1
SPSS 16.0
1 ENTRI DATA
a OUTPUT SPSS
NAMA PRESTASI KERAJINAN PEKERJAAN JENIS KELAMIN USIA
Ahmad 75.5 Malas Pegawai Negeri Laki-Laki 14
Beni 70 Malas Pegawai Negeri Laki-Laki 13
Coni 79.77 Sedang ABRI Perempuan 15
Dodi 78.5 Rajin ABRI Laki-Laki 17
Eva 76 Sedang ABRI Perempuan 15
Fitrian
i
85.85 Sedang Pegawai Negeri Perempuan 12
Gogon 87 Malas Pedagang Laki-Laki 17
Hani 86.86 Rajin Pedagang Laki-Laki 13
Ita 89 Rajin Petani Perempuan 13
Joni 66 Rajin Nelayan Laki-Laki 16
b PEMBAHASAN
Entri dilakukan dengan:
a Memasukkan data ke dalam masing-masing kolom variable
b Memberikan identitas masing-masing variable yang terdiri dari name, type,
width, decimals, label, values, missing, columns, align, dan measure
c Mengisi identitas variable
2 ANALISIS DESKRIPTIF
a OUTPUT SPSS
Frequencies
Statistics
HASIL_BELAJAR
N Valid 50
Missing 0
Mean 75.20
Std. Error of Mean 1.807
Median 75.00
Mode 70a
Std. Deviation 12.776
Variance 163.224
Skewness -.176
Std. Error of Skewness .337
Kurtosis -.899
Std. Error of Kurtosis .662
Range 45
Minimum 50
Maximum 95
Sum 3760
Percentiles 10 55.50
25 65.00
50 75.00
75 86.25
90 90.00
a. Multiple modes exist. The smallest value is shown
HASIL_BELAJAR
Frequency Percent Valid Percent Cumulative Percent
2
Valid 50 2 4.0 4.0 4.0
55 3 6.0 6.0 10.0
60 5 10.0 10.0 20.0
65 3 6.0 6.0 26.0
70 8 16.0 16.0 42.0
75 8 16.0 16.0 58.0
80 5 10.0 10.0 68.0
85 4 8.0 8.0 76.0
90 8 16.0 16.0 92.0
95 4 8.0 8.0 100.0
Total 50 100.0 100.0
Frequencies
Statistics
KEMAMPUAN
AWAL
LAMA BELAJAR
MOTIVASI
BELAJAR
KETERSEDIAAN
SUMBER BELAJAR
N
Valid 50 50 50 50
Missing 0 0 0 0
Mode 1 1 1 1
Range 2 2 2 1
Frequency Table
KEMAMPUAN_AWAL
3
Frequency Percent Valid Percent
Cumulative
Percent
Valid TINGGI 21 42.0 42.0 42.0
SEDANG 17 34.0 34.0 76.0
RENDAH 12 24.0 24.0 100.0
Total 50 100.0 100.0
LAMA_BELAJAR
Frequency Percent Valid Percent Cumulative Percent
Valid 2 JAM 19 38.0 38.0 38.0
3 JAM 15 30.0 30.0 68.0
4 JAM 16 32.0 32.0 100.0
Total 50 100.0 100.0
MOTIVASI_BELAJAR
Frequency Percent Valid Percent
Cumulative
Percent
Valid TINGGI 20 40.0 40.0 40.0
SEDANG 14 28.0 28.0 68.0
RENDAH 16 32.0 32.0 100.0
Total 50 100.0 100.0
KETERSEDIAAN_SUMBER_BELAJAR
Frequency Percent Valid Percent
Cumulative
Percent
Valid LENGKAP 28 56.0 56.0 56.0
TIDAK LENGKAP 22 44.0 44.0 100.0
Total 50 100.0 100.0
Pie Chart
4
5
6
b INTERPRETASI
Frequencies Statistics
Valid : menunjukkan angka 50, berarti data seluruh siswa telah dianalisis
Missing : menunjukkan angka 0, berarti tidak ada data belum terinput
Mean : besarnya mean pada variable hasil belajar adalah 75,20.
Median : besar median pada variable adalah 75.00
Modus : nilai yang mempunyai frekuensi paling banyak pada variable hasil
belajar adalah 70.00
Standar deviasi : besar selisih masing-masing skor dengan nilai rata-rata hitung
adalah 12,776
Variance : tingkat homogenitas data didapat dari hasil kuadrat standar
deviasi
Skewness : tingkat kemiringan kurva variable hasil belajar adalah -0,176.
Ratio skewness :
:
: -0,522
Kurtosis : keruncingan/ketumpulan kurva variable hasil belajar adalah
-0,889
Ratio kurtosis :
:
: -1,343
Karena ratio skewness dan ratio kurtosis lebih kecil dari 2 maka distribusi data normal.
Minimum : skor terendah pada variable hasil belajar adalah 50
Maximum : skor tertinggi pada variable hasil belajar adalah 95
Frequency table menggambarkan variable secara kuantitatif, sedangkan histogram dan
pie chart mendeskripsikan masing-masing variable secara visual
3 ANALISIS KORELASI DUA VARIABEL (BIVARIAT)
a OUTPUT SPSS
Descriptive Statistics
Mean Std. Deviation N
Nilai Rata-Rata Siswa 79.4480 7.76594 10
Usia Siswa 14.50 1.780 10
Correlations
Nilai Rata-Rata
Siswa Usia Siswa
Nilai Rata-Rata Siswa Pearson Correlation 1 -.245
Sig. (2-tailed) .494
N 10 10
Usia Siswa Pearson Correlation -.245 1
Sig. (2-tailed) .494
N 10 10
7
b INTERPRETASI OUTPUT
Tabel deskriptif statistic menjelaskan tentang besarnya mean, standar deviasi, dan N
pada masing-masing variable. Variabel nilai rata-rata siswa besar mean = 79.448,
standar deviasi= 7.76, dan N = 10. Variabel usia besarnya mean= 14.50, standar deviasi=
1.78, dan N= 10.
Tabel correlations menggambarkan besarnya koefisien korelasi nilai rata-rata siswa
dengan usia siswa, signifikansi, N, dan teknik analisis. Besarnya koefisien korelasi nilai
rata-rata siswa dengan usia siswa adalah -0.245
Besar koefisien korelasi variable nilai rata-rata siswa dengan usia siswa= -0.245, sig. (2
tailed)= 0.494.
TABEL NILAI KOEFISIEN KORELASI“R” PRODUCT MOMENT
TARAF SIGNIFIKAN 5% DAN 1%
df
Taraf Signifikansi
df
Taraf Signifikansi
5% 1% 5% 1%
1 0,997 1,000 24 0,388 0,496
2 0,950 0,990 25 0,381 0,487
3 0,878 0,959 26 0,374 0,478
4 0,811 0,917 27 0,367 0,470
5 0,754 0,874 28 0,361 0,463
6 0,707 0,834 29 0,355 0,456
7 0,666 0,798 30 0,349 0,449
8 0,632 0,765 35 0,325 0,418
9 0,602 0,735 40 0,304 0,393
10 0,576 0,708 45 0,288 0,372
11 0,553 0,684 50 0,273 0,354
12 0,532 0,66 60 0,250 0,325
13 0,514 0,641 70 0,232 0,302
14 0,497 0,623 80 0,217 0,283
15 0,482 0,606 90 0,205 0,267
16 0,468 0,590 100 0,195 0,254
17 0,456 0,575 125 0,174 0,228
18 0,444 0,561 150 0,159 0,208
19 0,433 0,549 200 0,138 0,181
20 0,423 0,537 300 0,113 0,148
21 0,413 0,526 400 0,098 0,128
8
22 0,404 0,515 500 0,088 0,115
23 0,369 0,505 1000 0,062 0,081
Besar koefisien korelasi -0,245 < 0.632. Taraf signifikansi 5% dan 0.765 taraf
signifikansi 1%. Sehingga , yang berarti tidak ada korelasi yang signifikan.
Besar nilai probabilitas atau sig. (2 tailed) adalah 0.495 > 0.5. Sehingga tidak ada
korelasi yang signifikan antara nilai rata-rata siswa dengan usia siswa.
Output diatas tidak ada tanda bintang, ini berarti tidak ada korelasi signifikan antara
nilai rata-rata siswa dengan usia siswa.
Hasil uji hipotesis mengatakan tidak ada korelasi positif yang signifikan antara nilai
rata-rata siswa dengan usia siswa.
4 ANALISIS KORELASI MULTIVARIAT
a OUTPUT SPSS
Descriptive Statistics
Mean Std. Deviation N
Kemampuan_Bahasa_Arab 68.00 10.488 15
Nilai_Tafsir 69.00 9.297 15
Usul_Fikih 67.00 9.599 15
Nilai_Fikih 77.00 5.278 15
Correlations
Kemampuan Bahasa
Arab
Nilai
Tafsir
Usul
Fikih
Nilai
Fikih
Kemampuan Bahasa
Arab
Pearson
Correlation
1 .875**
.717**
-.019
Sig. (2-tailed) .000 .003 .945
N 15 15 15 15
Nilai_Tafsir Pearson
Correlation
.875**
1 .644**
.116
Sig. (2-tailed) .000 .010 .679
N 15 15 15 15
Usul_Fikih Pearson
Correlation
.717**
.644**
1 .303
Sig. (2-tailed) .003 .010 .272
N 15 15 15 15
Nilai_Fikih Pearson
Correlation
-.019 .116 .303 1
Sig. (2-tailed) .945 .679 .272
N 15 15 15 15
**. Correlation is significant at the 0.01 level (2-tailed).
b INTERPRETASI OUTPUT
Tabel descriptive statistics menjelaskan tentang besarnya mean, standar deviasi, dan N
pada variable nilai bahasa arab, nilai tafsir, nilai ushul fiqih, dan nilai fikih.
Tabel correlations menggambarkan besarnya koefisien korelasi nilai bahasa arab, nilai
tafsir, nilai ushul fiqih, dan nilai fikih, signifikansi, N, dan teknik analisis yang digunakan
adalah Pearson Correlation.
Korelasi Koefisien Probabiliti Tanda Bintang Arah Korelasi Kesimpulan
9
Korelasi
Arab-tafsir 0.875 0.000<0.05 Ada Searah Ada korelasi
Arab-ushul fiqih 0.717 0.003<0.05 Ada Searah Ada korelasi
Arab-fiqih -0.019 0.945>0.05 Tidak Ada -
Tidak ada
korelasi
Tafsir-ushul
fiqih
0.644 0.010<0.05 Ada Searah Ada korelasi
Tafsir-fiqih 0.116 0.679>0.05 Tidak Ada -
Tidak ada
korelasi
Ushul fiqih-fiqih 0.303 0.272>0.05 Tidak Ada -
Tidak ada
korelasi
1 Ada korelasi positif yang signifikan antara nilai bahasa arab dengan nilai tafsir (
2 Ada korelasi positif yang signifikan antara nilai bahasa arab dengan nilai ushul
fiqih
3 Tidak ada korelasi positif yang signifikan antara nilai bahasa arab dengan nilai
fiqih (
4 Ada korelasi positif yang signifikan antara nilai tafsir dengan ushul fiqih (
5 Tidak ada korelasi positif yang signifikan antara nilai tafsir dengan nilai fiqih (
6 Tidak ada korelasi positif yang signifikan antara nilai ushul fiqih dengan nilai
fiqih (
5 ANALISIS KORELASI NON PARAMETRIK
a OUTPUT SPSS
Correlations
RANGKING_KELAS
_1
RANGKING_KELAS
_2
RANGKING_KELAS_1 Pearson Correlation 1 .842**
Sig. (2-tailed) .002
N 10 10
RANGKING_KELAS_2 Pearson Correlation .842**
1
Sig. (2-tailed) .002
N 10 10
**. Correlation is significant at the 0.01 level (2-tailed).
Nonparametric Correlations
Correlations
RANGKING_KELAS
_1
RANGKING_KELAS
_2
Spearman's
rho
RANGKING_KELAS
_1
Correlation
Coefficient
1.000 .842**
Sig. (2-tailed) . .002
N 10 10
RANGKING_KELAS
_2
Correlation
Coefficient
.842**
1.000
10
Sig. (2-tailed) .002 .
N 10 10
**. Correlation is significant at the 0.01 level (2-tailed).
b INTERPRETASI OUTPUT
Besarnya koefisien korelasi tata jenjang adalah 0.842. Dari output diatas juga dapat
diketahui bahwa besarnya probabilitas 0.002 < 0.05 . Dua tanda bintang menunjukkan
ada korelasi yang signifikan pada alfa 0.01
6 KORELASI KOEFISIEN KONTINGENSI
a OUTPUT SPSS
Case Processing Summary
Cases
Valid Missing Total
N Percent N Percent N Percent
PEMAHAMAN AJARAN
AGAMA ISLAM *
PELAKSANAAN SHOLAT
250 100.0% 0 .0% 250 100.0%
PEMAHAMAN_AJARAN_AGAMA_ISLAM * PELAKSANAAN_SHOLAT
Crosstabulation
PELAKSANAAN_SHOLAT
Total
KURANG
BAIK SEDANG BAIK
PEMAHAMAN
AJARAN AGAMA
ISLAM
KURANG
BAIK
Count 27 11 2 40
Expected Count 6.4 6.4 27.2 40.0
CUKUP Count 6 17 17 40
Expected Count 6.4 6.4 27.2 40.0
BAIK Count 7 12 151 170
Expected Count 27.2 27.2 115.6 170.0
Total Count 40 40 170 250
Expected Count 40.0 40.0 170.0 250.0
Chi-Square Tests
Value df Asymp. Sig. (2-sided)
Pearson Chi-Square 1.487E2a
4 .000
Likelihood Ratio 137.706 4 .000
Linear-by-Linear Association 126.257 1 .000
N of Valid Cases 250
a. 0 cells (.0%) have expected count less than 5. The minimum expected count is 6.40.
11
Symmetric Measures
Value Approx. Sig.
Nominal by Nominal Contingency Coefficient .611 .000
N of Valid Cases 250
b INTERPRETASI OUTPUT
Besarnya koefisien korelasi contingensi dapat dilihat pada tabel Symmetric Measures
yaitu 0.447. Besarnya probabilitas 0.000 < 0.05
ditolak dan diterima. Dengan demikian dapat disimpulkan bahwa ada korelasi positif
yang signifikan antara pemahaman ajaran agama Islam dengan pelaksanaan sholat
siswa SMU. Semakin baik pemahaman ajaran agama Islam, maka semakin baik
sholatnya.
7 KORELASI PARSIAL
a OUTPUT SPSS
Correlations A
TINGKAT
PENJUALAN JENIS IKLAN
Spearman's rho TINGKAT_PENJUALAN Correlation
Coefficient
1.000 .734**
Sig. (2-tailed) . .000
N 40 40
JENIS_IKLAN Correlation
Coefficient
.734**
1.000
Sig. (2-tailed) .000 .
N 40 40
**. Correlation is significant at the 0.01 level (2-tailed).
Partial Corr A
Control Variables
TINGKAT
PENJUALAN
JENIS IKLAN
BENTUK
KEMASAN
TINGKAT PENJUALAN
Correlation 1.000 .529
Significance (2-
tailed)
. .001
df 0 37
JENIS IKLAN
Correlation .529 1.000
Significance (2-
tailed)
.001 .
df 37 0
Correlations B
TINGKAT
PENJUALAN
BENTUK
KEMASAN
Spearman's
rho
TINGKAT
PENJUALAN
Correlation Coefficient 1.000 .595**
Sig. (2-tailed) . .000
N 40 40
BENTUK KEMASAN Correlation Coefficient .595**
1.000
Sig. (2-tailed) .000 .
N 40 40
12
**. Correlation is significant at the 0.01 level (2-tailed).
Partial Corr B
Control Variables
TINGKAT
PENJUALAN
BENTUK
KEMASAN
JENIS IKLAN TINGKAT
PENJUALAN
Correlation 1.000 .154
Significance (2-tailed) . .348
df 0 37
BENTUK KEMASAN Correlation .154 1.000
Significance (2-tailed) .348 .
df 37 0
b INTERPRETASI OUTPUT
Tabel Correlations A menunjukkan bahwa koefisiensi korelasi tingkat penjualan dengan
jenis iklan sebesar 0.734
Tabel Partial Corr A menunjukkan ada penurunan koefisien korelasi setelah dikontrol
dengan bentuk kemasan. Besarnya koefisien korelasi tingkat penjualan dengan iklan
sebelum dikontrol sebesar 0.734. Setelah dikontrol bentuk kemasan, koefisien
korelasinya hanya 0.529. Sedangkan probabilitinya adalah 0.001 jauh lebih kecil dari
0.05. Dengan demikian hipotesis nol ( dan hipotesis alternative (
Tabel Correlations B menunjukkan bahwa koefisiensi korelasi tingkat penjualan dengan
jenis iklan sebesar 0.595
Tabel Partial Corr A menunjukkan ada penurunan koefisien korelasi setelah dikontrol
dengan jenis iklan. Besarnya koefisien korelasi tingkat penjualan dengan kemasan
sebelum dikontrol sebesar 0.595. Setelah dikontrol bentuk iklan, koefisien korelasinya
adalah 0.154. Sedangkan probabilitinya adalah 0.348 jauh lebih besar dari 0.05. Dengan
demikian hipotesis nol ( dan hipotesis alternative (.
8 REGRESI LINEAR SEDERHANA
a OUTPUT SPSS
Descriptive Statistics
Mean Std. Deviation N
NILAI_TAFSIR_AL-QURAN 69.00 9.297 15
NILAI_BAHASA_ARAB 68.00 10.488 15
Correlations
NILAI TAFSIR
ALQURAN
NILAI BAHASA
ARAB
13
Pearson Correlation NILAI_TAFSIR_AL-QURAN 1.000 .875
NILAI_BAHASA_ARAB .875 1.000
Sig. (1-tailed) NILAI_TAFSIR_AL-QURAN . .000
NILAI_BAHASA_ARAB .000 .
N NILAI_TAFSIR_AL-QURAN 15 15
NILAI_BAHASA_ARAB 15 15
Variables Entered/Removedb
Model Variables Entered Variables Removed Method
1 NILAI_BAHASA_ARABa
. Enter
a. All requested variables entered.
b. Dependent Variable: NILAI_TAFSIR_AL-QURAN
Model Summaryb
Model R R Square Adjusted R Square Std. Error of the Estimate
1 .875a
.766 .748 4.663
a. Predictors: (Constant), NILAI_BAHASA_ARAB
b. Dependent Variable: NILAI_TAFSIR_AL-QURAN
ANOVAb
Model Sum of Squares df Mean Square F Sig.
1 Regression 927.289 1 927.289 42.640 .000a
Residual 282.711 13 21.747
Total 1210.000 14
a. Predictors: (Constant), NILAI_BAHASA_ARAB
b. Dependent Variable: NILAI_TAFSIR_AL-QURAN
Coefficientsa
Model
Unstandardized
Coefficients
Standardiz
ed
Coefficient
s
t Sig.
95% Confidence
Interval for B
B
Std.
