Successfully reported this slideshow.
We use your LinkedIn profile and activity data to personalize ads and to show you more relevant ads. You can change your ad preferences anytime.
ESTABILIDAD DE CUERPOS FLOTANTES
CURSO: MECANICA DE FLUIDOS I
CODIGO DEL CURSO: HH223
SECCION: K
PROFESOR: MALDONADO CONTR...
RESUMEN
El objetivo de este experimento fue determinar experimentalmente la
estabilidad de un cuerpo flotante, mediante la...
INTRODUCCION
Estudiar la estabilidad de los cuerpos flotantes es muy importante en la
Mecánica de Fluidos y aún más para l...
METODOS Y MATERIALES
 Barcaza
Una barcaza de metal de forma rectangular que flota libremente, en
agua y de un vástago ver...
PROCEDIMIENTO DEL EXPERIMENTO
1) Definimos un sistema de coordenadas con origen en el cruce de los
ejes de deslizamiento d...
RESULTADOS Y DISCUSIÓN
Tabla N°3. Datos de masa
Masa (g)
Pesa de
deslizamiento
horizontal
200
Pesa de
deslizamiento
vertic...
a) Realice la deducción de las fórmulas necesarias.
 Tomamos momentos en el centro de empuje (para eliminar la
componente...
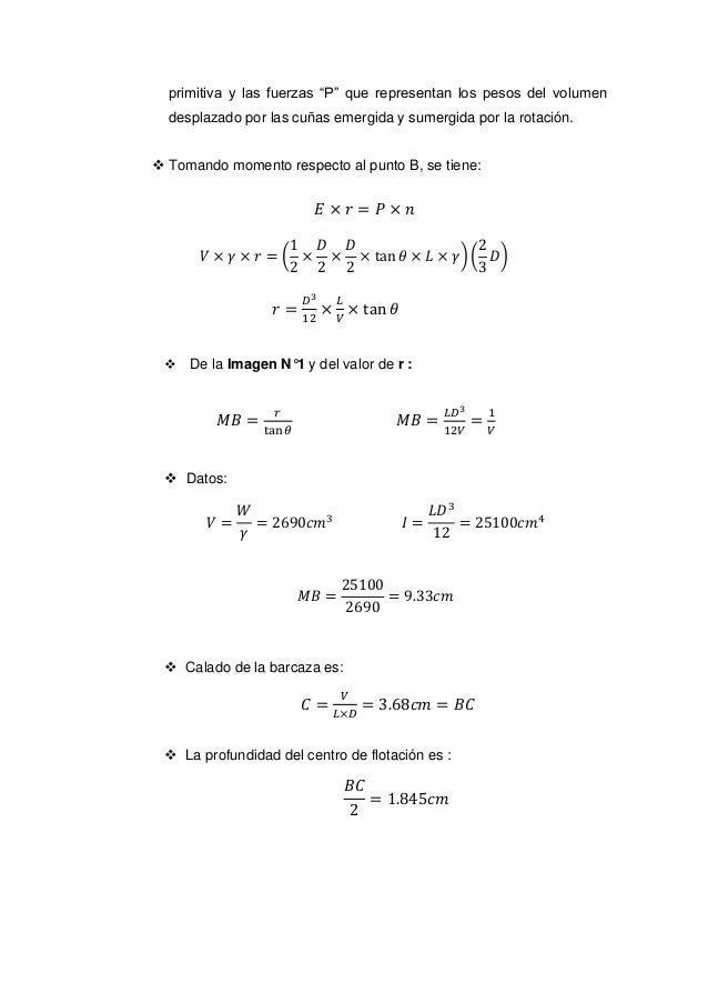
primitiva y las fuerzas “P” que representan los pesos del volumen
desplazado por las cuñas emergida y sumergida por la rot...
b) Definir:
 Cuerpo flotante:
Es aquel cuerpo que consigue equilibrar su peso con el peso del
volumen de líquido que desp...
 Centro de flotación: Al inclinarse un barco longitudinalmente, lo
hace girando sobre un eje que pasa por el centro de gr...
