Successfully reported this slideshow.
We use your LinkedIn profile and activity data to personalize ads and to show you more relevant ads. You can change your ad preferences anytime.
2012

Relatório de
Avaliação Interna
2012

Agrupamento de Escolas de Vale de Ovil
Índice
Introdução............................................................................................................
9.

Resultados Escolares ....................................................................................................
Agrupamento de Escolas do Vale de Ovil

Introdução
Os processos de monitorização e avaliação no seio de uma organização tã...
Agrupamento de Escolas do Vale de Ovil

1. Objetivos da Avaliação Interna
Diagnosticar e conhecer os pontos fortes e os po...
Agrupamento de Escolas do Vale de Ovil

3. A Metodologia
Atendendo aos domínios e indicadores que foram definidos no refer...
Agrupamento de Escolas do Vale de Ovil

4. Questionário ao pessoal não docente
4.1.

Caraterização

Dos 44 questionários d...
Agrupamento de Escolas do Vale de Ovil
anos. A percentagem de assistentes técnicos que se encontram em idêntica situação e...
Agrupamento de Escolas do Vale de Ovil
4.3.

Informação e Comunicação no Agrupamento

Analisada a vertente da informação e...
Agrupamento de Escolas do Vale de Ovil
4.5.

Qualidade da Escola e do ensino

Cerca de três quartos dos assistentes operac...
Agrupamento de Escolas do Vale de Ovil
4.7.

Problemas detetados no Agrupamento

No sentido de perceber quais são as princ...
Agrupamento de Escolas do Vale de Ovil
Em contrapartida, mais de metade dos respondentes considerou que oito dos problemas...
Agrupamento de Escolas do Vale de Ovil

5. Questionário ao pessoal docente
5.1.

Caraterização

Relativamente ao pessoal d...
Agrupamento de Escolas do Vale de Ovil
5.3.

Segurança e regras de convivência

Tal como aconteceu com o pessoal não docen...
Agrupamento de Escolas do Vale de Ovil
5.5.

Documentos orientadores do funcionamento do Agrupamento

Na sua maioria, o pe...
Agrupamento de Escolas do Vale de Ovil
Alguns professores apresentarem sugestões para a missão e visão do Agrupamento, atr...
Agrupamento de Escolas do Vale de Ovil
5.7.

Prioridades de intervenção no Agrupamento

Diversas foram as prioridades de i...
Agrupamento de Escolas do Vale de Ovil
o

aumento da monitorização a nível dos resultados das estratégias de atuação
imple...
Agrupamento de Escolas do Vale de Ovil

6. Questionário aos Encarregados de Educação/Famílias
6.1.

Caraterização

Depois ...
Agrupamento de Escolas do Vale de Ovil
especialistas das atividades intelectuais e científicas, detentores de um curso sup...
Agrupamento de Escolas do Vale de Ovil

Gráfico 24 – Motivo para a escolha do Agrupamento

Gráfico 25 – Situações de deslo...
Agrupamento de Escolas do Vale de Ovil

Gráfico 27 – Perceções das famílias sobre o apoio no TPC e estudo diário, por níve...
Agrupamento de Escolas do Vale de Ovil
6.4.

Segurança e regras de convivência

As perceções das famílias relativamente à ...
Agrupamento de Escolas do Vale de Ovil
6.6.

Documentos orientadores do funcionamento do Agrupamento

Questionados sobre o...
Agrupamento de Escolas do Vale de Ovil

Gráfico 32 – Problemas detetados pelas famílias no Agrupamento

25
Agrupamento de Escolas do Vale de Ovil

7. O Plano Anual de Atividades
Esta secção do relatório tem como objetivo sintetiz...
Agrupamento de Escolas do Vale de Ovil













em sede de conselho pedagógico, havendo a perceção constante da...
Agrupamento de Escolas do Vale de Ovil








O elevado número de documentos escritos que se continuam a produzir, mu...
Agrupamento de Escolas do Vale de Ovil

Gráfico 33 – Atividades realizadas em 2011/2012, inseridas nas linhas orientadoras...
Agrupamento de Escolas do Vale de Ovil

9. Resultados Escolares
Ainda que nunca sejam apontados números como metas a ating...
Agrupamento de Escolas do Vale de Ovil
A análise dos dados mostra-nos que a situação verificada na nossa unidade orgânica ...
Agrupamento de Escolas do Vale de Ovil

Taxas de sucesso no 3.º ciclo do EB
100
95
90
85
80
75
70
65
60
55
50

7.º ano
8.º...
Agrupamento de Escolas do Vale de Ovil

Taxas de sucesso no ensino secundário
100
95
90
85
80
75
70
65
60
55
50

10.º ano
...
Agrupamento de Escolas do Vale de Ovil

Taxas de sucesso no ensino profissional
100
95
90
85
80
75
70
65
60
55
50

Ano 1
A...
Agrupamento de Escolas do Vale de Ovil
2.º Ciclo do EB
A tabela 8 apresenta as percentagens por nível obtidas pelos alunos...
Agrupamento de Escolas do Vale de Ovil
superior na nossa escola quando comparado com as classificações registadas a nível ...
Agrupamento de Escolas do Vale de Ovil
Facilmente se pode constatar que os níveis obtidos pelos alunos a nível da nossa es...
Agrupamento de Escolas do Vale de Ovil

Classificação da Avaliação Externa
14
12
10
8
6

2010

4

2011

2

2012

História ...
Agrupamento de Escolas do Vale de Ovil

Classificação Interna Final
16
14
12
10
8
6

2010

4

2011

2

2012

História A Ma...
Agrupamento de Escolas do Vale de Ovil

Considerações Finais
Uma vez apresentados os dados estamos agora em condições de f...
Agrupamento de Escolas do Vale de Ovil

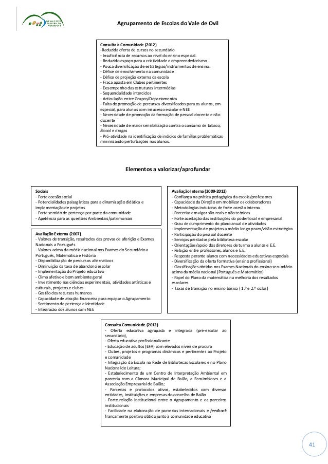
Consulta à Comunidade (2012)
-Reduzida oferta de cursos no secundário
- Insuficiên...
Agrupamento de Escolas do Vale de Ovil

Com base nestes documentos e no culminar de todo este processo de avaliação intern...
Agrupamento de Escolas do Vale de Ovil
- Reduzida oferta de cursos no secundário
- Reduzido espaço para a criatividade e e...
Agrupamento de Escolas do Vale de Ovil
específica). Igualmente foram dinamizadas reuniões com a Associação de Pais e Encar...
Upcoming SlideShare
Loading in …5
×