Error Beta
Lower
Bound
Upper
Bound
1 (Constant) 16.234 8.170 1.987 .068 -1.416 33.884
NILAI_BAHASA_AR
AB
.776 .119 .875 6.530 .000 .519 1.033
a. Dependent Variable: NILAI_TAFSIR_AL-QURAN
Residuals Statisticsa
Minimum Maximum Mean Std. Deviation N
Predicted Value 55.03 82.19 69.00 8.138 15
Residual -6.672 9.448 .000 4.494 15
Std. Predicted Value -1.716 1.621 .000 1.000 15
Std. Residual -1.431 2.026 .000 .964 15
a. Dependent Variable: NILAI_TAFSIR_AL-QURAN
14
Charts
15
16
b INTERPRETASI OUTPUT
Tabel descriptive statistics menyajikan besarnya nilai rata-rata (mean), standar deviasi,
dan N masing-masing variable. Nilai rata-rata tafsir sebesar 69 > nilai bahasa Arab 68.
Standar deviasi nilai tafsir 9.297 < nilai bahasa Arab 10.488. Artinya, penyebaran
datanya lebih luas dibandingkan dengan nilai tafsir. Dengan kata lain, tingkat variance
data nilai tafsir < nilai bahasa Arab. Sedangkan besar N= 15 menunjukkan banyaknya
jumlah orang atau responden yang dianalisis.
Tabel correlations merupakan matrik korelasi variable nilai tafsir dengan variable nilai
bahasa Arab. Tabel correlations tersebut menggambarkan besarnya koefisien korelasi
nilai tafsir dengan nilai bahasa Arab, signifikansi, N, dan teknik analisis yang digunakan
yaitu Pearson Correlation. Dari output diatas dapat diketahui bahwa Koefisien Korelasi
variable nilai tafsir alquran dan nilai bahasa Arab = 0.875, sig. (1 tailed) = 0.000
sehingga dapat diinterpretasikan bahwa besarnya nilai probabilitas atau sig. (2 tailed)
adalah 0.000 < 0.05, , dan ada korelasi yang signifikan antara nilai bahasa Arab dengan
nilai tafsir mahasiswa. Korelasi nilai bahasa Arab dengan nilai tafsir sebesar 0.875
bertanda positif. Dengan kata lain, semakin tinggi nilai bahasa Arabnya maka semakin
tinggi pula nilai tafsirnya.
Tabel variables entered/ menjelaskan metode regresi yang digunakan untuk
menganalisis data dengan program SPSS 16.0. Metode yang digunakan adalah metode
enter.
Tabel menjelaskan besarnya persentase pengaruh variable bebas atau variable
predictor terhadap variable terikatnya. Besar koefisien determinasi adalah 0.766
mengandung pengertian bahwa pengaruh variable bebas (independent) terhadap
perubahan variable dependent adalah 76.6%. Sedangkan 23.4% (100-76.6%)
dipengaruhi oleh variable lain selain variable bahasa Arab.
Tabel menjelaskan apakah variasi nilai variable bebas dapat menjelaskan variasi nilai
variable terikat dengan menggunakan besarnya nilai F. Besarnya F hitung adalah 42.640
sedangkan besar signifikansinya 0.000 < 0.05. Dengan demikian dan . Dengan demikian,
variasi nilai variable bebas dapat menjelaskan variasi nilai variable terikat.
Dari tabel Coefficientsa
dapat ditulis persamaan regresinya
Y = a + bX
`= 16.234 + 0.766(X)
Besar nilai t dapat dijadikan petunjuk untuk mengetahui apakah variable bebasnya
berpengaruh terhadap variable terikatnya. Bila (sig. < 0.05) berarti berpengaruh dan
jika (sig. > 0.05) berarti tidak ada pengaruh. Dari tabel Coefficientsa
dapat diketahui
bahwa besar nilai tesnya 6.530 sedangkan besar signifikansinya 0.000 < 0.05. Dengan
demikian dan ada pengaruh variable bahasa Arab terhadap nilai tafsir.
Tabel selanjutnya adalah informasi tentang residuals statistic untuk analisis regresi
yang terdiri dari nilai minimum, maximum, mean, standar deviasi, dan N (jumlah
responden).
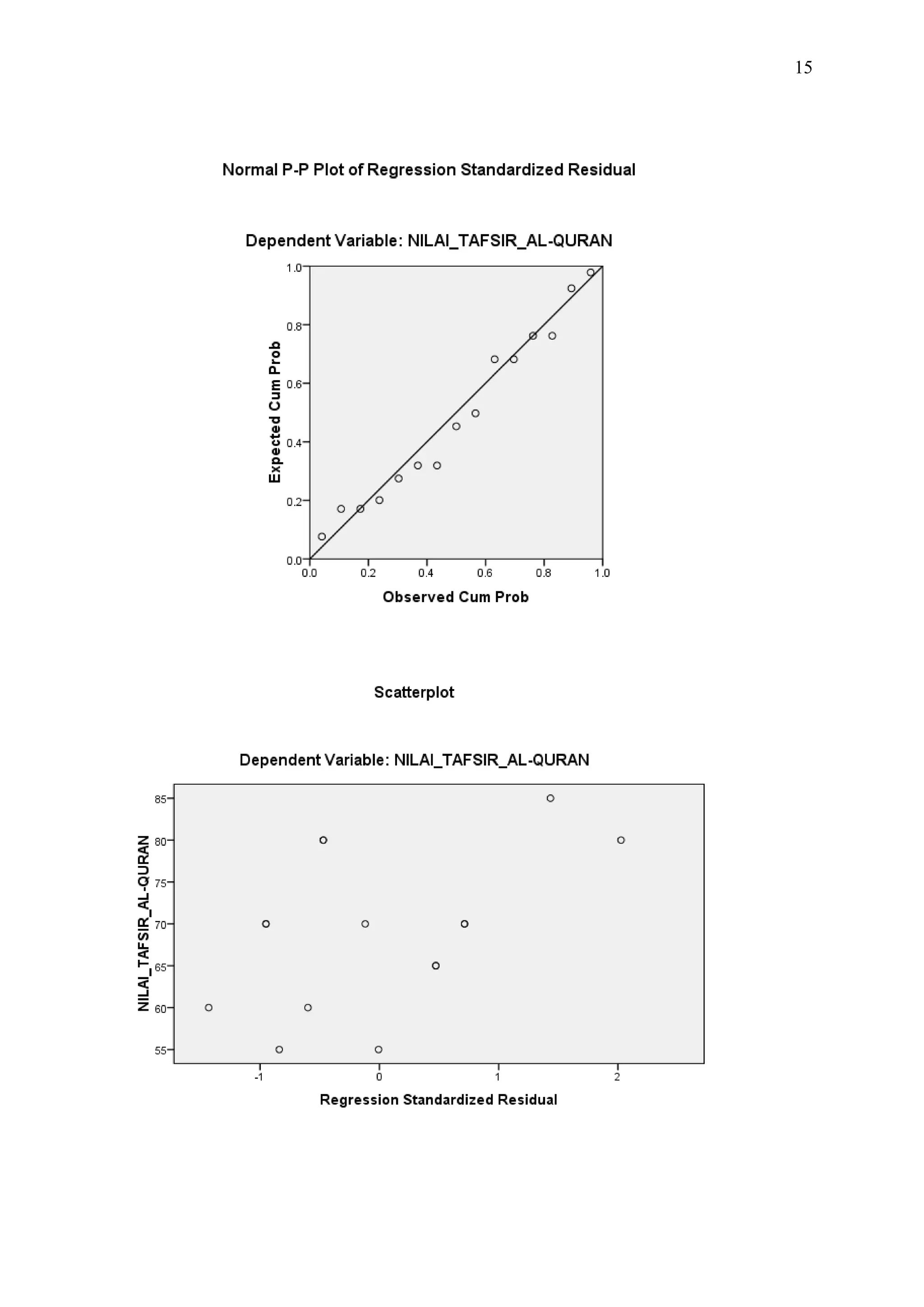
Bagian akhir output dilengkapi dengan gambar histogram dan kurva normal.
17
9 REGRESI GANDA
a OUTPUT SPSS
Descriptive Statistics
Mean Std. Deviation N
KEMAMPUAN_METODOLOGI_PENELITIAN 68.00 10.488 15
NILAI_STATISTIK 67.33 10.834 15
NILAI_BAHASA 69.67 9.904 15
Correlations
KEMAMPUAN METODOLOGI
PENELITIAN
NILAI
STATISTIK
NILAI
BAHASA
Pearson
Correlatio
n
KEMAMPUAN METODOLOGI
PENELITIAN
1.000 -.113 .406
NILAI STATISTIK -.113 1.000 -.142
NILAI BAHASA .406 -.142 1.000
Sig. (1-
tailed)
KEMAMPUAN METODOLOGI
PENELITIAN
. .344 .067
NILAI_STATISTIK .344 . .307
NILAI_BAHASA .067 .307 .
N KEMAMPUAN METODOLOGI
PENELITIAN
15 15 15
NILAI_STATISTIK 15 15 15
NILAI_BAHASA 15 15 15
Variables Entered/Removedb
Model Variables Entered Variables Removed Method
1 NILAI_BAHASA, NILAI_STATISTIKa
. Enter
a. All requested variables entered.
b. Dependent Variable: KEMAMPUAN_METODOLOGI_PENELITIAN
Model Summaryb
Model R R Square Adjusted R Square Std. Error of the Estimate
1 .410a
.168 .029 10.335
a. Predictors: (Constant), NILAI_BAHASA, NILAI_STATISTIK
b. Dependent Variable: KEMAMPUAN_METODOLOGI_PENELITIAN
ANOVAb
Model Sum of Squares df Mean Square F Sig.
1 Regression 258.319 2 129.159 1.209 .332a
Residual 1281.681 12 106.807
Total 1540.000 14
a. Predictors: (Constant), NILAI_BAHASA, NILAI_STATISTIK
b. Dependent Variable: KEMAMPUAN_METODOLOGI_PENELITIAN
Coefficientsa
Model
Unstandardized
Coefficients
Standardized
Coefficients
t Sig.
95% Confidence Interval for
B
B Std. Error Beta
Lower
Bound
Upper
Bound
1 (Constant) 42.359 28.103 1.507 .158 -18.871 103.589
NILAI_STATIST
IK
-.055 .258 -.057 -.213 .835 -.616 .506
NILAI_BAHASA .421 .282 .398 1.495 .161 -.193 1.035
a. Dependent Variable: KEMAMPUAN_METODOLOGI_PENELITIAN
Residuals Statisticsa
Minimum Maximum Mean Std. Deviation N
18
Predicted Value 60.12 74.58 68.00 4.296 15
Residual -18.028 14.077 .000 9.568 15
Std. Predicted Value -1.834 1.533 .000 1.000 15
Std. Residual -1.744 1.362 .000 .926 15
a. Dependent Variable: KEMAMPUAN_METODOLOGI_PENELITIAN
Charts
19
b INTERPRETASI OUTPUT
Tabel descriptive statistics menyajikan besarnya nilai rata-rata (mean), standar deviasi,
dan N masing-masing variable. Nilai rata-rata kemampuan penelitian sebesar 68, nilai
statistic 67.33, dan nilai bahasa 69.67. Standar deviasi kemampuan penelitian 10.488,
nilai statistic 10.834, dan nilai bahasa 9.904. Artinya, nilai statistic penyebaran datanya
lebih luas dibandingkan kemampuan penelitian dan nilai bahasa. Dengan kata lain,
20
tingkat variansi data nilai bahasa < nilai kemampuan penelitian. Sedangkan besar N= 15
menunjukkan banyaknya jumlah orang atau responden yang dianalisis pada setiap
variabelnya.
Tabel corelations merupakan matrik korelasi variable kemampuan penelitian, nilai
statistic, dan nilai bahasa. Besar N masing-masing variable adalah 15 dan teknik analisis
yang digunakan yaitu Pearson Correlation. Dari output diatas dapat diketahui bahwa:
1 hubungan antara kemampuan penelitian dan nilai statistic koefisien
korelasinya adalah = -0.113 dan signifikansinya 0.344 > 0.05 yang berarti TIDAK
ADA KORELASI.
2 hubungan antara kemampuan penelitian dan nilai bahasa koefisien korelasinya
adalah = 0.406 dan signifikansinya 0.067 > 0.05 yang berarti TIDAK ADA
KORELASI.
3 hubungan antara nilai statistic dan nilai bahasa koefisien korelasinya adalah =
-0.142 dan signifikansinya 0.306 > 0.05 yang berarti TIDAK ADA KORELASI.
Tabel variables entered/ menjelaskan metode regresi yang digunakan untuk
menganalisis data dengan program SPSS 16.0. Metode yang digunakan adalah metode
enter. Variabel nilai statistic dan nilai bahasa tidak ada yang dikeluarkan.
Tabel menjelaskan besarnya persentase pengaruh variable bebas atau variable
predictor terhadap variable terikatnya. Besar koefisien determinasi adalah 0.168
mengandung pengertian bahwa pengaruh variable bebas (independent) terhadap
perubahan variable dependent adalah 16.8%. Sedangkan 83.2% (100-16.8%)
dipengaruhi oleh variable lain. Jadi pengaruh nilai statistic dan nilai bahasa terhadap
kemampuan penelitian hanya 16.8% sedangkan pengaruh variabel lain 83.2%.
Tabel menjelaskan apakah variasi nilai variable bebas dapat menjelaskan variasi nilai
variable terikat dengan menggunakan besarnya nilai F. Besarnya F hitung adalah 1.209
sedangkan besar signifikansinya 0.332 > 0.05. Dengan demikian dan . Dengan demikian,
variasi nilai variable bebas tidak dapat menjelaskan variasi nilai variable terikat.
Dari tabel Coefficientsa
dapat ditulis persamaan regresinya
Y = 42.359 – 0.055() + 0.421()
Dimana Y= kemampuan penelitian, = nilai statistic, = nilai bahasa
Tabel Coefficientsa
menunjukkan bahwa variabel nilai statistic koefisien uji t = -0,213
sedangkan besarnya signifikansi 0.835 jauh lebih besar dari 0.05. Ini berarti pengaruh
nilai statistic terhadap kemampuan penelitian tidak signifikan atau tidak ada pengaruh.
Koefisien uji t nilai bahasa = 1.495 sedangkan besarnya signifikansi 0.161 > 0.05. Ini
berarti pengaruh nilai bahasa terhadap kemampuan penelitian tidak signifikan atau
tidak ada pengaruh. Walau secara teori, kemampuan bahasa dan kemampuan statistic
mempengaruhi kemampuan penelitian namun setelah dilakukan penelitian ternyata
kemampuan bahasa dan kemampuan statistic tidak mempengaruhi kemampuan
penelitian. Oleh karena itu, proses pemberian nilai pada mata kuliah statistic dan
21
bahasa perlu ditinjau ulang. Bisa saja alat evaluasi yang digunakan dalam menentukan
nilai bahasa dan statistic tidak memenuhi persyaratan validitas dan reliabilitas.
Tabel selanjutnya adalah informasi tentang residuals statistic untuk analisis regresi
yang terdiri dari nilai minimum, maximum, mean, standar deviasi, dan N (jumlah
responden).
Bagian akhir output dilengkapi dengan gambar histogram dan kurva normal.
10 CHI KUADRAT
a OUTPUT SPSS
Chi-Square Test
Frequencies
JAWABAN_GURU_SMU
Observed N Expected N Residual
Kurikulum baru lebih efektif dari kurikulum
sebelumnya
60 35.0 25.0
Kurikulum baru tidak efektif dibandingkan
dengan kurikulum sebelumnya
34 35.0 -1.0
Kurikulum baru dan kurikulum lama sama-
sama efektif
42 35.0 7.0
Tidak memberikan jawaban 4 35.0 -31.0
Total 140
FREKUENSI_JAWABAN
Observed N Expected N Residual
4 4 35.0 -31.0
34 34 35.0 -1.0
42 42 35.0 7.0
60 60 35.0 25.0
Total 140
Test Statistics
JAWABAN_GURU_SMU FREKUENSI_JAWABAN
Chi-Square 46.743a
46.743a
df 3 3
Asymp. Sig. .000 .000
a. 0 cells (.0%) have expected frequencies less than 5. The minimum expected cell frequency is 35.0.
b INTERPRETASI OUTPUT
Tabel Jawaban Guru menunjukkan bahwa jumlah sampel yang diobservasi adalah 140,
sementara yang memberi jawaban bahwa kurikulum baru lebih efektif dari kurikulum
sebelumnya sebanyak 60 dari jumlah harapan 35. yang memberi jawaban bahwa
kurikulum baru tidak efektif dibandingkan dengan kurikulum sebelumnya sebanyak 34
dari jumlah harapan 35. Sedangkan yang memberi jawaban bahwa kurikulum baru
sama efektifnya dengan kurikulum sebelumnya sebanyak 42 dari jumlah harapan 35.
Ada 4 orang yang tidak memberikan jawaban dari jumlah harapan 35. Adapun selisih
dari yang menjawab bahwa kurikulum baru lebih efektif dibandingkan dengan
22
kurikulum sebelumnya dibandingkan dengan jumlah harapan adalah 25. Selisih yang
menjawab bahwa kurikulum baru tidak efektif dibandingkan dengan kurikulum
sebelumnya dibandingkan dengan jumlah harapan adalah -1. Sementara selisih dari
yang menjawab bahwa kurikulum baru dan kurikulum sebelumnya sama-sama efektif
dibandingkan dengan jumlah harapan adalah 7. Selisih antara yang tidak menjawab dan
jumlah harapan adalah -31.
Tabel Frekuensi menunjukkan bahwa frekuensi jawaban terendah adalah 4 dan
frekuensi jawaban tertinggi adalah 60. Selisih terendah adalah 31 dan tertinggi 25.
Output tes statistic menampilkan hasil analisis Chi-Square yang telah dlakukan bahwa =
46.743 dan dk= 3. Dengan df= 3 diperoleh harga chi kuadrat tabel pada taraf signifikansi
5%= 7.82 dan pada taraf signifikansi 1%= 11.34. Dengan = 46.743 dapat disimpulkan
bahwa nilai > harga chi kuadrat baik pada taraf signifikansi 5% maupun 1%.
Berdasarkan paparan tersebut, yang menyatakan tidak terdapat perbedaan antara
frekuensi observasi dan frekuensi harapan ditolak, sedangkan diterima yang berarti ada
perbedaan yang meyakinkan antara frekuensi observasi ( dan frekuensi harapan (.
Dengan demikian dapat disimpulkan bahwa terdapat perbedaan frekuensi observasi
dengan frekuensi harapan terhadap efektifitas penggunaan kurikulum baru pada guru-
guru SMU.
11 CHI KUADRAT UNTUK TABEL 2X2
a OUTPUT SPSS
Case Processing Summary
Cases
Valid Missing Total
N Percent N Percent N Percent
HASIL_EVALUASI *
EFEKTIFITAS_METODE_MEMBACA_ALQUR
AN
200 100.0% 0 .0% 200 100.0%
HASIL_EVALUASI * EFEKTIFITAS_METODE_MEMBACA_ALQURAN Crosstabulation
Count
EFEKTIFITAS METODE MEMBACA
ALQURAN
Total
METODE
HATTAIYAH METODE IQRA'
HASIL_EVALUASI CEPAT 75 63 138
LAMBAT 25 37 62
Total 100 100 200
Chi-Square Tests
Value df
Asymp. Sig. (2-
sided)
Exact Sig. (2-
sided)
Exact Sig. (1-
sided)
Pearson Chi-Square 3.366a
1 .067
Continuity Correctionb
2.828 1 .093
23
Likelihood Ratio 3.382 1 .066
Fisher's Exact Test .092 .046
Linear-by-Linear
Association
3.349 1 .067
N of Valid Casesb
200
a. 0 cells (.0%) have expected count less than 5. The minimum expected count is 31.00.
b. Computed only for a 2x2 table
b INTERPRETASI OUTPUT
1 Output Tabel Case Processing Summary
Menampilkan hasil ringkasan kasus-kasus yang diteliti, dimana terlihat jumlah subjek
yang dianalisis untuk variabel evaluasi dan metode adalah 200 orang.
