Successfully reported this slideshow.
We use your LinkedIn profile and activity data to personalize ads and to show you more relevant ads. You can change your ad preferences anytime.

Pakistan Affairs notes final.

42,167 views

Published on

Published in: Education, Spiritual
  • DOWNLOAD THE BOOK INTO AVAILABLE FORMAT (New Update) ......................................................................................................................... ......................................................................................................................... Download Full PDF EBOOK here { https://redirect.is/fyxsb0u } ......................................................................................................................... Download Full EPUB Ebook here { https://redirect.is/fyxsb0u } ......................................................................................................................... Download Full doc Ebook here { https://redirect.is/fyxsb0u } ......................................................................................................................... Download PDF EBOOK here { https://redirect.is/fyxsb0u } ......................................................................................................................... Download EPUB Ebook here { https://redirect.is/fyxsb0u } ......................................................................................................................... Download doc Ebook here { https://redirect.is/fyxsb0u } ......................................................................................................................... ......................................................................................................................... ................................................................................................................................... eBook is an electronic version of a traditional print book THE can be read by using a personal computer or by using an eBook reader. (An eBook reader can be a software application for use on a computer such as Microsoft's free Reader application, or a book-sized computer THE is used solely as a reading device such as Nuvomedia's Rocket eBook.) Users can purchase an eBook on diskette or CD, but the most popular method of getting an eBook is to purchase a downloadable file of the eBook (or other reading material) from a Web site (such as Barnes and Noble) to be read from the user's computer or reading device. Generally, an eBook can be downloaded in five minutes or less ......................................................................................................................... .............. Browse by Genre Available eBOOK .............................................................................................................................. Art, Biography, Business, Chick Lit, Children's, Christian, Classics, Comics, Contemporary, CookBOOK, Manga, Memoir, Music, Mystery, Non Fiction, Paranormal, Philosophy, Poetry, Psychology, Religion, Romance, Science, Science Fiction, Self Help, Suspense, Spirituality, Sports, Thriller, Travel, Young Adult, Crime, EBOOK, Fantasy, Fiction, Graphic Novels, Historical Fiction, History, Horror, Humor And Comedy, ......................................................................................................................... ......................................................................................................................... .....BEST SELLER FOR EBOOK RECOMMEND............................................................. ......................................................................................................................... Blowout: Corrupted Democracy, Rogue State Russia, and the Richest, Most Destructive Industry on Earth,-- The Ride of a Lifetime: Lessons Learned from 15 Years as CEO of the Walt Disney Company,-- Call Sign Chaos: Learning to Lead,-- StrengthsFinder 2.0,-- Stillness Is the Key,-- She Said: Breaking the Sexual Harassment Story THE Helped Ignite a Movement,-- Atomic Habits: An Easy & Proven Way to Build Good Habits & Break Bad Ones,-- Everything Is Figureoutable,-- What It Takes: Lessons in the Pursuit of Excellence,-- Rich Dad Poor Dad: What the Rich Teach Their Kids About Money THE the Poor and Middle Class Do Not!,-- The Total Money Makeover: Classic Edition: A Proven Plan for Financial Fitness,-- Shut Up and Listen!: Hard Business Truths THE Will Help You Succeed, ......................................................................................................................... .........................................................................................................................
       Reply 
    Are you sure you want to  Yes  No
    Your message goes here
  • ⇒ www.WritePaper.info ⇐ is a good website if you’re looking to get your essay written for you. You can also request things like research papers or dissertations. It’s really convenient and helpful.
       Reply 
    Are you sure you want to  Yes  No
    Your message goes here
  • My brother found Custom Writing Service ⇒ www.HelpWriting.net ⇐ and ordered a couple of works. Their customer service is outstanding, never left a query unanswered.
       Reply 
    Are you sure you want to  Yes  No
    Your message goes here
  • Legitimate top paying survey, ▲▲▲ https://dwz1.cc/EWG1lhe4
       Reply 
    Are you sure you want to  Yes  No
    Your message goes here
  • If we are speaking about saving time and money this site HelpWriting.net is going to be the best option!! I personally used lots of times and remain highly satisfied.
       Reply 
    Are you sure you want to  Yes  No
    Your message goes here

Pakistan Affairs notes final.

  1. 1. PAKISTAN AFFAIRS NOTES ContentsPART 1 – REFORMERS & EDUCATIONAL MOVEMENTS ................................................. 2  EVOLUTION OF MUSLIM NATIONALISM  ........................................................................... 2  . MUSLIM REFORMERS .............................................................................................................. 4  EDUCATIONAL MOVEMENTS ................................................................................................ 9  THE IDEOLOGY OF PAKISTAN: TWO-NATION THEORY ............................................. 16 PART 2 – PRE PARTITION HISTORY ....................................................................................... 22  DECLINE OF MUGHAL RULE ............................................................................................... 22  SHIMLA DEPUTATION  ............................................................................................................ 26  . MUSLIM LEAGUE ..................................................................................................................... 29  THE LUCKNOW PACT .............................................................................................................. 33  KHILAFAT MOVEMENT ........................................................................................................... 41  NEHRU REPORT & QAID’S POINTS  ................................................................................... 46  . ALLAMA IQBAL’S PRESIDENTIAL ADDRESS AT ALLAHABAD ................................. 58  CONGRESS RULE IN THE PROVINCES ............................................................................ 62  PAKISTAN RESOLUTION ........................................................................................................ 66  CRIPPS MISSION ....................................................................................................................... 72  CABINET MISSION ................................................................................................................... 78 PART 3 – POST PARTITION PERIOD ....................................................................................... 87  INITIAL PROBLEMS FACED AFTER THE CREATION OF PAKISTAN  ...................... 87  . THE ACHIEVEMENTS OF THE QUAID-E-AZAM ............................................................ 92  C O N S T I T U T I O N A L I S S U E S ......................................................................................... 95  C O N S T I T U T I O N M A K I N G ( 1 9 4 7 - 5 6 )  .................................................................. 98  POLITICAL DEVELOPMENTS ............................................................................................. 101  TRAGEDY OF EAST PAKISTAN .......................................................................................... 111  GEO-STRATEGIC IMPORTANCE OF PAKISTAN. .......................................................... 117 Prepared by Ahmed Shakeel Babar (shakeelbabar1@gmail.com) 1 
  2. 2. PART 1 – REFORMERS & EDUCATIONAL MOVEMENTS EVOLUTION OF MUSLIM NATIONALISM  Arab traders’ honesty  Kiring Noor, the first Indian national to embrace Islam  Sarqafi, Governor of Oman under Hazrat Umer (634 – 644), invaded sea ports near Bombay without his permissionSINDH DAR UL ISLAM  Gifts and women from Ceylon  Pirates attack  Al Malik bin Abdul Malik as a Ummayyad Caliph  Hijaj Bin Yousaf  Muhammad Bin Qasim  Syrian soldiers  Entered from Makran  Raja Dahir killed near Mehran (Indus) in June 712  Rani Bai, Raja’s wife, challenged MBQ with 15,000 soldiers and defeated. She burnt herselfMBQ REFORMS  12 Dirham tax  No social caste system  Established Sadru Imam Al ajal for Islamic laws interpretation  Suleman bin Abdul Malik called MBQ back and perished him in 715SPREAD OF ISALM IN OTHER PARTS OF INDIA  MBQ  712  Mehmud Gahznavi – 2nd expediter – 17 attacks between 1000 to 1026 o Ghaznavid period ended in 1185 with death of Khusru Malik  Ghuri period (1185 – 1192)  expanded to Bengal and Bihar  Dehli Sultanate (1192 – 1526)  Muslim sufis  Mughal era (1526 – 1857)  Muslims sufis  Muslim sufis o Shaikh Ismail in Ghaznavi period o Ali Makhdom Hajveri came Lahore in 1035, Bahud Din Zakaria, Shaikh Fareed Dud Din, Khawaja Bukhtiar Kaki, Nazam Ud Din Olia, Mujadid Alaf Sani, Hazrat Shahi Wali Ullah , Muin ud Din ChishtyIMPACT OF ISLAM  Cultural Influence o Caste system o Urdu and Hindi came into being o Islamic way of construction  Religious Influence o Shankarachariya (Organizer of modern Hinduism) influenced by Islam o Ramananda, Ghuru Nanik and Chaitanya were Hindu prominent leaders influenced by IslamHINDU REACTIONPrepared by Ahmed Shakeel Babar (shakeelbabar1@gmail.com) 2 