RAI 2012

798 views

Published on

AEVO

Published in: Education, Travel
  • Login to see the comments

  • Be the first to like this

RAI 2012

  1. 1. 2012 Relatório de Avaliação Interna 2012 Agrupamento de Escolas de Vale de Ovil
  2. 2. Índice Introdução...................................................................................................................................................... 4 1. Objetivos da Avaliação Interna .............................................................................................................. 5 2. Referencial de Avaliação Interna ........................................................................................................... 5 3. A Metodologia ....................................................................................................................................... 6 4. Questionário ao pessoal não docente ................................................................................................... 7 4.1. 4.2. Formação ....................................................................................................................................... 8 4.3. Informação e Comunicação no Agrupamento ............................................................................... 9 4.4. Segurança e regras de convivência ................................................................................................ 9 4.5. Qualidade da Escola e do ensino ................................................................................................. 10 4.6. Documentos orientadores do funcionamento do Agrupamento ................................................ 10 4.7. Problemas detetados no Agrupamento ....................................................................................... 11 4.8. 5. Caraterização ................................................................................................................................. 7 Prioridades de intervenção no Agrupamento.............................................................................. 12 Questionário ao pessoal docente ........................................................................................................ 13 5.1. 5.2. Informação e Comunicação no Agrupamento ............................................................................. 13 5.3. Segurança e regras de convivência .............................................................................................. 14 5.4. Qualidade da Escola e do ensino ................................................................................................. 14 5.5. Documentos orientadores do funcionamento do Agrupamento ................................................ 15 5.6. Pontos fortes e fracos do Agrupamento ...................................................................................... 16 5.7. 6. Caraterização ............................................................................................................................... 13 Prioridades de intervenção no Agrupamento.............................................................................. 17 Questionário aos Encarregados de Educação/Famílias ....................................................................... 19 6.1. 6.2. Relação Escola-Família ................................................................................................................. 20 6.3. Informação e Comunicação no Agrupamento ............................................................................. 22 6.4. Segurança e regras de convivência .............................................................................................. 23 6.5. Qualidade da Escola e do ensino ................................................................................................. 23 6.6. Documentos orientadores do funcionamento do Agrupamento ................................................ 24 6.7. 7. Caraterização ............................................................................................................................... 19 Problemas detetados no Agrupamento ....................................................................................... 24 O Plano Anual de Atividades ................................................................................................................ 26 7.1. 8. Estruturas de Coordenação ......................................................................................................... 26 Execução do Plano Anual de Atividades .............................................................................................. 28
  3. 3. 9. Resultados Escolares ............................................................................................................................ 30 9.1. Avaliação Interna ......................................................................................................................... 30 9.2. Avaliação Externa ......................................................................................................................... 34 Considerações Finais .................................................................................................................................... 40 Pontos fortes ............................................................................................................................................ 42 Pontos fracos ........................................................................................................................................... 42 Oportunidades ......................................................................................................................................... 42 Constrangimentos .................................................................................................................................... 43
  4. 4. Agrupamento de Escolas do Vale de Ovil Introdução Os processos de monitorização e avaliação no seio de uma organização tão complexa e com tantas particularidades como é a escola são também de uma complexidade tal que muitas vezes nos colocam perante uma encruzilhada sem saber qual o melhor caminho a seguir. Optar por um caminho em detrimento de outro pode vir a revelar-se a pior das opções, mas por outro lado pode levar-nos a contribuir para uma escola melhor, mais participada onde a reflexão e o debate são um ativo ao serviço da comunidade e em especial dos nossos alunos, a razão de ser da própria escola. De qualquer forma, o risco que se corre ao desenvolver um processo de autoavaliação no seio de uma organização como a escola é daqueles que valerá sempre a pena correr. Perceber a escola é perceber a sociedade e a função primeira da escola é formar cidadãos acima de tudo. A concretização deste relatório só foi possível depois da implementação de um plano de ação definido previamente com vista à autoavaliação do nosso Agrupamento de Escolas. Esse plano de ação levou-nos a desenvolver várias etapas das quais pretendemos fazer uma abordagem ao longo das páginas que se seguem. Assim, este relatório está dividido em três partes distintas, cada uma associada a uma das grandes linhas orientadoras da ação programada para a intervenção da equipa de Avaliação Interna ao longo do ano letivo 2011/2012, numa altura em que igualmente se debateu a constituição de um Projecto Educativo de Agrupamento. - A primeira parte foi destinada à análise dos inquéritos de opinião a que foram submetidos alguns dos atores do nosso sistema educativo; - A segunda pretende dar uma visão do grau de concretização do Plano Anual de Atividades desenvolvido ao longo do ano lectivo; - Reservámos a terceira parte para uma análise cuidada aos resultados das aprendizagens dos nossos alunos nos diferentes graus e modalidades da avaliação a que foram sujeitos. - Finalmente, na quarta parte procuramos fazer eco das diversas acções levadas a cabo para a consecução do Projecto Educativo de Agrupamento, com o respectivo feedback dos diversos interlocutores a ele associados. Contudo, o processo de autoavaliação não se fica por aqui, pelo contrário é um processo reflexivo, contínuo, de reflexão e investigação da escola com vista à sua renovação e (re)invenção constante, porque só assim podemos inovar. Se não discutimos a escola que temos, jamais poderemos saber que escola queremos ter. 4
  5. 5. Agrupamento de Escolas do Vale de Ovil 1. Objetivos da Avaliação Interna Diagnosticar e conhecer os pontos fortes e os pontos mais problemáticos de modo a proporem-se ações de melhoria;  Revelar a perceção dos diferentes atores da comunidade escolar em relação à escola;  Sensibilizar os vários membros da comunidade educativa para a participação ativa no processo educativo, valorizando o seu papel neste processo;  Promover uma cultura de melhoria continuada da organização, do funcionamento e dos resultados da escola, bem como do Projeto Educativo;  Contribuir para a credibilidade do desempenho da escola;  Ser um instrumento de reflexão e de debate. 2. Referencial de Avaliação Interna O ponto de partida para o trabalho a desenvolver no âmbito da avaliação interna da escola foi a construção de um referencial que tivesse como pontos de focagem áreas que por uma razão ou por outra não foram consideradas em anteriores situações ou então áreas em que foi considerado pertinente a sua abordagem como resultado de auscultação feita junto de alguns atores educativos, como medida de suporte e fundamentação à elaboração do Projecto Educativo de Agrupamento. Assim, foram delineados um conjunto de indicadores e de domínios a abordar ao longo do ano letivo 2011/2012. Tabela 1 – Referencial de Avaliação Interna construído com base nas metas do PE em vigor em setembro de 2011. Domínio Indicadores de evidência Meta 1 Criar um ambiente favorável ao sucesso escolar e educativo dentro e fora da sala de aula - Contactos efetuados com E.E./pais (Inquérito E.E.) - Participação dos E.E. em atividades da escola (Inquérito E.E.) - Participações/ocorrências de carácter disciplinar - Resultados académicos dos alunos (Pautas diversas) - Projetos propostos/executados e avaliação e/ou não realização - Grau de satisfação e conhecimento do Agrupamento manifestado pelo pessoal docente e pessoal não docente - Ambiente e segurança em meio escolar - Estatísticas de frequência e tipo de procura da Biblioteca Escolar (Coord. Bib. e inquérito) - Taxas de abandono escolar por ano/ciclo (Pautas, requerimentos) - Taxas de saída precoce (Pautas, requerimentos) - Perceção manifestada pelos atores educativos (Inquérito) - Nº Estágios/grau de empregabilidade (Protocolos, inquéritos, Observatório) - Parcerias existentes entre a escola/comunidade (Protocolos, contratos, guiões, …) - Frequência dos alunos às diversas modalidades de Apoio (Presenças nas Salas de Estudo, Clubes, Apoio Individualizado, Oficina da Matemática) - Nível de satisfação com as atividades escolares (Inquéritos) - Classificações obtidas pelos alunos em resultado da avaliação interna e externa - Existência e aplicação dos instrumentos de planificação e avaliação (Coord. Departamento) - Reuniões de articulação para gestão do currículo (convocatórias, Atas, PCT’s) Meta 2 Combater o absentismo e o abandono escolar Meta 3 Aumentar o envolvimento da comunidade educativa Meta 4 Aumentar os procedimentos sistemáticos de monitorização da prática letiva 5
