Successfully reported this slideshow.
We use your LinkedIn profile and activity data to personalize ads and to show you more relevant ads. You can change your ad preferences anytime.

Ap matematica

3,194 views

Published on

Básico Matemática

  • Have you ever used the help of ⇒ www.WritePaper.info ⇐? They can help you with any type of writing - from personal statement to research paper. Due to this service you'll save your time and get an essay without plagiarism.
       Reply 
    Are you sure you want to  Yes  No
    Your message goes here

Ap matematica

  1. 1. Apostila de Matemática.GOVERNO DO ESTADO DE RORAIMAUNIVERSIDADE VIRTUAL DE RORAIMA - UNIVIRR APOSTILA CURSO DE MATEMÁTICA Professor: Nonato Mesquita.
  2. 2. Apostila de Matemática. Fatoração e Produtos NotáveisProdutos Notáveis:Quadrado da Soma ou Diferença:(a + b)2 = a2+ 2ab + b2(a - b)2 = a2 - 2ab + b2(a + b + c)2 = a2+ b2 + c2 + 2ab + 2ac + 2bc(a + b - c)2 = a2 + b2 + c2 + 2ab - 2ac - 2bc(a - b + c)2 = a2 + b2 + c2 - 2ab + 2ac - 2bc(a - b - c)2 = a2 + b2 + c2 - 2ab - 2ac + 2bcEx:(2x + 3y2)2 = (2x)2 + 2(2x)(3y2) + (3y2)2 == 4x2 + 12xy2 + 9y4 Produto da Soma pela Diferença:(a + b). (a - b) = a2 - b2Ex:x2 - 16 = (x + 4). (x - 4)a4 - b4 = (a2)2 - (b2)2 = (a2 - b2). (a2 + b2) = (a + b). (a - b). (a2 + b2)Cubo da soma e da diferença:(a + b)3 = a3+ 3a2b + 3ab2 + b3(a - b) 3 = a3 - 3a2b + 3ab2 - b3Ex:(x + 2)3 = x3 + 3(x2) (2) + 3(x) (2)2 + 23 = x3 + 6x2 + 12x + 8 Professor: Nonato Mesquita.
  3. 3. Apostila de Matemática. FatoraçãoFatorar: Significa encontrar fatores que conduzam a um produto dado.Principais casos de fatoração:Fator comum (evidência)ax + bx = x(a + b)Agrupamento:ax + bx + ay + by = x (a+b) + y (a + b) = (a + b) (x + y)Diferença de Quadrados:a2 - b2 = (a + b) (a - b)Quadrados Perfeitos:a2 + 2ab + b2 = (a + b)2a2 - 2ab + b2 = (a - b)2Soma de Cubos:(a3 + b3) = (a + b) (a2 - ab + b2)Diferença de cubos:a3 - b3 = (a - b) (a2 + ab + b2)Ex:8y3 - 125 = (2y)3 - 53 = (2y - 5). (4y2 + 10y + 25)Cubos Perfeitos:a 3 + 3a2b + 3ab2 + b3 = (a + b)3a 3 - 3a2b + 3ab2 - b3 = (a - b)3Ex:x3 + 3x2 + 3x + 1 = (x + 1)3 Professor: Nonato Mesquita.
  4. 4. Apostila de Matemática. EquaçõesEquações de 1º e 2º graus:O problemaQuando escrevemos uma equação, como por exemplo: "x2 - 2x = x - 4" propomos oseguinte problema:"Quais são os valores de x para os quais a igualdade é verdadeira?"Resolver uma equação é dar resposta ao problema, isto é, é encontrar todos osvalores de x que verificam (satisfazem) a igualdade. Tais valores (números) são asraízes ou as soluções da equação.Na escritura de uma equação, como a do exemplo acima, a letra x (ou y, z, t, a,...)chama-se incógnita.Conjunto-solução de uma equação é o conjunto cujos elementos são todas as raízes (ousoluções) da equação.Duas equações dizem-se equivalentes se possuem o mesmo conjunto-solução.As transformaçõesDe um modo bem geral, para resolvermos uma equação transformamos suasescrituras. Por exemplo, para resolvermos uma equação como.2x + 4 = 8 + x,Transformamos sua escritura até isolarmos a incógnita em um dos dois membros.As transformações mais importantes estão descritas a seguir.Transformação TE1Dada uma equação aos seus dois membros podemos somar (ou subtrair) um mesmonúmero. A equação assim obtida é equivalente à equação dadaTransformação TE2Dada uma equação, seus dois membros podem ser multiplicados (ou divididos) por ummesmo número diferente de zero. A equação assim obtida é equivalente à equaçãodada.Equações do 1º grau Professor: Nonato Mesquita.