0
1
2
3
4
5
6
7
8
- 2.00 4.00 6.00 8.00
Desplazamientodelamasa
horizontal
Altura metacéntrica
Desplazamiento de la masa ho...
 Masa deslizable vertical ( 𝑊𝑣) =500g
Considerando como centro de coordenadas la intersección del
vástago con la regla:
...
0
5
10
15
20
25
- 2.00 4.00 6.00 8.00
Deslizamientodelamasavertical
Altura metacéntrica
Desplazamiento de la masa vertical...
0
1
2
3
4
5
6
7
8
0 2 4 6 8 10
Variacióndelradiometacéntrico
ángulo de carena (°)
variación del radio metacéntrico vs
el ...
-
1.00
2.00
3.00
4.00
5.00
6.00
7.00
8.00
0 2 4 6 8 10
Distanciametacéntrica
Àngulo de carena (°)
Distancia metacéntrica ...
CONCLUSIONES
 De la experimentación se puede notar que manteniendo constante el
centro de gravedad y desplazando la masa ...
Estabilidad de cuerpos flotantes  222
Upcoming SlideShare
Loading in …5
×

Estabilidad de cuerpos flotantes 222

15,007 views

Published on

uni planchas

Published in: Automotive
  • Be the first to comment

Estabilidad de cuerpos flotantes 222

  1. 1. ESTABILIDAD DE CUERPOS FLOTANTES CURSO: MECANICA DE FLUIDOS I CODIGO DEL CURSO: HH223 SECCION: K PROFESOR: MALDONADO CONTRERAS, HUGO PARTICIPANTES:  BUSTAMANTE MAMANI, Qhana Yany 20111187F  DE LA CRUZ GUZMAN, Hellen Josmell 20114532F  RINCON RODRIGUEZ, Angel Martin 20112562E FECHA DE ENTREGA: 01 DE OCTUBRE DEL 2013 FECHA DE LABORATORIO: 24 DE SEPTIEMBRE DEL 2013
  2. 2. RESUMEN El objetivo de este experimento fue determinar experimentalmente la estabilidad de un cuerpo flotante, mediante la medición de las alturas metacéntricas y el ángulo de carena para tres diferentes posiciones del centro de gravedad del cuerpo flotante. El propósito de este reporte es explicar cómo se desarrolló el experimento así como el análisis de los resultados que obtuvimos. En este informe definiremos los conceptos de Plano de flotación, Línea de flotación, Centro de flotación, flotabilidad, empuje y centro de carena, así como los tipos de estabilidad y los tipos de equilibrios de un cuerpo flotante. De este experimento se concluye que mientras mayor sea la altura metacéntrica la barcaza tendrá mayor estabilidad, y esto se logra ubicando el centro de gravedad lo más bajo posible.
  3. 3. INTRODUCCION Estudiar la estabilidad de los cuerpos flotantes es muy importante en la Mecánica de Fluidos y aún más para los ingenieros, quienes son los que aplican estos conceptos en sus diseños. Conociendo esta teoría podremos determinar la seguridad que tiene un cuerpo al flotar sobre un fluido, es decir que el cuerpo este estable o vuelque sobre este. Es por ello, que este experimento se realizó con el fin de determinar experimentalmente la estabilidad de un cuerpo flotante.