  6. 6. Agrupamento de Escolas do Vale de Ovil 3. A Metodologia Atendendo aos domínios e indicadores que foram definidos no referencial, a metodologia acabou por seguir uma abordagem quantitativa, já que foi definido como instrumento de trabalho para a recolha de evidências junto de pessoal docente, pessoal não docente e pais e encarregados de educação/famílias um inquérito por questionário. No sentido de se obter informação que permitisse a caracterização dos agregados familiares dos alunos do Agrupamento de Escolas do Vale de Ovil, bem como do pessoal docente e não docente que aqui exerce funções, durante o ano letivo de 2011/2012 foram utilizados alguns instrumentos de recolha de dados. Assim, foram aplicados três questionários. Cada um dos questionários seguia uma estrutura distinta, mas com pontos comuns que possibilitavam, por um lado, a identificação do grupo alvo do questionário e, por outro lado, obter-se informações que permitissem uma melhoria da qualidade do processo de ensinoaprendizagem e a elaboração partilhada de alguns dos documentos fundamentais à gestão do Agrupamento, como o Projeto Educativo e o Plano de Formação. Para o levantamento das informações respeitante à caracterização do pessoal docente e não docente utilizou-se também a pesquisa documental, efetuada pelos Serviços Administrativos do Agrupamento. Os questionários foram aplicados à totalidade dos professores, pessoal não docente e encarregados de educação. As respostas eram facultativas e anónimas. No caso dos docentes, o inquérito foi realizado via Internet – através de dois formulários criados no Googles Docs –, enquanto para os restantes grupos utilizou-se o suporte papel. Os questionários eram compostos, essencialmente, por perguntas fechadas, para facilitar o tratamento dos dados e tornar mais objetiva a recolha da informação. Conforme já foi referido, no caso dos docentes foram utilizados dois questionários online. Num dos questionários, o professor identificava-se com alguns dados que permitiam a caracterização deste grupo profissional. Responderam a este questionário 65% dos professores do Agrupamento. Foi também aplicado um segundo questionário, neste caso anónimo, onde era solicitada a opinião dos docentes sobre alguns aspetos relativos à vida do Agrupamento, com questões/temáticas similares às existentes nos inquéritos utilizados com o pessoal não docente e famílias, com o objetivo de aferir o nível de desempenho do Agrupamento e evidenciar algumas áreas que seja necessário melhorar. Neste caso, obteve-se uma taxa de participação no questionário de 62%. Finalmente, os Pais/Encarregados de Educação foram também inquiridos, através de um questionário distribuído pelos diretores de turma a todos os alunos do Agrupamento. Obteve-se resposta de 770 agregados familiares, correspondendo a 1004 alunos, significando uma taxa de participação no questionário de 91%. Se os questionários aplicados tiveram por objetivo caracterizar os diferentes atores educativos e obter a sua perceção acerca do nosso Agrupamento, a análise resultante do grau de execução do Plano Anual de Atividades e os resultados escolares obtidos pelos alunos no final do ano letivo em resultado da avaliação interna e externa tiveram como objetivo principal avaliar a qualidade do ensino e da aprendizagem por um lado, e por outro, cruzar informação com as conclusões obtidas depois de analisados os inquéritos. 6
  7. 7. Agrupamento de Escolas do Vale de Ovil 4. Questionário ao pessoal não docente 4.1. Caraterização Dos 44 questionários distribuídos ao pessoal não docente (assistentes operacionais e assistentes técnicos) foram recolhidos 36 o que dá uma taxa de retorno de 82%. No ano letivo 2011/2012, o Agrupamento de Escolas do Vale de Ovil contou com a colaboração de 35 assistentes operacionais e 9 assistentes técnicos. A 2 apresenta a caracterização do pessoal não docente tendo em conta a sua categoria profissional, idade, habilitações literárias e anos de serviço. Tabela 2 – Caracterização do pessoal não docente por categoria profissional, idade, habilitações literárias e anos de serviço Caraterização do pessoal não docente (frequência) Habilitações literárias 30-39 40-49 50-59 1º ciclo 2º ciclo 3º ciclo Secundário Menos de 5 anos 5 a 9 anos 10 a 14 anos 15 a 19 anos 20 ou mais anos Anos de serviço 20-29 Idade (anos) 1 4 12 18 3 9 16 7 4 4 9 4 14 - 2 3 4 - - 3 6 - - 2 2 5 Categoria profissional Assistente operacional ou coordenador assistente operacional Assistente técnico ou coordenador assistente técnico Conforme podemos observar no Gráfico 1, metade dos assistentes (operacionais e técnicos), a exercerem funções no Agrupamento, insere-se na faixa etária igual ou superior a 50 anos. Analisando por categoria profissional, a larga maioria dos assistentes operacionais (85%) e assistentes técnicos (77%) está situada nos escalões etários entre os 40 e os 59 anos (Gráfico 2). Gráfico 1 – Caracterização do pessoal não docente por idade Gráfico 2 – Caracterização etária do pessoal não docente por categoria profissional Relativamente ao tempo de serviço, 57% do pessoal não docente tem 15 ou mais anos de serviço (Gráfico 3). Cerca de metade dos assistentes operacionais (51%) exerce funções no Agrupamento há 15 ou mais 7
  8. 8. Agrupamento de Escolas do Vale de Ovil anos. A percentagem de assistentes técnicos que se encontram em idêntica situação eleva-se a 78% (Gráfico 4). Gráfico 3 – Anos de serviço do pessoal não docente Gráfico 4 – Anos de serviço por categoria profissional Quanto às habilitações literárias, quase um terço (27%) da totalidade do pessoal não docente possui o segundo ou primeiro ciclo de escolaridade (Gráfico 5). Na sua maioria, os assistentes técnicos frequentaram o ensino secundário (67%), enquanto 80% dos assistentes operacionais têm o ensino básico (Gráfico 6). Gráfico 5 – Habilitações literárias do pessoal não docente 4.2. Gráfico 6 – Habilitações literárias por nível de ensino e categoria profissional Formação O questionário ao pessoal não docente incluía uma pergunta aberta onde se solicitava a indicação das principais necessidades de formação sentidas a nível profissional. Dos 36 respondentes, cerca de um terço (31%) indicou uma ou mais áreas de formação, a saber:      Educação da Criança; Lidar com a indisciplina e violência; Primeiros socorros; Necessidades Educativas Especiais, nomeadamente Autismo; Organização e trabalho na Biblioteca Escolar, Reprografia, SASE e Serviços Administrativos. Estas propostas foram incluídas no Plano de Formação do Agrupamento, tendo sido consideradas áreas prioritárias de formação para o pessoal não docente. 8
  9. 9. Agrupamento de Escolas do Vale de Ovil 4.3. Informação e Comunicação no Agrupamento Analisada a vertente da informação e comunicação no Agrupamento (Gráfico 7), concluiu-se que a quase totalidade dos Assistentes Operacionais e Técnicos (94,5%) consideram que a comunicação com os pais e encarregados de educação é feita de forma clara e simples, sendo que 56% dos inquiridos concordam totalmente com a afirmação e os restantes parcialmente. Quando questionados sobre se estavam informados acerca das atividades que a Escola organiza, verificou-se que a percentagem decrescia para 86%, rondando um terço (33%) os que concordavam totalmente com a afirmação apresentada. Gráfico 7 – Perceções do pessoal não docente sobre a informação e comunicação no Agrupamento 4.4. Segurança e regras de convivência Todos os inquiridos (100%) dizem gostar de trabalhar no Agrupamento de Escolas do Vale de Ovil e a quase totalidade (94,5%) concordam com a afirmação de que existe segurança na Escola, embora pouco mais de metade (56%) expresse uma anuência total, enquanto os restantes se ficam pela concordância parcial. Valores similares foram encontrados no que respeita às regras de disciplina existentes no Agrupamento, facilitadoras da convivência e civismo (Gráfico 8). Gráfico 8 – Perceções do pessoal não docente sobre segurança e regras de disciplina no Agrupamento 9
  10. 10. Agrupamento de Escolas do Vale de Ovil 4.5. Qualidade da Escola e do ensino Cerca de três quartos dos assistentes operacionais e técnicos (72%) concordam totalmente com a existência de uma boa organização e funcionamento da Escola e 25% expressa uma concordância parcial. Em relação ao ensino ministrado no Agrupamento, 94% dos inquiridos afirma ser de qualidade, mas 36% manifestou apenas uma concordância parcial (Gráfico 9). Gráfico 9 – Perceções do pessoal não docente sobre a organização e funcionamento da Escola e do ensino 4.6. Documentos orientadores do funcionamento do Agrupamento Sendo o Projeto Educativo, o Regulamento Interno e o Projeto Curricular do Agrupamento três dos documentos que orientam a vida escolar da Escola, considerou-se importante perceber se o pessoal não docente conhecia os referidos instrumentos operatórios da ação educativa. Concluiu-se que esse conhecimento existia para a quase totalidade dos inquiridos (Gráfico 10), embora a maioria dos assistentes não classifique o seu conhecimento dos documentos como sendo bom. Verificou-se ainda que o Regulamento Interno é o documento mais explorado e o Projeto Curricular do Agrupamento o menos conhecido. Gráfico 10 – Conhecimento do Projeto Educativo, Regulamento Interno e Projeto Curricular do Agrupamento 10
  11. 11. Agrupamento de Escolas do Vale de Ovil 4.7. Problemas detetados no Agrupamento No sentido de perceber quais são as principais dificuldades existentes no Agrupamento, foi apresentada uma listagem de treze problemas, comum aos três questionários, solicitando aos inquiridos que avaliassem o seu grau de gravidade na nossa Escola. Assim, procurou-se identificar alguns dos pontos fortes e fracos do Agrupamento, bem como quais os principais aspetos a melhorar. De uma forma geral, os assistentes operacionais e técnicos não consideraram que os problemas apresentados tivessem um cariz grave ou muito grave no nosso Agrupamento, podendo considerar-se residual a percentagem dos que concordavam com esta opinião (3%). De qualquer forma, convém salientar que a falta de acompanhamento escolar pela família e o reduzido envolvimento dos alunos na escola/aprendizagem foram considerados, por 8% dos inquiridos, como sendo problemas graves ou muito graves no Agrupamento. Seguiu-se o insucesso escolar dos alunos e a indisciplina/incumprimento de regras com 6%. O Gráfico 11 sintetiza a opinião do pessoal não docente para o grau de gravidade dos problemas detetados no Agrupamento. Gráfico 11 – Grau de gravidade dos problemas no Agrupamento de Escolas do Vale de Ovil Apesar de encarados como pouco graves, mais de metade dos inquiridos salientou a existência de alguns problemas no Agrupamento: falta de acompanhamento escolar pela família (61%), insucesso escolar dos alunos (61%), problemas nos equipamentos/instalações da Escola (58%) e reduzido envolvimento dos alunos na escola/aprendizagem (56%). A indisciplina/incumprimento de regras (47%) e as dificuldades na circulação da informação (42%) são os dois problemas que se seguem, tendo sido avaliados como pouco graves. 11