  3. 3. I. Bagti Movement  Started in 14th century  Objective to check the popularity of Islam  No difference between Ram and Raheem, Parn and Quran, Kasshi and Kahba  Bagt Kabir, Ramananda, Guru Nanak and Dadu were prominent leadersII. Din-E-Ilahi (1582)  Akbar introduced in desire to win the collaboration of Rajput chiefs  Marriages with Hindu girls  Elevation of Hindu to imp positions  Under Din e Elahi o Worship of sun o Jizya and pilgrimage tax abolished o Akbar as shadow of god on earth o Cow slaughter and Azan prohibited o No child named as Muhammad  Hazrat Mujadid Alaf Sani opposed Din e Elahi  Muslims lost their hegemony Prepared by Ahmed Shakeel Babar (shakeelbabar1@gmail.com) 3 
  4. 4. MUSLIM REFORMERS HAZRAT MUJADID ALAF SANI (June 1564 – Dec 1626)  Sheikh Ahmad Sirhindi  Father name  Sheikh Abdul Ahad  Went to Delhi at age of 36  Disciple of Khawaja Baqi BillahSocial Conditions during his time  Populace belief in Karamat  Ulema refer to Jurisprudence rather than Quran  Akbar’s anti Islamic look  Hindu cultural domination  Bakhti Movement  Wahdat al Wajood theoryMujadid’s efforts 1. Jehad against Din-i-Ilahi 2. Theory of Wahdat-ul-Sahood a. Countering Wahdat-ul-Wajood 3. Refusal to prostate – society purification a. Jehangir imprisoned him in Gawaliar for three years 4. Preaching in fort of Gawaliar 5. Preparation of Disciples 6. Maktaba-e-Imam-e-Rabbani a. Letters to important nobles and leaders b. Abdur Rahim, Khan e Azam Mirza Aziz, Mufti Sardar Jehan 7. Books a. Isbat ul Nabuwwat b. Risla e Nabuwwat i. Need & importance of Prophethood c. Maktubat e Imam e Rabbai d. Toheed e Shaheedi i. Islamic philosophy 8. Two nation theory a. First stone of two nation theory – first founder of Pakistan 9. Influence over Jehangir – Khutba; Cow Slaughter;Shaikh imprisoned  Asaf Jah, Jehangeer’s PM Shaikh summoned No prostration jailed  After 3 years of imprisonment, Jehangeer released him giving him 10000 rupees  He stayed 3 years in Jehangeer courts“When seen in the perspective of history, whether accepted by Sufis or not, it is in therejection of monism that Sheikh’s claim for being the Mujadad of his age.” IH Qureshi“Sheikh Ahmad, an individual from Sirhind, rich in knowledge and vigorous in action. Iassociated him for few days and found marvelous things in his spiritual life. He will turninto a light which will illuminate the world.” Khawaja Bakhtiar Kaki quoted by S M IkramPrepared by Ahmed Shakeel Babar (shakeelbabar1@gmail.com) 4 
  5. 5. HAZRAT SHAH WALI ULLAH MOHADITH DELVI (1703 DELHI - 1762)  Father of Modern Muslim India  Real name Qutabuddin  Born at Delhi son of Shah Abdur Rahim (Fatwa e Alamgeeri) – scholar of Fiqa and Islamic jurisprudence  Got knowledge of Fiqah, Ahadith, Tafsir and Hikmat  completed study in 15 year of age  Went to Arabia for higher education and came back in July 1732  He taught at Madrasa Rahimia for 12 years  Aim  Revive the past glory of Muslims and purify the society inwardlyConditions  Incapable successor of Aurangzeb  Un-Islamic trends,  Muslim life honour property not secured,  Shia-Suni conflicts,  Marhats and Sikhs challengersSHAH’S EFFORTS 1. Religious work a. Translation of Holy Quran in Persian – 1738 b. Commentary on Hadith collection of Imam Muttah in Arabic and persian c. Urged Muslims to follow Holy prophet & abandon un-Islamic trends d. Trained students in different Islamic knowledge e. Recommended application of Ijtehad f. Initiated Tatbiq  liberal element g. Balance b/w four schools – h. Removed misunderstanding b/w Shai & Sunni – Khilafat-al-Khulafa 2. Political work a. Marathas were threatening the Muslim empire b. Wrote letters to seek help from Muslim nobles against Sikhs  won over Najib ud Dola, Shuja ud Daula c. Ahmad Shah Abdali  defeated Sikhs at the Third battle of Panipat in 1761 3. Social work a. Strongly opposed integration of Islamic culture in Sons’ efforts subcontinent b. Concept of reorientation of Muslim society Quranic translation in i. Basic social justice Urdu by Rafiuddin and ii. Removing social inequalities Abdul Qadir iii. c. Concept of economy Shah Abdul Aziz waged i. Production of wealth Jehad ii. Consumption of wealth iii. Distribution of wealth iv. Exchange of wealth 4. Literary work a. Izalat-al-Akifa b. Khalifa-al-Khulafa c. Al-Insaf-fi-Bayan-Sababa-al-Ikhtilaf d. Master piece of literature 1738 e. Commentary on Hadith Imam MuttahPrepared by Ahmed Shakeel Babar (shakeelbabar1@gmail.com) 5 
  6. 6. f. Quranic translation in Persian g. Alfauz-ul-Qabir Fi-Usool-e-Tafseer h. Hujjat-ul-Balagha – about decay, Ijtehad, Mujjad and Ruler“I was informed through Ilham that I would have to undertake this responsibility. The timehas come when every injunction of the Sharia and instruction of Islam should be presentedto the world in a rational manner.” Quoted by SM IkramPrepared by Ahmed Shakeel Babar (shakeelbabar1@gmail.com) 6 
  7. 7. SYED AHMAD SHAHEED BARELVI (1786 – 1831)  Inheretor of mantle of Shah Abdul Aziz  Birth at Rai Barally in 1786  Father Shah Illam Ullah  Inspired by Shah Abdul Aziz  1810 – joined Nawab Ameer Khan as Sawar  1818 – wrote Seerat-e-MustaqeemCondition  Punjab ruled by Ranjit Singh who mutilated Muslims  NWFP by SikhsObjective  Purification of Muslim society and destruction of British power through armed struggle – Establishment of a state based on Islamic principlesJehad Movement  HQ at Nowshehra in Dec 1826  Battles 1. OKARA 1826 2. HAZRO 1827 3. Yar Muhammad Conspiracy  He joined Mujahideen in Pesh, force arouse to 80,000  Tried to poision Syed Ahmad  Killed by Mujahideen in 1829 4. BATTLE FOR PESHAWAR  Ranjit Singh saved Peshawar and gave to Sultan Muhammad 5. HAZARA II 1830  Sikh were attacked, Sultan M arrested  Declaration of Khilafat (1830) 1. Sultan M pardoned & withdrew from Pesh  BALAKOT BATTLE 1831 1. Sikh attacked, Syed Ahmad killedCauses of Failure 1. Western generals Vantura and Elite in Ranjit’s army – training & modern war strategy 2. Outdated weapons of Mujahideen 3. Financial sources of Ranjit Singh 4. Misudnderstaning created by Ranjit Singh 5. Ranjit attracted Pathans by bribing who did spy, revolt & slaughtered Mujahideen 6. No support for poors – Zakat collection 7. Islamic laws during war – compulsory girls & widow marriage 8. Severe punishment 9. Pathans were against Wahabisim“The movement led by Brelvi was a precursor for later Muslim national movements of thesubcontinent.” Dr. Sachin SenPrepared by Ahmed Shakeel Babar (shakeelbabar1@gmail.com) 7 
  8. 8. FARAIZI MOVEMENTWide scale ignorance of Muslims resulted in Hindu emergence in 19th century. Haji Shariat Ullah (1781 - 1840)Left for Arabia in 1799  influenced by MBA Wahab  started Faraizi Movement – stress on Faraiz -when back  denied concept of Peer-Mureed  opposed Zamindar levied taxes  Harassed by them left Najabari  Death in Faridpur Dudu Mian(Mohsan Ud Din Ahmad)  divided Bangal into circles and appointed Khalifa  opposed tax ofDurga and land  Khas Mehal occupied on his direction  established his own state  harassed byZamindars thorough false charges  died in Sep 1824 TITU MIR (1782-1831)Nisar Ali (Titu Mir) born in Bengal Visited Makkah in 1819 and influenced by Syed Ahmed Barelvi. On arrival back, he started preaching He made a fort in Narkalberia, asked followers not to givebeard tax (Kishan Rai) Kishan attacked but defeated  183 British army attacked Narkalberiaand killed Titu Mir.Organization: 1. Security of Peassantory – Lathibardar  Political branch 2. Social Justice – Punchayat  Religious branchDoctrine: 4 steps 1. Tauba 2. Fraiz 3. Tuheed 4. Ustaad Shagir instead of Peer Mureed 5. Dar-ul-ArabKhalafat System: 1. Ustaad 2. Uprasta – Advisor to Ustaad 3. Superintendent Khalifa – 10 G K 4. Gaon Khalifa – 500 familiesPrepared by Ahmed Shakeel Babar (shakeelbabar1@gmail.com) 8 
  9. 9. EDUCATIONAL MOVEMENTS ALIGARH MOVEMENTThe War of Independence 1857 ended in disaster for the Muslims. The British chose to believe thatthe Muslims were responsible for the anti-British uprising; therefore they made them the subject ofruthless punishments and merciless vengeance. The British had always looked upon the Muslims astheir adversaries because they had ousted them from power. With the rebellion of 1857, this feelingwas intensified and every attempt was made to ruin and suppress the Muslims forever. Their effortsresulted in the liquidation of the Mughal rule and the Sub-continent came directly under the Britishcrown.After dislodging the Muslim rulers from the throne, the new rulers, the British, implemented a neweducational policy with drastic changes. The policy banned Arabic, Persian and religious educationin schools and made English not only the medium of instruction but also the official language in1835. This spawned a negative attitude amongst the Muslims towards everything modern andwestern, and a disinclination to make use of the opportunities available under the new regime. Thistendency, had it continued for long, would have proven disastrous for the Muslim community.Seeing this atmosphere of despair and despondency, Sir Syed launched his attempts to revive thespirit of progress within the Muslim community of India. He was convinced that the Muslims in theirattempt to regenerate themselves, had failed to realize the fact that mankind had entered a veryimportant phase of its existence, i.e., an era of science and learning. He knew that the realization ofthe very fact was the source of progress and prosperity for the British. Therefore, modern educationbecame the pivot of his movement for regeneration of the Indian Muslims. He tried to transform theMuslim outlook from a medieval one to a modern one.Sir Syed Ahmad Khan (17 Oct, 1817 – 27 Mar 1898)  Got knowledge from Farid ud Din (maternal-grandfather – Ex Mughal PM)  Got knowledge of Quran, Arabic, Persian, History, Maths and MedicineJoined gov’t in 1839 – after father’s death – in a clerical job  1841 – promoted as Sub-Judge 1846 – transferred to Delhi  Chief judge in 1846  was offered an estate for services rendered toBritish during war 1857 but he rejected  1877 – member of imperial council  1886 – Universityof Edinburgh – LL.D degree 1888 – KnighthoodEducational Aspect of Aligarh MovementObjective:1. Modern education for Muslims to compete Hindus2. Cooperation with the British government1. Schools  Muradabad (1859)  Ghazipur (1863)2. Scientific society at Gahazipur (1864)  (to translate modern work from English to urdu and Persian)  1866 – Society published Aligarh Gazette (to arouse sentiments of goodwill & friendship)  Muhammadan Educational ConferencePrepared by Ahmed Shakeel Babar (shakeelbabar1@gmail.com) 9 
