Successfully reported this slideshow.
We use your LinkedIn profile and activity data to personalize ads and to show you more relevant ads. You can change your ad preferences anytime.

Dr ahmed mdmethod

168 views

Published on

moment distribution method-

Published in: Engineering
  • very nicely explained step by step
       Reply 
    Are you sure you want to  Yes  No
    Your message goes here

Dr ahmed mdmethod

  1. 1. Structural Analysis UNIT 4 MOMENT DISTRIBUTION METHOD Dr. Mohammad Ahmed Hussain, 2nd Year 2nd Sem
  2. 2. Introduction (Method developed by Prof. Hardy Cross in 1932) The method solves for the joint moments in continuous beams and rigid frames by successive approximation. Moment distribution method is basically a displacement method of analysis. This method side steps the calculation of the displacement and instead makes it possible to apply a series of converging corrections that allow direct calculation of the end moments. MOMENT DISTRIBUTION METHOD - INTRODUCTION AND BASIC PRINCIPLES
  3. 3. Basic Principles and definitions Member stiffness factor A clockwise moment MA is applied at A to produce a +ve bending in beam AB. B A MA MB A A RA RB L A MA A B RA RB L AA L EI M  4  AA L EI M  3  Case 1: Far End Fixed Case 2: Far End Hinged Stiffness factor L EI K 4  Stiffness factor L EI K 3 
  4. 4. 2 kN/m 8 kN5 kN 6 m 5m 2.5 m A B C D I 2I I 3 m 2.5 m Fixed end moments
  5. 5. Fixed end moments 8 )5)(8( 8 8 )5)(8( 8 )6( )3)(2)(5( )6( )2)(3)(5( 12 )6)(2( 12 12 )6)(2( 12 2 2 2 2 2 2 2 2 22 22       wl M wl M l wba M l wab M wl M wl M FDC FCD FCB FBC FBA FAB 2 kN/m 8 kN5 kN 6 m 5m 2.5 m A B C D I 2I I 3 m 2.5 m
  6. 6. Fixed end moments kNm wl M kNm wl M kNm l wba M kNm l wab M kNm wl M kNm wl M FDC FCD FCB FBC FBA FAB 5 8 )5)(8( 8 5 8 )5)(8( 8 6.3 )6( )3)(2)(5( 4.2 )6( )2)(3)(5( 6 12 )6)(2( 12 6 12 )6)(2( 12 2 2 2 2 2 2 2 2 22 22       2 kN/m 8 kN5 kN 6 m 5m 2.5 m A B C D I 2I I 3 m 2.5 m
  7. 7. Joint Member Absolute Stiffness Distribution Factor ( k / ∑k ) B BA 4EI/6 BC 4E2I/5 C CB 4E2I/5 CD 4EI/5 Distribution Factors 2 kN/m 8 kN5 kN 6 m 5m 2.5 m A B C D I 2I I 3 m 2.5 m
  8. 8. Joint Member Absolute Stiffness Distribution Factor ( k / ∑k ) B BA 4EI/6 5/17 BC 4E2I/5 12/17 C CB 4E2I/5 2/3 CD 4EI/5 1/3 Distribution Factors 2 kN/m 8 kN5 kN 6 m 5m 2.5 m A B C D I 2I I 3 m 2.5 m