  5. 5. Apostila de Matemática.Equação do 1º grauUma equação do 1º grau na incógnita x é qualquer equação que pode ser escrita naformaax + b = 0(a e b são números reais e a ≠ 0)Equação - produtoSabemos que, se a e b são números com a. b = 0, então a = 0 ou b = 0. Esse resultadoestabelece que se o produto de dois ou mais fatores é zero então ao menos um dosfatores é zero.Essa propriedade nos dá um poderoso método para a resolução de equações. Porexemplo, vamos resolver a equação.4x2 + 8x = 0Inicialmente, fatoramos o 1º membro da equação:4x. x + 4x. 2 = 04x. (x + 2) = 0Sendo zero o produto de 4x por x + 2, então ao menos um desses fatores deve ser zero.Igualamos a zero cada fator e resolvemos as equações em x assim obtidas: 4x = 0 ou x+2=0 x=0 x = -2Ambos os valores encontrados 0 e -2 são raízes da equação 4x 2 + 8x = 0; daí, seuconjunto-solução é.S = {0; -2}.Resolução de um problema com auxílio de uma equaçãoHá problemas, mesmo problemas de nosso dia a dia, que podem ser resolvidos comauxílio de equações, desde que seus enunciados sejam convenientemente traduzidos nalinguagem da matemática.Para essa resolução, devemos organizar o nosso trabalho em etapas. Professor: Nonato Mesquita.
  6. 6. Apostila de Matemática.1ª) Leitura atenciosa do enunciado.2ª) Escolha das incógnitas.3ª) Tradução do enunciado em equações.4ª) Resolução dessas equações.5ª) Conclusão, na qual confrontamos os resultados encontrados com as limitaçõesque o enunciado impõe às incógnitas.ExemploUma pessoa dispõe de material para construir 28 m de cerca. Com esse material eledeseja construir um canil com a forma de um retângulo, de modo que o comprimentoseja maior que a largura em 6 m. Quais devem ser as dimensões do canil?O perímetro do retângulo (soma das medidas de seus lados) é 28. Se escolhermos x pararepresentar a largura do canil, x + 6 representa o seu comprimento.O perímetro do retângulo pode ser expresso por 2x + 2 (x + 6) ou por 28.Então,2x + 2 (x + 6) = 28Resolvemos à equação obtida.Daí, x + 6 = 10As dimensões do canil são 6 m e 10 m. Porcentagem Professor: Nonato Mesquita.
  7. 7. Apostila de Matemática.5% éPara dividir um número por 100 podemos, em sua representação, deslocar a vírguladuas casas (posições) para a esquerda. Então,5% é = 0,05Também,37,5% = = 0,375 %= = = 0,005Definiçãox%=Algumas situações Tradução em linguagem Situação Exemplo matemática tomar x% de A x % de A = .A 12% de 50 é . 50 = 6 Se 50 aumentar de 12% obtém-se A + x% de A = aumentar A de x% A+ . A = A. . 50 = 1,12. 50 = 56 Se 50 diminuir de 12% obtém-se A - x% de A = Diminuir A de x% A- . A = A. . 50 = 0,88. 50 = 44Equação do 2º Grau Professor: Nonato Mesquita.
  8. 8. Apostila de Matemática.DefiniçãoUma equação do 2º grau é da formaax2 + bx + c = 0,onde x é a incógnita, a, b, c são números reais com a ≠ 0.Por exemplo, na equação do 2º grau -2x 2 + 3x + 2 = 0 temos a = -2, b = 3 e c = 2. Osnúmeros a, b e c são os coeficientes da equação; c é o seu termo independente.As equações incompletasSe na equação do 2º grau ax2 + bx + c = 0 temos b = 0 ou c = 0, ela diz incompleta. Porexemplo, são incompletas as equações.3x2 - 2x = 0 (c = 0)9x2 - 4 = 0 (b = 0)Uma equação incompleta como 3x2 - 2x = 0 pode ser resolvida fatorando seu 1ºmembro:3x2 - 2x = 03x. x - 2x. x = 0X. (3x -2) = 0x = 0 ou 3x - 2 = 0 3x = 2 x=S = {0; }Resolvemos à equação incompleta 9x2 - 4 = 0, isolando x2 no seu 1º membro:9x2 - 4 = 09x2 = 4x2 =x= ou x = - Professor: Nonato Mesquita.
