Successfully reported this slideshow.
We use your LinkedIn profile and activity data to personalize ads and to show you more relevant ads. You can change your ad preferences anytime.

Mutualismo

12,359 views

Published on

Trabalho dos estudantes do Curso de Verão em Métodos Matemáticos em Biologia de Populações, Fev de 2008.

Published in: Technology
  • Login to see the comments

Mutualismo

  1. 1. Mutualismo Adriano Cherchiglia, André Chalom Mellina Zanon Brêda, Tiago Porto Aranha Métodos Matemáticos em Biologia de Populações IFT – UNESP, Fevereiro de 2008.
  2. 2. Mutualismo Importância Conceitos e definições Introdução Primeiros modelos O básico Mutualismo obrigatório Capacidade de suporte Resposta funcional Problemas Quebra de mutualismo Artigo Resultados Nosso modelo Populações Modelo Acácea-Girafa-Formiga Análise qualitativa Simulações
  3. 3. Introdução Historicamente menos estudado Domínio do Cerrado <ul><li>Grande diversidade biológica </li></ul><ul><ul><li>10.000 ssp plantas vasculares </li></ul></ul><ul><li>Solos: Arenosos, ácidos, pobres em nutrientes ( ~ deserto) </li></ul><ul><li>Paradoxo? </li></ul>Importância:
  4. 4. Introdução Historicamente menos estudado Domínio do Cerrado <ul><li>Grande diversidade biológica </li></ul><ul><ul><li>10.000 ssp plantas vasculares </li></ul></ul><ul><li>Solos: Arenosos, ácidos, pobres em nutrientes ( ~ deserto) </li></ul><ul><li>Paradoxo? </li></ul>Não, MUTUALISMO!! Importância:
  5. 5. Introdução Historicamente menos estudado Domínio do Cerrado <ul><li>Grande diversidade biológica </li></ul><ul><ul><li>10.000 ssp plantas vasculares </li></ul></ul><ul><li>Solos: Arenosos, ácidos, pobres em nutrientes ( ~ deserto) </li></ul><ul><li>Paradoxo? </li></ul>Não, MUTUALISMO!! Grande parte da biomassa do planeta é composta por mutualistas Ex: Micorrizas (fungos e plantas) Polinizadores (insetos e plantas) Flora intestinal (mamíferos e microorganismos) Importância:
  6. 6. Introdução Conceitos e definições: Mutualismo - Interação entre duas espécies com benefício p/ ambas ou (+/+)
  7. 7. Introdução Conceitos e definições: Mutualismo - Interação entre duas espécies com benefício p/ ambas ou (+/+)
  8. 8. Introdução Conceitos e definições: Mutualismo
  9. 9. Introdução <ul><li>Sem conflito entre as Ssp.: Só coisas boas. </li></ul><ul><ul><li>Motorista – consegue andar (+) </li></ul></ul><ul><ul><li>Pedestres – boa ação (+) </li></ul></ul>Conceitos e definições: Mutualismo
  10. 10. Introdução <ul><li>Sem conflito entre as Ssp.: Só coisas boas. </li></ul><ul><ul><li>Motorista – consegue andar (+) </li></ul></ul><ul><ul><li>Pedestres – boa ação (+) </li></ul></ul><ul><li>Com conflito entre as Ssp.: Interesse e exploração mútua. </li></ul><ul><ul><li>Motorista – consegue andar (+) , gasta mais gasolina (-) </li></ul></ul><ul><ul><li>Pedestres – conseguem carona (+) , gasto de energia (-) </li></ul></ul>Conceitos e definições: Mutualismo Balanço líquido positivo Condições ecológicas vigentes