  10. 10.  Established in 1866  held public meetings, discussed modern education techniques  Nawab Mohsan al Malik, Vaqar ul Malik, Maulana Shibli and Maulana Hali as members3. Muhammadan Educational Conference  Established in 1866  held public meetings, discussed modern education techniques  Nawab Mohsan al Malik, Vaqar ul Malik, Maulana Shibli and Maulana Hali as members1869 – went to England, studied education system of Oxford & Cambridge 4. Anjuman-i-Taraqi-i-Musalmanan-i-Hind (1870)  to impart modern knowledge to Muslims 5. Muhammadan Anglo-Oriental College On pattern of Oxford  Fund raising committee formed 24th May, 1874, MAO High school established  1877 – got status of college  western, eastern and Islamic education  1920 – status of UniversityPolitical Aspects of Aligarh Movement 1. Muslims should avoid active politics 2. Sir Syed wrote “Risala-i-Asbab-Baghawqat-i-Hind  Causes of WOI 1857 1. Non representation of Indian in legislative councils 2. Conversion of Indian into Christianity 3. Mismanagement of Indian army 4. Ill advised measure of gov’t  Consequence: Indian membership in Act 1861 3. 1866 – Sir Syed formed British India Association at Aligarh – to express grievances of Indians to gov’t 4. wrote Loyal Muhammadans of India 5. Indian Patriotic Association 1888 – forum for those who did not join Congress 6. Muhammadan Political Association 1903 – Against Hindu Revivalist movements a. Arya Smaj – Hindustan 1977 b. B G Tilak – Cow Slaughter c. Shudhi - d. Shangtahn -Religious Services of Aligarh Movement 1. Wrote “Essay on the Life of Muhammad & Rebattle” in response to William Muire’s objectionable remarks in “Life of Muhammad” 2. Philosophical commentary “Tabaeen-al-Kalam” on bible – point out similarities 3. Influenced by MBA Wahab and Shah Ismail Shaheed – having positive attitude towards religionSocial services of Aligarh Movement 1. “Tahzib-ul-Akhlaq”  criticized conservative way of life and advised to adopt new trend 2. Established Orphanage houses 3. Founded Anjuman-i-Tariki-i-Urdu  protecting Urdu 4. Ahkam-i-Taham-i-Ahle-Kitab  Muslims can eat with ChristiansPioneer of two nation theory  Advocate of Hindu Muslim unity  Urdu Hindi controversy 1867 in Banaras, changed his views  Shakespeare dialoguePrepared by Ahmed Shakeel Babar (shakeelbabar1@gmail.com) 10 
  11. 11. Features of Aligarh  Western & Eastern Education  Islamic Education  Residential College  European and Indian staff  Non-Muslim students  Loyalist DispositionAligarh Movement after Sir Syed’s death 1. 1889 – Sir Syed proposed a trustee bill  Sir Syed as Sec. of the trust & Syed Mahmud (son) as joint sec. 2. After Sir Syed’s death (1898), Syed Mahmud as Sec.  was a weak manager  resigned 3. Nawab Mohsin-ul-Mulk as new sec  devoted  deposited six lac Rs to gov’t  handled the conflict b/t two groups – Sahibzada Aftab Khan (in favor of European staff) & Muhammad Ali Johar  Died in 1907 4. Nwab Vaqar ul Malik took over tussle on European staff arouse  Nawab resigned in 1912 – health 5. Nwab Muhammad Ishaq Khan  deposited 20 lac for status of University  1919- college student played role in Tehrik e KhilafatPrepared by Ahmed Shakeel Babar (shakeelbabar1@gmail.com) 11 
  12. 12. TEHRIK-I-DEOBAND (Apr 1866)  Aligarh movement was cooperating with British  Christians working to convert Muslims into Christianity  Apr 1866 – Madrasah established at Deoband  2nd to Al Azhar Cairo  Founder  Haji M. Abid floated the idea  Collection of fund  Managing committee – Maulana M Qasim , Maulana Fazl ur Rehman, Maulana Zulfiqar, Maulana M Yaqoob  Maulana Shabir A Usmani taught  Maulana M Qasim first principal  worked devotedly  Madrasah came to known as “Qasim al Uloom I Deoband”  Madrasah followed Madrasah I Rahimia (Shah wali Ullah’s father) and British education system  Produced  Shah Abdur Rahim, Ashraf Ali Thanvi, Rashid Ahmad Ganghoi, Maulana Mehmood ul HassanPolitical Services of Deoband  Jamiat Ulama I Islam Thanvi group  lead by Ashraf Ali Thanvi, Shabir Ahmad Usmani  Muslim league  Jamiat-ul-Ulema-i-Hind  Madni group  lead by Maulana Hussain Madani, Mufti Kafayat Ullah influenced by Abu-ul-Kalam Azad  CongressEducational Services of Deoband  A great religious Madrasah  2nd to Al Azhar  Principals  Maulana M Qasim (1880)  Rashid Ahmad Ganghoi  Sheikh ul Hind M. Mehmood Ul Hassan.Deoband and Aligarh  Policy towards British  Political role of Muslims  Emphasizing area of educationRapprochement with Aligarh  Jamiat-ul-Ansar (1906) at Deoband  Sahibzada Aftab A Khan attended the meeting  Swap of education – religious and western  Jamiat-i-Milia (1920)Prepared by Ahmed Shakeel Babar (shakeelbabar1@gmail.com) 12 
  13. 13. NADVA-TUL-ULEMA OF LUCKNOW (1894)  Aligarh  acquisition of western education  Deoband  religious education  Need for balanced school  Committee was formed in 1892  Nadva-tul-Ulema established in 1894  functioned in 1898  Founder  Maulana Abdul Ghafoor  Shibli Naumani and Mau. Abdul Haq chalked out a liberal programObjective  Promoting religious knowledge, moral uplift and social regeneration of Muslims, Work to remove secretarial differences  British gov’t opposed the idea (Anthony MacDonal expressed it as a political institute)Nadva-tul-Ulema & Shibli Nohmani  Shibli influenced by Maulana M Farooq – opposing Sir Syed while his father influenced by Sir Syed  Joined Aligarh as A Prof of Arabic in 1883  Impressed Sir Syed  Asset to Aligarh  some serious differences  Man of arrogance and sensitive  resigned in 1904  Associated with Nadva  used his expreince to bring reform  gave training in writing (Syed Suleman Nadvi, Abu-al-Kalam Aza)  Established academy”Dar-ul-Musanifin”  Differences arouse  resignedPrepared by Ahmed Shakeel Babar (shakeelbabar1@gmail.com) 13 
  14. 14. ANJUMAN-I-HIMAYAT-I-ISLAM LAHORE (Sep 1884)  Sikh raj in Punjab  Muslims backwardness  250 Muslims established for educational guidance  influenced by Aligarh  Founder  Khalifa Hameed-ud-Din first president  Dr. M Nazir & Munshi Abdur Rehim  Muthi bar atta scheme for fundingObjective  politically Establishing educational institute  Counter Christian missionaries  Orphanage houses  Stable Muslim society  Preserve Muslim culture  Organize MuslimsEducational Services  Established several primary schools on Aligarh pattern  15 schools by 1894  Madrasa tul Muslimin (Islamia High School Sheranwala Gate) in 1889  Islamia College for women Lahore in 1938  Islamia College Railway road, Islamia College civil lines, Islamia College cant, Hamayat I Islam Law College & Center for adult education LahorePolitical ServicesStudents of Islamia College Railqway road  body guard of the Quaid  role in 1940 resolution MSF led by Hamid NizamiPrepared by Ahmed Shakeel Babar (shakeelbabar1@gmail.com) 14 
  15. 15. SINDH MADRASAH, KARACHI (1886)  Syed Hasan Afandi (President of Centeral Mohamadan Association of Karachi – influenced by Sir Syed) established  Hassan died in 1896  Wali Muhammad took over  1n 1943 – Board of the Madrasah decided to rename as Sindh Muslim College  Quaid got education from this instituteISLAMIA COLLEGE, PESHAWAR  Edward College (1888) was a Christian missionary  need for institute for Muslims  Sahibzada Abdul Qayum established Dar-Ul-Uloom-Islamia in 1902  Sahibzada Abdul Qayum established Funding committee in 1912  Dar-ul-Uloom raised to Islamia College Peshawar  Qaid got education from this institute  Sahibzada called Sir Syed of NWFP  Islamia College has major contribution in 1947 referendumPrepared by Ahmed Shakeel Babar (shakeelbabar1@gmail.com) 15 
  16. 16. THE IDEOLOGY OF PAKISTAN: TWO-NATION THEORYThe ideology of Pakistan stems from the instinct of the Muslim community of South Asia to maintaintheir individuality by resisting all attempts by the Hindu society to absorb it. Muslims of South Asiabelieve that Islam and Hinduism are not only two religions, but also two social orders that have givenbirth to two distinct cultures with no similarities.The ideology of Pakistan took shape through an evolutionary process. Historical experienceprovided the base; with Sir Syed Ahmad Khan began the period of Muslim self-awakening;Allama Iqbal provided the philosophical explanation; Quaid-i-Azam translated it into apolitical reality; and the Constituent Assembly of Pakistan, by passing Objectives Resolutionin March 1949, gave it legal sanction. It was due to the realization of Muslims of South Asiathat they are different from the Hindus that they demanded separate electorates. When theyrealized that their future in a Democratic India dominated by Hindu majority was not safe;they put forward their demand for a separate state.As early as in the beginning of the 11th century, Al-Biruni observed that Hindus differed from theMuslims in all matters and habits. He further elaborated his argument by writing that the Hindusconsidered Muslims "Mlachha", or impure. And they forbid having any connection with them, be itintermarriage or any other bond of relationship. They even avoid sitting, eating and drinking withthem, because they feel "polluted".The Ideology of Pakistan has its roots deep in history. The history of South Asia is largely ahistory of rivalry and conflict between the Hindus and Muslims of the region. Bothcommunities have been living together in the same area since the early 8th century, since the adventof Islam in India. Yet, the two have failed to develop harmonious relations. In the beginning, onecould find the Muslims and Hindus struggling for supremacy in the battlefield. Starting with the warbetween Muhammad bin Qasim and Raja Dahir in 712, armed conflicts between Hindus andMuslims run in thousands. Clashes between Mahmud of Ghazni and Jaypal, Muhammad Ghuriand Prithvi Raj, Babur and Rana Sanga and Aurangzeb and Shivaji are cases in point.When the Hindus of South Asia failed to establish Hindu Padshahi through force, they optedfor back door conspiracies. Bhakti Movement, Akbar’s diversion. IDEOLOGY OF PAKISTANWHAT IS AN IDEOLOGY?  A political ideology is a system of beliefs that explains and justifies a preferred political order, either existing or proposed and offers a strategy (Institution, processes, program) for its attainment.  An ideology offers an interpretation of the past, explanation of the present and a vision of the future  Ideology is a set of beliefs, values and ideals of a group and a nation. It is deeply ingrained in the social consciousness of the people.  It is a set of principles, a framework of action and guidance system that gives order and meaning to life and human action.Prepared by Ahmed Shakeel Babar (shakeelbabar1@gmail.com) 16 