  9. 9. F E M Balance C. O Balance C. O Balance C. O Balance A CB D 5/17 12/17 2/3 1/3 -6.0 6.0 -2.4 3.6 -5.0 +5.0
  10. 10. F E M Balance C. O Balance C. O Balance C. O Balance A CB D 5/17 12/17 2/3 1/3 -6.0 6.0 -2.4 3.6 -5.0 +5.0 -1.06 -2.54 +0.93 +0.47
  11. 11. F E M Balance C. O Balance C. O Balance C. O Balance A CB D 5/17 12/17 2/3 1/3 -6.0 6.0 -2.4 3.6 -5.0 +5.0 -1.06 -2.54 +0.93 +0.47
  12. 12. F E M Balance C. O Balance C. O Balance C. O Balance A CB D 5/17 12/17 2/3 1/3 -6.0 6.0 -2.4 3.6 -5.0 +5.0 -1.06 -2.54 +0.93 +0.47 +0.46 -1.27-0.53 +0.23
  13. 13. F E M Balance C. O Balance C. O Balance C. O Balance A CB D 5/17 12/17 2/3 1/3 -6.0 6.0 -2.4 3.6 -5.0 5.0 -1.06 -2.54 +0.93 +0.47 +0.46 -1.27-0.53 +0.23 -0.14 -0.32 0.85 0.42
  14. 14. F E M Balance C. O Balance C. O Balance C. O Balance A CB D 5/17 12/17 2/3 1/3 -6.0 6.0 -2.4 3.6 -5.0 5.0 -1.06 -2.54 +0.93 +0.47 +0.46 -1.27-0.53 +0.23 -0.14 -0.32 0.85 0.42
  15. 15. F E M Balance C. O Balance C. O Balance C. O Balance A CB D 5/17 12/17 2/3 1/3 -6.0 6.0 -2.4 3.6 -5.0 5.0 -1.06 -2.54 +0.93 +0.47 +0.46 -1.27-0.53 +0.23 -0.14 -0.32 0.85 0.42 +0.42 -0.16-0.07 +0.21
  16. 16. F E M Balance C. O Balance C. O Balance C. O Balance A CB D 5/17 12/17 2/3 1/3 -6.0 6.0 -2.4 3.6 -5.0 5.0 -1.06 -2.54 +0.93 +0.47 +0.46 -1.27-0.53 +0.23 -0.14 -0.32 0.85 0.42 +0.42 -0.16-0.07 +0.21 -0.12 -0.30 0.11 0.05
  17. 17. F E M Balance C. O Balance C. O Balance C. O Balance A CB D 5/17 12/17 2/3 1/3 -6.0 6.0 -2.4 3.6 -5.0 5.0 -1.06 -2.54 +0.93 +0.47 +0.46 -1.27-0.53 +0.23 -0.14 -0.32 0.85 0.42 +0.42 -0.16-0.07 +0.21 -0.12 -0.30 0.11 0.05
  18. 18. F E M Balance C. O Balance C. O Balance C. O Balance A CB D 5/17 12/17 2/3 1/3 -6.0 6.0 -2.4 3.6 -5.0 5.0 -1.06 -2.54 +0.93 +0.47 +0.46 -1.27-0.53 +0.23 -0.14 -0.32 0.85 0.42 +0.42 -0.16-0.07 +0.21 -0.12 -0.30 0.11 0.05 +0.05 -0.15-0.06 +0.025
  19. 19. F E M Balance C. O Balance C. O Balance C. O Balance A CB D 5/17 12/17 2/3 1/3 -6.0 6.0 -2.4 3.6 -5.0 5.0 -1.06 -2.54 +0.93 +0.47 +0.46 -1.27-0.53 +0.23 -0.14 -0.32 0.85 0.42 +0.42 -0.16-0.07 +0.21 -0.12 -0.30 0.11 0.05 +0.05 -0.15-0.06 +0.025 -0.02 -0.03 0.1 0.05