2 Output Hasil Evaluasi * Metode Crosstabulation
Menampilkan jumlah masing-masing kelompok yang dianalisis, dimana subjek yang
diajar dengan metode hattaiyah ada 100 orang dan dengan metode iqra’ sebanyak
100 orang. Dari hasil analisis dapat dilihat bahwa 75 orang yang diajar dengan
metode hattaiyah berhasil dengan cepat dan 25 orang lambat. Sementara yang
diajar dengan metode iqra’ sebanyak 63 orang diantaranya berhasil dengan cepat
sementara 37 orang lambat. Totak subjek yang berhasil dengan cepat sebanyak 138
orang dan yang lambat sebanyak 62 orang.
3 Output Chi Square Test
Menunjukkan hasil analisis Chi Kuadrat yaitu 3.36 dan df 1 dengan probabilitas
Asymp. Sig. (2-sided) 0.067. Adapun keputusan untuk menerima atau menolak
hipotesa dapat dilakukan dengan dua cara, yaitu berdasarkan uji Chi Kuadrat dan
tabel, dan dapat pula berdasarkan probabilitas.
a Jika Chi Kuadrat hitung < Chi Kuadrat tabel, maka diterima
b Jika Chi Kuadrat hitung > Chi Kuadrat tabel, maka ditolak
Dari tabel Chi Square Test dapat dilihat bahwa angka Chi Square sebesar 3.36 dengan
df = 1 sehingga diperoleh harga kritik chi kuadrat () sebagai berikut:
a Pada taraf signifikan 5% = 3.84
b Pada taraf signifikan 1% = 6.64
Dengan = 3.366 < harga chi kuadrat (tabel), baik pada taraf signifikan 5% maupun
1%, maka diterima dan .
24
12 CHI KUADRAT DENGAN KOREKSI YATES
a OUTPUT SPSS
Case Processing Summary
Cases
Valid Missing Total
N Percent N Percent N Percent
JAWABAN * GURU 100 100.0% 0 .0% 100 100.0%
JAWABAN * GURU Crosstabulation
GURU
TotalSLTP SMU
JAWABAN SETUJU Count 35 42 77
Expected Count 38.5 38.5 77.0
TIDAK SETUJU Count 15 8 23
Expected Count 11.5 11.5 23.0
Total Count 50 50 100
Expected Count 50.0 50.0 100.0
Chi-Square Tests
Value df
Asymp. Sig.
(2-sided)
Exact Sig.
(2-sided)
Exact Sig.
(1-sided)
Pearson Chi-Square 2.767a
1 .096
Continuity Correctionb
2.033 1 .154
Likelihood Ratio 2.802 1 .094
Fisher's Exact Test .153 .077
Linear-by-Linear Association 2.739 1 .098
N of Valid Casesb
100
a. 0 cells (.0%) have expected count less than 5. The minimum expected count is 11.50.
b. Computed only for a 2x2 table
Case Processing Summary
Cases
Valid Missing Total
N Percent N Percent N Percent
JAWABAN * GURU 100 100.0% 0 .0% 100 100.0%
JAWABAN * GURU Crosstabulation
25
GURU
TotalSLTP SMU
JAWABAN SETUJU Count 35 42 77
Expected Count 38.5 38.5 77.0
TIDAK SETUJU Count 15 8 23
Expected Count 11.5 11.5 23.0
Total Count 50 50 100
Expected Count 50.0 50.0 100.0
Chi-Square Tests
Value df
Asymp. Sig. (2-
sided)
Exact Sig. (2-
sided)
Exact Sig. (1-
sided)
Pearson Chi-Square 2.767a
1 .096
Continuity Correctionb
2.033 1 .154
Likelihood Ratio 2.802 1 .094
Fisher's Exact Test .153 .077
Linear-by-Linear Association 2.739 1 .098
N of Valid Casesb
100
a. 0 cells (.0%) have expected count less than 5. The minimum expected count is 11.50.
b. Computed only for a 2x2 table
b INTERPRETASI OUTPUT
Dari tabel diatas dapat kita lihat bahwa hasil analisis Chi Kuadrat Yates untuk data
diatas adalah 2.033. Pengambilan keputusan untuk Chi Kuadrat Yates ini juga sama
dengan Chi Kuadrat 2X2. Dari hasil analisis data yang ada, dengan df 1 diperoleh Chi
Kuadrat tabel sebesar 3.84 untuk taraf signifikansi 5% dan 6.64 untuk taraf signifikansi
1%. Bila nilai Chi Kuadrat tabel ini dibandingkan dengan hasil Chi Kuadrat hitung maka
terlihat bahwa Chi Kuadrat hitung < nilai Chi Kuadrat tabel sehingga yang diterima
adalah yang menyatakan tidak terdapat perbedaan. Dengan demikian dapat
disimpulkan bahwa tidak terdapat perbedaan pendapat yang meyakinkan antara guru
SLTP dan guru SMU terhadap perubahan hari belajar dari 6 hari menjadi 5 hari.
Sebagian besar guru setuju dengan perubahan hari belajar tersebut.
13 CHI KUADRAT UNTUK KATEGORI LEBIH DARI DUA
a OUTPUT SPSS
Case Processing Summary
Cases
Valid Missing Total
N Percent N Percent N Percent
PEKERJAAN * PENDAPAT
MASYARAKAT TENTANG
PELAKSANAAN
PENDIDIKAN
500 100.0% 0 .0% 500 100.0%
PEKERJAAN * PENDAPAT_MASYARAKAT_TENTANG_PELAKSANAAN_PENDIDIKAN Crosstabulation
Count
PENDAPAT MASYARAKAT TENTANG PELAKSANAAN
PENDIDIKAN
Total
26
SANGAT
BAIK BAIK CUKUP KURANG
PEKERJAA
N
PEGAWAI
NEGERI
40 45 27 13 125
PEDAGANG 50 60 23 17 150
PETANI 45 72 31 12 160
KELOMPOK
LAIN
10 30 20 5 65
Total 145 207 101 47 500
Chi-Square Tests
Value df Asymp. Sig. (2-sided)
Pearson Chi-Square 14.438a
9 .108
Likelihood Ratio 14.938 9 .093
Linear-by-Linear Association .996 1 .318
N of Valid Cases 500
a. 0 cells (.0%) have expected count less than 5. The minimum expected count is 6.11.
b INTERPRETASI OUTPUT
Dari tabel diatas dapat kita lihat bahwa nilai Chi Kuadrat 14.438 dengan df 9 sehingga
diperoleh harga kritik Chi Kuadrat sebesar 16.92 untuk taraf signifikansi 5% dan 21.67
untuk taraf signifikansi 1%. Dengan = 14.438 berarti < harga kritik Chi Kuadrat baik
pada taraf signifikansi 5% atau 1%. Dengan demikian, hipotesa yang diterima adalah
yang berarti tidak ada perbedaan sehingga dapat disimpulkan bahwa tidak ada
perbedaan frekuensi jawaban keempat kelompok masyarakat terhadap pelaksanaan
pendidikan di daerahnya. Secara umum, masyarakat berpendapat bahwa pelaksanaan
pendidikan politik di daerahnya baik.
14 UJI T
a OUTPUT SPSS
Paired Samples Statistics
Mean N Std. Deviation Std. Error Mean
Pair 1 METODE_BAGHDADIYAH 65.20 10 8.039 2.542
METODE_IQRO 70.50 10 9.629 3.045
Paired Samples Correlations
N Correlation Sig.
Pair 1 METODE_BAGHDADIYAH &
METODE_IQRO
10 .956 .000
Paired Samples Test
Paired Differences
t
df
Sig. (2-
tailed)
Mea
n
Std.
Deviatio
n
Std.
Error
Mean
95% Confidence
Interval of the
Difference
Lower Upper
27
P
air
1
METODE_BAGHDADIY
AH - METODE_IQRO
-
5.30
0
3.057 .967 -7.487 -3.113
-
5.48
3
9 .000
b INTERPRETASI OUTPUT
TABEL NILAI T UNTUK TARAF SIGNIFIKAN 5% DAN 1%
df/db 5% 1% df/db 5% 1%
1 12.71 63.66 24 2.06 2.80
2 4.30 9.92 25 2.06 2.79
3 3.18 5.84 26 2.06 2.78
4 2.78 4.60 27 2.05 2.77
5 2.75 4.03 28 2.05 2.76
6 2.45 3.71 29 2.04 2.76
7 2.36 3.50 30 2.04 2.75
8 2.31 3.36 35 2.03 2.72
9 2.26 3.25 40 2.02 2.72
10 2.23 3.17 45 2.02 2.69
11 2.20 3.11 50 2.01 2.68
12 2.18 3.06 60 2.00 2.65
13 2.16 3.01 70 2.00 2.65
14 2.14 2.98 80 1.99 2.64
15 2.13 2.95 90 1.99 2.63
16 2.12 2.92 100 1.98 2.63
17 2.11 2.90 125 1.98 2.62
18 2.10 2.88 150 1.98 2.61
19 2.09 2.86 200 1.97 2.60
20 2.09 2.84 300 1.97 2.59
21 2.08 2.83 400 1.97 2.59
22 2.07 2.82 500 1.96 2.59
23 2.07 2.81 1000 1.96 2.58
Dengan berpedoman pada nilai tes t dengan membandingkan dengan dengan nilai df
= 9 diperoleh angka 2.26 untuk taraf signifikan 5% dan 3.25 untuk taraf signifikan 1%.
Dengan nilai
= -5,483 berarti nilai > nilai baik pada taraf signifikan 5% atau 1% (2.26 < 5.483 >
3.25) yang berarti ditolak, yang berarti ada perbedaan signifikan.
Dengan angka signifikansi 0.00 < 0.05 maka yang menyatakan bahwa kemampuan
membaca Alquran antara metode Iqra’ dan metode Baghdadiyah ditolak.
Terdapat perbedaan yang signifikan antara kemampuan membaca Alquran anak TPA
dengan menggunakan metode Bagdadiyah dan metode Iqra’. Perbedaan mean
menunjukkan bahwa penggunaan metode Iqra’ lebih baik dari metode Baghdadiyah.
28
15 UJI T UNTUK SAMPEL-SAMPEL YANG TIDAK BERKORELASI
a OUTPUT SPSS
Group Statistics
ASAL
SEKOL
AH N Mean Std. Deviation Std. Error Mean
PRESTASI BELAJAR
MAHASISWA
MAN 10 7.000 .8819 .2789
SMU 10 6.600 .9661 .3055
Independent Samples Test
Levene's Test
for Equality of
Variances t-test for Equality of Means
F Sig. t df
Sig.
(2-
tailed)
Mean
Differen
ce
Std.
Error
Differen
ce
95%
Confidence
Interval of the
Difference
Lower Upper
PRESTASI
BELAJAR
MAHASISW
A
Equal
variances
assumed
.667 .425
.
96
7
18 .346 .4000 .4137 -.4691
1.269
1
Equal
variances
not assumed
.
96
7
17.8
52
.346 .4000 .4137 -.4696
1.269
6
b INTERPRETASI OUTPUT
Output group statistics menampilkan jumlah subjek pada masing-masing kelompok
sebesar 10, mean untuk siswa yang berasal dari MAN = 7, mean untuk siswa yang
berasal dari SMU = 6.5. Standar deviasi untuk siswa yang berasal dari MAN = 0.8819
dan untuk siswa yang berasal dari SMU= 0.9718. Sedangkan standar error untuk mean
mahasiswa yang berasal dari MAN= 0.2789 dan untuk yang berasal dari SMU= 0.3073
Output independent samples test menampilkan Levene’s Test untuk kesamaan varian.
Dalam hal ini yang diuji adalah (varian populasi identic) dan (varian populasi tidak
identic). Dari hasil perhitungan Levene’s Test dapat dilihat bahwa angka signifikansi
sebesar 0.429 > 0.05 maka diterima dan dapat dinyatakan bahwa varian populasi
identic. Oleh karena hipotesis yang dipakai bahwa kedua varian sama (identic) maka
yang dijadikan pedoman untuk analisis lebih lanjut adalah angka-angka yang terdapat
pada baris equal variance assumed.
Dari tabel terlihat bahwa hasil test t sebesar 1.205 dengan df 18, perbedaan mean = 0.5,
perbedaan standar error = 0.415, perbedaan prestasi terendah 0.3719, dan perbedaan
prestasi tertinggi sebesar 1,3719. Jika harga = 1.205 dibandingkan dengan dengan df
18 maka diperoleh harga kritik “t” pada tarif signifikan 5% sebesar 2.10 dan pada tarif
signifikan 1% sebesar 2.88. Karena harga < baik pada taraf signifikansi 5% atau 1%
(2.10>1.205<2.88) maka ditolak dan diterima, yang berarti tidak ada perbedaan yang
signifikan antara variabel X dengan variabel Y atau tidak terdapat perbedaan yang
29
berarti antara prestasi belajar siswa yang berasal dari MAN dengan yang berasal dari
SMU pada fakultas tarbiyah di UIN.
16 ANOVA SATU ARAH
a OUTPUT SPSS
Descriptives
TINGKAT_PENJUAL
AN
N Mean
Std.
Deviation
Std.
Error
95% Confidence Interval
for Mean
Minimu
m
Maximu
m
Lower
Bound
Upper
Bound
KEMASAN
A
10 51.00 5.164 1.633 47.31 54.69 45 55
KEMASAN
B
10 66.00 5.676 1.795 61.94 70.06 55 75
KEMASAN
C
10 37.00 7.528 2.380 31.61 42.39 20 45
Total 30 51.33 13.451 2.456 46.31 56.36 20 75
Test of Homogeneity of Variances
TINGKAT_PENJUALAN
Levene Statistic df1 df2 Sig.
.584 2 27 .565
ANOVA
TINGKAT_PENJUALAN
Sum of Squares df Mean Square F Sig.
Between Groups 4206.667 2 2103.333 54.606 .000
Within Groups 1040.000 27 38.519
Total 5246.667 29
Post Hoc Tests
Multiple Comparisons
TINGKAT_PENJUALAN
Tukey HSD
(I) BENTUK
KEMASAN
(J) BENTUK
KEMASAN
Mean
Difference (I-J) Std. Error Sig.
95% Confidence Interval
Lower Bound Upper Bound
KEMASAN A KEMASAN B -15.000*
2.776 .000 -21.88 -8.12
KEMASAN C 14.000*
2.776 .000 7.12 20.88
30
KEMASAN B KEMASAN A 15.000*
2.776 .000 8.12 21.88
KEMASAN C 29.000*
2.776 .000 22.12 35.88
KEMASAN C KEMASAN A -14.000*
2.776 .000 -20.88 -7.12
KEMASAN B -29.000*
2.776 .000 -35.88 -22.12
*. The mean difference is significant at the 0.05 level.
Homogeneous Subsets
TINGKAT_PENJUALAN
Tukey HSD
BENTUK_KEMASAN N
Subset for alpha = 0.05
1 2 3
KEMASAN C 10 37.00
KEMASAN A 10 51.00
KEMASAN B 10 66.00
Sig. 1.000 1.000 1.000
Means for groups in homogeneous subsets are displayed.
b INTERPRETASI OUTPUT
Dari data descriptives terlihat bahwa mean kemasan A = 51, mean kemasan B = 66, dan
mean kemasan C = 37. Standar deviasi untuk kemasan A = 5.164, kemasan B = 5.676,
dan kemasan C = 7.528. Angka minimum untuk kemasan A = 45, kemasan B = 55, dan
kemasan C = 20. Sementara angka maximum untuk kemasan A = 55, kemasan B = 75,
dan kemasan C = 45. Dengan taraf signifikansi 5% atau tingkat konfidensi 95%
diperoleh rata-rata tingkat penjualan kemasan A = 47.31-59.69, kemasan B= 62.94-
70.06, dan kemasan C = 31.61-42.39
Dari tabel homogeneity of variances dapat diketahui bahwa besarnya angka Levene
Statistic = 0.584 sedangkan probabilitas/signifikansinya = 0.584 > 0.05 maka dapat
disimpulkan bahwa hipotesis nihil (diterima yang berarti asumsi bahwa ketiga varian
populasi adalah identic, dapat diterima.
Dari tabel ANOVA dapat diketahui bahwa besarnya nilai probabilitas/signifikansinya
adalah 0.00 < 0.05 maka hipotesis nihil ditolak. Hal ini menunjukkan bahwa ada
perbedaan rata-rata hasil penjualan dengan menggunakan jenis kemasan yang berbeda.
Bentuk kemasan A, B, atau C mempunyai pengaruh terhadap hasil penjualan.
Dari tabel Post Hoc Tests (Multiple Comparisons), dapat dilihat bahwa perbedaan mean
kemasan A dengan kemasan B = -15 (kemasan A lebih kecil 15 poin dibandingkan
dengan kemasan B), kemasan A dengan kemasan C = 14 (kemasan A lebih besar 14 poin
dari kemasan C), kemasan B dengan kemasan A = 15 (kemasan B lebih besar 15 poin
dari kemasan A), kemasan B dan kemasan C = 29 (kemasan B lebih besar 29 poin
dibandingkan dengan kemasan C), kemasan C dengan kemasan A = -14 (kemasan C
lebih kecil 14 poin dibandingkan dengan kemasan A), sedangkan perbedaan mean
kemasan C dan kemasan B = -29 (kemasan C lebih kecil 29 poin dibandingkan dengan
kemasan B). Dari tabel diatas dapat disimpulkan bahwa:
31
1
2
3
Dengan kata lain, 1) bentuk kemasan yang paling baik untuk meningkatkan penjualan
adalah kemasan B. Hal ini bisa dilihat dari jumlah rata-rata tertinggi pada kelompok ,
sedangkan bentuk kemasan yang kurang baik dalam meningkatkan penjualan adalah
kemasan C; 2) ada perbedaan tingkat penjualan pada masing-masing bentuk kemasan,
baik pada kemasan A, B, maupun C; 3) ada pengaruh yang signifikan antara bentuk
kemasan A, B, dan C terhadap tingkat penjualan.
Dari tabel Homogeneus Subsets terlihat bahwa pada subset 1 hanya terdapat kemasan C
dengan angka 37 sebagai mean terendah, yang berarti kemasan ini berbeda dengan 2
kemasan lainnya. Pada subset 2 hanya terlihat kemasan A dengan mean 51, yang berarti
kelompok ini berbeda dengan kelompok-kelompok yang lain. Dan pada subset 3
ditemukan kemasan B dengan mean 66 sebagai mean tertinggi yang berarti kemasan B
juga berbeda dengan 2 kemasan yang lain. Dari paparan ini dapat disimpulkan bahwa
ketiga kelompok memiliki perbedaan yang signifikan dibandingkan dengan kelompok-
kelompok yang lain.