  9. 9. Apostila de Matemática.S ={ ;- }Resolução da equação do 2º grauFórmulaSeja a equação do 2º grau ax2 + bx + c = 0.Construímos o número∆ = b2 - 4acAo número ∆ dá-se o nome de discriminante da equação.Se representamos com S o conjunto-solução da equação temos: A equação não admite solução;∆ < 0 seu conjunto-solução é vazio: S=∅ A equação tem uma única raiz:∆ =0 x= . S={ } A equação tem duas raízes: x =∆>0 S={ }Observação:O desenho ∆ é uma letra do alfabeto grego que se lê "delta".Soma e produto das raízes de uma equação do 2º grauPropriedade Professor: Nonato Mesquita.
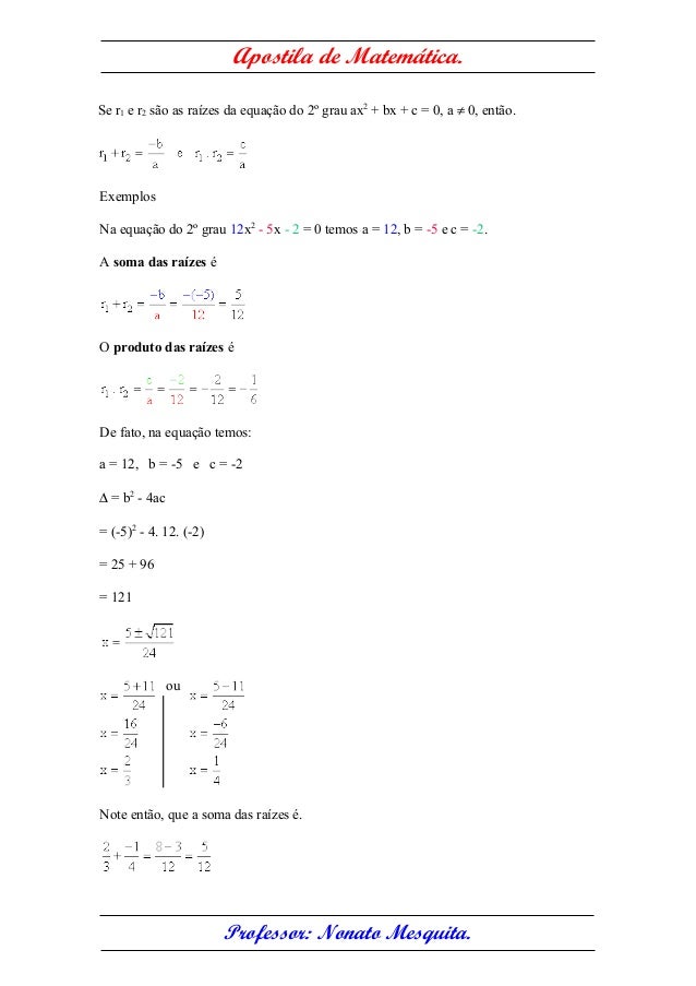
  10. 10. Apostila de Matemática.Se r1 e r2 são as raízes da equação do 2º grau ax2 + bx + c = 0, a ≠ 0, então.ExemplosNa equação do 2º grau 12x2 - 5x - 2 = 0 temos a = 12, b = -5 e c = -2.A soma das raízes éO produto das raízes éDe fato, na equação temos:a = 12, b = -5 e c = -2∆ = b2 - 4ac= (-5)2 - 4. 12. (-2)= 25 + 96= 121 ouNote então, que a soma das raízes é. Professor: Nonato Mesquita.
  11. 11. Apostila de Matemática.e o produto é . Professor: Nonato Mesquita.
  12. 12. Apostila de Matemática. Progressões Aritméticas e GeométricasSeqüênciaÉ uma expressão do termo geral an em função de n (índice do termo da seqüência).A formula de recorrência fornece o 1º termo e expressa um termo qualquer a n+1, emfunção do seu antecedente an.Ex: a1 = 3 an = 2 + an+1 {3, 5, 7, 9 ...}Progressão AritméticaDefiniçãoÉ uma seqüência onde somando uma constante r ( denominada razão ) a cada termo,obtem–se o termo seguinte.Assim: a2 = a1 + r a3 = a2 + r = a1 + 2r a4 = a3 + r = a1 + 3r . . . . an = a1 + (n - 1) . r, que é conhecida como a Fórmula do Termo Geral.Propriedades(1ª) Cada termo, a partir do segundo, é média aritmética entre o termo que o precede e otermo que o sucede.(2ª) A soma de dois termos eqüidistante dos extremos é igual à soma dos extremos.A partir desta propriedade demonstra-se que a soma dos termos de uma P.A. é dadapor: Sn = .n Professor: Nonato Mesquita.
