Embed presentation
Download as PDF, PPTX
























































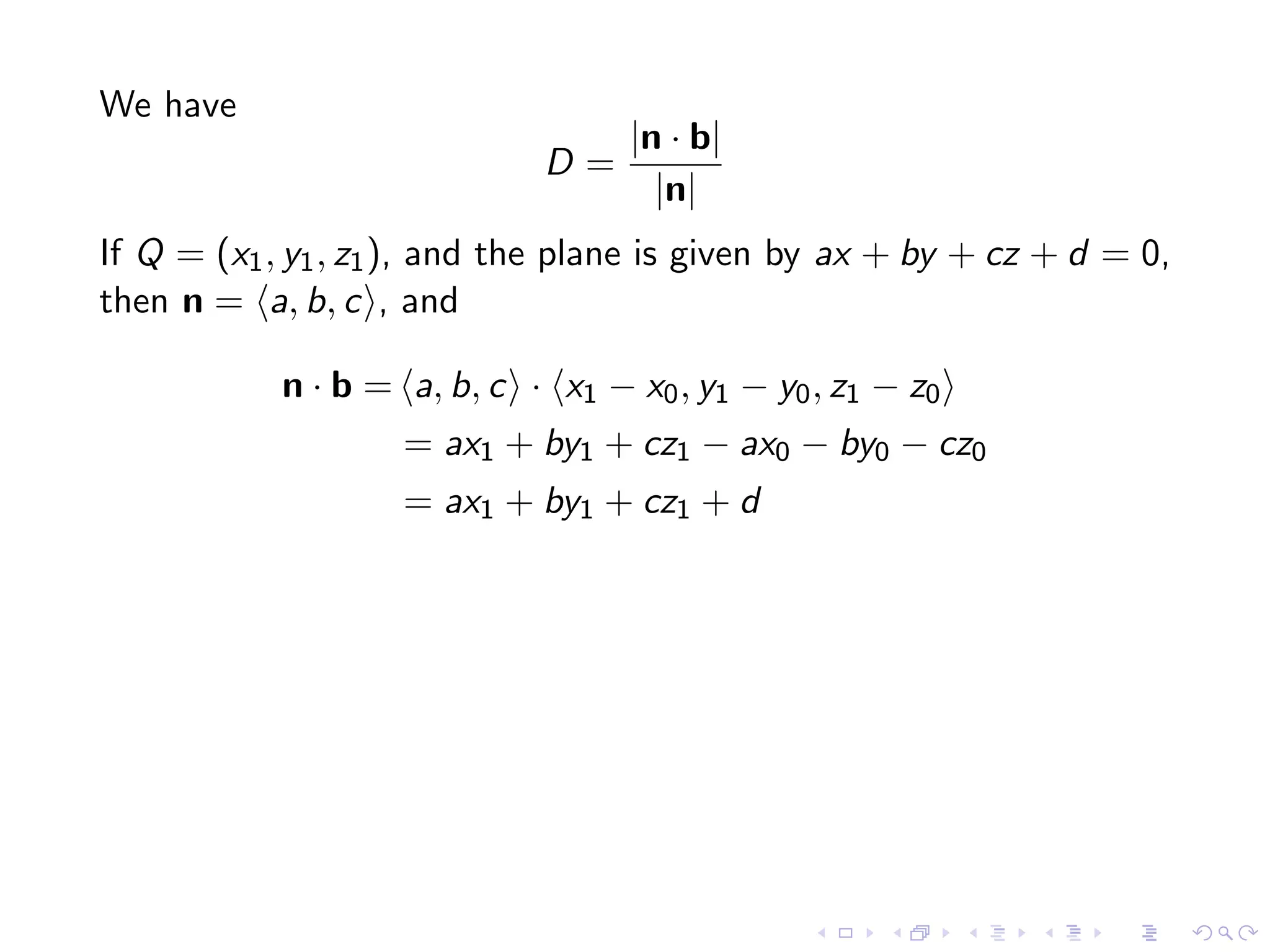
The document discusses equations of lines and planes, focusing on both flatland and spaceland geometries. It includes quizzes to test understanding of concepts related to parallel and perpendicular lines and planes with numerous true/false statements. Additionally, it covers the vector, parametric, and symmetric equations for lines, as well as the equations for planes defined by normal vectors.






















































