bộ phận thực hiện việc nối và ngắt truyền động từ động cơ đến
hệ thống truyền lực.
- Dẫn động ly hợp: là bộ phận thực hiện việc điều khiển đóng mở ly hợp.
1.2.1. Ly hợp ma sát khô một đĩa bị động lò xo ép hình trụ bố trí xung quanh:
a. Sơ đồ cấu tạo chung:
Hình 1.1: Ly hợp ma sát khô một đĩa bị động.
1. bánh đà; 7. bàn đạp ;
2. đĩa ma sát; 8. lò xo hồi vị bàn đạp ;
3. đĩa ép; 9. đòn kéo;
4. lò xo ép; 10. càng mở;
5. vỏ ly hợp; 11. bi tỳ;
6. bạc mở ; 12. đòn mở;
13. bộ giảm chấn.
- Nhóm các chi tiết chủ động bao gồm: bánh đà, vỏ ly hợp, đĩa ép, đòn mở và
các lò xo ép. Khi ly hợp mở hoàn toàn thì các chi tiết thuộc nhóm chủ động sẽ quay cùng
với bánh đà.
- Nhóm các chi tiết bị động gồm đĩa bị động (đĩa ma sát), trục ly hợp. Khi ly
hợp mở hoàn toàn thì các chi tiết thuộc nhóm bị động sẽ đứng yên.
SVTH: Nguyễn Văn Đoài GVHD:Vũ Đình Nam
7
- Theo sơ đồ cấu tạo ở hình vẽ thì vỏ ly hợp 5 được bắt cố định với bánh đà 1
bằng các bu lông, đĩa ép 3 có thể dịch chuyển tịnh tiến trong vỏ và có bộ phận truyền mô
men từ vỏ 5 vào đĩa ép. Các chi tiết 1, 3, 4, 5 được gọi là phần chủ động của ly hợp. Chi
tiết số 2 được gọi là phần bị động của ly hợp, các bộ phận còn lại thuộc bộ phận dẫn động
ly hơp.
b. Nguyên lý hoạt động:
- Trạng thái đóng ly hợp: ở trạng thái này lò xo 4 một đầu tựa vào vỏ 5, đầu còn lại tì vào
đĩa ép số 3 tạo lực ép để ép chặt đĩa bị động 2 với bánh đà số 1 cho phần chủ động và
phần bị động tạo thành 1 khối cứng. Khi này mô men từ động cơ được truyền từ phần chủ
động sang phần bị động của ly hợp thông qua các bề mặt ma sát của đĩa bị động 2 với đĩa
ép 3 và bánh đà 4. Tiếp đó mô men truyền vào xương đĩa bị động qua bộ giảm chấn 13
đến moay ơ rồi truyền vào trục ly hợp (trục sơ cấp hộp số). Lúc này giữa bi tỳ 11 và đầu
mở 12 có khe hở từ 3  4 mm, tương ứng với hành trình tự do của bàn đạp ly hợp.
- Trạng thái mở ly hợp: Khi cần ngắt truyền động từ động cơ tới trục sơ cấp của hộp số
người ta cần tác dụng một lực vào bàn đạp 7 thông qua đòn kéo 9 và càng mở 10, bạc mở
6 mang bi tỳ 11 sẽ dịch chuyển sang trái. Sau khi khắc phục hết khe hở, bi tỳ 11 sẽ tì vào
đầu đòn mở 12. Nhờ có khớp bản lề của bản lề liên kết với vỏ 5 nên đầu kia của đòn mở
12 sẽ kéo đĩa ép 3 nén lò xo 4 lại để dịch chuyển sang phải. Khi này các bề mặt ma sát
giữa bộ phận chủ động và bị động của ly hợp được tách ra và ngắt truyền động từ trục cơ
tới trục sơ cấp của hộp số.
c. Ưu nhược điểm:
- Ưu điểm:
+ Kết cấu gọn, dễ điều chỉnh và sữa chữa.
+ Mở dứt khoát.
+ Thoát nhiệt tốt nên đảm bảo tuổi thọ cao cho bộ ly hợp.
- Nhược điểm:
+ Đóng không êm dịu.
+ Chỉ truyền được mô men không lớn lắm. Nếu truyền mômen trên 70  80 KGm
thì cần đường kính đĩa ma sát lớn kéo theo các kết cấu khác đều lớn làm cho ly hợp cồng
kềnh.
1.2.2. Ly hợp ma sát khô hai đĩa bị động lò xo ép hình trụ bố trí xung quanh :
a. Sơ đồ cấu tạo chung:
SVTH: Nguyễn Văn Đoài GVHD:Vũ Đình Nam
8
Hình 1.2. Ly hợp ma sát khô hai đĩa bị động
1. Bánh đà; 7. Lò xo ép; 13. Thanh kéo;
2. Lò xo đĩa bị động; 8. Vỏ ly hợp; 14. Càng mở;
3. Đĩa ép trung gian; 9. Bạc mở; 15. Bi tỳ;
4. Đĩa bị động; 10. Trục ly hợp; 16. Đòn mở;
5. Đĩa ép; 11. Bàn đạp ly hợp; 17. Lò xo giảm chấn.
6. Bu lông hạn chế; 12. Lò xo hồi vị bàn đạp ly hợp;
a. Cấu tạo:
Nhìn chung cấu tạo của ly hợp hai đĩa cũng bao gồm các bộ phận và các chi tiết cơ
bản như đối với ly hợp một đĩa. Điểm khác biệt là ở ly hợp hai đĩa có hai đĩa bị động số 4
cùng liên kết then hoa với trục ly hợp 10. Vì có hai đĩa bị động nên ngoài đĩa ép 5 còn có
thêm đĩa ép trung gian 3. ở ly hợp hai đĩa phải bố trí thêm cơ cấu truyền mô men từ vỏ
hoặc bánh đà sang đĩa ép và cả đĩa trung gian.
b. Nguyên lý hoạt động:
Nguyên lý làm việc của ly hợp hai đĩa bị động cũng tương tự như ly hợp một đĩa.
c. Ưu nhược điểm:
- Ưu điểm:
+ Đóng êm dịu (do có nhiều bề mặt ma sát).
+ Giảm được đường kính chung của đĩa ma sát, bánh đà … mà vẫn đảm bảo
truyền đủ mômen cần thiết của động cơ.
- Nhược điểm:
+Mở không dứt khoát, nhiệt lớn, kết cấu phức tạp nên khó bảo dưỡng và sữa chữa.
1.2.3. Ly hợp thuỷ lực:
a. Sơ đồ cấu tạo chung:
SVTH: Nguyễn Văn Đoài GVHD:Vũ Đình Nam
9
Cấu tạo của ly hợp thủy lực được trình bày như hình vẽ bao gồm:
1. Bánh đà
2. Bánh tuabin
3. Bánh bơm
4. Trục sơ cấp
5. Vỏ ly hợp
Hình 1.3. Ly hợp thủy lực.
Các chi tiết chính của ly hợp gồm có bánh bơm, bánh tuabin. Các bánh công tác này
có dạng nửa hình vòng xuyến, được bố trí rất nhiều cánh dẫn theo chiều hướng tâm.
Bánh bơm được hàn chặt với vỏ ly hợp và được bắt chặt với vỏ trục khuỷu động cơ
(quay cùng với trục khuỷu). Nó có tác dụng quạt dòng chất lỏng sang bánh tuabin thông
qua đó truyền mômen.
Bánh tuabin được đặt trong vỏ ly hợp có thể quay tự do, được nối với trục sơ cấp
hộp số bằng khớp nối then hoa, nó chịu sự tác động của dòng chất lỏng từ bánh bơm
truyền sang, khi đó nó sẽ quay và truyền chuyển độngcho trục sơ cấp hộp số.
b. Nguyên lý hoạt động:
Ly hợp thuỷ lực làm việc dựa trên nguyên tắc truỷ động. Khi bánh bơm được trục
khuỷu động cơ dẫn động quay làm chất lỏng chứa trong khoang công tác của bánh bơm
sẽ quay theo. Chất lỏng tham gia vào hai chuyển động: một chuyển động quay theo bánh
bơm và một chuyển động tịnh tiến theo các máng của cánh dẫn từ phía trong ra phía
ngoài. Động năng của chất lỏng cũng tăng từ trong ra ngoài. Khi ra khỏi bánh bơm chất
lỏng sẽ chuyển tiếp sang bánh tuốc bin và động năng của dòng chất lỏng sẽ làm cho bánh
tuốc bin quay theo. ở bánh tuốc bin chất lỏng chuyển động từ ngoài vào trong và động
năng giảm dần. Sau khi ra khỏi bánh tuốc bin chất lỏng tiếp tục đi vào bánh bơm để nhận
năng lượng và thực hiện các chu trình tiếp theo.
c. Ưu nhược điểm:
- Ưu điểm :
+ Khi đóng ly hợp rất êm dịu
+ Làm việc êm dịu, hạn chế va đập khi truyền mô men từ động cơ xuống hệ thống
truyền lực.
+ Có khả năng trượt lâu dài mà không gây hao mòn như ở ly hợp ma sát.
- Nhược điểm :
1
2
3
4
5
SVTH: Nguyễn Văn Đoài GVHD:Vũ Đình Nam
10
+ Không có khả năng biến đổi mômen nên đã hạn chế phạm vi sử dụng của nó trên
các hộp số thủy cơ ôtô.
+ Hiệu suất thấp ở vùng làm việc có tỉ số truyền nhỏ.
+ Độ nhạy quá cao làm ảnh hưởng xấu đến đặc tính làm việc kết hợp với động cơ
đốt trong.
1.2.4. Ly hợp điện từ
Ly hợp điện từ là loại không những chỉ bố trí trên ôtô mà còn bố trí trong nhiều
lĩnh vực khác.
Ưu điểm là truyền động êm cho phép trượt lâu dài mà không ảnh hưởng tới hao
mòn các chi tiết của ly hợp.
a. Sơ đồ cấu tạo chung:
Hình 1.4. Ly hợp điện từ
1. Bánh đà
2. Khung từ
3. Cuộn dây
4. Lõi sắt bị động
5. Trục ly hợp
6. Mặt cắt
Các bộ phận chính của ly hợp điện từ bao gồm: phần cố định 2 trên đó có cuộn dây
điện từ 3. Bộ phận chủ động 1 được nối với trục khuỷu động cơ, bộ phận bị động 4 được
nối với trục ly hợp (trục sơ cấp của hộp số). Các bộ phận chủ động, bị động và bộ phận
cố định có thể quay trơn với nhau thông qua các khe hở A, B, C, D. Để hiệu suất truyền
động cao các khe hở này phải nhỏ. Ngoài ra để tăng khả năng truyền mô men từ phần chủ
động sang phần bị động người ta bỏ bột sắt vào khoang kín giữa phần chủ động và phần
bị động.
b. Nguyên lý hoạt động:
- Nguyên lý làm việc dựa vào lực điện từ tương tác giữa phần chủ động và bị động
nhờ nam châm điện do cuộn dây 3 sinh ra.
- Trạng thái đóng ly hợp: Khi này cuộn dây 3 được cấp một dòng điện một chiều
và nó sẽ trở thành nam châm điện. Điện trường của nam châm sẽ khép kín mạch, từ qua
SVTH: Nguyễn Văn Đoài GVHD:Vũ Đình Nam
11
các bộ phận cố định 2, phần chủ động 1, phần bị động 4 theo đường mũi tên như hình vẽ.
Khi này dưới sự tương tác của lực điện từ phần chủ động 1 sẽ kéo phần bị động 4 quay
theo, mô men được truyền từ động cơ sang trục ly hợp.
- Trạng thái mở ly hợp: Khi cần mở ly hợp người ta ngắt dòng điện cấp cho cuộn
dây 15. Lực điện từ sẽ mất, các chi tiết được quay tự do, ngắt đường truyền mô men từ
động cơ tới trục ly hợp.
c. Ưu nhược điểm :
- Ưu điểm :
+ Khả năng chống quá tải tốt.
+ Bố trí dẫn động dễ dàng.
- Nhược điểm :
+ Chế tạo phức tạp.
+ Bảo dưỡng và sửa chữa khó khăn.
+ Giá thành đắt.
1.3 LỰA CHỌN PHƯƠNG ÁN DẪN ĐỘNG.
Hệ thống dẫn động ly hợp có tác dụng truyền lực bàn đạp của người lái tác động vào
bàn đạp đến ly hợp để thực hiện việc đóng ngắt ly hợp.
Dẫn động ly hợp thường là dẫn động cơ khí hoặc thủy lực. Dẫn động cơ khí có ưu
điểm chung là kết cấu đơn giản. dễ chế tạo tuy nhiên chúng cũng có nhược điểm là lực
bàn đạp thường phải lớn và khó bố trí với những ôtô có động cơ đặt xa người lái. Dẫn
động cơ khí được thường được sử dụng trên một số ôtô con và ôtô tải do ôtô con có yêu
cầu lực bàn đạp nhỏ và ôtô tải thường có bình khí nén nên việc bố trí trợ lực thuận lợi,
dẫn động thủy lực hiện nay được sử dụng trên hầu hết các loại ôtô con và ôtô chở khách
do có ưu điểm rất lớn là nhỏ gọn, tạo được lực bàn đạp lớn, dế bố trí trên ôtô và thời gian
tác động nhanh.
Để giảm lực của người lái tác dụng lên bàn đạp, trong hệ thống dẫn động có thể có
bố trí bộ phận trợ lực bằng cơ khí, thủy lực, khí nén hoặc chân không. Hiện nay, được sử
dụng phổ biến hơn cả trên các loại ôtô là dẫn động thủy lực kết hợp với bộ trợ lực. Trợ
lực trên ôtô con có thể là trợ lực chân không, còn các ôtô tải thì thường sử dụng hệ thống
trợ lực bằng khí nén do có sẵn bình khí nén.
Mục đích của việc thiết kế hệ dẫn động ly hợp là dễ bố trí, điều khiển dễ dàng,
đảm bảo độ tin cậy đồng thời đảm bảo tính kinh tế. Do đó phương án dẫn động phải đáp
ứng được các yêu cầu của hệ thống dẫn động đã nêu ở trên.
Các phương án dẫn động thường dùng là:
- Dẫn động cơ khí.
- Dẫn động cơ khí trợ lực khí nén
- Dẫn động cơ khí trợ lực chân không.
- Dẫn động thuỷ lực.
- Dẫn động thuỷ lực trợ lực khí nén.
- Dẫn động thủy lực trợ lực chân không.
SVTH: Nguyễn Văn Đoài GVHD:Vũ Đình Nam
12
1.3.1.Dẫn động cơ khí :
Sử dụng các cơ cấu truyền lực bằng cơ khí để truyền lực đóng hoặc ngắt ly hợp.
a. Sơ đồ kết cấu:
Hình 2.1.Sơ đồ dẫn động ly hợp bằng cơ khí.
1.Đĩa bị động. 2.Đĩa ép. 3.Đòn mở.
4.Bi T. 5.Lò xo hồi vị bi T. 6.Càng mở.
7.Bàn đạp. 8.Lò xo hồi vị bàn đạp. 9.Đòn dẫn động.
b. Nguyên lý làm việc:
- Khi ngắt ly hợp :
Người lái tác dụng lực vào bàn đạp, lực bàn đạp thông qua đòn dẫn động 9 và
càng mở 6 làm cho bi T 4 dịch chuyển sang trái tỳ vào đầu đòn mở, đòn mở kéo đĩa ép và
đĩa bị động tách khỏi các bề mặt làm việc làm mở ly hợp.
- Khi đóng ly hợp : Người lái thôi không tác dụng lực vào bàn đạp, lò xo hồi vị bàn đạp
kéo bàn đạp trở về vị trí ban đầu. Đồng thời lò xo hồi vị bi T kéo bi T dịch chuyển sang
phải và thôi không ép vào đòn mở nữa. Khi đó lò xo ép lại ép đĩa ép và đĩa bị động trở lại
trạng thái làm việc ban đầu.
c. Ưu nhược điểm :
- Ưu điểm: +Kết cấu đơn giản nên dễ chế tạo và bảo dưỡng, sửa chữa.
+Mở nhanh và dứt khoát.
+Giá thành rẻ.
- Nhược điểm:
+Lực ma sát giữa các cơ cấu lớn nên dẫn đến nặng khi đạp. Có thể khắc
phục bằng cách sử dụng trợ lực. Đóng không êm dịu.

9
8
7
6
21 543
SVTH: Nguyễn Văn Đoài GVHD:Vũ Đình Nam
13
1.3.2. Dẫn động cơ khí có trợ lực khí nén :
a. Sơ đồ cấu tạo.
Hình 2.2.Sơ đồ dẫn động ly hợp bằng cơ khí có trơ lực khí nén.
1.Ống dẫn khí. 2.Xy lanh công tác. 3.Càng mở.
4.Đòn mở. 5.Đĩa ép. 6.Đĩa bị động.
7.Bi T. 8.Lò xo hồi vị bi T. 9.Bình khí nén.
10.Xy lanh phân phối. 11.Bàn đạp. 12.Lò xo hồi vị bàn đạp.
b. Nguyên lý hoạt động :
- Khi ngắt ly hợp: Người lái tác dụng một lực lên bàn đạp 11 làm cho xy lanh phân phối
10 cùng pittông của nó chuyển động sang trái làm cho càng mở 3 đẩy bi T 7 dịch chuyển
sang trái và ép vào đòn mở 4. Đòn mở kéo đĩa ép cùng đĩa bị động tách ra khỏi bề mặt
làm việc và ly hợp được ngắt. Đồng thời sự chuyển động tương đối giữa pittông và xy
lanh của xy lanh phân phối 10 làm mở van khí nén. Khí nén từ bình khí đi qua xy lanh
phân phối, qua ồng dẫn 1 vào xy lanh công tác 2 đẩy pittông của xy lanh này dịch chuyển
sang phải đẩy vào càng mở 3 làm giảm bớt một phần lực cho người lái.
- Khi đóng ly hợp :
Khi người lái thôi tác dụng lực vào bàn đạp, lò xo hồi vị bàn đạp kéo bàn đạp trở
về vị trí ban đầu. Đồng thời kéo xy lanh phân phối 10 sang phải làm kéo càng mở 3 thôi
không ép vào bi T nữa. Khi đó bi T thôi không ép vào đầu đòn mở nữa và các lò xo ép lại
ép ly hợp đĩa ép và đĩa bị động trở về trạng thái làm việc ban đầu. Khi xy lanh phân phối
10 được kéo về vị trí ban đầu thì đồng thời làm van khí nén đóng lại. Lúc này khoang
trong xy lanh 10 thông với khí trời và do đó không còn áp suất khí nén tác dụng lên xy
lanh công tác nữa và xy lanh công tác cũng thôi không tác dụng lực lên càng mở 3 nữa.
- Khi giữ bàn đạp ở một vị trí nào đó :
Khi người lái giữ nguyên bàn đạp ở một vị trí nào đó thì xy lanh phân phối 10
cũng dừng tại một vị trí nhất định. Lúc này van khí nén vẫn mở và khí nén vẫn vào xy
lanh công tác tuy nhiên lượng khí nén vào trong xy lanh công tác là không đổi cho nên ly
hợp được mở ở một vị trí nhất định.
c. Ưu nhược điểm :
- Ưu điểm :
5
1
3
2

4
6
121110987
SVTH: Nguyễn Văn Đoài GVHD:Vũ Đình Nam
14
+ Giảm được lực của người lái tác dụng lên bàn đạp.
+ Vẫn đảm bảo an toàn vì nếu trợ lực hỏng thì ly hợp vẫn làm việc được.
- Nhược điểm :
+ Phải cần máy nén khí.
+ Khi mất trợ lực thì lực điều khiển của người lái rất lớn.
1.3.3.Dẫn động thủy lực :
a. Sơ đồ cấu tạo.
Hình 2.3.Sơ đồ dẫn động ly hợp bằng thủy lực.
1.Đĩa bị động. 2.Đĩa ép. 3.Đòn mở.
4.Bi T. 5.Lò xo hồi vị bi T. 6.Xy lanh chính.
7.Bàn đạp. 8.Lò xo hồi vị bàn đạp. 9.Càng mở.
10.Xy lanh công tác. 11.Ống dẫn dầu.
b. Nguyên lý làm việc:
- Khi ngắt ly hợp :
Khi người lái tác dụng một lực lên bàn đạp, dầu từ xy lanh chính 6 qua ống dẫn 11
vào xy lanh công tác 10 đẩy pittông của xy lanh này đi sang phải thông qua càng mở đẩy
bi T 4 ép vào đòn mở 3 làm cho đòn mở kéo đĩa ép và đĩa bị động tách ra làm mở ly hợp.
- Khi đóng ly hợp :
Khi người lái thôi không tác dụng lực vào bàn đạp, nhờ lò xo hồi vị bi T 5 và lò xo
hồi vị bàn đạp 8 đẩy pittông của xy lanh công tác 10 sang trái làm đẩy dầu qua ống 11 trở
về xy lanh chính 6 đẩy trả bàn đạp vể vị trí ban đầu.
Đồng thời nhờ lò xo hồi vị nên bi T cũng được đẩy tách ra khỏi đòn mở làm mở ly hợp.
c. Ưu nhược điểm :
- Ưu điểm:
+ Kết cấu đơn giản, dễ bố trí trên xe.
+ Dẫn động êm, có thể tạo được lực bàn đạp lớn.
- Nhược điểm:
+ Các chi tiết cần độ kín khít tốt nên khó khăn trong việc chế tạo và chăm sóc, bảo
dưỡng.
10
11
9
321 7654 8
SVTH: Nguyễn Văn Đoài GVHD:Vũ Đình Nam
15
1.3.4. Dẫn động thủy lực có trợ lực chân không:
a. Sơ đồ cấu tạo.
Hình 2.4.Sơ đồ dẫn động thủy lực có trợ lực chân không.
1.Ống dẫn dầu. 2.Xy lanh công tác. 3.Càng mở.
4.Bi T. 5.Đòn mở. 6.Đĩa ép.
7.Đĩa bị động. 8.Lò xo hồi vị bi T. 9.Họng hút.
10.Bàn đạp. 11.Lò xo hồi vị bàn đạp. 12.Bộ trợ lực.
13.Xy lanh chính.
b. Nguyên lý hoạt động của bộ trợ lực:
Khi mở ly hợp: Khi người lái đạp bàn đạp làm đẩy van khí 4 mở ra đồng thời van
điều khiển 1 (bằng cao su) đóng van chân không 2 lại. Lúc này khoang B được nối với
khoang khí trời C và khoang B không thông với khoang chân không A, tạo ra sự chênh
lệch áp suất giữa hai khoang A và B, làm van chân không chuyển động sang trái đẩy
pittông của xy lanh chính 13 sang trái làm dầu trong xy lanh chính theo ống 1 sang xy
lanh công tác 2 đẩy pittông của xy lanh công tác sang phải qua càng mở 3 đẩy bi T 4 ép
vào đòn mở 5 làm mở ly hợp.
Khi đóng ly hợp: Khi người lái thôi tác dụng vào bàn đạp, nhờ các lò xo hồi vị làm
van khí 4 trở về vị trí ban đầu, lúc này van khí 4 ép chặt làm mở van chân không 2 ra. Kết
quả là khoang A thông với khoang B và khoang B không thông với khoang C nữa. Hai
khoang A và B không có sự chênh lệch áp suất nên không sinh ra trợ lực nữa và các chi
tiết cũng trở về vị trí ban đầu.