  13. 13. Apostila de Matemática.Interpolação Aritmética A e C são os extremos da PA e k é o número de termos a ser interpolado.DefiniçãoÉ uma seqüência onde multiplicando cada termo por uma constante q (denominadarazão), obtém-se o termo seguinte.Assim: a2 = a1. q a3 = a2. q = a1. q2 a4 = a3 . q = a1. q3 . . . an = a1 . qn-1 que é a Fórmula do Termo Geral.Propriedades(1ª) Cada termo, a partir do segundo, é média geométrica entre o termo que o precede eo termo que o sucede.(2ª) O produto de dois termos eqüidistante dos extremos é igual ao produto dosextremos.A partir desta propriedade demonstra-se que o produto dos termos de uma P.G. é dadopor: 1.Se q = 1 então sn = n . a1( 4ª ) Se –1 < q < 1e n tende a infinito, an tende a zero, e Sn a um número S chamado limite da soma obtidopor S = . Professor: Nonato Mesquita.
  14. 14. Apostila de Matemática.Interpolação geométricaonde B e A são os extremos da PG,K = número de termos que se deseja interpolar. Professor: Nonato Mesquita.
  15. 15. Apostila de Matemática. MatrizesConceito:Matriz é uma tabela constituída por números ou letras dispostos em “m” linhas por “n”colunas.Exemplo:Obs. 1. A matriz acima tem 2 linhas por 3 colunas.Obs. 2. A representação genérica da matriz M é M = (a ij) nxp onde aij é o elemento queocupa a linha “i” e a coluna “j”.Para a matriz acima, temos, por exemplo, a23 = p e a12 = 5.Tipos de MatrizesClassificação de matrizesMatriz Nula: É a matriz que tem todos os seus elementos iguais à zero.Matriz quadrada: É a matriz que tem o numero m de linhas igual ao número n decolunas.Obs.: A matriz nxn é denominada matriz quadrada de ordem n.Diagonal principal e diagonal secundária: Seja A=Os elementos a11 = 1, a22 = 5 e a33 = 9 formam a diagonal principal e os elementos a 13 =3, a22 = 5 e a31 = 7 formam a diagonal secundária.Matriz diagonal: É a matriz que apresenta todos os elementos que não pertencem àdiagonal principal iguais a zero.Exemplo: Professor: Nonato Mesquita.
  16. 16. Apostila de Matemática.Matriz Identidade ou Unidade: É toda matriz quadrada onde os elementos da diagonalprincipal são iguais a um e os demais elementos são iguais à zero.Exemplo:I2 = I3 =Matriz transposta: Dada uma matriz A = (aji) mxn, chama-se transposta de A a matriz At= (aji)mxn, tal que aji = aij, para todo i e todo j, ou seja, as colunas de A t sãoordenadamente iguais às linhas de A.Exemplo:Matriz SimétricaÉ toda matriz quadrada A tal que At = A.Exemplo:A= é simétrica, pois At = A.Matriz Anti-simétricaÉ toda matriz quadrada A tal que At = -AA= é anti-simétrica, pois At = -AOperações com Matrizesa) Adição e SubtraçãoA e B sendo matrizes do mesmo tipo, tem por adição à matriz onde cij = aij bij.b) Multiplicação por um nº. realSendo h = ( aij ) e . h = ( aij)nxp Professor: Nonato Mesquita.
  17. 17. Apostila de Matemática.Exemplo:c) Multiplicação entre matrizesPara ser possível efetuar o produto entre duas matrizes, o número de colunas daprimeira matriz deve ser igual ao número de linhas da segunda matriz.Somam-se os produtos dos elementos das linhas da primeira matriz pelos elementoscorrespondentes das colunas da 2º matriz.Disposição prática para o cálculo do produto: Considerando as matrizes A e B edispondo conforme esquema abaixo, cada elemento cij é obtido a partir da linha de A ecoluna de B que nela se “cruzam”. Assim, por exemplo: c12= 1. 7 + 3. 9 = 34.Obs. somente existe o produto de uma matriz A por outra B se o número de colunas deA é igual ao número de linhas de B. Se existe um produto de A por B, o tipo da matrizproduto é dado pelo número de linhas de A e pelo número de colunas de B. Pode existiro produto de A por B, mas não existir o produto de B por A.Equações MatriciaisVeja o modelo: sendo A e B matrizes de mesma ordem, calcular x em função de A e B. 2x - A = 3 BAdicionando-se a matriz A pela direita nos 2 membros: 2x - A + A = 3 B + A 2x = 3 B + AMultiplicando-se os dois membros por 1/2: Professor: Nonato Mesquita.