  12. 12. Agrupamento de Escolas do Vale de Ovil Em contrapartida, mais de metade dos respondentes considerou que oito dos problemas não eram nada graves no Agrupamento, a saber: fraca assiduidade dos professores (75%), reduzida oferta educativa da Escola (69%), pouca organização da escola/serviços e indisponibilidade do órgão de gestão (67%), rigor ou falta de exigência no ensino e a imagem negativa da Escola na comunidade (64%), pouco acompanhamento dos alunos por parte da Escola (61%) e dificuldades na circulação da informação (56%). 4.8. Prioridades de intervenção no Agrupamento Ao ser solicitado, numa pergunta aberta, que fosse indicada a principal prioridade de intervenção do próximo Projeto Educativo, apenas seis dos assistentes operacionais e técnicos emitiram a sua opinião, correspondendo a uma taxa de resposta de 17%. Para além das condições de funcionamento do refeitório, foi sugerida a intervenção a nível de:  Qualidade do ensino;  Motivação dos alunos, professores e pessoal não docente;  Envolvimento das famílias na realidade escolar dos seus educandos. 12
  13. 13. Agrupamento de Escolas do Vale de Ovil 5. Questionário ao pessoal docente 5.1. Caraterização Relativamente ao pessoal docente e técnicos especializados, foram 123 os profissionais que exerceram funções no Agrupamento durante o ano letivo de 2011/2012. Quanto ao vínculo profissional, 62 professores/técnicos trabalharam em regime de contrato a termo e os restantes 61 pertenciam ao Quadro de Escola/Agrupamento ou de Zona Pedagógica (Gráfico 12). Gráfico 12 – Vínculo profissional do pessoal docente e técnicos especializados do Agrupamento 5.2. Informação e Comunicação no Agrupamento A partir das respostas obtidas nos 76 questionários online, é possível verificar que a totalidade dos inquiridos concorda com as afirmações de que está informado sobre as atividades organizadas no Agrupamento e há uma comunicação clara e simples entre a Escola e os pais/EE. Apesar disso, cerca de um terço dos docentes (33%) apresenta apenas uma concordância parcial (Gráfico 13). Gráfico 13 – Perceções do pessoal docente sobre a informação e comunicação no Agrupamento 13
  14. 14. Agrupamento de Escolas do Vale de Ovil 5.3. Segurança e regras de convivência Tal como aconteceu com o pessoal não docente, também todos os docentes inquiridos afirmaram que gostavam de trabalhar no Agrupamento. Em relação à segurança e às regras de disciplina, a grande maioria dos respondentes concordou que elas existiam na Escola (Gráfico 14). A concordância total com a afirmação de que há segurança no Agrupamento atinge mesmo os 70% dos professores. Gráfico 14 – Perceções do pessoal docente sobre segurança e regras de disciplina no Agrupamento 5.4. Qualidade da Escola e do ensino Inquiridos sobre o ensino e o funcionamento do Agrupamento, verificou-se que os professores os avaliavam positivamente, nomeadamente no que respeita à qualidade da docência, já que 61% dos inquiridos concordou totalmente com a afirmação apresentada (Gráfico 15). Como veremos no ponto 2.6, embora estes aspetos sejam considerados um ponto forte, 66% dos professores expressa apenas uma concordância parcial em relação à afirmação de que “a organização e funcionamento da Escola são bons”. Gráfico 15 – Perceções do pessoal docente sobre a organização e funcionamento da Escola e do ensino 14
  15. 15. Agrupamento de Escolas do Vale de Ovil 5.5. Documentos orientadores do funcionamento do Agrupamento Na sua maioria, o pessoal docente do Agrupamento está informado sobre os principais documentos orientadores do funcionamento da comunidade escolar. O Regulamento Interno aparece como sendo o documento melhor conhecido pelos inquiridos, seguindo-se o Projeto Educativo e só depois o Projeto Curricular de Agrupamento (Gráfico 16). Gráfico 16 – Conhecimento do Projeto Educativo, Regulamento Interno e Projeto Curricular do Agrupamento A partir de uma pergunta de resposta aberta, os docentes foram questionados sobre o principal valor que o próximo Projeto Educativo deveria veicular e defender, tendo sido diversas as opiniões emitidas. A qualidade do ensino, a cidadania ativa, o sucesso educativo, a cultura de rigor e exigência, a consciência cívica ou civismo, a responsabilidade social e outros valores humanos, como a honestidade, verdade, respeito, justiça e solidariedade foram mencionados pelos professores. O Gráfico 17 sintetiza os valores referenciados pelos respondentes a este questionário. Gráfico 17 – Principais valores que o Projeto Educativo do Agrupamento devia veicular e defender 15
  16. 16. Agrupamento de Escolas do Vale de Ovil Alguns professores apresentarem sugestões para a missão e visão do Agrupamento, através de alguns lemas ou frases emblemáticas. Para além do presente no atual Projeto Educativo - “Educar com amor, mas com rigor” - foram encontradas as seguintes propostas:     “Sucesso educativo numa Escola para todos”; “Sou aluno, logo calculo, escrevo, penso historicamente e sinto…”; “Aprendizagem com sucesso”; “Respeito por si e pelos outros, para uma melhor qualidade do ensino e aprendizagem”. 5.6. Pontos fortes e fracos do Agrupamento Para conhecer as perceções em relação aos aspetos positivos e às fragilidades do Agrupamento, optou-se por solicitar a resposta através de uma escala binária ou dicotómica simples, em que os docentes avaliavam um conjunto de afirmações e se manifestavam no sentido de as classificar como ponto forte ou fraco. Quase três quartos dos professores (71%) consideraram que o acompanhamento escolar das famílias dos alunos era um ponto fraco no Agrupamento. A maioria dos professores avaliou as restantes afirmações como sendo pontos fortes no Agrupamento. Mais de 90% dos docentes considerou que a qualidade do ensino (96%), o acompanhamento dos alunos por parte da Escola (93%) e a disponibilidade do órgão de gestão (92%) eram os principais aspetos positivos no Agrupamento. Uma percentagem também elevada de professores referiu a imagem da Escola na comunidade (89%), a organização da Escola/serviços (87%), os clubes e projetos disponibilizados (80%), o envolvimento dos alunos na Escola/aprendizagem (76%), a disciplina e cumprimento de regras (72%) e a oferta educativa da Escola (71%) como sendo pontos fortes no Agrupamento. Em contrapartida, a articulação curricular (45%) e sequencialidade interciclos (39%), a circulação da informação (42%) e o sucesso escolar dos alunos (34%) foram pontos considerados fracos por mais de um terço dos inquiridos. No Gráfico 18 encontramos as opiniões dos professores em relação aos pontos fortes e fracos no Agrupamento. Gráfico 18 – Perceções dos docentes sobre os pontos fortes e fracos do Agrupamento (em %) 16
  17. 17. Agrupamento de Escolas do Vale de Ovil 5.7. Prioridades de intervenção no Agrupamento Diversas foram as prioridades de intervenção apontadas pelos professores nas suas propostas. Elas podem ser agrupadas em 5 grandes áreas:  Processo de ensino/aprendizagem: o melhoria do processo de ensino-aprendizagem, o promoção do sucesso; o redução da taxa de retenção e combate ao abandono escolar, o valorização do mérito e excelência, o diversificação da oferta pedagógica, incluindo os cursos profissionais e tecnológicos, e da criação de percursos diferenciados o diversificação da oferta de atividades extracurriculares (artes como a dança, música, teatro, pintura; desporto), clubes e projetos (locais, nacionais e europeus), abrangendo todos os níveis de ensino, quer seja a nível da educação ambiental (reciclagem, separação dos lixos, poupança da água, proteção de animais e plantas), educação cívica, campanhas de sensibilização para ações de voluntariado e para a redução das dependências, valorização da responsabilidade e compromisso social, da criatividade, inovação, empreendorismo e procura do conhecimento, o promoção de experiências de aprendizagem diversificadas que visem incentivar no aluno o desejo de aprender, o aumento do envolvimento dos alunos na Escola e na sua aprendizagem, o aumento dos recursos a nível do ensino especial, o implementação de estratégias que permitam identificar indícios de famílias problemáticas e intervenção no sentido de minimizar possíveis perturbações no sucesso escolar dos alunos, o reforço do acompanhamento individualizado a alunos com mais dificuldades, o alargamento do apoio a todos os cursos e disciplinas, e não apenas a Matemática e Português, o aumento do grau de exigência em alguns níveis de ensino  Disciplina/indisciplina: o promoção da disciplina, o incentivo ao cumprimento de regras, o desenvolvimento de uma cultura de segurança  Organização e gestão: o melhoria do planeamento e gestão das atividades, o melhoria dos fluxos de informação e comunicação internos, o melhoria da interdisciplinaridade, articulação e sequencialidade interciclos, sobretudo a nível da homogeneização dos critérios e exigências, o melhoria da articulação entre grupos disciplinares e departamentos, o reestruturação das estruturas intermédias, o melhoria da organização do Centro Escolar, quanto ao horário de funcionamento, ao desenvolvimento de projetos e clubes, 17
  18. 18. Agrupamento de Escolas do Vale de Ovil o aumento da monitorização a nível dos resultados das estratégias de atuação implementação no Agrupamento,  Relação Escola-comunidade: o aumento do envolvimento e responsabilização dos EE/famílias no processo educativo e no desenvolvimento pessoal, social e escolar das crianças e jovens, o intervenção junto das famílias e do apoio parental efetuado em contexto escolar, disponibilizando-lhes formação a nível do processo de ensino-aprendizagem, o promoção da interação intergeracional, desenvolvendo a solidariedade e o envelhecimento ativo, o promoção da imagem institucional da Escola, o afirmação/projeção da Escola junto da Comunidade, o aumento das parcerias com o setor primário, indústria e comércio locais, o relevar a identidade da comunidade educativa  Formação pessoal e desenvolvimento profissional: o elaboração de programas de formação adequados às expetativas do pessoal docente e não docente do Agrupamento o promoção de formação diversificada e de qualidade, tendo em vista a melhoria das competências profissionais do pessoal docente e não docente 18
  19. 19. Agrupamento de Escolas do Vale de Ovil 6. Questionário aos Encarregados de Educação/Famílias 6.1. Caraterização Depois de analisados os resultados dos questionários aplicados aos Encarregados de Educação/Famílias durante os meses de março/abril de 2012, verificou-se a não devolução das respostas por parte de 9% dos inquiridos. Dos Encarregados de Educação que responderam ao inquérito cerca de metade (46%) reside na freguesia de Campelo (Gráfico 19). Predomina uma estrutura familiar nuclear, sendo a dimensão média familiar de 4 pessoas. Apenas 5% dos alunos não reside com as mães e 18% não habitam com o progenitor masculino. Um terço dos alunos não reside com irmãos e a grande maioria (92%) não reside com os avôs (Gráfico 20). Gráfico 19 – Freguesia de residência dos pais/encarregados de educação Gráfico 20 – Relação de parentesco com o aluno, no agregado familiar (em %) A faixa etária predominante dos progenitores dos alunos situa-se ente os 36 e os 45 anos (Gráfico 21). A percentagem de pais que frequentou/concluiu o ensino Secundário ou ensino superior é inferior a um quarto (14% para os pais e 26% para as mães). Cerca de 50% dos progenitores tem o 2º ciclo, ou menos, e nota-se que a escolarização é maior no sexo feminino do que no masculino (Gráfico 22). Gráfico 21 – Idade dos progenitores dos alunos Gráfico 22 – Habilitações literárias dos pais Mais de metade das mães (57%) é doméstica ou está desempregada, enquanto os pais são sobretudo trabalhadores qualificados da indústria, construção e artífices e operadores de instalações e máquinas. Os 19