3
1
2
4
5
6
13 12 11 10
7
8 9
SVTH: Nguyễn Văn Đoài GVHD:Vũ Đình Nam
16
Hình 2.5.Sơ đồ bộ trợ lực chân không.
1. Van điều khiển. 2. Van chân không
3, 6. Lò xo hồi vị. 4. Van khí
5. Màng cao su
Khi người lái dừng chân ở một vị trí nào đó thì van khí 4 dừng lại. Nhưng
màng cao su 5 vẫn dịch chuyển một chút và kéo van chân không 2 đi theo nên đẩy van
điều khiển 1 ép chặt vào van khí 4 làm đóng van khí. Lúc này cả van khí và van chân
không đều được đóng lại và không khí trong khoang B không đổi, sự chênh lệch áp suất
giữa hai khoang A và B là ổn định. Như vậy đĩa ép vẫn được giữ ở một vị trí nhất định,
tức là ly hợp vẫn được mở ở một vị trí nhất định.
c. Ưu nhược điểm:
- Ưu điểm:
+ Lực bàn đạp nhỏ nên điều khiển dễ dàng.
+ Không tốn công suất cũng như nhiên liệu cho bộ trợ lực.
+ Khi hệ thống trợ lực hỏng thì ly hợp vẫn làm việc được.
- Nhược điểm:
+ Kết cấu phức tạp nên khó chế tạo, bảo dưỡng và sữa chữa.
+ Cần độ kín khít cao để tránh rò rỉ dầu và khí.
+ Do độ chân không không lớn nên muốn có lực trợ lực lớn thì phải tăng kích
thước màng sinh lực dẫn đến kết cấu cồng kềnh.
1.3.5. Kết luận:
Với ly hợp xe ôtô tải cần lực bàn đạp lớn đồng thời cần phải có kết cấu gọn nhẹ,
không gian bố trí hợp lý. Qua việc tham khảo sơ bộ các phương án, ta thấy phương án
dẫn động cơ khí có trợ lực khí nén là phương án có nhiều ưu điểm nổi bật. Do đó em
chọn phương án dẫn động là dẫn động cơ khí có trợ lực khí nén .
Như vậy loại ly hợp mà em chọn thiết kế là ly hợp ma sát khô dạng thường đóng
dẫn động cơ khí có trợ lực khí nén .
12
3456
A B
C
SVTH: Nguyễn Văn Đoài GVHD:Vũ Đình Nam
17
1.4, PHƯƠNG ÁN CHỌN LOẠI LÒ XO ÉP.
Hình 3.1.Đặc tính các loại lò xo ép ly hợp.
a - Lò xo côn xoắn.
b - Lò xo trụ.
c - Lò xo đĩa.
Fl : Lực ép, l: Biến dạng của lò xo.
1.4.1.Lò xo trụ:
Lò xo trụ có đường đặc tính làm việc là đường b trên hình 3.1.
Lò xo trụ thường được bố trí theo vòng tròn trên đĩa ép.
Để định vị các lò xo và giảm độ biến dạng của chúng dưới tác dụng của
lực ly tâm, thường sử dụng các cốc, vấu lồi trên đĩa ép hoặc trên vỏ ly hợp.
a. Ưu điểm:
- Kết cấu nhỏ gọn, khoảng không gian chiếm chỗ ít vì lực ép tác dụng lên đĩa ép
lớn.
- Đảm bảo được lực ép đều lên các bề mặt ma sát bằng cách bố trí các lò xo đối
xứng với nhau và với các đòn mở.
- Luôn giứ được đặc tính tuyến tính trong toàn bộ vùng làm việc.
- Giá thành rẻ, chế tạo đơn giản.
b. Nhược điểm:
- Các lò xo thường không đảm bảo được các thông số giống nhau hoàn toàn, đặc
biệt là sau một thời gian làm việc lực ép của các lò xo sẽ không đều nhau. Do đó phải chế
tạo lò xo thật chính xác nều không thì lực ép không đều sẽ làm cho đĩa ma sát mòn không
đều và dễ bị cong vênh.
1.4.2. Lò xo côn xoắn:
a
b
c
Fl
l
SVTH: Nguyễn Văn Đoài GVHD:Vũ Đình Nam
18
Lò xo công xoắn có đường đặc tính làm việc là đường a trên hình
a. Ưu điểm:
-Lò xo côn cho phep chồng lên nhau nên độ cứng tăng lên đáng kể khi chiều cao và
kích thước của lò xo hầu như không thay đổi.
- Lực ép lên lò xo lớn, nên thường được dùng trên ôtô có mômen của động cơ trên
50 KGm.
- Có thể giảm được không gian của kết cấu do lò xo có thể ép đến khi lò xo nằm
trên một mặt phẳng.
-Lò xo côn hoạt động ổn định hơn và ít bị gãy hỏng hơn các lò xo chịu nén bình
thường.
b. Nhược điểm:
- Khoảng không gian ở gần trục ly hợp sẽ chật và khó bố trí bạc mở ly hợp.
- Dùng lò xo côn thì áp suất lò xo tác dụng lên đĩa ép phải qua các đòn ép do đó
việc điều chỉnh ly hợp sẽ phức tạp.
- Lò xo côn có dạng tuyến tính ở vùng làm việc nhỏ, sau đó khi các vòng lò xo bắt
đầu trùng nhau thì độ cứng của lò xo tăng lên rất nhanh, do đó nó đòi hỏi phải tạo được
lực lớn để ngắt ly hợp và khi đĩa ma sát mòn thì lực ép của lò xo sẽ giảm rất nhanh.
1.4.3. Lò xo đĩa:
Lò xo đĩa có đường đặc tính làm việc là đường c trên hình 3.1.
Lò xo đĩa được chế tạo bằng thép lò xo và được bắt chặt vào bàn ép ly hợp bằng đinh tán
hoặc bằng bulông . Ở mỗi phía của lò xo đĩa bố trí các vòng trụ xoay hoạt động như một
trục xoay khi lò xo đĩa quay . Đối với loại bàn ép ly hợp thông thường có các lò xo chịu
kéo đẻ nối đĩa ép ly hợp với lò xo đĩa.
SVTH: Nguyễn Văn Đoài GVHD:Vũ Đình Nam
19
Một lò xo đĩa loại DST
a.Ưu điểm:
- Lò xo đĩa làm luôn nhiệm vụ của đòn mở nên kết cấu đơn giản và nhỏ gọn.
- Lò xo đĩa có đặc tính làm việc hợp lý vì trong vùng làm việc lực ép thay đổi
không dáng kể theo biến dạng. Do vậy lực ngắt ly hợp đòi hỏi không lớn và khi đĩa ma
sát bị mòn thì lực ép thay đổi không đáng kể.
b. Nhược điểm:
- Việc chế tạo khó khăn.
1.4.4. Kết luận:
Qua việc tham khảo các loại lò xo ép em quyết định chọn loại lò xo ép là lò xo trụ vì tất
cả những đăc tính tối ưu của nó.
1.5. ĐĨA BỊ ĐỘNG CỦA LY HỢP.
Đĩa bị động của ly hợp có cấu tạo gồm hai tấm ma sát được gắn với nhau bằng
đinh tán thông qua xương đĩa. Xương đĩa lại được tán với moay ơ đĩa bị động.
Một trong những yêu cầu của ly hợp là phải đóng êm dịu, yêu cầu này liên quan
đến cấu tạo của đĩa bị động của ly hợp.
Để tăng tính êm dịu cho ly hợp ta dùng đĩa bị động loại đàn hồi. Độ đàn hồi của
đĩa được giải quyết bằng cách thiết kế kết cấu có những hình thù nhất định hoặc dùng
thêm những chi tiết đặc biệt có khả năng làm giảm độ cứng của đĩa. Ở đây để giảm độ
cứng của đĩa bị động ta xẻ các rãnh hướng tâm. Các đường xẻ rãnh này chia đĩa bị động
ra nhiều phần. Số lượng các rãnh tuỳ theo đường kính đĩa. Các đường xẻ rãnh cũng làm
SVTH: Nguyễn Văn Đoài GVHD:Vũ Đình Nam
20
cho đĩa bị động đỡ cong vênh khi bị nung nóng khi làm việc và làm tăng khả năng thoát
các bụi sinh ra trong quá trình ly hợp làm việc do các tấm ma sát bị mòn.
PHẦN 2: TÍNH TOÁN THIẾT KẾ CỤM LY HỢP
2.1.Giới thiệu về các thông số cơ bản của cụm ly hợp :
Các số liệu ban đầu:
Kiểu tay lái : bên trái.
- Momen xoắn cực đại của động cơ : Memax=265 Nm
- Chiều dài – chiều rộng cơ sở : 2750 – 1540 mm
- Vận tốc tối đa : Vmax =190 km/h
- Tự trọng : 1790 kg
- Khối lượng của oto khi đầy tải : 2380 kg
- Thông số của lốp : 265/65R17
- Tỷ số truyền của truyền lực chính. : i0 = 4,53
SVTH: Nguyễn Văn Đoài GVHD:Vũ Đình Nam
21
- Tỷ số truyền của hộp số chính. : ih1 = 4,12
- Hiệu suất hệ thống truyền lực : ηt = 0,93
2.2. Tính toán thiết kế cum ly hợp :
2.2.1. Xác định mô men ma sát mà ly hợp cần truyền :
Ly hợp cần được thiết kế sao cho nó phải truyền hết được mô men của động
cơ và đồng thời bảo vệ được cho hệ thống truyền lực không bị quá tải.
Với yêu cầu như vậy mô men ma sát của ly hợp được tính như sau:
Mc =  .Memax
 : hệ số dự trự của ly hợp
Memax mô men cực đại của động cơ
Với Memax = 265 (N.m)
Lựa chọn hệ số  một cách hợp lý có ý nghĩa rất quan trọng trong quá trình tính toán
thiết kế ly hợp. Nếu chọn  quá nhỏ thì không đảm bảo truyền hết mô men vì trong quá
trình làm việc lực ép của là xo giảm dần xuống làm giảm mô men ma sát của ly hợp. Phải
chọn  lớn hơn 1 để đảm bảo truyền hết mô men của động cơ trong mọi trường hợp. Tuy
nhiên  cũng không được chọn quá lớn để tránh tăng kích thước của đĩa bị động và tránh
cho hệ thống truyền lực khỏi bị quá tải.
Bảng hệ số β.
Loại xe Trị số β
Xe du lịch 1,35  1,75
Xe tải, khách, máy kéo vận tải (không kéo mooc) 1,50  2,25
Ô tô tải có mooc 1,80  3,00
Máy kéo NN kiểu ly hợp thường đóng 2,00  2,50
Đối với ôtô du lịch 7 chỗ , ta chọn β = 1,5.
Vậy mômen ma sát của ly hợp là : Me = 1,5.265 = 397,5 (N.m)
2.2.2Xác định kích thước cơ bản của ly hợp:
Đường kính ngoài của tấm ma sát được chọn theo công thức kinh nghiệm sau:
D2 = 2R = 3,16.√
Memax
𝐶
SVTH: Nguyễn Văn Đoài GVHD:Vũ Đình Nam
22
Ta có : Memax = 397,5 N.m
D tính theo (cm)
C : là hệ số kinh nghiệm,
Loại xe Hệ số C
Ôtô du lịch 4,7
Ô tô vận tải trong điều kiện bình thường 3,6
Ô tô vận tải trong điều kiện nặng 1,9
Đối với ôtô du lịch 7 chỗ thì ta chọn C = 4,7 ( theo sách thiết kế tinh toán ôtô NXB ĐHSP
kỹ thuật Hưng yên)
 D2 = 3,16√
397,5
4,7
= 31,5. (cm)
D không được lớn hơn đường kính của bánh đà, đồng thời phải gọn, trọng lượng nhẹ. Do
đó ta sẽ giảm kích thước đĩa ma sát và tăng số đĩa bị động.
Ta chọn : D2 = 320 (mm)= 0,32 (m) ( theo bảng 1.4 sách thiết kế và tính toán oto – máy
kéo của TS Nguyễn Hữu Hưởng NXB ĐHQG.HCM ).
Đường kính trong của đĩa ma sát được chọn theo công thức;
D1 = (0,530,75).D2 = ( 169,6 ÷ 240) mm
ta chọn : D1 = 200 (mm) (theo bảng 1.4 sách thiết kế và tính toán oto – máy kéo của TS
Nguyễn Hữu Hưởng NXB ĐHQGTPHCM ).
vậy ta chọn đường kính trong và ngoài đĩa ma sát :
D1 = 200 (mm) R1 = 100 (mm)
D2 = 320 (mm) R2 = 160 (mm)
- Bán kính trung bình của đĩa ma sát là :
Rtb =
2
3
.
𝑅2
3−𝑅1
3
𝑅2
2−𝑅1
2 =
2
3
.
16031003
1602−1002 = 132,3 (mm).
2.2.3.Chọn số lượng đĩa bị động (số đôi bề mặt ma sát):
Theo cấu tạo của ly hợp mà momen ma sát mà nó có thể đạt được:
Mc=Fms.Rtb=  .P.i.Rtb (1)
Trong đó:
 :là hệ số ma sát, đối với ly hợp ma sát khô ta chọn  =0,28 ( Theo sách Thiết Kế
và Tính Toán Ôtô – Máy Kéo của TS Nguyễn Hữu Hưởng NXB ĐHQG.HCM )
i: số đôi bề mặt ma sát.
SVTH: Nguyễn Văn Đoài GVHD:Vũ Đình Nam
23
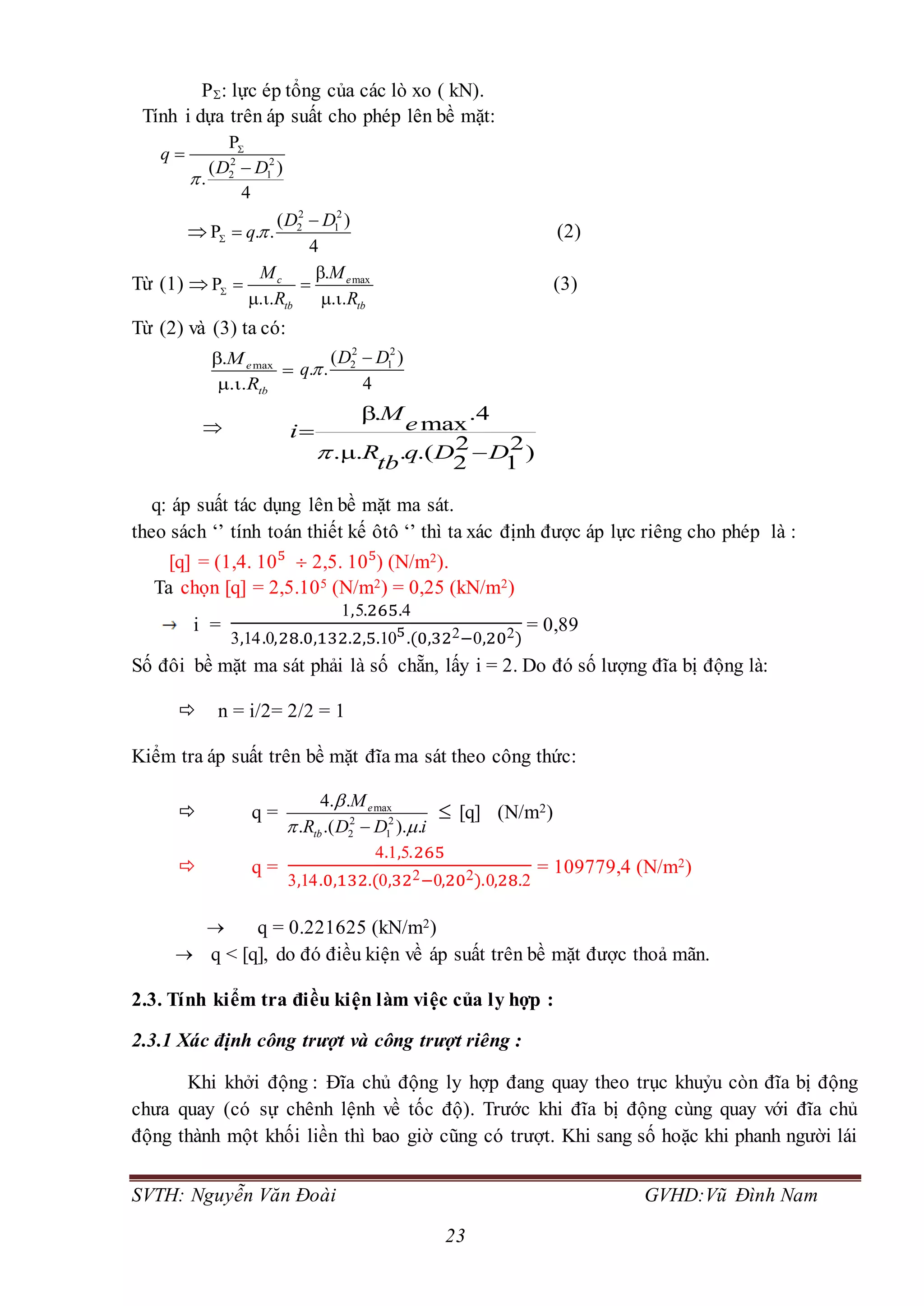
P: lực ép tổng của các lò xo ( kN).
Tính i dựa trên áp suất cho phép lên bề mặt:
2 2
2 1
P
( )
.
4
q
D D





2 2
2 1( )
P . .
4
D D
q

 (2)
Từ (1)  max.
P c e
tb tb
M M
R R


 
 
(3)
Từ (2) và (3) ta có:
max. e
tb
M
R



2 2
2 1( )
. .
4
D D
q


. .4
max
2 2. .( )
2 1
M
ei
R q D D
tb



 
q: áp suất tác dụng lên bề mặt ma sát.
theo sách ‘’ tính toán thiết kế ôtô ‘’ thì ta xác định được áp lực riêng cho phép là :
[q] = (1,4. 105
 2,5. 105
) (N/m2).
Ta chọn [q] = 2,5.105 (N/m2) = 0,25 (kN/m2)
i =
1,5.265.4
3,14.0,28.0,132.2,5.105.(0,322−0,202)
= 0,89
Số đôi bề mặt ma sát phải là số chẵn, lấy i = 2. Do đó số lượng đĩa bị động là:
 n = i/2= 2/2 = 1
Kiểm tra áp suất trên bề mặt đĩa ma sát theo công thức:
 q = max
2 2
2 1
4. .
. .( ). .
e
tb
M
R D D i