  20. 20. F E M Balance C. O Balance C. O Balance C. O Balance C.O to fixed end A CB D 5/17 12/17 2/3 1/3 -6.0 6.0 -2.4 3.6 -5.0 5.0 -1.06 -2.54 +0.93 +0.47 +0.46 -1.27-0.53 +0.23 -0.14 -0.32 0.85 0.42 +0.42 -0.16-0.07 +0.21 -0.12 -0.30 0.11 0.05 +0.05 -0.15-0.06 +0.025 -0.02 -0.03 0.1 0.05
  21. 21. F E M Balance C. O Balance C. O Balance C. O Balance C.O to fixed end Final Moments A CB D 5/17 12/17 2/3 1/3 -6.0 6.0 -2.4 3.6 -5.0 5.0 -1.06 -2.54 +0.93 +0.47 +0.46 -1.27-0.53 +0.23 -0.14 -0.32 0.85 0.42 +0.42 -0.16-0.07 +0.21 -0.12 -0.30 0.11 0.05 +0.05 -0.15-0.06 +0.025 -0.02 -0.03 0.1 0.05 -0.01 +0.025
  22. 22. F E M Balance C. O Balance C. O Balance C. O Balance C.O to fixed end Final Moments A CB D 5/17 12/17 2/3 1/3 -6.0 6.0 -2.4 3.6 -5.0 5.0 -1.06 -2.54 +0.93 +0.47 +0.46 -1.27-0.53 +0.23 -0.14 -0.32 0.85 0.42 +0.42 -0.16-0.07 +0.21 -0.12 -0.30 0.11 0.05 +0.05 -0.15-0.06 +0.025 -0.02 -0.03 0.1 0.05 -0.01 +0.025 -6.67 +4.66 -4.66 +4.01 -4.01 5.49
  23. 23. Fixed end moments 2 kN/m 8 kN5 kN 6 m 5m 2.5 m A B C D I 2I I 3 m 2.5 m
  24. 24. Fixed end moments kNm wl M kNm wl M kNm l wba M kNm l wab M kNm wl M kNm wl M FDC FCD FCB FBC FBA FAB 5 8 )5)(8( 8 5 8 )5)(8( 8 6.3 )6( )3)(2)(5( 4.2 )6( )2)(3)(5( 6 12 )6)(2( 12 6 12 )6)(2( 12 2 2 2 2 2 2 2 2 22 22       2 kN/m 8 kN5 kN 6 m 5m 2.5 m A B C D I 2I I 3 m 2.5 m
  25. 25. Joint Member Absolute Stiffness Distribution Factor ( k / ∑k ) B BA 3EI/6 BC 4E2I/5 C CB 4E2I/5 CD 3EI/5 Distribution Factors 2 kN/m 8 kN5 kN 6 m 5m 2.5 m A B C D I 2I I 3 m 2.5 m
  26. 26. Joint Member Absolute Stiffness Distribution Factor ( k / ∑k ) B BA 3EI/6 5/21 BC 4E2I/5 16/21 C CB 4E2I/5 8/11 CD 3EI/5 3/11 Distribution Factors 2 kN/m 8 kN5 kN 6 m 5m 2.5 m A B C D I 2I I 3 m 2.5 m
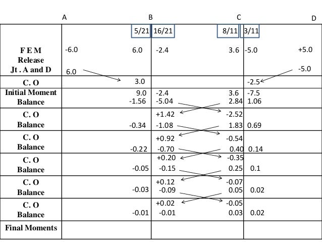
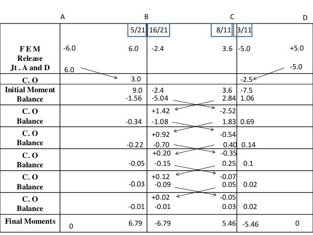
  27. 27. F E M Release Jt . A and D C. O A CB D 5/21 16/21 8/11 3/11 -6.0 6.0 -2.4 3.6 -5.0 +5.0 6.0 -5.0
  28. 28. F E M Release Jt . A and D C. O Initial Moment A CB D 5/21 16/21 8/11 3/11 -6.0 6.0 -2.4 3.6 -5.0 +5.0 6.0 -5.0 3.0 -2.5
  29. 29. F E M Release Jt . A and D C. O Initial Moment Balance A CB D 5/21 16/21 8/11 3/11 -6.0 6.0 -2.4 3.6 -5.0 +5.0 6.0 -5.0 3.0 -2.5 9.0 -2.4 3.6 -7.5
  30. 30. F E M Release Jt . A and D C. O Initial Moment Balance C. O A CB D 5/21 16/21 8/11 3/11 -6.0 6.0 -2.4 3.6 -5.0 +5.0 6.0 -5.0 3.0 -2.5 9.0 -2.4 3.6 -7.5 -1.56 -5.04 2.84 1.06