  18. 18. Apostila de Matemática.Matriz InversaChama-se matriz inversa da matriz quadrada A e indica-se por A -1, à matriz tambémquadrada, que, se existir, satisfaz a condição: A. A-1 = A-1. A = InOnde In é a matriz unidade ou identidade.Exemplo:Dada a Matriz A = sua inversa é: , pois. Professor: Nonato Mesquita.
  19. 19. Apostila de Matemática.Cadernos de Exercícios. Professor: Nonato Mesquita.
  20. 20. Apostila de Matemática. Lista de ExercícioAssunto: Razão e Proporção.01. Determine X, Y e Z de modo que as sucessões (15, X, Y, Z) e (3, 8,10,12) sejam diretamente proporcionais:02. Determine X, Y e Z de modo que as sucessões (X, 32, Y, Z) e (3, 4,7,9) sejam diretamente proporcionais:03. Determine X e Y de modo que as sucessões (20, X, Y,) e (3,4,5) sejaminversamente proporcionais:04. Determine X, Y e Z de modo que as sucessões (6, X, Y, Z) e(20,12,10,6) sejam inversamente proporcionais:05. Determine X e Y de modo que as sucessões (3, X, Y) e (4,6,12) sejaminversamente proporcionais:06. Dividir 625 em partes diretamente proporcionais a 5,7 e 13.07. Dividir 1200 em partes diretamente proporcionais a 26,34 e 40.08. Dividir 96 em partes diretamente proporcionais a 1,2; 2 /5; e 8.09. Dividir 21 em partes inversamente proporcionais a 3 e 4:10. Dividir 444 em partes inversamente proporcionais a 4, 5 e 6:11. Dividir 1090 em partes inversamente proporcionais a 2 /3; 4 /5; e 7 /8:12. Dividir 108 em partes diretamente proporcionais a 2 e 3 einversamente proporcionais a 5 e 6:13. Dividir 560 em partes diretamente proporcionais a 3,6 e 7 einversamente proporcionais a 5,4 e 2:15. Dois irmãos repartiram uma herança em partes diretamenteproporcionais às suas idades. Sabendo que cada um deles ganhou,respectivamente, R$ 3.800,00 e R$ 2.200,00, e que as suas idades somam60 anos, qual é a idade de cada um deles? Professor: Nonato Mesquita.
  21. 21. Apostila de Matemática. Lista de ExercícioAssunto: Regra de Três.01. Se três quilos de queijo custam R$ 24,60 quanto custarão cincoquilos deste queijo?02. Se três quilos de queijo custam R$ 24,60 quanto deste queijo podereicomprar com R$ 53,30?03. Cem quilogramas de arroz com casca fornecem 96 kg de arroz semcasca. Quantos quilogramas de arroz com casca serão necessários paraque tenhamos 300 kg de arroz sem casca?04. Em 8 dias 5 pintores pintam um prédio inteiro. Se fossem trêspintores a mais em quanto tempo pintariam o mesmo prédio?05. Um veículo trafegando com uma velocidade média de 60 km/h faz umdeterminado percurso em duas horas, em quanto tempo um outroautomóvel faria o mesmo percurso a uma velocidade de 80 km/h?06. Uma roda-d’água dá 390 voltas em 13 minutos. Quantas voltas terádado em uma hora e meia?07. Duas rodas dentadas estão engrenadas uma na outra. A menor delastem 12 dentes a maior 78 dentes. Quantas voltas terá dado a menorquando a maior tiver dado 10 voltas?08. Qual é a altura de um edifício que projeta uma sombra de 12 m, se nomesmo instante uma estaca vertical de um metro e meio projeta umasombra de meio metro?09. Se um relógio adianta 18 minutos por dia quanto tempo teráadiantado em 4 horas e 40 minutos?10. Um comerciante comprou duas peças de um mesmo tecido. A maiscumprida custou R$ 660, 00, enquanto a outra 12 metros mais curta,custou R$ 528,00. Quanto media a mais cumprida? Professor: Nonato Mesquita.
  22. 22. Apostila de Matemática.11. Um rato está 30 metros à frente de um gato que o persegue.Enquanto o rato corre 8 metros, o gato corre 11 metros. Qual a distanciaque o gato deverá percorrer para alcançar o rato?12. Um gato persegue um rato. Enquanto o gato dá 2 pulos o rato dá três,mais cada pulo do gato vale dois pulos de rato. Se a distancia inicialentre eles é de 30 pulos de gato, quantos pulos o gato terá dado atéalcançar o rato?13. Um gato está 72 metros à frente de um cão que o persegue. Enquantoo gato corre 7 m, o cão corre 9 m. Quantos metros o cão deverá percorrerpara diminuir a metade da terça parte que o separa do gato?14. Um gato e meio come uma sardinha e meia em um minuto e meio.Em quanto tempo nove gatos comerão uma dúzia e meia de sardinhas? Professor: Nonato Mesquita.