 
 [q] (N/m2)
 q =
4.1,5.265
3,14.0,132.(0,322−0,202).0,28.2
= 109779,4 (N/m2)
 q = 0.221625 (kN/m2)
 q < [q], do đó điều kiện về áp suất trên bề mặt được thoả mãn.
2.3. Tính kiểm tra điều kiện làm việc của ly hợp :
2.3.1 Xác định công trượt và công trượt riêng :
Khi khởi động : Đĩa chủ động ly hợp đang quay theo trục khuỷu còn đĩa bị động
chưa quay (có sự chênh lệnh về tốc độ). Trước khi đĩa bị động cùng quay với đĩa chủ
động thành một khối liền thì bao giờ cũng có trượt. Khi sang số hoặc khi phanh người lái
SVTH: Nguyễn Văn Đoài GVHD:Vũ Đình Nam
24
thường mở ly hợp rồi đóng lại thì sự chênh lệch tốc độ giữa đĩa bị động và chủ động bao
giờ cũng sinh ra trượt trước khi chúng quay thành hệ thống liền. Tóm lại cứ một nguyên
nhân nào mà sinh ra độ chênh lệch tốc độ của 2 đĩa kể trên đều sinh ra trượt.
Hiện tượng trượt sinh ra công ma sát, công ma sát biến thành nhiệt làm nung nóng
các chi tiết của ly hợp lên quá nhiệt độ làm việc bình thường và nhất là lò xo có thể bị ủ ở
nhiệt độ cao như vậy có thể làm mất khả năng ép, gây hao mòn nhanh các chi tiết (đĩa ma
sát, đĩa ép...).
Công trượt riêng phụ thuộc vào kết cấu, vật liệu, tải trọng và cả cách điều khiển
của người lái vào bề mặt ma sát ly hợp. Với kết cấu, tải trọng, vật liệu đã có, ta xét công
trượt phụ thuộc vào cách điều khiển.
- Trường hợp đóng ly hợp đột ngột : Tức là động cơ làm việc ở số vòng quay cao
rồi đột ngột thả bàn đạp ly hợp. Trường hợp này thời gian đóng ly hợp nhỏ song xảy ra
tải trọng động rất lớn. Vậy ta không dùng trường hợp này.
Trường hợp đóng ly hợp êm dịu : Để xác định được công trượt lớn nhất thì xét
trường hợp đóng ly hợp êm dịu lúc khởi động
Quá trình này chia làm 2 giai đoạn.
+Tăng mômen ly hợp từ 0 đến Ma (mômen cần chuyển động quy dẫn về trục ly hợp),
khi đó ôtô bắt đầu chuyển động tại chỗ (đặc trưng bằng công trượt L1)
+ Tăng mômen ly hợp tới một giá trị thích hợp mà ly hợp không thể trượt được
nữa (đặc trưng bằng công trượt L2)
Công trượt ở giai đoạn đầu L1 được xác định như sau:
L1 = Ma. 1.
2
tam  
Công trượt ở giai đoạn thứ hai L2 xác định theo công thức sau:
L2 = 2
2
3
2
2
1
).tω.(ωM)ω.(ωJ amaama 
Công trượt được xác định theo công thức sau:
L = L1 + L2 = Ma( am   ).(
3
.2
2
21 tt
 ) +
2
1
Ja( am   )2 (J)
- Trong đó:
Ma là mô men cản chuyển động quy dẫn về trục của ly hợp, được tính theo công
thức:
Ma= [ ( G + Gm ).  + kFv2 ].
𝑟 𝑏𝑥
i0.ih1.
𝑡𝑙
(N.m)
Ở đây:
- G: trọng lượng toàn bộ của ôtô; G = M.g = 2380.9,81 = 23348 (N)
- α – góc dốc, giả thiết α = 0
- Vậy:  = f
SVTH: Nguyễn Văn Đoài GVHD:Vũ Đình Nam
25
- Trong đó: f là hệ số cản lăn của đường. Ta chọn f = 0,03 ( theo sách lý thuyết
ôtô )
α : góc dốc , giả thiết α = 0.
 = f = 0,03
-KFV2: Phần cản của không khí, khi khởi động tại chỗ V = 0
 KFV2 = 0
- i0 : là tỷ số truyền của truyền lực chính. i0 = 4,53.
- ih : là tỷ số truyền của hộp số chính. ih = ih1 = 4,12
- tl : là hiệu suất của hệ thống truyền lực, tl = 0,93
- rbx : bán kinh lăn của bánh xe có tính đến sự biến dạng của lốp.
rbx = .ro
với  = 0,93 là hệ số kể đến biến dạng của lốp và áp suất hơi trong lốp, lấy lốp có áp
suất thấp.
B: Chiều rộng của lớp: B = 265 mm
d: đường kính vành bánh xe; d = 17 inch
ro : là bán kính thiết kế. ta có :
ro =  .( B +
𝑑
2
.25,4) (mm) = 0,93.(265 +
17
2
.25,4) = 447,237 (mm)
vậy : rbx = 0,93.447,237 = 416 (mm) = 0.41 (m)
Do đó :
Ma = (G. + kFv2 ).
rbx
i0.ih.
tl
= (23348.0,03 + 0).
0,41
4,53.4,12.0,93
= 16,54 (N.m)
m : tốc độ góc của động cơ lấy tương ứng với mô men cực đại của động cơ:
m = M.n
30

=
3,14.2400
30
= 251,2 (rad/s)
a : tốc độ góc của trục ly hợp ( rad/s ). a = 0 (vì xe khởi động tại chỗ).
Ja: mô men quán tính của ôtô qui dẫn về trục ly hợp được xác định theo công thức:
Ja=
2
2
0
.
( . )
b
h
G r
g i i
=
23348.0,412
9,81.(4,53.4,12)2 = 1,45 (kg.m.s2 )
t1: thời gian đóng ly hợp giai đoạn đầu, được xác định theo công thức :
t1 =
Ma
𝐾
t2: thời gian đóng ly hợp ở giai đoạn hai, được xác định theo công thức:
t2=
K
A
SVTH: Nguyễn Văn Đoài GVHD:Vũ Đình Nam
26
trong đó :
K là hệ số tỷ lệ đến nhịp độ tăng mômen M1 khi đóng ly hợp ta chọn K = 200 N.m/s
A : là biểu thức rút gọn được tính theo công thức sau :
 a m aA 2.J    = √2.1,45.251,2 = 26,99
Vậy : t1 =
16,54
200
= 0,0827(s)
t2 =
26,99
√200
= 1,91 (s)
Nên: t0 = t1 + t2 = 0,0827 + 1,91 = 1,9927 (s)
Tóm lại ta có :
Ma = 16,54 (N.m) Ja = 1,45 (kg.m.s2)
m = 251,2 (rad/s) t1 = 0,0827 (s)
a = 0 t2 = 1,91 (s)
Thay vào ta được :
L1 = 171,8 (J).
L2 = 51039 (J)
Vậy công trượt tổng cộng: L = L1 + L2 = 171,8 + 51039 = 51211 (J)
b) Xác định công trượt riêng :
Để đánh giá độ hao mòn của đĩa ma sát, ta phải xác định công trượt riêng theo công thức:
l0=
iF
L
.
 [l0]
Trong đó:
F: là diện tích bề mặt ma sát của đĩa bị động,
F = 3,14.( 𝑅2
2
- 𝑅1
2
) = 3,14.( 0,1602 – 0,102 ) = 0,049 (m2)
R1 , R2 : là bán kính trong va ngoài của đĩa bị động.
i: số đôi bề mặt ma sát, i = 2.
Do đó : lo =
51211
0,049 .2
= 522561 ( J /m2) = 522,5 (KJ/m2)
Với ôtô con với thì : [ l0 ] ≤ ( 1000 ÷ 1200) (KJ/m2
) ( theo sách TTTK ôtô
trường ĐHSPKT Hưng Yên trang 71 )
So sánh ta thấy lo thỏa mãn.
2.3.2.Kiểm tra theo nhiệt độ các chi tiết :
Việc tính toán nhiệt trên đĩa ép được thực hiện nhằm kiểm tra mức gia tăng nhiệt độ
trung bình trên đĩa sau một lần đóng ly hợp khi khởi động ô tô tại chỗ. Trong khi tính
toán giả thiết rằng toàn bộ nhiệt lượng sinh ra trong quá trình trượt ly hợp được chuyển
SVTH: Nguyễn Văn Đoài GVHD:Vũ Đình Nam
27
thành nhiệt nung nóng đĩa ép (bỏ qua nhiệt lượng truyền vào môi trường xung quanh).
Mức gia tăng nhiệt độ được tính theo công thức:
T =
tmC
L
.
.
 [ T ]
Trong đó:
C: Tỷ nhiệt của chi tiết bị nung nóng, đối với gang C = 481,5 (J/kg0)
mt: khối lượng chi tiết bị nung nóng. (kg)
 : hệ số xác định phần công trượt dùng nung nóng chi tiết cần tính đối với đĩa ép
ngoài.
 = n
2
1
Với n: là số lượng đĩa bị động, n = 1

2
1

Ta có T  [ T ] = 15oK ( theo sách thiết kế và tính toán ôtô - máy kéo của TS
Nguyễn Hưu Hưởng NXB ĐHQG.HCM )
Ta có :
mt ≥
.𝐿
10.𝐶
=
0,5.511211
10.481,5
= 5,32 (kg)
mt : Khối lượng chi tiết bị nung nóng (đĩa ép) lấy tham khảo mt = 6 kg.
Vậy : T =
0,5.51211
4.481,5
= 8,86(oK)
T  [ T ] = 15o (oK)
Vâỵ T thỏa mãn điều kiện cho phép về sự gia tăng nhiệt độ.
2.4.Tính toán sức bền một số chi tiết chủ yếu của ly hợp :
2.4.1. Tính sức bền đinh tán đĩa bị động :
Để giảm kích thước của ly hợp, khi ly hợp làm việc trong điều kiện ma sát khô, vật
liệu có ma sát cao. Đĩa bị động gồm các tấm ma sát và xương đĩa. Xương đĩa thường chế
tạo bằng thép các bon trung bình và cao( thép 50 và 80). Vật liệu của xương đĩa là
Phêrađo Đồng.
Chiều dày xương đĩa thường: chọn bằng 2 mm.
Chiều dày tấm ma sát thường chọn bằng 4,5 mm.
Chiều dày tấm ma sát và xương đĩa được chọn theo bảng 1.4 sách thiết kế và tính
toán ôtô - máy kéo của TS Nguyễn Hữu Hưởng NXB ĐHQG.HCM.
Tấm ma sát được gắn với xương đĩa bị động bằng đinh tán. Vật liệu đinh tán bằng
đồng có đường kính d=5 mm. ( theo sách thiết kế và tính toán ôtô của TS Nguyễn Hữu
Hưởng NXB ĐHQG.HCM ).
SVTH: Nguyễn Văn Đoài GVHD:Vũ Đình Nam
28
Ta bố trí đinh tán trên đĩa theo 2 dãy, tương ứng với các bán kính vòng trong là r1 và
vòng ngoài r2.
Chọn r1 = 115 ( mm) ; r2 = 140( mm)
Lực tác dụng lên mỗi đinh tán được xác định như sau:
F1 =
)(2
.
2
2
2
1
1max
rr
rMe

=
397,5.0,115
2.(0,1152+0,142 )
= 701,5 (N)
F2 = max 2
2 2 2 2
1 2
. 397,5.0,14
818,4
2( ) 2(0,115 0,14 )
eM r
r r
 
 
(N)
Đinh tán được kiểm tra theo ứng suất cắt và chèn dập. Khi tính F1 và F2 ta lấy chế độ tải
trọng là Memax vì trong thực tế Memax luôn nhỏ hơn M ( M là mô men tính theo bám từ
đường lên).
Ứng suất cắt và chèn đập đối với đinh tánđược tính theo công thức :
Ứng suất cắt và chèn dập đối với đinh tán ở vòng trong:
1c =
4
. 2
1
1
d
n
F

 [ c ] N/m2 ; 1cd =
dln
F
..1
1
 [ cd ] N/m2
Trong đó:
c : ứng suất cắt của đinh tán.
cd : ứng suất chèn dập của đinh tán.
n1: số đinh tán bố trí trên vòng trong.(ngoài) Chọn n1 = 8 ; n2 = 10
F: lực tác dụng lên dãy đinh tán vòng trong.
d: đường kính đinh tán.
r1
r2
SVTH: Nguyễn Văn Đoài GVHD:Vũ Đình Nam
29
l: chiều dài chèn dập của đinh tán, bằng khoảng 1/2 chiều dầy tấm ma sát nên
ta có:
l = 4/2 = 2 (mm) = 0,002( m)
Kiểm tra đinh tán ở vòng trong
1c =
701,5
8.3,14.0,005
2
4
= 4,4.106 (N/m2) = 4,4 (MN/m2)
1cd =
701,5
8.0,002.0,005
= 8,76.106 (N/m2) = 8,76 (MN/m2)
Ø320
Ø200
Ø 280
Ø 230
Ø5
Hình 2.1 .Sơ đồ bốn trí đinh tán trên đĩa ly hợp
Ứng suất cắt và chèn dập đối với đinh tán ở vòng ngoài:
Chọn n2 = 12 tương tự như trên ta cú :
2c =
818,4
10.
3,14.0,0052
4
= 4,2.106 (N/m2) = 4,2 (MN/m2)
2cd =
818,4
10.0,002.0,005
= 8,2.106 (N/m2) = 8,2 ( MN/m2 )
Ứng suất cho phép của vật liệu làm đinh tán là:
[ c ] = 30 (MN/m2); [ cd ] = 80 (MN/m2) ( Theo sách Thiết Kế và Tính Toán Ôtô –
trường ĐHSPKT Hưng Yên )
Nên các đinh tán đảm bảo độ bền cho phép.
SVTH: Nguyễn Văn Đoài GVHD:Vũ Đình Nam
30
2.4.2 Tính toán bền lò xo ép của ly hợp :
Ta dùng lò xo ép là loại lò xo trụ đặt xung quanh.
Vật liệu chế tạo lò xo ép là thép 60C2 có ứng suất cho phép là:
[ ] = (5000  7000) kG/cm2 = ( 490,5.106 ÷ 686,7.106 ) N/m2
Lực cực đại tác dụng lên mỗi lò xo ép cho phép trong khoảng: Plx 100 kG
Số lượng lò xo là Z = 12.
Sơ đồ tính lò xo ép:
Hình 2.3. Sơ đồ lò xo ép của ly hợp
Khi ly hợp đóng ta cú lực tỏc dụng lờn lũ xo la Plx và biến dạng một lượng là l chiều dài
của nó là : L1
Khi mở ly hợp ta có lực ép lên lò xo là P’lx và lò xo biến dạng một đoạn là l’, chiều dài
của lò xo lúc này là L2
Số lượng lò xo ép được chọn theo đường kính ngoài của đĩa bị động.Ta chọn số lò xo
là 12.
Tổng lực ép trên tất cả các lò xo khi ly hợp làm việc được xác định theo công thức:
P  =
Me
µ.Rtb.i
=
β.Memax
µ.Rtb.i
=
1,5.265
0,32.0,132.2
= 4705 (N)
Khi mở ly hợp lò xo lại biến dạng thêm một đoạn l và tương ứng với lực ép :
P’ = 1,2.P  = 1,2.4705 = 5464 (N)
- Tính đường kính dây lò xo:
d = √
𝐷.𝑃𝑙𝑥
′
𝑑.0,4.[ 𝑥]
Bảng giá trị của tỷ số D/d và K
D
d
7 6 5 4 3
K 1,2 1,25 1,3 1,4 1,6
với D/d = C, ta chọn C =6
D: là đường kính trung bình của vòng lò xo.
SVTH: Nguyễn Văn Đoài GVHD:Vũ Đình Nam
31
d: là đường kính dây lò xo.
P’lx: là lực ép của một lò xo khi mở ly hợp
P’lx= '
/P Z =
5646
12
= 470,5 (N)
Khi đó ta có:
d = √
470,5.6
0,4.80.107 = 2,97.10-3 (m) = 2,97 (mm)
ta lấy d = 4 (mm)
Khi đó đường kính trung bình của vòng lò xo:
D = C.d = 6.4 = 24 (mm).
- Tính số vòng làm việc của lò xo:
c =
4 10 4
3 3
' 0,2 . 7,8.10 .0,004
90278
8. . 8.2.0,024
lx lx lxP P P G d
l l l i D

   
 
 no=
4
3
.
8. .
G d
c D
G : là mô đun đàn hồi dịch chuyển, G=7,8.1010 (N/m2).
no: là số vòng làm việc của lò xo.
no =
7,8.1010(0,004)4
8.90278.0.0243
= 2,01 vòng. Ta lấy no = 3 vòng
Vậy số vòng toàn bộ của lò xo là: n = 2 + no = 2 + 3 = 5 (vòng).
-Tính chiều dài toàn bộ của lò xo ở trạng thái tự do:
L=(no+2).d+1(no+1)+l
Với:
1 : là khe hở cực tiểu giữa các vòng lò xo khi mở ly hợp, chọn 1=1(mm).
l: là độ biến dạng thêm của lò xo khi mở ly hợp:
l=0,2.P’lx/c
l = 0,2.
470,5
90278
= 1,1.10-3 (m) = 1,1 (mm)
Chiều dài toàn bộ của lò xo là:
L = (3+2).4 + 1.(3+1) + 1,1 = 25,1 mm.
- Tính bền lò xo theo ứng suất xoắn
- ][
.
...8
3
'


 
d
kDP lx
N/m2
- Trong đó:
-  : là ứng suất sinh ra khi lò xo làm việc ứng với trường hợp mở ly hợp.
- k: hệ số tập trung ứng suất.,
- Theo bảng 8 sách Hướng dẫn thiết kế hệ thống ly hợp.
D
d
7 6 5 4 3
K 1,2 1,25 1,3 1,4 1,6
SVTH: Nguyễn Văn Đoài GVHD:Vũ Đình Nam
32
-
- Với C=6, ta chọn k=1,25. Vật liệu chế tạo lò xo là thép cacbon cao, có ứng
suất xoắn cho phép: [ ]=(50.10780.107)N/m2
- Khi đó:
-  =
8.470,5.0,024.1,25
3,14.0,0043
= 11,3.107 ( N/m)
- Vậy lò xo ép đảm bảo điều kiện bền.
2.3.3. Tính bền trục ly hợp:
Tính tỉ số truyền ở tay số 1
ih1= 4,12
Tỷ số truyền của truyền lực chính được tính.
0 4,53i 
* Tính khoảng cách trục A của cỏc trục của hốp số
Theo công thức sau:
A = a. 3
maxeM
Ka: hệ số kinh nghiệm
Đối với hộp số xe du lịch: a =14,5 - 16
Đối với hộp số ô tô tải sử dụng động cơ xăng: a = 17 - 19,5
Đối với hộp số ô tô tải sử dụng động cơ diezel : a = 20,5 - 21,5
Đối với hộp số phụ và hộp số phân phối: a= 17 - 21,5
Chọn : a= 15
A = 15. 3
265 = 99,52 (mm)
* Chọn mô đun pháp tuyến cho bánh răng luôn ăn khớp:
Việc chọn mô đun răng còn thống nhất đối với các bánh răng trong cùng hộp số để
đơn giản công nghệ chế tạo và sửa chữa. Để giảm trọng lượng hộp số khi có cùng khoảng
cách trục, nên tăng mô đun và giảm chiều rộng vành răng.
Mô đun pháp tuyến của vành răng có thể chọn theo tiêu chuẩn hoặc theo bảng.
Mô đun pháp tuyến mn các bánh răng hộp số ô tô theo môđun động cơ.
Mô men xoắn lớn nhất của động cơ Memax,
Nm
Mô đun pháp tuyến của bánh răng hộp số
mn, mm
50 – 100
100 - 200
200 - 400
2,25 - 2,50
2,75 - 3,00
3,00 - 3,75
SVTH: Nguyễn Văn Đoài GVHD:Vũ Đình Nam
33
400 - 800
800 – 1000
3,75 - 4,50
4,50 - 6,00
Dựa vào bảng trên ta có thể chọn sơ bộ mô đun của bánh răng dựa vào mô men
xoắn lớn nhất của động cơ ở đây là Memax= 265 Nm nên chọn mn=3
Hoặc có thể chọn theo công thức sau:
)1.(
cos..2


iz
A
m
a

Trong đó :
az là số răng của bánh răng chủ động.
i là tỷ số truyền của cặp bánh răng tính toán.
 là góc nghiêng của răng.
Trong trường hợp này số bánh răng chủ động za trong cặp bánh răng luôn luôn ăn
khớp được chọn theo điều kiện không bị cắt đỉnh với số răng từ 17 trở lên, đối với răng
không dịch chỉnh là từ 14 răng trở lên đối với răng có dịch chỉnh.
m =
)1.(
cos..2
aiZa
A 
 Za =
)1.(
cos..2
an im
A 
=
2.96,35.cos
3.( 1)ai


Sau khi biết A, mn và za có thể xác định tỷ số truyền của cặp bánh răng luôn luôn ăn
khớp theo công thức


zm
A
i
n
a
cos2
 -1
Trong đó:
ia – tỷ số truyền của cặp bánh răng luôn ăn khớp, đối với các hộp số ô tô hiện nay
thường có giá trị ia = 1,6 - 2,5.
 – góc nghiêng răng của căp bánh răng luôn ăn khớp, góc đươc gọi là góc trung
bình:
Đối vói ô tô du lịch :  = 30 - 450
Đối với ô tô vận tải :  = 20 - 300
Số răng z’
a bánh răng bị động của cặp bánh răng luôn ăn khớp xác định theo :
z’
a = za.ia
Chọn  = 300
Za = 22
mn = 3
Ta có:
0
2.99,52.cos30
1 1,62
22.3
ai    ; thoả mãn điều kiện ia = 1,6  2,5
Số răng
'
aZ = aZ .ia = 22.1,62 = 35,64 (răng).chọn
'
aZ =37 răng
Tính chính xác khoảng cách trục A:
SVTH: Nguyễn Văn Đoài GVHD:Vũ Đình Nam
34
A =
'
0 0
.( ) 3.(22 37)
102, 2( )
2.cos30 2.cos30
n am Za Z
mm
 