17 ANOVA DUA ARAH
a OUTPUT SPSS
Between-Subjects Factors
Value Label N
BENTUK_KEMASAN 1 KEMASAN A 10
2 KEMASAN B 10
3 KEMASAN C 10
IKLAN 1 ELEKTRONIK 15
2 CETAK 15
Descriptive Statistics
Dependent Variable:TINGKAT_PENJUALAN
BENTUK_KEMASA
N IKLAN Mean Std. Deviation N
KEMASAN A ELEKTRONIK 184.00 50.299 5
CETAK 237.00 23.345 5
Total 210.50 46.335 10
KEMASAN B ELEKTRONIK 232.80 46.062 5
CETAK 274.00 58.245 5
Total 253.40 54.058 10
KEMASAN C ELEKTRONIK 286.60 37.018 5
CETAK 304.00 52.249 5
Total 295.30 43.663 10
Total ELEKTRONIK 234.47 60.015 15
CETAK 271.67 52.053 15
Total 253.07 58.350 30
32
Levene's Test of Equality of Error Variancesa
Dependent Variable:TINGKAT_PENJUALAN
F df1 df2 Sig.
.505 5 24 .769
Tests the null hypothesis that the error variance of the dependent variable is equal across groups.
a. Design: Intercept + KEMASAN + IKLAN + KEMASAN * IKLAN
Tests of Between-Subjects Effects
Dependent Variable:TINGKAT_PENJUALAN
Source
Type III Sum of
Squares df Mean Square F Sig.
Corrected Model 47979.867a
5 9595.973 4.537 .005
Intercept 1921282.133 1 1921282.133 908.443 .000
KEMASAN 35956.867 2 17978.433 8.501 .002
IKLAN 10378.800 1 10378.800 4.907 .036
KEMASAN * IKLAN 1644.200 2 822.100 .389 .682
Error 50758.000 24 2114.917
Total 2020020.000 30
Corrected Total 98737.867 29
a. R Squared = .486 (Adjusted R Squared = .379)
Estimated Marginal Means
BENTUK_KEMASAN * IKLAN
Dependent Variable:TINGKAT_PENJUALAN
BENTUK_KEMAS
AN IKLAN Mean Std. Error
95% Confidence Interval
Lower Bound Upper Bound
KEMASAN A ELEKTRONIK 184.000 20.567 141.553 226.447
CETAK 237.000 20.567 194.553 279.447
KEMASAN B ELEKTRONIK 232.800 20.567 190.353 275.247
CETAK 274.000 20.567 231.553 316.447
KEMASAN C ELEKTRONIK 286.600 20.567 244.153 329.047
CETAK 304.000 20.567 261.553 346.447
Post Hoc Tests
BENTUK_KEMASAN
Multiple Comparisons
Dependent Variable:TINGKAT_PENJUALAN
(I) BENTUK
KEMASAN
(J)
BENTUK
KEMASAN
Mean
Difference (I-
J)
Std.
Error Sig.
95% Confidence Interval
Lower
Bound
Upper
Bound
Tukey
HSD
KEMASAN
A
KEMASAN
B
-42.90 20.567 .114 -94.26 8.46
33
KEMASAN
C
-84.80*
20.567 .001 -136.16 -33.44
KEMASAN
B
KEMASAN
A
42.90 20.567 .114 -8.46 94.26
KEMASAN
C
-41.90 20.567 .125 -93.26 9.46
KEMASAN
C
KEMASAN
A
84.80*
20.567 .001 33.44 136.16
KEMASAN
B
41.90 20.567 .125 -9.46 93.26
Bonferroni KEMASAN
A
KEMASAN
B
-42.90 20.567 .143 -95.83 10.03
KEMASAN
C
-84.80*
20.567 .001 -137.73 -31.87
KEMASAN
B
KEMASAN
A
42.90 20.567 .143 -10.03 95.83
KEMASAN
C
-41.90 20.567 .158 -94.83 11.03
KEMASAN
C
KEMASAN
A
84.80*
20.567 .001 31.87 137.73
KEMASAN
B
41.90 20.567 .158 -11.03 94.83
Based on observed means.
The error term is Mean Square(Error) = 2114.917.
*. The mean difference is significant at the .05 level.
Homogeneous Subsets
TINGKAT_PENJUALAN
BENTUK_KEMASAN N
Subset
1 2
Tukey HSDa
KEMASAN A 10 210.50
KEMASAN B 10 253.40 253.40
KEMASAN C 10 295.30
Sig. .114 .125
Means for groups in homogeneous subsets are displayed.
Based on observed means.
The error term is Mean Square(Error) = 2114.917.
a. Uses Harmonic Mean Sample Size = 10.000.
b INTERPRETASI OUTPUT
Dari tabel Between-Subjects Factors ditampilkan hasil dari subjek-subjek yang diteliti
dan dimasukkan dalam analisis data sesuai dengan factor yang berbeda antar masing-
masing subjek. Dari hasil output terlihat bahwa subjek untuk kemasan A = 10 subjek,
kemasan B = 10 subjek, dan kemasan C = 10 subjek. Sehingga jumlah keseluruhan
34
subjek sebanyak 30 subjek. Dari 30 subjek tersebut, 15 diantaranya masuk pada
kelompok iklan media elektronik dan 15 lainnya masuk pada kelompok iklan media
cetak.
Dari data descriptives terlihat bahwa mean kemasan A dengan menggunakan media
elektronik = 184, standar deviasinya = 50.299, jumlah subjek yang termasuk dalam
kelompok ini = 5. Mean kemasan B dengan menggunakan media elektronik = 232.80,
standar deviasinya =46.062, dan jumlah subjek yang termasuk dalam kelompok ini = 5.
Mean kemasan C dengan menggunakan media elektronik = 286.60, standar deviasinya =
37.018, dan jumlah subjeknya = 5. Mean kemasan A yang menggunakan media cetak =
237.00, standar deviasinya = 23.345, dan jumlah subjeknya = 5. Mean kemasan B yang
menggunakan media cetak = 274.00, standar deviasinya = 58.245, dan jumlah subjeknya
= 5. Mean kemasan C yang menggunakan media cetak = 304.00, standar deviasinya =
52.249, dan jumlah subjeknya = 5. Adapun mean keseluruhan untuk kemasan A =
210.50, standar deviasinya = 46.335, dengan jumlah subjeknya = 10. Mean keseluruhan
untuk kemasan B = 253.40, standar deviasinya = 54.058, dengan jumlah subjeknya = 10.
Sementara mean keseluruhan untuk kemasan C = 295.30, standar deviasinya = 43.663,
dengan jumlah subjeknya = 10. Mean keseluruhan untuk media elektronik = 234.47
dengan standar deviasinya = 60.015, dan jumlah subjeknya = 15. Mean keseluruhan
untuk media cetak = 271.67 dengan standar deviasinya = 52.053, dan jumlah subjeknya
= 15. Dari keseluruhan subjek yang ada (30 subjek), diperoleh mean sebesar 253.07 dan
standar deviasi 58.350.
Dari tabel output Levene’s Test of Equality of Error Variances diperoleh tes hitung
sebesar 0.505 dengan nilai probabilitas = 0.769. Karena 0.769 > 0.05, maka hipotesis
nihil (diterima dan hipotesis alternative (ditolak, yang berarti varian variabel terikat
adalah sama (homogen) sehingga memenuhi persyaratan analisis varian. Dengan
demikian proses analisis varian dapat dilanjutkan.
Dari tabel Tests of between Subjects Effects diperoleh jumlah kuadrat variabel kemasan
( 35956.867, jumlah kuadrat variabel iklan ( = 10378, dan jumlah kuadrat factor
kemasan dan iklan ( = 1644.2
Dari tabel diperoleh untuk factor kemasan sebesar 8.501. Jika angka ini
dikonfirmasikan dengan pada taraf signifikansi 5% dengan dk=2 untuk pembilang dan
24 untuk penyebut, maka diperoleh angka 3.40. Pada taraf signifikansi 1% didapat
angka 5.61 maka terlihat bahwa < sehingga diterima baik pada signifikansi 5% atau
1% dan ditolak.
Dari tabel juga diperoleh angka untuk factor iklan sebesar 4.907. Bila nilai tersebut
dikonfirmasikan dengan dengan alfa = 0.05, taraf signifikansi 5%, dk = 1 untuk
pembilang dan 24 untuk penyebut, maka diperoleh angka 4.46 < sehingga diterima
untuk taraf signifikansi 5%, sementara untuk tarat signifikansi 1%, ditolak dan
diterima. Dari sini bisa disimpulkan bahwa media iklan mempengaruhi tingkat
penjualan.
35
Pengaruh kemasan dan iklan secara bersama-sama terhadap hasil penjualan diperoleh
0.389. Bila angka ini dikonfirmasikan dengan jika diketahui nilai dk = 2 untuk
pembilang dan 24 untuk penyebut, maka diperoleh angka 3.40 untuk taraf signifikansi
5% dan 5.61 untuk taraf signifikansi 1%. Jadi nilai sehingga ditolak dan diterima.
Dari tabel Estimated Marginal Means dapat dilihat bahwa mean dari kemasan A = 210.5,
mean kemasan B = 253.4, dan mean kemasan C = 295.3. Sedangkan standar error dari
masing-masing kemasan sebesar 14.543. Penjualan kemasan A berkisar antara
180.485-240.515, kemasan B berkisar antara 223.385-283.415, dan kemasan C antara
265.285-325.315.
Mean kemasan A yang diiklankan melalui media elektronik adalah 184 dan hasil
penjualan berkisar antara 141.553-226.447, sedangkan yang diiklankan melalui media
cetak menghasilkan mean yang lebih besar yaitu 237 dengan hasil penjualan berkisar
antara 194.553 dan 279.447. Jika kedua mean dibandingkan, maka terlihat bahwa
kemasan A yang diiklankan melalui media cetak memperoleh mean yang lebih besar
dibandingkan dengan yang diiklankan melalui media elektronik. Secara kasar dapat
disimpulkan bahwa kemasan A lebih baik diiklankan dengan menggunakan media cetak
daripada melalui media elektronik.
Mean kemasan B yang diiklankan melalui media elektronik adalah 232.8 dan hasil
penjualan berkisar antara 190.353 sampai 275.247, sedangkan yang diiklankan melalui
media cetak menghasilkan mean yang lebih besar yaitu 274 dengan hasil penjualan
berkisar antara 231.553 dan 316.447. Bila kedua mean dibandingkan, maka terlihat
bahwa kemasan B yang diiklankan melalui media cetak memperoleh mean yang lebih
besar dibandingkan dengan yang diiklankan melalui media elektronik. Secara kasar
dapat disimpulkan bahwa kemasan B lebih baik diiklankan dengan menggunakan media
cetak daripada melalui media elektronik.
Adapun mean kemasan C yang diiklankan melalui media elektronik adalah 286.6 dan
hasil penjualan berkisar antara 244.153 sampai 329.047, sedangkan yang diiklankan
melalui media cetak menghasilkan mean yang lebih besar yaitu 304 dengan hasil
penjualan berkisar antara 261.553 dan 346.447. Bila kedua mean dibandingkan, maka
terlihat bahwa kemasan C yang diiklankan melalui media cetak memperoleh mean yang
lebih besar dibandingkan dengan yang diiklankan melalui media elektronik. Dari mean
kedua kelompok ini dapat disimpulkan bahwa baik kemasan A, B, dan C lebih baik
diiklankan lewat media cetak daripada media elektronik.
Dari tabel Post Hoc Tests (Multiple Comparisons), dapat dilihat bahwa perbedaan mean
kemasan A dengan kemasan B = -42.9 (kemasan A lebih kecil 42.9 poin dibandingkan
dengan kemasan B), kemasan A dengan kemasan C = -84.8 (kemasan A lebih kecil 84.8
poin dari kemasan C), kemasan B dengan kemasan A = 42.9 (kemasan B lebih besar 42.9
poin dari kemasan A), kemasan B dan kemasan C = -41.9 (kemasan B lebih kecil 41.9
poin dibandingkan dengan kemasan C), kemasan C dengan kemasan A = 84.8 (kemasan
36
C lebih besar 84.8 poin dibandingkan dengan kemasan A), sedangkan perbedaan mean
kemasan C dan kemasan B = 41.9 (kemasan C lebih besar 41.9 poin dibandingkan
dengan kemasan B).
Dari tabel Homogeneus Subsets terlihat bahwa pada subset 1 terdapat kemasan A dan B
dengan angka 210.5 untuk kemasan A dan 253.4 untuk kemasan B yang berarti
kemasan A tidak berbeda secara signifikan dengan kemasan B. Pada subset 2 terlihat
kemasan B dan C dengan angka 253.4 untuk kemasan B dan 295.3 untuk kemasan C. Hal
ini berarti bahwa pada dasarnya kemasan B tidak berbeda secara signifikan dengan
kemasan C.
18 ANACOVA
a OUTPUT SPSS
Between-Subjects Factors
Value Label N
METODE_PEMBELAJARAN 1 METODE ACTIVE
DEBATE
10
2 METODE JIGSAW 10
3 METODE DISKUSI 10
Descriptive Statistics
Dependent Variable:PRESTASI_BELAJAR_SETELAH_PERLAKUAN
METODE_PEMBELAJARAN Mean Std. Deviation N
METODE ACTIVE DEBATE 84.50 5.986 10
METODE JIGSAW 81.50 5.798 10
METODE DISKUSI 88.50 4.116 10
Total 84.83 5.943 30
Levene's Test of Equality of Error Variancesa
Dependent Variable:PRESTASI_BELAJAR_SETELAH_PERLAKUAN
F df1 df2 Sig.
.299 2 27 .744
Tests the null hypothesis that the error variance of the dependent variable is equal across groups.
a. Design: Intercept + SEBELUM + METODE
Tests of Between-Subjects Effects
Dependent Variable:PRESTASI_BELAJAR_SETELAH_PERLAKUAN
Source
Type III Sum of
Squares df Mean Square F Sig.
Corrected Model 349.636a
3 116.545 4.492 .011
Intercept 1656.253 1 1656.253 63.841 .000
SEBELUM 102.969 1 102.969 3.969 .057
METODE 72.471 2 36.235 1.397 .265
Error 674.531 26 25.944
Total 216925.000 30
Corrected Total 1024.167 29
37
a. R Squared = .341 (Adjusted R Squared = .265)
Estimated Marginal Means
METODE_PEMBELAJARAN
Dependent Variable:PRESTASI_BELAJAR_SETELAH_PERLAKUAN
METODE_PEMBELAJARAN Mean Std. Error
95% Confidence Interval
Lower Bound Upper Bound
METODE ACTIVE DEBATE 84.874a
1.622 81.541 88.208
METODE JIGSAW 82.623a
1.707 79.115 86.131
METODE DISKUSI 87.002a
1.778 83.349 90.656
a. Covariates appearing in the model are evaluated at the following values:
PRESTASI_BELAJAR_SEBELUM_PERLAKUAN = 67.50.
b INTERPRETASI OUTPUT
Dari tabel Between-Subjects Factors ditampilkan hasil dari subjek-subjek yang diteliti
dan dimasukkan dalam analisis data sesuai dengan factor yang berbeda antar masing-
masing subjek. Dari hasil output terlihat bahwa subjek untuk metode active debate,
metode jigsaw, dan metode diskusi, masing-masing memiliki jumah responden yang
sama yaitu 10 responden.
Pada tabel Descriptive Statistics dapat diketahui bahwa mean kelompok yang
menggunakan metode active debate = 84.50, mean kelompok yang menggunakan
metode jigsaw = 81.50, mean kelompok yang menggunakan metode diskusi = 88.50,
sedangkan mean seluruh siswa = 84.83. Standar deviasi kelompok yang menggunakan
metode active debate = 5.986, standar deviasi kelompok yang menggunakan metode
jigsaw = 5.798, standar deviasi kelompok yang menggunakan metode diskusi = 4.116,
standar deviasi kseluruhan adalah 5.943.
Dari tabel output Levene’s Test of Equality of Error Variances diperoleh angka F sebesar
0.299 dengan nilai probabilitas sebesar 0.744. Karena 0.744 > 0.05, maka hipotesis nihil
(diterima dan hipotesis alternative (ditolak, yang berarti varian variabel terikat adalah
sama (homogen) sehingga memenuhi persyaratan analisis kovarian. Dengan demikian
proses analisis kovarian dapat dilanjutkan.
Dari hasil analisis program SPSS 16 bisa dilihat besar untuk metode adalah 1.397 dan
0.265 untuk angka signifikansi. Karena 0.265 > 0.05 maka hipotesis nihil (diterima dan
hipotesis alternative (ditolak. Hal ini menunjukkan bahwa tidak ada perbedaan prestasi
belajar siswa dengan penggunaan metode belajar yang berbeda (melakukan control
terhadap prestasi belajar) sebelum perlakuan diberikan.
Dari tabel Estimated Marginal Means dapat dilihat bahwa nilai mean dengan
mengikutsertakan variabel control = 84.50 yang berarti lebih besar 0.374 dari mean
tanpa mengikutsertakan variabel control untuk kelompok yang diberi perlakuan
dengan menggunakan metode active debate. Nilai mean dengan mengikutsertakan
variabel control = 82.623 yang berarti lebih besar 1.123 dari mean tanpa
mengikutsertakan variabel control untuk kelompok yang diberi perlakuan dengan
menggunakan metode jigsaw. Sementara itu, nilai mean dengan mengikutsertakan
variabel control = 87.002 yang berarti lebih kecil 1.498 dari mean tanpa
38
mengikutsertakan variabel control untuk kelompok yang diberi perlakuan dengan
menggunakan metode diskusi.
Sedangkan standar error dari masing-masing kelompok sebesar 1.622 untuk kelompok
yang diberi perlakuan dengan menggunakan metode active debate, 1.707 untuk
kelompok yang diberi perlakuan dengan menggunakan metode jigsaw, dan 1.778 untuk
kelompok yang diberi perlakuan dengan menggunakan metode diskusi.
Adapun tingkat konfidensi untuk taraf 5% berkisar antara 81.541 – 88.208 untuk
kelompok yang diberi perlakuan dengan metode active debate, 79.115 – 86.131 untuk
kelompok yang diberi perlakuan dengan metode jigsaw, dan 83.349 – 90.656 untuk
kelompok yang diberi perlakuan dengan metode diskusi.
Dengan menganalisis data menggunakan Anova Satu Arah maka dapat dilihat gambaran
keadaan prestasi belajar siswa setelah dilakukan pendekatan dengan metode control
atau tanpa control. Berikut output data dengan menggunakan analisis Anova Oneway:
ANOVA
PRESTASI_BELAJAR_SETELAH_PERLAKUAN
Sum of Squares df Mean Square F Sig.
Between Groups 246.667 2 123.333 4.283 .024
Within Groups 777.500 27 28.796
Total 1024.167 29
Tabel output Anova diatas menunjukkan hasil yang berbeda dengan output Anova dari
kelas yang telah dikenai metode control. Perhitungan yang dilakukan tanpa control
menunjukkan adanya pengaruh pemberian metode yang berbeda terhadap prestasi
dimana diperoleh sebesar 4.283 dan angka signifikansi sebesar 0.024 < angka kritik
0.05. Dengan demikian dapat disimpulkan bahwa ada pengaruh perlakuan metode yang
berbeda terhadap hasil belajar siswa.