  20. 20. Agrupamento de Escolas do Vale de Ovil especialistas das atividades intelectuais e científicas, detentores de um curso superior, rondam os 10% (8% para as mães e 3% para os pais. No Gráfico 23 encontramos as profissões dos pais dos alunos, agrupadas segundo a Classificação Portuguesa das Profissões 2010, do Instituto Nacional de Estatística. Gráfico 23 – Profissão dos progenitores dos alunos 6.2. Relação Escola-Família No sentido de permitir a divulgação de informações relativas à vida escolar do Agrupamento, utilizando meios digitais, foi solicitado o nome e correio eletrónico do responsável pela educação do aluno, tendo-se obtido esses dados em cerca de um quarto das famílias (23%). Questionados sobre o motivo que os levou a escolher o Agrupamento para os seus educandos (Gráfico 24), 70% dos inquiridos apontou a proximidade de casa como principal razão, seguindo-se a qualidade do ensino (14%). A deslocação das famílias à Escola ocorre, sobretudo, a pedido dos diretores de turma (69%), sendo apenas de um terço (31%) os Encarregados de Educação que aqui se deslocam pela sua própria iniciativa. A participação em atividades organizadas pelo Agrupamento ocorre em cerca de um décimo (12%) dos inquiridos (Gráfico 25). 20
  21. 21. Agrupamento de Escolas do Vale de Ovil Gráfico 24 – Motivo para a escolha do Agrupamento Gráfico 25 – Situações de deslocação das famílias ao Agrupamento Quanto às perceções dos Encarregados de Educação sobre o apoio familiar no estudo diário e realização dos trabalhos de casa (Gráfico 26), verifica-se que 86% dos respondentes considera que ele existe, embora as opiniões se dividam entre aqueles que referem existir “sempre” (42%) ou apenas “às vezes” (44%). “Nunca” ou “raramente” apoiar os filhos no estudo também acontece em 13% dos casos. Gráfico 26 – Perceções das famílias sobre o apoio em casa, no TPC e estudo diário Analisando estes resultados por nível de ensino (Gráfico 27) e face à baixa escolaridade da maioria dos Encarregados de Educação, não é de estranhar que o apoio familiar ao estudo, diário e contínuo, desça de 70% no primeiro ciclo, para 23% no ensino Secundário. 21
  22. 22. Agrupamento de Escolas do Vale de Ovil Gráfico 27 – Perceções das famílias sobre o apoio no TPC e estudo diário, por nível/tipo de ensino (em %) 6.3. Informação e Comunicação no Agrupamento Como é que as famílias encaram o modo como o Agrupamento comunica com os Encarregados de Educação e os informa sobre as atividades que organiza? Através das respostas aos questionários foi possível perceber que mais de 80% dos respondentes está informado e concorda que a comunicação é feita de uma forma clara e simples (Gráfico 28). Contudo, também é de realçar que 17% dos Encarregados de Educação não se considera informado sobre as atividades efetuadas e para 11% a comunicação EscolaFamília não é feita de forma clara e simples. Gráfico 28 – Perceções das famílias sobre a informação e comunicação no Agrupamento 22
  23. 23. Agrupamento de Escolas do Vale de Ovil 6.4. Segurança e regras de convivência As perceções das famílias relativamente à segurança existente no Agrupamento apresentam algumas discrepâncias quando comparadas com as opiniões emitidas pelo pessoal docente e não docente. Assim, cerca de um quarto dos pais (24%) sente que existe insegurança no Agrupamento e apenas um terço (31%) concorda totalmente com as afirmações de que há segurança e as regras de disciplina favorecem a convivência (Gráfico 29). Gráfico 29 – Perceções das famílias sobre segurança e regras de disciplina no Agrupamento 6.5. Qualidade da Escola e do ensino Apesar da organização e funcionamento do Agrupamento terem sido considerados bons por 76% dos Encarregados de Educação/pais, houve um quarto dos inquiridos que manifestou uma opinião contrária. Quanto ao ensino existente na Escola, 86% afirmou que este era de qualidade, mas apenas 34% expressou uma concordância total em relação à afirmação (Gráfico 30). Gráfico 30 – Perceções das famílias sobre a organização e funcionamento da Escola e do ensino 23
  24. 24. Agrupamento de Escolas do Vale de Ovil 6.6. Documentos orientadores do funcionamento do Agrupamento Questionados sobre o seu conhecimento acerca do Projeto Educativo e Regulamento Interno do Agrupamento, mais de 60% das famílias concordaram que conheciam estes documentos. Porém, só 15% dos inquiridos classificou esse conhecimento como sendo bom. Conforme é possível confirmar no Gráfico 31, mais de um terço dos encarregados de educação ainda desconhece estes dois documentos orientadores da vida escolar. Gráfico 31 – Conhecimento do Projeto Educativo, Regulamento Interno e Projeto Curricular do Agrupamento 6.7. Problemas detetados no Agrupamento Mais uma vez utilizou-se o formato de resposta aberta para perceber quais os principais problemas detetados pelas famílias no Agrupamento, sendo que 58% dos inquiridos procederam à indicação de uma ou mais dificuldades. Analisado o Gráfico 32 constata-se que a alimentação e funcionamento da cantina são as principais preocupações para 20% dos respondentes. Segue-se a falta de equipamentos, de espaços verdes ou outros problemas nas instalações, muitos deles decorrentes da mudança temporária da Escola-sede devido ao processo de requalificação em que esta se encontra envolvida. 24
  25. 25. Agrupamento de Escolas do Vale de Ovil Gráfico 32 – Problemas detetados pelas famílias no Agrupamento 25
  26. 26. Agrupamento de Escolas do Vale de Ovil 7. O Plano Anual de Atividades Esta secção do relatório tem como objetivo sintetizar e avaliar, numa perspetiva formativa, as atividades desenvolvidas no Agrupamento de Escolas do Vale de Ovil ao longo do ano letivo 2011/2012. Para a sua elaboração tiveram-se em conta os relatórios recebidos das diversas estruturas de coordenação da Escola e dos docentes organizadores/dinamizadores das atividades. Vamos estruturar esta secção em duas partes distintas. A primeira parte refere-se às diversas estruturas de orientação educativa, sendo apresentada uma síntese das ações efetuadas pelas seguintes coordenações:       dos departamentos de Ciências Humanas e Sociais, Expressões, Línguas e Matemática e Ciências Experimentais, do pré-escolar, primeiro ciclo, 2º ciclo e diretores de turma do 3º ciclo, de estabelecimento do Jardim de Infância e do Centro Escolar, dos Serviços Especializados de Apoio Educativo, dos Clubes e Projetos, da Biblioteca Escolar. Na segunda parte dá-se conta do grau de concretização do Plano Anual de Atividades tendo em conta os domínios definidos no Projeto Educativo. Note-se que as atividades pedagógicas desenvolvidas integraramse nos quatro domínios definidos no Projeto Educativo do Agrupamento:     Valorização da Escola Prevenção do risco de abandono/insucesso Ligação da Escola à Comunidade Articulação curricular interciclos e sequencialidade transversal de conteúdos. Procedeu-se ainda à análise das atividades concluídas e não realizadas, apresentando-se uma síntese da avaliação da execução do Plano Anual de Atividades. 7.1. Estruturas de Coordenação Os vários relatórios das estruturas de orientação educativa do Agrupamento e das restantes coordenações de serviços educativos, clubes e projetos permitem refletir, de uma forma crítica, sobre as atividades desenvolvidas ao longo do ano, detetando os aspetos positivos e aqueles que necessitam de melhoramentos. Os originais de todos estes relatórios de avaliação da atividade de coordenação encontram-se arquivados em dossiê próprio, na sede do Agrupamento. Aspetos positivos a reter em resultado da análise dos relatórios   A referência constante ao Projeto Educativo do Agrupamento quer nas reuniões que foram realizadas, quer nas metodologias adotadas e nas atividades propostas/desenvolvidas mostra que há uma preocupação em implementar as grandes linhas orientadoras definidas; As planificações quer no âmbito das diferentes disciplinas e currículos quer no âmbito das atividades propostas são discutidas em sede das diferentes estruturas de coordenação, bem como 26
  27. 27. Agrupamento de Escolas do Vale de Ovil        em sede de conselho pedagógico, havendo a perceção constante da necessidade de articulação das mesmas que ao nível interdepartamental, que ao nível interciclos; Os diferentes departamentos participam na elaboração dos documentos orientadores do agrupamento, ou pelo menos discutem-nos aquando das reuniões que foram promovidas; O Agrupamento tem a preocupação constante em participar e em se envolver em grandes projetos promovidos a nível nacional e internacional, como são o Plano Nacional de Leitura (Ministério da Educação), o Projeto Estímulo à Melhoria das Aprendizagens – EMA (Fundação Calouste Gulbenkian), o projeto Eco-Escolas, Projeto Mil Escolas – Lontrinhas do Rio Ovil (Águas do Douro e Paiva) ou os projetos de mobilidade no espaço europeu, nomeadamente os GRUNDTVIG, COMENIUS, LEONARDO DA VINCI (PROALV/Comissão Europeia); A referência a parcerias no âmbito das atividades e/ou projetos no que respeita à sua divulgação, ao seu desenvolvimento e concretização demonstra a necessidade em envolver a comunidade educativa no processo de ensino e aprendizagem do agrupamento; Os alunos com necessidades educativas especiais estão perfeitamente identificados e o Agrupamento promove o acompanhamento e avaliação destes alunos numa perspetiva de integração e valorização dos mesmos através de parcerias estabelecidas com várias instituições parceiras da comunidade; A existência de um plano para o prolongamento da atividade dos alunos para além do horário letivo estabelecido nos currículos através do prolongamento na educação pré-escolar e das atividades de enriquecimento curricular e o apoio ao estudo no caso do 1.º ciclo do ensino básico; Os resultados das aprendizagens são discutidos e analisados em sede de departamento curricular e em sede de conselho pedagógico havendo o cuidado de perceber com evoluem no tempo; Há uma preocupação por parte das diferentes estruturas da escola em envolver os encarregados de educação na vida da escola e no percurso educativo dos respetivos educandos; Aspetos que necessitam de valorização/upgrade      A planificação da atividade letiva e não letiva parece ainda ser feita de forma relativamente individualizada não envolvendo todos os educadores/docentes que lecionam os mesmos níveis de ensino e/ou interesses de aprendizagem comuns aos respetivos alunos; O facto de só agora ser reconhecida uma mudança de atitude no que respeita ao trabalho cooperativo entre os professores que lecionam o 1.º ciclo do ensino básico, o que antevê que eventuais dificuldades anteriores ainda se possam refletir na qualidade do ensino e da aprendizagem; A dificuldade em articular metodologias, preparar materiais e atividades dado que os horários dos docentes dos 2.º e 3.º ciclos e secundário não permitir que haja tempos livres comuns para o efeito; As atuais instalações da escola sede do agrupamento traduzem uma dificuldade acrescida não só ao nível da qualidade das instalações, mas também à restrição de espaços que se reflete nos horários de docentes e discentes, não permitindo que se promovam nas melhores condições atividade de apoio educativo bem como a participação massiva dos alunos nas atividades promovidas por clubes e projetos; A reduzida referência que é feita ao ensino profissional, uma vez que esta modalidade de ensino representa já um universo de cerca de 40% dos alunos que frequentam o ensino secundário; 27