 
Trục ly hợp cũng là trục sơ cấp hộp số. Đầu trước của trục gối lên ở bi trong bánh
đà, đầu sau lắp ổ bi thành vỏ hộp số. Đầu cuối trục có lắp bánh răng nghiêng liền trục
luôn ăn khớp với bánh răng trung gian của hộp số.
Sơ đồ các lực tác động lên trục ly hợp.
Trong đó:
Trục I: Là trục ly hợp, đồng thời là trục sơ cấp hộp số ở cuối của trục có lắp liện
bánh răng nghiêng và được khoét rộng lỗ ở tâm để lắp ở bi kim đỡ đầu trục số III.
Trục II: Là trục trung gian của hộp số, 2 đầu trục được đỡ bởi hai ổ bi trụ lắp trên
vỏ hộp số.
Trục III: Là trục thứ cấp của hộp số, một đầu được tỳ lên ổ bi kim ở trong trục so
cấp, một đầu được tỳ lên ổ bi lắp trên thân hộp số.
Để kiểm nghiệm trục ta chọn chế độ mômen lớn nhất và hộp số để ở tay số 1.
Trục I: MI = Memax = 265(Nm)
Trục II: MII = MI. ia = MI. ai 265.1,62 429,3(Nm) 
Trục III: MIII = MII. ih1 = MII. h1i 429,3.4,12 1768,72(Nm) 
* Các bước tính:
+ Bước 1: Tính toán các lực trên bánh răng trục số I và trục số III
+ Bước 2: Xác định phản lực lên trục cá gối đỡ trục I và trục số III.
+ Bước 3: Kiểm tra bền trục số I (Trục ly hợp).
RAY
RAX
A
RBY
RBX
Pa1
PV1
Pr1
B C
III
II
D
PV4
Pr4
I
SVTH: Nguyễn Văn Đoài GVHD:Vũ Đình Nam
35
a. Bước 1: Tính toán các lực trên bánh răng trục số I và trục số III.
Công thức tính lực tác dụng lên các cặp bánh răng.
Stt Tên gọi Kí hiệu Bánh răng thẳng Bánh răng nghiêng
1 Lực vòng PV
mZ
t
M
.
.2
vP
s
mZ
t
M
.
.2
vP
2 Lực hướng tâm Pr Pr = Pv.tg


cos
.
tg
vPrP
3 Lực dọc trục Pa Pa = 0 Pa = Pv.tg
Trong đó:
- Z: Là số răng của bánh răng đang tính.
- Mt: Mô men tính toán trên các trục hộp số
- ms: Mô đun mặt đầu (bảng thông số hình học của bánh răng).
- : Góc prôfin gốc (bảng thông số hình học của bánh răng).
- : Góc nghiêng của răng (bảng thông số hình học của bánh răng).
Trục số I.
Bánh răng trên trục số I là bánh răng nghiêng có:
Mô đun mặt đầu
3
3,46
cos cos30
m
nms 
  

mm
Đường kính vòng chia
d1 = ms. Za =3,46.22=76,12 (mm) = 0,076(m )
d1’ = ms. Za’ = 3,46.37=128 (mm) = 0,128 (m)
I B
Pr1
PV1
Pa1
A
SVTH: Nguyễn Văn Đoài GVHD:Vũ Đình Nam
36
- Góc nghiêng của răng:  = 300
- Góc ăn khớp :  = 200.
- Mô đun pháp tuyến: mn=3
- Số răng: Za=22
Khi đó:
Lực vòng:
Pv1 = I
1
2M 2.265
6973,68(N)
d 0,076
 
Lực hướng tâm:
Pr1 =  
0
V1
0
P .tg 6973,68.tg20
2931 N
cos cos30

 

Lực dọc trục :
Pa1 = PV1.tg = 6973,68.tg300 = 4026,26(N)
Trục số III :
Bánh răng trên trục III là bánh răng thẳng có đường kính vòng lăn
d4 = m.Z4 = 53.3 = 159(mm) =0,159 (m)
Góc ăn khớp:  = 200.
Với: Z4=53
m=3: là mô đun pháp tuyến.
Khi đó: Lực vòng Pv4=
4
2 2.1768,72
22248
. 3.0,053
IIIM
N
Z m
 
Lực hướng tâm: Pr4 = PV4.tg =22248.tg200 = 8097,63 N
b. Bước 2 : Xác định phản lực lên trục các gối đỡ trục I và trục số III.
Pr4
PV4
D
III
C
SVTH: Nguyễn Văn Đoài GVHD:Vũ Đình Nam
37
Trục III :
RCY
RCX
Pv4
C
80320
D
Pr4
Ta lấy:
MDX = 0  RCX (320 + 80) = PV4.80
 RCX =
22248.80
320 80
= 4449,6 (N)
Ta lấy:
DyM = 0  RCY = 4.60
320 80
rP

RCY =
8097,63 .80
320 80
= 1619,52 (N)
Trục số I:
RAY
RAX
RBXA
240
D
PV1
RBY
50
60
Pr1
Pa1
RCX
B
RCY
I
Ta lấy:
MBx = 0  RAx .240 = (RCX + PV1).50
SVTH: Nguyễn Văn Đoài GVHD:Vũ Đình Nam
38
 RAx =
 4449,6 6973,68 .50
240

= 2379,85 (N)
 MBy = 0  RAY.240 - Pa1.
128
2
+ (RCY + Pr1).50 = 0
RAY.240 = Pa1.64 – (RCY + Pr1).50
 RAY =
 a1. CY r1P 64 – R P .50
240

=
4026,26.64 (1619,52 2931 ).50
240
 
= 125,64 (N)
Vậy RAY có chiều như chiều hình vẽ.
RY = 0  Pr1 + RCY - RAy = RBy
 RBy = 2931+ 1619,52 - 126,64= 4423,88 (N)
RX = 0  RAX + RCX + PV1 = RBX
 RBX = 27379,85 + 4449,6 + 6973,68 = 38803,13 (N).
Nhắc lại các lực tác dụng lên trục I:
PV1 =6973,68 (N) RAx = 2379,85 (N)
Pr1 =2931 (N) RAy = 125,64 (N)
Pa1 =4026,26 (N) RBx = 38803,13 (N)
RCx =4449,6 (N) RBy = 4423,88 (N)
RCy = 1619,52 (N)
c. Bước 3: Kiểm tra bền trục số I (trục ly hợp) .
*Xác định moment uốn Mux:
- Tại B:
+ Xét từ trái sang phải:
𝑀 𝐵
𝑥
= 0,240. 𝑅 𝐴𝑌 = 30,15 (𝑁. 𝑚)
- Tại C:
+ Xét từ phải sang trái:
𝑀𝐶
𝑥
= − 𝑃𝑎1.
𝑑
2
= 4026,26.
0,128
2
= 257,68( 𝑁. 𝑚)
*Xác định moment uốn tại Muy:
+ Xét từ trái sang phải:
𝑀 𝐵
𝑦
= −0,240. 𝑅 𝐴𝑋 = 571,16(𝑁. 𝑚)
*Xác định moment xoắn Mx = Memax mô men xoắn cực đại của động cơ
Mx = Memax= 256 Nm
SVTH: Nguyễn Văn Đoài GVHD:Vũ Đình Nam
39
Từ biểu đồ mômen trên người ta xác định được một trục bền đều thoả mãn.
d 
2 2 2
uxi uyi xi
3
th
M M M
0,1[ ]
 

(Theo thuyết bền ứng suất tiếp lớn nhất)
Song ở đây ta đã có sẵn trục với các tiết diện được cho là thay đổi hợp lý
(bền đều). Nên ta đi kiểm nghiệm bền tại một mặt cắt nguy hiểm nhất.
Tại B.
uxM 30,15Nm
uyM 571,16Nm
xM 265Nm
SVTH: Nguyễn Văn Đoài GVHD:Vũ Đình Nam
40
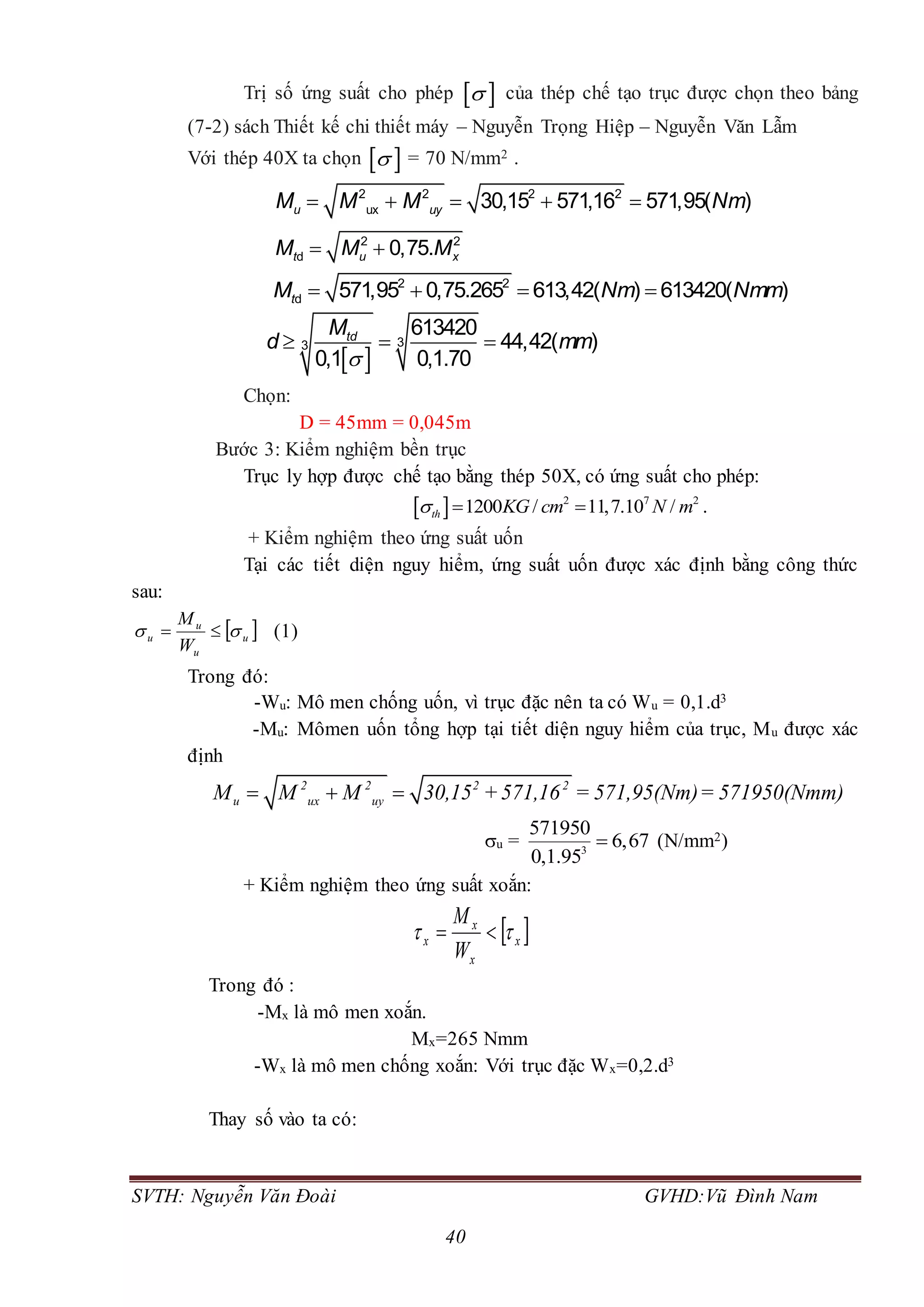
Trị số ứng suất cho phép   của thép chế tạo trục được chọn theo bảng
(7-2) sách Thiết kế chi thiết máy – Nguyễn Trọng Hiệp – Nguyễn Văn Lẫm
Với thép 40X ta chọn   = 70 N/mm2 .
    2 2 2 2
ux 30,15 571,16 571,95( )u uyM M M Nm
2 2
d 0,75.t u xM M M 
   2 2
d 571,95 0,75.265 613,42( ) 613420( )tM Nm Nmm
 
  33
613420
44,42( )
0,1 0,1.70
tdM
d mm
Chọn:
D = 45mm = 0,045m
Bước 3: Kiểm nghiệm bền trục
Trục ly hợp được chế tạo bằng thép 50X, có ứng suất cho phép:
  2 7 2
1200 / 11,7.10 /th KG cm N m   .
+ Kiểm nghiệm theo ứng suất uốn
Tại các tiết diện nguy hiểm, ứng suất uốn được xác định bằng công thức
sau:
 u
u
u
u
W
M
  (1)
Trong đó:
-Wu: Mô men chống uốn, vì trục đặc nên ta có Wu = 0,1.d3
-Mu: Mômen uốn tổng hợp tại tiết diện nguy hiểm của trục, Mu được xác
định
2 2 2 2
u ux uyM M M 30,15 +571,16 = 571,95(Nm)= 571950(Nmm)  
u = 3
571950
6,67
0,1.95
 (N/mm2)
+ Kiểm nghiệm theo ứng suất xoắn:
 x
x
x
x
W
M
 
Trong đó :
-Mx là mô men xoắn.
Mx=265 Nmm
-Wx là mô men chống xoắn: Với trục đặc Wx=0,2.d3
Thay số vào ta có:
SVTH: Nguyễn Văn Đoài GVHD:Vũ Đình Nam
41
Wx = 0,2.953 = 171475 mm3
Vậy ứng suất xoắn:
2265
0,0015 /
171475
x N mm  
Vậy ứng suất uốn và xoắn tổng hợp được tính bằng công thức:
][2.42
thxuth
  = 2 2 2
6,67 4.0,0015 6,67 /N mm 
th
 = 6,67.106 (N/m2 ) [ ]th
Vậy trục đủ độ bền cho phép.
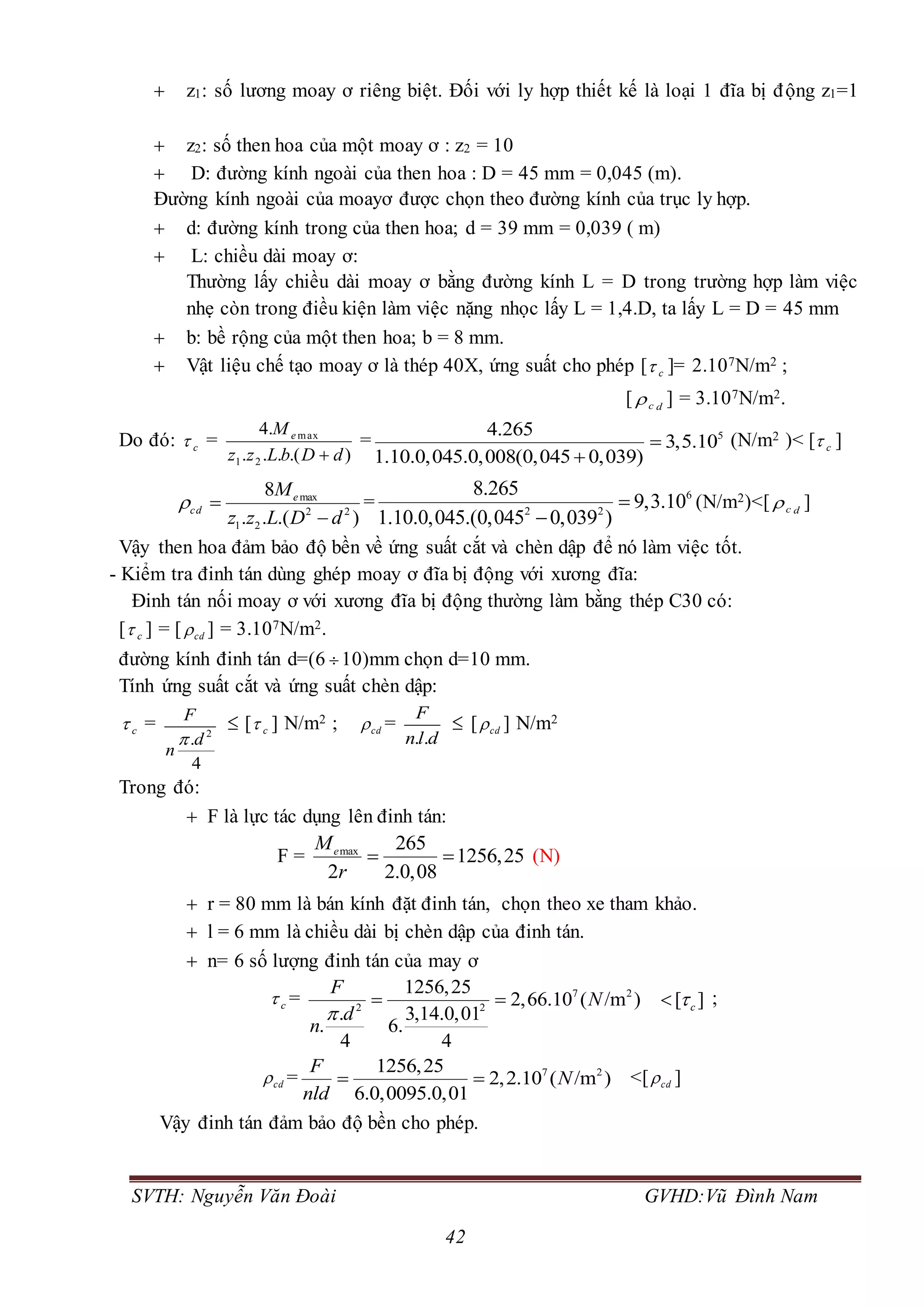
2.3.4. Tính bền moay ơ đĩa bị động:
Chiều dài moay ơ đĩa bị động được chọn tương đối lớn để giảm độ đảo của đĩa
bị động, moay ơ được ghép với xương đĩa bị động bằng đinh tán và lắp với trục ly hợp
bằng then hoa.
Chiều dài moay ơ thường chọn bằng đường kính ngoài của then hoa trục ly hợp. Khi điều
kiện làm việc nặng nhọc ta chọn L=1,4D ( D là đường kính ngoài của then hoa trục ly hợp).
Điều kiện làm việc không nặng nhọc ta chọn L=D.
Ở ly hợp hai đĩa bị động thì chiều dài mỗi moay ơ riêng biệt phải giảm nhiều.
Khi làm việc then hoa của moay ơ chịu ứng suất chèn dập và cắt được xác định theo
công thức
c = ][
).(...
.4
21
max
c
e
dDbLzz
M


;
][
).(..
8
22
21
max
cd
e
dc
dDLzz
M
 

 .
Trong đó:
 Memax: là mô men cực đại của động cơ; Memax = 265 (N.m)
L
D
d
SVTH: Nguyễn Văn Đoài GVHD:Vũ Đình Nam
42
 z1: số lương moay ơ riêng biệt. Đối với ly hợp thiết kế là loại 1 đĩa bị động z1=1
 z2: số then hoa của một moay ơ : z2 = 10
 D: đường kính ngoài của then hoa : D = 45 mm = 0,045 (m).
Đường kính ngoài của moayơ được chọn theo đường kính của trục ly hợp.
 d: đường kính trong của then hoa; d = 39 mm = 0,039 ( m)
 L: chiều dài moay ơ:
Thường lấy chiều dài moay ơ bằng đường kính L = D trong trường hợp làm việc
nhẹ còn trong điều kiện làm việc nặng nhọc lấy L = 1,4.D, ta lấy L = D = 45 mm
 b: bề rộng của một then hoa; b = 8 mm.
 Vật liệu chế tạo moay ơ là thép 40X, ứng suất cho phép [ c ]= 2.107N/m2 ;
[ dc ] = 3.107N/m2.
Do đó: c =
).(...
.4
21
max
dDbLzz
M e

= 54.265
3,5.10
1.10.0,045.0,008(0,045 0,039)


(N/m2 )< [ c ]
max
2 2
1 2
8
. . .( )
e
cd
M
z z L D d
 

= 6
2 2
8.265
9,3.10
1.10.0,045.(0,045 0,039 )


(N/m2)<[ dc ]
Vậy then hoa đảm bảo độ bền về ứng suất cắt và chèn dập để nó làm việc tốt.
- Kiểm tra đinh tán dùng ghép moay ơ đĩa bị động với xương đĩa:
Đinh tán nối moay ơ với xương đĩa bị động thường làm bằng thép C30 có:
[ c ] = [ cd ] = 3.107N/m2.
đường kính đinh tán d=(6 10)mm chọn d=10 mm.
Tính ứng suất cắt và ứng suất chèn dập:
c = 2
.
4
F
d
n

 [ c ] N/m2 ; cd =
. .
F
n l d
 [ cd ] N/m2
Trong đó:
 F là lực tác dụng lên đinh tán:
F = max 265
1256,25
2 2.0,08
eM
r
  (N)
 r = 80 mm là bán kính đặt đinh tán, chọn theo xe tham khảo.
 l = 6 mm là chiều dài bị chèn dập của đinh tán.
 n= 6 số lượng đinh tán của may ơ
c = 7 2
2 2
1256,25
2,66.10 ( /m ) [ ]
. 3,14.0,01
. 6.
4 4
c
F
N
d
n


   ;
cd = 7 21256,25
2,2.10 ( /m )
6.0,0095.0,01
F
N
nld
  <[ cd ]
Vậy đinh tán đảm bảo độ bền cho phép.
SVTH: Nguyễn Văn Đoài GVHD:Vũ Đình Nam
43
BẢNG THÔNG SỐ
Chi tiết Thông số Giá trị
Đĩa ma sát
Đường kính trong D1 = 200 mm
Đường kính ngoài D2 = 320 mm
Đinh tán đĩa bị động
Đường kính đinh tán d=5mm
Bán kính vòng trong đặt đinh r1 =115 mm
Bán kính vòng ngoài đặt đinh r2 = 140 mm
SVTH: Nguyễn Văn Đoài GVHD:Vũ Đình Nam
44
Số lượng đinh tán vòng trong n1 = 8
Số lượng đinh tán vòng ngoài n2 = 10
Xương đĩa ma sát Chiều dày 2 mm.
Tấm ma sát Chiều dày 4,5 mm.
Lò xo ép
Số lượng Z = 12
số vòng toàn bộ của lò xo 5 vòng
Chiều dài toàn bộ của lò xo 25,1 mm
Trục ly hợp Đường kính D=45 mm
Moay ơ
Đường kính ngoài then hoa D=45 mm
Đường kính trong then hoa d=39 mm
Chiều rộng moay ơ L=45 mm
Bề rộng then hoa B=8mm
Số lượng then hoa Z=10
Đinh tán nối xương đĩa
với moay ơ
Đường kính đinh tán D=10
Bán kính đặt đinh tán r=80
Số lượng đinh tán n=6
KẾT LUẬN
Sau khi nhận đề tài’ đồ án môn học’ em đã xác định rõ nhiệm vụ và trách nhiệm của
mình với đề tài được giao. Qua việc nghiên cứu đề tài, tham khảo tài liệu cộng với kiến thức
đã học và rèn luyện tại trường ĐHSPKT Hưng Yên.
Bên cạnh sự hướng dẫn nhiệt tình của thầy Vũ Đình Nam. Sự giúp đỡ của bạn bè và sự
lỗ lực của bản thân. Đến nay đề tài của em đã hoàn thành.
Trong quá trình thực hiện đề tài, em có cố gắng trình bày một cách ngắn gọn, rõ ràng để
hiểu và có hệ thống nhằm quý bạn đọc thuận lợi trong quá trình tham khảo nhưng do lần đầu
làm Đồ án, một phương pháp nghiên cứu khoa học mới mẻ, chắc chắn không tránh khỏi
SVTH: Nguyễn Văn Đoài GVHD:Vũ Đình Nam
45
những sai sót. Vậy em rất mong thầy và các bạn đọc đóng góp ý kiến để bài làm của em
được hoàn thiện hơn.
Hưng yên, ngày … tháng… năm 2013.
Sinh Viên
Nguyễn Văn Đoài
TÀI LIỆU THAM KHẢO
1. Bài giảng Tính toán thiết kế ôtô (TL1)
2. Hướng dẫn thiết kế ô tô: (Phần truyền lực trên ôtô). (TL2)
Ths. Lê Văn Tụy - Khoa Cơ khí Giao thông
Trường Đại học Bách khoa - ĐHĐN
3. Lý Thuyết ôtô máy kéo (TL3)
4. Bài giảng Cấu tạo ô tô
SVTH: Nguyễn Văn Đoài GVHD:Vũ Đình Nam
46
GV Đồng Minh Tuấn