19 MENENTUKAN BESAR KONTRIBUSI VARIABEL INDEPENDEN
a OUTPUT SPSS
ANALISIS DENGAN MENGGUNAKAN TIGA MODEL
Between-Subjects Factors
Value Label N
METODE_PEMBELAJARAN 1 METODE ACTIVE
DEBATE
10
2 METODE JIGSAW 10
3 METODE DISKUSI 10
Tests of Between-Subjects Effects
Dependent Variable:PRESTASI_BELAJAR_SETELAH_PERLAKUAN
Source
Type III Sum of
Squares df Mean Square F Sig.
39
Corrected Model 409.269a
5 81.854 3.195 .024
Intercept 1050.346 1 1050.346 40.996 .000
METODE 58.142 2 29.071 1.135 .338
SEBELUM 26.454 1 26.454 1.033 .320
METODE * SEBELUM 59.633 2 29.817 1.164 .329
Error 614.898 24 25.621
Total 216925.000 30
Corrected Total 1024.167 29
a R Squared = .400 (Adjusted R Squared = .275)
ANALISIS DENGAN MENGGUNAKAN DUA MODEL
Between-Subjects Factors
Value Label N
METODE_PEMBELAJARAN 1 METODE ACTIVE
DEBATE
10
2 METODE JIGSAW 10
3 METODE DISKUSI 10
Tests of Between-Subjects Effects
Dependent Variable:PRESTASI_BELAJAR_SETELAH_PERLAKUAN
Source
Type III Sum of
Squares df Mean Square F Sig.
Corrected Model 349.636a
3 116.545 4.492 .011
Intercept 1656.253 1 1656.253 63.841 .000
METODE 72.471 2 36.235 1.397 .265
SEBELUM 102.969 1 102.969 3.969 .057
Error 674.531 26 25.944
Total 216925.000 30
Corrected Total 1024.167 29
a. R Squared = .341 (Adjusted R Squared = .265)
b INTERPRETASI OUTPUT
Perhitungan dilakukan dengan mengurangkan nilai Adjusted R Squared yang diperoleh
pada perhitungan model pertama (analisis tiga model) dengan nilai Adjusted R Squared
yang diperoleh pada perhitungan model kedua (analisis dua model) lalu membaginya
dengan nilai Adjusted R Squared yang diperoleh pada perhitungan model kedua
(analisis dua model) dan dikalikan dengan 100.
Hal ini menunjukkan bahwa kontribusi variabel independen terhadap prestasi belajar
siswa hanya sebesar 3.8% sementara kontribusi kovariat atau variabel control terhadap
variabel dependen sebesar 96.2%.

Contoh Analisis Data Statistika Menggunakan SPSS 16.0 (Mulai Entri Data sampai Analisis Covariance)

  • 1.
    1 SPSS 16.0 1 ENTRIDATA a OUTPUT SPSS NAMA PRESTASI KERAJINAN PEKERJAAN JENIS KELAMIN USIA Ahmad 75.5 Malas Pegawai Negeri Laki-Laki 14 Beni 70 Malas Pegawai Negeri Laki-Laki 13 Coni 79.77 Sedang ABRI Perempuan 15 Dodi 78.5 Rajin ABRI Laki-Laki 17 Eva 76 Sedang ABRI Perempuan 15 Fitrian i 85.85 Sedang Pegawai Negeri Perempuan 12 Gogon 87 Malas Pedagang Laki-Laki 17 Hani 86.86 Rajin Pedagang Laki-Laki 13 Ita 89 Rajin Petani Perempuan 13 Joni 66 Rajin Nelayan Laki-Laki 16 b PEMBAHASAN Entri dilakukan dengan: a Memasukkan data ke dalam masing-masing kolom variable b Memberikan identitas masing-masing variable yang terdiri dari name, type, width, decimals, label, values, missing, columns, align, dan measure c Mengisi identitas variable 2 ANALISIS DESKRIPTIF a OUTPUT SPSS Frequencies Statistics HASIL_BELAJAR N Valid 50 Missing 0 Mean 75.20 Std. Error of Mean 1.807 Median 75.00 Mode 70a Std. Deviation 12.776 Variance 163.224 Skewness -.176 Std. Error of Skewness .337 Kurtosis -.899 Std. Error of Kurtosis .662 Range 45 Minimum 50 Maximum 95 Sum 3760 Percentiles 10 55.50 25 65.00 50 75.00 75 86.25 90 90.00 a. Multiple modes exist. The smallest value is shown HASIL_BELAJAR Frequency Percent Valid Percent Cumulative Percent
  • 2.
    2 Valid 50 24.0 4.0 4.0 55 3 6.0 6.0 10.0 60 5 10.0 10.0 20.0 65 3 6.0 6.0 26.0 70 8 16.0 16.0 42.0 75 8 16.0 16.0 58.0 80 5 10.0 10.0 68.0 85 4 8.0 8.0 76.0 90 8 16.0 16.0 92.0 95 4 8.0 8.0 100.0 Total 50 100.0 100.0 Frequencies Statistics KEMAMPUAN AWAL LAMA BELAJAR MOTIVASI BELAJAR KETERSEDIAAN SUMBER BELAJAR N Valid 50 50 50 50 Missing 0 0 0 0 Mode 1 1 1 1 Range 2 2 2 1 Frequency Table KEMAMPUAN_AWAL
  • 3.
    3 Frequency Percent ValidPercent Cumulative Percent Valid TINGGI 21 42.0 42.0 42.0 SEDANG 17 34.0 34.0 76.0 RENDAH 12 24.0 24.0 100.0 Total 50 100.0 100.0 LAMA_BELAJAR Frequency Percent Valid Percent Cumulative Percent Valid 2 JAM 19 38.0 38.0 38.0 3 JAM 15 30.0 30.0 68.0 4 JAM 16 32.0 32.0 100.0 Total 50 100.0 100.0 MOTIVASI_BELAJAR Frequency Percent Valid Percent Cumulative Percent Valid TINGGI 20 40.0 40.0 40.0 SEDANG 14 28.0 28.0 68.0 RENDAH 16 32.0 32.0 100.0 Total 50 100.0 100.0 KETERSEDIAAN_SUMBER_BELAJAR Frequency Percent Valid Percent Cumulative Percent Valid LENGKAP 28 56.0 56.0 56.0 TIDAK LENGKAP 22 44.0 44.0 100.0 Total 50 100.0 100.0 Pie Chart
  • 4.
  • 5.
  • 6.
    6 b INTERPRETASI Frequencies Statistics Valid: menunjukkan angka 50, berarti data seluruh siswa telah dianalisis Missing : menunjukkan angka 0, berarti tidak ada data belum terinput Mean : besarnya mean pada variable hasil belajar adalah 75,20. Median : besar median pada variable adalah 75.00 Modus : nilai yang mempunyai frekuensi paling banyak pada variable hasil belajar adalah 70.00 Standar deviasi : besar selisih masing-masing skor dengan nilai rata-rata hitung adalah 12,776 Variance : tingkat homogenitas data didapat dari hasil kuadrat standar deviasi Skewness : tingkat kemiringan kurva variable hasil belajar adalah -0,176. Ratio skewness : : : -0,522 Kurtosis : keruncingan/ketumpulan kurva variable hasil belajar adalah -0,889 Ratio kurtosis : : : -1,343 Karena ratio skewness dan ratio kurtosis lebih kecil dari 2 maka distribusi data normal. Minimum : skor terendah pada variable hasil belajar adalah 50 Maximum : skor tertinggi pada variable hasil belajar adalah 95 Frequency table menggambarkan variable secara kuantitatif, sedangkan histogram dan pie chart mendeskripsikan masing-masing variable secara visual 3 ANALISIS KORELASI DUA VARIABEL (BIVARIAT) a OUTPUT SPSS Descriptive Statistics Mean Std. Deviation N Nilai Rata-Rata Siswa 79.4480 7.76594 10 Usia Siswa 14.50 1.780 10 Correlations Nilai Rata-Rata Siswa Usia Siswa Nilai Rata-Rata Siswa Pearson Correlation 1 -.245 Sig. (2-tailed) .494 N 10 10 Usia Siswa Pearson Correlation -.245 1 Sig. (2-tailed) .494 N 10 10
  • 7.
    7 b INTERPRETASI OUTPUT Tabeldeskriptif statistic menjelaskan tentang besarnya mean, standar deviasi, dan N pada masing-masing variable. Variabel nilai rata-rata siswa besar mean = 79.448, standar deviasi= 7.76, dan N = 10. Variabel usia besarnya mean= 14.50, standar deviasi= 1.78, dan N= 10. Tabel correlations menggambarkan besarnya koefisien korelasi nilai rata-rata siswa dengan usia siswa, signifikansi, N, dan teknik analisis. Besarnya koefisien korelasi nilai rata-rata siswa dengan usia siswa adalah -0.245 Besar koefisien korelasi variable nilai rata-rata siswa dengan usia siswa= -0.245, sig. (2 tailed)= 0.494. TABEL NILAI KOEFISIEN KORELASI“R” PRODUCT MOMENT TARAF SIGNIFIKAN 5% DAN 1% df Taraf Signifikansi df Taraf Signifikansi 5% 1% 5% 1% 1 0,997 1,000 24 0,388 0,496 2 0,950 0,990 25 0,381 0,487 3 0,878 0,959 26 0,374 0,478 4 0,811 0,917 27 0,367 0,470 5 0,754 0,874 28 0,361 0,463 6 0,707 0,834 29 0,355 0,456 7 0,666 0,798 30 0,349 0,449 8 0,632 0,765 35 0,325 0,418 9 0,602 0,735 40 0,304 0,393 10 0,576 0,708 45 0,288 0,372 11 0,553 0,684 50 0,273 0,354 12 0,532 0,66 60 0,250 0,325 13 0,514 0,641 70 0,232 0,302 14 0,497 0,623 80 0,217 0,283 15 0,482 0,606 90 0,205 0,267 16 0,468 0,590 100 0,195 0,254 17 0,456 0,575 125 0,174 0,228 18 0,444 0,561 150 0,159 0,208 19 0,433 0,549 200 0,138 0,181 20 0,423 0,537 300 0,113 0,148 21 0,413 0,526 400 0,098 0,128
  • 8.
    8 22 0,404 0,515500 0,088 0,115 23 0,369 0,505 1000 0,062 0,081 Besar koefisien korelasi -0,245 < 0.632. Taraf signifikansi 5% dan 0.765 taraf signifikansi 1%. Sehingga , yang berarti tidak ada korelasi yang signifikan. Besar nilai probabilitas atau sig. (2 tailed) adalah 0.495 > 0.5. Sehingga tidak ada korelasi yang signifikan antara nilai rata-rata siswa dengan usia siswa. Output diatas tidak ada tanda bintang, ini berarti tidak ada korelasi signifikan antara nilai rata-rata siswa dengan usia siswa. Hasil uji hipotesis mengatakan tidak ada korelasi positif yang signifikan antara nilai rata-rata siswa dengan usia siswa. 4 ANALISIS KORELASI MULTIVARIAT a OUTPUT SPSS Descriptive Statistics Mean Std. Deviation N Kemampuan_Bahasa_Arab 68.00 10.488 15 Nilai_Tafsir 69.00 9.297 15 Usul_Fikih 67.00 9.599 15 Nilai_Fikih 77.00 5.278 15 Correlations Kemampuan Bahasa Arab Nilai Tafsir Usul Fikih Nilai Fikih Kemampuan Bahasa Arab Pearson Correlation 1 .875** .717** -.019 Sig. (2-tailed) .000 .003 .945 N 15 15 15 15 Nilai_Tafsir Pearson Correlation .875** 1 .644** .116 Sig. (2-tailed) .000 .010 .679 N 15 15 15 15 Usul_Fikih Pearson Correlation .717** .644** 1 .303 Sig. (2-tailed) .003 .010 .272 N 15 15 15 15 Nilai_Fikih Pearson Correlation -.019 .116 .303 1 Sig. (2-tailed) .945 .679 .272 N 15 15 15 15 **. Correlation is significant at the 0.01 level (2-tailed). b INTERPRETASI OUTPUT Tabel descriptive statistics menjelaskan tentang besarnya mean, standar deviasi, dan N pada variable nilai bahasa arab, nilai tafsir, nilai ushul fiqih, dan nilai fikih. Tabel correlations menggambarkan besarnya koefisien korelasi nilai bahasa arab, nilai tafsir, nilai ushul fiqih, dan nilai fikih, signifikansi, N, dan teknik analisis yang digunakan adalah Pearson Correlation. Korelasi Koefisien Probabiliti Tanda Bintang Arah Korelasi Kesimpulan
  • 9.
    9 Korelasi Arab-tafsir 0.875 0.000<0.05Ada Searah Ada korelasi Arab-ushul fiqih 0.717 0.003<0.05 Ada Searah Ada korelasi Arab-fiqih -0.019 0.945>0.05 Tidak Ada - Tidak ada korelasi Tafsir-ushul fiqih 0.644 0.010<0.05 Ada Searah Ada korelasi Tafsir-fiqih 0.116 0.679>0.05 Tidak Ada - Tidak ada korelasi Ushul fiqih-fiqih 0.303 0.272>0.05 Tidak Ada - Tidak ada korelasi 1 Ada korelasi positif yang signifikan antara nilai bahasa arab dengan nilai tafsir ( 2 Ada korelasi positif yang signifikan antara nilai bahasa arab dengan nilai ushul fiqih 3 Tidak ada korelasi positif yang signifikan antara nilai bahasa arab dengan nilai fiqih ( 4 Ada korelasi positif yang signifikan antara nilai tafsir dengan ushul fiqih ( 5 Tidak ada korelasi positif yang signifikan antara nilai tafsir dengan nilai fiqih ( 6 Tidak ada korelasi positif yang signifikan antara nilai ushul fiqih dengan nilai fiqih ( 5 ANALISIS KORELASI NON PARAMETRIK a OUTPUT SPSS Correlations RANGKING_KELAS _1 RANGKING_KELAS _2 RANGKING_KELAS_1 Pearson Correlation 1 .842** Sig. (2-tailed) .002 N 10 10 RANGKING_KELAS_2 Pearson Correlation .842** 1 Sig. (2-tailed) .002 N 10 10 **. Correlation is significant at the 0.01 level (2-tailed). Nonparametric Correlations Correlations RANGKING_KELAS _1 RANGKING_KELAS _2 Spearman's rho RANGKING_KELAS _1 Correlation Coefficient 1.000 .842** Sig. (2-tailed) . .002 N 10 10 RANGKING_KELAS _2 Correlation Coefficient .842** 1.000
  • 10.
    10 Sig. (2-tailed) .002. N 10 10 **. Correlation is significant at the 0.01 level (2-tailed). b INTERPRETASI OUTPUT Besarnya koefisien korelasi tata jenjang adalah 0.842. Dari output diatas juga dapat diketahui bahwa besarnya probabilitas 0.002 < 0.05 . Dua tanda bintang menunjukkan ada korelasi yang signifikan pada alfa 0.01 6 KORELASI KOEFISIEN KONTINGENSI a OUTPUT SPSS Case Processing Summary Cases Valid Missing Total N Percent N Percent N Percent PEMAHAMAN AJARAN AGAMA ISLAM * PELAKSANAAN SHOLAT 250 100.0% 0 .0% 250 100.0% PEMAHAMAN_AJARAN_AGAMA_ISLAM * PELAKSANAAN_SHOLAT Crosstabulation PELAKSANAAN_SHOLAT Total KURANG BAIK SEDANG BAIK PEMAHAMAN AJARAN AGAMA ISLAM KURANG BAIK Count 27 11 2 40 Expected Count 6.4 6.4 27.2 40.0 CUKUP Count 6 17 17 40 Expected Count 6.4 6.4 27.2 40.0 BAIK Count 7 12 151 170 Expected Count 27.2 27.2 115.6 170.0 Total Count 40 40 170 250 Expected Count 40.0 40.0 170.0 250.0 Chi-Square Tests Value df Asymp. Sig. (2-sided) Pearson Chi-Square 1.487E2a 4 .000 Likelihood Ratio 137.706 4 .000 Linear-by-Linear Association 126.257 1 .000 N of Valid Cases 250 a. 0 cells (.0%) have expected count less than 5. The minimum expected count is 6.40.
  • 11.
    11 Symmetric Measures Value Approx.Sig. Nominal by Nominal Contingency Coefficient .611 .000 N of Valid Cases 250 b INTERPRETASI OUTPUT Besarnya koefisien korelasi contingensi dapat dilihat pada tabel Symmetric Measures yaitu 0.447. Besarnya probabilitas 0.000 < 0.05 ditolak dan diterima. Dengan demikian dapat disimpulkan bahwa ada korelasi positif yang signifikan antara pemahaman ajaran agama Islam dengan pelaksanaan sholat siswa SMU. Semakin baik pemahaman ajaran agama Islam, maka semakin baik sholatnya. 7 KORELASI PARSIAL a OUTPUT SPSS Correlations A TINGKAT PENJUALAN JENIS IKLAN Spearman's rho TINGKAT_PENJUALAN Correlation Coefficient 1.000 .734** Sig. (2-tailed) . .000 N 40 40 JENIS_IKLAN Correlation Coefficient .734** 1.000 Sig. (2-tailed) .000 . N 40 40 **. Correlation is significant at the 0.01 level (2-tailed). Partial Corr A Control Variables TINGKAT PENJUALAN JENIS IKLAN BENTUK KEMASAN TINGKAT PENJUALAN Correlation 1.000 .529 Significance (2- tailed) . .001 df 0 37 JENIS IKLAN Correlation .529 1.000 Significance (2- tailed) .001 . df 37 0 Correlations B TINGKAT PENJUALAN BENTUK KEMASAN Spearman's rho TINGKAT PENJUALAN Correlation Coefficient 1.000 .595** Sig. (2-tailed) . .000 N 40 40 BENTUK KEMASAN Correlation Coefficient .595** 1.000 Sig. (2-tailed) .000 . N 40 40
  • 12.
    12 **. Correlation issignificant at the 0.01 level (2-tailed). Partial Corr B Control Variables TINGKAT PENJUALAN BENTUK KEMASAN JENIS IKLAN TINGKAT PENJUALAN Correlation 1.000 .154 Significance (2-tailed) . .348 df 0 37 BENTUK KEMASAN Correlation .154 1.000 Significance (2-tailed) .348 . df 37 0 b INTERPRETASI OUTPUT Tabel Correlations A menunjukkan bahwa koefisiensi korelasi tingkat penjualan dengan jenis iklan sebesar 0.734 Tabel Partial Corr A menunjukkan ada penurunan koefisien korelasi setelah dikontrol dengan bentuk kemasan. Besarnya koefisien korelasi tingkat penjualan dengan iklan sebelum dikontrol sebesar 0.734. Setelah dikontrol bentuk kemasan, koefisien korelasinya hanya 0.529. Sedangkan probabilitinya adalah 0.001 jauh lebih kecil dari 0.05. Dengan demikian hipotesis nol ( dan hipotesis alternative ( Tabel Correlations B menunjukkan bahwa koefisiensi korelasi tingkat penjualan dengan jenis iklan sebesar 0.595 Tabel Partial Corr A menunjukkan ada penurunan koefisien korelasi setelah dikontrol dengan jenis iklan. Besarnya koefisien korelasi tingkat penjualan dengan kemasan sebelum dikontrol sebesar 0.595. Setelah dikontrol bentuk iklan, koefisien korelasinya adalah 0.154. Sedangkan probabilitinya adalah 0.348 jauh lebih besar dari 0.05. Dengan demikian hipotesis nol ( dan hipotesis alternative (. 8 REGRESI LINEAR SEDERHANA a OUTPUT SPSS Descriptive Statistics Mean Std. Deviation N NILAI_TAFSIR_AL-QURAN 69.00 9.297 15 NILAI_BAHASA_ARAB 68.00 10.488 15 Correlations NILAI TAFSIR ALQURAN NILAI BAHASA ARAB
  • 13.