  23. 23. Apostila de Matemática. Lista de ExercícioAssunto: Equação do 2º Grau.01. Um grupo de amigos encontrou-se em um bar. Ao ser apresentado aconta de R$ 240, 00, quatro deles afirmaram não dispor de dinheiro ecom isso cada um dos demais pagou a quantia adicional de R$ 5,00.a) Quantas pessoas havia no grupo?b) Que quantia coube a cada dos que pagaram?02. Ache dois números inteiros positivos e consecutivos tais que a somade seus quadrados seja igual a 481.03. A diferença entre o quadrado e o triplo de um mesmo número naturalé igual a 54. Determine esse número:04. Determine dois números pares, positivos e consecutivos cujo produtoseja 120.05. A soma de certo número inteiro com seu inverso é igual a 50/7. Qualé esse número?06. Determine dois números inteiros e consecutivos tais que a soma deseus inversos seja 5/6:07. A soma de um número natural com o seu quadrado é igual a 72.Determine esse número:08. Decomponha o número 21 em duas parcelas tais que o produto entreelas seja igual a 120.09. Calcular m na equação mx2-3x+(m-1) =0 , de modo que uma de suasraízes seja igual a 1.10. Determine m na equação 2x2-mx+x+8 =0, de modo que a soma desuas raízes seja igual a 5.11. Verifique se -2 é raiz da equação 2x2-5x-18=0.12. Usando a soma e o produto, encontre as raízes das equações abaixo: a) x2+15x+36=0. b) x2+11x-12=0. c) –x2+37x-36=0.d) x2-x-12=0. e) x2+7x+12=0. f) x2-9x-36=0.g) x2+37x-36=0. Professor: Nonato Mesquita.
  24. 24. Apostila de Matemática. Lista de ExercícioAssunto: Exponencial e Logaritmo. x x− 4 - 2 2 1 401. O triplo do valor de x que satisfaz a equação = é: 3 3 2a) 2. b)6. c)0. d) 9. e)3.02. A soma dos zeros da função f(x) = 2x-1- 3 2 x −1 +2 é:a) 1,5. b) 2,5. c)3,0. d) 4,0. e) 5,0. a03. Seja a função f, de R R, definida por f(x) = 53x. Se f(a) =8. Então f(- ) é: 304. Sob certas condições, o número de bactérias B de uma cultura, em função dotempo t, medido em horas, é dado por B(t) = 2 t/12. Isso significa que 5 dias após a horazero , o número de bactérias é :a)1024 b)1120 c)512 d)20 e) 621.05. O conjunto solução da equação 3x+31-x= 4, é:a) {0, -2}. b) {0,2}. c) {0, -1}. d) {0,1}. e) {1,2}.06. A solução da equação 3x+3x+1+3x+2=39, admite:a) Solução única.b) Possui duas raízes.c) A solução que satisfaz a equação é o número 5.d) As raízes da equação são respectivamente 1 e 2.e) Não admite solução.07. Resolva a equação: 25x – 7.5x +10 = 0.08. Resolva as exponenciais:a) 9x+1= 27 . b) 3x=-3. c) 7x=0.d) 1x=18. e) 4. 8x+1= 16x+2.09. Encontre o valor de x na equação 10x+ 10x-1=11x10. Usando a definição, calcule: 1a) log3 27 b) log 1 32 c) log 100.000 d) log 1 e) log 2 0,25. 2 5 511. Encontre o valor de a nas igualdades: 1a) log a 8 =3. b) log a 81 = 4. c) log a 1=0. d) log a =2. 1612. Encontre o valor de X:a) log2 x =5. b) log (x+1)=2. Professor: Nonato Mesquita.
  25. 25. Apostila de Matemática.13. Encontre os valores de X para os quais é possível determinar:log x-2 (x2-4x-5). 114. Se 16x-1= , então log8 x é igual a: 8 4 2 1 2 4a) - . b) - . c) - . d) . e) . 3 3 3 3 315. O número real X que satisfaz a equação log2 (12-2x) =2x é:a) log2 5. b) log2 3. c) 2. d) log2 5 . e) log2 3.16. A função y= log (x2-7x+2k+2) é definida para todo x, em que condições?17. Calcule o valor de:a) 7log7 3. b) 3 4+log3 2.c) log (log 10)+3 1+log3 3. x18. O logaritmo, em uma base X, do número y=5+ é 2. Então x = ? 2 3 4 5a) . b) . c) 2. d) 5. e) . 2 3 219. Encontre x, sendo log7 [log5(log2X)]=0.20. Acrescentando 16 unidades a um número, seu logaritmo na base 3 aumento em 2unidades. Esse número é:a)5. b) 8. c) 2 d) 4. e) 3.21. Se x + y = 20 e x – y =5 então log (x2 – y2), vale: ab22. Sendo log a=11, log b= 0,5, log c=6 e log 3 =X, podemos afirmar que X vale: c23. Calcule o valor de (log9 2). (log2 5). (log5 3) Lista de ExercícioAssunto: Progressão Aritmética. Professor: Nonato Mesquita.