Đề tài: Thiết kế cụm ly hợp cho ô tô 7 chỗ, HAY, 9đ

  • 1.
    SVTH: Nguyễn VănĐoài GVHD:Vũ Đình Nam 1 NHẬN XÉT CỦA GIÁO VIÊN HƯỚNG DẪN …………………………………………………………………………………………… …………………………………………………………………………………………… …………………………………………………………………………………………… …………………………………………………………………………………………… …………………………………………………………………………………………… …………………………………………………………………………………………… …………………………………………………………………………………………… …………………………………………………………………………………………… …………………………………………………………………………………………… …………………………………………………………………………………………… …………………………………………………………………………………………… …………………………………………………………………………………………… …………………………………………………………………………………………… …………………………………………………………………………………………… …………………………………………………………………………………………… …………………………………………………………………………………………… …………………………………………………………………………………………… …………………………………………………………………………………………… …………………………………………………………………………………………… …………………………………………………………………………………………… …………………………………………………………………………………………… …………………………………………………………………………………………… …………………………………………………………………………………………… …………………………………………………………………………………………… …………………………………………………………………………………………… …………………………………………………………………………………………… …………………………………………………………………………………………… …………………………………………………..………………………………………… …………………………………………………………………………………………… …………………………………………………………………………………………… ………………………………………………..…………………………………………… …………………………………………………………………………………………… …………………………………………………………………………………………… …………………………………………………………………………………………… …………………………………………………………………………………………… ……..……………………………………………………
  • 2.
    SVTH: Nguyễn VănĐoài GVHD:Vũ Đình Nam 2 MỤC LỤC Phần 1: TỔNG QUAN VỀ LY HỢP ......................................................................................... 4 1.1. Công dụng, phân loại, yêu cầu:.................................... 4 1.2. Sơ đồ cấu tạo và nguyên lý hoạt động của ly hợp: ....................... 6 1.2.1. Ly hợp ma sát khô một đĩa bị động lò xo ép hình trụ bố trí xung quanh: ...... 6 1.2.2. Ly hợp ma sát khô hai đĩa bị động lò xo ép hình trụ bố trí xung quanh :....... 7 1.2.3. Ly hợp thuỷ lực: ............................................ 8 1.2.4. Ly hợp điện từ............................................. 10 1.3 LỰA CHỌN PHƯƠNG ÁN DẪN ĐỘNG. .....................................................................11 1.3.1.Dẫn động cơ khí : ........................................... 12 1.3.2. Dẫn động cơ khí có trợ lực khí nén : .............................. 13 1.3.3.Dẫn động thủy lực :.......................................... 14 1.3.4. Dẫn động thủy lực có trợ lực chân không: .......................... 15 1.3.5. Kết luận:................................................. 16 1.4, PHƯƠNG ÁN CHỌN LOẠI LÒ XO ÉP........................................................................17 1.4.1.Lò xo trụ: ................................................ 17 1.4.2. Lò xo côn xoắn:............................................ 17 1.4.3. Lò xo đĩa: ................................................ 18 1.4.4. Kết luận:................................................. 19 1.5. ĐĨA BỊ ĐỘNG CỦA LY HỢP. ........................................................................................19 PHẦN 2: TÍNH TOÁN THIẾT KẾ CỤM LY HỢP..............................................................20 2.1.Giới thiệu về các thông số cơ bản của cụm ly hợp : ..................... 20 2.2. Tính toán thiết kế cum ly hợp : ................................... 21 2.2.1. Xác định mô men ma sát mà ly hợp cần truyền :...................... 21 2.2.2Xác định kích thước cơ bản của ly hợp: ............................ 21
  • 3.
    SVTH: Nguyễn VănĐoài GVHD:Vũ Đình Nam 3 2.2.3.Chọn số lượng đĩa bị động (số đôi bề mặt ma sát): .................... 22 2.3. Tính kiểm tra điều kiện làm việc của ly hợp : ......................... 23 2.3.1 Xác định công trượt và công trượt riêng : ........................... 23 2.3.2.Kiểm tra theo nhiệt độ các chi tiết : ............................... 26 2.4.Tính toán sức bền một số chi tiết chủ yếu của ly hợp : ................... 27 2.4.1. Tính sức bền đinh tán đĩa bị động : ............................... 27 2.4.2 Tính toán bền lò xo ép của ly hợp :............................... 30 2.3.3. Tính bền trục ly hợp: ........................................ 32 2.3.4. Tính bền moay ơ đĩa bị động: .................................. 41 KẾT LUẬN.................................................................................................................................44 TÀI LIỆU THAM KHẢO.........................................................................................................45 LỜI NÓI ĐẦU Với cơ chế mở cửa nền kinh tế đất nước để hội nhập và phát triển, trong những năm gần đây đất nước ta đã đạt được rất nhiều thành tựu về mọi mặt trong đời sống xã hội. Một trong các thành tựu quan trọng nhất đó chính là quá trình công nghiệp hoá, hiện
  • 4.
    SVTH: Nguyễn VănĐoài GVHD:Vũ Đình Nam 4 đại hoá đất nước. Ngành giao thông vận tải, trong đó đặc biệt là Ôtô, là một trong những phương tiện phục vụ rất hiệu quả cho quá trình công nghiệp hoá, hiện đại hoá, thúc đẩy sự phát triển nền kinh tế. Ngành công nghiệp Ôtô, tuy vẫn còn là một ngành mới song với nhận thức đúng đắn về tầm quan trọng của ngành công nghiệp này trong những năm gần đây Đảng và Nhà nước ta đã có những chính sánh phù hợp thúc đẩy sự phát triển ngành công nghiệp Ôtô trong nước, từng bước phát triển và tiến tới sẽ sản xuất được Ôtô tại chính nước ta mà không cần nhập khẩu. Sau khi học xong môn ‘ Tính toán và thiết kế ôtô’ em đã được nhà trường giao cho đề tài: “Thiết kế cụm ly hợp cho ô tô 7chỗ”. Em nhận thấy đây là đề tài có tầm quan trọng và đòi hỏi yêu cầu cao. Bởi vì với ngành công nghiệp Ôtô của nước ta để tiến tới sẽ sản xuất được thì việc tính toán thiết kế các cụm chi tiết trong ôtô phải là những yêu cầu được xây dựng ngay từ trong những bước đi đầu tiên. Quá trình làm đồ án môn học, mặc dù bản thân đã hết sức cố gắng, được sự giúp đỡ tận tình của các thầy và các bạn song do khả năng có hạn và thời gian làm đồ án bị hạn chế nên bản đồ án không tránh khỏi những sai sót. Vì vậy em rất mong sự chỉ bảo của của các thầy cô và các bạn để đồ án của em được hoàn thiện hơn. Qua đây em cũng xin chân thành cảm ơn sự giúp đỡ, chỉ bảo tận tình của thầy : Vũ Đình Nam đã giúp đỡ tạo điều kiện để em hoàn thành tốt đồ án này. Em xin chân thành cảm ơn! Hưng yên, ngày…tháng….năm… Sinh viên: Nguyễn Văn Đoài Phần 1: TỔNG QUAN VỀ LY HỢP 1.1. Công dụng, phân loại, yêu cầu: 1.1.1. Công dụng: Trong hệ thống truyền lực ôtô, ly hợp là một thành phần rất quan trọng, nó có chức năng chính là: - Nối động cơ với hệ thống truyền lực khi ôtô di chuyển.
  • 5.
    SVTH: Nguyễn VănĐoài GVHD:Vũ Đình Nam 5 - Ngắt động cơ ra khỏi hệ thống truyền lực trong trường hợp khi ôtô khởi hành hoặc sang số. - Đảm bảo là cơ cấu an toàn cho các chi tiết của hệ thống truyền lực khi gặp quá tải hư trong trường hợp phanh đột ngột mà không nhả ly hợp. 1.1.2. Phân loại: a. Theo phương pháp truyền mômen: Theo phương pháp truyền mô men từ trục khuỷu của động cơ đến hệ thống truyền lực người ta chia ly hợp thành các loại sau: - Ly hợp ma sát: mô men truyền động nhờ các bề mặt ma sát. - Ly hợp thuỷ lực: mô men truyền động nhờ năng lượng của chất lỏng. - Ly hợp điện từ: mô men truyền động nhờ tác dụng của trường nam châm điện. - Ly hợp liên hợp: mô men truyền động bằng cách kết hợp hai trong các loại kể trên. b. Theo trạng thái làm việc của ly hợp: Theo trạng thái làm việc của ly hợp người ta chia ly hợp thành các loại sau: - Ly hợp thường đóng. - Ly hợp thường mở. c. Theo phương pháp sinh lực ép trên đĩa ép: Theo phương pháp phát sinh lực ép trên đĩa ép người ta chia ra thành các loại ly hợp sau: - Loại lò xo (lò xo đặt xung quanh, lò xo trung tâm, lò xo đĩa). - Loại nửa ly tâm: lực ép sinh ra ngoài lực ép của lò xo còn có lực ly tâm của trọng khối phụ ép thêm vào. - Loại ly tâm: ly hợp ly tâm sử dụng lực ly tâm để tạo lực ép đóng và mở ly hợp. d. Theo phương pháp dẫn động ly hợp: Theo phương pháp dẫn động ly hợp người ta chia ly hợp thành các loại sau: - Ly hợp dẫn động cơ khí. - Ly hợp dẫn động thuỷ lực. - Ly hợp dẫn động có cường hoá: + Ly hợp dẫn động cơ khí cường hoá khí nén. + Ly hợp dẫn động thuỷ lực cường hoá khí nén. 1.1.3. Yêu cầu: - Ly hợp phải có khả năng truyền hết mô men của động cơ mà không bị trượt ở bất kỳ điều kiện sử dụng nào. - Khi đóng ly hợp phải êm dịu, mômen quán tính phần bị động phải nhỏ để giảm hết tải trọng va đập lên các bánh răng của hộp số khi sang số. - Khi mở ly hợp phải dứt khoát và nhanh chóng để việc gài số êm dịu, tách động cơ ra khỏi hệ thống truyền lực trong thời gian ngắn. - Đảm bảo cho hệ thống truyền lực khi bị quá tải. - Điều khiển dễ dàng, lực tác dụng lên bàn đạp nhỏ. - Các bề mặt ma sát phải thoát nhiệt tốt. - Kết cấu ly hợp phải đơn giản, dễ điều chỉnh chăm sóc và bảo dưỡng.
  • 6.
    SVTH: Nguyễn VănĐoài GVHD:Vũ Đình Nam 6 1.2. Sơ đồ cấu tạo và nguyên lý hoạt động của ly hợp: - Đối với hệ thống ly hợp, về mặt cấu tạo người ta chia thành các bộ phận chính: - Cơ cấu ly hợp: là bộ phận thực hiện việc nối và ngắt truyền động từ động cơ đến hệ thống truyền lực. - Dẫn động ly hợp: là bộ phận thực hiện việc điều khiển đóng mở ly hợp. 1.2.1. Ly hợp ma sát khô một đĩa bị động lò xo ép hình trụ bố trí xung quanh: a. Sơ đồ cấu tạo chung: Hình 1.1: Ly hợp ma sát khô một đĩa bị động. 1. bánh đà; 7. bàn đạp ; 2. đĩa ma sát; 8. lò xo hồi vị bàn đạp ; 3. đĩa ép; 9. đòn kéo; 4. lò xo ép; 10. càng mở; 5. vỏ ly hợp; 11. bi tỳ; 6. bạc mở ; 12. đòn mở; 13. bộ giảm chấn. - Nhóm các chi tiết chủ động bao gồm: bánh đà, vỏ ly hợp, đĩa ép, đòn mở và các lò xo ép. Khi ly hợp mở hoàn toàn thì các chi tiết thuộc nhóm chủ động sẽ quay cùng với bánh đà. - Nhóm các chi tiết bị động gồm đĩa bị động (đĩa ma sát), trục ly hợp. Khi ly hợp mở hoàn toàn thì các chi tiết thuộc nhóm bị động sẽ đứng yên.
  • 7.
    SVTH: Nguyễn VănĐoài GVHD:Vũ Đình Nam 7 - Theo sơ đồ cấu tạo ở hình vẽ thì vỏ ly hợp 5 được bắt cố định với bánh đà 1 bằng các bu lông, đĩa ép 3 có thể dịch chuyển tịnh tiến trong vỏ và có bộ phận truyền mô men từ vỏ 5 vào đĩa ép. Các chi tiết 1, 3, 4, 5 được gọi là phần chủ động của ly hợp. Chi tiết số 2 được gọi là phần bị động của ly hợp, các bộ phận còn lại thuộc bộ phận dẫn động ly hơp. b. Nguyên lý hoạt động: - Trạng thái đóng ly hợp: ở trạng thái này lò xo 4 một đầu tựa vào vỏ 5, đầu còn lại tì vào đĩa ép số 3 tạo lực ép để ép chặt đĩa bị động 2 với bánh đà số 1 cho phần chủ động và phần bị động tạo thành 1 khối cứng. Khi này mô men từ động cơ được truyền từ phần chủ động sang phần bị động của ly hợp thông qua các bề mặt ma sát của đĩa bị động 2 với đĩa ép 3 và bánh đà 4. Tiếp đó mô men truyền vào xương đĩa bị động qua bộ giảm chấn 13 đến moay ơ rồi truyền vào trục ly hợp (trục sơ cấp hộp số). Lúc này giữa bi tỳ 11 và đầu mở 12 có khe hở từ 3  4 mm, tương ứng với hành trình tự do của bàn đạp ly hợp. - Trạng thái mở ly hợp: Khi cần ngắt truyền động từ động cơ tới trục sơ cấp của hộp số người ta cần tác dụng một lực vào bàn đạp 7 thông qua đòn kéo 9 và càng mở 10, bạc mở 6 mang bi tỳ 11 sẽ dịch chuyển sang trái. Sau khi khắc phục hết khe hở, bi tỳ 11 sẽ tì vào đầu đòn mở 12. Nhờ có khớp bản lề của bản lề liên kết với vỏ 5 nên đầu kia của đòn mở 12 sẽ kéo đĩa ép 3 nén lò xo 4 lại để dịch chuyển sang phải. Khi này các bề mặt ma sát giữa bộ phận chủ động và bị động của ly hợp được tách ra và ngắt truyền động từ trục cơ tới trục sơ cấp của hộp số. c. Ưu nhược điểm: - Ưu điểm: + Kết cấu gọn, dễ điều chỉnh và sữa chữa. + Mở dứt khoát. + Thoát nhiệt tốt nên đảm bảo tuổi thọ cao cho bộ ly hợp. - Nhược điểm: + Đóng không êm dịu. + Chỉ truyền được mô men không lớn lắm. Nếu truyền mômen trên 70  80 KGm thì cần đường kính đĩa ma sát lớn kéo theo các kết cấu khác đều lớn làm cho ly hợp cồng kềnh. 1.2.2. Ly hợp ma sát khô hai đĩa bị động lò xo ép hình trụ bố trí xung quanh : a. Sơ đồ cấu tạo chung:
  • 8.
    SVTH: Nguyễn VănĐoài GVHD:Vũ Đình Nam 8 Hình 1.2. Ly hợp ma sát khô hai đĩa bị động 1. Bánh đà; 7. Lò xo ép; 13. Thanh kéo; 2. Lò xo đĩa bị động; 8. Vỏ ly hợp; 14. Càng mở; 3. Đĩa ép trung gian; 9. Bạc mở; 15. Bi tỳ; 4. Đĩa bị động; 10. Trục ly hợp; 16. Đòn mở; 5. Đĩa ép; 11. Bàn đạp ly hợp; 17. Lò xo giảm chấn. 6. Bu lông hạn chế; 12. Lò xo hồi vị bàn đạp ly hợp; a. Cấu tạo: Nhìn chung cấu tạo của ly hợp hai đĩa cũng bao gồm các bộ phận và các chi tiết cơ bản như đối với ly hợp một đĩa. Điểm khác biệt là ở ly hợp hai đĩa có hai đĩa bị động số 4 cùng liên kết then hoa với trục ly hợp 10. Vì có hai đĩa bị động nên ngoài đĩa ép 5 còn có thêm đĩa ép trung gian 3. ở ly hợp hai đĩa phải bố trí thêm cơ cấu truyền mô men từ vỏ hoặc bánh đà sang đĩa ép và cả đĩa trung gian. b. Nguyên lý hoạt động: Nguyên lý làm việc của ly hợp hai đĩa bị động cũng tương tự như ly hợp một đĩa. c. Ưu nhược điểm: - Ưu điểm: + Đóng êm dịu (do có nhiều bề mặt ma sát). + Giảm được đường kính chung của đĩa ma sát, bánh đà … mà vẫn đảm bảo truyền đủ mômen cần thiết của động cơ. - Nhược điểm: +Mở không dứt khoát, nhiệt lớn, kết cấu phức tạp nên khó bảo dưỡng và sữa chữa. 1.2.3. Ly hợp thuỷ lực: a. Sơ đồ cấu tạo chung:
  • 9.
    SVTH: Nguyễn VănĐoài GVHD:Vũ Đình Nam 9 Cấu tạo của ly hợp thủy lực được trình bày như hình vẽ bao gồm: 1. Bánh đà 2. Bánh tuabin 3. Bánh bơm 4. Trục sơ cấp 5. Vỏ ly hợp Hình 1.3. Ly hợp thủy lực. Các chi tiết chính của ly hợp gồm có bánh bơm, bánh tuabin. Các bánh công tác này có dạng nửa hình vòng xuyến, được bố trí rất nhiều cánh dẫn theo chiều hướng tâm. Bánh bơm được hàn chặt với vỏ ly hợp và được bắt chặt với vỏ trục khuỷu động cơ (quay cùng với trục khuỷu). Nó có tác dụng quạt dòng chất lỏng sang bánh tuabin thông qua đó truyền mômen. Bánh tuabin được đặt trong vỏ ly hợp có thể quay tự do, được nối với trục sơ cấp hộp số bằng khớp nối then hoa, nó chịu sự tác động của dòng chất lỏng từ bánh bơm truyền sang, khi đó nó sẽ quay và truyền chuyển độngcho trục sơ cấp hộp số. b. Nguyên lý hoạt động: Ly hợp thuỷ lực làm việc dựa trên nguyên tắc truỷ động. Khi bánh bơm được trục khuỷu động cơ dẫn động quay làm chất lỏng chứa trong khoang công tác của bánh bơm sẽ quay theo. Chất lỏng tham gia vào hai chuyển động: một chuyển động quay theo bánh bơm và một chuyển động tịnh tiến theo các máng của cánh dẫn từ phía trong ra phía ngoài. Động năng của chất lỏng cũng tăng từ trong ra ngoài. Khi ra khỏi bánh bơm chất lỏng sẽ chuyển tiếp sang bánh tuốc bin và động năng của dòng chất lỏng sẽ làm cho bánh tuốc bin quay theo. ở bánh tuốc bin chất lỏng chuyển động từ ngoài vào trong và động năng giảm dần. Sau khi ra khỏi bánh tuốc bin chất lỏng tiếp tục đi vào bánh bơm để nhận năng lượng và thực hiện các chu trình tiếp theo. c. Ưu nhược điểm: - Ưu điểm : + Khi đóng ly hợp rất êm dịu + Làm việc êm dịu, hạn chế va đập khi truyền mô men từ động cơ xuống hệ thống truyền lực. + Có khả năng trượt lâu dài mà không gây hao mòn như ở ly hợp ma sát. - Nhược điểm : 1 2 3 4 5