  31. 31. F E M Release Jt . A and D C. O Initial Moment Balance C. O A CB D 5/21 16/21 8/11 3/11 -6.0 6.0 -2.4 3.6 -5.0 +5.0 6.0 -5.0 3.0 -2.5 9.0 -2.4 3.6 -7.5 -1.56 -5.04 2.84 1.06
  32. 32. F E M Release Jt . A and D C. O Initial Moment Balance C. O Balance A CB D 5/21 16/21 8/11 3/11 -6.0 6.0 -2.4 3.6 -5.0 +5.0 6.0 -5.0 3.0 -2.5 9.0 -2.4 3.6 -7.5 -1.56 -5.04 2.84 1.06 +1.42 -2.52
  33. 33. F E M Release Jt . A and D C. O Initial Moment Balance C. O Balance C. O A CB D 5/21 16/21 8/11 3/11 -6.0 6.0 -2.4 3.6 -5.0 +5.0 6.0 -5.0 3.0 -2.5 9.0 -2.4 3.6 -7.5 -1.56 -5.04 2.84 1.06 +1.42 -2.52 -0.34 -1.08 1.83 0.69
  34. 34. F E M Release Jt . A and D C. O Initial Moment Balance C. O Balance C. O A CB D 5/21 16/21 8/11 3/11 -6.0 6.0 -2.4 3.6 -5.0 +5.0 6.0 -5.0 3.0 -2.5 9.0 -2.4 3.6 -7.5 -1.56 -5.04 2.84 1.06 +1.42 -2.52 -0.34 -1.08 1.83 0.69
  35. 35. F E M Release Jt . A and D C. O Initial Moment Balance C. O Balance C. O Balance A CB D 5/21 16/21 8/11 3/11 -6.0 6.0 -2.4 3.6 -5.0 +5.0 6.0 -5.0 3.0 -2.5 9.0 -2.4 3.6 -7.5 -1.56 -5.04 2.84 1.06 +1.42 -2.52 -0.34 -1.08 1.83 0.69 +0.92 -0.54
  36. 36. F E M Release Jt . A and D C. O Initial Moment Balance C. O Balance C. O Balance C. O A CB D 5/21 16/21 8/11 3/11 -6.0 6.0 -2.4 3.6 -5.0 +5.0 6.0 -5.0 3.0 -2.5 9.0 -2.4 3.6 -7.5 -1.56 -5.04 2.84 1.06 +1.42 -2.52 -0.34 -1.08 1.83 0.69 +0.92 -0.54 -0.22 -0.70 0.40 0.14
  37. 37. F E M Release Jt . A and D C. O Initial Moment Balance C. O Balance C. O Balance C. O Balance A CB D 5/21 16/21 8/11 3/11 -6.0 6.0 -2.4 3.6 -5.0 +5.0 6.0 -5.0 3.0 -2.5 9.0 -2.4 3.6 -7.5 -1.56 -5.04 2.84 1.06 +1.42 -2.52 -0.34 -1.08 1.83 0.69 +0.92 -0.54 -0.22 -0.70 0.40 0.14 +0.20 -0.35
  38. 38. F E M Release Jt . A and D C. O Initial Moment Balance C. O Balance C. O Balance C. O Balance A CB D 5/21 16/21 8/11 3/11 -6.0 6.0 -2.4 3.6 -5.0 +5.0 6.0 -5.0 3.0 -2.5 9.0 -2.4 3.6 -7.5 -1.56 -5.04 2.84 1.06 +1.42 -2.52 -0.34 -1.08 1.83 0.69 +0.92 -0.54 -0.22 -0.70 0.40 0.14 +0.20 -0.35 -0.05 -0.15 0.25 0.1
  39. 39. F E M Release Jt . A and D C. O Initial Moment Balance C. O Balance C. O Balance C. O Balance C. O A CB D 5/21 16/21 8/11 3/11 -6.0 6.0 -2.4 3.6 -5.0 +5.0 6.0 -5.0 3.0 -2.5 9.0 -2.4 3.6 -7.5 -1.56 -5.04 2.84 1.06 +1.42 -2.52 -0.34 -1.08 1.83 0.69 +0.92 -0.54 -0.22 -0.70 0.40 0.14 +0.20 -0.35 -0.05 -0.15 0.25 0.1