  4. 4. METODOS Y MATERIALES  Barcaza Una barcaza de metal de forma rectangular que flota libremente, en agua y de un vástago vertical soportado por cuerdas del que pende un hilo con plomada, que permite leer en grados el ángulo de carena de la barcaza logrado mediante el desplazamiento de una masa de 200gr a lo largo de un riel horizontal transversal a la barcaza, y el centro de gravedad puede ser variado por medio de una masa deslizable de 500gr que puede colocarse en diferentes posiciones a lo largo del vástago.  Marcas centimetradas en las varillas de desplazamiento de las masas Precisión: 1cm - División mínima 1cm  Péndulo con arco transportador Precisión: 1o - Rango: ±15o - División mínima: 1o
  5. 5. PROCEDIMIENTO DEL EXPERIMENTO 1) Definimos un sistema de coordenadas con origen en el cruce de los ejes de deslizamiento de las masas. El eje X fue para el deslizamiento horizontal y el eje Y para el deslizamiento vertical. 2) Con la masa que se desliza por la barra vertical fijamos diferentes posiciones del centro de gravedad del cuerpo flotante. Estas diferentes posiciones de la masa las medimos desde el centro de coordenadas que definimos y las anotamos en los valores de Y. 3) Inicialmente la masa horizontal la colocamos en el origen de coordenadas que definimos anteriormente y medimos el ángulo de carena , el cual debe de ser cero para esta posición, de no ser así se deberá girar un poco la masa vertical sobre su eje hasta conseguir que el ángulo de carena sea cero. 4) Luego para cada posición de la masa que se desliza verticalmente (3 posiciones distintas), procedimos a deslizar la masa horizontal (3 posiciones distintas), medimos este desplazamiento desde el origen de coordenadas y las anotamos en los valores de X. también tomamos nota de cada ángulo de carena para las diferentes posiciones de las masas una vez que el cuerpo alcanza el equilibrio.
  6. 6. RESULTADOS Y DISCUSIÓN Tabla N°3. Datos de masa Masa (g) Pesa de deslizamiento horizontal 200 Pesa de deslizamiento vertical 500 barcaza 3040 Tabla N°4. Datos de deslizamientos y ángulo de carena. Estabilidad de cuerpos flotantes Deslizamiento de la masa vertical (y) Deslizamiento de la masa horizontal (x) Ángulo Carena Y1 = 6cm x = 3cm  = 1.6° X = 5cm  = 2.2° X = 7cm  = 3° Y2 = 11cm X = 3 cm =1.9° X = 5cm =2.9° X =7cm =3.8° Y3 = 22cm X=1.5cm =3.8° X = 3cm =5.9° X =5cm =8.7°
  7. 7. a) Realice la deducción de las fórmulas necesarias.  Tomamos momentos en el centro de empuje (para eliminar la componente de flotación o empuje de agua). 𝑊𝑆 × 𝑙 = 𝑎 × 𝑊ℎ , para el experimento 𝑎 = 𝑋 ; 𝑙 = 𝑀𝐺 sin 𝜃 𝑀𝐺 = 𝑙 sin 𝜃 = ( 𝑊ℎ 𝑊𝑆 ) ( 𝑋 sin 𝜃 )  La distancia entre el centro de flotación “B” y el metacentro “M” se puede determinar considerando el empuje aplicado en el nuevo centro de flotación, como la resultante del empuje en la posición Imagen 1. Representación de la barcaza experimentando una rotación de “  ” grados.
  8. 8. primitiva y las fuerzas “P” que representan los pesos del volumen desplazado por las cuñas emergida y sumergida por la rotación.  Tomando momento respecto al punto B, se tiene: 𝐸 × 𝑟 = 𝑃 × 𝑛 𝑉 × 𝛾 × 𝑟 = ( 1 2 × 𝐷 2 × 𝐷 2 × tan 𝜃 × 𝐿 × 𝛾) ( 2 3 𝐷) 𝑟 = 𝐷3 12 × 𝐿 𝑉 × tan 𝜃  De la Imagen N°1 y del valor de r : 𝑀𝐵 = 𝑟 tan 𝜃 𝑀𝐵 = 𝐿𝐷3 12𝑉 = 1 𝑉  Datos: 𝑉 = 𝑊 𝛾 = 2690𝑐𝑚3 𝐼 = 𝐿𝐷3 12 = 25100𝑐𝑚4 𝑀𝐵 = 25100 2690 = 9.33𝑐𝑚  Calado de la barcaza es: 𝐶 = 𝑉 𝐿×𝐷 = 3.68𝑐𝑚 = 𝐵𝐶  La profundidad del centro de flotación es : 𝐵𝐶 2 = 1.845𝑐𝑚