  11. 11. Primeiros modelos O básico:
  12. 12. Primeiros modelos O básico:
  13. 13. <ul><li>Obrigatório ou facultativo </li></ul><ul><li>Crescimento ilimitado! </li></ul>Primeiros modelos O básico:
  14. 14. Primeiros modelos Mutualismo Obrigatório:
  15. 15. Primeiros modelos Mutualismo Obrigatório:
  16. 16. Primeiros modelos Capacidade de suporte:
  17. 17. Primeiros modelos <ul><li>Coexistência estável </li></ul><ul><li>Dependência dos parâmetros </li></ul>Capacidade de suporte:
  18. 18. <ul><li>f e g crescentes e limitadas </li></ul>Primeiros modelos Resposta funcional:
  19. 19. <ul><li>f e g crescentes e limitadas </li></ul><ul><li>Depende das funções escolhidas! </li></ul>Primeiros modelos Resposta funcional:
  20. 20. Resposta funcional tipo II
  21. 21. <ul><li>Qual o termo de saturação mais adequado? </li></ul><ul><ul><ul><li>Escolha arbitrária, mas a influência é grande </li></ul></ul></ul>Primeiros modelos Problemas:
  22. 22. <ul><li>Qual o termo de saturação mais adequado? </li></ul><ul><ul><ul><li>Escolha arbitrária, mas a influência é grande </li></ul></ul></ul><ul><li>Capacidade de suporte “conjunta”? </li></ul><ul><ul><ul><li>Impossibilidade de modelar o mutualismo obrigatório </li></ul></ul></ul>Primeiros modelos Problemas:
  23. 23. <ul><li>Qual o termo de saturação mais adequado? </li></ul><ul><ul><ul><li>Escolha arbitrária, mas a influência é grande </li></ul></ul></ul><ul><li>Capacidade de suporte “conjunta”? </li></ul><ul><ul><ul><li>Impossibilidade de modelar o mutualismo obrigatório </li></ul></ul></ul><ul><li>Quebra de mutualismo! </li></ul><ul><ul><ul><li>Não se leva em conta o “custo” do mutualismo </li></ul></ul></ul>Primeiros modelos Problemas:
  24. 24. Quebra de mutualismo KLEE – Kenia Long –term Exclosure Experiment (1995-2005) Artigo:
  25. 25. Quebra de mutualismo Na natureza... KLEE – Kenia Long –term Exclosure Experiment (1995-2005) Artigo: Girafa Acácia Formiga Interação + Interação -
  26. 26. Quebra de mutualismo Com a exclusão dos herbívoros... Redução no número de nectários e recompensa para formigas Aumento na mortalidade e diminuição no crescimento de Acácias Resultados: Girafa Acácia Formiga
  27. 27. <ul><li>Girafas se alimentam exclusivamente de Acácias </li></ul><ul><li>Formigas, na ausência de Acácias, se alimentam de outras plantas </li></ul><ul><li>A presença de formigas prejudica a alimentação das girafas </li></ul><ul><li>Na presença de girafas as formigas e as plantas são mutualistas </li></ul><ul><li>Na ausência de girafas as formigas se tornam parasitas das Acácias </li></ul>Nosso Modelo Premissas:
  28. 28. Nosso Modelo Acácias (A) Populações:
  29. 29. Termo logístico Nosso Modelo Acácias (A) Populações:
  30. 30. Termo mutualismo - parasitismo Nosso Modelo Acácias (A) Populações:
  31. 31. Nosso Modelo Acácias (A) Populações:
  32. 32. Termo predação Nosso Modelo Acácias (A) Populações:
  33. 33. Nosso Modelo Girafas(G) Populações:
  34. 34. Termo logístico com morte natural Nosso Modelo Girafas(G) Populações:
  35. 35. Termo de herbivoria Nosso Modelo Girafas(G) Populações:
  36. 36. Termo de interação Formiga-Girafa Nosso Modelo Girafas(G) Populações:
  37. 37. Nosso Modelo Formigas(F) Populações:
  38. 38. Termo logístico Nosso Modelo Formigas(F) Populações:
  39. 39. Termo de interação Formiga - Acácia Nosso Modelo Formigas(F) Populações:
  40. 40. Nosso Modelo Formigas(F) Populações:
  41. 41. Nosso Modelo Modelo Acácia-Girafa-Formiga:
  42. 42. Pontos Fixos (A,F,G) Nosso Modelo Análise qualitativa:
  43. 43. Pontos fixos 4 e 5: Nosso Modelo Análise qualitativa:
  44. 44. Pontos fixos 4 e 5: Populações Negativas! Nosso Modelo Análise qualitativa:
  45. 45. Condições de existência Ponto fixo 6: hKa > kg Nosso Modelo Análise qualitativa:
  46. 46. Condições de existência Ponto fixo 6: hKa > kg Nosso Modelo Análise qualitativa:
  47. 47. Condições de existência Ponto fixo 6: hKa > kg Condição não satisfeita! Nosso Modelo Análise qualitativa:
  48. 48. Condições de existência Ponto fixo 6: hKa > kg Termo de herbivoria Nosso Modelo Análise qualitativa:
  49. 49. Condições de existência Ponto fixo 6: hKa > kg Nosso Modelo Análise qualitativa:
  50. 50. Condições de existência Ponto fixo 7: jb<1 Ka> -bKf Nosso Modelo Análise qualitativa:
  51. 51. Condições de existência Ponto fixo 7: jb<1 Ka> -bKf j,b – usualmente menores que 1 b - Termo mutualismo – parasitismo j - Termo de interação Formiga - Acácia Nosso Modelo Análise qualitativa:
  52. 52. Condições de existência Ponto fixo 7: jb<1 Ka> -bKf Ka>Kf - acácias: habitat principal das formigas Nosso Modelo Análise qualitativa:
  53. 53. Condições de existência Ponto fixo 8: 1 + ch> bj +cij Ka> -bKf hKa> Kg + ijKa + iKf - bhKf - bjKg Nosso Modelo Análise qualitativa:
  54. 54. Parâmetros: ra - 0.5 Ka - 100.0 c - 0.1 rg - 0.5 Kg - 20.0 h - 0.6 i - 0.3 rf - 0.5 Kf - 100.0 Nosso Modelo b – máx: 0.2 min: -0.08 j - máx: 0.19 min: 0.15 Simulação:
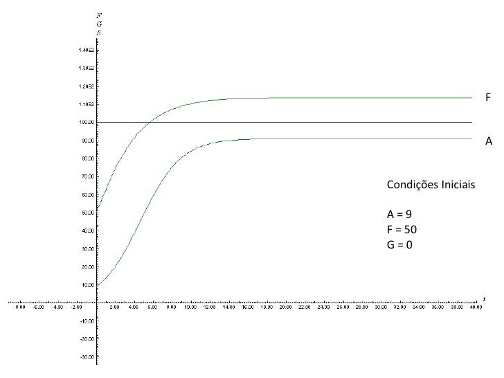
  55. 55. F A Condições Iniciais A = 9 F = 50 G = 0
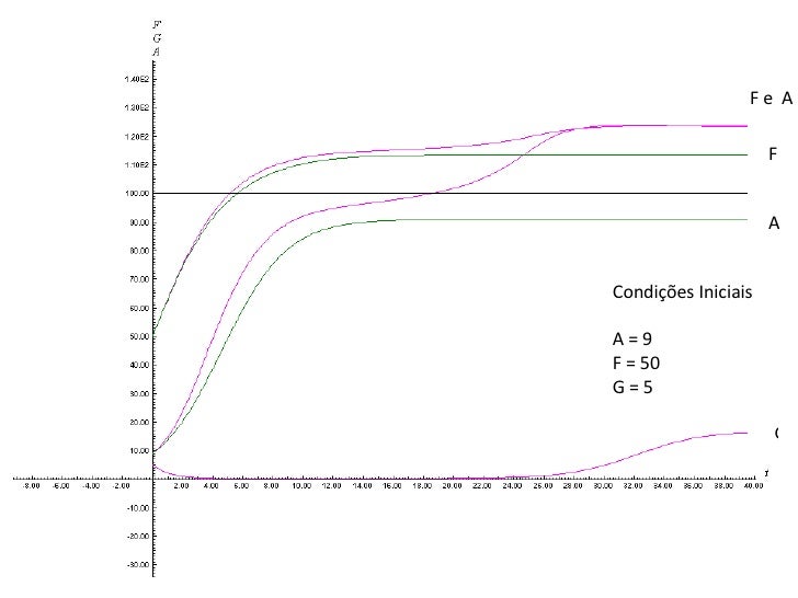
  56. 56. A F F e A G Condições Iniciais A = 9 F = 50 G = 5
  57. 57. F e A G
  58. 58. Agradecimentos Aos professor Roberto Aos monitores Aos colegas de curso

×