  • 10.
    SVTH: Nguyễn VănĐoài GVHD:Vũ Đình Nam 10 + Không có khả năng biến đổi mômen nên đã hạn chế phạm vi sử dụng của nó trên các hộp số thủy cơ ôtô. + Hiệu suất thấp ở vùng làm việc có tỉ số truyền nhỏ. + Độ nhạy quá cao làm ảnh hưởng xấu đến đặc tính làm việc kết hợp với động cơ đốt trong. 1.2.4. Ly hợp điện từ Ly hợp điện từ là loại không những chỉ bố trí trên ôtô mà còn bố trí trong nhiều lĩnh vực khác. Ưu điểm là truyền động êm cho phép trượt lâu dài mà không ảnh hưởng tới hao mòn các chi tiết của ly hợp. a. Sơ đồ cấu tạo chung: Hình 1.4. Ly hợp điện từ 1. Bánh đà 2. Khung từ 3. Cuộn dây 4. Lõi sắt bị động 5. Trục ly hợp 6. Mặt cắt Các bộ phận chính của ly hợp điện từ bao gồm: phần cố định 2 trên đó có cuộn dây điện từ 3. Bộ phận chủ động 1 được nối với trục khuỷu động cơ, bộ phận bị động 4 được nối với trục ly hợp (trục sơ cấp của hộp số). Các bộ phận chủ động, bị động và bộ phận cố định có thể quay trơn với nhau thông qua các khe hở A, B, C, D. Để hiệu suất truyền động cao các khe hở này phải nhỏ. Ngoài ra để tăng khả năng truyền mô men từ phần chủ động sang phần bị động người ta bỏ bột sắt vào khoang kín giữa phần chủ động và phần bị động. b. Nguyên lý hoạt động: - Nguyên lý làm việc dựa vào lực điện từ tương tác giữa phần chủ động và bị động nhờ nam châm điện do cuộn dây 3 sinh ra. - Trạng thái đóng ly hợp: Khi này cuộn dây 3 được cấp một dòng điện một chiều và nó sẽ trở thành nam châm điện. Điện trường của nam châm sẽ khép kín mạch, từ qua
  • 11.
    SVTH: Nguyễn VănĐoài GVHD:Vũ Đình Nam 11 các bộ phận cố định 2, phần chủ động 1, phần bị động 4 theo đường mũi tên như hình vẽ. Khi này dưới sự tương tác của lực điện từ phần chủ động 1 sẽ kéo phần bị động 4 quay theo, mô men được truyền từ động cơ sang trục ly hợp. - Trạng thái mở ly hợp: Khi cần mở ly hợp người ta ngắt dòng điện cấp cho cuộn dây 15. Lực điện từ sẽ mất, các chi tiết được quay tự do, ngắt đường truyền mô men từ động cơ tới trục ly hợp. c. Ưu nhược điểm : - Ưu điểm : + Khả năng chống quá tải tốt. + Bố trí dẫn động dễ dàng. - Nhược điểm : + Chế tạo phức tạp. + Bảo dưỡng và sửa chữa khó khăn. + Giá thành đắt. 1.3 LỰA CHỌN PHƯƠNG ÁN DẪN ĐỘNG. Hệ thống dẫn động ly hợp có tác dụng truyền lực bàn đạp của người lái tác động vào bàn đạp đến ly hợp để thực hiện việc đóng ngắt ly hợp. Dẫn động ly hợp thường là dẫn động cơ khí hoặc thủy lực. Dẫn động cơ khí có ưu điểm chung là kết cấu đơn giản. dễ chế tạo tuy nhiên chúng cũng có nhược điểm là lực bàn đạp thường phải lớn và khó bố trí với những ôtô có động cơ đặt xa người lái. Dẫn động cơ khí được thường được sử dụng trên một số ôtô con và ôtô tải do ôtô con có yêu cầu lực bàn đạp nhỏ và ôtô tải thường có bình khí nén nên việc bố trí trợ lực thuận lợi, dẫn động thủy lực hiện nay được sử dụng trên hầu hết các loại ôtô con và ôtô chở khách do có ưu điểm rất lớn là nhỏ gọn, tạo được lực bàn đạp lớn, dế bố trí trên ôtô và thời gian tác động nhanh. Để giảm lực của người lái tác dụng lên bàn đạp, trong hệ thống dẫn động có thể có bố trí bộ phận trợ lực bằng cơ khí, thủy lực, khí nén hoặc chân không. Hiện nay, được sử dụng phổ biến hơn cả trên các loại ôtô là dẫn động thủy lực kết hợp với bộ trợ lực. Trợ lực trên ôtô con có thể là trợ lực chân không, còn các ôtô tải thì thường sử dụng hệ thống trợ lực bằng khí nén do có sẵn bình khí nén. Mục đích của việc thiết kế hệ dẫn động ly hợp là dễ bố trí, điều khiển dễ dàng, đảm bảo độ tin cậy đồng thời đảm bảo tính kinh tế. Do đó phương án dẫn động phải đáp ứng được các yêu cầu của hệ thống dẫn động đã nêu ở trên. Các phương án dẫn động thường dùng là: - Dẫn động cơ khí. - Dẫn động cơ khí trợ lực khí nén - Dẫn động cơ khí trợ lực chân không. - Dẫn động thuỷ lực. - Dẫn động thuỷ lực trợ lực khí nén. - Dẫn động thủy lực trợ lực chân không.
  • 12.
    SVTH: Nguyễn VănĐoài GVHD:Vũ Đình Nam 12 1.3.1.Dẫn động cơ khí : Sử dụng các cơ cấu truyền lực bằng cơ khí để truyền lực đóng hoặc ngắt ly hợp. a. Sơ đồ kết cấu: Hình 2.1.Sơ đồ dẫn động ly hợp bằng cơ khí. 1.Đĩa bị động. 2.Đĩa ép. 3.Đòn mở. 4.Bi T. 5.Lò xo hồi vị bi T. 6.Càng mở. 7.Bàn đạp. 8.Lò xo hồi vị bàn đạp. 9.Đòn dẫn động. b. Nguyên lý làm việc: - Khi ngắt ly hợp : Người lái tác dụng lực vào bàn đạp, lực bàn đạp thông qua đòn dẫn động 9 và càng mở 6 làm cho bi T 4 dịch chuyển sang trái tỳ vào đầu đòn mở, đòn mở kéo đĩa ép và đĩa bị động tách khỏi các bề mặt làm việc làm mở ly hợp. - Khi đóng ly hợp : Người lái thôi không tác dụng lực vào bàn đạp, lò xo hồi vị bàn đạp kéo bàn đạp trở về vị trí ban đầu. Đồng thời lò xo hồi vị bi T kéo bi T dịch chuyển sang phải và thôi không ép vào đòn mở nữa. Khi đó lò xo ép lại ép đĩa ép và đĩa bị động trở lại trạng thái làm việc ban đầu. c. Ưu nhược điểm : - Ưu điểm: +Kết cấu đơn giản nên dễ chế tạo và bảo dưỡng, sửa chữa. +Mở nhanh và dứt khoát. +Giá thành rẻ. - Nhược điểm: +Lực ma sát giữa các cơ cấu lớn nên dẫn đến nặng khi đạp. Có thể khắc phục bằng cách sử dụng trợ lực. Đóng không êm dịu.  9 8 7 6 21 543
  • 13.
    SVTH: Nguyễn VănĐoài GVHD:Vũ Đình Nam 13 1.3.2. Dẫn động cơ khí có trợ lực khí nén : a. Sơ đồ cấu tạo. Hình 2.2.Sơ đồ dẫn động ly hợp bằng cơ khí có trơ lực khí nén. 1.Ống dẫn khí. 2.Xy lanh công tác. 3.Càng mở. 4.Đòn mở. 5.Đĩa ép. 6.Đĩa bị động. 7.Bi T. 8.Lò xo hồi vị bi T. 9.Bình khí nén. 10.Xy lanh phân phối. 11.Bàn đạp. 12.Lò xo hồi vị bàn đạp. b. Nguyên lý hoạt động : - Khi ngắt ly hợp: Người lái tác dụng một lực lên bàn đạp 11 làm cho xy lanh phân phối 10 cùng pittông của nó chuyển động sang trái làm cho càng mở 3 đẩy bi T 7 dịch chuyển sang trái và ép vào đòn mở 4. Đòn mở kéo đĩa ép cùng đĩa bị động tách ra khỏi bề mặt làm việc và ly hợp được ngắt. Đồng thời sự chuyển động tương đối giữa pittông và xy lanh của xy lanh phân phối 10 làm mở van khí nén. Khí nén từ bình khí đi qua xy lanh phân phối, qua ồng dẫn 1 vào xy lanh công tác 2 đẩy pittông của xy lanh này dịch chuyển sang phải đẩy vào càng mở 3 làm giảm bớt một phần lực cho người lái. - Khi đóng ly hợp : Khi người lái thôi tác dụng lực vào bàn đạp, lò xo hồi vị bàn đạp kéo bàn đạp trở về vị trí ban đầu. Đồng thời kéo xy lanh phân phối 10 sang phải làm kéo càng mở 3 thôi không ép vào bi T nữa. Khi đó bi T thôi không ép vào đầu đòn mở nữa và các lò xo ép lại ép ly hợp đĩa ép và đĩa bị động trở về trạng thái làm việc ban đầu. Khi xy lanh phân phối 10 được kéo về vị trí ban đầu thì đồng thời làm van khí nén đóng lại. Lúc này khoang trong xy lanh 10 thông với khí trời và do đó không còn áp suất khí nén tác dụng lên xy lanh công tác nữa và xy lanh công tác cũng thôi không tác dụng lực lên càng mở 3 nữa. - Khi giữ bàn đạp ở một vị trí nào đó : Khi người lái giữ nguyên bàn đạp ở một vị trí nào đó thì xy lanh phân phối 10 cũng dừng tại một vị trí nhất định. Lúc này van khí nén vẫn mở và khí nén vẫn vào xy lanh công tác tuy nhiên lượng khí nén vào trong xy lanh công tác là không đổi cho nên ly hợp được mở ở một vị trí nhất định. c. Ưu nhược điểm : - Ưu điểm : 5 1 3 2  4 6 121110987
  • 14.
    SVTH: Nguyễn VănĐoài GVHD:Vũ Đình Nam 14 + Giảm được lực của người lái tác dụng lên bàn đạp. + Vẫn đảm bảo an toàn vì nếu trợ lực hỏng thì ly hợp vẫn làm việc được. - Nhược điểm : + Phải cần máy nén khí. + Khi mất trợ lực thì lực điều khiển của người lái rất lớn. 1.3.3.Dẫn động thủy lực : a. Sơ đồ cấu tạo. Hình 2.3.Sơ đồ dẫn động ly hợp bằng thủy lực. 1.Đĩa bị động. 2.Đĩa ép. 3.Đòn mở. 4.Bi T. 5.Lò xo hồi vị bi T. 6.Xy lanh chính. 7.Bàn đạp. 8.Lò xo hồi vị bàn đạp. 9.Càng mở. 10.Xy lanh công tác. 11.Ống dẫn dầu. b. Nguyên lý làm việc: - Khi ngắt ly hợp : Khi người lái tác dụng một lực lên bàn đạp, dầu từ xy lanh chính 6 qua ống dẫn 11 vào xy lanh công tác 10 đẩy pittông của xy lanh này đi sang phải thông qua càng mở đẩy bi T 4 ép vào đòn mở 3 làm cho đòn mở kéo đĩa ép và đĩa bị động tách ra làm mở ly hợp. - Khi đóng ly hợp : Khi người lái thôi không tác dụng lực vào bàn đạp, nhờ lò xo hồi vị bi T 5 và lò xo hồi vị bàn đạp 8 đẩy pittông của xy lanh công tác 10 sang trái làm đẩy dầu qua ống 11 trở về xy lanh chính 6 đẩy trả bàn đạp vể vị trí ban đầu. Đồng thời nhờ lò xo hồi vị nên bi T cũng được đẩy tách ra khỏi đòn mở làm mở ly hợp. c. Ưu nhược điểm : - Ưu điểm: + Kết cấu đơn giản, dễ bố trí trên xe. + Dẫn động êm, có thể tạo được lực bàn đạp lớn. - Nhược điểm: + Các chi tiết cần độ kín khít tốt nên khó khăn trong việc chế tạo và chăm sóc, bảo dưỡng. 10 11 9 321 7654 8
  • 15.
    SVTH: Nguyễn VănĐoài GVHD:Vũ Đình Nam 15 1.3.4. Dẫn động thủy lực có trợ lực chân không: a. Sơ đồ cấu tạo. Hình 2.4.Sơ đồ dẫn động thủy lực có trợ lực chân không. 1.Ống dẫn dầu. 2.Xy lanh công tác. 3.Càng mở. 4.Bi T. 5.Đòn mở. 6.Đĩa ép. 7.Đĩa bị động. 8.Lò xo hồi vị bi T. 9.Họng hút. 10.Bàn đạp. 11.Lò xo hồi vị bàn đạp. 12.Bộ trợ lực. 13.Xy lanh chính. b. Nguyên lý hoạt động của bộ trợ lực: Khi mở ly hợp: Khi người lái đạp bàn đạp làm đẩy van khí 4 mở ra đồng thời van điều khiển 1 (bằng cao su) đóng van chân không 2 lại. Lúc này khoang B được nối với khoang khí trời C và khoang B không thông với khoang chân không A, tạo ra sự chênh lệch áp suất giữa hai khoang A và B, làm van chân không chuyển động sang trái đẩy pittông của xy lanh chính 13 sang trái làm dầu trong xy lanh chính theo ống 1 sang xy lanh công tác 2 đẩy pittông của xy lanh công tác sang phải qua càng mở 3 đẩy bi T 4 ép vào đòn mở 5 làm mở ly hợp. Khi đóng ly hợp: Khi người lái thôi tác dụng vào bàn đạp, nhờ các lò xo hồi vị làm van khí 4 trở về vị trí ban đầu, lúc này van khí 4 ép chặt làm mở van chân không 2 ra. Kết quả là khoang A thông với khoang B và khoang B không thông với khoang C nữa. Hai khoang A và B không có sự chênh lệch áp suất nên không sinh ra trợ lực nữa và các chi tiết cũng trở về vị trí ban đầu.  3 1 2 4 5 6 13 12 11 10 7 8 9
  • 16.
    SVTH: Nguyễn VănĐoài GVHD:Vũ Đình Nam 16 Hình 2.5.Sơ đồ bộ trợ lực chân không. 1. Van điều khiển. 2. Van chân không 3, 6. Lò xo hồi vị. 4. Van khí 5. Màng cao su Khi người lái dừng chân ở một vị trí nào đó thì van khí 4 dừng lại. Nhưng màng cao su 5 vẫn dịch chuyển một chút và kéo van chân không 2 đi theo nên đẩy van điều khiển 1 ép chặt vào van khí 4 làm đóng van khí. Lúc này cả van khí và van chân không đều được đóng lại và không khí trong khoang B không đổi, sự chênh lệch áp suất giữa hai khoang A và B là ổn định. Như vậy đĩa ép vẫn được giữ ở một vị trí nhất định, tức là ly hợp vẫn được mở ở một vị trí nhất định. c. Ưu nhược điểm: - Ưu điểm: + Lực bàn đạp nhỏ nên điều khiển dễ dàng. + Không tốn công suất cũng như nhiên liệu cho bộ trợ lực. + Khi hệ thống trợ lực hỏng thì ly hợp vẫn làm việc được. - Nhược điểm: + Kết cấu phức tạp nên khó chế tạo, bảo dưỡng và sữa chữa. + Cần độ kín khít cao để tránh rò rỉ dầu và khí. + Do độ chân không không lớn nên muốn có lực trợ lực lớn thì phải tăng kích thước màng sinh lực dẫn đến kết cấu cồng kềnh. 1.3.5. Kết luận: Với ly hợp xe ôtô tải cần lực bàn đạp lớn đồng thời cần phải có kết cấu gọn nhẹ, không gian bố trí hợp lý. Qua việc tham khảo sơ bộ các phương án, ta thấy phương án dẫn động cơ khí có trợ lực khí nén là phương án có nhiều ưu điểm nổi bật. Do đó em chọn phương án dẫn động là dẫn động cơ khí có trợ lực khí nén . Như vậy loại ly hợp mà em chọn thiết kế là ly hợp ma sát khô dạng thường đóng dẫn động cơ khí có trợ lực khí nén . 12 3456 A B C
  • 17.
    SVTH: Nguyễn VănĐoài GVHD:Vũ Đình Nam 17 1.4, PHƯƠNG ÁN CHỌN LOẠI LÒ XO ÉP. Hình 3.1.Đặc tính các loại lò xo ép ly hợp. a - Lò xo côn xoắn. b - Lò xo trụ. c - Lò xo đĩa. Fl : Lực ép, l: Biến dạng của lò xo. 1.4.1.Lò xo trụ: Lò xo trụ có đường đặc tính làm việc là đường b trên hình 3.1. Lò xo trụ thường được bố trí theo vòng tròn trên đĩa ép. Để định vị các lò xo và giảm độ biến dạng của chúng dưới tác dụng của lực ly tâm, thường sử dụng các cốc, vấu lồi trên đĩa ép hoặc trên vỏ ly hợp. a. Ưu điểm: - Kết cấu nhỏ gọn, khoảng không gian chiếm chỗ ít vì lực ép tác dụng lên đĩa ép lớn. - Đảm bảo được lực ép đều lên các bề mặt ma sát bằng cách bố trí các lò xo đối xứng với nhau và với các đòn mở. - Luôn giứ được đặc tính tuyến tính trong toàn bộ vùng làm việc. - Giá thành rẻ, chế tạo đơn giản. b. Nhược điểm: - Các lò xo thường không đảm bảo được các thông số giống nhau hoàn toàn, đặc biệt là sau một thời gian làm việc lực ép của các lò xo sẽ không đều nhau. Do đó phải chế tạo lò xo thật chính xác nều không thì lực ép không đều sẽ làm cho đĩa ma sát mòn không đều và dễ bị cong vênh. 1.4.2. Lò xo côn xoắn: a b c Fl l
  • 18.
    SVTH: Nguyễn VănĐoài GVHD:Vũ Đình Nam 18 Lò xo công xoắn có đường đặc tính làm việc là đường a trên hình a. Ưu điểm: -Lò xo côn cho phep chồng lên nhau nên độ cứng tăng lên đáng kể khi chiều cao và kích thước của lò xo hầu như không thay đổi. - Lực ép lên lò xo lớn, nên thường được dùng trên ôtô có mômen của động cơ trên 50 KGm. - Có thể giảm được không gian của kết cấu do lò xo có thể ép đến khi lò xo nằm trên một mặt phẳng. -Lò xo côn hoạt động ổn định hơn và ít bị gãy hỏng hơn các lò xo chịu nén bình thường. b. Nhược điểm: - Khoảng không gian ở gần trục ly hợp sẽ chật và khó bố trí bạc mở ly hợp. - Dùng lò xo côn thì áp suất lò xo tác dụng lên đĩa ép phải qua các đòn ép do đó việc điều chỉnh ly hợp sẽ phức tạp. - Lò xo côn có dạng tuyến tính ở vùng làm việc nhỏ, sau đó khi các vòng lò xo bắt đầu trùng nhau thì độ cứng của lò xo tăng lên rất nhanh, do đó nó đòi hỏi phải tạo được lực lớn để ngắt ly hợp và khi đĩa ma sát mòn thì lực ép của lò xo sẽ giảm rất nhanh. 1.4.3. Lò xo đĩa: Lò xo đĩa có đường đặc tính làm việc là đường c trên hình 3.1. Lò xo đĩa được chế tạo bằng thép lò xo và được bắt chặt vào bàn ép ly hợp bằng đinh tán hoặc bằng bulông . Ở mỗi phía của lò xo đĩa bố trí các vòng trụ xoay hoạt động như một trục xoay khi lò xo đĩa quay . Đối với loại bàn ép ly hợp thông thường có các lò xo chịu kéo đẻ nối đĩa ép ly hợp với lò xo đĩa.
  • 19.
    SVTH: Nguyễn VănĐoài GVHD:Vũ Đình Nam 19 Một lò xo đĩa loại DST a.Ưu điểm: - Lò xo đĩa làm luôn nhiệm vụ của đòn mở nên kết cấu đơn giản và nhỏ gọn. - Lò xo đĩa có đặc tính làm việc hợp lý vì trong vùng làm việc lực ép thay đổi không dáng kể theo biến dạng. Do vậy lực ngắt ly hợp đòi hỏi không lớn và khi đĩa ma sát bị mòn thì lực ép thay đổi không đáng kể. b. Nhược điểm: - Việc chế tạo khó khăn. 1.4.4. Kết luận: Qua việc tham khảo các loại lò xo ép em quyết định chọn loại lò xo ép là lò xo trụ vì tất cả những đăc tính tối ưu của nó. 1.5. ĐĨA BỊ ĐỘNG CỦA LY HỢP. Đĩa bị động của ly hợp có cấu tạo gồm hai tấm ma sát được gắn với nhau bằng đinh tán thông qua xương đĩa. Xương đĩa lại được tán với moay ơ đĩa bị động. Một trong những yêu cầu của ly hợp là phải đóng êm dịu, yêu cầu này liên quan đến cấu tạo của đĩa bị động của ly hợp. Để tăng tính êm dịu cho ly hợp ta dùng đĩa bị động loại đàn hồi. Độ đàn hồi của đĩa được giải quyết bằng cách thiết kế kết cấu có những hình thù nhất định hoặc dùng thêm những chi tiết đặc biệt có khả năng làm giảm độ cứng của đĩa. Ở đây để giảm độ cứng của đĩa bị động ta xẻ các rãnh hướng tâm. Các đường xẻ rãnh này chia đĩa bị động ra nhiều phần. Số lượng các rãnh tuỳ theo đường kính đĩa. Các đường xẻ rãnh cũng làm
