Successfully reported this slideshow.
We use your LinkedIn profile and activity data to personalize ads and to show you more relevant ads. You can change your ad preferences anytime.

Chemistry of carbohydrates

326 views

Published on

CHEMISTRY OF CARBOHYDRATES

Published in: Education
  • Be the first to comment

Chemistry of carbohydrates

  1. 1. CHEMISTRY OF CARBOHYDRATES DR. SWETA DAS
  2. 2. OBJECTIVES • Describe the nomenclature of carbohydrates • Classification of carbohydrates. • Structure and Isomerism in carbohydrates. • Understanding the reactions of carbohydrates.
  3. 3. DEFINITION • Carbohydrates are polyhydroxy aldehydes or ketones, or substances that yield such compounds on hydrolysis. • Empirical formula (CH2O)n. • Some also contain nitrogen, phosphorus or sulfur. • The word “saccharide” is derived from the Greek “sakcharon”, meaning "sugar“.
  4. 4. CLASSIFICATION CARBOHYDRATES MONOSACCCHARIDES ALDOSES KETOSES OLIGOSACCHARIDES POLYSACCHARIDES HOMOPOLYSACCHARIDES HETEROPOLYSACCHARIDES
  5. 5. MONOSACCHARIDES • Simple sugars • Consist of a single polyhydroxy aldehyde or ketone unit. • The most abundant monosaccharide in Nature is the six-carbon sugar D –glucose (dextrose). • Monosaccharide of four or more carbons tend to have cyclic structures.
  6. 6. MONOSACCHARIDES No of C-atoms Potentially active carbonyl group Trioses Tetroses Pentoses Aldoses Ketoses Hexoses Heptoses “These carbohydrates cannot Octoses be hydrolyzed into simpler compounds”
  7. 7. NO. OF CARBON ATOMS GENERIC NAME ALDOSES KETOSES 3 TRIOSE GLYCERALDEHYDE DIHYDROXYACETON E 4 TETROSE ERYTHROSE ERYTHRULOSE 5 PENTOSE ARABINOSE XYLOSE RIBOSE XYLULOSE RIBULOSE 6 HEXOSE GLUCOSE GALACTOSE MANNOSE FRUCTOSE 7 HEPTOSE SEDOHEPTULOSE
  8. 8. TRIOSES
  9. 9. Tetroses
  10. 10. Pentoses
  11. 11. Hexoses
  12. 12. REPRESENTATIONS OF GLUCOSE STRUCTURE • The absolute configurations of sugars are known from x- ray crystallography • To represent three-dimensional sugar structures on paper, we often use Fischer projection formulas . • In Fischer projection formulas, horizontal bonds project out of the plane of the paper, toward the reader; vertical bonds project behind the plane of the paper, away from the reader.
  13. 13. • Alcohols react with the carbonyl groups of aldehydes and ketones to form hemiacetals and hemiketals, respectively.
  14. 14. • The hydroxyl and either the aldehyde or the ketone groups of monosaccharides can likewise react intramolecularly to form cyclic hemiacetals and hemiketals. • The configurations of the substituents to each carbon atom of these sugar rings are conveniently represented by their Haworth projection formulas
  15. 15. • A sugar with a six-membered ring is known as a pyranose in analogy with pyran, the simplest compound containing such a ring. Similarly, sugars with five-membered rings are designated furanoses in analogy with furan. • The cyclic forms of glucose and fructose with six- and five membered rings are therefore known as glucopyranose and fructofuranose, respectively
  16. 16. PROPERTIES OF MONOSACCHARIDES 1. Stereoisomerism 2. Diastereoisomerism 3. Optical activity 4. Epimerism 5. Anomerism 6. Mutarotation 7. Tautomerization
  17. 17. STEREOISOMERS • Compounds having same structural formula, but different spatial configuration. • The number of possible stereoisomers depends on the number of asymmetric carbon atoms by the formula 2^n [n= number of asymmetric carbon atoms]
  18. 18. STEREOISOMERS