    13 Pearson Correlation NILAI_TAFSIR_AL-QURAN1.000 .875 NILAI_BAHASA_ARAB .875 1.000 Sig. (1-tailed) NILAI_TAFSIR_AL-QURAN . .000 NILAI_BAHASA_ARAB .000 . N NILAI_TAFSIR_AL-QURAN 15 15 NILAI_BAHASA_ARAB 15 15 Variables Entered/Removedb Model Variables Entered Variables Removed Method 1 NILAI_BAHASA_ARABa . Enter a. All requested variables entered. b. Dependent Variable: NILAI_TAFSIR_AL-QURAN Model Summaryb Model R R Square Adjusted R Square Std. Error of the Estimate 1 .875a .766 .748 4.663 a. Predictors: (Constant), NILAI_BAHASA_ARAB b. Dependent Variable: NILAI_TAFSIR_AL-QURAN ANOVAb Model Sum of Squares df Mean Square F Sig. 1 Regression 927.289 1 927.289 42.640 .000a Residual 282.711 13 21.747 Total 1210.000 14 a. Predictors: (Constant), NILAI_BAHASA_ARAB b. Dependent Variable: NILAI_TAFSIR_AL-QURAN Coefficientsa Model Unstandardized Coefficients Standardiz ed Coefficient s t Sig. 95% Confidence Interval for B B Std. Error Beta Lower Bound Upper Bound 1 (Constant) 16.234 8.170 1.987 .068 -1.416 33.884 NILAI_BAHASA_AR AB .776 .119 .875 6.530 .000 .519 1.033 a. Dependent Variable: NILAI_TAFSIR_AL-QURAN Residuals Statisticsa Minimum Maximum Mean Std. Deviation N Predicted Value 55.03 82.19 69.00 8.138 15 Residual -6.672 9.448 .000 4.494 15 Std. Predicted Value -1.716 1.621 .000 1.000 15 Std. Residual -1.431 2.026 .000 .964 15 a. Dependent Variable: NILAI_TAFSIR_AL-QURAN
  • 14.
  • 15.
  • 16.
    16 b INTERPRETASI OUTPUT Tabeldescriptive statistics menyajikan besarnya nilai rata-rata (mean), standar deviasi, dan N masing-masing variable. Nilai rata-rata tafsir sebesar 69 > nilai bahasa Arab 68. Standar deviasi nilai tafsir 9.297 < nilai bahasa Arab 10.488. Artinya, penyebaran datanya lebih luas dibandingkan dengan nilai tafsir. Dengan kata lain, tingkat variance data nilai tafsir < nilai bahasa Arab. Sedangkan besar N= 15 menunjukkan banyaknya jumlah orang atau responden yang dianalisis. Tabel correlations merupakan matrik korelasi variable nilai tafsir dengan variable nilai bahasa Arab. Tabel correlations tersebut menggambarkan besarnya koefisien korelasi nilai tafsir dengan nilai bahasa Arab, signifikansi, N, dan teknik analisis yang digunakan yaitu Pearson Correlation. Dari output diatas dapat diketahui bahwa Koefisien Korelasi variable nilai tafsir alquran dan nilai bahasa Arab = 0.875, sig. (1 tailed) = 0.000 sehingga dapat diinterpretasikan bahwa besarnya nilai probabilitas atau sig. (2 tailed) adalah 0.000 < 0.05, , dan ada korelasi yang signifikan antara nilai bahasa Arab dengan nilai tafsir mahasiswa. Korelasi nilai bahasa Arab dengan nilai tafsir sebesar 0.875 bertanda positif. Dengan kata lain, semakin tinggi nilai bahasa Arabnya maka semakin tinggi pula nilai tafsirnya. Tabel variables entered/ menjelaskan metode regresi yang digunakan untuk menganalisis data dengan program SPSS 16.0. Metode yang digunakan adalah metode enter. Tabel menjelaskan besarnya persentase pengaruh variable bebas atau variable predictor terhadap variable terikatnya. Besar koefisien determinasi adalah 0.766 mengandung pengertian bahwa pengaruh variable bebas (independent) terhadap perubahan variable dependent adalah 76.6%. Sedangkan 23.4% (100-76.6%) dipengaruhi oleh variable lain selain variable bahasa Arab. Tabel menjelaskan apakah variasi nilai variable bebas dapat menjelaskan variasi nilai variable terikat dengan menggunakan besarnya nilai F. Besarnya F hitung adalah 42.640 sedangkan besar signifikansinya 0.000 < 0.05. Dengan demikian dan . Dengan demikian, variasi nilai variable bebas dapat menjelaskan variasi nilai variable terikat. Dari tabel Coefficientsa dapat ditulis persamaan regresinya Y = a + bX `= 16.234 + 0.766(X) Besar nilai t dapat dijadikan petunjuk untuk mengetahui apakah variable bebasnya berpengaruh terhadap variable terikatnya. Bila (sig. < 0.05) berarti berpengaruh dan jika (sig. > 0.05) berarti tidak ada pengaruh. Dari tabel Coefficientsa dapat diketahui bahwa besar nilai tesnya 6.530 sedangkan besar signifikansinya 0.000 < 0.05. Dengan demikian dan ada pengaruh variable bahasa Arab terhadap nilai tafsir. Tabel selanjutnya adalah informasi tentang residuals statistic untuk analisis regresi yang terdiri dari nilai minimum, maximum, mean, standar deviasi, dan N (jumlah responden). Bagian akhir output dilengkapi dengan gambar histogram dan kurva normal.
  • 17.
    17 9 REGRESI GANDA aOUTPUT SPSS Descriptive Statistics Mean Std. Deviation N KEMAMPUAN_METODOLOGI_PENELITIAN 68.00 10.488 15 NILAI_STATISTIK 67.33 10.834 15 NILAI_BAHASA 69.67 9.904 15 Correlations KEMAMPUAN METODOLOGI PENELITIAN NILAI STATISTIK NILAI BAHASA Pearson Correlatio n KEMAMPUAN METODOLOGI PENELITIAN 1.000 -.113 .406 NILAI STATISTIK -.113 1.000 -.142 NILAI BAHASA .406 -.142 1.000 Sig. (1- tailed) KEMAMPUAN METODOLOGI PENELITIAN . .344 .067 NILAI_STATISTIK .344 . .307 NILAI_BAHASA .067 .307 . N KEMAMPUAN METODOLOGI PENELITIAN 15 15 15 NILAI_STATISTIK 15 15 15 NILAI_BAHASA 15 15 15 Variables Entered/Removedb Model Variables Entered Variables Removed Method 1 NILAI_BAHASA, NILAI_STATISTIKa . Enter a. All requested variables entered. b. Dependent Variable: KEMAMPUAN_METODOLOGI_PENELITIAN Model Summaryb Model R R Square Adjusted R Square Std. Error of the Estimate 1 .410a .168 .029 10.335 a. Predictors: (Constant), NILAI_BAHASA, NILAI_STATISTIK b. Dependent Variable: KEMAMPUAN_METODOLOGI_PENELITIAN ANOVAb Model Sum of Squares df Mean Square F Sig. 1 Regression 258.319 2 129.159 1.209 .332a Residual 1281.681 12 106.807 Total 1540.000 14 a. Predictors: (Constant), NILAI_BAHASA, NILAI_STATISTIK b. Dependent Variable: KEMAMPUAN_METODOLOGI_PENELITIAN Coefficientsa Model Unstandardized Coefficients Standardized Coefficients t Sig. 95% Confidence Interval for B B Std. Error Beta Lower Bound Upper Bound 1 (Constant) 42.359 28.103 1.507 .158 -18.871 103.589 NILAI_STATIST IK -.055 .258 -.057 -.213 .835 -.616 .506 NILAI_BAHASA .421 .282 .398 1.495 .161 -.193 1.035 a. Dependent Variable: KEMAMPUAN_METODOLOGI_PENELITIAN Residuals Statisticsa Minimum Maximum Mean Std. Deviation N
  • 18.
    18 Predicted Value 60.1274.58 68.00 4.296 15 Residual -18.028 14.077 .000 9.568 15 Std. Predicted Value -1.834 1.533 .000 1.000 15 Std. Residual -1.744 1.362 .000 .926 15 a. Dependent Variable: KEMAMPUAN_METODOLOGI_PENELITIAN Charts
  • 19.
    19 b INTERPRETASI OUTPUT Tabeldescriptive statistics menyajikan besarnya nilai rata-rata (mean), standar deviasi, dan N masing-masing variable. Nilai rata-rata kemampuan penelitian sebesar 68, nilai statistic 67.33, dan nilai bahasa 69.67. Standar deviasi kemampuan penelitian 10.488, nilai statistic 10.834, dan nilai bahasa 9.904. Artinya, nilai statistic penyebaran datanya lebih luas dibandingkan kemampuan penelitian dan nilai bahasa. Dengan kata lain,
  • 20.
    20 tingkat variansi datanilai bahasa < nilai kemampuan penelitian. Sedangkan besar N= 15 menunjukkan banyaknya jumlah orang atau responden yang dianalisis pada setiap variabelnya. Tabel corelations merupakan matrik korelasi variable kemampuan penelitian, nilai statistic, dan nilai bahasa. Besar N masing-masing variable adalah 15 dan teknik analisis yang digunakan yaitu Pearson Correlation. Dari output diatas dapat diketahui bahwa: 1 hubungan antara kemampuan penelitian dan nilai statistic koefisien korelasinya adalah = -0.113 dan signifikansinya 0.344 > 0.05 yang berarti TIDAK ADA KORELASI. 2 hubungan antara kemampuan penelitian dan nilai bahasa koefisien korelasinya adalah = 0.406 dan signifikansinya 0.067 > 0.05 yang berarti TIDAK ADA KORELASI. 3 hubungan antara nilai statistic dan nilai bahasa koefisien korelasinya adalah = -0.142 dan signifikansinya 0.306 > 0.05 yang berarti TIDAK ADA KORELASI. Tabel variables entered/ menjelaskan metode regresi yang digunakan untuk menganalisis data dengan program SPSS 16.0. Metode yang digunakan adalah metode enter. Variabel nilai statistic dan nilai bahasa tidak ada yang dikeluarkan. Tabel menjelaskan besarnya persentase pengaruh variable bebas atau variable predictor terhadap variable terikatnya. Besar koefisien determinasi adalah 0.168 mengandung pengertian bahwa pengaruh variable bebas (independent) terhadap perubahan variable dependent adalah 16.8%. Sedangkan 83.2% (100-16.8%) dipengaruhi oleh variable lain. Jadi pengaruh nilai statistic dan nilai bahasa terhadap kemampuan penelitian hanya 16.8% sedangkan pengaruh variabel lain 83.2%. Tabel menjelaskan apakah variasi nilai variable bebas dapat menjelaskan variasi nilai variable terikat dengan menggunakan besarnya nilai F. Besarnya F hitung adalah 1.209 sedangkan besar signifikansinya 0.332 > 0.05. Dengan demikian dan . Dengan demikian, variasi nilai variable bebas tidak dapat menjelaskan variasi nilai variable terikat. Dari tabel Coefficientsa dapat ditulis persamaan regresinya Y = 42.359 – 0.055() + 0.421() Dimana Y= kemampuan penelitian, = nilai statistic, = nilai bahasa Tabel Coefficientsa menunjukkan bahwa variabel nilai statistic koefisien uji t = -0,213 sedangkan besarnya signifikansi 0.835 jauh lebih besar dari 0.05. Ini berarti pengaruh nilai statistic terhadap kemampuan penelitian tidak signifikan atau tidak ada pengaruh. Koefisien uji t nilai bahasa = 1.495 sedangkan besarnya signifikansi 0.161 > 0.05. Ini berarti pengaruh nilai bahasa terhadap kemampuan penelitian tidak signifikan atau tidak ada pengaruh. Walau secara teori, kemampuan bahasa dan kemampuan statistic mempengaruhi kemampuan penelitian namun setelah dilakukan penelitian ternyata kemampuan bahasa dan kemampuan statistic tidak mempengaruhi kemampuan penelitian. Oleh karena itu, proses pemberian nilai pada mata kuliah statistic dan
  • 21.
    21 bahasa perlu ditinjauulang. Bisa saja alat evaluasi yang digunakan dalam menentukan nilai bahasa dan statistic tidak memenuhi persyaratan validitas dan reliabilitas. Tabel selanjutnya adalah informasi tentang residuals statistic untuk analisis regresi yang terdiri dari nilai minimum, maximum, mean, standar deviasi, dan N (jumlah responden). Bagian akhir output dilengkapi dengan gambar histogram dan kurva normal. 10 CHI KUADRAT a OUTPUT SPSS Chi-Square Test Frequencies JAWABAN_GURU_SMU Observed N Expected N Residual Kurikulum baru lebih efektif dari kurikulum sebelumnya 60 35.0 25.0 Kurikulum baru tidak efektif dibandingkan dengan kurikulum sebelumnya 34 35.0 -1.0 Kurikulum baru dan kurikulum lama sama- sama efektif 42 35.0 7.0 Tidak memberikan jawaban 4 35.0 -31.0 Total 140 FREKUENSI_JAWABAN Observed N Expected N Residual 4 4 35.0 -31.0 34 34 35.0 -1.0 42 42 35.0 7.0 60 60 35.0 25.0 Total 140 Test Statistics JAWABAN_GURU_SMU FREKUENSI_JAWABAN Chi-Square 46.743a 46.743a df 3 3 Asymp. Sig. .000 .000 a. 0 cells (.0%) have expected frequencies less than 5. The minimum expected cell frequency is 35.0. b INTERPRETASI OUTPUT Tabel Jawaban Guru menunjukkan bahwa jumlah sampel yang diobservasi adalah 140, sementara yang memberi jawaban bahwa kurikulum baru lebih efektif dari kurikulum sebelumnya sebanyak 60 dari jumlah harapan 35. yang memberi jawaban bahwa kurikulum baru tidak efektif dibandingkan dengan kurikulum sebelumnya sebanyak 34 dari jumlah harapan 35. Sedangkan yang memberi jawaban bahwa kurikulum baru sama efektifnya dengan kurikulum sebelumnya sebanyak 42 dari jumlah harapan 35. Ada 4 orang yang tidak memberikan jawaban dari jumlah harapan 35. Adapun selisih dari yang menjawab bahwa kurikulum baru lebih efektif dibandingkan dengan
  • 22.
    22 kurikulum sebelumnya dibandingkandengan jumlah harapan adalah 25. Selisih yang menjawab bahwa kurikulum baru tidak efektif dibandingkan dengan kurikulum sebelumnya dibandingkan dengan jumlah harapan adalah -1. Sementara selisih dari yang menjawab bahwa kurikulum baru dan kurikulum sebelumnya sama-sama efektif dibandingkan dengan jumlah harapan adalah 7. Selisih antara yang tidak menjawab dan jumlah harapan adalah -31. Tabel Frekuensi menunjukkan bahwa frekuensi jawaban terendah adalah 4 dan frekuensi jawaban tertinggi adalah 60. Selisih terendah adalah 31 dan tertinggi 25. Output tes statistic menampilkan hasil analisis Chi-Square yang telah dlakukan bahwa = 46.743 dan dk= 3. Dengan df= 3 diperoleh harga chi kuadrat tabel pada taraf signifikansi 5%= 7.82 dan pada taraf signifikansi 1%= 11.34. Dengan = 46.743 dapat disimpulkan bahwa nilai > harga chi kuadrat baik pada taraf signifikansi 5% maupun 1%. Berdasarkan paparan tersebut, yang menyatakan tidak terdapat perbedaan antara frekuensi observasi dan frekuensi harapan ditolak, sedangkan diterima yang berarti ada perbedaan yang meyakinkan antara frekuensi observasi ( dan frekuensi harapan (. Dengan demikian dapat disimpulkan bahwa terdapat perbedaan frekuensi observasi dengan frekuensi harapan terhadap efektifitas penggunaan kurikulum baru pada guru- guru SMU. 11 CHI KUADRAT UNTUK TABEL 2X2 a OUTPUT SPSS Case Processing Summary Cases Valid Missing Total N Percent N Percent N Percent HASIL_EVALUASI * EFEKTIFITAS_METODE_MEMBACA_ALQUR AN 200 100.0% 0 .0% 200 100.0% HASIL_EVALUASI * EFEKTIFITAS_METODE_MEMBACA_ALQURAN Crosstabulation Count EFEKTIFITAS METODE MEMBACA ALQURAN Total METODE HATTAIYAH METODE IQRA' HASIL_EVALUASI CEPAT 75 63 138 LAMBAT 25 37 62 Total 100 100 200 Chi-Square Tests Value df Asymp. Sig. (2- sided) Exact Sig. (2- sided) Exact Sig. (1- sided) Pearson Chi-Square 3.366a 1 .067 Continuity Correctionb 2.828 1 .093
  • 23.
    23 Likelihood Ratio 3.3821 .066 Fisher's Exact Test .092 .046 Linear-by-Linear Association 3.349 1 .067 N of Valid Casesb 200 a. 0 cells (.0%) have expected count less than 5. The minimum expected count is 31.00. b. Computed only for a 2x2 table b INTERPRETASI OUTPUT 1 Output Tabel Case Processing Summary Menampilkan hasil ringkasan kasus-kasus yang diteliti, dimana terlihat jumlah subjek yang dianalisis untuk variabel evaluasi dan metode adalah 200 orang. 2 Output Hasil Evaluasi * Metode Crosstabulation Menampilkan jumlah masing-masing kelompok yang dianalisis, dimana subjek yang diajar dengan metode hattaiyah ada 100 orang dan dengan metode iqra’ sebanyak 100 orang. Dari hasil analisis dapat dilihat bahwa 75 orang yang diajar dengan metode hattaiyah berhasil dengan cepat dan 25 orang lambat. Sementara yang diajar dengan metode iqra’ sebanyak 63 orang diantaranya berhasil dengan cepat sementara 37 orang lambat. Totak subjek yang berhasil dengan cepat sebanyak 138 orang dan yang lambat sebanyak 62 orang. 3 Output Chi Square Test Menunjukkan hasil analisis Chi Kuadrat yaitu 3.36 dan df 1 dengan probabilitas Asymp. Sig. (2-sided) 0.067. Adapun keputusan untuk menerima atau menolak hipotesa dapat dilakukan dengan dua cara, yaitu berdasarkan uji Chi Kuadrat dan tabel, dan dapat pula berdasarkan probabilitas. a Jika Chi Kuadrat hitung < Chi Kuadrat tabel, maka diterima b Jika Chi Kuadrat hitung > Chi Kuadrat tabel, maka ditolak Dari tabel Chi Square Test dapat dilihat bahwa angka Chi Square sebesar 3.36 dengan df = 1 sehingga diperoleh harga kritik chi kuadrat () sebagai berikut: a Pada taraf signifikan 5% = 3.84 b Pada taraf signifikan 1% = 6.64 Dengan = 3.366 < harga chi kuadrat (tabel), baik pada taraf signifikan 5% maupun 1%, maka diterima dan .