  40. 40. F E M Release Jt . A and D C. O Initial Moment Balance C. O Balance C. O Balance C. O Balance C. O Balance A CB D 5/21 16/21 8/11 3/11 -6.0 6.0 -2.4 3.6 -5.0 +5.0 6.0 -5.0 3.0 -2.5 9.0 -2.4 3.6 -7.5 -1.56 -5.04 2.84 1.06 +1.42 -2.52 -0.34 -1.08 1.83 0.69 +0.92 -0.54 -0.22 -0.70 0.40 0.14 +0.20 -0.35 -0.05 -0.15 0.25 0.1 +0.12 -0.07
  41. 41. F E M Release Jt . A and D C. O Initial Moment Balance C. O Balance C. O Balance C. O Balance C. O Balance C. O A CB D 5/21 16/21 8/11 3/11 -6.0 6.0 -2.4 3.6 -5.0 +5.0 6.0 -5.0 3.0 -2.5 9.0 -2.4 3.6 -7.5 -1.56 -5.04 2.84 1.06 +1.42 -2.52 -0.34 -1.08 1.83 0.69 +0.92 -0.54 -0.22 -0.70 0.40 0.14 +0.20 -0.35 -0.05 -0.15 0.25 0.1 +0.12 -0.07 -0.03 -0.09 0.05 0.02
  42. 42. F E M Release Jt . A and D C. O Initial Moment Balance C. O Balance C. O Balance C. O Balance C. O Balance C. O Balance A CB D 5/21 16/21 8/11 3/11 -6.0 6.0 -2.4 3.6 -5.0 +5.0 6.0 -5.0 3.0 -2.5 9.0 -2.4 3.6 -7.5 -1.56 -5.04 2.84 1.06 +1.42 -2.52 -0.34 -1.08 1.83 0.69 +0.92 -0.54 -0.22 -0.70 0.40 0.14 +0.20 -0.35 -0.05 -0.15 0.25 0.1 +0.12 -0.07 -0.03 -0.09 0.05 0.02 +0.02 -0.05
  43. 43. F E M Release Jt . A and D C. O Initial Moment Balance C. O Balance C. O Balance C. O Balance C. O Balance C. O Balance A CB D 5/21 16/21 8/11 3/11 -6.0 6.0 -2.4 3.6 -5.0 +5.0 6.0 -5.0 3.0 -2.5 9.0 -2.4 3.6 -7.5 -1.56 -5.04 2.84 1.06 +1.42 -2.52 -0.34 -1.08 1.83 0.69 +0.92 -0.54 -0.22 -0.70 0.40 0.14 +0.20 -0.35 -0.05 -0.15 0.25 0.1 +0.12 -0.07 -0.03 -0.09 0.05 0.02 +0.02 -0.05 -0.01 -0.01 0.03 0.02
  44. 44. F E M Release Jt . A and D C. O Initial Moment Balance C. O Balance C. O Balance C. O Balance C. O Balance C. O Balance Final Moments A CB D 5/21 16/21 8/11 3/11 -6.0 6.0 -2.4 3.6 -5.0 +5.0 6.0 -5.0 3.0 -2.5 9.0 -2.4 3.6 -7.5 -1.56 -5.04 2.84 1.06 +1.42 -2.52 -0.34 -1.08 1.83 0.69 +0.92 -0.54 -0.22 -0.70 0.40 0.14 +0.20 -0.35 -0.05 -0.15 0.25 0.1 +0.12 -0.07 -0.03 -0.09 0.05 0.02 +0.02 -0.05 -0.01 -0.01 0.03 0.02