  19. 19. DIASTEREOISOMERS • Configurational changes with regard to C2, C3, C4 will produce 8 different monosaccharides. • Only 3 are seen in human body : glucose , galactose , mannose.
  20. 20. OPTICAL ACTIVITY • The presence of asymmetrical carbon atoms causes optical activity. • When a beam of plane polarised light is passed through a solution of carbohydrates, it will rotate the light either to right or left. • Depending on the rotation, molecules are : Dextrorotatory (+/d) Levorotatory (-/l)
  21. 21. • Racemic mixture : Equimolar mixture of optical isomers, has no net rotation. • NOTE : D and L notation has no bearing with the optical activity. • D-glucose is dextrorotatory • D-fructose is levorotatory.
  22. 22. PROFESSOR JAROSLAV HEYROVSKY • NOBEL PRIZE FOR CHEMISTRY 1959 • POLAROGRAPHIC ANALYSIS OF SUGARS
  23. 23. EPIMERS Sugars that differ only by the configuration about one C atom are known as epimers of one another.
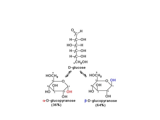
  24. 24. ANOMERISM The cyclization of a monosaccharide renders the former carbonyl carbon asymmetric. The resulting pair of diastereomers are known as anomers and the hemiacetal or hemiketal carbon is referred to as the anomeric carbon. In the α anomer, the OH substituent to the anomeric carbon is on the opposite side of the sugar ring from the CH2OH group at the chiral center that designates the D or L configuration (C5 in hexoses). The other anomer is known as the β form .
  25. 25. MUTAROTATION • The two anomers of D-glucose, as any pair of diastereomers,have different physical and chemical properties. • For example, the values of the specific optical rotation, for α-D-glucose and β-D-glucose are, respectively,112.2° and 18.7° • When either of these pure substances is dissolved in water, however, the specific optical rotation of the solution slowly changes until it reaches an equilibrium value of 52.7°. This phenomenon is known as mutarotation in glucose, it results from the formation of an equilibrium mixture consisting of 63.6% of the β anomer and 36.4% of the α anomer.
  26. 26. Tautomerization or enolization The process of shifting a hydrogen atom from one carbon atom to another to produce enediols is known as tautomerisation. Sugars possesing anomeric carbon atoms undergo tautomerisation in alkaline solutions. In mild alkaline conditions, glucose is converted to fructose and mannose. The interconversion of sugars through a common enediol form is called Lobry de Bruyn-Van Ekenstein transformation. The enediols are highly reactive,hence sugars in alkaline solution are powerful reducing agents.
  27. 27. Reducing property sugars • If the hydroxyl group on the anomeric carbon of a cyclized sugar is not linked to another compound by a glycosidic bond, the ring can open. The sugar can act as a reducing agent, and is termed a reducing sugar. Such sugars can react with chromogenic agents (for example, Benedict’s reagent or Fehling’s solution) causing the reagent to be reduced and colored, with the aldehyde group of the acyclic sugar becoming oxidized.
  28. 28. Reactions of monosaccharides 1. Reduction 2. Oxidation 3. Dehydration 4. Osazone formation 5. Ester formation
  29. 29. Reduction • When treated with reducing agents such as sodium amalgam, the aldehyde or keto group is reduced to corresponding alcohol. Sugars Alcohols Glucose Sorbitol Galactose Dulcitol Mannose Mannitol Fructose Mannitol + sorbitol Ribose Ribitol
  30. 30. GLUCOSE SORBITOL
  31. 31. OXIDATION • Under mild oxidising condition, the carbonyl (aldehyde) carbon is oxidised to the carboxyl group and yield aldonic acids.