  • 24.
    24 12 CHI KUADRATDENGAN KOREKSI YATES a OUTPUT SPSS Case Processing Summary Cases Valid Missing Total N Percent N Percent N Percent JAWABAN * GURU 100 100.0% 0 .0% 100 100.0% JAWABAN * GURU Crosstabulation GURU TotalSLTP SMU JAWABAN SETUJU Count 35 42 77 Expected Count 38.5 38.5 77.0 TIDAK SETUJU Count 15 8 23 Expected Count 11.5 11.5 23.0 Total Count 50 50 100 Expected Count 50.0 50.0 100.0 Chi-Square Tests Value df Asymp. Sig. (2-sided) Exact Sig. (2-sided) Exact Sig. (1-sided) Pearson Chi-Square 2.767a 1 .096 Continuity Correctionb 2.033 1 .154 Likelihood Ratio 2.802 1 .094 Fisher's Exact Test .153 .077 Linear-by-Linear Association 2.739 1 .098 N of Valid Casesb 100 a. 0 cells (.0%) have expected count less than 5. The minimum expected count is 11.50. b. Computed only for a 2x2 table Case Processing Summary Cases Valid Missing Total N Percent N Percent N Percent JAWABAN * GURU 100 100.0% 0 .0% 100 100.0% JAWABAN * GURU Crosstabulation
  • 25.
    25 GURU TotalSLTP SMU JAWABAN SETUJUCount 35 42 77 Expected Count 38.5 38.5 77.0 TIDAK SETUJU Count 15 8 23 Expected Count 11.5 11.5 23.0 Total Count 50 50 100 Expected Count 50.0 50.0 100.0 Chi-Square Tests Value df Asymp. Sig. (2- sided) Exact Sig. (2- sided) Exact Sig. (1- sided) Pearson Chi-Square 2.767a 1 .096 Continuity Correctionb 2.033 1 .154 Likelihood Ratio 2.802 1 .094 Fisher's Exact Test .153 .077 Linear-by-Linear Association 2.739 1 .098 N of Valid Casesb 100 a. 0 cells (.0%) have expected count less than 5. The minimum expected count is 11.50. b. Computed only for a 2x2 table b INTERPRETASI OUTPUT Dari tabel diatas dapat kita lihat bahwa hasil analisis Chi Kuadrat Yates untuk data diatas adalah 2.033. Pengambilan keputusan untuk Chi Kuadrat Yates ini juga sama dengan Chi Kuadrat 2X2. Dari hasil analisis data yang ada, dengan df 1 diperoleh Chi Kuadrat tabel sebesar 3.84 untuk taraf signifikansi 5% dan 6.64 untuk taraf signifikansi 1%. Bila nilai Chi Kuadrat tabel ini dibandingkan dengan hasil Chi Kuadrat hitung maka terlihat bahwa Chi Kuadrat hitung < nilai Chi Kuadrat tabel sehingga yang diterima adalah yang menyatakan tidak terdapat perbedaan. Dengan demikian dapat disimpulkan bahwa tidak terdapat perbedaan pendapat yang meyakinkan antara guru SLTP dan guru SMU terhadap perubahan hari belajar dari 6 hari menjadi 5 hari. Sebagian besar guru setuju dengan perubahan hari belajar tersebut. 13 CHI KUADRAT UNTUK KATEGORI LEBIH DARI DUA a OUTPUT SPSS Case Processing Summary Cases Valid Missing Total N Percent N Percent N Percent PEKERJAAN * PENDAPAT MASYARAKAT TENTANG PELAKSANAAN PENDIDIKAN 500 100.0% 0 .0% 500 100.0% PEKERJAAN * PENDAPAT_MASYARAKAT_TENTANG_PELAKSANAAN_PENDIDIKAN Crosstabulation Count PENDAPAT MASYARAKAT TENTANG PELAKSANAAN PENDIDIKAN Total
  • 26.
    26 SANGAT BAIK BAIK CUKUPKURANG PEKERJAA N PEGAWAI NEGERI 40 45 27 13 125 PEDAGANG 50 60 23 17 150 PETANI 45 72 31 12 160 KELOMPOK LAIN 10 30 20 5 65 Total 145 207 101 47 500 Chi-Square Tests Value df Asymp. Sig. (2-sided) Pearson Chi-Square 14.438a 9 .108 Likelihood Ratio 14.938 9 .093 Linear-by-Linear Association .996 1 .318 N of Valid Cases 500 a. 0 cells (.0%) have expected count less than 5. The minimum expected count is 6.11. b INTERPRETASI OUTPUT Dari tabel diatas dapat kita lihat bahwa nilai Chi Kuadrat 14.438 dengan df 9 sehingga diperoleh harga kritik Chi Kuadrat sebesar 16.92 untuk taraf signifikansi 5% dan 21.67 untuk taraf signifikansi 1%. Dengan = 14.438 berarti < harga kritik Chi Kuadrat baik pada taraf signifikansi 5% atau 1%. Dengan demikian, hipotesa yang diterima adalah yang berarti tidak ada perbedaan sehingga dapat disimpulkan bahwa tidak ada perbedaan frekuensi jawaban keempat kelompok masyarakat terhadap pelaksanaan pendidikan di daerahnya. Secara umum, masyarakat berpendapat bahwa pelaksanaan pendidikan politik di daerahnya baik. 14 UJI T a OUTPUT SPSS Paired Samples Statistics Mean N Std. Deviation Std. Error Mean Pair 1 METODE_BAGHDADIYAH 65.20 10 8.039 2.542 METODE_IQRO 70.50 10 9.629 3.045 Paired Samples Correlations N Correlation Sig. Pair 1 METODE_BAGHDADIYAH & METODE_IQRO 10 .956 .000 Paired Samples Test Paired Differences t df Sig. (2- tailed) Mea n Std. Deviatio n Std. Error Mean 95% Confidence Interval of the Difference Lower Upper
  • 27.
    27 P air 1 METODE_BAGHDADIY AH - METODE_IQRO - 5.30 0 3.057.967 -7.487 -3.113 - 5.48 3 9 .000 b INTERPRETASI OUTPUT TABEL NILAI T UNTUK TARAF SIGNIFIKAN 5% DAN 1% df/db 5% 1% df/db 5% 1% 1 12.71 63.66 24 2.06 2.80 2 4.30 9.92 25 2.06 2.79 3 3.18 5.84 26 2.06 2.78 4 2.78 4.60 27 2.05 2.77 5 2.75 4.03 28 2.05 2.76 6 2.45 3.71 29 2.04 2.76 7 2.36 3.50 30 2.04 2.75 8 2.31 3.36 35 2.03 2.72 9 2.26 3.25 40 2.02 2.72 10 2.23 3.17 45 2.02 2.69 11 2.20 3.11 50 2.01 2.68 12 2.18 3.06 60 2.00 2.65 13 2.16 3.01 70 2.00 2.65 14 2.14 2.98 80 1.99 2.64 15 2.13 2.95 90 1.99 2.63 16 2.12 2.92 100 1.98 2.63 17 2.11 2.90 125 1.98 2.62 18 2.10 2.88 150 1.98 2.61 19 2.09 2.86 200 1.97 2.60 20 2.09 2.84 300 1.97 2.59 21 2.08 2.83 400 1.97 2.59 22 2.07 2.82 500 1.96 2.59 23 2.07 2.81 1000 1.96 2.58 Dengan berpedoman pada nilai tes t dengan membandingkan dengan dengan nilai df = 9 diperoleh angka 2.26 untuk taraf signifikan 5% dan 3.25 untuk taraf signifikan 1%. Dengan nilai = -5,483 berarti nilai > nilai baik pada taraf signifikan 5% atau 1% (2.26 < 5.483 > 3.25) yang berarti ditolak, yang berarti ada perbedaan signifikan. Dengan angka signifikansi 0.00 < 0.05 maka yang menyatakan bahwa kemampuan membaca Alquran antara metode Iqra’ dan metode Baghdadiyah ditolak. Terdapat perbedaan yang signifikan antara kemampuan membaca Alquran anak TPA dengan menggunakan metode Bagdadiyah dan metode Iqra’. Perbedaan mean menunjukkan bahwa penggunaan metode Iqra’ lebih baik dari metode Baghdadiyah.
  • 28.
    28 15 UJI TUNTUK SAMPEL-SAMPEL YANG TIDAK BERKORELASI a OUTPUT SPSS Group Statistics ASAL SEKOL AH N Mean Std. Deviation Std. Error Mean PRESTASI BELAJAR MAHASISWA MAN 10 7.000 .8819 .2789 SMU 10 6.600 .9661 .3055 Independent Samples Test Levene's Test for Equality of Variances t-test for Equality of Means F Sig. t df Sig. (2- tailed) Mean Differen ce Std. Error Differen ce 95% Confidence Interval of the Difference Lower Upper PRESTASI BELAJAR MAHASISW A Equal variances assumed .667 .425 . 96 7 18 .346 .4000 .4137 -.4691 1.269 1 Equal variances not assumed . 96 7 17.8 52 .346 .4000 .4137 -.4696 1.269 6 b INTERPRETASI OUTPUT Output group statistics menampilkan jumlah subjek pada masing-masing kelompok sebesar 10, mean untuk siswa yang berasal dari MAN = 7, mean untuk siswa yang berasal dari SMU = 6.5. Standar deviasi untuk siswa yang berasal dari MAN = 0.8819 dan untuk siswa yang berasal dari SMU= 0.9718. Sedangkan standar error untuk mean mahasiswa yang berasal dari MAN= 0.2789 dan untuk yang berasal dari SMU= 0.3073 Output independent samples test menampilkan Levene’s Test untuk kesamaan varian. Dalam hal ini yang diuji adalah (varian populasi identic) dan (varian populasi tidak identic). Dari hasil perhitungan Levene’s Test dapat dilihat bahwa angka signifikansi sebesar 0.429 > 0.05 maka diterima dan dapat dinyatakan bahwa varian populasi identic. Oleh karena hipotesis yang dipakai bahwa kedua varian sama (identic) maka yang dijadikan pedoman untuk analisis lebih lanjut adalah angka-angka yang terdapat pada baris equal variance assumed. Dari tabel terlihat bahwa hasil test t sebesar 1.205 dengan df 18, perbedaan mean = 0.5, perbedaan standar error = 0.415, perbedaan prestasi terendah 0.3719, dan perbedaan prestasi tertinggi sebesar 1,3719. Jika harga = 1.205 dibandingkan dengan dengan df 18 maka diperoleh harga kritik “t” pada tarif signifikan 5% sebesar 2.10 dan pada tarif signifikan 1% sebesar 2.88. Karena harga < baik pada taraf signifikansi 5% atau 1% (2.10>1.205<2.88) maka ditolak dan diterima, yang berarti tidak ada perbedaan yang signifikan antara variabel X dengan variabel Y atau tidak terdapat perbedaan yang
  • 29.
    29 berarti antara prestasibelajar siswa yang berasal dari MAN dengan yang berasal dari SMU pada fakultas tarbiyah di UIN. 16 ANOVA SATU ARAH a OUTPUT SPSS Descriptives TINGKAT_PENJUAL AN N Mean Std. Deviation Std. Error 95% Confidence Interval for Mean Minimu m Maximu m Lower Bound Upper Bound KEMASAN A 10 51.00 5.164 1.633 47.31 54.69 45 55 KEMASAN B 10 66.00 5.676 1.795 61.94 70.06 55 75 KEMASAN C 10 37.00 7.528 2.380 31.61 42.39 20 45 Total 30 51.33 13.451 2.456 46.31 56.36 20 75 Test of Homogeneity of Variances TINGKAT_PENJUALAN Levene Statistic df1 df2 Sig. .584 2 27 .565 ANOVA TINGKAT_PENJUALAN Sum of Squares df Mean Square F Sig. Between Groups 4206.667 2 2103.333 54.606 .000 Within Groups 1040.000 27 38.519 Total 5246.667 29 Post Hoc Tests Multiple Comparisons TINGKAT_PENJUALAN Tukey HSD (I) BENTUK KEMASAN (J) BENTUK KEMASAN Mean Difference (I-J) Std. Error Sig. 95% Confidence Interval Lower Bound Upper Bound KEMASAN A KEMASAN B -15.000* 2.776 .000 -21.88 -8.12 KEMASAN C 14.000* 2.776 .000 7.12 20.88
  • 30.
    30 KEMASAN B KEMASANA 15.000* 2.776 .000 8.12 21.88 KEMASAN C 29.000* 2.776 .000 22.12 35.88 KEMASAN C KEMASAN A -14.000* 2.776 .000 -20.88 -7.12 KEMASAN B -29.000* 2.776 .000 -35.88 -22.12 *. The mean difference is significant at the 0.05 level. Homogeneous Subsets TINGKAT_PENJUALAN Tukey HSD BENTUK_KEMASAN N Subset for alpha = 0.05 1 2 3 KEMASAN C 10 37.00 KEMASAN A 10 51.00 KEMASAN B 10 66.00 Sig. 1.000 1.000 1.000 Means for groups in homogeneous subsets are displayed. b INTERPRETASI OUTPUT Dari data descriptives terlihat bahwa mean kemasan A = 51, mean kemasan B = 66, dan mean kemasan C = 37. Standar deviasi untuk kemasan A = 5.164, kemasan B = 5.676, dan kemasan C = 7.528. Angka minimum untuk kemasan A = 45, kemasan B = 55, dan kemasan C = 20. Sementara angka maximum untuk kemasan A = 55, kemasan B = 75, dan kemasan C = 45. Dengan taraf signifikansi 5% atau tingkat konfidensi 95% diperoleh rata-rata tingkat penjualan kemasan A = 47.31-59.69, kemasan B= 62.94- 70.06, dan kemasan C = 31.61-42.39 Dari tabel homogeneity of variances dapat diketahui bahwa besarnya angka Levene Statistic = 0.584 sedangkan probabilitas/signifikansinya = 0.584 > 0.05 maka dapat disimpulkan bahwa hipotesis nihil (diterima yang berarti asumsi bahwa ketiga varian populasi adalah identic, dapat diterima. Dari tabel ANOVA dapat diketahui bahwa besarnya nilai probabilitas/signifikansinya adalah 0.00 < 0.05 maka hipotesis nihil ditolak. Hal ini menunjukkan bahwa ada perbedaan rata-rata hasil penjualan dengan menggunakan jenis kemasan yang berbeda. Bentuk kemasan A, B, atau C mempunyai pengaruh terhadap hasil penjualan. Dari tabel Post Hoc Tests (Multiple Comparisons), dapat dilihat bahwa perbedaan mean kemasan A dengan kemasan B = -15 (kemasan A lebih kecil 15 poin dibandingkan dengan kemasan B), kemasan A dengan kemasan C = 14 (kemasan A lebih besar 14 poin dari kemasan C), kemasan B dengan kemasan A = 15 (kemasan B lebih besar 15 poin dari kemasan A), kemasan B dan kemasan C = 29 (kemasan B lebih besar 29 poin dibandingkan dengan kemasan C), kemasan C dengan kemasan A = -14 (kemasan C lebih kecil 14 poin dibandingkan dengan kemasan A), sedangkan perbedaan mean kemasan C dan kemasan B = -29 (kemasan C lebih kecil 29 poin dibandingkan dengan kemasan B). Dari tabel diatas dapat disimpulkan bahwa:
  • 31.
    31 1 2 3 Dengan kata lain,1) bentuk kemasan yang paling baik untuk meningkatkan penjualan adalah kemasan B. Hal ini bisa dilihat dari jumlah rata-rata tertinggi pada kelompok , sedangkan bentuk kemasan yang kurang baik dalam meningkatkan penjualan adalah kemasan C; 2) ada perbedaan tingkat penjualan pada masing-masing bentuk kemasan, baik pada kemasan A, B, maupun C; 3) ada pengaruh yang signifikan antara bentuk kemasan A, B, dan C terhadap tingkat penjualan. Dari tabel Homogeneus Subsets terlihat bahwa pada subset 1 hanya terdapat kemasan C dengan angka 37 sebagai mean terendah, yang berarti kemasan ini berbeda dengan 2 kemasan lainnya. Pada subset 2 hanya terlihat kemasan A dengan mean 51, yang berarti kelompok ini berbeda dengan kelompok-kelompok yang lain. Dan pada subset 3 ditemukan kemasan B dengan mean 66 sebagai mean tertinggi yang berarti kemasan B juga berbeda dengan 2 kemasan yang lain. Dari paparan ini dapat disimpulkan bahwa ketiga kelompok memiliki perbedaan yang signifikan dibandingkan dengan kelompok- kelompok yang lain. 17 ANOVA DUA ARAH a OUTPUT SPSS Between-Subjects Factors Value Label N BENTUK_KEMASAN 1 KEMASAN A 10 2 KEMASAN B 10 3 KEMASAN C 10 IKLAN 1 ELEKTRONIK 15 2 CETAK 15 Descriptive Statistics Dependent Variable:TINGKAT_PENJUALAN BENTUK_KEMASA N IKLAN Mean Std. Deviation N KEMASAN A ELEKTRONIK 184.00 50.299 5 CETAK 237.00 23.345 5 Total 210.50 46.335 10 KEMASAN B ELEKTRONIK 232.80 46.062 5 CETAK 274.00 58.245 5 Total 253.40 54.058 10 KEMASAN C ELEKTRONIK 286.60 37.018 5 CETAK 304.00 52.249 5 Total 295.30 43.663 10 Total ELEKTRONIK 234.47 60.015 15 CETAK 271.67 52.053 15 Total 253.07 58.350 30
  • 32.
    32 Levene's Test ofEquality of Error Variancesa Dependent Variable:TINGKAT_PENJUALAN F df1 df2 Sig. .505 5 24 .769 Tests the null hypothesis that the error variance of the dependent variable is equal across groups. a. Design: Intercept + KEMASAN + IKLAN + KEMASAN * IKLAN Tests of Between-Subjects Effects Dependent Variable:TINGKAT_PENJUALAN Source Type III Sum of Squares df Mean Square F Sig. Corrected Model 47979.867a 5 9595.973 4.537 .005 Intercept 1921282.133 1 1921282.133 908.443 .000 KEMASAN 35956.867 2 17978.433 8.501 .002 IKLAN 10378.800 1 10378.800 4.907 .036 KEMASAN * IKLAN 1644.200 2 822.100 .389 .682 Error 50758.000 24 2114.917 Total 2020020.000 30 Corrected Total 98737.867 29 a. R Squared = .486 (Adjusted R Squared = .379) Estimated Marginal Means BENTUK_KEMASAN * IKLAN Dependent Variable:TINGKAT_PENJUALAN BENTUK_KEMAS AN IKLAN Mean Std. Error 95% Confidence Interval Lower Bound Upper Bound KEMASAN A ELEKTRONIK 184.000 20.567 141.553 226.447 CETAK 237.000 20.567 194.553 279.447 KEMASAN B ELEKTRONIK 232.800 20.567 190.353 275.247 CETAK 274.000 20.567 231.553 316.447 KEMASAN C ELEKTRONIK 286.600 20.567 244.153 329.047 CETAK 304.000 20.567 261.553 346.447 Post Hoc Tests BENTUK_KEMASAN Multiple Comparisons Dependent Variable:TINGKAT_PENJUALAN (I) BENTUK KEMASAN (J) BENTUK KEMASAN Mean Difference (I- J) Std. Error Sig. 95% Confidence Interval Lower Bound Upper Bound Tukey HSD KEMASAN A KEMASAN B -42.90 20.567 .114 -94.26 8.46
  • 33.