  45. 45. F E M Release Jt . A and D C. O Initial Moment Balance C. O Balance C. O Balance C. O Balance C. O Balance C. O Balance Final Moments A CB D 5/21 16/21 8/11 3/11 -6.0 6.0 -2.4 3.6 -5.0 +5.0 6.0 -5.0 3.0 -2.5 9.0 -2.4 3.6 -7.5 -1.56 -5.04 2.84 1.06 +1.42 -2.52 -0.34 -1.08 1.83 0.69 +0.92 -0.54 -0.22 -0.70 0.40 0.14 +0.20 -0.35 -0.05 -0.15 0.25 0.1 +0.12 -0.07 -0.03 -0.09 0.05 0.02 +0.02 -0.05 -0.01 -0.01 0.03 0.02 6.79 -6.79 5.46 -5.460 0
  46. 46. 3 m 2m 2 m A B C D I I I Support B sinks by 30 mm I = 3 X 106 mm4 E =2 X 105 N/mm2 0 6 6 2 2    FDCFCD FCBFBC FBAFAB MM l EI MM l EI MM   F E M Since no external loads coming on to the Structure the FEM comprise only due to the Moment induced due to sinking of supports
  47. 47. 3 m 2m 2 m A B C D I I I Support B sinks by 30 mm I = 3 X 106 mm4 E =2 X 105 N/mm2 0 27 6 12 6 2 2    FDCFCD FCBFBC FBAFAB MM kNm l EI MM kNm l EI MM  
  48. 48. Joint Member Absolute Stiffness Distribution Factor ( k / ∑k ) B BA 4EI/3 BC 4EI/2 C CB 4EI/2 CD 4EI/2 Distribution Factors 3 m 2m 2 m A B C D I I I
  49. 49. Joint Member Absolute Stiffness Distribution Factor ( k / ∑k ) B BA 4EI/3 0.4 BC 4EI/2 0.6 C CB 4EI/2 0.5 CD 4EI/2 0.5 Distribution Factors 3 m 2m 2 m A B C D I I I
  50. 50. F E M Balance A CB D 0.4 0.6 0.5 0.5 -12.0 -12.0 27 27
  51. 51. F E M Balance C. O Balance A CB D 0.4 0.6 0.5 0.5 -12.0 -12.0 27 27 -6.0 -9.0 -13.5 -13.5
  52. 52. F E M Balance C. O Balance -3.0 -6.75 -4.5 -6.75 A CB D 0.4 0.6 0.5 0.5 -12.0 -12.0 27 27 -6.0 -9.0 -13.5 -13.5
  53. 53. F E M Balance C. O Balance -3.0 2.7 -6.75 -4.5 4.05 +2.25 -6.75 +2.25 A CB D 0.4 0.6 0.5 0.5 -12.0 -12.0 27 27 -6.0 -9.0 -13.5 -13.5
  54. 54. F E M Balance C. O Balance -3.0 2.7 -6.75 -4.5 4.05 +2.25 -6.75 +2.25 C. O A CB D 0.4 0.6 0.5 0.5 -12.0 -12.0 27 27 -6.0 -9.0 -13.5 -13.5
  55. 55. F E M Balance C. O Balance -3.0 2.7 -6.75 -4.5 4.05 +2.25 -6.75 +2.25 C. O Balance +1.35 1.13 2.03 1.13 A CB D 0.4 0.6 0.5 0.5 -12.0 -12.0 27 27 -6.0 -9.0 -13.5 -13.5
  56. 56. F E M Balance C. O Balance -3.0 2.7 -6.75 -4.5 4.05 +2.25 -6.75 +2.25 C. O Balance +1.35 -0.45 1.13 2.03 -0.68 -1.01 1.13 -1.02 C. O A CB D 0.4 0.6 0.5 0.5 -12.0 -12.0 27 27 -6.0 -9.0 -13.5 -13.5
  57. 57. F E M Balance C. O Balance -3.0 2.7 -6.75 -4.5 4.05 +2.25 -6.75 +2.25 C. O Balance +1.35 -0.45 1.13 2.03 -0.68 -1.01 1.13 -1.02 C. O Balance -0.22 -0.5 -0.34 -0.51 C. O A CB D 0.4 0.6 0.5 0.5 -12.0 -12.0 27 27 -6.0 -9.0 -13.5 -13.5