  9. 9. b) Definir:  Cuerpo flotante: Es aquel cuerpo que consigue equilibrar su peso con el peso del volumen de líquido que desplaza al ser sumergido. Un cuerpo flotante puede presentar equilibrio estable, inestable o neutro.  Equilibrio estable: cuando el par de fuerzas restauradoras devuelve el cuerpo a su posición original. Esto se produce cuando el cuerpo tiene mayor densidad en la parte inferior del mismo, de manera que el centro de gravedad se encuentra por debajo del centro de flotación.  Equilibrio inestable: cuando el par de fuerzas tiende a aumentar el desplazamiento angular producido. Esto ocurre cuando el cuerpo tiene mayor densidad en la parte superior del cuerpo, de manera que el centro de gravedad se encuentra por encima del centro de flotación.  Equilibrio neutro: cuando no aparece ningún par de fuerzas restauradoras a pesar de haberse producido un desplazamiento angular. Podemos encontrar este tipo de equilibrio en cuerpos cuya distribución de masas es homogénea, de manera que el centro de gravedad coincide con el centro de flotación.  Plano de flotación: Plano que divide la obra viva de la obra muerta.  Línea de flotación: Es la línea imaginaria que separa la parte sumergida del casco de un barco de la parte en flotación.  Eje de flotación: Viene a ser el eje que une el centro de gravedad del flotador con el centro de carena (biblioteca sobre ingeniería energética.
  10. 10.  Centro de flotación: Al inclinarse un barco longitudinalmente, lo hace girando sobre un eje que pasa por el centro de gravedad del plano de flotación. Dicho centro se llama “centro de flotación”.  Carena: Es la zona sumergida del casco.  Flotabilidad: Es una de las principales características del buque definiéndose esta como; la fuerza que ejerce el agua sobre la carena del buque para empujarlo fuera de ella.  Centro de carena o centro de empuje: es el centro de gravedad del volumen de agua desplazado por un flotador, para una condición dada. También se conoce con el nombre de centro de empuje, ya que es con fines de estabilidad donde se considera aplicada dicha fuerza.  Empuje: es una fuerza que aparece cuando se sumerge un cuerpo en un fluido. El módulo de ésta viene dado por el peso del volumen del fluido desalojado. Esto se conoce como ley o principio de Arquímedes. Variación del centro de carena, debido a rotaciones
  11. 11. 0 1 2 3 4 5 6 7 8 - 2.00 4.00 6.00 8.00 Desplazamientodelamasa horizontal Altura metacéntrica Desplazamiento de la masa horizontal vs altura metacéntrica y=6cm y= 11cm y=22cm c) Gráfica: Deslizamiento de la masa horizontal (x) Vs altura metacéntrica (MG) d) Centro de gravedad del sistema para cada caso: 𝐶𝐺 = 𝑊𝑏 × 𝑌𝑏 + 𝑊𝑉 × 𝑌 𝑊𝑏 + 𝑊𝑉  Masa de barcaza ( 𝑊𝑏) =3040g Y (cm) ° X(cm) MG (cm) 6 1.6 3 6.07 2.2 5 7.36 3 7 7.56 11 1.9 3 5.11 2.9 5 5.58 3.8 7 5.97 22 3.8 1.5 1.28 5.9 3 1.65 8.7 5 1.87 Cuadro N°1. Desplazamiento de la masa horizontal vs altura metacéntrica
  12. 12.  Masa deslizable vertical ( 𝑊𝑣) =500g Considerando como centro de coordenadas la intersección del vástago con la regla:  Posición en el vástago de la masa de barcaza (Yb) = - 9.5cm.  Posición en el vástago de la masa desplazable verticalmente= Y. e) Gráfica: Deslizamiento de la masa horizontal (y) vs altura metacéntrica (MG), para diferentes “x”. Y (cm) ° X(cm) MG (cm) Posición del CG en el vástago (cm) 6 1.6 3 5.07 -7.312.2 5 6.14 3 7 6.31 11 1.9 3 4.27 -6.62.9 5 4.66 3.8 7 4.98 22 3.8 1.5 1.07 -5.055.9 3 1.38 8.7 5 1.56 x (cm) ° y (cm) MG (cm) 3 1.6 6 6.07 1.9 11 5.11 5.9 22 1.65 5 2.2 6 7.36 2.9 11 5.58 8.7 22 1.87 7 3 6 7.56 3.8 11 5.97 11.23 22 2.03