  • 20.
    SVTH: Nguyễn VănĐoài GVHD:Vũ Đình Nam 20 cho đĩa bị động đỡ cong vênh khi bị nung nóng khi làm việc và làm tăng khả năng thoát các bụi sinh ra trong quá trình ly hợp làm việc do các tấm ma sát bị mòn. PHẦN 2: TÍNH TOÁN THIẾT KẾ CỤM LY HỢP 2.1.Giới thiệu về các thông số cơ bản của cụm ly hợp : Các số liệu ban đầu: Kiểu tay lái : bên trái. - Momen xoắn cực đại của động cơ : Memax=265 Nm - Chiều dài – chiều rộng cơ sở : 2750 – 1540 mm - Vận tốc tối đa : Vmax =190 km/h - Tự trọng : 1790 kg - Khối lượng của oto khi đầy tải : 2380 kg - Thông số của lốp : 265/65R17 - Tỷ số truyền của truyền lực chính. : i0 = 4,53
  • 21.
    SVTH: Nguyễn VănĐoài GVHD:Vũ Đình Nam 21 - Tỷ số truyền của hộp số chính. : ih1 = 4,12 - Hiệu suất hệ thống truyền lực : ηt = 0,93 2.2. Tính toán thiết kế cum ly hợp : 2.2.1. Xác định mô men ma sát mà ly hợp cần truyền : Ly hợp cần được thiết kế sao cho nó phải truyền hết được mô men của động cơ và đồng thời bảo vệ được cho hệ thống truyền lực không bị quá tải. Với yêu cầu như vậy mô men ma sát của ly hợp được tính như sau: Mc =  .Memax  : hệ số dự trự của ly hợp Memax mô men cực đại của động cơ Với Memax = 265 (N.m) Lựa chọn hệ số  một cách hợp lý có ý nghĩa rất quan trọng trong quá trình tính toán thiết kế ly hợp. Nếu chọn  quá nhỏ thì không đảm bảo truyền hết mô men vì trong quá trình làm việc lực ép của là xo giảm dần xuống làm giảm mô men ma sát của ly hợp. Phải chọn  lớn hơn 1 để đảm bảo truyền hết mô men của động cơ trong mọi trường hợp. Tuy nhiên  cũng không được chọn quá lớn để tránh tăng kích thước của đĩa bị động và tránh cho hệ thống truyền lực khỏi bị quá tải. Bảng hệ số β. Loại xe Trị số β Xe du lịch 1,35  1,75 Xe tải, khách, máy kéo vận tải (không kéo mooc) 1,50  2,25 Ô tô tải có mooc 1,80  3,00 Máy kéo NN kiểu ly hợp thường đóng 2,00  2,50 Đối với ôtô du lịch 7 chỗ , ta chọn β = 1,5. Vậy mômen ma sát của ly hợp là : Me = 1,5.265 = 397,5 (N.m) 2.2.2Xác định kích thước cơ bản của ly hợp: Đường kính ngoài của tấm ma sát được chọn theo công thức kinh nghiệm sau: D2 = 2R = 3,16.√ Memax 𝐶
  • 22.
    SVTH: Nguyễn VănĐoài GVHD:Vũ Đình Nam 22 Ta có : Memax = 397,5 N.m D tính theo (cm) C : là hệ số kinh nghiệm, Loại xe Hệ số C Ôtô du lịch 4,7 Ô tô vận tải trong điều kiện bình thường 3,6 Ô tô vận tải trong điều kiện nặng 1,9 Đối với ôtô du lịch 7 chỗ thì ta chọn C = 4,7 ( theo sách thiết kế tinh toán ôtô NXB ĐHSP kỹ thuật Hưng yên)  D2 = 3,16√ 397,5 4,7 = 31,5. (cm) D không được lớn hơn đường kính của bánh đà, đồng thời phải gọn, trọng lượng nhẹ. Do đó ta sẽ giảm kích thước đĩa ma sát và tăng số đĩa bị động. Ta chọn : D2 = 320 (mm)= 0,32 (m) ( theo bảng 1.4 sách thiết kế và tính toán oto – máy kéo của TS Nguyễn Hữu Hưởng NXB ĐHQG.HCM ). Đường kính trong của đĩa ma sát được chọn theo công thức; D1 = (0,530,75).D2 = ( 169,6 ÷ 240) mm ta chọn : D1 = 200 (mm) (theo bảng 1.4 sách thiết kế và tính toán oto – máy kéo của TS Nguyễn Hữu Hưởng NXB ĐHQGTPHCM ). vậy ta chọn đường kính trong và ngoài đĩa ma sát : D1 = 200 (mm) R1 = 100 (mm) D2 = 320 (mm) R2 = 160 (mm) - Bán kính trung bình của đĩa ma sát là : Rtb = 2 3 . 𝑅2 3−𝑅1 3 𝑅2 2−𝑅1 2 = 2 3 . 16031003 1602−1002 = 132,3 (mm). 2.2.3.Chọn số lượng đĩa bị động (số đôi bề mặt ma sát): Theo cấu tạo của ly hợp mà momen ma sát mà nó có thể đạt được: Mc=Fms.Rtb=  .P.i.Rtb (1) Trong đó:  :là hệ số ma sát, đối với ly hợp ma sát khô ta chọn  =0,28 ( Theo sách Thiết Kế và Tính Toán Ôtô – Máy Kéo của TS Nguyễn Hữu Hưởng NXB ĐHQG.HCM ) i: số đôi bề mặt ma sát.
  • 23.
    SVTH: Nguyễn VănĐoài GVHD:Vũ Đình Nam 23 P: lực ép tổng của các lò xo ( kN). Tính i dựa trên áp suất cho phép lên bề mặt: 2 2 2 1 P ( ) . 4 q D D      2 2 2 1( ) P . . 4 D D q   (2) Từ (1)  max. P c e tb tb M M R R       (3) Từ (2) và (3) ta có: max. e tb M R    2 2 2 1( ) . . 4 D D q   . .4 max 2 2. .( ) 2 1 M ei R q D D tb      q: áp suất tác dụng lên bề mặt ma sát. theo sách ‘’ tính toán thiết kế ôtô ‘’ thì ta xác định được áp lực riêng cho phép là : [q] = (1,4. 105  2,5. 105 ) (N/m2). Ta chọn [q] = 2,5.105 (N/m2) = 0,25 (kN/m2) i = 1,5.265.4 3,14.0,28.0,132.2,5.105.(0,322−0,202) = 0,89 Số đôi bề mặt ma sát phải là số chẵn, lấy i = 2. Do đó số lượng đĩa bị động là:  n = i/2= 2/2 = 1 Kiểm tra áp suất trên bề mặt đĩa ma sát theo công thức:  q = max 2 2 2 1 4. . . .( ). . e tb M R D D i     [q] (N/m2)  q = 4.1,5.265 3,14.0,132.(0,322−0,202).0,28.2 = 109779,4 (N/m2)  q = 0.221625 (kN/m2)  q < [q], do đó điều kiện về áp suất trên bề mặt được thoả mãn. 2.3. Tính kiểm tra điều kiện làm việc của ly hợp : 2.3.1 Xác định công trượt và công trượt riêng : Khi khởi động : Đĩa chủ động ly hợp đang quay theo trục khuỷu còn đĩa bị động chưa quay (có sự chênh lệnh về tốc độ). Trước khi đĩa bị động cùng quay với đĩa chủ động thành một khối liền thì bao giờ cũng có trượt. Khi sang số hoặc khi phanh người lái
  • 24.
    SVTH: Nguyễn VănĐoài GVHD:Vũ Đình Nam 24 thường mở ly hợp rồi đóng lại thì sự chênh lệch tốc độ giữa đĩa bị động và chủ động bao giờ cũng sinh ra trượt trước khi chúng quay thành hệ thống liền. Tóm lại cứ một nguyên nhân nào mà sinh ra độ chênh lệch tốc độ của 2 đĩa kể trên đều sinh ra trượt. Hiện tượng trượt sinh ra công ma sát, công ma sát biến thành nhiệt làm nung nóng các chi tiết của ly hợp lên quá nhiệt độ làm việc bình thường và nhất là lò xo có thể bị ủ ở nhiệt độ cao như vậy có thể làm mất khả năng ép, gây hao mòn nhanh các chi tiết (đĩa ma sát, đĩa ép...). Công trượt riêng phụ thuộc vào kết cấu, vật liệu, tải trọng và cả cách điều khiển của người lái vào bề mặt ma sát ly hợp. Với kết cấu, tải trọng, vật liệu đã có, ta xét công trượt phụ thuộc vào cách điều khiển. - Trường hợp đóng ly hợp đột ngột : Tức là động cơ làm việc ở số vòng quay cao rồi đột ngột thả bàn đạp ly hợp. Trường hợp này thời gian đóng ly hợp nhỏ song xảy ra tải trọng động rất lớn. Vậy ta không dùng trường hợp này. Trường hợp đóng ly hợp êm dịu : Để xác định được công trượt lớn nhất thì xét trường hợp đóng ly hợp êm dịu lúc khởi động Quá trình này chia làm 2 giai đoạn. +Tăng mômen ly hợp từ 0 đến Ma (mômen cần chuyển động quy dẫn về trục ly hợp), khi đó ôtô bắt đầu chuyển động tại chỗ (đặc trưng bằng công trượt L1) + Tăng mômen ly hợp tới một giá trị thích hợp mà ly hợp không thể trượt được nữa (đặc trưng bằng công trượt L2) Công trượt ở giai đoạn đầu L1 được xác định như sau: L1 = Ma. 1. 2 tam   Công trượt ở giai đoạn thứ hai L2 xác định theo công thức sau: L2 = 2 2 3 2 2 1 ).tω.(ωM)ω.(ωJ amaama  Công trượt được xác định theo công thức sau: L = L1 + L2 = Ma( am   ).( 3 .2 2 21 tt  ) + 2 1 Ja( am   )2 (J) - Trong đó: Ma là mô men cản chuyển động quy dẫn về trục của ly hợp, được tính theo công thức: Ma= [ ( G + Gm ).  + kFv2 ]. 𝑟 𝑏𝑥 i0.ih1. 𝑡𝑙 (N.m) Ở đây: - G: trọng lượng toàn bộ của ôtô; G = M.g = 2380.9,81 = 23348 (N) - α – góc dốc, giả thiết α = 0 - Vậy:  = f
  • 25.
    SVTH: Nguyễn VănĐoài GVHD:Vũ Đình Nam 25 - Trong đó: f là hệ số cản lăn của đường. Ta chọn f = 0,03 ( theo sách lý thuyết ôtô ) α : góc dốc , giả thiết α = 0.  = f = 0,03 -KFV2: Phần cản của không khí, khi khởi động tại chỗ V = 0  KFV2 = 0 - i0 : là tỷ số truyền của truyền lực chính. i0 = 4,53. - ih : là tỷ số truyền của hộp số chính. ih = ih1 = 4,12 - tl : là hiệu suất của hệ thống truyền lực, tl = 0,93 - rbx : bán kinh lăn của bánh xe có tính đến sự biến dạng của lốp. rbx = .ro với  = 0,93 là hệ số kể đến biến dạng của lốp và áp suất hơi trong lốp, lấy lốp có áp suất thấp. B: Chiều rộng của lớp: B = 265 mm d: đường kính vành bánh xe; d = 17 inch ro : là bán kính thiết kế. ta có : ro =  .( B + 𝑑 2 .25,4) (mm) = 0,93.(265 + 17 2 .25,4) = 447,237 (mm) vậy : rbx = 0,93.447,237 = 416 (mm) = 0.41 (m) Do đó : Ma = (G. + kFv2 ). rbx i0.ih. tl = (23348.0,03 + 0). 0,41 4,53.4,12.0,93 = 16,54 (N.m) m : tốc độ góc của động cơ lấy tương ứng với mô men cực đại của động cơ: m = M.n 30  = 3,14.2400 30 = 251,2 (rad/s) a : tốc độ góc của trục ly hợp ( rad/s ). a = 0 (vì xe khởi động tại chỗ). Ja: mô men quán tính của ôtô qui dẫn về trục ly hợp được xác định theo công thức: Ja= 2 2 0 . ( . ) b h G r g i i = 23348.0,412 9,81.(4,53.4,12)2 = 1,45 (kg.m.s2 ) t1: thời gian đóng ly hợp giai đoạn đầu, được xác định theo công thức : t1 = Ma 𝐾 t2: thời gian đóng ly hợp ở giai đoạn hai, được xác định theo công thức: t2= K A
  • 26.
    SVTH: Nguyễn VănĐoài GVHD:Vũ Đình Nam 26 trong đó : K là hệ số tỷ lệ đến nhịp độ tăng mômen M1 khi đóng ly hợp ta chọn K = 200 N.m/s A : là biểu thức rút gọn được tính theo công thức sau :  a m aA 2.J    = √2.1,45.251,2 = 26,99 Vậy : t1 = 16,54 200 = 0,0827(s) t2 = 26,99 √200 = 1,91 (s) Nên: t0 = t1 + t2 = 0,0827 + 1,91 = 1,9927 (s) Tóm lại ta có : Ma = 16,54 (N.m) Ja = 1,45 (kg.m.s2) m = 251,2 (rad/s) t1 = 0,0827 (s) a = 0 t2 = 1,91 (s) Thay vào ta được : L1 = 171,8 (J). L2 = 51039 (J) Vậy công trượt tổng cộng: L = L1 + L2 = 171,8 + 51039 = 51211 (J) b) Xác định công trượt riêng : Để đánh giá độ hao mòn của đĩa ma sát, ta phải xác định công trượt riêng theo công thức: l0= iF L .  [l0] Trong đó: F: là diện tích bề mặt ma sát của đĩa bị động, F = 3,14.( 𝑅2 2 - 𝑅1 2 ) = 3,14.( 0,1602 – 0,102 ) = 0,049 (m2) R1 , R2 : là bán kính trong va ngoài của đĩa bị động. i: số đôi bề mặt ma sát, i = 2. Do đó : lo = 51211 0,049 .2 = 522561 ( J /m2) = 522,5 (KJ/m2) Với ôtô con với thì : [ l0 ] ≤ ( 1000 ÷ 1200) (KJ/m2 ) ( theo sách TTTK ôtô trường ĐHSPKT Hưng Yên trang 71 ) So sánh ta thấy lo thỏa mãn. 2.3.2.Kiểm tra theo nhiệt độ các chi tiết : Việc tính toán nhiệt trên đĩa ép được thực hiện nhằm kiểm tra mức gia tăng nhiệt độ trung bình trên đĩa sau một lần đóng ly hợp khi khởi động ô tô tại chỗ. Trong khi tính toán giả thiết rằng toàn bộ nhiệt lượng sinh ra trong quá trình trượt ly hợp được chuyển
  • 27.
    SVTH: Nguyễn VănĐoài GVHD:Vũ Đình Nam 27 thành nhiệt nung nóng đĩa ép (bỏ qua nhiệt lượng truyền vào môi trường xung quanh). Mức gia tăng nhiệt độ được tính theo công thức: T = tmC L . .  [ T ] Trong đó: C: Tỷ nhiệt của chi tiết bị nung nóng, đối với gang C = 481,5 (J/kg0) mt: khối lượng chi tiết bị nung nóng. (kg)  : hệ số xác định phần công trượt dùng nung nóng chi tiết cần tính đối với đĩa ép ngoài.  = n 2 1 Với n: là số lượng đĩa bị động, n = 1  2 1  Ta có T  [ T ] = 15oK ( theo sách thiết kế và tính toán ôtô - máy kéo của TS Nguyễn Hưu Hưởng NXB ĐHQG.HCM ) Ta có : mt ≥ .𝐿 10.𝐶 = 0,5.511211 10.481,5 = 5,32 (kg) mt : Khối lượng chi tiết bị nung nóng (đĩa ép) lấy tham khảo mt = 6 kg. Vậy : T = 0,5.51211 4.481,5 = 8,86(oK) T  [ T ] = 15o (oK) Vâỵ T thỏa mãn điều kiện cho phép về sự gia tăng nhiệt độ. 2.4.Tính toán sức bền một số chi tiết chủ yếu của ly hợp : 2.4.1. Tính sức bền đinh tán đĩa bị động : Để giảm kích thước của ly hợp, khi ly hợp làm việc trong điều kiện ma sát khô, vật liệu có ma sát cao. Đĩa bị động gồm các tấm ma sát và xương đĩa. Xương đĩa thường chế tạo bằng thép các bon trung bình và cao( thép 50 và 80). Vật liệu của xương đĩa là Phêrađo Đồng. Chiều dày xương đĩa thường: chọn bằng 2 mm. Chiều dày tấm ma sát thường chọn bằng 4,5 mm. Chiều dày tấm ma sát và xương đĩa được chọn theo bảng 1.4 sách thiết kế và tính toán ôtô - máy kéo của TS Nguyễn Hữu Hưởng NXB ĐHQG.HCM. Tấm ma sát được gắn với xương đĩa bị động bằng đinh tán. Vật liệu đinh tán bằng đồng có đường kính d=5 mm. ( theo sách thiết kế và tính toán ôtô của TS Nguyễn Hữu Hưởng NXB ĐHQG.HCM ).
  • 28.
    SVTH: Nguyễn VănĐoài GVHD:Vũ Đình Nam 28 Ta bố trí đinh tán trên đĩa theo 2 dãy, tương ứng với các bán kính vòng trong là r1 và vòng ngoài r2. Chọn r1 = 115 ( mm) ; r2 = 140( mm) Lực tác dụng lên mỗi đinh tán được xác định như sau: F1 = )(2 . 2 2 2 1 1max rr rMe  = 397,5.0,115 2.(0,1152+0,142 ) = 701,5 (N) F2 = max 2 2 2 2 2 1 2 . 397,5.0,14 818,4 2( ) 2(0,115 0,14 ) eM r r r     (N) Đinh tán được kiểm tra theo ứng suất cắt và chèn dập. Khi tính F1 và F2 ta lấy chế độ tải trọng là Memax vì trong thực tế Memax luôn nhỏ hơn M ( M là mô men tính theo bám từ đường lên). Ứng suất cắt và chèn đập đối với đinh tánđược tính theo công thức : Ứng suất cắt và chèn dập đối với đinh tán ở vòng trong: 1c = 4 . 2 1 1 d n F   [ c ] N/m2 ; 1cd = dln F ..1 1  [ cd ] N/m2 Trong đó: c : ứng suất cắt của đinh tán. cd : ứng suất chèn dập của đinh tán. n1: số đinh tán bố trí trên vòng trong.(ngoài) Chọn n1 = 8 ; n2 = 10 F: lực tác dụng lên dãy đinh tán vòng trong. d: đường kính đinh tán. r1 r2
  • 29.
    SVTH: Nguyễn VănĐoài GVHD:Vũ Đình Nam 29 l: chiều dài chèn dập của đinh tán, bằng khoảng 1/2 chiều dầy tấm ma sát nên ta có: l = 4/2 = 2 (mm) = 0,002( m) Kiểm tra đinh tán ở vòng trong 1c = 701,5 8.3,14.0,005 2 4 = 4,4.106 (N/m2) = 4,4 (MN/m2) 1cd = 701,5 8.0,002.0,005 = 8,76.106 (N/m2) = 8,76 (MN/m2) Ø320 Ø200 Ø 280 Ø 230 Ø5 Hình 2.1 .Sơ đồ bốn trí đinh tán trên đĩa ly hợp Ứng suất cắt và chèn dập đối với đinh tán ở vòng ngoài: Chọn n2 = 12 tương tự như trên ta cú : 2c = 818,4 10. 3,14.0,0052 4 = 4,2.106 (N/m2) = 4,2 (MN/m2) 2cd = 818,4 10.0,002.0,005 = 8,2.106 (N/m2) = 8,2 ( MN/m2 ) Ứng suất cho phép của vật liệu làm đinh tán là: [ c ] = 30 (MN/m2); [ cd ] = 80 (MN/m2) ( Theo sách Thiết Kế và Tính Toán Ôtô – trường ĐHSPKT Hưng Yên ) Nên các đinh tán đảm bảo độ bền cho phép.
  • 30.
    SVTH: Nguyễn VănĐoài GVHD:Vũ Đình Nam 30 2.4.2 Tính toán bền lò xo ép của ly hợp : Ta dùng lò xo ép là loại lò xo trụ đặt xung quanh. Vật liệu chế tạo lò xo ép là thép 60C2 có ứng suất cho phép là: [ ] = (5000  7000) kG/cm2 = ( 490,5.106 ÷ 686,7.106 ) N/m2 Lực cực đại tác dụng lên mỗi lò xo ép cho phép trong khoảng: Plx 100 kG Số lượng lò xo là Z = 12. Sơ đồ tính lò xo ép: Hình 2.3. Sơ đồ lò xo ép của ly hợp Khi ly hợp đóng ta cú lực tỏc dụng lờn lũ xo la Plx và biến dạng một lượng là l chiều dài của nó là : L1 Khi mở ly hợp ta có lực ép lên lò xo là P’lx và lò xo biến dạng một đoạn là l’, chiều dài của lò xo lúc này là L2 Số lượng lò xo ép được chọn theo đường kính ngoài của đĩa bị động.Ta chọn số lò xo là 12. Tổng lực ép trên tất cả các lò xo khi ly hợp làm việc được xác định theo công thức: P  = Me µ.Rtb.i = β.Memax µ.Rtb.i = 1,5.265 0,32.0,132.2 = 4705 (N) Khi mở ly hợp lò xo lại biến dạng thêm một đoạn l và tương ứng với lực ép : P’ = 1,2.P  = 1,2.4705 = 5464 (N) - Tính đường kính dây lò xo: d = √ 𝐷.𝑃𝑙𝑥 ′ 𝑑.0,4.[ 𝑥] Bảng giá trị của tỷ số D/d và K D d 7 6 5 4 3 K 1,2 1,25 1,3 1,4 1,6 với D/d = C, ta chọn C =6 D: là đường kính trung bình của vòng lò xo.