  58. 58. F E M Balance C. O Balance -3.0 2.7 -6.75 -4.5 4.05 +2.25 -6.75 +2.25 C. O Balance +1.35 -0.45 1.13 2.03 -0.68 -1.01 1.13 -1.02 C. O Balance -0.22 0.2 -0.5 -0.34 0.3 0.17 -0.51 0.17 C. O A CB D 0.4 0.6 0.5 0.5 -12.0 -12.0 27 27 -6.0 -9.0 -13.5 -13.5
  59. 59. F E M Balance C. O Balance -3.0 2.7 -6.75 -4.5 4.05 +2.25 -6.75 +2.25 C. O Balance +1.35 -0.45 1.13 2.03 -0.68 -1.01 1.13 -1.02 C. O Balance -0.22 0.2 -0.5 -0.34 0.3 0.17 -0.51 0.17 C. O Balance 0.1 0.08 0.15 0.08 A CB D 0.4 0.6 0.5 0.5 -12.0 -12.0 27 27 -6.0 -9.0 -13.5 -13.5
  60. 60. F E M Balance C. O Balance -3.0 2.7 -6.75 -4.5 4.05 +2.25 -6.75 +2.25 C. O Balance +1.35 -0.45 1.13 2.03 -0.68 -1.01 1.13 -1.02 C. O Balance -0.22 0.2 -0.5 -0.34 0.3 0.17 -0.51 0.17 C. O Balance 0.1 -0.03 0.08 0.15 -0.05 -0.08 0.08 -0.07 C. O A CB D 0.4 0.6 0.5 0.5 -12.0 -12.0 27 27 -6.0 -9.0 -13.5 -13.5
  61. 61. F E M Balance C. O Balance -3.0 2.7 -6.75 -4.5 4.05 +2.25 -6.75 +2.25 C. O Balance +1.35 -0.45 1.13 2.03 -0.68 -1.01 1.13 -1.02 C. O Balance -0.22 0.2 -0.5 -0.34 0.3 0.17 -0.51 0.17 C. O Balance 0.1 -0.03 0.08 0.15 -0.05 -0.08 0.08 -0.07 C. O Balance -0.02 -0.04 -0.03 -0.03 A CB D 0.4 0.6 0.5 0.5 -12.0 -12.0 27 27 -6.0 -9.0 -13.5 -13.5
  62. 62. F E M Balance C. O Balance -3.0 2.7 -6.75 -4.5 4.05 +2.25 -6.75 +2.25 C. O Balance +1.35 -0.45 1.13 2.03 -0.68 -1.01 1.13 -1.02 C. O Balance -0.22 0.2 -0.5 -0.34 0.3 0.17 -0.51 0.17 C. O Balance 0.1 -0.03 0.08 0.15 -0.05 -0.08 0.08 -0.07 C. O Balance -0.02 0.02 -0.04 -0.03 0.02 0.01 -0.03 0.02 C. O to A and D 0.01 0.01 A CB D 0.4 0.6 0.5 0.5 -12.0 -12.0 27 27 -6.0 -9.0 -13.5 -13.5
  63. 63. F E M Balance C. O Balance -3.0 2.7 -6.75 -4.5 4.05 +2.25 -6.75 +2.25 C. O Balance +1.35 -0.45 1.13 2.03 -0.68 -1.01 1.13 -1.02 C. O Balance -0.22 0.2 -0.5 -0.34 0.3 0.17 -0.51 0.17 C. O Balance 0.1 -0.03 0.08 0.15 -0.05 -0.08 0.08 -0.07 C. O Balance -0.02 0.02 -0.04 -0.03 0.02 0.01 -0.03 0.02 C. O to A and D 0.01 0.01 Final Moments A CB D 0.4 0.6 0.5 0.5 -12.0 -12.0 27 27 -6.0 -9.0 -13.5 -13.5
  64. 64. F E M Balance C. O Balance -3.0 2.7 -6.75 -4.5 4.05 +2.25 -6.75 +2.25 C. O Balance +1.35 -0.45 1.13 2.03 -0.68 -1.01 1.13 -1.02 C. O Balance -0.22 0.2 -0.5 -0.34 0.3 0.17 -0.51 0.17 C. O Balance 0.1 -0.03 0.08 0.15 -0.05 -0.08 0.08 -0.07 C. O Balance -0.02 0.02 -0.04 -0.03 0.02 0.01 -0.03 0.02 C. O to A and D 0.01 0.01 Final Moments -13.78 -15.56 +15.56 +12.15 -12.15 -6.07 A CB D 0.4 0.6 0.5 0.5 -12.0 -12.0 27 27 -6.0 -9.0 -13.5 -13.5