  17. 17. HOW IDEOLOGY EMERGES  When thinking of a nation or a social group is rejected.  An ideology emerges when people feel strongly that they are being mistreated under an existing order, when their status is threatened by fundamental changes occurring in the society, and when the prevailing ideology no longer satisfies them  STEPS OF IDEOLOGY EVOLUTION o Consciousness o Analysis of current situation o Creating new thinking o Legitimate – De-legitimate o Role of LeadershipIMPORTANCE OF IDEOLOGY  It is a motivating force  It provides a common plate form. BASIS OF IDEOLOGY OF PAKISTAN  Based on ideals of Islam  Historical experience provided the base; Allama Iqbal gave it a philosophical explanation; Quaid-i-Azam translated it into a political reality; and the Constituent Assembly of Pakistan, by passing Objectives Resolution in March 1949, gave it legal sanction.  It was due to the realization of the Muslims of South Asia that they are different from the Hindus that they demanded separate electorates. However when they realized that their future in a ‘Democratic India’ dominated by Hindu majority was not safe, they changed their demand to a separate state.  Hindu British were exploiting Muslims in India. So Muslims adopted this ideology to save their identity and culture from total elimination.TWO NATION THOERY  Two-nation concept was based on Nationhood which was there long before Pak Ideology. Muslim Traders – Attackers – Rulers (Qutb Ud Din Abik, Ghaznavi) – Sufis (Al Hajveri, Sheikh Ahmad Serhandi)  Based on fact that Muslims were separate nation having their own culture, civilization, customs, literature, religion and way of life.  Despite living together for more than one thousand years, they continue to develop different cultures and traditions. Their eating habits, music, architecture and script, all are poles apart.  The basis of the Muslim nationhood was neither territorial nor racial or linguistic or ethnic rather they were a nation because they belonged to the same faith, Islam. They demanded that the areas where they were in majority should be constituted into a sovereign state,Prepared by Ahmed Shakeel Babar (shakeelbabar1@gmail.com) 17 
  18. 18. wherein they could order their lives in accordance with the teachings of Holy Quran and Sunnah of Holy Prophet (PBUH).  The Muslims were put into the backwardness with the help of Hindus. This was one of the outstanding motivations that paved the way to declare the separate identity of nationalism, the Muslim nationalism  Due to British and Hindu exploitation they were forced to safe guard their national and relational identity.  Sir Syed Ahmad Khan is pioneer of two nation theory. The Ali-Garh movement produced educated leadership who could protect the Muslims’ rights on the Western political lines.  Two Nation Theory means that Pakistan should be a state where the Muslims should have an opportunity to live according to their faith and creed established on the Islamic principals. They should have all the resources at their disposal to enhance Islamic culture and civilization.  There are two major nations in British India. The Muslims are not a community but a nation with a distinctive history, heritage, culture, civilization, and future aspirations. (All India Muslim League)  The Muslims wanted to preserve and protect their distinct identity and advance their interests in India. They wanted to order their lives in accordance with their ideals and philosophy of life without being overwhelmed by an unsympathetic majority.  Initially, they demanded safeguards, constitutional guarantees and a federal system of government with powers to the provinces for protection and advancement of their heritage, identity and interests. Later, they demanded a separate state when neither the British nor the Hindu majority community was willing to offer those guarantees and safeguardsEVOLUTION OF PAKISTAN IDEOLOGY  British expansion had more deepening impact on Muslims as “The people who were important in history are no longer important” KK Aziz  Urdu Hindi controversy under Congress leadership in 1867 in Banars  Revivalist movements against Muslims – Bakhti, Deen e Elahi, Shuddi and Shanghtan movement  Hindu attitude – Partition of Bangal and its repeal  Political experience of Muslims under congress ministries in 1937-39AIMS AND OBJECTIVE OF THE ESTABLISHMENT OF PAKISTAN 1. Enforcement of sovereignty of Allah Almighty a. Quaid said “We do not demand Pakistan to acquire a piece of land, but we wanted a homeland where we could introduce Islamic principals” 2. Establishment of Islamic democracy a. Quaid at Sibbi in 1948 “It is my firm belief that our salvation lied in following the golden rules of conduct as given by our great law giver, the prophet of Islam. Let us lay the foundation our democratic system on Islamic ideals and practices” 3. Revival of Muslim image and Identity 4. Protection of Muslim culture and civilization a. Urdu Hindi controversy b. Shuddi and Sanghtan Movements 5. Two Nation TheoryPrepared by Ahmed Shakeel Babar (shakeelbabar1@gmail.com) 18 
  19. 19. 6. Establishment of a balanced economic system a. All highly courts and military positions were reserved for Hindus. b. Agriculture and Industry was dominated by Hindus c. Islamic system has the benefit for poor as well as rich – Zakat, Ushar PAKISTAN IDEOLOGY AND QUAID E AZAM  He changed the course of history. He was a real charismatic leader possessing a visionary leadership.  Gave practical shape to the ideology given by Sir Syed and Allama Iqbal  He started his political career in 1906 by joining the Indian National Congress. He was elected to the Legislative Council in 1909 and in 1913 he also joined the All India Muslim League (AIML). Now he was member of both the political parties.  Having disagreement with Gandhi on the issue of Swaraj (self-rule), complete freedom from the British and on using extra-constitutional means, Jinnah resigned from the Congress in 1920. His early efforts to promote Hindu-Muslim unity were materialized when THE LUCKNOW PACT (1916) was signed. The Hindus accepted the Muslim demands: o Separate Electorate o One-third Seats in Central Legislature o protection of minority rights  In the Nehru Report, the accepted Muslim rights were ignored. Jinnah retaliated forcefully by presenting 14 Points in 1929.  1935 onwards Quaid started emphasizing on separate identity of Muslim and a separate nation. Started mobilizing masses.  1937  there are only two parties in India said Nehro on performance of ML in elctions. Quaid said “Muslims are third party in India”  1939  “Muslim and Hindu are two nations. We are going to live as a nation and play a role as a nation.”  March 9, 1940  Quaid wrote his only article published in British media namely “Time and Tide”. He discussed 1.How Hindu and Muslims are separate nations? 2. What should be future of India and how Muslims can be accommodated well?  He emphasized on Islam as well as modern democracy, Social economic justice and rights of minorities.  “Pakistan was to be a modern democratic state that derived its ethical foundation from Islam where the source of guidance and inspiration for constitution making and governance is going to be Islam”  “It has been taken for granted mistakenly that Muslims are a minority, and of course we got used to it for such a long time that these settled notions sometimes difficult to remove. ThePrepared by Ahmed Shakeel Babar (shakeelbabar1@gmail.com) 19 
  20. 20. Muslims are not a minority; the Muslims are a nation by every definition. By all canons of international law we are a nation.” 23rd March 1940  ““India is not a nation, nor a country. It is a sub continent of nationalities, Hindus and Muslims belong the two major nations. The Hindus and the Muslims belong to two different religion, philosophies. Social customs and literature. They belong to two different civilizations which are based mainly on conflicting ideas and conceptions. Their aspect on life and of life are different. It is quite clear that both derive their inspirations from different sources of history” 23rd March 1940  “We are a nation with our distinct culture and civilization, language and literature, art and architecture, sense of values and proportions, legal laws and moral codes, customs and calendars, history and traditions. In short we have our distinct outlook on life and of life By all canons of International law we are a separate nation.” 1942  The Muslims are nation by every right to establish their homeland” 1942  “We should base our democracy on the principals and concepts of Islam” Feb 1942  “Pakistan does not mean freedom and independence only, but the Islamic ideology as well which has to be preserved.” June 1945  “I cannot understand a section of people who deliberately want to create a mischief and make propaganda that the constitution of Pakistan will not be made on the basis of Shariat. Islamic principals today are as applicable to life as they were 1300 years ago.” Jan 25, 1948 Eid Milad Un Nabbi Karachi Bar Association PAKISTAN IDEOLOGY AND ALLAMA IQBAL  Men like Allama Iqbal are born but in centuries  His first public appearance was in 1899 at the annual session of Anjuman Himayat-i-Islam in Lahore when he presented the poem, Nala-i-Yatim.  At initial stages Dr Iqbal was a nationalist by ideas and his poetry contained verses like Tarana-i- Hind.  He wet Europe for higher education in 1905-08. Lived in England and got Phd from Munich University. He stayed in Hindenburg where he wrote poem Daraye Nekar key kenare.  Represented Muslims in second and third round table conferences in 1931 and 1932.  Gave the famous Allah Abad Address which late on provided base for Lahore resolution.  “I am fully convinced that Muslims of India will ultimately have to establish a separate homeland as they cannot live with Hindu in the United India.”  “Religion and politics are not distinct from each other”  “India is a continent of Human beings belonging to different religions. To base a constitution on the conception of homogenous India is to prepare her for civil war. I, therefore, demand the formation of a consolidated Muslim state in the best interest of the Muslims of India and Islam. The formation of consolidated North west Indian state appears to be the final destiny of the Muslims” Allaha Abad AddressPrepared by Ahmed Shakeel Babar (shakeelbabar1@gmail.com) 20 