    33 KEMASAN C -84.80* 20.567 .001 -136.16-33.44 KEMASAN B KEMASAN A 42.90 20.567 .114 -8.46 94.26 KEMASAN C -41.90 20.567 .125 -93.26 9.46 KEMASAN C KEMASAN A 84.80* 20.567 .001 33.44 136.16 KEMASAN B 41.90 20.567 .125 -9.46 93.26 Bonferroni KEMASAN A KEMASAN B -42.90 20.567 .143 -95.83 10.03 KEMASAN C -84.80* 20.567 .001 -137.73 -31.87 KEMASAN B KEMASAN A 42.90 20.567 .143 -10.03 95.83 KEMASAN C -41.90 20.567 .158 -94.83 11.03 KEMASAN C KEMASAN A 84.80* 20.567 .001 31.87 137.73 KEMASAN B 41.90 20.567 .158 -11.03 94.83 Based on observed means. The error term is Mean Square(Error) = 2114.917. *. The mean difference is significant at the .05 level. Homogeneous Subsets TINGKAT_PENJUALAN BENTUK_KEMASAN N Subset 1 2 Tukey HSDa KEMASAN A 10 210.50 KEMASAN B 10 253.40 253.40 KEMASAN C 10 295.30 Sig. .114 .125 Means for groups in homogeneous subsets are displayed. Based on observed means. The error term is Mean Square(Error) = 2114.917. a. Uses Harmonic Mean Sample Size = 10.000. b INTERPRETASI OUTPUT Dari tabel Between-Subjects Factors ditampilkan hasil dari subjek-subjek yang diteliti dan dimasukkan dalam analisis data sesuai dengan factor yang berbeda antar masing- masing subjek. Dari hasil output terlihat bahwa subjek untuk kemasan A = 10 subjek, kemasan B = 10 subjek, dan kemasan C = 10 subjek. Sehingga jumlah keseluruhan
  • 34.
    34 subjek sebanyak 30subjek. Dari 30 subjek tersebut, 15 diantaranya masuk pada kelompok iklan media elektronik dan 15 lainnya masuk pada kelompok iklan media cetak. Dari data descriptives terlihat bahwa mean kemasan A dengan menggunakan media elektronik = 184, standar deviasinya = 50.299, jumlah subjek yang termasuk dalam kelompok ini = 5. Mean kemasan B dengan menggunakan media elektronik = 232.80, standar deviasinya =46.062, dan jumlah subjek yang termasuk dalam kelompok ini = 5. Mean kemasan C dengan menggunakan media elektronik = 286.60, standar deviasinya = 37.018, dan jumlah subjeknya = 5. Mean kemasan A yang menggunakan media cetak = 237.00, standar deviasinya = 23.345, dan jumlah subjeknya = 5. Mean kemasan B yang menggunakan media cetak = 274.00, standar deviasinya = 58.245, dan jumlah subjeknya = 5. Mean kemasan C yang menggunakan media cetak = 304.00, standar deviasinya = 52.249, dan jumlah subjeknya = 5. Adapun mean keseluruhan untuk kemasan A = 210.50, standar deviasinya = 46.335, dengan jumlah subjeknya = 10. Mean keseluruhan untuk kemasan B = 253.40, standar deviasinya = 54.058, dengan jumlah subjeknya = 10. Sementara mean keseluruhan untuk kemasan C = 295.30, standar deviasinya = 43.663, dengan jumlah subjeknya = 10. Mean keseluruhan untuk media elektronik = 234.47 dengan standar deviasinya = 60.015, dan jumlah subjeknya = 15. Mean keseluruhan untuk media cetak = 271.67 dengan standar deviasinya = 52.053, dan jumlah subjeknya = 15. Dari keseluruhan subjek yang ada (30 subjek), diperoleh mean sebesar 253.07 dan standar deviasi 58.350. Dari tabel output Levene’s Test of Equality of Error Variances diperoleh tes hitung sebesar 0.505 dengan nilai probabilitas = 0.769. Karena 0.769 > 0.05, maka hipotesis nihil (diterima dan hipotesis alternative (ditolak, yang berarti varian variabel terikat adalah sama (homogen) sehingga memenuhi persyaratan analisis varian. Dengan demikian proses analisis varian dapat dilanjutkan. Dari tabel Tests of between Subjects Effects diperoleh jumlah kuadrat variabel kemasan ( 35956.867, jumlah kuadrat variabel iklan ( = 10378, dan jumlah kuadrat factor kemasan dan iklan ( = 1644.2 Dari tabel diperoleh untuk factor kemasan sebesar 8.501. Jika angka ini dikonfirmasikan dengan pada taraf signifikansi 5% dengan dk=2 untuk pembilang dan 24 untuk penyebut, maka diperoleh angka 3.40. Pada taraf signifikansi 1% didapat angka 5.61 maka terlihat bahwa < sehingga diterima baik pada signifikansi 5% atau 1% dan ditolak. Dari tabel juga diperoleh angka untuk factor iklan sebesar 4.907. Bila nilai tersebut dikonfirmasikan dengan dengan alfa = 0.05, taraf signifikansi 5%, dk = 1 untuk pembilang dan 24 untuk penyebut, maka diperoleh angka 4.46 < sehingga diterima untuk taraf signifikansi 5%, sementara untuk tarat signifikansi 1%, ditolak dan diterima. Dari sini bisa disimpulkan bahwa media iklan mempengaruhi tingkat penjualan.
  • 35.
    35 Pengaruh kemasan daniklan secara bersama-sama terhadap hasil penjualan diperoleh 0.389. Bila angka ini dikonfirmasikan dengan jika diketahui nilai dk = 2 untuk pembilang dan 24 untuk penyebut, maka diperoleh angka 3.40 untuk taraf signifikansi 5% dan 5.61 untuk taraf signifikansi 1%. Jadi nilai sehingga ditolak dan diterima. Dari tabel Estimated Marginal Means dapat dilihat bahwa mean dari kemasan A = 210.5, mean kemasan B = 253.4, dan mean kemasan C = 295.3. Sedangkan standar error dari masing-masing kemasan sebesar 14.543. Penjualan kemasan A berkisar antara 180.485-240.515, kemasan B berkisar antara 223.385-283.415, dan kemasan C antara 265.285-325.315. Mean kemasan A yang diiklankan melalui media elektronik adalah 184 dan hasil penjualan berkisar antara 141.553-226.447, sedangkan yang diiklankan melalui media cetak menghasilkan mean yang lebih besar yaitu 237 dengan hasil penjualan berkisar antara 194.553 dan 279.447. Jika kedua mean dibandingkan, maka terlihat bahwa kemasan A yang diiklankan melalui media cetak memperoleh mean yang lebih besar dibandingkan dengan yang diiklankan melalui media elektronik. Secara kasar dapat disimpulkan bahwa kemasan A lebih baik diiklankan dengan menggunakan media cetak daripada melalui media elektronik. Mean kemasan B yang diiklankan melalui media elektronik adalah 232.8 dan hasil penjualan berkisar antara 190.353 sampai 275.247, sedangkan yang diiklankan melalui media cetak menghasilkan mean yang lebih besar yaitu 274 dengan hasil penjualan berkisar antara 231.553 dan 316.447. Bila kedua mean dibandingkan, maka terlihat bahwa kemasan B yang diiklankan melalui media cetak memperoleh mean yang lebih besar dibandingkan dengan yang diiklankan melalui media elektronik. Secara kasar dapat disimpulkan bahwa kemasan B lebih baik diiklankan dengan menggunakan media cetak daripada melalui media elektronik. Adapun mean kemasan C yang diiklankan melalui media elektronik adalah 286.6 dan hasil penjualan berkisar antara 244.153 sampai 329.047, sedangkan yang diiklankan melalui media cetak menghasilkan mean yang lebih besar yaitu 304 dengan hasil penjualan berkisar antara 261.553 dan 346.447. Bila kedua mean dibandingkan, maka terlihat bahwa kemasan C yang diiklankan melalui media cetak memperoleh mean yang lebih besar dibandingkan dengan yang diiklankan melalui media elektronik. Dari mean kedua kelompok ini dapat disimpulkan bahwa baik kemasan A, B, dan C lebih baik diiklankan lewat media cetak daripada media elektronik. Dari tabel Post Hoc Tests (Multiple Comparisons), dapat dilihat bahwa perbedaan mean kemasan A dengan kemasan B = -42.9 (kemasan A lebih kecil 42.9 poin dibandingkan dengan kemasan B), kemasan A dengan kemasan C = -84.8 (kemasan A lebih kecil 84.8 poin dari kemasan C), kemasan B dengan kemasan A = 42.9 (kemasan B lebih besar 42.9 poin dari kemasan A), kemasan B dan kemasan C = -41.9 (kemasan B lebih kecil 41.9 poin dibandingkan dengan kemasan C), kemasan C dengan kemasan A = 84.8 (kemasan
  • 36.
    36 C lebih besar84.8 poin dibandingkan dengan kemasan A), sedangkan perbedaan mean kemasan C dan kemasan B = 41.9 (kemasan C lebih besar 41.9 poin dibandingkan dengan kemasan B). Dari tabel Homogeneus Subsets terlihat bahwa pada subset 1 terdapat kemasan A dan B dengan angka 210.5 untuk kemasan A dan 253.4 untuk kemasan B yang berarti kemasan A tidak berbeda secara signifikan dengan kemasan B. Pada subset 2 terlihat kemasan B dan C dengan angka 253.4 untuk kemasan B dan 295.3 untuk kemasan C. Hal ini berarti bahwa pada dasarnya kemasan B tidak berbeda secara signifikan dengan kemasan C. 18 ANACOVA a OUTPUT SPSS Between-Subjects Factors Value Label N METODE_PEMBELAJARAN 1 METODE ACTIVE DEBATE 10 2 METODE JIGSAW 10 3 METODE DISKUSI 10 Descriptive Statistics Dependent Variable:PRESTASI_BELAJAR_SETELAH_PERLAKUAN METODE_PEMBELAJARAN Mean Std. Deviation N METODE ACTIVE DEBATE 84.50 5.986 10 METODE JIGSAW 81.50 5.798 10 METODE DISKUSI 88.50 4.116 10 Total 84.83 5.943 30 Levene's Test of Equality of Error Variancesa Dependent Variable:PRESTASI_BELAJAR_SETELAH_PERLAKUAN F df1 df2 Sig. .299 2 27 .744 Tests the null hypothesis that the error variance of the dependent variable is equal across groups. a. Design: Intercept + SEBELUM + METODE Tests of Between-Subjects Effects Dependent Variable:PRESTASI_BELAJAR_SETELAH_PERLAKUAN Source Type III Sum of Squares df Mean Square F Sig. Corrected Model 349.636a 3 116.545 4.492 .011 Intercept 1656.253 1 1656.253 63.841 .000 SEBELUM 102.969 1 102.969 3.969 .057 METODE 72.471 2 36.235 1.397 .265 Error 674.531 26 25.944 Total 216925.000 30 Corrected Total 1024.167 29
  • 37.
    37 a. R Squared= .341 (Adjusted R Squared = .265) Estimated Marginal Means METODE_PEMBELAJARAN Dependent Variable:PRESTASI_BELAJAR_SETELAH_PERLAKUAN METODE_PEMBELAJARAN Mean Std. Error 95% Confidence Interval Lower Bound Upper Bound METODE ACTIVE DEBATE 84.874a 1.622 81.541 88.208 METODE JIGSAW 82.623a 1.707 79.115 86.131 METODE DISKUSI 87.002a 1.778 83.349 90.656 a. Covariates appearing in the model are evaluated at the following values: PRESTASI_BELAJAR_SEBELUM_PERLAKUAN = 67.50. b INTERPRETASI OUTPUT Dari tabel Between-Subjects Factors ditampilkan hasil dari subjek-subjek yang diteliti dan dimasukkan dalam analisis data sesuai dengan factor yang berbeda antar masing- masing subjek. Dari hasil output terlihat bahwa subjek untuk metode active debate, metode jigsaw, dan metode diskusi, masing-masing memiliki jumah responden yang sama yaitu 10 responden. Pada tabel Descriptive Statistics dapat diketahui bahwa mean kelompok yang menggunakan metode active debate = 84.50, mean kelompok yang menggunakan metode jigsaw = 81.50, mean kelompok yang menggunakan metode diskusi = 88.50, sedangkan mean seluruh siswa = 84.83. Standar deviasi kelompok yang menggunakan metode active debate = 5.986, standar deviasi kelompok yang menggunakan metode jigsaw = 5.798, standar deviasi kelompok yang menggunakan metode diskusi = 4.116, standar deviasi kseluruhan adalah 5.943. Dari tabel output Levene’s Test of Equality of Error Variances diperoleh angka F sebesar 0.299 dengan nilai probabilitas sebesar 0.744. Karena 0.744 > 0.05, maka hipotesis nihil (diterima dan hipotesis alternative (ditolak, yang berarti varian variabel terikat adalah sama (homogen) sehingga memenuhi persyaratan analisis kovarian. Dengan demikian proses analisis kovarian dapat dilanjutkan. Dari hasil analisis program SPSS 16 bisa dilihat besar untuk metode adalah 1.397 dan 0.265 untuk angka signifikansi. Karena 0.265 > 0.05 maka hipotesis nihil (diterima dan hipotesis alternative (ditolak. Hal ini menunjukkan bahwa tidak ada perbedaan prestasi belajar siswa dengan penggunaan metode belajar yang berbeda (melakukan control terhadap prestasi belajar) sebelum perlakuan diberikan. Dari tabel Estimated Marginal Means dapat dilihat bahwa nilai mean dengan mengikutsertakan variabel control = 84.50 yang berarti lebih besar 0.374 dari mean tanpa mengikutsertakan variabel control untuk kelompok yang diberi perlakuan dengan menggunakan metode active debate. Nilai mean dengan mengikutsertakan variabel control = 82.623 yang berarti lebih besar 1.123 dari mean tanpa mengikutsertakan variabel control untuk kelompok yang diberi perlakuan dengan menggunakan metode jigsaw. Sementara itu, nilai mean dengan mengikutsertakan variabel control = 87.002 yang berarti lebih kecil 1.498 dari mean tanpa
  • 38.
    38 mengikutsertakan variabel controluntuk kelompok yang diberi perlakuan dengan menggunakan metode diskusi. Sedangkan standar error dari masing-masing kelompok sebesar 1.622 untuk kelompok yang diberi perlakuan dengan menggunakan metode active debate, 1.707 untuk kelompok yang diberi perlakuan dengan menggunakan metode jigsaw, dan 1.778 untuk kelompok yang diberi perlakuan dengan menggunakan metode diskusi. Adapun tingkat konfidensi untuk taraf 5% berkisar antara 81.541 – 88.208 untuk kelompok yang diberi perlakuan dengan metode active debate, 79.115 – 86.131 untuk kelompok yang diberi perlakuan dengan metode jigsaw, dan 83.349 – 90.656 untuk kelompok yang diberi perlakuan dengan metode diskusi. Dengan menganalisis data menggunakan Anova Satu Arah maka dapat dilihat gambaran keadaan prestasi belajar siswa setelah dilakukan pendekatan dengan metode control atau tanpa control. Berikut output data dengan menggunakan analisis Anova Oneway: ANOVA PRESTASI_BELAJAR_SETELAH_PERLAKUAN Sum of Squares df Mean Square F Sig. Between Groups 246.667 2 123.333 4.283 .024 Within Groups 777.500 27 28.796 Total 1024.167 29 Tabel output Anova diatas menunjukkan hasil yang berbeda dengan output Anova dari kelas yang telah dikenai metode control. Perhitungan yang dilakukan tanpa control menunjukkan adanya pengaruh pemberian metode yang berbeda terhadap prestasi dimana diperoleh sebesar 4.283 dan angka signifikansi sebesar 0.024 < angka kritik 0.05. Dengan demikian dapat disimpulkan bahwa ada pengaruh perlakuan metode yang berbeda terhadap hasil belajar siswa. 19 MENENTUKAN BESAR KONTRIBUSI VARIABEL INDEPENDEN a OUTPUT SPSS ANALISIS DENGAN MENGGUNAKAN TIGA MODEL Between-Subjects Factors Value Label N METODE_PEMBELAJARAN 1 METODE ACTIVE DEBATE 10 2 METODE JIGSAW 10 3 METODE DISKUSI 10 Tests of Between-Subjects Effects Dependent Variable:PRESTASI_BELAJAR_SETELAH_PERLAKUAN Source Type III Sum of Squares df Mean Square F Sig.
  • 39.
    39 Corrected Model 409.269a 581.854 3.195 .024 Intercept 1050.346 1 1050.346 40.996 .000 METODE 58.142 2 29.071 1.135 .338 SEBELUM 26.454 1 26.454 1.033 .320 METODE * SEBELUM 59.633 2 29.817 1.164 .329 Error 614.898 24 25.621 Total 216925.000 30 Corrected Total 1024.167 29 a R Squared = .400 (Adjusted R Squared = .275) ANALISIS DENGAN MENGGUNAKAN DUA MODEL Between-Subjects Factors Value Label N METODE_PEMBELAJARAN 1 METODE ACTIVE DEBATE 10 2 METODE JIGSAW 10 3 METODE DISKUSI 10 Tests of Between-Subjects Effects Dependent Variable:PRESTASI_BELAJAR_SETELAH_PERLAKUAN Source Type III Sum of Squares df Mean Square F Sig. Corrected Model 349.636a 3 116.545 4.492 .011 Intercept 1656.253 1 1656.253 63.841 .000 METODE 72.471 2 36.235 1.397 .265 SEBELUM 102.969 1 102.969 3.969 .057 Error 674.531 26 25.944 Total 216925.000 30 Corrected Total 1024.167 29 a. R Squared = .341 (Adjusted R Squared = .265) b INTERPRETASI OUTPUT Perhitungan dilakukan dengan mengurangkan nilai Adjusted R Squared yang diperoleh pada perhitungan model pertama (analisis tiga model) dengan nilai Adjusted R Squared yang diperoleh pada perhitungan model kedua (analisis dua model) lalu membaginya dengan nilai Adjusted R Squared yang diperoleh pada perhitungan model kedua (analisis dua model) dan dikalikan dengan 100. Hal ini menunjukkan bahwa kontribusi variabel independen terhadap prestasi belajar siswa hanya sebesar 3.8% sementara kontribusi kovariat atau variabel control terhadap variabel dependen sebesar 96.2%.