  32. 32. • When aldehyde group is protected,oxidation of the last carbon (C-6) of glucose , galactose, or mannose- forms the corresponding uronic acid: glucuronic, galacturonic, or mannuronic acid.
  33. 33. • Under strong oxidation conditions (nitric oxide and heat), both first and last carbon atoms are simultaneously oxidised to form dicarboxylic acid : saccharic acid. • Glucose is oxidised to glucosaccharic acid
  34. 34. Dehydration
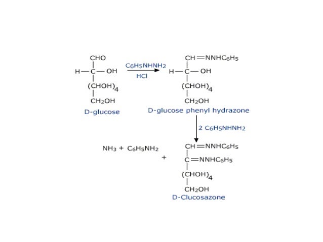
  35. 35. Osazone formation • Reducing sugars + phenylhydrazine = Osazone SUGAR OSAZONE GLUCOSE/ FRUCTOSE/ MANNOSE NEEDLE SHAPED CRYSTALS MALTOSE SUNFLOWER SHAPED. LACTOSE POWDER PUFF SHAPED
  36. 36. Ester formation • Hydroxyl group of sugars can be esterified to form acetates, propionates,benzoates, phosphates,etc. • Glucose-6-phosphate and glucose -1- phosphate are intermediates of glucose metabolism
  37. 37. Amino sugars • Amino groups substitute hydroxyl group to form amino sugars. • Amino group is added to C2 • No reducing property • No osazone formation.
  38. 38. AMINO SUGARS PRESENT IN GLUCOSAMINE HYALURONIC ACID, HEPARIN, BLOOD GROUP SUBSTANCES. GALACTOSAMINE CHONDROITIN OF CARTILAGE,BONE , TENDONS MANNOSAMINE GLYCOPROTEINS N-ACETYL GLUCOSAMINE , N- ACETYL GLACTOSAMINE GLYCOPROTEINS, MUCOPOLYSACCHARIDES, CELL MEMBRANE ANTIGENS.
  39. 39. Deoxy sugars • Oxygen of hydroxyl group may be removed to form deoxy sugars • Donot reduce • Donot produce osazones
  40. 40. Glycosides • When the hemiacetal group (hydroxyl group of the anomeric carbon) of a monosaccharide is condensed with an alcohol or phenol group,it is called a glycoside. • The non carbohydrate group is called aglycone. • Donot reduce Benedict’s reagent. • Enzyme hydrolysis can be used to distinguish between α and β glycosides by maltase and emulsin.
  41. 41. Glycosides Importance Glucovanillin ( vanillin –D- glucose) Vanilla flavour Cardiac glycosides (steroidal glycosides) Stimulate muscle contraction Streptomycin Anti Tb drug Ouabain Blocks sodium potassium ATPase pump. Phlorhizin Renal damage in experimental animals Plant indican Stain
  42. 42. DISACCHARIDES • Disaccharides (such as maltose,lactose and sucrose) consist of two monosaccharide joined covalently by an O-glycosidic bond, which is formed when a hydroxyl group of one sugar reacts with the anomeric carbon of the other.
  43. 43. Maltose • Two glucose units are joined by an a -1,4 glycosidic linkage. • Maltose comes from the hydrolysis of starch and is in turn hydrolyzed to glucose by maltase.
  44. 44. Isomaltose • 2 glucose units linked by α-1,6 linkage.
  45. 45. Isomaltose contd. • Produced by partial hydrolysis of glycogen and starch. • Oligo-1,6-glucosidase present in intestinal juice hydrolyse isomaltose into glucose units.
  46. 46. Lactose • Lactose, the disaccharide of milk, consists of galactose joined to glucose by a β-1,4-glycosidic linkage.
  47. 47. Sucrose • Sucrose (common table sugar) is obtained commercially from cane or beet. • The anomeric carbon atoms of a glucose unit and a fructose unit are joined in this disaccharide by α-1,2 glycosidic linkage .
  48. 48. Sucrose contd. • Non reducing. • No osazone formation. • Sucrose can be cleaved into its component monosaccharides by the enzyme sucrase/ invertase. • Invert sugar : equimolecular mixture of glucose and fructose formed on hydrolysis.
  49. 49. POLYSACCHARIDES • Polysaccharides also called glycans. • Large polymeric oligosaccharides, formed by the linkage of multiple monosaccharides, are called polysaccharides. • Homopolysaccharides. • Heteropolysaccharides .