  21. 21.  “I would like to see the Punjab, NWFP, Sind, Balochistan amalgamated into a single state as a self government within the British empire or without. This is the final destiny of the Muslims of N.W. India.” Allaha abad Address  “I have been a staunch advocate of putting an end to the religious distinction from the country. But now I believe that the protection of separate national identity is in the best interest of Muslims and Hindus. Since the Muslims are a separate nation with their separate cultural values and religious trends, and they want to have a system of their own linking, they should be allowed to live under such system” Allaha Abad AddressPrepared by Ahmed Shakeel Babar (shakeelbabar1@gmail.com) 21 
  22. 22. PART 2 – PRE PARTITION HISTORY DECLINE OF MUGHAL RULEThe death of Alamgir in 1707 is generally regarded as the beginning of the gradual decline, andultimately fall, of the once extensive, prosperous and powerful Mughal Empire. Although it tooknearly 150 years before the House of Babur finally disappeared from the scene, the cracks that hadappeared at Alamgirs death widened.His son Muazzam, who ruled from 1707 to 1712, succeeded Aurangzeb Alamgir. He took for himselfthe title of Bahadur Shah. He ruled for five years and momentarily revived the Mughal Empire. Butthe Marhattas power increased and they became the unchallenged rulers of Deccan. In the provinceof Punjab, the Sikhs under Guru Govind Singh became a force to reckon with. One of the reasonsthat power centers kept springing up outside Delhi was the frequent change in the succession ofEmpires. Nearly 17 kings were crowned during the period spanning from 1707 to 1857.The weakened Mughal Empire invited havoc in the form of the Persian king Nadir Shah, in 1738-39.On his orders a general massacre of the citizens of Delhi was carried out, resulting in the death of30,000 people. Another threat to the Mughal Empire came from the Afghans of Rohilkhand, lyingnortheast of Delhi. By the middle of 18th century, the Rohillas became independent of the Mughalrule. At the same time the Jats also raised their heads against the central rule.Taking advantage of this chaotic situation, the East India Company began strengthening its militarycapabilities. They conspired with Hindu traders and moneylenders against Nawab Sirajuddullah ofBengal to take over his principality. The Battle of Plassey of 1757 is considered a majorbreakthrough for the British in the Sub-continent. It paved the way for the companys rule in Bengal,and hence the whole of India ultimately came under the companys rule.In the 19th century, Muslims like Syed Ahmad Brailvi and Shah Ismail carried out Jihad against theSikhs, as did Haider Ali and Tipu Sultan in Deccan against the British. However, they failed in theirefforts to stop the downfall of the Muslim rule. The final crunch came after the war of 1857 when theMughal rule officially came to an end and India came under the direct rule of the British crown.The Mughal Empire reached its greatest extent in the time of Aurangzeb Alamgir, but it collapsedwith dramatic suddenness within a few decades after his death. The Mughal Empire owes its declineand ultimate downfall to a combination of factors; firstly Aurangzebs religious policy is regarded as acause for the decline of the Mughal Empire as it led to disunity among the people. Although thepolicy did lead to weakening of the empire but the major cause of decline was the lack of worthy andcompetent successors after him. The character of Mughal kings had deteriorated over a period oftime. The successive rulers after Aurangzeb were weak and lacked the character, motivation andcommitment to rule the empire strongly. They had become ease loving and cowardly. They totallydisregarded their state duties and were unable to detain the declining empire from its fall.The absence of any definite law of accession was another important factor. The war of successionsnot only led to bitterness, bloodshed, and loss of money and prestige of the empire over a period oftime, but to its eventual fall. The degeneration of the rulers had also led to the moral degeneration ofthe nobility. Under the early Mughals, the nobles performed useful functions and distinguishedthemselves both in war and peace. But the elite under the later Mughals was more interested inworldly pursuit and self-enhancement. The nobles who had once been talented men with integrity,honesty, and loyalty, turned selfish and deceitful. Growth of hostile and rival clique in the court alsoundermined the strength of the government. Widespread corruption in the administration startedand taking bribes became common.Prepared by Ahmed Shakeel Babar (shakeelbabar1@gmail.com) 22 
  23. 23. One of the most potent causes of the fall of the Mughal Empire was the deterioration anddemoralization of the army. The military had not only become inefficient but also lacked in training,discipline and cohesion. The army was out-dated in regard to equipment. It consisted of contingentsmaintained by various nobles, which was the main source of Armys weakness. As the weakening ofthe nobles occurred, so did the army. This was because of the soldiers, instead of identifying anduniting as Mughal Indians, identified themselves with different ethnic groups like Persian, Afghansand Central Asians. The Mughals had no navy and only maintained small ships that were no matchfor the well-equipped ships of the foreign traders. It was this weakness that the French and theBritish used to their advantage, and were eventually able to establish their control over India.Another factor contributing to the decline was the financial position of the Mughals, which hadbecome deplorable. The war of successions, rebellions and luxurious style of living had depleted theonce enormous treasury and had led to financial bankruptcy. During the time of Aurangzeb, theMughal Empire had expanded to reach its maximum size. This vast area had become impossible forone ruler to control and govern from one center. It was during the later Mughals that Deccan,Bengal, Bihar and Orrisa declared their independence. The raids by Nadir Shah, and repeatedinvasions of Ahmad Shah Abdali, resulted in further weakening of the empire. The already weakenedempire faced further encroachment by the British and the French, which proved to be the last nail inthe already drowning empires coffin. The British and French, who had initially come as traders, tookfull advantage of the weakening empire and soon became masters of the whole of India. CAUSES OF THE FALL OF MUGHAL EMPIRE 1. Weak Successors of Aurangzeb a. All merry making and unable, except Bahadar Shah b. Left work to their Wazirs 2. Vastness of the Empire a. Aurangzeb empire – practically impossible b. Afghanistan to Asaam, Kashmir to Maysor c. Lack of effective means of communication 3. Absence of a Definite Law of Succession a. Akbar was only unopposed among 20 rulers b. "The sword was the grand arbiter of right and every son was prepared to try his fortune against his brothers." Erskine 4. Deterioration of Morality of Mughal Emperors a. Fond of wine and women 5. Degeneration of Nobility a. Degeneration into sects and costs – Iranian, Toranian and Indian 6. Deterioration of Army a. Abundance of wealth and comfort b. Loss of confidence c. Demoralization 7. Corrupt Administration a. Ministers, nobels and officers accepted bribes 8. Stoppage of Adventures from Persia, Afghanistan and Turkistan a. This provided a change for Army to be lazy 9. Invasions of Nadir Shah and Ahmed Shah Abdali a. Nadir Shah 1739 (looted for 57 days) b. Ahmad Shah Abdali 1754 – 67 (5 times) 10. Aurangzebs Policy in DeccanPrepared by Ahmed Shakeel Babar (shakeelbabar1@gmail.com) 23 
  24. 24. a. Golkonda and Bijapur served as a check to Maraths before conquest 11. Absence of Naval Power a. British and Portuguese had strong naval power 12. Intellectual Bankruptcy a. 17th & 18th century European saw industrial revolution b. Mughals did not pay attention 13. Plight of the Common People and Peasants a. Bad economic conditions led to discontentment 14. Rise of Marathas a. Emergence of Maraths in 17th century b. 18th century they extended their influence to Delhi 15. Rise of Sikhs a. During the reign of Jahandar Shah (1712 – 13) and Farrukhsiyar (1713 – 19) 16. Rise of Hindus of Rajputana a. Rajput of Mewar and Marwar distressed by Aurangzeb 17. Outdated war equipment and tactics a. Failed to keep pace with modern developments b. Lack of modern weapons led the failure of battle of Plassy and Buxer 18. Advent of English East India Company a. Got trade access in Aurangzeb’s reign i. Portuguese - suppressed by Aurangzeb ii. British WAR OF INDEPENDENCEBy 1845, the British Empire had expanded from Bengal to Sindh, and all that remained free wasPunjab. The Sikhs were ruling over Punjab and after the Second Sikh War in 1848, the Britishgained control over the Indus. The Koh-i-Noor diamond that Ranjit Singh had worn in his headdressnow became a part of the crown jewels at Westminster.The War of Independence broke out in January and March 1857. The British army had recruitedlocal Indians in their forces. These soldiers were issued cartridges greased with fat from tabooedanimals. The soldiers refused to use these cartridges. In 1857, starting with an uprising in Meerut,soldiers in the British Army in Bengal launched a full-scale mutiny against the British. This mutinyspread swiftly across the Sub-continent. Initially, the Indian soldiers were