  28. 28. Agrupamento de Escolas do Vale de Ovil     O elevado número de documentos escritos que se continuam a produzir, muitas vezes com informações repetidas continua a ser referido como um fator que absorve tempo aos docentes, nomeadamente os que desempenham funções de coordenação, como os coordenadores de ciclo ou os diretores de turma; A deslocação da escola sede para instalações provisórias reflete-se também no funcionamento da escola básica de campelo, nomeadamente ao nível da articulação interciclos e do funcionamento de algumas estruturas como a cantina ou a manutenção de equipamento informático; O processo de intervenção pedagógica com alunos com NEE por vezes é considerada tarefa difícil pelo facto de frequentemente existir um choque com o processo de ensino/aprendizagem desenvolvido na sala de aula; As dificuldades que ainda persistem em envolver os atores da comunidade educativa nas atividade promovidas pelo agrupamento. 8. Execução do Plano Anual de Atividades A avaliação do grau de concretização do Plano Anual de Atividades (PAA) foi realizada através da análise dos relatórios de avaliação de atividades, clubes e projetos entregues pelos organizadores/dinamizadores dos mesmos. Estas atividades tiveram em vista a prossecução das metas e objetivos definidos no Projeto Educativo do Agrupamento e quase todas as ações desenvolvidas englobaram mais do que uma linha orientadora do referido projeto. Das 117 atividades previstas no Plano Anual de Atividades, 110 tiveram em vista contribuir para o domínio A do referido Projeto (Valorização da Escola), 100 para o domínio B (Prevenção do risco de abandono/insucesso), 102 para o domínio C (Ligação da Escola à Comunidade) e 75 para o domínio D (Articulação curricular interciclos e sequencialidade transversal de conteúdos). O gráfico 33 dá-nos conta das atividades realizadas durante o ano letivo 2011/2012, tendo em conta as linhas orientadoras previstas no Projeto Educativo do Agrupamento. 28
  29. 29. Agrupamento de Escolas do Vale de Ovil Gráfico 33 – Atividades realizadas em 2011/2012, inseridas nas linhas orientadoras do Projeto Educativo (em %) A partir da análise dos relatórios apresentados pelas diversas coordenações e da avaliação efetuada pelos professores responsáveis pela organização de cada uma das atividades verificou-se que, das 116 atividades planificadas para o ano letivo 2011/2012, 101 foram concretizadas, correspondendo a 86% da totalidade das atividades previstas para o referido intervalo de tempo (Gráfico 34). Gráfico 34 – Atividades realizadas e não realizadas em 2011/2012 29
  30. 30. Agrupamento de Escolas do Vale de Ovil 9. Resultados Escolares Ainda que nunca sejam apontados números como metas a atingir em termos de resultados escolares, o Projeto Educativo do Agrupamento tem como linha orientadora uma melhoria progressiva dos mesmos e para uma redução das taxas de abandono escolar. Assim, tendo em conta tais pressupostos pretendemos verificar em que medida estes objetivos estão a ser concretizados. Assim, ao longo desta secção apresentam-se as taxas de sucesso para todos os níveis de ensino aferidas ao longo dos últimos três anos letivos em resultado da avaliação interna para que possamos ter uma perceção da sua evolução. Ao mesmo tempo faremos sempre referência às taxas de abandono, ao número de anulações de matrícula, transferência ou reprovações por excesso de faltas. Para concretizar a análise aos resultados das aprendizagens no nosso agrupamento de escolas, dedicamos a segunda parte desta secção às classificações obtidas em resultado da avaliação externa. Também para estes serão considerados os três últimos anos letivos. 9.1. Avaliação Interna As tabelas e os gráficos que se seguem dizem respeito ao resultado das aprendizagens no Ensino Básico para cada um dos ciclos o integram e para o ensino secundário nas modalidades de ensino regular e ensino profissional. 1.º ciclo do EB Tabela 3 – Taxas de sucesso no 1.º ciclo do EB Ano 1.º 2.º 3.º 4.º 2009/10 UO Nac 100 100 100 92,4 100 96,7 96,2 95,8 2010/11 UO Nac 100 100 98,5 93,1 98,5 97,4 95,7 96,3 2011/12 UO Nac 100 100 89,8 91 100 96 100 95,1 Taxas de sucesso no 1.º ciclo do EB 105 100 95 1.º ano 90 2.º ano 85 3.º ano 80 UO Nac UO Nac UO Nac 2009/10 2010/11 4.º ano 2011/12 Gráfico 35 – Taxas de sucesso no 1.º ciclo do EB (comparação entre a escola e a nível nacional) 30
  31. 31. Agrupamento de Escolas do Vale de Ovil A análise dos dados mostra-nos que a situação verificada na nossa unidade orgânica ao longo dos anos letivos considerados acompanha as taxas de sucesso a nível nacional. Na maioria das vezes, esta taxa é até ligeiramente superior no nosso agrupamento, no entanto não nos parece que este facto seja significativo. 2.º ciclo do EB Tabela 4 – Taxas de sucesso no 2.º ciclo do EB 2009/10 UO Nac 100 92,4 100 91,7 Ano 5.º 6.º 2010/11 UO Nac 100 92,3 88,3 92,5 2011/12 UO Nac 88,3 90,1 79,3 86,3 Taxas de sucesso no 2.º ciclo do EB 100 95 90 85 80 75 70 65 60 5.º ano 6.º ano UO Nac 2009/10 UO Nac 2010/11 UO Nac 2011/12 Gráfico 36 – Taxas de sucesso no 2.º ciclo do EB (comparação entre a escola e a nível nacional) Ao contrário do que prevê o projeto educativo do agrupamento, os dados apresentados mostram que tem vindo a verificar-se uma diminuição nas taxas de sucesso ao longo dos anos letivos considerados. Ao mesmo tempo, se em 2009/10 os resultados obtidos na unidade orgânica foram superiores aos resultados obtidos a nível nacional, em 2011/12 passaram a ser inferiores, facto que já se havia verificado no ano letivo anterior no 6.º ano de escolaridade. 3.º ciclo do EB Tabela 5 – Taxas de sucesso no 3.º ciclo do EB Ano 7.º 8.º 9.º 2009/10 UO Nac 98,9 83,3 95 89 82,7 85,9 2010/11 UO Nac 82,8 84,1 91,1 89,7 74,4 86,2 2011/12 UO Nac 82,2 82,1 90,5 86,9 63,8 82,2 31
  32. 32. Agrupamento de Escolas do Vale de Ovil Taxas de sucesso no 3.º ciclo do EB 100 95 90 85 80 75 70 65 60 55 50 7.º ano 8.º ano 9.º ano UO Nac 2009/10 UO Nac 2010/11 UO Nac 2011/12 Gráfico 37 – Taxas de sucesso no 3.º ciclo do EB (comparação entre a escola e a nível nacional) Os dados anteriores mostram-nos que os resultados das aprendizagens obtido pela unidade orgânica têm acompanhado os resultados a nível nacional no caso dos 7.º e 8.º anos de escolaridade. No entanto, quando analisado o 9.º ano de escolaridade, verifica-se que os resultados obtidos no agrupamento são inferiores aos resultados das aprendizagens a nível nacional e que esta discrepância tem vindo a ser mais significativa ao longo dos três últimos anos letivos. Em 2011/12 a taxa de sucesso na unidade orgânica situou-se quase 20 pontos percentuais abaixo da taxa nacional. Importa ainda fazer uma pequena referência aos Cursos de Educação e Formação (CEF), já que traduzem uma modalidade de ensino que no ano letivo anterior ganhou algum significado na nossa escola. No entanto, como até então esta modalidade de ensino tinha sido praticamente residual e no ano letivo de 2012/13 voltará a sê-lo por imposição da Administração não será feita uma análise exaustiva aos resultados das aprendizagens. Assim, o resultado das aprendizagens nos cursos CEF no nosso agrupamento ao longo dos três anos letivos anteriores tem acompanhado os resultados a nível nacional, situando-se a taxa de sucesso ligeiramente acima dos 90 %. Ensino Secundário - Regular Tabela 6 – Taxas de sucesso no ensino secundário – cursos científico-humanísticos Ano 10.º 11.º 12.º 2009/10 UO Nac 83,5 83,5 89,2 88,4 68,2 68 2010/11 UO Nac 80,2 84,8 98,8 89 67,1 63,3 2011/12 UO Nac 79,2 84,5 83,1 86,8 64,9 64,4 32
  33. 33. Agrupamento de Escolas do Vale de Ovil Taxas de sucesso no ensino secundário 100 95 90 85 80 75 70 65 60 55 50 10.º ano 11.º ano 12.º ano UO Nac 2009/10 UO Nac 2010/11 UO Nac 2011/12 Gráfico 38 – Taxas de sucesso no Ensino Secundário – cursos científico-humanísticos (comparação entre a escola e a nível nacional) No caso do ensino secundário importa fazer uma análise por ano de escolaridade, já que os dados levamnos a leituras distintas. Assim, no 10.º ano de escolaridade, a taxa de sucesso dos resultados das aprendizagens aferidos no nosso agrupamento de escolas têm vindo decrescer ligeiramente, ainda que este decréscimo não seja significativo. Verifica-se também que estas taxas se situam abaixo da taxa a nível nacional nos dois últimos anos, mas também aqui de forma pouco significativa. Quanto ao 11.º ano de escolaridade, a evolução das taxas de sucesso é de tal modo oscilante que não é percetível uma tendência, devendo ser realçado o facto de a taxa mais baixa ter sido aferida no ano letivo anterior (83,1) ligeiramente abaixo da taxa de sucesso a nível nacional, ao contrário do que se havia verificado nos anos letivos anteriores em que a taxa de sucesso na unidade orgânica foi superior à taxa nacional. Em relação ao 12.º ano de escolaridade, verifica-se que as taxas de sucesso na unidade orgânica têm vindo a decrescer ligeiramente ao longo do tempo considerado, ainda que este aspeto possa ter pouco significado, acompanhando a tendência que também se verifica a nível nacional. No entanto, esta taxa de sucesso foi sempre superior a nível da unidade orgânica relativamente à taxa nacional. Ensino Secundário - Profissional Tabela 7 – Taxas de sucesso no ensino secundário – cursos profissionais Ano Ano 1 Ano 2 Ano 3 2009/10 2010/11 UO Nac UO Nac 100 95,6 100 96,7 100 98,9 95 65,4 2011/12 UO Nac 100 97,6 100 99,1 90,4 63,6 33