  13. 13. 0 5 10 15 20 25 - 2.00 4.00 6.00 8.00 Deslizamientodelamasavertical Altura metacéntrica Desplazamiento de la masa vertical vs altura metacéntrica x=3cm x=5cm x=7cm f) ¿Cuáles son las aplicaciones en el campo de la ingeniería civil que se le puede dar a la ubicación de la altura metacéntrica? Una de las aplicaciones en el ingeniería civil seria es en la construcción o ampliación de puertos, ya que se necesita mantener estable la barcaza que contiene las maquinarias para realizar el dragado del mar o los levantamientos batimétricos. g) Límite de un cuerpo estable e inestable. Se presenta en el equilibrio indiferente, el sistema puede mantener su configuración o puede indiferentemente pasar a otras configuraciones muy cercanas a la primera y detenerse en cualquiera de ellas. Cuadro N°2. Desplazamiento de la masa vertical vs altura metacéntrica.
  14. 14. 0 1 2 3 4 5 6 7 8 0 2 4 6 8 10 Variacióndelradiometacéntrico ángulo de carena (°) variación del radio metacéntrico vs el ángulo de carena CG=-7.31 CG=-6.6 CG=-5.05 h) Gráfica: Variación del radio metacéntrico vs el ángulo de carena en abscisas y en grados sexagesimal para diferentes posiciones del centro de gravedad. Y (cm) ° MG (cm) Posición del CG en el vástago (cm) 6 1.6 5.07 -7.312.2 6.14 3 6.31 11 1.9 4.27 -6.62.9 4.66 3.8 4.98 22 3.8 1.07 -5.055.9 1.38 8.7 1.56 Cuadro N°3. Variación del radio metacéntrico vs el ángulo de carena.
  15. 15. - 1.00 2.00 3.00 4.00 5.00 6.00 7.00 8.00 0 2 4 6 8 10 Distanciametacéntrica Àngulo de carena (°) Distancia metacéntrica vs ángulo de carena CG=-7.31 CG=-6.6 CG=-5.05 i) Gráfica: Distancia metacéntrica Vs el ángulo de carena, para condiciones similares al del caso anterior. Cuadro N°4. Distancia metacéntrica vs ángulo de carena.
  16. 16. CONCLUSIONES  De la experimentación se puede notar que manteniendo constante el centro de gravedad y desplazando la masa horizontal se puede obtener una mayor estabilidad de la barcaza cuando mayor sea el desplazamiento de dicha masa, ya que se estaría aumentando la altura metacéntrica.  (Ver Cuadro N°1)  Teniendo la masa horizontal en posición constante, las variaciones del centro de gravedad generaran variaciones en la estabilidad de la barcaza. Si bajamos el centro de gravedad aumenta la altura metacéntrica (aumenta la estabilidad) y si subimos el centro de gravedad disminuye la altura metacéntrica (disminuye la estabilidad).  (Ver cuadro N°2)  Manteniendo constante el centro de gravedad se puede notar que a mayor ángulo de carena se presentara una mayor variación del radio metacéntrico, que presentara una mayor velocidad de variación mientras más bajo se ubique el centro de gravedad.  (Ver Cuadro N° 3)  Manteniendo constante el centro de gravedad se puede notar que a mayor ángulo de carena se presentara una mayor distancia metacéntrica, la cual tendrá una mayor velocidad de aumento mientras más bajo se encuentre el centro de gravedad. Notaremos que la estabilidad de la barcaza aumenta mientras aumente la distancia metacéntrica.  (Ver Cuadro N° 4)

×