  65. 65. 12 12 6 6 6 12 6 12 2 2 22 2 22 2 2 2 2 2 wl M wl M l EI l wba M l EI l wab M l EIwl M l EIwl M FDC FCD FCB FBC FBA FAB          Support B sinks by 10 mm I = 1.2 X 10-4 m4 E =2 X 105 N/mm2
  66. 66. kNm26.67 kNm26.67- kNm93.6 kNm33.6 kNm20 kNm100-       12 12 6 6 6 12 6 12 2 2 22 2 22 2 2 2 2 2 wl M wl M l EI l wba M l EI l wab M l EIwl M l EIwl M FDC FCD FCB FBC FBA FAB     Support B sinks by 10 mm I = 1.2 X 10-4 m4 E =2 X 105 N/mm2
  67. 67. Joint Member Absolute Stiffness Distribution Factor ( k / ∑k ) B BA 4EI/6 BC 4EI/5 C CB 4EI/5 CD 3EI/4 Distribution factor
  68. 68. Joint Member Absolute Stiffness Distribution Factor ( k / ∑k ) B BA 4EI/6 0.46 BC 4EI/5 0.54 C CB 4EI/5 0.51 CD 3EI/4 0.49 Distribution factor
  69. 69. 2 812 812 12 12 2 2 2 2 2 2 2 2 wlFDE FDC FCD FCB FBC FBA FAB M l wba M l wab M wlwl M wlwl M wl M wl M       Fixed End Moments
  70. 70. 10 2 2 2 2 2 2 2 2 2 3 9 41 812 41 812 4 12 4 12        wlFDE FDC FCD FCB FBC FBA FAB M kNm l wba M kNm l wab M kNm wlwl M kNm wlwl M kNm wl M kNm wl MFixed End Moments
  71. 71. Joint Member Absolute Stiffness Distribution Factor ( k / ∑k ) B BA 3E3I/4 BC 4E10I/8 C CB 4E10I/8 CD 3E2I/4 Note: Since support ‘A’ is simply supported end the absolute stiffness was calculated by (3EI/L) and also since ‘D’ can be considered as simply supported with a definite moment , therefore the absolute stiffness of CD has also been calculated using the formula (3EI/L) .
  72. 72. Joint Member Absolute Stiffness Distribution Factor ( k / ∑k ) B BA 3E3I/4 0.31 BC 4E10I/8 0.69 C CB 4E10I/8 0.77 CD 3E2I/4 0.23
  73. 73. 2 kN/m 10 kN 1.5 m 3m 1 m A B C D I 2I I 2 m1.5 m 12kN Assignment -1 Find The Final Moments from slope deflection method and Moment Distribution method and Draw Bending Moment diagram 2 kN/m 9 kN 1.5 m 3m 1 m A B C D I I 2I 2 m1.5 m 8 kN 8 kN 1.5 m
  74. 74. 4 kN/m 5 kN 1.5 m 3m 1 m A B C D I I I 2 m1.5 m 6 kN Support C sinks by 20 mm I = 2.4 X 106 mm4 E =2 X 105 N/mm2 2 kN/m 9 kN 1.5 m 3m 1 m A B C D I I I 2 m1.5 m 8 kN Support A sinks by 10 mm Support B sinks by 30 mm Support C sinks by 20 mm I = 2.4 X 106 mm4 E =2 X 105 N/mm2

×