  26. 26. Apostila de Matemática.01. Determine o valor de x para que as seqüências dadas sejam P. A:a) (a, ax, 5 a): b) ( x-4, 2x, x+2): c) ( a+b, x, a-b):02. Encontre o valor de x na seqüência [log 2 8, log2(x+2), log2(x+7)]para que os termos, nessa ordem, representem uma P. A:03. Quantos números inteiros existem, de 100 a 500, que não sãodivisíveis por 7?04. Quantos números inteiros compreendidos entre um e cinco mil sãodivisíveis por três e por sete ao mesmo tempo?05. As medidas dos ângulos de um triângulo estão em P. A de razão 20.Calcule as medidas dos ângulos deste triângulo:06. Escreva uma PA crescente de três termos, sabendo que a soma deseus termos é igual a 45 e o produto é igual a 3000:07. Numa P. A de sete termos, a soma dos dois primeiros é igual a 14 e ados dois últimos é igual a 54. Calcule a razão e o último termo dessa P A:08. Determine cinco números que forma uma PA crescente, sabendo queo produto dos extremos é igual a 28 e a soma dos outros três é igual a 24:09. Interpole seis meios aritméticos entre 100 e 184.10. Quando inserimos 10 meios aritméticos entre 2 e 79, qual é a razãoda P.A obtida?11. Calcule a soma dos 50 primeiros termos da PA (2, 6,...).12. Determine a soma dos n primeiros termos da P A (2n+1, 2n+3,...).13. A soma dos 10 termos de uma P A é 200. Se o primeiro termo dessaP. A é 2, calcule a razão.14. Um teatro possui 12 poltronas na primeira fileira, 14 na segunda e 16na terceira; as demais fileiras se compõem na mesma seqüência.Quantas fileiras serão necessárias para que o teatro possua 620poltronas? Professor: Nonato Mesquita.
  27. 27. Apostila de Matemática.15. A soma das medidas dos ângulos interno de um triângulo é 180º.Num triângulo, as medidas dos ângulos estão em PA e o menor dessesângulos mede 40º. Calcule as medidas dos outros dois ângulos.16. Dada a equação (x+2)+(x+6)+...+(x+26)=105.Encontre o valor de xpara que os termos do 1º membro estejam em P A:17. Encontre o valor de x na igualdade x+2x+...+20x=6300, sabendo queos termos do 1º membro estão em PA. Lista de Exercício.Assunto: Progressão Geométrica. Professor: Nonato Mesquita.
  28. 28. Apostila de Matemática.01. São dados quatro números x, y, 6 e 4, nessa ordem. Sabendo que ostrês primeiros estão em P. A e os três últimos estão em PG, Determine x ey:02. A seqüência (a, b, c) é uma progressão geométrica e a seqüência (a-1,b, c) é uma progressão aritmética. Sabendo que a + b + c =19, determineos valores de a, b e c.03. Calcule x e y sabendo que a seqüência (x, y, 9) é uma P. A e aseqüência (x, y, 12) é uma PG crescente. 1 1 104. A seqüência (x, y, z) é uma P A e a seqüência ( x , y , x + z ) é umaprogressão geométrica, nessas condições prove que y =2x.05. A seqüência (a, b, c) é uma P A e a seqüência (a, b, c+1) é uma PG.Se a + b + c = 18, escreva a P. A., sabendo que ela é crescente.06. A seqüência (a1, a2, a3, a4) é uma P. A de razão 4 e a seqüência (b 1, b2,b3, b4 )é uma P G de razão 4. Sabendo que a4=b3 e a1=b2, escreva a P. A e aP G.07. Sabendo que os números 2, log x, log y, nessa ordem, estãosimultaneamente em P. A e em PG, calcule x e y.08. Dada à seqüência (2, 5, 10, 17, 26,...) para todo n € N*, seu termogeral é dado por: n +1a) an =n+1. b) an = (n+1)2. c) an = n2+1. d) an = n . e) an = n2-1. Professor: Nonato Mesquita.