  • 31.
    SVTH: Nguyễn VănĐoài GVHD:Vũ Đình Nam 31 d: là đường kính dây lò xo. P’lx: là lực ép của một lò xo khi mở ly hợp P’lx= ' /P Z = 5646 12 = 470,5 (N) Khi đó ta có: d = √ 470,5.6 0,4.80.107 = 2,97.10-3 (m) = 2,97 (mm) ta lấy d = 4 (mm) Khi đó đường kính trung bình của vòng lò xo: D = C.d = 6.4 = 24 (mm). - Tính số vòng làm việc của lò xo: c = 4 10 4 3 3 ' 0,2 . 7,8.10 .0,004 90278 8. . 8.2.0,024 lx lx lxP P P G d l l l i D         no= 4 3 . 8. . G d c D G : là mô đun đàn hồi dịch chuyển, G=7,8.1010 (N/m2). no: là số vòng làm việc của lò xo. no = 7,8.1010(0,004)4 8.90278.0.0243 = 2,01 vòng. Ta lấy no = 3 vòng Vậy số vòng toàn bộ của lò xo là: n = 2 + no = 2 + 3 = 5 (vòng). -Tính chiều dài toàn bộ của lò xo ở trạng thái tự do: L=(no+2).d+1(no+1)+l Với: 1 : là khe hở cực tiểu giữa các vòng lò xo khi mở ly hợp, chọn 1=1(mm). l: là độ biến dạng thêm của lò xo khi mở ly hợp: l=0,2.P’lx/c l = 0,2. 470,5 90278 = 1,1.10-3 (m) = 1,1 (mm) Chiều dài toàn bộ của lò xo là: L = (3+2).4 + 1.(3+1) + 1,1 = 25,1 mm. - Tính bền lò xo theo ứng suất xoắn - ][ . ...8 3 '     d kDP lx N/m2 - Trong đó: -  : là ứng suất sinh ra khi lò xo làm việc ứng với trường hợp mở ly hợp. - k: hệ số tập trung ứng suất., - Theo bảng 8 sách Hướng dẫn thiết kế hệ thống ly hợp. D d 7 6 5 4 3 K 1,2 1,25 1,3 1,4 1,6
  • 32.
    SVTH: Nguyễn VănĐoài GVHD:Vũ Đình Nam 32 - - Với C=6, ta chọn k=1,25. Vật liệu chế tạo lò xo là thép cacbon cao, có ứng suất xoắn cho phép: [ ]=(50.10780.107)N/m2 - Khi đó: -  = 8.470,5.0,024.1,25 3,14.0,0043 = 11,3.107 ( N/m) - Vậy lò xo ép đảm bảo điều kiện bền. 2.3.3. Tính bền trục ly hợp: Tính tỉ số truyền ở tay số 1 ih1= 4,12 Tỷ số truyền của truyền lực chính được tính. 0 4,53i  * Tính khoảng cách trục A của cỏc trục của hốp số Theo công thức sau: A = a. 3 maxeM Ka: hệ số kinh nghiệm Đối với hộp số xe du lịch: a =14,5 - 16 Đối với hộp số ô tô tải sử dụng động cơ xăng: a = 17 - 19,5 Đối với hộp số ô tô tải sử dụng động cơ diezel : a = 20,5 - 21,5 Đối với hộp số phụ và hộp số phân phối: a= 17 - 21,5 Chọn : a= 15 A = 15. 3 265 = 99,52 (mm) * Chọn mô đun pháp tuyến cho bánh răng luôn ăn khớp: Việc chọn mô đun răng còn thống nhất đối với các bánh răng trong cùng hộp số để đơn giản công nghệ chế tạo và sửa chữa. Để giảm trọng lượng hộp số khi có cùng khoảng cách trục, nên tăng mô đun và giảm chiều rộng vành răng. Mô đun pháp tuyến của vành răng có thể chọn theo tiêu chuẩn hoặc theo bảng. Mô đun pháp tuyến mn các bánh răng hộp số ô tô theo môđun động cơ. Mô men xoắn lớn nhất của động cơ Memax, Nm Mô đun pháp tuyến của bánh răng hộp số mn, mm 50 – 100 100 - 200 200 - 400 2,25 - 2,50 2,75 - 3,00 3,00 - 3,75
  • 33.
    SVTH: Nguyễn VănĐoài GVHD:Vũ Đình Nam 33 400 - 800 800 – 1000 3,75 - 4,50 4,50 - 6,00 Dựa vào bảng trên ta có thể chọn sơ bộ mô đun của bánh răng dựa vào mô men xoắn lớn nhất của động cơ ở đây là Memax= 265 Nm nên chọn mn=3 Hoặc có thể chọn theo công thức sau: )1.( cos..2   iz A m a  Trong đó : az là số răng của bánh răng chủ động. i là tỷ số truyền của cặp bánh răng tính toán.  là góc nghiêng của răng. Trong trường hợp này số bánh răng chủ động za trong cặp bánh răng luôn luôn ăn khớp được chọn theo điều kiện không bị cắt đỉnh với số răng từ 17 trở lên, đối với răng không dịch chỉnh là từ 14 răng trở lên đối với răng có dịch chỉnh. m = )1.( cos..2 aiZa A   Za = )1.( cos..2 an im A  = 2.96,35.cos 3.( 1)ai   Sau khi biết A, mn và za có thể xác định tỷ số truyền của cặp bánh răng luôn luôn ăn khớp theo công thức   zm A i n a cos2  -1 Trong đó: ia – tỷ số truyền của cặp bánh răng luôn ăn khớp, đối với các hộp số ô tô hiện nay thường có giá trị ia = 1,6 - 2,5.  – góc nghiêng răng của căp bánh răng luôn ăn khớp, góc đươc gọi là góc trung bình: Đối vói ô tô du lịch :  = 30 - 450 Đối với ô tô vận tải :  = 20 - 300 Số răng z’ a bánh răng bị động của cặp bánh răng luôn ăn khớp xác định theo : z’ a = za.ia Chọn  = 300 Za = 22 mn = 3 Ta có: 0 2.99,52.cos30 1 1,62 22.3 ai    ; thoả mãn điều kiện ia = 1,6  2,5 Số răng ' aZ = aZ .ia = 22.1,62 = 35,64 (răng).chọn ' aZ =37 răng Tính chính xác khoảng cách trục A:
  • 34.
    SVTH: Nguyễn VănĐoài GVHD:Vũ Đình Nam 34 A = ' 0 0 .( ) 3.(22 37) 102, 2( ) 2.cos30 2.cos30 n am Za Z mm     Trục ly hợp cũng là trục sơ cấp hộp số. Đầu trước của trục gối lên ở bi trong bánh đà, đầu sau lắp ổ bi thành vỏ hộp số. Đầu cuối trục có lắp bánh răng nghiêng liền trục luôn ăn khớp với bánh răng trung gian của hộp số. Sơ đồ các lực tác động lên trục ly hợp. Trong đó: Trục I: Là trục ly hợp, đồng thời là trục sơ cấp hộp số ở cuối của trục có lắp liện bánh răng nghiêng và được khoét rộng lỗ ở tâm để lắp ở bi kim đỡ đầu trục số III. Trục II: Là trục trung gian của hộp số, 2 đầu trục được đỡ bởi hai ổ bi trụ lắp trên vỏ hộp số. Trục III: Là trục thứ cấp của hộp số, một đầu được tỳ lên ổ bi kim ở trong trục so cấp, một đầu được tỳ lên ổ bi lắp trên thân hộp số. Để kiểm nghiệm trục ta chọn chế độ mômen lớn nhất và hộp số để ở tay số 1. Trục I: MI = Memax = 265(Nm) Trục II: MII = MI. ia = MI. ai 265.1,62 429,3(Nm)  Trục III: MIII = MII. ih1 = MII. h1i 429,3.4,12 1768,72(Nm)  * Các bước tính: + Bước 1: Tính toán các lực trên bánh răng trục số I và trục số III + Bước 2: Xác định phản lực lên trục cá gối đỡ trục I và trục số III. + Bước 3: Kiểm tra bền trục số I (Trục ly hợp). RAY RAX A RBY RBX Pa1 PV1 Pr1 B C III II D PV4 Pr4 I
  • 35.
    SVTH: Nguyễn VănĐoài GVHD:Vũ Đình Nam 35 a. Bước 1: Tính toán các lực trên bánh răng trục số I và trục số III. Công thức tính lực tác dụng lên các cặp bánh răng. Stt Tên gọi Kí hiệu Bánh răng thẳng Bánh răng nghiêng 1 Lực vòng PV mZ t M . .2 vP s mZ t M . .2 vP 2 Lực hướng tâm Pr Pr = Pv.tg   cos . tg vPrP 3 Lực dọc trục Pa Pa = 0 Pa = Pv.tg Trong đó: - Z: Là số răng của bánh răng đang tính. - Mt: Mô men tính toán trên các trục hộp số - ms: Mô đun mặt đầu (bảng thông số hình học của bánh răng). - : Góc prôfin gốc (bảng thông số hình học của bánh răng). - : Góc nghiêng của răng (bảng thông số hình học của bánh răng). Trục số I. Bánh răng trên trục số I là bánh răng nghiêng có: Mô đun mặt đầu 3 3,46 cos cos30 m nms      mm Đường kính vòng chia d1 = ms. Za =3,46.22=76,12 (mm) = 0,076(m ) d1’ = ms. Za’ = 3,46.37=128 (mm) = 0,128 (m) I B Pr1 PV1 Pa1 A
  • 36.
    SVTH: Nguyễn VănĐoài GVHD:Vũ Đình Nam 36 - Góc nghiêng của răng:  = 300 - Góc ăn khớp :  = 200. - Mô đun pháp tuyến: mn=3 - Số răng: Za=22 Khi đó: Lực vòng: Pv1 = I 1 2M 2.265 6973,68(N) d 0,076   Lực hướng tâm: Pr1 =   0 V1 0 P .tg 6973,68.tg20 2931 N cos cos30     Lực dọc trục : Pa1 = PV1.tg = 6973,68.tg300 = 4026,26(N) Trục số III : Bánh răng trên trục III là bánh răng thẳng có đường kính vòng lăn d4 = m.Z4 = 53.3 = 159(mm) =0,159 (m) Góc ăn khớp:  = 200. Với: Z4=53 m=3: là mô đun pháp tuyến. Khi đó: Lực vòng Pv4= 4 2 2.1768,72 22248 . 3.0,053 IIIM N Z m   Lực hướng tâm: Pr4 = PV4.tg =22248.tg200 = 8097,63 N b. Bước 2 : Xác định phản lực lên trục các gối đỡ trục I và trục số III. Pr4 PV4 D III C
  • 37.
    SVTH: Nguyễn VănĐoài GVHD:Vũ Đình Nam 37 Trục III : RCY RCX Pv4 C 80320 D Pr4 Ta lấy: MDX = 0  RCX (320 + 80) = PV4.80  RCX = 22248.80 320 80 = 4449,6 (N) Ta lấy: DyM = 0  RCY = 4.60 320 80 rP  RCY = 8097,63 .80 320 80 = 1619,52 (N) Trục số I: RAY RAX RBXA 240 D PV1 RBY 50 60 Pr1 Pa1 RCX B RCY I Ta lấy: MBx = 0  RAx .240 = (RCX + PV1).50
  • 38.
    SVTH: Nguyễn VănĐoài GVHD:Vũ Đình Nam 38  RAx =  4449,6 6973,68 .50 240  = 2379,85 (N)  MBy = 0  RAY.240 - Pa1. 128 2 + (RCY + Pr1).50 = 0 RAY.240 = Pa1.64 – (RCY + Pr1).50  RAY =  a1. CY r1P 64 – R P .50 240  = 4026,26.64 (1619,52 2931 ).50 240   = 125,64 (N) Vậy RAY có chiều như chiều hình vẽ. RY = 0  Pr1 + RCY - RAy = RBy  RBy = 2931+ 1619,52 - 126,64= 4423,88 (N) RX = 0  RAX + RCX + PV1 = RBX  RBX = 27379,85 + 4449,6 + 6973,68 = 38803,13 (N). Nhắc lại các lực tác dụng lên trục I: PV1 =6973,68 (N) RAx = 2379,85 (N) Pr1 =2931 (N) RAy = 125,64 (N) Pa1 =4026,26 (N) RBx = 38803,13 (N) RCx =4449,6 (N) RBy = 4423,88 (N) RCy = 1619,52 (N) c. Bước 3: Kiểm tra bền trục số I (trục ly hợp) . *Xác định moment uốn Mux: - Tại B: + Xét từ trái sang phải: 𝑀 𝐵 𝑥 = 0,240. 𝑅 𝐴𝑌 = 30,15 (𝑁. 𝑚) - Tại C: + Xét từ phải sang trái: 𝑀𝐶 𝑥 = − 𝑃𝑎1. 𝑑 2 = 4026,26. 0,128 2 = 257,68( 𝑁. 𝑚) *Xác định moment uốn tại Muy: + Xét từ trái sang phải: 𝑀 𝐵 𝑦 = −0,240. 𝑅 𝐴𝑋 = 571,16(𝑁. 𝑚) *Xác định moment xoắn Mx = Memax mô men xoắn cực đại của động cơ Mx = Memax= 256 Nm
  • 39.
    SVTH: Nguyễn VănĐoài GVHD:Vũ Đình Nam 39 Từ biểu đồ mômen trên người ta xác định được một trục bền đều thoả mãn. d  2 2 2 uxi uyi xi 3 th M M M 0,1[ ]    (Theo thuyết bền ứng suất tiếp lớn nhất) Song ở đây ta đã có sẵn trục với các tiết diện được cho là thay đổi hợp lý (bền đều). Nên ta đi kiểm nghiệm bền tại một mặt cắt nguy hiểm nhất. Tại B. uxM 30,15Nm uyM 571,16Nm xM 265Nm
  • 40.
    SVTH: Nguyễn VănĐoài GVHD:Vũ Đình Nam 40 Trị số ứng suất cho phép   của thép chế tạo trục được chọn theo bảng (7-2) sách Thiết kế chi thiết máy – Nguyễn Trọng Hiệp – Nguyễn Văn Lẫm Với thép 40X ta chọn   = 70 N/mm2 .     2 2 2 2 ux 30,15 571,16 571,95( )u uyM M M Nm 2 2 d 0,75.t u xM M M     2 2 d 571,95 0,75.265 613,42( ) 613420( )tM Nm Nmm     33 613420 44,42( ) 0,1 0,1.70 tdM d mm Chọn: D = 45mm = 0,045m Bước 3: Kiểm nghiệm bền trục Trục ly hợp được chế tạo bằng thép 50X, có ứng suất cho phép:   2 7 2 1200 / 11,7.10 /th KG cm N m   . + Kiểm nghiệm theo ứng suất uốn Tại các tiết diện nguy hiểm, ứng suất uốn được xác định bằng công thức sau:  u u u u W M   (1) Trong đó: -Wu: Mô men chống uốn, vì trục đặc nên ta có Wu = 0,1.d3 -Mu: Mômen uốn tổng hợp tại tiết diện nguy hiểm của trục, Mu được xác định 2 2 2 2 u ux uyM M M 30,15 +571,16 = 571,95(Nm)= 571950(Nmm)   u = 3 571950 6,67 0,1.95  (N/mm2) + Kiểm nghiệm theo ứng suất xoắn:  x x x x W M   Trong đó : -Mx là mô men xoắn. Mx=265 Nmm -Wx là mô men chống xoắn: Với trục đặc Wx=0,2.d3 Thay số vào ta có:
  • 41.
    SVTH: Nguyễn VănĐoài GVHD:Vũ Đình Nam 41 Wx = 0,2.953 = 171475 mm3 Vậy ứng suất xoắn: 2265 0,0015 / 171475 x N mm   Vậy ứng suất uốn và xoắn tổng hợp được tính bằng công thức: ][2.42 thxuth   = 2 2 2 6,67 4.0,0015 6,67 /N mm  th  = 6,67.106 (N/m2 ) [ ]th Vậy trục đủ độ bền cho phép. 2.3.4. Tính bền moay ơ đĩa bị động: Chiều dài moay ơ đĩa bị động được chọn tương đối lớn để giảm độ đảo của đĩa bị động, moay ơ được ghép với xương đĩa bị động bằng đinh tán và lắp với trục ly hợp bằng then hoa. Chiều dài moay ơ thường chọn bằng đường kính ngoài của then hoa trục ly hợp. Khi điều kiện làm việc nặng nhọc ta chọn L=1,4D ( D là đường kính ngoài của then hoa trục ly hợp). Điều kiện làm việc không nặng nhọc ta chọn L=D. Ở ly hợp hai đĩa bị động thì chiều dài mỗi moay ơ riêng biệt phải giảm nhiều. Khi làm việc then hoa của moay ơ chịu ứng suất chèn dập và cắt được xác định theo công thức c = ][ ).(... .4 21 max c e dDbLzz M   ; ][ ).(.. 8 22 21 max cd e dc dDLzz M     . Trong đó:  Memax: là mô men cực đại của động cơ; Memax = 265 (N.m) L D d
  • 42.
    SVTH: Nguyễn VănĐoài GVHD:Vũ Đình Nam 42  z1: số lương moay ơ riêng biệt. Đối với ly hợp thiết kế là loại 1 đĩa bị động z1=1  z2: số then hoa của một moay ơ : z2 = 10  D: đường kính ngoài của then hoa : D = 45 mm = 0,045 (m). Đường kính ngoài của moayơ được chọn theo đường kính của trục ly hợp.  d: đường kính trong của then hoa; d = 39 mm = 0,039 ( m)  L: chiều dài moay ơ: Thường lấy chiều dài moay ơ bằng đường kính L = D trong trường hợp làm việc nhẹ còn trong điều kiện làm việc nặng nhọc lấy L = 1,4.D, ta lấy L = D = 45 mm  b: bề rộng của một then hoa; b = 8 mm.  Vật liệu chế tạo moay ơ là thép 40X, ứng suất cho phép [ c ]= 2.107N/m2 ; [ dc ] = 3.107N/m2. Do đó: c = ).(... .4 21 max dDbLzz M e  = 54.265 3,5.10 1.10.0,045.0,008(0,045 0,039)   (N/m2 )< [ c ] max 2 2 1 2 8 . . .( ) e cd M z z L D d    = 6 2 2 8.265 9,3.10 1.10.0,045.(0,045 0,039 )   (N/m2)<[ dc ] Vậy then hoa đảm bảo độ bền về ứng suất cắt và chèn dập để nó làm việc tốt. - Kiểm tra đinh tán dùng ghép moay ơ đĩa bị động với xương đĩa: Đinh tán nối moay ơ với xương đĩa bị động thường làm bằng thép C30 có: [ c ] = [ cd ] = 3.107N/m2. đường kính đinh tán d=(6 10)mm chọn d=10 mm. Tính ứng suất cắt và ứng suất chèn dập: c = 2 . 4 F d n   [ c ] N/m2 ; cd = . . F n l d  [ cd ] N/m2 Trong đó:  F là lực tác dụng lên đinh tán: F = max 265 1256,25 2 2.0,08 eM r   (N)  r = 80 mm là bán kính đặt đinh tán, chọn theo xe tham khảo.  l = 6 mm là chiều dài bị chèn dập của đinh tán.  n= 6 số lượng đinh tán của may ơ c = 7 2 2 2 1256,25 2,66.10 ( /m ) [ ] . 3,14.0,01 . 6. 4 4 c F N d n      ; cd = 7 21256,25 2,2.10 ( /m ) 6.0,0095.0,01 F N nld   <[ cd ] Vậy đinh tán đảm bảo độ bền cho phép.
  • 43.
    SVTH: Nguyễn VănĐoài GVHD:Vũ Đình Nam 43 BẢNG THÔNG SỐ Chi tiết Thông số Giá trị Đĩa ma sát Đường kính trong D1 = 200 mm Đường kính ngoài D2 = 320 mm Đinh tán đĩa bị động Đường kính đinh tán d=5mm Bán kính vòng trong đặt đinh r1 =115 mm Bán kính vòng ngoài đặt đinh r2 = 140 mm
  • 44.
    SVTH: Nguyễn VănĐoài GVHD:Vũ Đình Nam 44 Số lượng đinh tán vòng trong n1 = 8 Số lượng đinh tán vòng ngoài n2 = 10 Xương đĩa ma sát Chiều dày 2 mm. Tấm ma sát Chiều dày 4,5 mm. Lò xo ép Số lượng Z = 12 số vòng toàn bộ của lò xo 5 vòng Chiều dài toàn bộ của lò xo 25,1 mm Trục ly hợp Đường kính D=45 mm Moay ơ Đường kính ngoài then hoa D=45 mm Đường kính trong then hoa d=39 mm Chiều rộng moay ơ L=45 mm Bề rộng then hoa B=8mm Số lượng then hoa Z=10 Đinh tán nối xương đĩa với moay ơ Đường kính đinh tán D=10 Bán kính đặt đinh tán r=80 Số lượng đinh tán n=6 KẾT LUẬN Sau khi nhận đề tài’ đồ án môn học’ em đã xác định rõ nhiệm vụ và trách nhiệm của mình với đề tài được giao. Qua việc nghiên cứu đề tài, tham khảo tài liệu cộng với kiến thức đã học và rèn luyện tại trường ĐHSPKT Hưng Yên. Bên cạnh sự hướng dẫn nhiệt tình của thầy Vũ Đình Nam. Sự giúp đỡ của bạn bè và sự lỗ lực của bản thân. Đến nay đề tài của em đã hoàn thành. Trong quá trình thực hiện đề tài, em có cố gắng trình bày một cách ngắn gọn, rõ ràng để hiểu và có hệ thống nhằm quý bạn đọc thuận lợi trong quá trình tham khảo nhưng do lần đầu làm Đồ án, một phương pháp nghiên cứu khoa học mới mẻ, chắc chắn không tránh khỏi
  • 45.
    SVTH: Nguyễn VănĐoài GVHD:Vũ Đình Nam 45 những sai sót. Vậy em rất mong thầy và các bạn đọc đóng góp ý kiến để bài làm của em được hoàn thiện hơn. Hưng yên, ngày … tháng… năm 2013. Sinh Viên Nguyễn Văn Đoài TÀI LIỆU THAM KHẢO 1. Bài giảng Tính toán thiết kế ôtô (TL1) 2. Hướng dẫn thiết kế ô tô: (Phần truyền lực trên ôtô). (TL2) Ths. Lê Văn Tụy - Khoa Cơ khí Giao thông Trường Đại học Bách khoa - ĐHĐN 3. Lý Thuyết ôtô máy kéo (TL3) 4. Bài giảng Cấu tạo ô tô
  • 46.
    SVTH: Nguyễn VănĐoài GVHD:Vũ Đình Nam 46 GV Đồng Minh Tuấn