able to push back theBritish forces. The British army was driven out of Delhi and the Indian soldiers took control of thecity. Bahadur Shah Zafar, the last Mughal King, was compelled to lead the freedom fighters. InBahadur Shah Zafar, the rebels found a symbol of freedom, but a mere symbol was all he was.Wanting to spend his days writing poetry, the man was in no way even a remnant of the glory of hisforefathers. He proclaimed himself the Emperor of the whole of India. The civilians, citizens andother dignitaries took oath of allegiance to the Emperor. The Emperor issued his own coin andappointed his sons to key posts.The initial success of the freedom fighters gave a boost to the War of Independence. The Indian armycaptured the important towns of Haryana, Bihar and Mahdya Pardesh. However, the British forces atMeerut and Ambala put up a resolute resistance to the royal army and held them back for severalmonths. The British proved to be a formidable foe with their superior weapons and better strategy.The freedom fighters badly lacked in adequate resources and their planning proved to be extremelybrittle. The royal forces were finally defeated. The British army entered Delhi and the Mughalemperor Bahadur Shah Zafar went into hiding.The British quickly regained control of Delhi. They ransacked and destroyed the city. They tookrevenge in the most gruesome manner by killing innocent people indiscriminately. A wide scalemassacre of the inhabitants of Delhi was carried out to avenge the killings of the British soldiers. ThePrepared by Ahmed Shakeel Babar (shakeelbabar1@gmail.com) 24 
  25. 25. Mughal emperor was captured from his sanctuary, the tomb of Emperor Humayun. The emperorssons were slaughtered in cold blood. Their bodies were beheaded and their heads were presented tothe aging emperor in prison. Bahadur Shah was imprisoned in Rangoon, Myanmar, where hebreathed his last.After the War of Independence in 1857, the British government assumed sovereignty over the landsof the British East India Company. The British control over the Sub-continent grew in the next 50years and culminated in the British Raj. Queen Victorias Indian realm continued to expand, untilHunza, the remote kingdom bordering China, fell into British hands in 1891, bringing the expansionto its zenith.The British delineated the frontier separating British India from Afghanistan in 1893. The resultingDurand Line cut straight through the tribal area of the Pathans. The British left the tribal areas togovern themselves under the supervision of British political agents.The British thus became masters of India, where for nearly 800 years Muslims had ruled. However,their attitude towards the Muslims was that of antipathy. According to Hunter, a prominenthistorian, "The Muslims of India are, and have been for many years, a source of chronic danger tothe British power in India". The British attributed the war of 1857 to the Muslims alone. As a result,property belonging to Muslims was confiscated and they were denied employment opportunitieseverywhere in the army, revenue department, and judiciary.The British administrators deliberately followed a discriminatory policy against the Muslims, even infilling minor jobs. Advertisements inviting applications for government jobs specifically mentionedthat Muslims would not be appointed. Hunter admits that the exclusion of the Muslims was socomplete that in the government offices of Calcutta they could not accept a post higher than that of aporter, messenger, filler of inkpots and mender of pens.By a series of revenue and financial measures, the British smashed the political and social positionof the Muslims. In the province of Bombay, the government appointed "Inam Commission" to inquireinto the land grants of the Muslim times. The Commission took away 20,000 estates from theMuslims and thus ruined many families and institutions of the community.The Companys commercial policy eliminated the Muslims from internal and foreign trade. When theEuropeans came to the Sub-continent, the Muslim merchants lost much of their commerce withforeign countries. But they maintained their hold on internal trade and their commercial activitiesextended to the Persian Gulf and the coastal territories of the Arabian Sea. During the Companysrule, the Muslim traders were pushed out of this area as well by the competition of the Companystraders who enjoyed many special concessions.The newly introduced English system of education had many drawbacks for the Muslims, mainlybecause it made no provisions for religious education. As a result, they stayed away from it. Thus,within a few years of loss of political power, the Muslims lost all avenues of employment, weredispossessed of their estates and deprived of the benefits of education. A highly cultured communityturned into a backward and poor people. In their place British-educated Hindus began to occupypositions in governments offices formerly held by the Muslims. Prepared by Ahmed Shakeel Babar (shakeelbabar1@gmail.com) 25 
  26. 26. SHIMLA DEPUTATIONPrepared by Ahmed Shakeel Babar (shakeelbabar1@gmail.com) 26 
  27. 27. Prepared by Ahmed Shakeel Babar (shakeelbabar1@gmail.com) 27 
  28. 28. Prepared by Ahmed Shakeel Babar (shakeelbabar1@gmail.com) 28 
  29. 29. MUSLIM LEAGUEPrepared by Ahmed Shakeel Babar (shakeelbabar1@gmail.com) 29 
  30. 30. Goal of ML  “To protect religious and cultural identity of the Muslims of India”  The founding session chaired by  Nawab Waqar ul Malik  Seconded by  Maulana Zaffar Ali Khan and Hakeem Ajmal KhanChange in Strategy 1913Causes 1. Annulment of Bengal partitionPrepared by Ahmed Shakeel Babar (shakeelbabar1@gmail.com) 30 
  31. 31. 2. Balkan war (Italy-Turkey) 3. Libya Italy war 4. Demolition of a Mosque at Khanpur 5. Realization by both parties to achieve their same goal 6. Role of QuaidUpdated Strategy 1. Self-government under the crown 2. Good relations and cooperation with any organization working for same causePrepared by Ahmed Shakeel Babar (shakeelbabar1@gmail.com) 31 
  32. 32. Prepared by Ahmed Shakeel Babar (shakeelbabar1@gmail.com) 32 
  33. 33. THE LUCKNOW PACTPrepared by Ahmed Shakeel Babar (shakeelbabar1@gmail.com) 33 
  34. 34. Prepared by Ahmed Shakeel Babar (shakeelbabar1@gmail.com) 34 
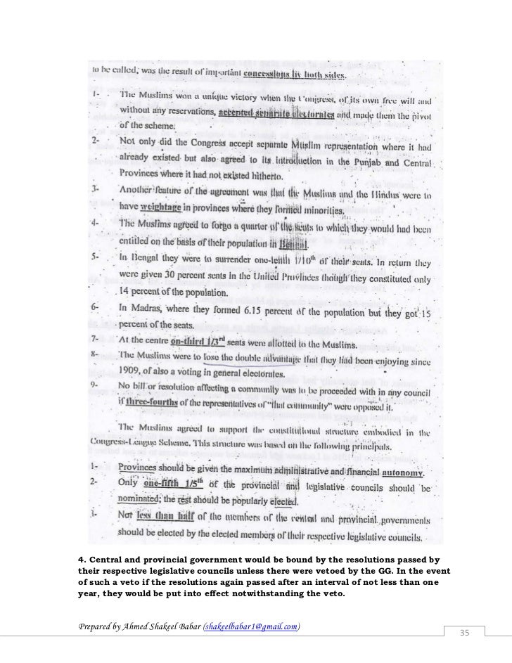
  35. 35. 4. Central and provincial government would be bound by the resolutions passed bytheir respective legislative councils unless there were vetoed by the GG. In the eventof such a veto if the resolutions again passed after an interval of not less than oneyear, they would be put into effect notwithstanding the veto.Prepared by Ahmed Shakeel Babar (shakeelbabar1@gmail.com) 35 
  36. 36. Prepared by Ahmed Shakeel Babar (shakeelbabar1@gmail.com) 36 
  37. 37. Prepared by Ahmed Shakeel Babar (shakeelbabar1@gmail.com) 37 
  38. 38. WEAK POINTS:Prepared by Ahmed Shakeel Babar (shakeelbabar1@gmail.com) 38 
  39. 39. Prepared by Ahmed Shakeel Babar (shakeelbabar1@gmail.com) 39 
  40. 40. Prepared by Ahmed Shakeel Babar (shakeelbabar1@gmail.com) 40 
  41. 41. KHILAFAT MOVEMENT*** Background:The Lucknow pact showed that it was possible for middle-class, English-educated Muslims and Hindus toarrive at an amicable settlement on Hindu-Muslim constitutional and political problems. This unityreached its climax during the Khilafat and the Non-Cooperation Movements. 1. Rowlett Act April 1919 a. Report by Sydney Rowlatt to counter terrorists b. Features i. Accused have to prove himself not guilty ii. No legal assistance to accused iii. No right to appeal iv. Prosecution can produce witness of a dead person c. Quaid resigned from Central Legislative Assembly 2. Jallianwala Bagh Tragedy a. Gandhi entrance in Punjab banned b. Protest on April 13, 1919 in Amritsar c. Gen. Dyre ordered fire  killed 379, injured 1200 in 10 minutes d. Britian imposed Martial Law in Amritsar, Lahore, Gujrat e. Hunter committee recommended forcibly retirement of Gen. DyrIntroduction:  Religio-political movement  Extra territorial attachments based on Islam  First movement which involved common man  Showed Islam is mobilization forceGoals: 1. Ottuman empire should be kept intact 2. Territorial solidarity 3. Control of holy placesMuslim Media: 1. Zamindar – Zafar Ali Khan 2. Comrade & Hamdard – Maulana M Ali Johar 3. Al-Hilal – Maulana Abul Kalam AzadUrging Force 1. Concept of Muslim Ummah 2. Emotional attachments with institution of KhilafatWhy Cooperation 1. To be one force against BritishPrepared by Ahmed Shakeel Babar (shakeelbabar1@gmail.com) 41 
  42. 42. 2. Rowlett Act 1919 3. Jawalianwala Garden Tragedy Apr 1919Events: 1. Khilafat Day  Oct 27, 1919 2. Khilafat Committee formed by Hakim Ajmal Khan & Dr. M A Ansari  July 1919 a. I. Khilafat Conference Delhi – Gandi & Nehru participated  Nov 1919 i. No participation in victory celebrations ii. Boycott of British goods iii. Non cooperation (on later stage) b. II. Khilafat Conference Amritsar  Dec 1919 i. Ali brothers came directly after being released. ii. M A Ansari delegation to Viceroy  Jan 1920 iii. Maulana M Ali Johar delegation to Lord George 1. Non-Cooperation Movement  May 1920 (Dec 1920 by Congress) by Mahatama Gandi a. 3 Hindu groups i. Cooperation on condition of “No Cow Slaughter” ii. Muslims would seek help from Afghanistan iii. Unconditional help to Muslims b. Program of Movement announced – 4 stages i. Titles awarded given up & Educational institutes boycotted ii. Resignations of civil government’s servants iii. Police and military to be quitted (later on ) iv. Refusal to pay taxes & Civil disobedience 2. Treaty of Sevres  Aug 1920 3. III. Khilafat Conference Karachi  July 1920 a. Loyality to Turksih Sultan b. Welcomed Attaturk’s efforts for expulsion of foreign forces 4. Nagpur Session of Congress  Dec 1920 a. Working Committee approved Non-Cooperation movement b. Jinnah opposed and left the congress 5. Hijrat Movement 1920 – 1921 a. Abul Kalam Azad and other Ulema declared India “Darul Herb” b. 18,000 Muslims migrated c. Initially Afghan welcomed but later on closed the borders d. Huge casualties of migrants occurred, some went to Russia 6. End of Movement a. Moplah revolt  Aug 1921 i. Muslim tribe revolted against Hindu landlords b. Chora Chori (UP)  Feb 1922 i. 21 constables and 1 sub inspector were set on fire ii. Gandhi called of the movement on Feb 05, 1922 c. Developments in Turkey i. Mustafa Kamal appointed as Chief of the state by Grand National Assembly ii. Kamal Pasha won back Symarna from Greeks iii. Goarge gov’t collapsed iv. Treaty of Laussane singed v. Khilafat Abolished  Mar 1924Prepared by Ahmed Shakeel Babar (shakeelbabar1@gmail.com) 42 