  29. 29. Apostila de Matemática.01. São dados quatro números x, y, 6 e 4, nessa ordem. Sabendo que ostrês primeiros estão em P. A e os três últimos estão em PG, Determine x ey:02. A seqüência (a, b, c) é uma progressão geométrica e a seqüência (a-1,b, c) é uma progressão aritmética. Sabendo que a + b + c =19, determineos valores de a, b e c.03. Calcule x e y sabendo que a seqüência (x, y, 9) é uma P. A e aseqüência (x, y, 12) é uma PG crescente. 1 1 104. A seqüência (x, y, z) é uma P A e a seqüência ( x , y , x + z ) é umaprogressão geométrica, nessas condições prove que y =2x.05. A seqüência (a, b, c) é uma P A e a seqüência (a, b, c+1) é uma PG.Se a + b + c = 18, escreva a P. A., sabendo que ela é crescente.06. A seqüência (a1, a2, a3, a4) é uma P. A de razão 4 e a seqüência (b 1, b2,b3, b4 )é uma P G de razão 4. Sabendo que a4=b3 e a1=b2, escreva a P. A e aP G.07. Sabendo que os números 2, log x, log y, nessa ordem, estãosimultaneamente em P. A e em PG, calcule x e y.08. Dada à seqüência (2, 5, 10, 17, 26,...) para todo n € N*, seu termogeral é dado por: n +1a) an =n+1. b) an = (n+1)2. c) an = n2+1. d) an = n . e) an = n2-1. Professor: Nonato Mesquita.
  30. 30. Apostila de Matemática.01. São dados quatro números x, y, 6 e 4, nessa ordem. Sabendo que ostrês primeiros estão em P. A e os três últimos estão em PG, Determine x ey:02. A seqüência (a, b, c) é uma progressão geométrica e a seqüência (a-1,b, c) é uma progressão aritmética. Sabendo que a + b + c =19, determineos valores de a, b e c.03. Calcule x e y sabendo que a seqüência (x, y, 9) é uma P. A e aseqüência (x, y, 12) é uma PG crescente. 1 1 104. A seqüência (x, y, z) é uma P A e a seqüência ( x , y , x + z ) é umaprogressão geométrica, nessas condições prove que y =2x.05. A seqüência (a, b, c) é uma P A e a seqüência (a, b, c+1) é uma PG.Se a + b + c = 18, escreva a P. A., sabendo que ela é crescente.06. A seqüência (a1, a2, a3, a4) é uma P. A de razão 4 e a seqüência (b 1, b2,b3, b4 )é uma P G de razão 4. Sabendo que a4=b3 e a1=b2, escreva a P. A e aP G.07. Sabendo que os números 2, log x, log y, nessa ordem, estãosimultaneamente em P. A e em PG, calcule x e y.08. Dada à seqüência (2, 5, 10, 17, 26,...) para todo n € N*, seu termogeral é dado por: n +1a) an =n+1. b) an = (n+1)2. c) an = n2+1. d) an = n . e) an = n2-1. Professor: Nonato Mesquita.
  31. 31. Apostila de Matemática.01. São dados quatro números x, y, 6 e 4, nessa ordem. Sabendo que ostrês primeiros estão em P. A e os três últimos estão em PG, Determine x ey:02. A seqüência (a, b, c) é uma progressão geométrica e a seqüência (a-1,b, c) é uma progressão aritmética. Sabendo que a + b + c =19, determineos valores de a, b e c.03. Calcule x e y sabendo que a seqüência (x, y, 9) é uma P. A e aseqüência (x, y, 12) é uma PG crescente. 1 1 104. A seqüência (x, y, z) é uma P A e a seqüência ( x , y , x + z ) é umaprogressão geométrica, nessas condições prove que y =2x.05. A seqüência (a, b, c) é uma P A e a seqüência (a, b, c+1) é uma PG.Se a + b + c = 18, escreva a P. A., sabendo que ela é crescente.06. A seqüência (a1, a2, a3, a4) é uma P. A de razão 4 e a seqüência (b 1, b2,b3, b4 )é uma P G de razão 4. Sabendo que a4=b3 e a1=b2, escreva a P. A e aP G.07. Sabendo que os números 2, log x, log y, nessa ordem, estãosimultaneamente em P. A e em PG, calcule x e y.08. Dada à seqüência (2, 5, 10, 17, 26,...) para todo n € N*, seu termogeral é dado por: n +1a) an =n+1. b) an = (n+1)2. c) an = n2+1. d) an = n . e) an = n2-1. Professor: Nonato Mesquita.

×