  34. 34. Agrupamento de Escolas do Vale de Ovil Taxas de sucesso no ensino profissional 100 95 90 85 80 75 70 65 60 55 50 Ano 1 Ano 2 Ano 3 UO Nac 2009/10 UO Nac 2010/11 UO Nac 2011/12 Gráfico 39 – Taxas de sucesso no ensino secundário – cursos profissionais (comparação entre a escola e a nível nacional) Uma vez que a esta modalidade de ensino representa já uma fasquia muito significativa em termos de percentagem de frequência no ensino secundário (cerca de 40 % no nosso agrupamento), não pode ser ignorada quando nos referimos a um processo de reflexão e avaliação. Neste momento importa fazer a leitura aos resultados das aprendizagens. Os dados mostram-nos que as taxas de sucesso ao nível da unidade orgânica são claramente favoráveis quando comparados com as taxas aferidas a nível nacional, com especial realce para o terceiro ano que corresponde ao ano de conclusão do curso. Nos primeiros anos do curso a taxa de sucesso no agrupamento situam-se nos 100 % fruto da inexistência de retenção, no entanto importa fazer uma leitura destes dados em conjunto com as taxas de anulação de matrícula ou transferência. A inexistência de dados relativamente ao ano 2 em 2009/10 e ao ano 3 em 2010/11 deve-se ao facto de não ter havido alunos inscritos no nosso agrupamento nos anos respetivos. 9.2. Avaliação Externa A avaliação externa promovida pelo Gabinete de Avaliação Educacional (GAVE) bem promovendo exames nacionais do ensino básico e secundário ao longo dos anos aplicados no final do ensino básico (9.º ano) e nas disciplinas terminais do ensino secundário com a realização dos exames distribuídos pelos 11.º e 12.º anos de escolaridade. Como novidade no ano letivo 2011/2012 tivemos a realização de exames nacionais também no final do 2.º ciclo às disciplinas de Língua Portuguesa e Matemática em substituição das provas de aferição que se realizaram até ao ano transato. Assim, nesta secção vamos reservar especial atenção aos exames nacionais realizados no nosso agrupamento. No caso do Ensino Básico vamos fazer uma comparação entre a situação na escola e a nível nacional. Faremos o mesmo relativamente exames nacionais do Ensino Secundário, mas como já vêm sido aplicados ao longo do tempo, faremos também uma análise à evolução verificada nos três últimos anos letivos. Quanto às provas de aferição que se aplicaram no passado nos 1.º e 2.º ciclos do EB, não será feita qualquer abordagem neste relatório uma vez que estão em processo de extinção. 34
  35. 35. Agrupamento de Escolas do Vale de Ovil 2.º Ciclo do EB A tabela 8 apresenta as percentagens por nível obtidas pelos alunos internos sujeitos a exame nacional do ensino básico na nossa escola e a nível nacional. Os gráficos 40 e 41 permitem-nos fazer uma leitura comparativa destes dados. Tabela 8 – Distribuição de níveis a Língua Portuguesa e Matemática – 6.º Ano Disciplina Língua Portuguesa Nível 1 2 3 4 5 Escola (%) 1,4 18,6 57,1 21,4 1,4 60,0 Nacional (%) 0,9 23,5 45,0 28,0 2,6 disciplina Matemática Nível 1 2 3 4 5 Escola (%) 8,6 48,6 18,6 20,0 4,3 Nacional (%) 7,5 36,6 26,3 21,7 7,9 Níveis obtidos (%) - Língua Portuguesa 50,0 40,0 30,0 escola 20,0 nacional 10,0 0,0 nível 1 nível 2 nível 3 nível 4 nível 5 Gráfico 40 – Distribuição de níveis no 2.º ciclo do EB – comparação entre a escola e a nível nacional Níveis obtidos (%) - Matemática 60,0 50,0 40,0 30,0 escola 20,0 nacional 10,0 0,0 nível 1 nível 2 nível 3 nível 4 nível 5 Gráfico 41 - Distribuição de níveis no 2.º ciclo do EB – comparação entre a escola e a nível nacional Da análise que podemos fazer pode-se constatar que os níveis obtidos pelos alunos a nível da nossa escola se situam ligeiramente abaixo à média de níveis obtido a nível nacional, sendo este facto mais acentuado na disciplina de Matemática. Na disciplina de Língua Portuguesa há no entanto que ressalvar o facto de a percentagem de níveis positivos ser até superior ao verificado a nível nacional. Ainda assim, os níveis positivos verificaram-se essencialmente na nota 3. A Matemática a percentagem de níveis negativos é 35
  36. 36. Agrupamento de Escolas do Vale de Ovil superior na nossa escola quando comparado com as classificações registadas a nível nacional, o que se reflete nas classificações positivas onde a nossa escola regista sempre uma taxa inferior à taxa nacional. 3.º ciclo do EB A tabela 9 apresenta as percentagens por nível obtidas pelos alunos internos sujeitos a exame nacional do ensino básico na nossa escola e a nível nacional. Os gráficos 42 e 43 permitem-nos fazer uma leitura comparativa destes dados. Tabela 9 - Distribuição de níveis a Língua Portuguesa e Matemática – 9.º Ano Disciplina Língua Portuguesa Nível 1 2 3 4 5 Escola (%) 2,1 19,1 46,8 29,8 2,1 Nacional (%) 1,1 34,9 46,5 16,4 1,1 disciplina Matemática Nível 1 2 3 4 5 Escola (%) 4,3 27,7 23,4 31,9 12,8 Nacional (%) 7,3 38,0 25,0 20,3 9,4 Níveis obtidos (%) - Língua Portuguesa 50,0 40,0 30,0 escola 20,0 nacional 10,0 0,0 nível 1 nível 2 nível 3 nível 4 nível 5 Gráfico 42 - Distribuição de níveis no 3.º ciclo do EB – comparação entre a escola e a nível nacional Níveis obtidos (%) - Matemática 40,0 35,0 30,0 25,0 20,0 escola 15,0 nacional 10,0 5,0 0,0 nível 1 nível 2 nível 3 nível 4 nível 5 Gráfico 43 - Distribuição de níveis no 3.º ciclo do EB – comparação entre a escola e a nível nacional 36
  37. 37. Agrupamento de Escolas do Vale de Ovil Facilmente se pode constatar que os níveis obtidos pelos alunos a nível da nossa escola foram claramente superiores à média de níveis obtido a nível nacional. A percentagem de níveis negativos quer a Língua Portuguesa quer a Matemática verificados na nossa escola ronda os 15 % abaixo daquilo que se verifica a nível nacional, fazendo com que a percentagem de níveis positivos sofra a mesma variação em favor da nossa escola. Vale a pena realçar a percentagem de nível 4 a Matemática que na nossa escola é superior às percentagens de níveis 2 e 3. Ensino Secundário A tabela 10 apresenta o número de alunos submetidos a avaliação externa nos três últimos anos letivos, a média das classificações obtidas nas disciplinas sujeitas a avaliação externa, a média da classificação interna final nas mesmas disciplinas, o diferencial entre as duas classificações referidas, bem como a percentagem de reprovações. Para uma leitura comparativa, apresentamos o retrato das mesmas variáveis verificadas a nível nacional. Tabela 10 – Média das classificações obtidas nos exames nacionais do ensino secundário ano CE/Alunos internos CIF CIF-CE % REPR N.º nacional escola nacional escola nacional escola nacional escola 31 32 11,8 10,5 10,8 7,5 13 13 11,9 12,1 1,2 2,5 1,1 4,6 7 11 9,7 9,4 10 História A 12 11 18 11,9 13,3 13 13,7 1,1 0,4 6 5,6 2,4 15 18,4 12 9,9 13 12,3 11 28 10,6 9,4 14 12,3 3,4 2,9 11 28,6 31 12,2 13,3 13 13,1 0,8 -0,2 13 0 12 Português 10,4 10 Matemática A 38 2,6 69 10,4 10,1 14 12,9 3,6 2,8 8 4,3 11 68 9,6 11,6 14 12,9 4,4 1,3 10 1,5 13,9 3 1,7 6 1,6 2,9 10 0 10 62 11 12,2 14 Física e Química A 12 39 9,8 10 14 12,9 11 43 11 11,1 14 12,8 3 1,7 7 0 10 Biologia e Geologia 4,2 54 9,8 9,8 14 13,4 4,2 3,6 10 9,3 12 22 8,1 7,8 14 12,6 5,9 4,8 24 18,2 11,9 2,5 1,6 16 10,3 4,5 25 18,6 11 39 10,5 10,3 13 10 8,5 8,1 13 12,6 12 19 10,7 9,7 13 11,5 2,3 1,8 7 10,5 11 39 11,3 11,1 13 12,6 1,7 1,5 5 0 10 37 11 11 13 11,9 2 0,9 5 5,4 12 Geografia A 43 4,5 13 10,6 11,4 13 12,5 2,4 1,1 10 7,7 1,6 9 18,2 12 12 0 4,2 MACS 11 22 11,3 10,2 13 11,8 1,7 25 24 10,1 8,9 10,9 12,0 13 14 12,5 13,8 2,9 1,6 Filosofia 10 12 5,1 1,8 37
  38. 38. Agrupamento de Escolas do Vale de Ovil Classificação da Avaliação Externa 14 12 10 8 6 2010 4 2011 2 2012 História A Matemática Português A Biologia e Geologia Física e Geografia A Química A escola nacional escola nacional escola nacional escola nacional escola nacional escola nacional escola nacional 0 MACS Gráfico 44 - Distribuição das classificações dos exames nacionais do ensino secundário – comparação entre a escola e a nível nacional A leitura do gráfico 44 permite concluir que, regra geral, as classificações obtidas a nível de escola acompanham as classificações obtidas a nível nacional. São pontuais as situações em que se verifica um diferencial de mais do que um valor como por exemplo na disciplina de Português nos anos de 2010 e 2011 em favor da escola. Não se verifica de forma explícita uma evolução guiada dos resultados das classificações obtidas nos exames nacionais quer a nível da nossa escola, quer a nível nacional, o que nos permite cogitar que outros fatores que não os metodológicos em termos de pedagogia estarão na sua origem, no entanto é importante verificar que a escola tem acompanhado as variações das classificações nacionais, e até ligeiramente acima em algumas disciplinas, como a Biologia e Geologia, a MACS ou a Filosofia (tabela 10) no ano 2012. 38
  39. 39. Agrupamento de Escolas do Vale de Ovil Classificação Interna Final 16 14 12 10 8 6 2010 4 2011 2 2012 História A Matemática Português A Biologia e Geologia Física e Geografia A Química A escola nacional escola nacional escola nacional escola nacional escola nacional escola nacional escola nacional 0 MACS Gráfico 45 - Distribuição das classificações em resultado da avaliação interna no ensino secundário – comparação entre a escola e a nível nacional A classificação interna final obtida na nossa escola nas disciplinas sujeitas a avaliação externa segue uma a tendência de se colocar ligeiramente abaixo das médias obtidas a nível nacional. Não nos parece que este diferencial seja significativo, mas leva-nos imediatamente para uma leitura óbvia relacionada com o diferencial entre a classificação interna final e a classificação de exame que é manifestamente inferior na nossa escola do que a nível nacional (tabela 10), o que pode ser um indicador do rigor e da exigência com que se desenrola o processo de ensino e aprendizagem na nossa escola. Temos que realçar as classificações obtidas na disciplina de Filosofia na nossa escola (tabela 10) muito acima das classificações obtidas a nível nacional. Não incluímos esta disciplina nos gráficos que traduzem os resultados porque em 2012 foi o único ano em que esta disciplina foi sujeita a exame nacional de entre os anos considerados. 39
  40. 40. Agrupamento de Escolas do Vale de Ovil Considerações Finais Uma vez apresentados os dados estamos agora em condições de fazer as necessárias considerações finais. Obviamente, não pretendemos ser demasiado exaustivos e refletir apenas aquilo que sobressai de entre tudo o que fomos dizendo ao longo deste trabalho devidamente articulados com o trabalho efetuado na auscultação dos diversos atores da comunidade educativa para trabalho preparatório na elaboração do Projeto Educativo de Agrupamento. Assim, este relatório jamais representa uma visão geral daquilo que é o desempenho das várias estruturas da escola estando as análises particulares reservadas a essas estruturas. Como já havíamos afirmado, pretendemos que este relatório possa gerar a reflexão e o debate. Para tal, esta secção apresenta um conjunto de pontos fortes, pontos fracos, oportunidades e constrangimentos que pensamos ter identificado ao longo deste processo. Reparemos que não damos isto como um dado adquirido, sendo que vale a pena refletir sobre todos os aspetos. Não tenhamos ilusões e entendamos que os pontos fortes de hoje poderão não o ser no futuro, logo teremos que melhorar uns sem descorar os outros. Desta forma, foram promovidas uma série de reuniões de trabalho com os diversos elementos da vida interna e externa do Agrupamento, nas quais se apresentaram um conjunto de reflexões e de traves mestras do anterior Projeto Educativo, dos resultados da avaliação interna (e externa apesar de algo distante no tempo, servindo como elemento auto regulador na análise efetuada). Desta forma, o primeiro documento-síntese produzido foi resultado de uma sessão de análise nas quais se procurou sintetizar os diversos documentos críticos do Agrupamento para produzir um diagnóstico o mais completo possível e sustentasse a autorreflexão necessária à consecução de um novo Projecto Educativo de Agrupamento para o triénio 