  43. 43. Prepared by Ahmed Shakeel Babar (shakeelbabar1@gmail.com) 43 
  44. 44. First visit of the commission  Feb – Mar 1928Second visit of the commission  Oct 1928 – mar 1929Report published  May 1930Prepared by Ahmed Shakeel Babar (shakeelbabar1@gmail.com) 44 
  45. 45. Prepared by Ahmed Shakeel Babar (shakeelbabar1@gmail.com) 45 
  46. 46. NEHRU REPORT & QAID’S POINTSPrepared by Ahmed Shakeel Babar (shakeelbabar1@gmail.com) 46 
  47. 47. Prepared by Ahmed Shakeel Babar (shakeelbabar1@gmail.com) 47 
  48. 48. Prepared by Ahmed Shakeel Babar (shakeelbabar1@gmail.com) 48 
  49. 49. Prepared by Ahmed Shakeel Babar (shakeelbabar1@gmail.com) 49 
  50. 50. Prepared by Ahmed Shakeel Babar (shakeelbabar1@gmail.com) 50 
  51. 51. Prepared by Ahmed Shakeel Babar (shakeelbabar1@gmail.com) 51 
  52. 52. Prepared by Ahmed Shakeel Babar (shakeelbabar1@gmail.com) 52 
  53. 53. QUAID’S 14 POINTSPrepared by Ahmed Shakeel Babar (shakeelbabar1@gmail.com) 53 
  54. 54. Prepared by Ahmed Shakeel Babar (shakeelbabar1@gmail.com) 54 
  55. 55. Prepared by Ahmed Shakeel Babar (shakeelbabar1@gmail.com) 55 
  56. 56. Prepared by Ahmed Shakeel Babar (shakeelbabar1@gmail.com) 56 
  57. 57. Nehru Report Quaid’s 14 PointsPolitical background Province: (5)  Simon commission appointed in 1. Residuary powers vested in centre November 1927. No Indians in 2. Provincial autonomy it. 3. Sind to be separated from Bombay  Resentment in India 4. Reforms in NWFP and Baluchistan  Constitutional suggestions in 5. No change in central constitution air without consent of provincesCongress committee Muslims: (6)  Moti Lal Nehru as head, 6. Separate electorate Jawahar Lal Nehru as 7. 1/3 Muslims in central legislature Secretary, 2 Muslims 8. Muslims’ share in services and local bodiesNehru Report 9. Safeguard to Muslim culture and religion 1. Parliamentary form of 10. 1/3 members in each cabinet government (dominion) 11. No territorial redistribution in 2. Residuary powers vested in Punjab, Bengal and NWFP to effect centre Muslims 3. No separate electorate 4. No weightage to minorities Minorities: (3) 5. Reservation of seats in low Muslim population provinces 12. Effective representation of minorities only 13. Religious liberty 6. 1/4 Muslims in central 14. 3/4 of a community’s votes to legislature change laws effecting them 7. Hindi as lingua franca – official Importance of 14 points language  The importance of these points canMuslim reaction be judged by the fact that these  “This is the parting of ways.” – points were presented in the Round Jinnah Table Conference of 1930.  Muslim Press in India  As a result, these points became the demands of the Muslims and greatly influenced the Muslims thinking for the next two decades till the establishment of Pakistan in 1947. Prepared by Ahmed Shakeel Babar (shakeelbabar1@gmail.com) 57 
  58. 58. ALLAMA IQBAL’S PRESIDENTIAL ADDRESS AT ALLAHABADImportant points: 1. Decline of Muslim Ummah in general and Muslims of India in particular 2. Islam is a complete code of life. And Muslims are a nation. 3. There is no harmony between Muslims and Hindus in India. 4. A separate homeland for the Muslims of India comprising of Punjab, sindh, Balochistan and NWFP. a. He Said “I would like to see the Punjab, North-West Frontier Provinces, Sindh and Balochistan into a single State. Self-Government within the British Empireor without the British Empire. The formation of the consolidated North-West Indian Muslim State appears to be the final destiny of the Muslims, at least of the North-West India.” b. Two Nation Theory 4. Suggestions for the constitution. (He was against the central legislative assembly and wanted assembly of representative of federal States). 5. Muslim Representation in the British Indian Assembly shall be 1/3rd.Hindu Reaction:  An editorial in daily Partab, Lahore wrote about Allama Muhammad Iqbal that he is a dangerous Muslim of North Western India.  In Daily Inqalab, Lahore a Hindu Columnist wrote “Iqbal Wanted to snatch the country of Hindus from them and to give it to the Muslims.Muslims supported his ideas. News papers like Daily Hindu and Daily hamdam supported himand propagated his message and ideas through the Subcontinent.Iqbal earned the title of “Dreamer of Pakistan” for Himself.Prepared by Ahmed Shakeel Babar (shakeelbabar1@gmail.com) 58 
  59. 59. ROUND TABLE CONFERENCES [1930-33]*** Introduction:Lord Irwin invited the leaders of political parties of India.Objective: To formulate future constitution of India in the light of suggestions given by the IndianLeaders.Civil Disobedience Movement (April 1930):  It was launched by Gandhi because at that point he demanded implementation of Nehru report in Toto.  The civil disobedience movement was declared illegal and Gandhi was arrested. First Round Table Conference: (12 November 1930 to 19th January 1931)Muslim Leaders: following Muslim leaders participated.  Quaid-e-Azam.  Sir Agha Khan  Muhammad Ali Jauhur.  Maulvi Fazl Haq.  Sir Muhammad ShafiImportant decision made in conference: 1. Approval of federal system for India (Executive will be responsible to legislature). 2. Fully representative government, responsible to provincial and federal legislature will be made. (Note: In Nehru report Hindu Wanted Strong Central Govt. while Muslims demanded for loose federation in Jinnah’s 14 Points). 3. The princely states will also be supported. 4. Sapru’s proposal of dominion status and abolition of diarchy in the provinces.Deadlock: Deadlock occurred on the distribution of subjects in the federal systemGandhi Irwin Pact:  From 17-19 February 1931 talks were held between Gandhi and Irwin.  An agreement was signed on 5th March 1931 between Gandhi and Irwin.Why these Talks were held and Agreement was signed?  Because of the failure of civil disobedience movement.  Government’s desire for congress participation in round table as congress was absent in first round table conference.Prepared by Ahmed Shakeel Babar (shakeelbabar1@gmail.com) 59 
  60. 60. Salient features of Gandhi Irwin Pact: 1. The congress will call of civil disobedience. 2. The congress will attend second round table conference. 3. The government will withdraw all cases against congress and release prisoners.The pact shows that the British government was anxious to bring the congress to round tableconference. It was triumph of the congress and Indian Nationalism. Second Round Table Conference ( 7 September 1931to 1st December 1931)  Gandhi was the sole representative of All India National Congress  Allama Iqbal participated in 2nd round table conference because of the death of Maulana Muhammad Ali Jauhur.  Allama Iqbal in his speech said in 2nd round table conference.  Two committees were formed i.e. 1. Conference on federal structure. 2. Conference on Minorities.  Gandhi’s showed stubborn attitude to secure India as one nation. Gandhi claimed that he represented all India and dismissed all other Indian delegates as non-representatives.  Hindu Muslim relations embittered.  Communal problems Remained Unsolved Quaid-e-Azam did not participate in second Round table conference and decided to remain alooffrom the Indian politics and to practice as a professional lawyer in England.Communal Awards, August16, 1932.  Because of the deadlock over communal issues British government announced communal awards. Communal representation of Muslims: o Jinnah’s demand for 1/3rd of the British seats in central legislature was accepted. o Sindh was awarded the status of separate province. o Principle of Wieghtage was applied (Muslim lost majority in Punjab, Sikh got advantage in Punjab, Europeans got advantage in Bengal because of principle of Wieghtage). Communal Scheme for Non Muslim: o Award declared untouchables as a minority and thus the Hindus depressed classes were given a number of special seats. And as result o Separate electorates for scheduled class Hindus were approved. Hindu Reaction:Prepared by Ahmed Shakeel Babar (shakeelbabar1@gmail.com) 60 
  61. 61. Gandhi took fast until death on account of accepting scheduled class Hindus as separatenation and giving them right of separate electorate. Dr. Ambedkar, leader of untouchable made anagreement to withdraw from the right of separate electorate under Poona Pact. Gandhi ended hisfast. Third Round Table Conference/ Joint Select committee (17th November to 25th December 1932)  Quaid-e-Azam did not participate.  Sir Agha khan participated.  In third round table conference reports of various communities were scrutinized.  It was decided to setup a federal legislature in India consisting of elected representatives of the British India and of the representatives of the state to be nominated by respective ruler.The report of three round table conferences was published in a white paper in 1933 and later on itwas discussed in the British parliament. As a resulted a bill was drafted which was approved andbecame Indian Act of 1935.Prepared by Ahmed Shakeel Babar (shakeelbabar1@gmail.com) 61 