  50. 50. Homopolysaccharides Starch Glycogen Cellulose Inulin Dextrans Chitin
  51. 51. STARCH • The nutritional reservoir in plants. • Amylose, the unbranched type of starch,consists of glucose residues in α -1,4 linkage. • Amylopectin, the branched form, has about 1 a -1,6 linkage per 30 a -1,4 linkages, in similar fashion to glycogen except for its lower degree of branching.
  52. 52. • Both amylopectin and amylose are rapidly hydrolyzed by α-amylase, an enzyme secreted by the salivary glands and the pancreas. • HYDROLYSIS • In presence of mild acids smaller and smaller fragments are produced. • Hydrolysis over a short time produces amylodextrin : gives violet colour with iodine and is non reducing. • Further hydrolysis produces erythrodextrins which give red colour with iodine and mildly reduce benedict’s solution • Achrodextrins (No colour with iodine, but powerfully reducing) • ON CONTINUED hydrolysis forms maltose (no colour with iodine, but powerfully reducing )
  53. 53. GLYCOGEN • Glycogen is the main storage polysaccharide of animal cells.
  54. 54. • Stored in liver(7% of wet weight) and skeletal muscle. • Glycogenin is a primer protein present in innermost core of glycogen. • More branched than amylopectin.
  55. 55. DIFFERENCE BETWEEN STARCH AND GLYCOGEN Starch Glycogen Plants Animals Stored in tubers,grains, legumes. Stored in liver and muscle cells Less branched More branched Glycogenin absent Glycogenin present Molecular weight of 10 – 1000 kdal 1000-5000 kdal Blue and violet complexes with iodine Red violet complex with iodine
  56. 56. CELLULOSE • Cellulose, the other major polysaccharide of glucose found in plants, serves a structural rather than a nutritional role. • One of the most abundant organic compounds in the biosphere. • Constitutes much of the mass of wood and cotton is almost pure cellulose.
  57. 57. • Glucose residues have the β configuration . • The glucose residues in cellulose are linked by (β1,4)glycosidic bonds.
  58. 58. INULIN • Long chain homoglycan composed of D-fructose units with repeating β-1,2 linkages. • Present in bulbs of dahlia, onion, garlic. • Used to find : renal clearance and glomerular filtration rate.
  59. 59. DEXTRANS • Dextrans are bacterial and yeast polysaccharides made up of (α1,6)-linked poly-D-glucose; all have (α1,3) branches, and some also have (α1,2) or (α1,4) branches. • Used for hypovolemic shock as plasma expanders.
  60. 60. CHITIN • Linear homopolysaccharide composed of N- acetylglucosamine residues in (β1,4) Iinkage
  61. 61. SUMMARY • Carbohydrates are polyhydroxy aldehydes or ketones, or substances that yield such compounds on hydrolysis. • Sugars have large numbers of stereoisomers because they contain several assymetreic carbon atoms. • Glucose is the only monosaccharide that exist in body in free form. • Lactose and sucrose are important dietary dissacharides. • Starch , cellulose and glycogen are important homoglucan polymers. • Dextran is used as a plasma expander.
  62. 62. REFERENCES 1. TEXTBOOK OF BIOCHEMISTRY FOR MEDICAL STUDENTS, 7TH Ed., DM VASUDEVAN, SREEKUMARI 2. BIOCHEMISTRY, U.SATYANARAYANA, U.CHAKRAPANI, 4TH Ed. 3. LEHNINGER PRINCIPLES OF BIOCHEMISTRY,DAVID L. NELSON, MICHAEL M. COX, 5TH Ed. 4. BIOCHEMISTRY 5TH Ed. JEREMY M. BERG, JOHN L. TYMOCZKO,LUBERT STRYER 5. LIPPINCOTT’S ILLUSTRATED REVIEWS- BIOCHEMISTRY, 5TH Ed. 6. BIOCHEMISTRY, DEBAJYOTI DAS,14th Ed. 7. BIOCHEMISTRY,DONALD VOET,JUDITH G. VOET, 4TH Ed. 8. WIKIPEDIA

×