2012-2015. Daqui resultou o seguinte diagnóstico: Elementos a ultrapassar/mitigar Sociais - Relevo montanhoso dificultando deslocações - Distância de várias freguesias à escola-sede - Taxa de desemprego - Reduzida qualificação dos Encarregados de Educação - Reduzidas habilitações literárias dos Encarregados de Educação - Situação económica indutora de abandono escolar e casos de apoio social Avaliação Externa (2007) - Resultados insatisfatórios nos exames Nacionais a Matemática - Debilidades ao nível do acompanhamento e supervisão das AEC’s - Reduzida clareza na definição de metas objetivas para as prioridades do P.E. - Deficiente igualdade de oportunidades no ensino pré-escolar - Insuficiente hierarquização dos desafios colocados ao Agrupamento e hierarquização para os ultrapassar - Práticas pouco explícitas e sistemáticas na análise dos resultados internos - Fraca participação dos alunos na construção do Projeto Educativo - Organização dos horários não permitindo tempo para trabalho comum - Reduzida supervisão das estruturas intermédias sobre o trabalho dos docentes - Ausência de um plano para a formação do pessoal docente/não docente Avaliação Interna (2009-2012) - Excesso de burocracia interna - Deficiente participação do pessoal docente, alunos e E.E. - Centralização de processos - Ténue imagem exterior da instituição - Reduzido nº de projetos de caráter internacional e nacional - Deficiente divulgação das parcerias junto a alunos e E.E. - Sistemas de recolha de informações/sugestões deficiente - Fraca imagem do desempenho da A.E. junto da comunidade - Trabalho cooperativo entre professores pouco estruturado - Participação dos E.E. na escola - interação entre ciclos de ensino com algumas debilidades - Necessidade de adoção de procedimentos comuns em termos científicos em algumas áreas na transição de ciclos - Aulas ou atividades de substituição pouco estruturadas - Reduzido impacto das tutorias nos resultados académicos - Resultados das classificações de exame nacional nas disciplinas de física e química a e biologia e geologia - Elevado diferencial cfd-ce nas mesmas disciplinas 40
  41. 41. Agrupamento de Escolas do Vale de Ovil Consulta à Comunidade (2012) -Reduzida oferta de cursos no secundário - Insuficiência de recursos ao nível do ensino especial. - Reduzido espaço para a criatividade e empreendedorismo - Pouca diversificação de estratégias/instrumentos de ensino. - Défice de envolvimento na comunidade - Défice de projeção externa da escola - Fraca aposta em Clubes pertinentes - Desempenho das estruturas intermédias - Sequencialidade interciclos - Articulação entre Grupos/Departamentos - Falta de promoção de percursos diversificados para os alunos, em especial, para alunos com insucesso escolar e NEE - Necessidade de promoção da formação de pessoal docente e não docente - Necessidade de maior sensibilização contra o consumo de tabaco, álcool e drogas - Pró-atividade na identificação de indícios de famílias problemáticas minimizando perturbações nos alunos. Elementos a valorizar/aprofundar Sociais - Forte coesão social - Potencialidades paisagísticas para a dinamização didática e implementação de projetos - Forte sentido de pertença por parte da comunidade - Apetência para as questões Ambientais/patrimoniais Avaliação Externa (2007) - Valores de transição, resultados das provas de aferição e Exames Nacionais a Português - Valores acima da média nacional nos Exames do Secundário a Português, Matemática e História - Disponibilização de percursos alternativos - Diminuição da taxa de abandono escolar - Implementação do Projeto educativo - Clima afetivo e bom ambiente geral - Investimento nas ciências experimentais, atividades artísticas e culturais, projetos e clubes - Gestão dos recursos humanos - Capacidade de atração financeira para equipar o Agrupamento - Sentimento de pertença e identidade - Integração dos alunos com NEE Avaliação Interna (2009-2012) - Confiança na prática pedagógica da escola/professores - Capacidade da Direção em mobilizar os colaboradores - Metodologias indutoras de forte coesão interna - Parcerias em vigor são reais e não teóricas - Forte aceitação das instituições do poder local e empresarial - Grau de cumprimento do plano anual de atividades - Implementação de projetos a médio longo prazo/visão estratégica - Participação do pessoal docente - Serviços prestados pela biblioteca escolar - Orientações/apoio dos diretores de turma a alunos e E.E. - Relação entre professores, alunos e E.E. - Resposta perante alunos com necessidades educativas especiais - Diversificação da oferta formativa (ensino profissional) - Classificações obtidas nos Exames Nacionais do ensino secundário acima da média nacional (Português e Matemática) - Papel do Plano da matemática na melhoria dos resultados escolares - Taxas de transição no ensino básico ( 1.º e 2.º ciclos) Consulta Comunidade (2012) - Oferta educativa agrupada e integrada (pré-escolar ao secundário), - Oferta educativa profissionalizante - Educação de adultos (EFA) com elevados níveis de procura - Clubes, projetos e programas dinâmicos e pertinentes ao Projeto e comunidade - Integração da Escola na Rede de Bibliotecas Escolares e no Plano Nacional de Leitura; - Estabelecimento de um Centro de Interpretação Ambiental em parceria com a Câmara Municipal de Baião, a Ecosimbioses e a Associação Empresarial de Baião; - Parcerias e protocolos ativos, estabelecidos com diversas entidades, instituições e empresas do concelho de Baião - Forte relação institucional entre o Agrupamento e os parceiros institucionais - Facilidade na elaboração de parcerias internacionais e feedback francamente positivo obtido junto à comunidade educativa 41
  42. 42. Agrupamento de Escolas do Vale de Ovil Com base nestes documentos e no culminar de todo este processo de avaliação interna que pretendemos colocar à disposição de toda a comunidade com este relatório, elaborámos uma análise que evidenciasse os pontos fortes e os pontos fracos bem como constrangimentos e oportunidades do Agrupamento. De seguida apresentamos a distribuição encontrada pela equipa de avaliação interna e proporá que a mesma seja inserida no Projeto Educativo do agrupamento e devidamente divulgada junto à comunidade educativa. Pontos fortes - Oferta educativa profissionalizante - Clubes, projetos e programas, dinâmicos, e pertinentes ao Projeto e comunidade - Integração da Escola na Rede de Bibliotecas Escolares e no Plano Nacional de Leitura; - Confiança na prática pedagógica da escola/professores - Capacidade da Direção em mobilizar os colaboradores - Metodologias indutoras de forte coesão interna - Parcerias em vigor são reais e não teóricas - Papel do Plano da Matemática na melhoria dos resultados escolares - O Plano Nacional de Leitura, a sala de estudo e o projeto PEN (Preparação para os Exames Nacionais) enquanto instrumentos de valorização das aprendizagens - Valores de transição, resultados das provas de aferição e Exames Nacionais a Português - Valores acima da média nacional nos Exames do Secundário a Português, Matemática e História - Conclusão percursos alternativos - Taxa de abandono escolar Pontos fracos - Desempenho das estruturas intermédias ainda pouco reconhecido - A sequencialidade interciclos ainda apresenta algumas debilidades - Articulação entre Grupos/Departamentos apresenta margem de progressão - Promoção de percursos diversificados para os alunos, em especial com insucesso escolar e NEE - Promover a formação de pessoal docente e não docente - Excesso de burocracia interna - Deficiente participação do pessoal docente, alunos e E.E. - Centralização de processos - Aulas ou atividades de substituição pouco estruturadas - Reduzido impacto das tutorias nos resultados académicos - Resultados das classificações de Exame Nacional nas disciplinas de física e química a e biologia e geologia - Elevado diferencial cfd-ce nas mesmas disciplinas - Exames Nacionais a Matemática - Debilidades ao nível do acompanhamento e supervisão das AEC’s - Clareza na definição de metas objetivas para as prioridades do P.E. Oportunidades - Reduzida qualificação dos Encarregados de Educação 42
  43. 43. Agrupamento de Escolas do Vale de Ovil - Reduzida oferta de cursos no secundário - Reduzido espaço para a criatividade e empreendedorismo - Reduzido nº de projetos de caráter internacional e nacional - Desempenho/imagem da A.E. junto da comunidade - Forte coesão social - Potencialidades paisagísticas para a dinamização didática e implementação de projetos e cursos - Forte de sentido de pertença por parte da comunidade - Apetência pelas questões Ambientais/patrimoniais - Estabelecimento de um Centro de Interpretação Ambiental em parceria com a CMB, a Ecosimbioses e a AEB - Parcerias e protocolos instituições e empresas do concelho - Forte relação institucional com os parceiros institucionais - Facilidade na elaboração de parcerias internacionais - implementação de projetos a médio longo prazo/visão estratégica - Resposta perante alunos com necessidades educativas especiais - Investimento nas ciências experimentais, atividades artísticas e culturais, projetos e clubes - Capacidade de atração financeira para equipar o Agrupamento - Sentimento de pertença e identidade Constrangimentos - Relevo montanhoso dificultando deslocações - Taxa de desemprego - Reduzidas habilitações literárias E.E. - Conjuntura económica - Défice de envolvimento na comunidade - Deficiente sistema de recolha de informações/sugestões - Trabalho cooperativo entre professores pouco estruturado - Reduzida participação dos E.E. no secundário - Reduzida interação entre ciclos de ensino - Deficiente geração de igualdade de oportunidades no ensino pré-escolar - Insuficiente hierarquização dos desafios colocados ao Agrupamento e hierarquização para os ultrapassar - Práticas pouco explícitas e sistemáticas na análise dos resultados internos - Participação dos alunos na construção do Projeto Educativo Da análise das reuniões com todos os atores da escola por forma a aferir dos elementos constantes nas propostas para o Projeto Educativo, assim como das expectativas que a comunidade educativa detinha para o aprofundamento do processo educativo foram promovidas reuniões com os diversos Departamentos do Agrupamento (em alguns casos divididos em grupos no sentido de agilizar os trabalhos, fosse por temas muito específicos, fosse pela sua dimensão): Educação pré-escolar, 1º ciclo do Ensino Básico, Ciências Sociais e Humanas, Línguas, Matemática e Ciências Experimentais (Grupo de Matemática teve reunião específica), Departamento de Expressões (Grupo da Educação Especial teve reunião 43
  44. 44. Agrupamento de Escolas do Vale de Ovil específica). Igualmente foram dinamizadas reuniões com a Associação de Pais e Encarregados de Educação, com a autarquia assim como discussões em sede de Conselho Pedagógico e Conselho Geral. Destas reuniões fundamentou-se um retrato da escola e foram colhidas uma série de informações que, posteriormente foram discutidas, trabalhadas e propostas para dar corpo ao Projeto Educativo. Aprovado pela Comissão de Avaliação Interna em 05 de novembro de 2012 Aprovado em reunião de Conselho Geral em 27 de novembro de 2012 44

×