  62. 62. CONGRESS RULE IN THE PROVINCESElections 1937Muslim League manifesto (i) 1935 Act is unworkable; (ii) ML would get maximum benefit out of it.The manifesto was same but two things; Urdu Language and separate electorates.“The manifestos show that there was not unbridgeable gape. Yet, there was no such a will.”“The League manifesto was clearly an offer for cooperation. Had the congress accepted theoffer, the whole constitutional scene would have been different.” IH QureshiProvincial elections:  Congress  706 out of 1771 seats (26/58 Muslim seats, so only 5% of Muslims)  Muslim League  102 out of 482 Muslim seats (26% Muslim votes)CONGRESS RULECongress refused to formed ministries till July 1937 on the basis of GG’s discretionary powers – inMuslims favor.The period of less than two and a half years, from July 1939 to October 1939, when congressministries ruled eight of the eleven Indian provinces was extremely crucial in the history of HinduMuslim relations. A. Refusal to Form Coalition GovernmentThe Election results had strengthened this hope, for congress had not bothered to contest more thana small number fraction of Muslim seats and not won even a majority of that. Therefore, everyonelooked forward to the formation of congress league coalition in all Hindu Majority provinces. Therefusal of the Congress to cooperate belied all such hopes.In J u l y 1937, Congress formed governments in 6 provinces. In NWFP, Khudai Khidmatgar andCongress formed a coalition government. In the Muslim majority provinces, the Muslim Leaguecould not form the governments. The Muslim League desired to be in government in the U.P. butthe Congress consented to a conditional support:1. Dissolve AIML Parliamentary Board2. AIML members not to function as a separate group3. AIML members to express allegiance to the CongressDefinitely the above-mentioned terms were a device to subvert the existence of the Muslim League.Therefore, no agreement was possible on this issue.Nehru told Chaudhary Khaliq uz Zaman in May 1937, “The Hindu Muslim question is confinedto a few Muslim intellectuals, landlords and capitalists who were cooking up a problemwhich did not in fact exist in the mind of the masses.” “Nehru’s mistake lay in his attempt at killing Muslim nationalism with ridicule. Laterevents were to show the folly of his attitude, for it created nothing but bitterness and badblood.” IH Qureshi B. The Muslim Mass Contact Movement:Prepared by Ahmed Shakeel Babar (shakeelbabar1@gmail.com) 62 
  63. 63. Along with its refusal to share power with the Muslim League the Congress pursued anti-MuslimLeague policy in another direction as well. Its power among masses should be weakened andfinally broken. Thus began the ambitious but short lived campaign.This philosophy was followed by Nehru’s statement that, “power was now crystallized in onlytwo opposing ranks – Congress for Indian nationalism and British for imperialism. Otherparties do not count.”Comment:Maulvi Abdul Hakeem, Punjab Moderate Muslims Association, warned Muslims against this andcalled it “conversion of Muslims”. C. Dictatorship of the CongressThe outstanding constitutional feature of the congress provincial government of the 1937-39 wasthat they did not conform to the kind of parliamentary gov’t envisaged in the Act. The congressprovinces were not autonomous.Congress ministers were not allowed to act independentlySir Banirjee says, “Gandhi was a dictator by proxy, he did not rule directly but he wasaccepted as religious obligation.” D. Policies o f the Congress Governments: (July 1937-Nov. 1939)First a l Congress governments in the provinces launched anti-Muslim drive basicaly to excludethe ML and other Muslim organizations from the government making process. The Congress leadershad come to know that the ML had got roots in the masses. They started ‘Muslim Mass Contact’movement to defame the ML in their favour. They were making cultural and educational policiesthat promoted the Hindu culture and symbols in the name of Indian culture. They introducedBanda-Mataram anthem from Annandmath in the institutions and offices etc. The Hindi languagewas given top most importance in their policies. Wardha Educational Scheme was to convertMuslims into Hindus through primary educational literature. Projection of Hindu heroes likeGandhi and distortion of Muslim history became their moral creed. They folowed the policy ofdiscrimination in services or new recruitment for jobs.In the UP, the provincial government had directed the local administration to consult the localcongress leaders.The Congress ministries adopted overal negative and cruel atitude, especialy towards the Muslimactivists. This unjust treatment compeled the Muslims to be disciplined in every sphere of life.Muslim Response:The Muslims were w e l l aware of the theocratic inclination of the Hindu people. They arranged aclose monitoring of the government. They publicized their policies and raised the issues. Themobilization of Muslims on these matters required keen probe to colect the origi n a l facts of theHindu atrocities.Prepared by Ahmed Shakeel Babar (shakeelbabar1@gmail.com) 63 
  64. 64. 1. The Pirpur Report:On March 28, 1938, the Council of ML appointed an eight-member commitee under thepresidentship of Raja Syed Muhammad Mehdi of Pirpur that presented its report on, November 15,1938. It tried to dig out the cruelties of the Congress ministries in seven provinces. The report tookup the Congress support to the rival Muslim organizations, intimidation and threats to the pro-Muslim League people.2. The Sharif Report, March 1939The ML deputed Mr. Shareef with members to investigate the injustices under the dictatorial rule ofthe Hindus. This report mainly colected the facts, concentrating on i l treatment of the governmentwith the Muslims in Bihar.3. The Fazl-ul- Haq Report: (December 1939)A. K. Fazl-ul-Haq published a pamphlet entitled Muslim Sufferings Under the Rule of Congress andmade many alarming revelations e.g. forbidding of Azan, atacks in mosques, noisy processions of theHindu scoundrels, forbidding of the cow-slaughter etc. This pamphlet responded the indictmentsby the Congress on the Muslims.A l l the reports described the Congress government as an atempt to create ‘Hindu R a j ’ thatwanted to overwhelm the Muslim culture and their identity. It was a rigorous threat to the Muslims’interests.Muslim League Activism:The Muslim League highlighted the issues and mobilized the Muslims to counter them adequately.I t reorganized the Muslim community to cope with the situation. The ML arranged its session atLucknow in October 1937. Many prominent leaders like Fazlul Haq participated in the session whileSikander Hayat and Saadulah announced their support to the ML.The Muslim leaders shed a sharp criticism on the Congress policies. They protested against thereduction of status of Urdu and other Muslim related issues. They created realization, amongst theMuslims, of what can happen under the Congress rule and urged for serious thinking about thefuture political and constitutional arrangements. They unearthed the real objectives of the Congressand urged the need of unity among the Muslims under the banner of Muslim League.The Second World War (September 1939) proved blessing for the Muslims in a sense that theCongress Ministries resigned in November 1939. The Muslims observed Day of Deliverance onDecember 22, 1939.Reorganization of Muslim League:The ML redefined its position during the World War II. They expressed their enthusiasm that noconstitution to be enforced without the consent of the Muslims. They eradicated theirorganizational weaknesses and refined their objectives keeping the experiences of the Congressministries.Intellectual Commentary on Congress Rule and its impactPrepared by Ahmed Shakeel Babar (shakeelbabar1@gmail.com) 64 
  65. 65. Short term effect of these policies: 1. It weakened the capacity of responsible government. In democracy it is public opinion which rules but in congress ministries it was vice versa. 2. Provincial autonomy was nullified by the rule of the High command 3. Totalitarian policies of congress made it impossible to negotiate. Totalitarianism produced arrogance which is opposed to give and take spirit.Long term effects: 1. More aware minorities“The rise of congress, to power made the Muslims feel for the first time what it was to be in aminority. They had become acutely aware of the rising tide of Hindu rule, and that produced aconsolidation of political opinion and organization in India.” Lothian in Asiatic Review“The Congress was the Indian counterpart of Nazi party in Germany.” Bonarjee, A Christian 2. Constitutional safeguards: a non-entity“The congress rule taught the minorities that administrative or even constitutional safeguards are noeffective protection against an attitude of mind in the numerically dominant party which treats allother sections of opinion as politically-defeated antagonists.” I H Qureshi 3. Strengthened Muslim League’s power among massesThe more aggressive became the tone of congress the greater grew the confidence of Muslim League.ML countered every argument of the congress;  To the congress argument of communalism  narrating the hardships under congress “secular” rule  Congress’s pledge to protect minorities  ML pointed to futility of constitutional safeguards  Democracy and freedom  greater Muslim apprehension about Hindu domination 4. Paved the way towards separationSlowly but relentlessly the congress was forcing the Muslim of India into separation.” IH Qureshi 5. Communal Tensions“I foresaw that the result of the present congress party policy will be class bitterness, communal warand strengthening of the imperialistic hold as a consequence.” QuaidPrepared by Ahmed Shakeel Babar (shakeelbabar1@gmail.com) 65 
  66. 66. PAKISTAN RESOLUTIONPrepared by Ahmed Shakeel Babar (shakeelbabar1@gmail.com) 66 
  67. 67. Prepared by Ahmed Shakeel Babar (shakeelbabar1@gmail.com) 67 
  68. 68. Prepared by Ahmed Shakeel Babar (shakeelbabar1@gmail.com) 68 
  69. 69. Prepared by Ahmed Shakeel Babar (shakeelbabar1@gmail.com) 69 
  70. 70. Prepared by Ahmed Shakeel Babar (shakeelbabar1@gmail.com) 70 
  71. 71. Prepared by Ahmed Shakeel Babar (shakeelbabar1@gmail.com) 71 
  72. 72. CRIPPS MISSIONPrepared by Ahmed Shakeel Babar (shakeelbabar1@gmail.com) 72 
  73. 73. Prepared by Ahmed Shakeel Babar (shakeelbabar1@gmail.com) 73 
  74. 74. Prepared by Ahmed Shakeel Babar (shakeelbabar1@gmail.com) 74 
  75. 75. Prepared by Ahmed Shakeel Babar (shakeelbabar1@gmail.com) 75 
  76. 76. Prepared by Ahmed Shakeel Babar (shakeelbabar1@gmail.com) 76 
  77. 77. Prepared by Ahmed Shakeel Babar (shakeelbabar1@gmail.com) 77 
  78. 78. CABINET MISSIONPrepared by Ahmed Shakeel Babar (shakeelbabar1@gmail.com) 78 
  79. 79. Prepared by Ahmed Shakeel Babar (shakeelbabar1@gmail.com) 79 
  80. 80. Prepared by Ahmed Shakeel Babar (shakeelbabar1@gmail.com) 80 
  81. 81. Prepared by Ahmed Shakeel Babar (shakeelbabar1@gmail.com) 81 
  82. 82. Prepared by Ahmed Shakeel Babar (shakeelbabar1@gmail.com) 82 
  83. 83. Prepared by Ahmed Shakeel Babar (shakeelbabar1@gmail.com) 83 
  84. 84. Prepared by Ahmed Shakeel Babar (shakeelbabar1@gmail.com) 84 
  85. 85. Prepared by Ahmed Shakeel Babar (shakeelbabar1@gmail.com) 85 
  86. 86.  Prepared by Ahmed Shakeel Babar (shakeelbabar1@gmail.com) 86 

×